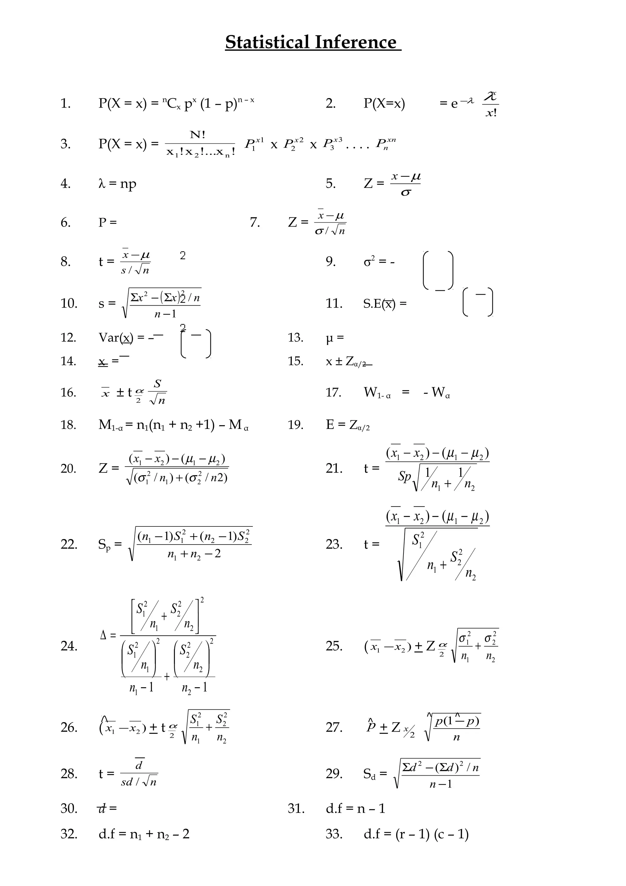
Statistical Inference
1. P(X = x) = n
Cx px
(1 – p)n – x
2. P(X=x) = e λ−
!x
x
λ
3. P(X = x) = !x!...x!x
N!
n21
1
1
x
P x 2
2
x
P x 3
3
x
P . . . . xn
nP
4. λ = np 5. Z =
σ
µ−x
6. P = 7. Z =
n
x
/σ
µ−
8. t =
ns
x
/
µ−
9. σ2
= -
10. s = ( )
1
/
22
−
Σ−Σ
n
nxx
11. S.E(x) =
12. Var(x) = – 13. μ =
14. x = 15. x ± Zα/2
16. x ± t 2
α
n
S
17. W1- α = - Wα
18. M1-α = n1(n1 + n2 +1) – Mα 19. E = Zα/2
20. Z =
)2/()/(
)()(
2
21
2
1
2121
nn
xx
σσ
µµ
+
−−−
21. t =
21
2121
11
)()(
nn
Sp
xx
+
−−− µµ
22. Sp =
2
)1()1(
21
2
22
2
11
−+
−+−
nn
SnSn
23. t =
2
2
2
1
2
1
2121 )()(
n
Sn
S
xx
+
−−− µµ
24.
11 2
2
2
2
2
1
2
1
2
1
2
2
2
2
1
2
1
−






+
−










+
=∆
n
n
S
n
n
S
n
S
n
S
25. ( )21 xx − + Z 2
α
2
2
2
1
2
1
nn
σσ
+
26. ( )21 xx − + t 2
α
2
2
2
1
2
1
n
S
n
S
+ 27. p + Z 2
x
n
pp )1( −
28. t =
nsd
d
/
29. Sd =
1
/)( 22
−
Σ−Σ
n
ndd
30. d = 31. d.f = n – 1
32. d.f = n1 + n2 – 2 33. d.f = (r – 1) (c – 1)
34. Z =
n
pp
pp
)1( −
−
35. Z =
)11)(1(
)()(
21
2121
nn
PP
PPPP
PP +−
−−−
36. PP =
21
21
nn
xx
+
+
37. X2
= 2
1
σ
−n
x s2
38. F = 2
2
2
1
S
S
39. (p1–p2)+Z 2
α
2
22
1
1 )1()1(
n
pp
n
pp −
+
−
40. X2
= }/){( 2
EEo −Σ 41. E =
42. d.f = (k - 1, n - k) 43. RP = 2
wS
xw
xxΣ
Σ
44. Sxx = nxx /)( 22
Σ−Σ 45. Sxy = nyxyx /))(( ΣΣ−Σ
46. Syy = nyy /)( 22
Σ−Σ 47. b1 =
Sxx
Sxy
48. b0 = y - b1 1x 49. r = Sxy / yyxx SS
50. t =
SxxSe
b
/
1
51. Se =
2−n
SSE
52. t =
2
1 2
−
−
n
r
r
53. β1 ± t 2
α
Sxx
Se
54. SST = nxx /)( 22
Σ−Σ 55. SSE = SST – SSTR
56. SSTR = ∑ – 57. r12 = 2
2
2
2
2
1
2
1
2121
)()( xxnxxn
xxxxn
Σ−ΣΣ−Σ
ΣΣ−Σ
58. MSE = 59. MSTR =
60. F-Ratio = 61. R1.23 = 2
23
132312
2
13
2
12
1
2
r
rrrrr
−
−+
62. r12 = 63. SSR =
64. SST = Syy 65. d.f = (n1 – 1) , (n2 – 1)
66.
( )( )2
23
2
13
231312
3.12
11 rr
rrr
r
−−
−
= 67. F =
68. SSR = b0Σy + b1 Σx1y + b2 Σx2y -
69. rs = 1 -
70. H = ×Σ - 3(n + 1) 71. X ± A2 R
72. C ± 3 Sc 73. Sc =
74. P ± 3 75. UCLR = D4 R
76. LCLR = D3 R 77. P(X=x) = n-1
Cx-1 × px
× (1 – p)n-x
78. P = 79. σ =

Statistical inference formulasheet

  • 1.
    Statistical Inference 1. P(X= x) = n Cx px (1 – p)n – x 2. P(X=x) = e λ− !x x λ 3. P(X = x) = !x!...x!x N! n21 1 1 x P x 2 2 x P x 3 3 x P . . . . xn nP 4. λ = np 5. Z = σ µ−x 6. P = 7. Z = n x /σ µ− 8. t = ns x / µ− 9. σ2 = - 10. s = ( ) 1 / 22 − Σ−Σ n nxx 11. S.E(x) = 12. Var(x) = – 13. μ = 14. x = 15. x ± Zα/2 16. x ± t 2 α n S 17. W1- α = - Wα 18. M1-α = n1(n1 + n2 +1) – Mα 19. E = Zα/2 20. Z = )2/()/( )()( 2 21 2 1 2121 nn xx σσ µµ + −−− 21. t = 21 2121 11 )()( nn Sp xx + −−− µµ 22. Sp = 2 )1()1( 21 2 22 2 11 −+ −+− nn SnSn 23. t = 2 2 2 1 2 1 2121 )()( n Sn S xx + −−− µµ 24. 11 2 2 2 2 2 1 2 1 2 1 2 2 2 2 1 2 1 −       + −           + =∆ n n S n n S n S n S 25. ( )21 xx − + Z 2 α 2 2 2 1 2 1 nn σσ + 26. ( )21 xx − + t 2 α 2 2 2 1 2 1 n S n S + 27. p + Z 2 x n pp )1( − 28. t = nsd d / 29. Sd = 1 /)( 22 − Σ−Σ n ndd 30. d = 31. d.f = n – 1 32. d.f = n1 + n2 – 2 33. d.f = (r – 1) (c – 1)
  • 2.
    34. Z = n pp pp )1(− − 35. Z = )11)(1( )()( 21 2121 nn PP PPPP PP +− −−− 36. PP = 21 21 nn xx + + 37. X2 = 2 1 σ −n x s2 38. F = 2 2 2 1 S S 39. (p1–p2)+Z 2 α 2 22 1 1 )1()1( n pp n pp − + − 40. X2 = }/){( 2 EEo −Σ 41. E = 42. d.f = (k - 1, n - k) 43. RP = 2 wS xw xxΣ Σ 44. Sxx = nxx /)( 22 Σ−Σ 45. Sxy = nyxyx /))(( ΣΣ−Σ 46. Syy = nyy /)( 22 Σ−Σ 47. b1 = Sxx Sxy 48. b0 = y - b1 1x 49. r = Sxy / yyxx SS 50. t = SxxSe b / 1 51. Se = 2−n SSE 52. t = 2 1 2 − − n r r 53. β1 ± t 2 α Sxx Se 54. SST = nxx /)( 22 Σ−Σ 55. SSE = SST – SSTR 56. SSTR = ∑ – 57. r12 = 2 2 2 2 2 1 2 1 2121 )()( xxnxxn xxxxn Σ−ΣΣ−Σ ΣΣ−Σ 58. MSE = 59. MSTR = 60. F-Ratio = 61. R1.23 = 2 23 132312 2 13 2 12 1 2 r rrrrr − −+ 62. r12 = 63. SSR = 64. SST = Syy 65. d.f = (n1 – 1) , (n2 – 1) 66. ( )( )2 23 2 13 231312 3.12 11 rr rrr r −− − = 67. F = 68. SSR = b0Σy + b1 Σx1y + b2 Σx2y - 69. rs = 1 - 70. H = ×Σ - 3(n + 1) 71. X ± A2 R
  • 3.
    72. C ±3 Sc 73. Sc = 74. P ± 3 75. UCLR = D4 R 76. LCLR = D3 R 77. P(X=x) = n-1 Cx-1 × px × (1 – p)n-x 78. P = 79. σ =