Noise Spectroscopy with Large
Clouds of Cold Atoms
Samir VARTABI KASHANIAN
Supervisors: Robin KAISER
Michel LINTZ
September 16, 2016
Introduction
Random Laser (Future)
When I started my PhD, observation of cold-
atom random laser had been just published.
Q. Baudouin et al., Nat. Phys. 9, 357–360 (2013)
Open question: Search for a new signature.
Experimental Setup (Beginning)
Upgrading and improving the optical setup.
Noise (Main Work)
Noise and coherence measurements: candidates for new observa-
tions.
Understanding and analyzing noise?
The team had no experience in this field.
Outline
Cold-Atom Experiment
Experimental setup
Sample characterization
Noise Spectroscopy with Cold Atoms
Noise measurement with cold atoms in forward direction.
Model vs Data
Random Laser (RL)
Cold-Atom random laser
Coherence properties of random laser
Cold-Atom NS
Samir VARTABI
KASHANIAN
MOT
MOT
85
Rb
Tuning Frequency
Characterizing MOT
Controlling b0
NS with Cold
Atoms
Laser Characterization
Noise at High-Frequencies
PM Model
AM Model
Models vs Data
Random laser
Cold-Atom RL
Coherence Properties
Conclusion
Cold-Atom Experiment
at INLN
1/38
Cold-Atom NS
Samir VARTABI
KASHANIAN
MOT
MOT
85
Rb
Tuning Frequency
Characterizing MOT
Controlling b0
NS with Cold
Atoms
Laser Characterization
Noise at High-Frequencies
PM Model
AM Model
Models vs Data
Random laser
Cold-Atom RL
Coherence Properties
Conclusion
Magneto Optical Trap (MOT)
For cold-atom RL experiment, optically thick atomic clouds are
needed.
What is needed: → Large cell
Large waist size beams
High laser power (amplifier)
Tuning, stabilizing and scanning
the laser frequency (offset lock)
2/38
Cold-Atom NS
Samir VARTABI
KASHANIAN
MOT
MOT
85
Rb
Tuning Frequency
Characterizing MOT
Controlling b0
NS with Cold
Atoms
Laser Characterization
Noise at High-Frequencies
PM Model
AM Model
Models vs Data
Random laser
Cold-Atom RL
Coherence Properties
Conclusion
Offset Lock
Offset lock technique provides an intensity independent and large range of
frequency span. This technique is very convenient for RL experiment.
3/38
Cold-Atom NS
Samir VARTABI
KASHANIAN
MOT
MOT
85
Rb
Tuning Frequency
Characterizing MOT
Controlling b0
NS with Cold
Atoms
Laser Characterization
Noise at High-Frequencies
PM Model
AM Model
Models vs Data
Random laser
Cold-Atom RL
Coherence Properties
Conclusion
Offset Lock
Offset lock technique provides an intensity independent and large range of
frequency span. This technique is very convenient for RL experiment.
3/38
Cold-Atom NS
Samir VARTABI
KASHANIAN
MOT
MOT
85
Rb
Tuning Frequency
Characterizing MOT
Controlling b0
NS with Cold
Atoms
Laser Characterization
Noise at High-Frequencies
PM Model
AM Model
Models vs Data
Random laser
Cold-Atom RL
Coherence Properties
Conclusion
Characterizing MOT
Transmission Spectrum:
on-resonance optical
thickness b0
T(δ) = e−b(δ)
b(δ) = b0
1+4(δ
Γ )2
4/38
Cold-Atom NS
Samir VARTABI
KASHANIAN
MOT
MOT
85
Rb
Tuning Frequency
Characterizing MOT
Controlling b0
NS with Cold
Atoms
Laser Characterization
Noise at High-Frequencies
PM Model
AM Model
Models vs Data
Random laser
Cold-Atom RL
Coherence Properties
Conclusion
Characterizing MOT
Absorption Imaging:
cloud size σ
optical thickness b(δ)
number of atoms Nat
density
5/38
Cold-Atom NS
Samir VARTABI
KASHANIAN
MOT
MOT
85
Rb
Tuning Frequency
Characterizing MOT
Controlling b0
NS with Cold
Atoms
Laser Characterization
Noise at High-Frequencies
PM Model
AM Model
Models vs Data
Random laser
Cold-Atom RL
Coherence Properties
Conclusion
Enhancing Optical Thickness
Dark MOT (DMOT):
Temporal DMOT to compress MOT.
By driving population into a dark state
and reducing repulsive force.
b0 → 150
δimg = 0Γ
Irep = 2%
t = 35 ms
δimg = −3.5Γ
6/38
Cold-Atom NS
Samir VARTABI
KASHANIAN
MOT
MOT
85
Rb
Tuning Frequency
Characterizing MOT
Controlling b0
NS with Cold
Atoms
Laser Characterization
Noise at High-Frequencies
PM Model
AM Model
Models vs Data
Random laser
Cold-Atom RL
Coherence Properties
Conclusion
Modifying Optical Thickness
MOT is switched off and thus ballistically expands, leading to
lower density and b0 with the same Nat .
Time Of Flight (TOF):
T 100 µK
b0 150 - 10
7/38
Cold-Atom NS
Samir VARTABI
KASHANIAN
MOT
MOT
85
Rb
Tuning Frequency
Characterizing MOT
Controlling b0
NS with Cold
Atoms
Laser Characterization
Noise at High-Frequencies
PM Model
AM Model
Models vs Data
Random laser
Cold-Atom RL
Coherence Properties
Conclusion
Summary
MOT size 1 mm
max b0 150
Temperature 100 µK
Number of trapped atoms 1010
Atomic density 5 × 1011
cm−3
8/38
Cold-Atom NS
Samir VARTABI
KASHANIAN
MOT
MOT
85
Rb
Tuning Frequency
Characterizing MOT
Controlling b0
NS with Cold
Atoms
Laser Characterization
Noise at High-Frequencies
PM Model
AM Model
Models vs Data
Random laser
Cold-Atom RL
Coherence Properties
Conclusion
Noise Spectroscopy with
Cold Atoms
8/38
Cold-Atom NS
Samir VARTABI
KASHANIAN
MOT
MOT
85
Rb
Tuning Frequency
Characterizing MOT
Controlling b0
NS with Cold
Atoms
Laser Characterization
Noise at High-Frequencies
PM Model
AM Model
Models vs Data
Random laser
Cold-Atom RL
Coherence Properties
Conclusion
Introduction
Noise: drawback or advantage?
Noise measurement is critical in
– laser characterization
– squeezing
– metrology
– spectroscopy
– interferometry
In particular to investigate and characterize random laser
(specifically cold-atom random laser)
9/38
Cold-Atom NS
Samir VARTABI
KASHANIAN
MOT
MOT
85
Rb
Tuning Frequency
Characterizing MOT
Controlling b0
NS with Cold
Atoms
Laser Characterization
Noise at High-Frequencies
PM Model
AM Model
Models vs Data
Random laser
Cold-Atom RL
Coherence Properties
Conclusion
Noise Measurement Using Cold Atoms
We are interested in noise measurement in forward direction.
Schematic setup:
Fluctuations in the intensity of the transmitted light:
T. Yabuzaki et al., Phys. Rev. Lett. 67, 2453 (1991)
10/38
Cold-Atom NS
Samir VARTABI
KASHANIAN
MOT
MOT
85
Rb
Tuning Frequency
Characterizing MOT
Controlling b0
NS with Cold
Atoms
Laser Characterization
Noise at High-Frequencies
PM Model
AM Model
Models vs Data
Random laser
Cold-Atom RL
Coherence Properties
Conclusion
Noise Measurement in Forward Direction
Is it due to laser noise or atoms?
11/38
Cold-Atom NS
Samir VARTABI
KASHANIAN
MOT
MOT
85
Rb
Tuning Frequency
Characterizing MOT
Controlling b0
NS with Cold
Atoms
Laser Characterization
Noise at High-Frequencies
PM Model
AM Model
Models vs Data
Random laser
Cold-Atom RL
Coherence Properties
Conclusion
Laser Characterization
EL(t) = E0(t)ei(2πνL(t)t+ϕ(t))
Intensity noise
Phase or frequency noise
11/38
Cold-Atom NS
Samir VARTABI
KASHANIAN
MOT
MOT
85
Rb
Tuning Frequency
Characterizing MOT
Controlling b0
NS with Cold
Atoms
Laser Characterization
Noise at High-Frequencies
PM Model
AM Model
Models vs Data
Random laser
Cold-Atom RL
Coherence Properties
Conclusion
Laser Intensity Noise
Directly measuring power spectral density of the laser intensity fluctuations.
DFB laser intensity
noise PSD
12/38
Cold-Atom NS
Samir VARTABI
KASHANIAN
MOT
MOT
85
Rb
Tuning Frequency
Characterizing MOT
Controlling b0
NS with Cold
Atoms
Laser Characterization
Noise at High-Frequencies
PM Model
AM Model
Models vs Data
Random laser
Cold-Atom RL
Coherence Properties
Conclusion
Laser Intensity Noise
Intensity noise power at fn
as a function of incident
optical power
S classical noise ∝ P
2
S shot noise = 2hc
λ
η × P
We have always checked that I-noise is negligible and does not contribute in
the transmission noise measurements.
13/38
Cold-Atom NS
Samir VARTABI
KASHANIAN
MOT
MOT
85
Rb
Tuning Frequency
Characterizing MOT
Controlling b0
NS with Cold
Atoms
Laser Characterization
Noise at High-Frequencies
PM Model
AM Model
Models vs Data
Random laser
Cold-Atom RL
Coherence Properties
Conclusion
Laser Frequency Noise
SνL = ST
D
2
D = dT
dν ν=νL
near resonance:
Tc(νL) 1
1+4
νL−ν0
∆νc
2
14/38
Cold-Atom NS
Samir VARTABI
KASHANIAN
MOT
MOT
85
Rb
Tuning Frequency
Characterizing MOT
Controlling b0
NS with Cold
Atoms
Laser Characterization
Noise at High-Frequencies
PM Model
AM Model
Models vs Data
Random laser
Cold-Atom RL
Coherence Properties
Conclusion
Laser Frequency Noise
SνL = ST
D
2
D = dT
dν ν=νL
near resonance:
Tc(νL) 1
1+4
νL−ν0
∆νc
2
14/38
Cold-Atom NS
Samir VARTABI
KASHANIAN
MOT
MOT
85
Rb
Tuning Frequency
Characterizing MOT
Controlling b0
NS with Cold
Atoms
Laser Characterization
Noise at High-Frequencies
PM Model
AM Model
Models vs Data
Random laser
Cold-Atom RL
Coherence Properties
Conclusion
Estimating Laser Linewidth from F-Noise
β-separation approach
Sβ(fn) = 8 ln 2
π2 fn
G. Di Domenico et al., Appl. Opt. 49, 4801 (2010)
SνL (fn) > Sβ(fn): contributes to the Gaussian part of the optical
spectrum and determines the linewidth.
SνL (fn) < Sβ(fn): contributes to the Lorentzian wings in the optical
spectrum.
FWHM Laser linewidth
∆νL = 8 ln(2)A
15/38
Cold-Atom NS
Samir VARTABI
KASHANIAN
MOT
MOT
85
Rb
Tuning Frequency
Characterizing MOT
Controlling b0
NS with Cold
Atoms
Laser Characterization
Noise at High-Frequencies
PM Model
AM Model
Models vs Data
Random laser
Cold-Atom RL
Coherence Properties
Conclusion
Estimating Laser Linewidth from F-Noise
DFB Linewidth
∆νL = 3.4(±0.4) MHz
16/38
Cold-Atom NS
Samir VARTABI
KASHANIAN
MOT
MOT
85
Rb
Tuning Frequency
Characterizing MOT
Controlling b0
NS with Cold
Atoms
Laser Characterization
Noise at High-Frequencies
PM Model
AM Model
Models vs Data
Random laser
Cold-Atom RL
Coherence Properties
Conclusion
Laser Linewidth and Line-Shape
A typical beat-note signal consists of:
A narrow Gaussian
(determines linewidth)
Broad Lorentzian wings
with relative amplitude of ≈ 10−4
17/38
Cold-Atom NS
Samir VARTABI
KASHANIAN
MOT
MOT
85
Rb
Tuning Frequency
Characterizing MOT
Controlling b0
NS with Cold
Atoms
Laser Characterization
Noise at High-Frequencies
PM Model
AM Model
Models vs Data
Random laser
Cold-Atom RL
Coherence Properties
Conclusion
Laser Linewidth: Beat-note
Laser linewidth measurement
Assuming two Gaussian laser
fields making the beat-note:
∆νBN = ∆ν2
L,1 + ∆ν2
L,2
Three lasers are needed.
DFB, TOPTICA, SYRTE
DFB + TOPTICA
∆νBN = 3.0 MHz
Laser Measured laser linewidth Expected value
TOPTICA 0.2(+1.5/ − 0.2) MHz < 500 kHz
SYRTE 0.8 MHz a few 100 kHz
DFB 3.0(±0.2) MHz 3 MHz
18/38
Cold-Atom NS
Samir VARTABI
KASHANIAN
MOT
MOT
85
Rb
Tuning Frequency
Characterizing MOT
Controlling b0
NS with Cold
Atoms
Laser Characterization
Noise at High-Frequencies
PM Model
AM Model
Models vs Data
Random laser
Cold-Atom RL
Coherence Properties
Conclusion
F-Noise Measurement via Atomic Resonance
Similar to FP cavity:
Atomic resonance considered as frequency discriminator.
Schematic setup:
Transmission spectra:
T(δ) = IT
Ii
= exp − b0
1+4 δ2
Γ2
19/38
Cold-Atom NS
Samir VARTABI
KASHANIAN
MOT
MOT
85
Rb
Tuning Frequency
Characterizing MOT
Controlling b0
NS with Cold
Atoms
Laser Characterization
Noise at High-Frequencies
PM Model
AM Model
Models vs Data
Random laser
Cold-Atom RL
Coherence Properties
Conclusion
F-Noise Measurement via Atomic Resonance
ST = dT
dδ
2
SνL = D2
SνL
Frequency noise:
20/38
Cold-Atom NS
Samir VARTABI
KASHANIAN
MOT
MOT
85
Rb
Tuning Frequency
Characterizing MOT
Controlling b0
NS with Cold
Atoms
Laser Characterization
Noise at High-Frequencies
PM Model
AM Model
Models vs Data
Random laser
Cold-Atom RL
Coherence Properties
Conclusion
Summary
Technique Linewidth ∆νL (MHz)
Beat-Note 3 ± 0.2
deconvolution of T(δ) 3.6
Frequency Noise Spectrum
Fabry-Perot 3.4 ± 0.4
b0 = 6.5 3.7 ± 0.5
b0 = 19 3.3 ± 0.5
b0 = 51.5 3.7 ± 0.5
Good agreement
The contribution of induced noise by the involved laser, well
understood.
21/38
Cold-Atom NS
Samir VARTABI
KASHANIAN
MOT
MOT
85
Rb
Tuning Frequency
Characterizing MOT
Controlling b0
NS with Cold
Atoms
Laser Characterization
Noise at High-Frequencies
PM Model
AM Model
Models vs Data
Random laser
Cold-Atom RL
Coherence Properties
Conclusion
Noise Spectroscopy with Cold Atoms
We consider a career frequency as the center of the laser optical field,
with multiple sidebands.
Sidebands in the optical spectrum can be modeled based on phase
and amplitude modulations of the electric field.
22/38
Cold-Atom NS
Samir VARTABI
KASHANIAN
MOT
MOT
85
Rb
Tuning Frequency
Characterizing MOT
Controlling b0
NS with Cold
Atoms
Laser Characterization
Noise at High-Frequencies
PM Model
AM Model
Models vs Data
Random laser
Cold-Atom RL
Coherence Properties
Conclusion
Noise Spectroscopy with Cold Atoms
We consider a carrier frequency at the center of the laser optical field,
with multiple sidebands.
Sidebands in the optical spectrum can be modeled based on phase
and amplitude modulations of the electric field.
22/38
Cold-Atom NS
Samir VARTABI
KASHANIAN
MOT
MOT
85
Rb
Tuning Frequency
Characterizing MOT
Controlling b0
NS with Cold
Atoms
Laser Characterization
Noise at High-Frequencies
PM Model
AM Model
Models vs Data
Random laser
Cold-Atom RL
Coherence Properties
Conclusion
Phase Modulation Model
Phase modulation of the E-field:
E(t) = E0ei[2πνLt+ζ sin(2πfnt)]
assumption ζ 1:
E(t) E0 ei2πνLt
+ ζ
2
ei2π(νL+fn)t
− ζ
2
ei2π(νL−fn)t
23/38
Cold-Atom NS
Samir VARTABI
KASHANIAN
MOT
MOT
85
Rb
Tuning Frequency
Characterizing MOT
Controlling b0
NS with Cold
Atoms
Laser Characterization
Noise at High-Frequencies
PM Model
AM Model
Models vs Data
Random laser
Cold-Atom RL
Coherence Properties
Conclusion
Phase Modulation Model
Beer-Lambert law
Et = Ei eiγ γ = φ + iα/2
Absorption
Phase shift
Optical thickness
α(δ) = b(δ)
φ(δ) = −b(δ) δ
Γ
b(δ) =
b0
1+4( δ
Γ
)2
24/38
Cold-Atom NS
Samir VARTABI
KASHANIAN
MOT
MOT
85
Rb
Tuning Frequency
Characterizing MOT
Controlling b0
NS with Cold
Atoms
Laser Characterization
Noise at High-Frequencies
PM Model
AM Model
Models vs Data
Random laser
Cold-Atom RL
Coherence Properties
Conclusion
Phase Modulation Model
Assuming a white f-noise for our DFB laser at frequencies
higher than 1 MHz. Thus for fn > 1 MHz the sidebands have
constant amplitude.
S. V. Kashanian et al., submitted to PRA.
25/38
Cold-Atom NS
Samir VARTABI
KASHANIAN
MOT
MOT
85
Rb
Tuning Frequency
Characterizing MOT
Controlling b0
NS with Cold
Atoms
Laser Characterization
Noise at High-Frequencies
PM Model
AM Model
Models vs Data
Random laser
Cold-Atom RL
Coherence Properties
Conclusion
Amplitude Modulation Model
Amplitude modulation of the E-field:
E(t) = E0 (1 + ε cos (2πfnt)) ei2πνLt
E(t) = E0ei2πνLt +
E0ε
2
ei2π(νL+fn)t + ei2π(νL−fn)t
assumption ε 1:
I(t) = I0 (1 + 2ε cos(2πνnt))
26/38
Cold-Atom NS
Samir VARTABI
KASHANIAN
MOT
MOT
85
Rb
Tuning Frequency
Characterizing MOT
Controlling b0
NS with Cold
Atoms
Laser Characterization
Noise at High-Frequencies
PM Model
AM Model
Models vs Data
Random laser
Cold-Atom RL
Coherence Properties
Conclusion
Amplitude Modulation Model
Phase Modulation model has agreement with our
experimental data
27/38
Cold-Atom NS
Samir VARTABI
KASHANIAN
MOT
MOT
85
Rb
Tuning Frequency
Characterizing MOT
Controlling b0
NS with Cold
Atoms
Laser Characterization
Noise at High-Frequencies
PM Model
AM Model
Models vs Data
Random laser
Cold-Atom RL
Coherence Properties
Conclusion
Amplitude Modulation Model
Phase Modulation model agrees well with our
experimental data
27/38
Cold-Atom NS
Samir VARTABI
KASHANIAN
MOT
MOT
85
Rb
Tuning Frequency
Characterizing MOT
Controlling b0
NS with Cold
Atoms
Laser Characterization
Noise at High-Frequencies
PM Model
AM Model
Models vs Data
Random laser
Cold-Atom RL
Coherence Properties
Conclusion
Experimental Results Compared with Models
Bumps position:
S. V. Kashanian et al., submitted to PRA.
28/38
Cold-Atom NS
Samir VARTABI
KASHANIAN
MOT
MOT
85
Rb
Tuning Frequency
Characterizing MOT
Controlling b0
NS with Cold
Atoms
Laser Characterization
Noise at High-Frequencies
PM Model
AM Model
Models vs Data
Random laser
Cold-Atom RL
Coherence Properties
Conclusion
Experimental Results Compared with Models
An intuitive picture:
29/38
Cold-Atom NS
Samir VARTABI
KASHANIAN
MOT
MOT
85
Rb
Tuning Frequency
Characterizing MOT
Controlling b0
NS with Cold
Atoms
Laser Characterization
Noise at High-Frequencies
PM Model
AM Model
Models vs Data
Random laser
Cold-Atom RL
Coherence Properties
Conclusion
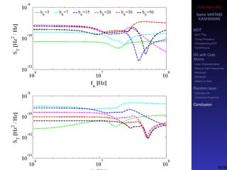
Experimental Results Compared with Models
ST (fc) vs b0
δ = 3Γ
δ = 3Γ
30/38
Cold-Atom NS
Samir VARTABI
KASHANIAN
MOT
MOT
85
Rb
Tuning Frequency
Characterizing MOT
Controlling b0
NS with Cold
Atoms
Laser Characterization
Noise at High-Frequencies
PM Model
AM Model
Models vs Data
Random laser
Cold-Atom RL
Coherence Properties
Conclusion
Summary
Intensity noise of a transmitted beam through a cloud of cold
atoms was understood.
In this configuration, frequency noise of a laser can be converted
to intensity fluctuations due to the atomic resonance.
At higher frequency, transmitted noise spectrum also provides
information about the atomic cloud.
This knowledge can be applied in other experiments, i.e.
characterization of the cold-atom RL.
31/38
Cold-Atom NS
Samir VARTABI
KASHANIAN
MOT
MOT
85
Rb
Tuning Frequency
Characterizing MOT
Controlling b0
NS with Cold
Atoms
Laser Characterization
Noise at High-Frequencies
PM Model
AM Model
Models vs Data
Random laser
Cold-Atom RL
Coherence Properties
Conclusion
Prospects:
Diffusive wave spectroscopy (DWS)
32/38
Cold-Atom NS
Samir VARTABI
KASHANIAN
MOT
MOT
85
Rb
Tuning Frequency
Characterizing MOT
Controlling b0
NS with Cold
Atoms
Laser Characterization
Noise at High-Frequencies
PM Model
AM Model
Models vs Data
Random laser
Cold-Atom RL
Coherence Properties
Conclusion
Random Laser
32/38
Cold-Atom NS
Samir VARTABI
KASHANIAN
MOT
MOT
85
Rb
Tuning Frequency
Characterizing MOT
Controlling b0
NS with Cold
Atoms
Laser Characterization
Noise at High-Frequencies
PM Model
AM Model
Models vs Data
Random laser
Cold-Atom RL
Coherence Properties
Conclusion
Random Laser (RL)
Random laser (RL) consists of two elements:
An amplifying material.
Multiple scattering (MS).
D. Wiersma, Nature 406, 132–135 (2000)
RL has been observed in different media such as semiconductor pow-
ders, thin films, laser dye etc.
RL in the cold Rb atomic vapor has been observed at INLN.
Q. Baudouin et al., Nat. Phys. 9, 357–360 (2013)
33/38
Cold-Atom NS
Samir VARTABI
KASHANIAN
MOT
MOT
85
Rb
Tuning Frequency
Characterizing MOT
Controlling b0
NS with Cold
Atoms
Laser Characterization
Noise at High-Frequencies
PM Model
AM Model
Models vs Data
Random laser
Cold-Atom RL
Coherence Properties
Conclusion
Cold-Atom RL
How does it work with cold 85
Rb atoms?
Q. Baudouin et al., Nat. Phys. 9, 357–360 (2013)
34/38
Cold-Atom NS
Samir VARTABI
KASHANIAN
MOT
MOT
85
Rb
Tuning Frequency
Characterizing MOT
Controlling b0
NS with Cold
Atoms
Laser Characterization
Noise at High-Frequencies
PM Model
AM Model
Models vs Data
Random laser
Cold-Atom RL
Coherence Properties
Conclusion
Cold-Atom RL
How does it work with cold 85
Rb atoms?
Q. Baudouin et al., Nat. Phys. 9, 357–360 (2013)
34/38
Cold-Atom NS
Samir VARTABI
KASHANIAN
MOT
MOT
85
Rb
Tuning Frequency
Characterizing MOT
Controlling b0
NS with Cold
Atoms
Laser Characterization
Noise at High-Frequencies
PM Model
AM Model
Models vs Data
Random laser
Cold-Atom RL
Coherence Properties
Conclusion
Cold-Atom RL
How does it work with cold 85
Rb atoms?
Q. Baudouin et al., Nat. Phys. 9, 357–360 (2013)
34/38
Cold-Atom NS
Samir VARTABI
KASHANIAN
MOT
MOT
85
Rb
Tuning Frequency
Characterizing MOT
Controlling b0
NS with Cold
Atoms
Laser Characterization
Noise at High-Frequencies
PM Model
AM Model
Models vs Data
Random laser
Cold-Atom RL
Coherence Properties
Conclusion
Cold-Atom RL
Observation of cold 85
Rb RL
Q. Baudouin et al., Nat. Phys. 9, 357–360 (2013)
More direct observation?
Difficult to resolve spatially and spectrally.
Coherence properties of light can be used to investigate RL in a more
direct way.
35/38
Cold-Atom NS
Samir VARTABI
KASHANIAN
MOT
MOT
85
Rb
Tuning Frequency
Characterizing MOT
Controlling b0
NS with Cold
Atoms
Laser Characterization
Noise at High-Frequencies
PM Model
AM Model
Models vs Data
Random laser
Cold-Atom RL
Coherence Properties
Conclusion
Coherence Properties of RL
Coherence properties of RL have been extensively studied
Opt. Lett. 25 923 (2000) Phys. Rev. A 65 043809 (2002)
Phys. Rev. E 65 046603 (2002) Phys. Rev. Lett. 93 013602 (2004)
JOSA B 24 31 (2007) Opt. Lett. 36 3404 (2011)
J. Opt. 16, 105008 (2014) J. Lumin. 169 472 (2016)
H. Cao et al., Phys. Rev. Lett. 86, 4524 (2001)
36/38
Cold-Atom NS
Samir VARTABI
KASHANIAN
MOT
MOT
85
Rb
Tuning Frequency
Characterizing MOT
Controlling b0
NS with Cold
Atoms
Laser Characterization
Noise at High-Frequencies
PM Model
AM Model
Models vs Data
Random laser
Cold-Atom RL
Coherence Properties
Conclusion
Prospects:
Redo the cold-atom RL experiment:
– One possibility is to study the noise of the fluorescence
and its spectral features.
– Another possibility, one can use heterodyne detection
and investigate the RL spectrum.
– Temporal correlation measurement also could be
interesting.
37/38
Cold-Atom NS
Samir VARTABI
KASHANIAN
MOT
MOT
85
Rb
Tuning Frequency
Characterizing MOT
Controlling b0
NS with Cold
Atoms
Laser Characterization
Noise at High-Frequencies
PM Model
AM Model
Models vs Data
Random laser
Cold-Atom RL
Coherence Properties
Conclusion
Conclusion:
We have large MOT (b0 ∼ 100)
The noise of a transmitted laser through
the cold atoms was understood base on
a simple model.
At low frequencies it characterizes the
laser.
At high frequencies it characterizes the
atoms.
Cold-atom RL has been already ob-
served.
A more direct observation is desired.
Possibly using its coherence properties
and performing noise measurement.
38/38
Thanks for your attention
BACKUP
Cold-Atom NS
Samir VARTABI
KASHANIAN
MOT
MOT
85
Rb
Tuning Frequency
Characterizing MOT
Controlling b0
NS with Cold
Atoms
Laser Characterization
Noise at High-Frequencies
PM Model
AM Model
Models vs Data
Random laser
Cold-Atom RL
Coherence Properties
Conclusion
38/38
Cold-Atom NS
Samir VARTABI
KASHANIAN
MOT
MOT
85
Rb
Tuning Frequency
Characterizing MOT
Controlling b0
NS with Cold
Atoms
Laser Characterization
Noise at High-Frequencies
PM Model
AM Model
Models vs Data
Random laser
Cold-Atom RL
Coherence Properties
Conclusion
Laser Linewidth: Deconvolution of a
Transmission Spectrum
T(δ) = S(ν) exp −
b0
1+4( δ+ν
Γ
)2
dν
Transmission of a probe through a MOT with b0 0.3.
Convolution fit → ∆νL = 3.6 MHz.
38/38
Cold-Atom NS
Samir VARTABI
KASHANIAN
MOT
MOT
85
Rb
Tuning Frequency
Characterizing MOT
Controlling b0
NS with Cold
Atoms
Laser Characterization
Noise at High-Frequencies
PM Model
AM Model
Models vs Data
Random laser
Cold-Atom RL
Coherence Properties
Conclusion
Laser Frequency Noise vs Laser Line-Shape
Link between frequency noise and optical spectrum
SE (ν) = 2 ∞
−∞ E2
0 ei2π(νL−ν)τ exp − 2 ∞
0 SνL (fn)
sin2
(πfnτ)
f2
n
dfn dτ
special case of white noise SνL (fn) → h0 over a bandwidth B
B h0 Lorentzian
with a FWHM linewidth ∆νL = πh0.
B h0 Gaussian with a FWHM linewidth
∆νL = 8h0B ln 2.
D. Elliott et al., Phys. Rev. A 26, 12 (1982)
38/38
Cold-Atom NS
Samir VARTABI
KASHANIAN
MOT
MOT
85
Rb
Tuning Frequency
Characterizing MOT
Controlling b0
NS with Cold
Atoms
Laser Characterization
Noise at High-Frequencies
PM Model
AM Model
Models vs Data
Random laser
Cold-Atom RL
Coherence Properties
Conclusion
F-Noise Measurement via Atomic Resonance
Time sequence
38/38
Cold-Atom NS
Samir VARTABI
KASHANIAN
MOT
MOT
85
Rb
Tuning Frequency
Characterizing MOT
Controlling b0
NS with Cold
Atoms
Laser Characterization
Noise at High-Frequencies
PM Model
AM Model
Models vs Data
Random laser
Cold-Atom RL
Coherence Properties
Conclusion
38/38
Cold-Atom NS
Samir VARTABI
KASHANIAN
MOT
MOT
85
Rb
Tuning Frequency
Characterizing MOT
Controlling b0
NS with Cold
Atoms
Laser Characterization
Noise at High-Frequencies
PM Model
AM Model
Models vs Data
Random laser
Cold-Atom RL
Coherence Properties
Conclusion
Experimental Results Compared with Models
ST (fc) vs δ/Γ
38/38
Cold-Atom NS
Samir VARTABI
KASHANIAN
MOT
MOT
85
Rb
Tuning Frequency
Characterizing MOT
Controlling b0
NS with Cold
Atoms
Laser Characterization
Noise at High-Frequencies
PM Model
AM Model
Models vs Data
Random laser
Cold-Atom RL
Coherence Properties
Conclusion
38/38
Cold-Atom NS
Samir VARTABI
KASHANIAN
MOT
MOT
85
Rb
Tuning Frequency
Characterizing MOT
Controlling b0
NS with Cold
Atoms
Laser Characterization
Noise at High-Frequencies
PM Model
AM Model
Models vs Data
Random laser
Cold-Atom RL
Coherence Properties
Conclusion
38/38
Cold-Atom NS
Samir VARTABI
KASHANIAN
MOT
MOT
85
Rb
Tuning Frequency
Characterizing MOT
Controlling b0
NS with Cold
Atoms
Laser Characterization
Noise at High-Frequencies
PM Model
AM Model
Models vs Data
Random laser
Cold-Atom RL
Coherence Properties
Conclusion
38/38
Cold-Atom NS
Samir VARTABI
KASHANIAN
MOT
MOT
85
Rb
Tuning Frequency
Characterizing MOT
Controlling b0
NS with Cold
Atoms
Laser Characterization
Noise at High-Frequencies
PM Model
AM Model
Models vs Data
Random laser
Cold-Atom RL
Coherence Properties
Conclusion
38/38
Cold-Atom NS
Samir VARTABI
KASHANIAN
MOT
MOT
85
Rb
Tuning Frequency
Characterizing MOT
Controlling b0
NS with Cold
Atoms
Laser Characterization
Noise at High-Frequencies
PM Model
AM Model
Models vs Data
Random laser
Cold-Atom RL
Coherence Properties
Conclusion
38/38
Cold-Atom NS
Samir VARTABI
KASHANIAN
MOT
MOT
85
Rb
Tuning Frequency
Characterizing MOT
Controlling b0
NS with Cold
Atoms
Laser Characterization
Noise at High-Frequencies
PM Model
AM Model
Models vs Data
Random laser
Cold-Atom RL
Coherence Properties
Conclusion
Experimental Results Compared with Models
Noise power at a given frequency as a function of δ and b0:
PM
38/38
Cold-Atom NS
Samir VARTABI
KASHANIAN
MOT
MOT
85
Rb
Tuning Frequency
Characterizing MOT
Controlling b0
NS with Cold
Atoms
Laser Characterization
Noise at High-Frequencies
PM Model
AM Model
Models vs Data
Random laser
Cold-Atom RL
Coherence Properties
Conclusion
Experimental Results Compared with Models
Noise power at a given frequency as a function of δ and b0:
AM
38/38
Cold-Atom NS
Samir VARTABI
KASHANIAN
MOT
MOT
85
Rb
Tuning Frequency
Characterizing MOT
Controlling b0
NS with Cold
Atoms
Laser Characterization
Noise at High-Frequencies
PM Model
AM Model
Models vs Data
Random laser
Cold-Atom RL
Coherence Properties
Conclusion
Noise Spectroscopy with Cold Atoms
38/38
Cold-Atom NS
Samir VARTABI
KASHANIAN
MOT
MOT
85
Rb
Tuning Frequency
Characterizing MOT
Controlling b0
NS with Cold
Atoms
Laser Characterization
Noise at High-Frequencies
PM Model
AM Model
Models vs Data
Random laser
Cold-Atom RL
Coherence Properties
Conclusion
list of conference and presentations.
38/38

SMR_defence_sep3

  • 1.
    Noise Spectroscopy withLarge Clouds of Cold Atoms Samir VARTABI KASHANIAN Supervisors: Robin KAISER Michel LINTZ September 16, 2016
  • 2.
    Introduction Random Laser (Future) WhenI started my PhD, observation of cold- atom random laser had been just published. Q. Baudouin et al., Nat. Phys. 9, 357–360 (2013) Open question: Search for a new signature. Experimental Setup (Beginning) Upgrading and improving the optical setup. Noise (Main Work) Noise and coherence measurements: candidates for new observa- tions. Understanding and analyzing noise? The team had no experience in this field.
  • 3.
    Outline Cold-Atom Experiment Experimental setup Samplecharacterization Noise Spectroscopy with Cold Atoms Noise measurement with cold atoms in forward direction. Model vs Data Random Laser (RL) Cold-Atom random laser Coherence properties of random laser
  • 4.
    Cold-Atom NS Samir VARTABI KASHANIAN MOT MOT 85 Rb TuningFrequency Characterizing MOT Controlling b0 NS with Cold Atoms Laser Characterization Noise at High-Frequencies PM Model AM Model Models vs Data Random laser Cold-Atom RL Coherence Properties Conclusion Cold-Atom Experiment at INLN 1/38
  • 5.
    Cold-Atom NS Samir VARTABI KASHANIAN MOT MOT 85 Rb TuningFrequency Characterizing MOT Controlling b0 NS with Cold Atoms Laser Characterization Noise at High-Frequencies PM Model AM Model Models vs Data Random laser Cold-Atom RL Coherence Properties Conclusion Magneto Optical Trap (MOT) For cold-atom RL experiment, optically thick atomic clouds are needed. What is needed: → Large cell Large waist size beams High laser power (amplifier) Tuning, stabilizing and scanning the laser frequency (offset lock) 2/38
  • 6.
    Cold-Atom NS Samir VARTABI KASHANIAN MOT MOT 85 Rb TuningFrequency Characterizing MOT Controlling b0 NS with Cold Atoms Laser Characterization Noise at High-Frequencies PM Model AM Model Models vs Data Random laser Cold-Atom RL Coherence Properties Conclusion Offset Lock Offset lock technique provides an intensity independent and large range of frequency span. This technique is very convenient for RL experiment. 3/38
  • 7.
    Cold-Atom NS Samir VARTABI KASHANIAN MOT MOT 85 Rb TuningFrequency Characterizing MOT Controlling b0 NS with Cold Atoms Laser Characterization Noise at High-Frequencies PM Model AM Model Models vs Data Random laser Cold-Atom RL Coherence Properties Conclusion Offset Lock Offset lock technique provides an intensity independent and large range of frequency span. This technique is very convenient for RL experiment. 3/38
  • 8.
    Cold-Atom NS Samir VARTABI KASHANIAN MOT MOT 85 Rb TuningFrequency Characterizing MOT Controlling b0 NS with Cold Atoms Laser Characterization Noise at High-Frequencies PM Model AM Model Models vs Data Random laser Cold-Atom RL Coherence Properties Conclusion Characterizing MOT Transmission Spectrum: on-resonance optical thickness b0 T(δ) = e−b(δ) b(δ) = b0 1+4(δ Γ )2 4/38
  • 9.
    Cold-Atom NS Samir VARTABI KASHANIAN MOT MOT 85 Rb TuningFrequency Characterizing MOT Controlling b0 NS with Cold Atoms Laser Characterization Noise at High-Frequencies PM Model AM Model Models vs Data Random laser Cold-Atom RL Coherence Properties Conclusion Characterizing MOT Absorption Imaging: cloud size σ optical thickness b(δ) number of atoms Nat density 5/38
  • 10.
    Cold-Atom NS Samir VARTABI KASHANIAN MOT MOT 85 Rb TuningFrequency Characterizing MOT Controlling b0 NS with Cold Atoms Laser Characterization Noise at High-Frequencies PM Model AM Model Models vs Data Random laser Cold-Atom RL Coherence Properties Conclusion Enhancing Optical Thickness Dark MOT (DMOT): Temporal DMOT to compress MOT. By driving population into a dark state and reducing repulsive force. b0 → 150 δimg = 0Γ Irep = 2% t = 35 ms δimg = −3.5Γ 6/38
  • 11.
    Cold-Atom NS Samir VARTABI KASHANIAN MOT MOT 85 Rb TuningFrequency Characterizing MOT Controlling b0 NS with Cold Atoms Laser Characterization Noise at High-Frequencies PM Model AM Model Models vs Data Random laser Cold-Atom RL Coherence Properties Conclusion Modifying Optical Thickness MOT is switched off and thus ballistically expands, leading to lower density and b0 with the same Nat . Time Of Flight (TOF): T 100 µK b0 150 - 10 7/38
  • 12.
    Cold-Atom NS Samir VARTABI KASHANIAN MOT MOT 85 Rb TuningFrequency Characterizing MOT Controlling b0 NS with Cold Atoms Laser Characterization Noise at High-Frequencies PM Model AM Model Models vs Data Random laser Cold-Atom RL Coherence Properties Conclusion Summary MOT size 1 mm max b0 150 Temperature 100 µK Number of trapped atoms 1010 Atomic density 5 × 1011 cm−3 8/38
  • 13.
    Cold-Atom NS Samir VARTABI KASHANIAN MOT MOT 85 Rb TuningFrequency Characterizing MOT Controlling b0 NS with Cold Atoms Laser Characterization Noise at High-Frequencies PM Model AM Model Models vs Data Random laser Cold-Atom RL Coherence Properties Conclusion Noise Spectroscopy with Cold Atoms 8/38
  • 14.
    Cold-Atom NS Samir VARTABI KASHANIAN MOT MOT 85 Rb TuningFrequency Characterizing MOT Controlling b0 NS with Cold Atoms Laser Characterization Noise at High-Frequencies PM Model AM Model Models vs Data Random laser Cold-Atom RL Coherence Properties Conclusion Introduction Noise: drawback or advantage? Noise measurement is critical in – laser characterization – squeezing – metrology – spectroscopy – interferometry In particular to investigate and characterize random laser (specifically cold-atom random laser) 9/38
  • 15.
    Cold-Atom NS Samir VARTABI KASHANIAN MOT MOT 85 Rb TuningFrequency Characterizing MOT Controlling b0 NS with Cold Atoms Laser Characterization Noise at High-Frequencies PM Model AM Model Models vs Data Random laser Cold-Atom RL Coherence Properties Conclusion Noise Measurement Using Cold Atoms We are interested in noise measurement in forward direction. Schematic setup: Fluctuations in the intensity of the transmitted light: T. Yabuzaki et al., Phys. Rev. Lett. 67, 2453 (1991) 10/38
  • 16.
    Cold-Atom NS Samir VARTABI KASHANIAN MOT MOT 85 Rb TuningFrequency Characterizing MOT Controlling b0 NS with Cold Atoms Laser Characterization Noise at High-Frequencies PM Model AM Model Models vs Data Random laser Cold-Atom RL Coherence Properties Conclusion Noise Measurement in Forward Direction Is it due to laser noise or atoms? 11/38
  • 17.
    Cold-Atom NS Samir VARTABI KASHANIAN MOT MOT 85 Rb TuningFrequency Characterizing MOT Controlling b0 NS with Cold Atoms Laser Characterization Noise at High-Frequencies PM Model AM Model Models vs Data Random laser Cold-Atom RL Coherence Properties Conclusion Laser Characterization EL(t) = E0(t)ei(2πνL(t)t+ϕ(t)) Intensity noise Phase or frequency noise 11/38
  • 18.
    Cold-Atom NS Samir VARTABI KASHANIAN MOT MOT 85 Rb TuningFrequency Characterizing MOT Controlling b0 NS with Cold Atoms Laser Characterization Noise at High-Frequencies PM Model AM Model Models vs Data Random laser Cold-Atom RL Coherence Properties Conclusion Laser Intensity Noise Directly measuring power spectral density of the laser intensity fluctuations. DFB laser intensity noise PSD 12/38
  • 19.
    Cold-Atom NS Samir VARTABI KASHANIAN MOT MOT 85 Rb TuningFrequency Characterizing MOT Controlling b0 NS with Cold Atoms Laser Characterization Noise at High-Frequencies PM Model AM Model Models vs Data Random laser Cold-Atom RL Coherence Properties Conclusion Laser Intensity Noise Intensity noise power at fn as a function of incident optical power S classical noise ∝ P 2 S shot noise = 2hc λ η × P We have always checked that I-noise is negligible and does not contribute in the transmission noise measurements. 13/38
  • 20.
    Cold-Atom NS Samir VARTABI KASHANIAN MOT MOT 85 Rb TuningFrequency Characterizing MOT Controlling b0 NS with Cold Atoms Laser Characterization Noise at High-Frequencies PM Model AM Model Models vs Data Random laser Cold-Atom RL Coherence Properties Conclusion Laser Frequency Noise SνL = ST D 2 D = dT dν ν=νL near resonance: Tc(νL) 1 1+4 νL−ν0 ∆νc 2 14/38
  • 21.
    Cold-Atom NS Samir VARTABI KASHANIAN MOT MOT 85 Rb TuningFrequency Characterizing MOT Controlling b0 NS with Cold Atoms Laser Characterization Noise at High-Frequencies PM Model AM Model Models vs Data Random laser Cold-Atom RL Coherence Properties Conclusion Laser Frequency Noise SνL = ST D 2 D = dT dν ν=νL near resonance: Tc(νL) 1 1+4 νL−ν0 ∆νc 2 14/38
  • 22.
    Cold-Atom NS Samir VARTABI KASHANIAN MOT MOT 85 Rb TuningFrequency Characterizing MOT Controlling b0 NS with Cold Atoms Laser Characterization Noise at High-Frequencies PM Model AM Model Models vs Data Random laser Cold-Atom RL Coherence Properties Conclusion Estimating Laser Linewidth from F-Noise β-separation approach Sβ(fn) = 8 ln 2 π2 fn G. Di Domenico et al., Appl. Opt. 49, 4801 (2010) SνL (fn) > Sβ(fn): contributes to the Gaussian part of the optical spectrum and determines the linewidth. SνL (fn) < Sβ(fn): contributes to the Lorentzian wings in the optical spectrum. FWHM Laser linewidth ∆νL = 8 ln(2)A 15/38
  • 23.
    Cold-Atom NS Samir VARTABI KASHANIAN MOT MOT 85 Rb TuningFrequency Characterizing MOT Controlling b0 NS with Cold Atoms Laser Characterization Noise at High-Frequencies PM Model AM Model Models vs Data Random laser Cold-Atom RL Coherence Properties Conclusion Estimating Laser Linewidth from F-Noise DFB Linewidth ∆νL = 3.4(±0.4) MHz 16/38
  • 24.
    Cold-Atom NS Samir VARTABI KASHANIAN MOT MOT 85 Rb TuningFrequency Characterizing MOT Controlling b0 NS with Cold Atoms Laser Characterization Noise at High-Frequencies PM Model AM Model Models vs Data Random laser Cold-Atom RL Coherence Properties Conclusion Laser Linewidth and Line-Shape A typical beat-note signal consists of: A narrow Gaussian (determines linewidth) Broad Lorentzian wings with relative amplitude of ≈ 10−4 17/38
  • 25.
    Cold-Atom NS Samir VARTABI KASHANIAN MOT MOT 85 Rb TuningFrequency Characterizing MOT Controlling b0 NS with Cold Atoms Laser Characterization Noise at High-Frequencies PM Model AM Model Models vs Data Random laser Cold-Atom RL Coherence Properties Conclusion Laser Linewidth: Beat-note Laser linewidth measurement Assuming two Gaussian laser fields making the beat-note: ∆νBN = ∆ν2 L,1 + ∆ν2 L,2 Three lasers are needed. DFB, TOPTICA, SYRTE DFB + TOPTICA ∆νBN = 3.0 MHz Laser Measured laser linewidth Expected value TOPTICA 0.2(+1.5/ − 0.2) MHz < 500 kHz SYRTE 0.8 MHz a few 100 kHz DFB 3.0(±0.2) MHz 3 MHz 18/38
  • 26.
    Cold-Atom NS Samir VARTABI KASHANIAN MOT MOT 85 Rb TuningFrequency Characterizing MOT Controlling b0 NS with Cold Atoms Laser Characterization Noise at High-Frequencies PM Model AM Model Models vs Data Random laser Cold-Atom RL Coherence Properties Conclusion F-Noise Measurement via Atomic Resonance Similar to FP cavity: Atomic resonance considered as frequency discriminator. Schematic setup: Transmission spectra: T(δ) = IT Ii = exp − b0 1+4 δ2 Γ2 19/38
  • 27.
    Cold-Atom NS Samir VARTABI KASHANIAN MOT MOT 85 Rb TuningFrequency Characterizing MOT Controlling b0 NS with Cold Atoms Laser Characterization Noise at High-Frequencies PM Model AM Model Models vs Data Random laser Cold-Atom RL Coherence Properties Conclusion F-Noise Measurement via Atomic Resonance ST = dT dδ 2 SνL = D2 SνL Frequency noise: 20/38
  • 28.
    Cold-Atom NS Samir VARTABI KASHANIAN MOT MOT 85 Rb TuningFrequency Characterizing MOT Controlling b0 NS with Cold Atoms Laser Characterization Noise at High-Frequencies PM Model AM Model Models vs Data Random laser Cold-Atom RL Coherence Properties Conclusion Summary Technique Linewidth ∆νL (MHz) Beat-Note 3 ± 0.2 deconvolution of T(δ) 3.6 Frequency Noise Spectrum Fabry-Perot 3.4 ± 0.4 b0 = 6.5 3.7 ± 0.5 b0 = 19 3.3 ± 0.5 b0 = 51.5 3.7 ± 0.5 Good agreement The contribution of induced noise by the involved laser, well understood. 21/38
  • 29.
    Cold-Atom NS Samir VARTABI KASHANIAN MOT MOT 85 Rb TuningFrequency Characterizing MOT Controlling b0 NS with Cold Atoms Laser Characterization Noise at High-Frequencies PM Model AM Model Models vs Data Random laser Cold-Atom RL Coherence Properties Conclusion Noise Spectroscopy with Cold Atoms We consider a career frequency as the center of the laser optical field, with multiple sidebands. Sidebands in the optical spectrum can be modeled based on phase and amplitude modulations of the electric field. 22/38
  • 30.
    Cold-Atom NS Samir VARTABI KASHANIAN MOT MOT 85 Rb TuningFrequency Characterizing MOT Controlling b0 NS with Cold Atoms Laser Characterization Noise at High-Frequencies PM Model AM Model Models vs Data Random laser Cold-Atom RL Coherence Properties Conclusion Noise Spectroscopy with Cold Atoms We consider a carrier frequency at the center of the laser optical field, with multiple sidebands. Sidebands in the optical spectrum can be modeled based on phase and amplitude modulations of the electric field. 22/38
  • 31.
    Cold-Atom NS Samir VARTABI KASHANIAN MOT MOT 85 Rb TuningFrequency Characterizing MOT Controlling b0 NS with Cold Atoms Laser Characterization Noise at High-Frequencies PM Model AM Model Models vs Data Random laser Cold-Atom RL Coherence Properties Conclusion Phase Modulation Model Phase modulation of the E-field: E(t) = E0ei[2πνLt+ζ sin(2πfnt)] assumption ζ 1: E(t) E0 ei2πνLt + ζ 2 ei2π(νL+fn)t − ζ 2 ei2π(νL−fn)t 23/38
  • 32.
    Cold-Atom NS Samir VARTABI KASHANIAN MOT MOT 85 Rb TuningFrequency Characterizing MOT Controlling b0 NS with Cold Atoms Laser Characterization Noise at High-Frequencies PM Model AM Model Models vs Data Random laser Cold-Atom RL Coherence Properties Conclusion Phase Modulation Model Beer-Lambert law Et = Ei eiγ γ = φ + iα/2 Absorption Phase shift Optical thickness α(δ) = b(δ) φ(δ) = −b(δ) δ Γ b(δ) = b0 1+4( δ Γ )2 24/38
  • 33.
    Cold-Atom NS Samir VARTABI KASHANIAN MOT MOT 85 Rb TuningFrequency Characterizing MOT Controlling b0 NS with Cold Atoms Laser Characterization Noise at High-Frequencies PM Model AM Model Models vs Data Random laser Cold-Atom RL Coherence Properties Conclusion Phase Modulation Model Assuming a white f-noise for our DFB laser at frequencies higher than 1 MHz. Thus for fn > 1 MHz the sidebands have constant amplitude. S. V. Kashanian et al., submitted to PRA. 25/38
  • 34.
    Cold-Atom NS Samir VARTABI KASHANIAN MOT MOT 85 Rb TuningFrequency Characterizing MOT Controlling b0 NS with Cold Atoms Laser Characterization Noise at High-Frequencies PM Model AM Model Models vs Data Random laser Cold-Atom RL Coherence Properties Conclusion Amplitude Modulation Model Amplitude modulation of the E-field: E(t) = E0 (1 + ε cos (2πfnt)) ei2πνLt E(t) = E0ei2πνLt + E0ε 2 ei2π(νL+fn)t + ei2π(νL−fn)t assumption ε 1: I(t) = I0 (1 + 2ε cos(2πνnt)) 26/38
  • 35.
    Cold-Atom NS Samir VARTABI KASHANIAN MOT MOT 85 Rb TuningFrequency Characterizing MOT Controlling b0 NS with Cold Atoms Laser Characterization Noise at High-Frequencies PM Model AM Model Models vs Data Random laser Cold-Atom RL Coherence Properties Conclusion Amplitude Modulation Model Phase Modulation model has agreement with our experimental data 27/38
  • 36.
    Cold-Atom NS Samir VARTABI KASHANIAN MOT MOT 85 Rb TuningFrequency Characterizing MOT Controlling b0 NS with Cold Atoms Laser Characterization Noise at High-Frequencies PM Model AM Model Models vs Data Random laser Cold-Atom RL Coherence Properties Conclusion Amplitude Modulation Model Phase Modulation model agrees well with our experimental data 27/38
  • 37.
    Cold-Atom NS Samir VARTABI KASHANIAN MOT MOT 85 Rb TuningFrequency Characterizing MOT Controlling b0 NS with Cold Atoms Laser Characterization Noise at High-Frequencies PM Model AM Model Models vs Data Random laser Cold-Atom RL Coherence Properties Conclusion Experimental Results Compared with Models Bumps position: S. V. Kashanian et al., submitted to PRA. 28/38
  • 38.
    Cold-Atom NS Samir VARTABI KASHANIAN MOT MOT 85 Rb TuningFrequency Characterizing MOT Controlling b0 NS with Cold Atoms Laser Characterization Noise at High-Frequencies PM Model AM Model Models vs Data Random laser Cold-Atom RL Coherence Properties Conclusion Experimental Results Compared with Models An intuitive picture: 29/38
  • 39.
    Cold-Atom NS Samir VARTABI KASHANIAN MOT MOT 85 Rb TuningFrequency Characterizing MOT Controlling b0 NS with Cold Atoms Laser Characterization Noise at High-Frequencies PM Model AM Model Models vs Data Random laser Cold-Atom RL Coherence Properties Conclusion Experimental Results Compared with Models ST (fc) vs b0 δ = 3Γ δ = 3Γ 30/38
  • 40.
    Cold-Atom NS Samir VARTABI KASHANIAN MOT MOT 85 Rb TuningFrequency Characterizing MOT Controlling b0 NS with Cold Atoms Laser Characterization Noise at High-Frequencies PM Model AM Model Models vs Data Random laser Cold-Atom RL Coherence Properties Conclusion Summary Intensity noise of a transmitted beam through a cloud of cold atoms was understood. In this configuration, frequency noise of a laser can be converted to intensity fluctuations due to the atomic resonance. At higher frequency, transmitted noise spectrum also provides information about the atomic cloud. This knowledge can be applied in other experiments, i.e. characterization of the cold-atom RL. 31/38
  • 41.
    Cold-Atom NS Samir VARTABI KASHANIAN MOT MOT 85 Rb TuningFrequency Characterizing MOT Controlling b0 NS with Cold Atoms Laser Characterization Noise at High-Frequencies PM Model AM Model Models vs Data Random laser Cold-Atom RL Coherence Properties Conclusion Prospects: Diffusive wave spectroscopy (DWS) 32/38
  • 42.
    Cold-Atom NS Samir VARTABI KASHANIAN MOT MOT 85 Rb TuningFrequency Characterizing MOT Controlling b0 NS with Cold Atoms Laser Characterization Noise at High-Frequencies PM Model AM Model Models vs Data Random laser Cold-Atom RL Coherence Properties Conclusion Random Laser 32/38
  • 43.
    Cold-Atom NS Samir VARTABI KASHANIAN MOT MOT 85 Rb TuningFrequency Characterizing MOT Controlling b0 NS with Cold Atoms Laser Characterization Noise at High-Frequencies PM Model AM Model Models vs Data Random laser Cold-Atom RL Coherence Properties Conclusion Random Laser (RL) Random laser (RL) consists of two elements: An amplifying material. Multiple scattering (MS). D. Wiersma, Nature 406, 132–135 (2000) RL has been observed in different media such as semiconductor pow- ders, thin films, laser dye etc. RL in the cold Rb atomic vapor has been observed at INLN. Q. Baudouin et al., Nat. Phys. 9, 357–360 (2013) 33/38
  • 44.
    Cold-Atom NS Samir VARTABI KASHANIAN MOT MOT 85 Rb TuningFrequency Characterizing MOT Controlling b0 NS with Cold Atoms Laser Characterization Noise at High-Frequencies PM Model AM Model Models vs Data Random laser Cold-Atom RL Coherence Properties Conclusion Cold-Atom RL How does it work with cold 85 Rb atoms? Q. Baudouin et al., Nat. Phys. 9, 357–360 (2013) 34/38
  • 45.
    Cold-Atom NS Samir VARTABI KASHANIAN MOT MOT 85 Rb TuningFrequency Characterizing MOT Controlling b0 NS with Cold Atoms Laser Characterization Noise at High-Frequencies PM Model AM Model Models vs Data Random laser Cold-Atom RL Coherence Properties Conclusion Cold-Atom RL How does it work with cold 85 Rb atoms? Q. Baudouin et al., Nat. Phys. 9, 357–360 (2013) 34/38
  • 46.
    Cold-Atom NS Samir VARTABI KASHANIAN MOT MOT 85 Rb TuningFrequency Characterizing MOT Controlling b0 NS with Cold Atoms Laser Characterization Noise at High-Frequencies PM Model AM Model Models vs Data Random laser Cold-Atom RL Coherence Properties Conclusion Cold-Atom RL How does it work with cold 85 Rb atoms? Q. Baudouin et al., Nat. Phys. 9, 357–360 (2013) 34/38
  • 47.
    Cold-Atom NS Samir VARTABI KASHANIAN MOT MOT 85 Rb TuningFrequency Characterizing MOT Controlling b0 NS with Cold Atoms Laser Characterization Noise at High-Frequencies PM Model AM Model Models vs Data Random laser Cold-Atom RL Coherence Properties Conclusion Cold-Atom RL Observation of cold 85 Rb RL Q. Baudouin et al., Nat. Phys. 9, 357–360 (2013) More direct observation? Difficult to resolve spatially and spectrally. Coherence properties of light can be used to investigate RL in a more direct way. 35/38
  • 48.
    Cold-Atom NS Samir VARTABI KASHANIAN MOT MOT 85 Rb TuningFrequency Characterizing MOT Controlling b0 NS with Cold Atoms Laser Characterization Noise at High-Frequencies PM Model AM Model Models vs Data Random laser Cold-Atom RL Coherence Properties Conclusion Coherence Properties of RL Coherence properties of RL have been extensively studied Opt. Lett. 25 923 (2000) Phys. Rev. A 65 043809 (2002) Phys. Rev. E 65 046603 (2002) Phys. Rev. Lett. 93 013602 (2004) JOSA B 24 31 (2007) Opt. Lett. 36 3404 (2011) J. Opt. 16, 105008 (2014) J. Lumin. 169 472 (2016) H. Cao et al., Phys. Rev. Lett. 86, 4524 (2001) 36/38
  • 49.
    Cold-Atom NS Samir VARTABI KASHANIAN MOT MOT 85 Rb TuningFrequency Characterizing MOT Controlling b0 NS with Cold Atoms Laser Characterization Noise at High-Frequencies PM Model AM Model Models vs Data Random laser Cold-Atom RL Coherence Properties Conclusion Prospects: Redo the cold-atom RL experiment: – One possibility is to study the noise of the fluorescence and its spectral features. – Another possibility, one can use heterodyne detection and investigate the RL spectrum. – Temporal correlation measurement also could be interesting. 37/38
  • 50.
    Cold-Atom NS Samir VARTABI KASHANIAN MOT MOT 85 Rb TuningFrequency Characterizing MOT Controlling b0 NS with Cold Atoms Laser Characterization Noise at High-Frequencies PM Model AM Model Models vs Data Random laser Cold-Atom RL Coherence Properties Conclusion Conclusion: We have large MOT (b0 ∼ 100) The noise of a transmitted laser through the cold atoms was understood base on a simple model. At low frequencies it characterizes the laser. At high frequencies it characterizes the atoms. Cold-atom RL has been already ob- served. A more direct observation is desired. Possibly using its coherence properties and performing noise measurement. 38/38
  • 51.
    Thanks for yourattention
  • 52.
  • 53.
    Cold-Atom NS Samir VARTABI KASHANIAN MOT MOT 85 Rb TuningFrequency Characterizing MOT Controlling b0 NS with Cold Atoms Laser Characterization Noise at High-Frequencies PM Model AM Model Models vs Data Random laser Cold-Atom RL Coherence Properties Conclusion 38/38
  • 54.
    Cold-Atom NS Samir VARTABI KASHANIAN MOT MOT 85 Rb TuningFrequency Characterizing MOT Controlling b0 NS with Cold Atoms Laser Characterization Noise at High-Frequencies PM Model AM Model Models vs Data Random laser Cold-Atom RL Coherence Properties Conclusion Laser Linewidth: Deconvolution of a Transmission Spectrum T(δ) = S(ν) exp − b0 1+4( δ+ν Γ )2 dν Transmission of a probe through a MOT with b0 0.3. Convolution fit → ∆νL = 3.6 MHz. 38/38
  • 55.
    Cold-Atom NS Samir VARTABI KASHANIAN MOT MOT 85 Rb TuningFrequency Characterizing MOT Controlling b0 NS with Cold Atoms Laser Characterization Noise at High-Frequencies PM Model AM Model Models vs Data Random laser Cold-Atom RL Coherence Properties Conclusion Laser Frequency Noise vs Laser Line-Shape Link between frequency noise and optical spectrum SE (ν) = 2 ∞ −∞ E2 0 ei2π(νL−ν)τ exp − 2 ∞ 0 SνL (fn) sin2 (πfnτ) f2 n dfn dτ special case of white noise SνL (fn) → h0 over a bandwidth B B h0 Lorentzian with a FWHM linewidth ∆νL = πh0. B h0 Gaussian with a FWHM linewidth ∆νL = 8h0B ln 2. D. Elliott et al., Phys. Rev. A 26, 12 (1982) 38/38
  • 56.
    Cold-Atom NS Samir VARTABI KASHANIAN MOT MOT 85 Rb TuningFrequency Characterizing MOT Controlling b0 NS with Cold Atoms Laser Characterization Noise at High-Frequencies PM Model AM Model Models vs Data Random laser Cold-Atom RL Coherence Properties Conclusion F-Noise Measurement via Atomic Resonance Time sequence 38/38
  • 57.
    Cold-Atom NS Samir VARTABI KASHANIAN MOT MOT 85 Rb TuningFrequency Characterizing MOT Controlling b0 NS with Cold Atoms Laser Characterization Noise at High-Frequencies PM Model AM Model Models vs Data Random laser Cold-Atom RL Coherence Properties Conclusion 38/38
  • 58.
    Cold-Atom NS Samir VARTABI KASHANIAN MOT MOT 85 Rb TuningFrequency Characterizing MOT Controlling b0 NS with Cold Atoms Laser Characterization Noise at High-Frequencies PM Model AM Model Models vs Data Random laser Cold-Atom RL Coherence Properties Conclusion Experimental Results Compared with Models ST (fc) vs δ/Γ 38/38
  • 59.
    Cold-Atom NS Samir VARTABI KASHANIAN MOT MOT 85 Rb TuningFrequency Characterizing MOT Controlling b0 NS with Cold Atoms Laser Characterization Noise at High-Frequencies PM Model AM Model Models vs Data Random laser Cold-Atom RL Coherence Properties Conclusion 38/38
  • 60.
    Cold-Atom NS Samir VARTABI KASHANIAN MOT MOT 85 Rb TuningFrequency Characterizing MOT Controlling b0 NS with Cold Atoms Laser Characterization Noise at High-Frequencies PM Model AM Model Models vs Data Random laser Cold-Atom RL Coherence Properties Conclusion 38/38
  • 61.
    Cold-Atom NS Samir VARTABI KASHANIAN MOT MOT 85 Rb TuningFrequency Characterizing MOT Controlling b0 NS with Cold Atoms Laser Characterization Noise at High-Frequencies PM Model AM Model Models vs Data Random laser Cold-Atom RL Coherence Properties Conclusion 38/38
  • 62.
    Cold-Atom NS Samir VARTABI KASHANIAN MOT MOT 85 Rb TuningFrequency Characterizing MOT Controlling b0 NS with Cold Atoms Laser Characterization Noise at High-Frequencies PM Model AM Model Models vs Data Random laser Cold-Atom RL Coherence Properties Conclusion 38/38
  • 63.
    Cold-Atom NS Samir VARTABI KASHANIAN MOT MOT 85 Rb TuningFrequency Characterizing MOT Controlling b0 NS with Cold Atoms Laser Characterization Noise at High-Frequencies PM Model AM Model Models vs Data Random laser Cold-Atom RL Coherence Properties Conclusion 38/38
  • 64.
    Cold-Atom NS Samir VARTABI KASHANIAN MOT MOT 85 Rb TuningFrequency Characterizing MOT Controlling b0 NS with Cold Atoms Laser Characterization Noise at High-Frequencies PM Model AM Model Models vs Data Random laser Cold-Atom RL Coherence Properties Conclusion Experimental Results Compared with Models Noise power at a given frequency as a function of δ and b0: PM 38/38
  • 65.
    Cold-Atom NS Samir VARTABI KASHANIAN MOT MOT 85 Rb TuningFrequency Characterizing MOT Controlling b0 NS with Cold Atoms Laser Characterization Noise at High-Frequencies PM Model AM Model Models vs Data Random laser Cold-Atom RL Coherence Properties Conclusion Experimental Results Compared with Models Noise power at a given frequency as a function of δ and b0: AM 38/38
  • 66.
    Cold-Atom NS Samir VARTABI KASHANIAN MOT MOT 85 Rb TuningFrequency Characterizing MOT Controlling b0 NS with Cold Atoms Laser Characterization Noise at High-Frequencies PM Model AM Model Models vs Data Random laser Cold-Atom RL Coherence Properties Conclusion Noise Spectroscopy with Cold Atoms 38/38
  • 67.
    Cold-Atom NS Samir VARTABI KASHANIAN MOT MOT 85 Rb TuningFrequency Characterizing MOT Controlling b0 NS with Cold Atoms Laser Characterization Noise at High-Frequencies PM Model AM Model Models vs Data Random laser Cold-Atom RL Coherence Properties Conclusion list of conference and presentations. 38/38