Ch7. KaIman filter generalizations
김영범
Section 7.3 can replace the timevarying Kalman filter of
Chapter 5 with a steady-state Kalman filter that often
performs nearly as well. This means that we do not
have to compute the estimation-error covariance or
Kalman Optimal State Estimation, α-β, α-β-γ filtering
Section 7.4 When the dynamics of the system are not
perfectly known, then the Kalman filter may not provide
acceptable state estimates. This can be addressed by
giving more weight to recent measurements when
updating the state estimate, and discounting
measurements that arrived a long time ago. This is
called the fading-memory filter
Section 7.5 discusses several ways to incorporate state
equality constraints and state inequality constraints into
the formulation of the Kalman filter.
7.1, we will show how correlated process and
measurement noise changes the Kalman filter equations
7.2 We modify the Kalman filter to deal with colored
process noise and measurement noise
7.1 CORRELATED PROCESS AND MEASUREMENT NOISE
how correlated process and measurement noise changes the Kalman filter equations.
We see that the process noise in the system equation is
correlated with the measurement noise, with the cross
covariance given by Mk6k-j+l.
In order to find the Kalman filter equations for the
correlated noise system, we will define the estimation
errors as
7.2 COLORED PROCESS AND MEASUREMENT NOISE
7.2.1 Colored process noise
7.2.2 Colored measurement noise:
State augmentation
7.2.3 Colored measurement noise:
Measurement differencing
No measurement noise
mean and cov =0
일반적 시스템
7.3 STEADY-STATE FILTERING
system is time-invariant, and the process- and
measurement-noise covariances are time-invariant,
The steady state filter often performs nearly as well as
the time-varying filter.
If Large k , Pk = pK+1
DARE(Discrete algebraic Riccati equation)
DARE
unstable
stable
P=0
p=3
7.3.1 α-β filtering : steady state km filter, 2 state(position, velocity) Newtonian system
7.3.2 α-β-γ filtering: 3 state Newtonian system( position, velocity, accelation)
7.3.3 A Hamiltonian approach to steady-state filtering (M=0)
7.3.3 A Hamiltonian approach to steady-state filtering
7.4 Kalman Filtering with Fading Memory
Minimize E(Jn)
7.5 Constrained Kalman Filter
Known information not fit into Km filter equation
Dx = d D: known matrix, d: known vector
<=
7.5.1 Model Reduction : Reducing system model parameter
7.5.2 Perfect measurement
7.5.3 Projection approaches
- Maximum Prob approach
- Least square approach
- General projection app ( inequality)
7.5.4 A pdf truncation approach (inequality constraints)
Reduction state equation
- : less natural, not extend inequality const
+: easy implemention
7.5.1 Model Reduction
(Reducing system model parameter)
7.5.2 Perfect measurements
Dx = d, measurement eqation augmented
- 1) Maximum Prob approach
7.5.3 Projection approaches ( incorporate the state constraints into 3ways)
- 2) Least square approach - 3) General projection app
Constrained state estimate
= unconstrained estimate – correction term
7.5.4 A pdf truncation approach
7.6 Summary
Filter modification(correlation, color)
-> improve estimation performence
Steady state KM filter -> useful for time varying filter
a-b-r filter : special case of steadt state KM filter
Fading memory filter
–> simple modification if KM filter,
robust modeling error
State constraints in the KM filter
-> improve estimation accuracy(using information
rather than state model)
https://blog.naver.com/lydsuper/38620339
Sensor Fusion Study - Ch7. Kalman Filter Generalizations [김영범]
Sensor Fusion Study - Ch7. Kalman Filter Generalizations [김영범]
Sensor Fusion Study - Ch7. Kalman Filter Generalizations [김영범]
Sensor Fusion Study - Ch7. Kalman Filter Generalizations [김영범]
Sensor Fusion Study - Ch7. Kalman Filter Generalizations [김영범]
Sensor Fusion Study - Ch7. Kalman Filter Generalizations [김영범]

Sensor Fusion Study - Ch7. Kalman Filter Generalizations [김영범]

  • 1.
    Ch7. KaIman filtergeneralizations 김영범
  • 2.
    Section 7.3 canreplace the timevarying Kalman filter of Chapter 5 with a steady-state Kalman filter that often performs nearly as well. This means that we do not have to compute the estimation-error covariance or Kalman Optimal State Estimation, α-β, α-β-γ filtering Section 7.4 When the dynamics of the system are not perfectly known, then the Kalman filter may not provide acceptable state estimates. This can be addressed by giving more weight to recent measurements when updating the state estimate, and discounting measurements that arrived a long time ago. This is called the fading-memory filter Section 7.5 discusses several ways to incorporate state equality constraints and state inequality constraints into the formulation of the Kalman filter. 7.1, we will show how correlated process and measurement noise changes the Kalman filter equations 7.2 We modify the Kalman filter to deal with colored process noise and measurement noise
  • 3.
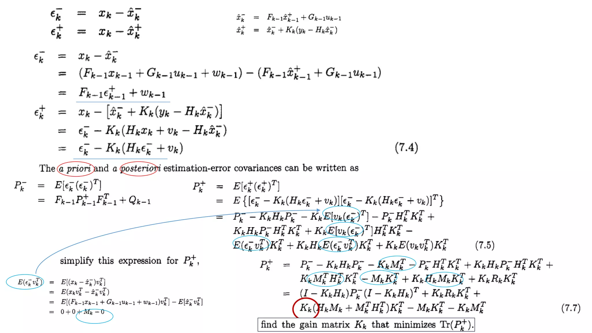
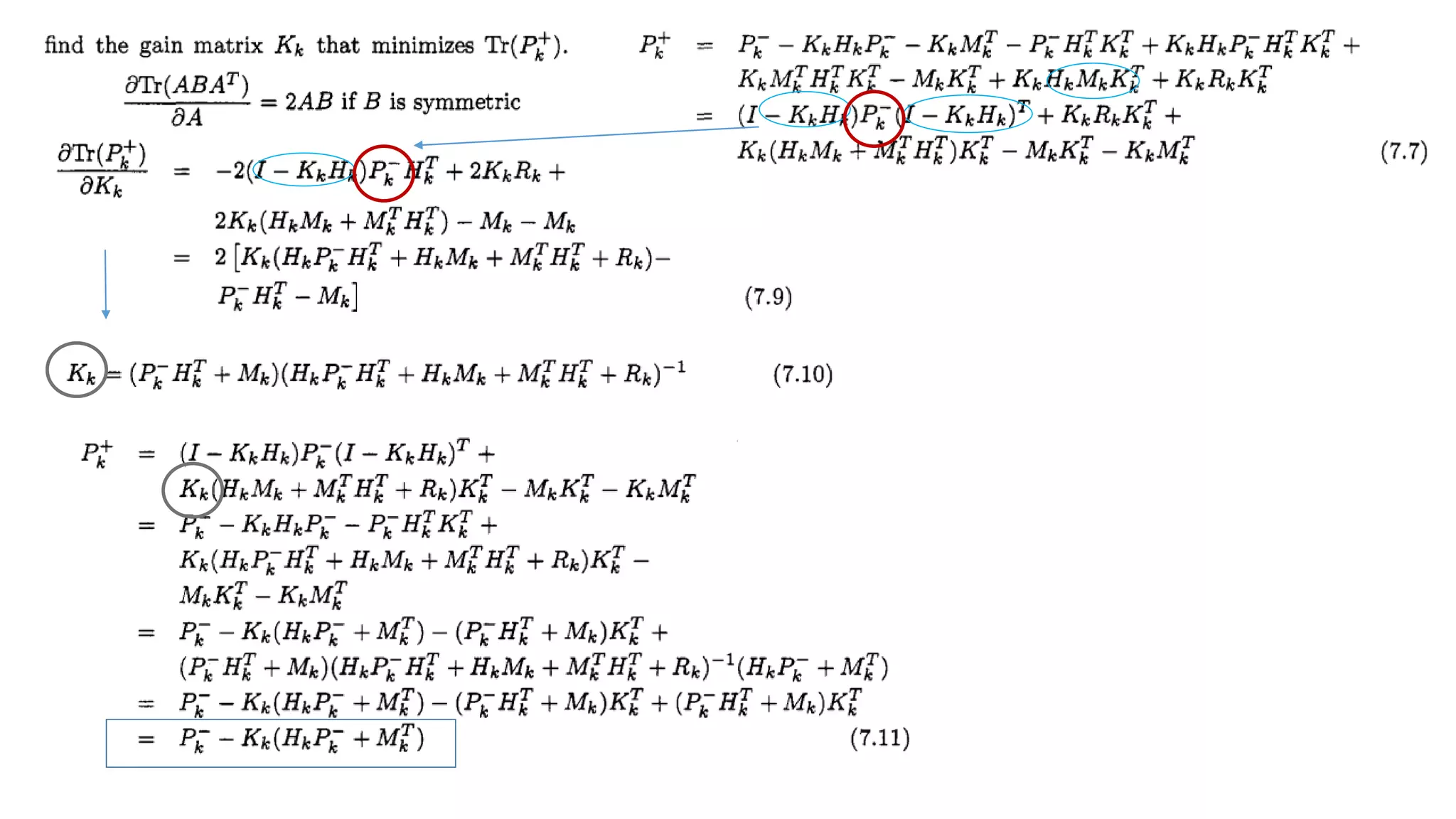
    7.1 CORRELATED PROCESSAND MEASUREMENT NOISE how correlated process and measurement noise changes the Kalman filter equations. We see that the process noise in the system equation is correlated with the measurement noise, with the cross covariance given by Mk6k-j+l. In order to find the Kalman filter equations for the correlated noise system, we will define the estimation errors as
  • 7.
    7.2 COLORED PROCESSAND MEASUREMENT NOISE 7.2.1 Colored process noise 7.2.2 Colored measurement noise: State augmentation 7.2.3 Colored measurement noise: Measurement differencing No measurement noise mean and cov =0 일반적 시스템
  • 9.
    7.3 STEADY-STATE FILTERING systemis time-invariant, and the process- and measurement-noise covariances are time-invariant, The steady state filter often performs nearly as well as the time-varying filter.
  • 10.
    If Large k, Pk = pK+1 DARE(Discrete algebraic Riccati equation)
  • 11.
  • 12.
  • 13.
    7.3.1 α-β filtering: steady state km filter, 2 state(position, velocity) Newtonian system
  • 14.
    7.3.2 α-β-γ filtering:3 state Newtonian system( position, velocity, accelation)
  • 15.
    7.3.3 A Hamiltonianapproach to steady-state filtering (M=0)
  • 16.
    7.3.3 A Hamiltonianapproach to steady-state filtering
  • 18.
    7.4 Kalman Filteringwith Fading Memory Minimize E(Jn)
  • 20.
    7.5 Constrained KalmanFilter Known information not fit into Km filter equation Dx = d D: known matrix, d: known vector <= 7.5.1 Model Reduction : Reducing system model parameter 7.5.2 Perfect measurement 7.5.3 Projection approaches - Maximum Prob approach - Least square approach - General projection app ( inequality) 7.5.4 A pdf truncation approach (inequality constraints)
  • 21.
    Reduction state equation -: less natural, not extend inequality const +: easy implemention 7.5.1 Model Reduction (Reducing system model parameter) 7.5.2 Perfect measurements Dx = d, measurement eqation augmented
  • 22.
    - 1) MaximumProb approach 7.5.3 Projection approaches ( incorporate the state constraints into 3ways) - 2) Least square approach - 3) General projection app Constrained state estimate = unconstrained estimate – correction term
  • 24.
    7.5.4 A pdftruncation approach
  • 26.
    7.6 Summary Filter modification(correlation,color) -> improve estimation performence Steady state KM filter -> useful for time varying filter a-b-r filter : special case of steadt state KM filter Fading memory filter –> simple modification if KM filter, robust modeling error State constraints in the KM filter -> improve estimation accuracy(using information rather than state model)
  • 27.