āļ„āļ“āļīāļ•āļĻāļēāļŠāļ•āļĢāđŒ (āļĄ.4) āļŦāļ™āđ‰āļē 1 
1. āļ‚āđ‰āļ­āļ„āļ§āļēāļĄāđƒāļ”āļ•āđˆāļ­āđ„āļ›āļ™āļĩāđ‰āđ€āļ›āđ‡āļ™āļˆāļĢāļīāļ‡ 
āļ. 2.9999â€Ķ āđ€āļ›āđ‡āļ™āļˆāļģāļ™āļ§āļ™āđ€āļ•āđ‡āļĄ āļ‚. 7.3434â€Ķ āđ€āļ›āđ‡āļ™āļˆāļģāļ™āļ§āļ™āļ­āļ•āļĢāļĢāļāļĒāļ° 
āļ„. π = 22 āļ‡. 4 + 9 āđ€āļ›āđ‡āļ™āļˆāļģāļ™āļ§āļ™āļ­āļ•āļĢāļĢāļāļĒāļ° 
7 
2. āļˆāļ°āļ•āđ‰āļ­āļ‡āļ™āļģāļ„āļģāļ•āļ­āļšāļ‚āđ‰āļ­āđƒāļ”āļĄāļēāļšāļ§āļāļāļąāļšāļœāļĨāļšāļ§āļāļ‚āļ­āļ‡ 5a2b – 6a2 + 7b2 āđāļĨāļ° â€“7a2b + a2 + b2 āļˆāļķāļ‡āļˆāļ°āđ„āļ”āđ‰ 
āļœāļĨāļĨāļąāļžāļ˜āđŒāđ€āļ›āđ‡āļ™ â€“8a2b – 13a2 + 4b2 
āļ. 6a2b – 8a2 + 4b2 āļ‚. –6a2b – 8a2 – 4b2 
āļ„. 6a2b + 8a2 – 4b2 āļ‡. –6a2b + 8a2 + 4b2 
81n − 1 × 8m × 3n + 
4 
3. āļāļģāļŦāļ™āļ” m , n āđ€āļ›āđ‡āļ™āļˆāļģāļ™āļ§āļ™āđ€āļ•āđ‡āļĄ āļ„āđˆāļēāļ‚āļ­āļ‡ 27n × 4m × 32n × 
2 
m āļ•āļĢāļ‡āļāļąāļšāļ‚āđ‰āļ­āđƒāļ” 
āļ. –1 āļ‚. 0 āļ„. 1 āļ‡. 4 
4. āļ„āđˆāļēāļ‚āļ­āļ‡ x āļˆāļēāļāļŠāļĄāļāļēāļĢ 2x+2 + 2x − 2x−1 = 40 āļ•āļĢāļ‡āļāļąāļšāļ‚āđ‰āļ­āđƒāļ” 
āļ. 1 āļ‚. 2 āļ„. 4 āļ‡. 6 
5. āļ–āđ‰āļēāļŦāļēāļĢāļžāļŦāļļāļ™āļēāļĄ 2x3 − x2 − 2x + 9 āļ”āđ‰āļ§āļĒāļžāļŦāļļāļ™āļēāļĄ A āļˆāļ°āđ„āļ”āđ‰āļœāļĨāļĨāļąāļžāļ˜āđŒ x2 − 2x + 2 āđ€āļŦāļĨāļ·āļ­āđ€āļĻāļĐ 3 
āļžāļŦāļļāļ™āļēāļĄ A āļ•āļĢāļ‡āļāļąāļšāļ‚āđ‰āļ­āđƒāļ” 
āļ. 2x – 3 āļ‚. 2x – 9 āļ„. 2x + 3 āļ‡. 2x + 9 
6. āļˆāļēāļāļĢāļđāļ› āļ§āļ‡āļĨāđ‰āļ­āļĢāļ–āļĄāļĩāļāđ‰āļ­āļ™āļ­āļīāļāļŠāļđāļ‡ 2 āļ™āļīāđ‰āļ§āļ”āļąāļ™āđ„āļ§āđ‰ āļ–āđ‰āļē AB = 4 āļ™āļīāđ‰āļ§ āļ§āļ‡āļĨāđ‰āļ­āļ™āļĩāđ‰āļĄāļĩāļĢāļąāļĻāļĄāļĩāļĒāļēāļ§āļāļĩāđˆāļ™āļīāđ‰āļ§ 
āļ. 5 āļ™āļīāđ‰āļ§ 
āļ‚. 10 āļ™āļīāđ‰āļ§ 
āļ„. 15 āļ™āļīāđ‰āļ§ 
āļ‡. 15 2 āļ™āļīāđ‰āļ§ 
7. āļˆāļēāļāļĢāļđāļ› ABCDEF āđ€āļ›āđ‡āļ™āļŦāļāđ€āļŦāļĨāļĩāđˆāļĒāļĄāļ”āđ‰āļēāļ™āđ€āļ—āđˆāļēāļĄāļļāļĄāđ€āļ—āđˆāļē PA āđāļĨāļ° PC āđ€āļ›āđ‡āļ™āđ€āļŠāđ‰āļ™āļŠāļąāļĄāļœāļąāļŠ āļĄāļļāļĄ x āļāļēāļ‡āļāļĩāđˆāļ­āļ‡āļĻāļē 
āļ. 15 āļ­āļ‡āļĻāļē 
āļ‚. 30 āļ­āļ‡āļĻāļē 
āļ„. 45 āļ­āļ‡āļĻāļē 
āļ‡. 60 āļ­āļ‡āļĻāļē 
A , 20 D AˆC = = āļ‚āļ™āļēāļ”āļ‚āļ­āļ‡ B Oˆ 
8. āļˆāļēāļāļĢāļđāļ› o o 80 B Dˆ 
A āđ€āļ—āđˆāļēāļāļąāļšāļ‚āđ‰āļ­āđƒāļ” 
āļ. 100 āļ­āļ‡āļĻāļē 
āļ‚. 110 āļ­āļ‡āļĻāļē 
āļ„. 115 āļ­āļ‡āļĻāļē 
āļ‡. 120 āļ­āļ‡āļĻāļē
āļ„āļ“āļīāļ•āļĻāļēāļŠāļ•āļĢāđŒ (āļĄ.4) āļŦāļ™āđ‰āļē 2 
9. āļ–āđ‰āļē 
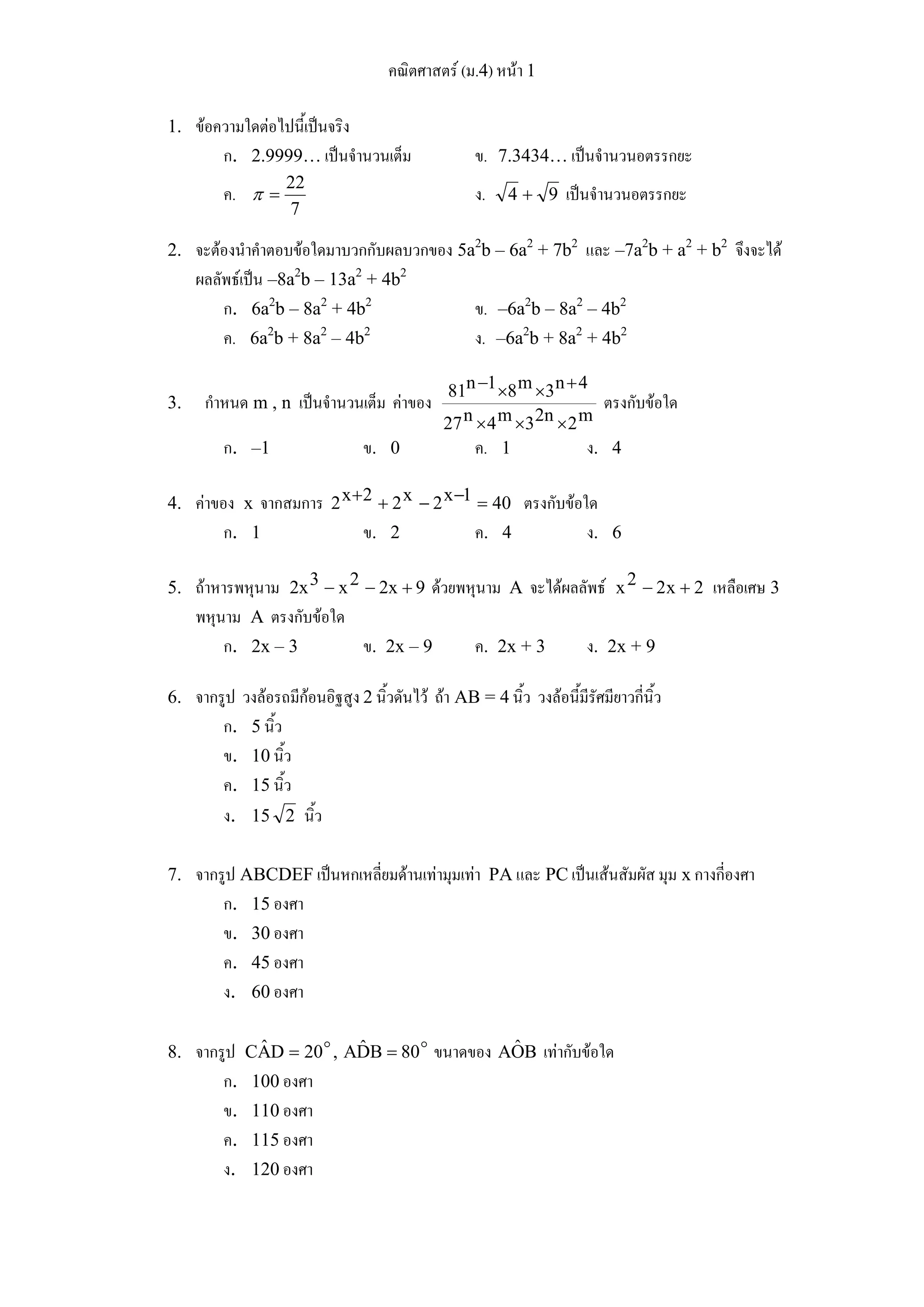
+ 
a 6 5 
= āđāļĨāđ‰āļ§ 22a – a2 āļĄāļĩāļ„āđˆāļēāđ€āļ—āđˆāļēāļāļąāļšāļ‚āđ‰āļ­āđƒāļ” 
6 − 
5 
āļ.0 āļ‚. – 1 āļ„. 1 āļ‡. 2 
0.6&x + 0.25 − 1 = & − − āļ„āđˆāļēāļ‚āļ­āļ‡ x āļĄāļĩāļ„āđˆāļēāđ€āļ—āđˆāļēāđ„āļĢ 
x 1.8 0.75x 1 
9 
10. āļˆāļēāļāļŠāļĄāļāļēāļĢ 3 
āļ. – 2 āļ‚. – 1 āļ„. 1 āļ‡. 2 
11. āļ›āļąāļˆāļˆāļļāļšāļąāļ™āļ­āļēāļĒāļļāļ‚āļ­āļ‡āļ™āđ‰āļ­āļ‡āđāļ­āļĄāđāļĨāļ°āļžāļĩāđˆāļ­āļ­āļĄāļĄāļĩāļ­āļąāļ•āļĢāļēāļŠāđˆāļ§āļ™āđ€āļ›āđ‡āļ™ 1 : 3 āđ€āļĄāļ·āđˆāļ­ 4 āļ›āļĩāļ—āļĩāđˆāđāļĨāđ‰āļ§āļ­āļēāļĒāļļāļ‚āļ­āļ‡āļ™āđ‰āļ­āļ‡āđāļ­āļĄāđāļĨāļ°āļžāļĩāđˆāļ­āļ­āļĄ 
āļĄāļĩāļ­āļąāļ•āļĢāļēāļŠāđˆāļ§āļ™āđ€āļ›āđ‡āļ™ 1 : 5 āļ›āļąāļˆāļˆāļļāļšāļąāļ™āļ™āđ‰āļ­āļ‡āđāļ­āļĄāļĄāļĩāļ­āļēāļĒāļļāļāļĩāđˆāļ›āļĩ 
āļ. 6 āļ›āļĩ āļ‚. 8 āļ›āļĩ āļ„. 10 āļ›āļĩ āļ‡. 12 āļ›āļĩ 
12. āļ‚āđ‰āļ­āđƒāļ”āđ€āļ›āđ‡āļ™āļ„āļģāļ•āļ­āļšāļ‚āļ­āļ‡āļ­āļŠāļĄāļāļēāļĢ x – 19 < – 3x – 7 < 2x + 3 
āļ. – 1 < x < 3 āļ‚. 1 < x < 3 
āļ„. – 4 < x < 3 āļ‡. – 2 < x < 3 
13. āļ™āļēāļĒāđ‚āļŠāļ„āļ”āļĩāđ„āļ”āđ‰āļĢāļąāļšāđ€āļ‡āļīāļ™āļˆāļēāļāļžāđˆāļ­āđāļĨāļ°āđāļĄāđˆāđ€āļ›āđ‡āļ™āļˆāļģāļ™āļ§āļ™āđ€āļ‡āļīāļ™āđ€āļ—āđˆāļēāļāļąāļ™ āļ™āļģāđ„āļ›āļ‹āļ·āđ‰āļ­āļŠāļĄāļļāļ” 50 āļšāļēāļ— āđāļĨāļ°āļāļēāļāļ­āļ­āļĄāļŠāļīāļ™ 
100 āļšāļēāļ— āđ€āļĄāļ·āđˆāļ­āļ™āļąāļšāđ€āļ‡āļīāļ™āļ—āļĩāđˆāđ€āļŦāļĨāļ·āļ­āļ›āļĢāļēāļāļāļ§āđˆāļēāđ€āļŦāļĨāļ·āļ­āđ€āļ‡āļīāļ™āđ„āļĄāđˆāļ–āļķāļ‡ 10 āļšāļēāļ— āđ‚āļŠāļ„āļ”āļĩāđ„āļ”āđ‰āļĢāļąāļšāđ€āļ‡āļīāļ™āļˆāļēāļāđāļĄāđˆāđ€āļ—āđˆāļēāđ„āļĢ 
āļ. āļĄāļēāļāļāļ§āđˆāļē 70 āļšāļēāļ— āđāļ•āđˆāđ„āļĄāđˆāļ–āļķāļ‡ 75 āļšāļēāļ— āļ‚. āļĄāļēāļāļāļ§āđˆāļē 70 āļšāļēāļ— āđāļ•āđˆāđ„āļĄāđˆāļ–āļķāļ‡ 80 āļšāļēāļ— 
āļ„. āļĄāļēāļāļāļ§āđˆāļē 75 āļšāļēāļ— āđāļ•āđˆāđ„āļĄāđˆāļ–āļķāļ‡ 80 āļšāļēāļ— āļ‡. āļĄāļēāļāļāļ§āđˆāļē 75 āļšāļēāļ— āđāļ•āđˆāđ„āļĄāđˆāļ–āļķāļ‡ 85 āļšāļēāļ— 
14. āļĢāļ–āļ›āļĢāļ°āļˆāļģāļ—āļēāļ‡āđāļĨāļ°āļĢāļ–āļ•āļđāđ‰āļ­āļ­āļāļˆāļēāļāļŠāļ–āļēāļ™āļĩāļ‚āļ™āļŠāđˆāļ‡āđ€āļ”āļĩāļĒāļ§āļāļąāļ™ āđ‚āļ”āļĒāļĢāļ–āļ›āļĢāļ°āļˆāļģāļ—āļēāļ‡āļ­āļ­āļāđ€āļ§āļĨāļē 10.00 āļ™. āļ”āđ‰āļ§āļĒ 
āļ„āļ§āļēāļĄāđ€āļĢāđ‡āļ§ 60 āļāļīāđ‚āļĨāđ€āļĄāļ•āļĢāļ•āđˆāļ­āļŠāļąāđˆāļ§āđ‚āļĄāļ‡ āļŠāđˆāļ§āļ™āļĢāļ–āļ•āļđāđ‰āļ­āļ­āļāđ€āļ§āļĨāļē 10.45 āļ™. āļ”āđ‰āļ§āļĒāļ„āļ§āļēāļĄāđ€āļĢāđ‡āļ§ 90 āļāļīāđ‚āļĨāđ€āļĄāļ•āļĢāļ•āđˆāļ­āļŠāļąāđˆāļ§āđ‚āļĄāļ‡ 
āļ–āđ‰āļēāļĢāļ–āļ—āļąāđ‰āļ‡āļŠāļ­āļ‡āļˆāļķāļ‡āļˆāļļāļ”āļŦāļĄāļēāļĒāļžāļĢāđ‰āļ­āļĄāļāļąāļ™ āļĢāļ°āļĒāļ°āļ—āļēāļ‡āļĢāļ°āļŦāļ§āđˆāļēāļ‡āļŠāļ–āļēāļ™āļĩāļ—āļąāđ‰āļ‡āļŠāļ­āļ‡āļŦāđˆāļēāļ‡āļāļąāļ™āļāļĩāđˆāļāļīāđ‚āļĨāđ€āļĄāļ•āļĢ 
āļ. 135 āļāļīāđ‚āļĨāđ€āļĄāļ•āļĢ āļ‚. 140 āļāļīāđ‚āļĨāđ€āļĄāļ•āļĢ 
āļ„. 145 āļāļīāđ‚āļĨāđ€āļĄāļ•āļĢ āļ‡. 150 āļāļīāđ‚āļĨāđ€āļĄāļ•āļĢ 
15. āļŠāļĄāļāļēāļĢāļ„āļđāđˆāđƒāļ”āđ€āļĄāļ·āđˆāļ­āļ™āļģāđ„āļ›āđ€āļ‚āļĩāļĒāļ™āļāļĢāļēāļŸāđāļĨāđ‰āļ§āļ•āļąāļ”āļāļąāļ™āđ€āļ›āđ‡āļ™āļĄāļļāļĄāļ‰āļēāļ 
āļ. 2x – 3y – 11 = 0 āļ‚. 2x – 3y – 1 = 0 
2x + 3y – 9 = 0 3x + 2y – 7 = 0 
āļ„. 2x + 3y – 4 = 0 āļ‡. 2x – 3y – 6 = 0 
4x + 6y – 12 = 0 3x – 2y – 12 = 0 
16. āļ™āđ‰āļģāļŠāđ‰āļĄ 2 āļŠāļ™āļīāļ” āļĢāļēāļ„āļēāļĨāļīāļ•āļĢāļĨāļ° 8 āļšāļēāļ— āđāļĨāļ°āļĨāļīāļ•āļĢāļĨāļ° 15 āļšāļēāļ— āļ™āļģāļĄāļēāļœāļŠāļĄāđƒāļ™āļ­āļąāļ•āļĢāļēāļŠāđˆāļ§āļ™āđ€āļ—āđˆāļēāđ„āļĢ āļˆāļķāļ‡āļˆāļ°āļ—āļģāđƒāļŦāđ‰āđ€āļĄāļ·āđˆāļ­ 
āļ‚āļēāļĒāđ„āļ›āļĢāļēāļ„āļēāļĨāļīāļ•āļĢāļĨāļ° 12 āļšāļēāļ— āļˆāļķāļ‡āļĄāļĩāļāļģāđ„āļĢ 20 āđ€āļ›āļ­āļĢāđŒāđ€āļ‹āđ‡āļ™āļ•āđŒ 
āļ. 3 : 2 āļ‚. 2 : 3 āļ„. 2 : 5 āļ‡. 5 : 2
āļ„āļ“āļīāļ•āļĻāļēāļŠāļ•āļĢāđŒ (āļĄ.4) āļŦāļ™āđ‰āļē 3 
17. āļ™āļąāļāđ€āļĢāļĩāļĒāļ™āļāļĨāļļāđˆāļĄāļŦāļ™āļķāđˆāļ‡āđ€āļ‰āļĨāļĩāđˆāļĒāđ€āļ‡āļīāļ™āļāļąāļ™āđ€āļžāļ·āđˆāļ­āļ‹āļ·āđ‰āļ­āļ­āļēāļŦāļēāļĢāļĄāļēāļĢāļąāļšāļ›āļĢāļ°āļ—āļēāļ™ āļ›āļĢāļēāļāļāļ§āđˆāļē āļ–āđ‰āļēāļ„āļ™āļ™āđ‰āļ­āļĒāļĨāļ‡ 12 āļ„āļ™ āļˆāļ°āļ•āđ‰āļ­āļ‡āļ­āļ­āļ 
āđ€āļ‡āļīāļ™āđ€āļžāļīāđˆāļĄāļ„āļ™āļĨāļ° 18 āļšāļēāļ— āđāļ•āđˆāļ–āđ‰āļēāļĄāļĩāļ„āļ™āļĄāļēāđ€āļžāļīāđˆāļĄāļ­āļĩāļ 8 āļ„āļ™ āļˆāļ°āļ­āļ­āļāđ€āļ‡āļīāļ™āļĨāļ”āļĨāļ‡āļ„āļ™āļĨāļ° 6 āļšāļēāļ— āļˆāļ‡āļŦāļēāļ„āđˆāļēāļ­āļēāļŦāļēāļĢāļĄāļ·āđ‰āļ­āļ™āļĩāđ‰ 
āļ. 720 āļšāļēāļ— āļ‚. 840 āļšāļēāļ— āļ„. 880 āļšāļēāļ— āļ‡. 960 āļšāļēāļ— 
18. āļ„āđˆāļē x āļˆāļēāļāļŠāļĄāļāļēāļĢ tan2 45 o – cos2 60 o = x sin 45 o cos 45 o tan 60 o āļ•āļĢāļ‡āļāļąāļšāļ‚āđ‰āļ­āđƒāļ” 
āļ. 
3 āļ‚. 2 
2 
3 āļ„. 3 
2 āļ‡. 3 
19. āļ™āļēāļĒ āļ āļ­āļĒāļđāđˆāļ—āļēāļ‡āļ—āļīāļĻāđ€āļŦāļ™āļ·āļ­āļ‚āļ­āļ‡āđ€āļŠāļēāļ˜āļ‡āđāļŦāđˆāļ‡āļŦāļ™āļķāđˆāļ‡āļ§āļąāļ”āļĄāļļāļĄāđ€āļ‡āļĒāļ‚āļ­āļ‡āđ€āļŠāļēāļ˜āļ‡āđ„āļ”āđ‰ 45 o āļ™āļēāļĒ āļ‚ āļ­āļĒāļđāđˆāļ—āļēāļ‡āļ—āļīāļĻāđƒāļ•āđ‰āļ‚āļ­āļ‡āđ€āļŠāļē 
āļ˜āļ‡āļ§āļąāļ”āļĄāļļāļĄāđ€āļ‡āļĒāđ„āļ”āđ‰ 30 o āļ–āđ‰āļēāđ€āļŠāļēāļ˜āļ‡āļŠāļđāļ‡ 100 āđ€āļĄāļ•āļĢ āļ™āļēāļĒ āļ āđāļĨāļ°āļ™āļēāļĒ āļ‚ āļ­āļĒāļđāđˆāļŦāđˆāļēāļ‡āļāļąāļ™āđ€āļ—āđˆāļēāđ„āļĢ 
āļ. 200.5 āđ€āļĄāļ•āļĢ āļ‚. 250.2 āđ€āļĄāļ•āļĢ 
āļ„. 273.2 āđ€āļĄāļ•āļĢ āļ‡. 275.5 āđ€āļĄāļ•āļĢ 
20. āļ–āļąāļ‡āļĢāļđāļ›āļ—āļĢāļ‡āļāļĢāļ°āļšāļ­āļ 2 āļ–āļąāļ‡ āļĄāļĩāļ™āđ‰āļģāđƒāļŠāđˆāđ„āļ§āđ‰āđ€āļ•āđ‡āļĄāļžāļ­āļ”āļĩāļ—āļąāđ‰āļ‡ 2 āļ–āļąāļ‡ āļ–āļąāļ‡ A āļĄāļĩāļĢāļąāļĻāļĄāļĩāļ‚āļ­āļ‡āļāļēāļ™āđ€āļ›āđ‡āļ™ 6 āļ™āļīāđ‰āļ§ āļ–āļąāļ‡āļŠāļđāļ‡ 1 āļŸāļļāļ• 
āļ–āļąāļ‡ B āļĄāļĩāļĢāļąāļĻāļĄāļĩāļāļēāļ™āđ€āļ›āđ‡āļ™ 8 āļ™āļīāđ‰āļ§ āļŠāļđāļ‡ 1.5 āļŸāļļāļ• āļ–āđ‰āļēāļ–āđˆāļēāļĒāļ™āđ‰āļģāļˆāļēāļāļ–āļąāļ‡āļ—āļąāđ‰āļ‡ 2 āļĨāļ‡āđƒāļ™āļ–āļąāļ‡ C āļˆāļ™āļŦāļĄāļ” āļ›āļĢāļēāļāļāļ§āđˆāļēāđ€āļ•āđ‡āļĄāļ–āļąāļ‡ 
āļžāļ­āļ”āļĩ āļ–āđ‰āļēāļ–āļąāļ‡ C āļĢāļđāļ›āļ—āļĢāļ‡āļāļĢāļ°āļšāļ­āļ āļĄāļĩāļĢāļąāļĻāļĄāļĩāļ‚āļ­āļ‡āļāļēāļ™āđ€āļ›āđ‡āļ™ 1 āļŸāļļāļ• āđāļĨāđ‰āļ§āļ–āļąāļ‡ C āļĄāļĩāļ„āļ§āļēāļĄāļŠāļđāļ‡āļāļĩāđˆāļ™āļīāđ‰āļ§ 
āļ. 11 āļ™āļīāđ‰āļ§ āļ‚. 11.5 āļ™āļīāđ‰āļ§ āļ„. 12 āļ™āļīāđ‰āļ§ āļ‡. 12.5 āļ™āļīāđ‰āļ§ 
21. (a – b) (a + b)3 – a4 + b4 āđāļĒāļāļ•āļąāļ§āļ›āļĢāļ°āļāļ­āļšāļ•āļĢāļ‡āļāļąāļšāļ‚āđ‰āļ­āđƒāļ” 
āļ. ab (a2 + b2) āļ‚. 2ab (a2 + b2) 
āļ„. 2ab (a – b) (a + b) āļ‡. ab (a – b) (a + b) 
22. āļāļģāļŦāļ™āļ” y = x2 + 3 āđāļĨāļ° y = x2 – 8x +16 āļ–āđ‰āļēāđ€āļ‚āļĩāļĒāļ™āļāļĢāļēāļŸāļ—āļąāđ‰āļ‡āļŠāļ­āļ‡āļšāļ™āđāļāļ™āđ€āļ”āļĩāļĒāļ§āļāļąāļ™ āļˆāļļāļ”āļĒāļ­āļ”āļ‚āļ­āļ‡ 
āļāļĢāļēāļŸāļ—āļąāđ‰āļ‡āļŠāļ­āļ‡āļ­āļĒāļđāđˆāļŦāđˆāļēāļ‡āļāļąāļ™āļāļĩāđˆāļŦāļ™āđˆāļ§āļĒ 
āļ. 4 āļŦāļ™āđˆāļ§āļĒ āļ‚. 5 āļŦāļ™āđˆāļ§āļĒ āļ„. 6 āļŦāļ™āđˆāļ§āļĒ āļ‡. 7 āļŦāļ™āđˆāļ§āļĒ 
23. āļ™āļąāļāđ€āļĢāļĩāļĒāļ™āļ—āļąāđ‰āļ‡āļŦāļĄāļ” 15 āļ„āļ™ āļĄāļĩ 12 āļ„āļ™āļŠāļ­āļšāļ§āļīāļŠāļēāļ„āļ“āļīāļ•āļĻāļēāļŠāļ•āļĢāđŒ āđāļĨāļ° 10 āļ„āļ™ āļŠāļ­āļšāļ§āļīāļŠāļēāļ āļēāļĐāļēāļ­āļąāļ‡āļāļĪāļĐ āļ–āđ‰āļēāļŠāļļāđˆāļĄ 
āđ€āļĨāļ·āļ­āļāļ™āļąāļāđ€āļĢāļĩāļĒāļ™āļĄāļē 1 āļ„āļ™ āļ„āļ§āļēāļĄāļ™āđˆāļēāļˆāļ°āđ€āļ›āđ‡āļ™āļ—āļĩāđˆāļˆāļ°āđ„āļ”āđ‰āļ™āļąāļāđ€āļĢāļĩāļĒāļ™āļ—āļĩāđˆāļŠāļ­āļšāļ§āļīāļŠāļēāļ„āļ“āļīāļ•āļĻāļēāļŠāļ•āļĢāđŒāļ­āļĒāđˆāļēāļ‡āđ€āļ”āļĩāļĒāļ§āđ€āļ›āđ‡āļ™āđ€āļ—āđˆāļēāđ„āļĢ 
āļ. 
12 āļ‚. 15 
15 
7 āļ„. 3 
2 āļ‡. 1 
3 
24. āļ„āļ™āļ‡āļēāļ™ 30 āļ„āļ™ āļŠāđˆāļ§āļĒāļāļąāļ™āļ—āļģāļ‡āļēāļ™āļŠāļīāđ‰āļ™āļŦāļ™āļķāđˆāļ‡āđ€āļŠāļĢāđ‡āļˆāđ„āļ›āļ„āļĢāļķāđˆāļ‡āļŦāļ™āļķāđˆāļ‡āļ‚āļ­āļ‡āļ‡āļēāļ™ āđƒāļŠāđ‰āđ€āļ§āļĨāļē 16 āļ§āļąāļ™ āļ–āđ‰āļēāļ•āđ‰āļ­āļ‡āļāļēāļĢāđƒāļŦāđ‰āļ‡āļēāļ™āļ—āļĩāđˆ 
āđ€āļŦāļĨāļ·āļ­āđāļĨāđ‰āļ§āđ€āļŠāļĢāđ‡āļˆāđƒāļ™ 10 āļ§āļąāļ™ āļˆāļ°āļ•āđ‰āļ­āļ‡āđ€āļžāļīāđˆāļĄāļ„āļ™āļ‡āļēāļ™āļ­āļĩāļāļāļĩāđˆāļ„āļ™ 
āļ. 16 āļ„āļ™ āļ‚. 18 āļ„āļ™ āļ„. 20 āļ„āļ™ āļ‡. 24 āļ„āļ™ 
25. āļ‹āļ·āđ‰āļ­āļŦāļ™āļąāļ‡āļŠāļ·āļ­āļˆāļģāļ™āļ§āļ™āļŦāļ™āļķāđˆāļ‡āļ„āļīāļ”āđ€āļ›āđ‡āļ™āđ€āļ‡āļīāļ™ 200 āļšāļēāļ— āļ–āđ‰āļēāļŦāļ™āļąāļ‡āļŠāļ·āļ­āļ‚āļķāđ‰āļ™āļĢāļēāļ„āļēāļ­āļĩāļāđ€āļĨāđˆāļĄāļĨāļ° 5 āļšāļēāļ— āđ€āļ‡āļīāļ™āļˆāļģāļ™āļ§āļ™āļ™āļĩāđ‰āļˆāļ°āļ‹āļ·āđ‰āļ­ 
āļŦāļ™āļąāļ‡āļŠāļ·āļ­āđ„āļ”āđ‰āļ™āđ‰āļ­āļĒāļĨāļ‡āļāļ§āđˆāļēāđ€āļ”āļīāļĄ 2 āđ€āļĨāđˆāļĄ āļ­āļĒāļēāļāļ—āļĢāļēāļšāļ§āđˆāļēāđ€āļ”āļīāļĄāļŦāļ™āļąāļ‡āļŠāļ·āļ­āļĢāļēāļ„āļēāđ€āļĨāđˆāļĄāļĨāļ°āđ€āļ—āđˆāļēāđ„āļĢ 
āļ. 20 āļšāļēāļ— āļ‚. 25 āļšāļēāļ— āļ„. 30 āļšāļēāļ— āļ‡. 35 āļšāļēāļ—
āļ„āļ“āļīāļ•āļĻāļēāļŠāļ•āļĢāđŒ (āļĄ.4) āļŦāļ™āđ‰āļē 4 
1 = āđāļĨāđ‰āļ§āļ„āđˆāļēāļ‚āļ­āļ‡ x3 – x3 
26. āļ–āđ‰āļēāļāļģāļŦāļ™āļ”āļ§āđˆāļē x – 4 
x 
1 =? 
āļ. 64 āļ‚. 68 āļ„. 76 āļ‡. 82 
8 10 āđƒāļāļĨāđ‰āđ€āļ„āļĩāļĒāļ‡āļˆāļģāļ™āļ§āļ™āđ€āļ•āđ‡āļĄāđƒāļ”āļĄāļēāļāļ—āļĩāđˆāļŠāļļāļ” 
27. āļ„āđˆāļēāļ‚āļ­āļ‡āļˆāļģāļ™āļ§āļ™āļˆāļĢāļīāļ‡ 3 
āļ. 2 āļ‚. 3 āļ„. 4 āļ‡. 5 
28. āļ–āđ‰āļēāļ„āļģāļ•āļ­āļšāļŦāļ™āļķāđˆāļ‡āļ‚āļ­āļ‡āļŠāļĄāļāļēāļĢāļāļģāļĨāļąāļ‡āļŠāļ­āļ‡ ax2 + bx + c = 0 āļ„āļ·āļ­ 2 + 3 āđāļĨāđ‰āļ§āļ­āļĩāļāļ„āļģāļ•āļ­āļšāļŦāļ™āļķāđˆāļ‡āļ‚āļ­āļ‡ 
āļŠāļĄāļāļēāļĢāļ™āļĩāđ‰āļ„āļ·āļ­āļ­āļ°āđ„āļĢ 
āļ. 3 + 2 āļ‚. 3 – 2 
āļ„. – 2 – 3 āļ‡. 2 – 3 
29. āļ–āđ‰āļēāļĢāļ°āļšāļšāļŠāļĄāļāļēāļĢ 
âŽŦ 
⎊⎭ 
⎩⎮ 
2 
y = 2x + kx + 
3 
2 
y = x − 3x + 
2 
āđāļĨāļ° 
āļĄāļĩāļ„āļģāļ•āļ­āļšāđ€āļžāļĩāļĒāļ‡āļ„āļģāļ•āļ­āļšāđ€āļ”āļĩāļĒāļ§āđāļĨāđ‰āļ§ āļ„āđˆāļēāļ‚āļ­āļ‡āļˆāļģāļ™āļ§āļ™āļˆāļĢāļīāļ‡ k āđ€āļ—āđˆāļēāļāļąāļšāđ€āļ—āđˆāļēāđƒāļ” 
āļ. 1, –5 āļ‚. 1 , 5 āļ„. –1, –5 āļ‡. –1, 5 
30. āļ–āđ‰āļēāļ•āļąāļ§āļŦāļēāļĢāļĢāđˆāļ§āļĄāļĄāļēāļāļ—āļĩāđˆāļŠāļļāļ”āļ‚āļ­āļ‡ a āđāļĨāļ° b āđ€āļ—āđˆāļēāļāļąāļš 24 āđāļĨāļ° ab = 3840 āđāļĨāđ‰āļ§ āļ•āļąāļ§āļ„āļđāļ“āļĢāđˆāļ§āļĄāļ™āđ‰āļ­āļĒāļ—āļĩāđˆāļŠāļļāļ”āļ‚āļ­āļ‡ 
a āđāļĨāļ° b āđ€āļ—āđˆāļēāļāļąāļšāđ€āļ—āđˆāļēāđƒāļ” 
āļ. 960 āļ‚. 320 āļ„. 160 āļ‡. 120 
31. āđƒāļŦāđ‰ a, b > 0 āđ‚āļ”āļĒ a āđ€āļ›āđ‡āļ™āļĢāļēāļāļ—āļĩāđˆāļŠāļ­āļ‡āļ‚āļ­āļ‡ b āđāļĨāļ° b āđ€āļ›āđ‡āļ™āļĢāļēāļāļ—āļĩāđˆāļŠāļēāļĄāļ‚āļ­āļ‡ 4 āļ‚āđ‰āļ­āđƒāļ”āđ€āļ›āđ‡āļ™āļˆāļĢāļīāļ‡ 
āļ. a2b2 = 2b āļ‚. a4b = a3 + 2 
āļ„. 2a2 = b6 + 2 āļ‡. 2b2 = a6 + 2 
32. āļŠāļĄāļāļēāļĢāđƒāļ™āļ‚āđ‰āļ­āđƒāļ”āļ—āļĩāđˆāđ„āļĄāđˆāļĄāļĩāļĢāļēāļ (root) āļ—āļĩāđˆāđ€āļ›āđ‡āļ™āļˆāļģāļ™āļ§āļ™āļˆāļĢāļīāļ‡ 
āļ. x2 – x – 1 = 0 āļ‚. x2 + x – 1 = 0 
āļ„. x2 – 2x – 2 = 0 āļ‡. x2 + x + 1 = 0 
33. āļĢāļēāļāļ—āļĩāđˆāļŠāļ­āļ‡āļšāļ§āļāļ‚āļ­āļ‡ 9 + 4 2 āđ€āļ—āđˆāļēāļāļąāļšāđ€āļ—āđˆāļēāđƒāļ” 
āļ. 1 + 2 2 āļ‚. 1 – 2 2 
āļ„. 3 + 2 2 āļ‡. 3 + 2
āļ„āļ“āļīāļ•āļĻāļēāļŠāļ•āļĢāđŒ (āļĄ.4) āļŦāļ™āđ‰āļē 5 
(10,002)2 − 
(9,998)2 
34. āļˆāļ‡āļŦāļēāļ„āđˆāļēāļ‚āļ­āļ‡ (20,004)2 − 
(19,996)2 
āļ. 4 āļ‚. 
1 āļ„. 
4 
1 āļ‡. 
8 
11 
17 
1 + 1 
= 1 
āļˆāļ‡āļŦāļēāļ„āđˆāļēāļ‚āļ­āļ‡ x y 2xy 
35. āļāļģāļŦāļ™āļ”āđƒāļŦāđ‰ x 
y 
2 
2x + 2y − 
3xy 
+ − 
āļ. 
5 āļ‚. 
3 
4 āļ„. 
3 
− 4 āļ‡. 2 
3 
36. āļ–āđ‰āļē x2 – x – 2 āļŦāļēāļĢāļžāļŦāļļāļ™āļēāļĄ x5 + x4 + qx2 + rx – 12 āđāļĨāđ‰āļ§ āļˆāļ‡āļŦāļēāļ„āđˆāļēāļ‚āļ­āļ‡ 2q + r 
āļ. –18 āļ‚. –36 āļ„. –40 āļ‡. –48 
37. āļˆāļ‡āļŦāļēāļ„āđˆāļēāļ‚āļ­āļ‡ 
8 − 32 + 
18 
8 − 
50 
āļ. 1 āļ‚. – 1 āļ„. 
1 āļ‡. – 
3 
1 
3 
≠ 1 
38. āļˆāļ‡āļ—āļģāđƒāļŦāđ‰āđ€āļ›āđ‡āļ™āļœāļĨāļŠāļģāđ€āļĢāđ‡āļˆ āđ€āļĄāļ·āđˆāļ­ x , 1, 2 
2 
⎞ 
⎟ ⎟ 
⎠ 
⎛ 
⎜ ⎜ 
⎝ 
2x2 − 3x + 
1 
− 
⎞ 
⎟⎠ 
⎛ 
⎜⎝ 
3 
− 
− 
1 
− 2x 1 
x 2 
x 1 
āļ. 1 āļ‚. – 1 āļ„. 2 āļ‡. –2 
39. āļˆāļēāļāļĢāļđāļ› āļāļģāļŦāļ™āļ”āļ§āđˆāļē sin A = 
2 āļ”āđ‰āļēāļ™ BC āļĒāļēāļ§ 4 āļŦāļ™āđˆāļ§āļĒ 
5 
āđāļĨāļ°āļ”āđ‰āļēāļ™ AB āļĒāļēāļ§ x āļŦāļ™āđˆāļ§āļĒ āļˆāļ‡āļŦāļēāļ§āđˆāļē x āļŠāļ­āļ”āļ„āļĨāđ‰āļ­āļ‡āļāļąāļš 
āļŠāļĄāļāļēāļĢāđƒāļ” 
āļ. x2 – 4x + 4 = 0 
āļ‚. x2 – 4x + 8 = 0 
āļ„. x2 – 6x + 4 = 0 
āļ‡. x2 - 5 x – 10 = 0 
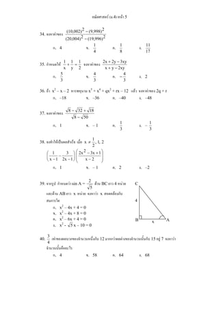
40. 
3 āđ€āļ—āđˆāļēāļ‚āļ­āļ‡āļœāļĨāļšāļ§āļāļ‚āļ­āļ‡āļˆāļģāļ™āļ§āļ™āļŦāļ™āļķāđˆāļ‡āļāļąāļš 12 āļĄāļēāļāļāļ§āđˆāļēāļœāļĨāļ•āđˆāļēāļ‡āļ‚āļ­āļ‡āļˆāļģāļ™āļ§āļ™āļ™āļąāđ‰āļ™āļāļąāļš 15 āļ­āļĒāļđāđˆ 7 āļˆāļ‡āļŦāļēāļ§āđˆāļē 
4 
āļˆāļģāļ™āļ§āļ™āļ™āļąāđ‰āļ™āļ„āļ·āļ­āļ­āļ°āđ„āļĢ 
āļ. 4 āļ‚. 58 āļ„. 64 āļ‡. 68 
C 
4 
B x A
āļ„āļ“āļīāļ•āļĻāļēāļŠāļ•āļĢāđŒ (āļĄ.4) āļŦāļ™āđ‰āļē 6 
41. āļžāļŦāļļāļ™āļēāļĄ x + 1 āļŦāļēāļĢāļžāļŦāļļāļ™āļēāļĄāļ‚āđ‰āļ­āđƒāļ”āđ„āļ”āđ‰āļĨāļ‡āļ•āļąāļ§ 
āļ. x10 + 1 āļ‚. x11 + 1 
āļ„. x12 + 1 āļ‡. āļ–āļđāļāļ—āļļāļāļ‚āđ‰āļ­ 
42. āļžāļēāļĢāļēāđ‚āļšāļĨāļēāļĄāļĩāļŠāļĄāļāļēāļĢāļ§āđˆāļē y = 2x2 + k āđ€āļĄāļ·āđˆāļ­ k > 0 āļĢāļ°āļĒāļ°āļ—āļēāļ‡āļĢāļ°āļŦāļ§āđˆāļēāļ‡āļˆāļļāļ”āļĒāļ­āļ”āļ‚āļ­āļ‡āļžāļēāļĢāļēāđ‚āļšāļĨāļēāļāļąāļšāļˆāļļāļ” 
(k, 0) āđ€āļ—āđˆāļēāļāļąāļš 8 āļˆāļ‡āļŦāļēāļ„āđˆāļēāļ‚āļ­āļ‡ k 
āļ. 2 āļ‚. 2 āļ„. 3 āļ‡. 4 
43. āļˆāļēāļāļĢāļđāļ› āļ§āļ‡āļāļĨāļĄāļĄāļĩāļžāļ·āđ‰āļ™āļ—āļĩāđˆ 81π āļ•āļēāļĢāļēāļ‡āļŦāļ™āđˆāļ§āļĒ O āđ€āļ›āđ‡āļ™āļˆāļļāļ”āļĻāļđāļ™āļĒāđŒāļāļĨāļēāļ‡āļ‚āļ­āļ‡āļ§āļ‡āļāļĨāļĄ āļ–āđ‰āļēāļ„āļ­āļĢāđŒāļ” AC āļĒāļēāļ§ 
12 āļŦāļ™āđˆāļ§āļĒ āļˆāļ‡āļŦāļēāļžāļ·āđ‰āļ™āļ—āļĩāđˆāļ‚āļ­āļ‡āļŠāļēāļĄāđ€āļŦāļĨāļĩāđˆāļĒāļĄ ABC (āļ•āļēāļĢāļēāļ‡āļŦāļ™āđˆāļ§āļĒ) 
āļ. 12 5 
āļ‚. 18 5 
āļ„. 32 5 
A 
āļ‡. 36 5 
C 
44. āļˆāļēāļāļĢāļđāļ› āļŠāļĩāđˆāđ€āļŦāļĨāļĩāđˆāļĒāļĄ OABC āđ€āļ›āđ‡āļ™āļŠāļĩāđˆāđ€āļŦāļĨāļĩāđˆāļĒāļĄāļĄāļļāļĄāļ‰āļēāļ āļ–āđ‰āļēāļŦāļĄāļļāļ™āļŠāđˆāļ§āļ™āļ‚āļ­āļ‡āđ€āļŠāđ‰āļ™āļ•āļĢāļ‡ AB āļĢāļ­āļšāđāļāļ™ OC āļˆāļ°āđ„āļ”āđ‰ 
āļĢāļđāļ›āļ—āļĢāļ‡āļ—āļĩāđˆāļĄāļĩāļ›āļĢāļīāļĄāļēāļ•āļĢāđ€āļ—āđˆāļēāđƒāļ” 
āļ. 6π 
āļ‚. 12π 
āļ„. 18π 
āļ‡. 12 
B(2,3) 
y 
45. āļˆāļēāļāļĢāļđāļ› āļ§āļ‡āļāļĨāļĄ 2 āļ§āļ‡āļŠāļąāļĄāļœāļąāļŠāļāļąāļ™āļ—āļĩāđˆāļˆāļļāļ” T āļāļģāļŦāļ™āļ”āļ„āļ§āļēāļĄāļĒāļēāļ§āļ‚āļ­āļ‡āļ„āļ­āļĢāđŒāļ”āļ”āļąāļ‡āļĢāļđāļ› āļˆāļ‡āļŦāļēāļ­āļąāļ•āļĢāļēāļŠāđˆāļ§āļ™ x : y 
āļ. 8 : 3 
āļ‚. 5 : 4 
āļ„. 4 : 5 
āļ‡. 3 : 10 
46. āļŠāļēāļĒāļ„āļ™āļŦāļ™āļķāđˆāļ‡āđ€āļ”āļīāļ™āđ„āļ›āļ—āļēāļ‡āļ—āļīāļĻāđ€āļŦāļ™āļ·āļ­ 3 āļāļĄ. āđāļĨāđ‰āļ§āđ€āļ”āļīāļ™āđ„āļ›āļ—āļēāļ‡āļ—āļīāļĻāļ•āļ°āļ§āļąāļ™āļ­āļ­āļ 3 āļāļĄ. āđāļĨāļ°āđ€āļ”āļīāļ™āđ„āļ›āļ—āļēāļ‡āļ—āļīāļĻāđ€āļŦāļ™āļ·āļ­ 
āļ­āļĩāļ 4 āļāļĄ. āļˆāļ‡āļŦāļēāļ§āđˆāļēāļˆāļļāļ”āļ›āļĨāļēāļĒāļ—āļēāļ‡āļŦāđˆāļēāļ‡āļˆāļēāļāļˆāļļāļ”āđ€āļĢāļīāđˆāļĄāļ•āđ‰āļ™āļāļĩāđˆ āļāļĄ. 
āļ. 62 āļ‚. 58 āļ„. 10 āļ‡. 29 
B 
O 
O A(2,0) 
x 
C 
A 
x 
C 
y 
T 
3 
8 
D 
10 
B
āļ„āļ“āļīāļ•āļĻāļēāļŠāļ•āļĢāđŒ (āļĄ.4) āļŦāļ™āđ‰āļē 7 
47. āļ“ āļˆāļļāļ” 2 āļˆāļļāļ”āļšāļ™āļžāļ·āđ‰āļ™āļ”āļīāļ™āļ‹āļķāđˆāļ‡āļŦāđˆāļēāļ‡āļāļąāļ™ 18 āļĄ. āļĒāļ­āļ”āđ€āļŠāļēāļ˜āļ‡āļ—āļģāļĄāļļāļĄāđ€āļ‡āļĒ 60 o āđāļĨāļ° 30 o āļ•āļēāļĄāļĨāļģāļ”āļąāļš āļˆāļ‡āļŦāļēāļ§āđˆāļēāđ€āļŠāļēāļ˜āļ‡ 
āļŠāļđāļ‡āļāļĩāđˆāđ€āļĄāļ•āļĢ 
āļ. 24 3 
āļ‚. 18 3 
āļ„. 9 3 
āļ‡. 7 3 
60o 30o 
A 18 m B 
48. āļ—āļĢāļ‡āļāļĨāļĄāļšāļĢāļĢāļˆāļļāļ āļēāļĒāđƒāļ™āļĢāļđāļ›āļ—āļĢāļ‡āļŠāļĩāđˆāđ€āļŦāļĨāļĩāđˆāļĒāļĄāļˆāļąāļ•āļļāļĢāļąāļŠāļĒāļēāļ§āļ”āđ‰āļēāļ™āļĨāļ° 12 āļ™āļīāđ‰āļ§ āļˆāļ°āļĄāļĩāļ›āļĢāļīāļĄāļēāļ•āļĢāļāļĩāđˆāļĨāļđāļāļšāļēāļĻāļāđŒāļ™āļīāđ‰āļ§ 
āļ. 284π āļ‚. 288π 
āļ„. 124π āļ‡. 48π 
49. āļāļĢāļ§āļĒāļāļĨāļĄāļ•āļĢāļ‡āļĢāļąāļĻāļĄāļĩāļ—āļĩāđˆāļāļēāļ™ 10 āļ‹āļĄ. āļŠāļđāļ‡āļ•āļĢāļ‡ 12 āļ‹āļĄ. āļ–āđ‰āļēāļ•āļąāļ”āļāļĢāļ§āļĒāļ—āļĩāđˆāļ„āļ§āļēāļĄāļŠāļđāļ‡ 6 āļ‹āļĄ. āļˆāļēāļāļĒāļ­āļ”āļāļĢāļ§āļĒāđƒāļŦāđ‰āļĄāļĩāļāļēāļ™ 
āđ€āļ›āđ‡āļ™āļ§āļ‡āļāļĨāļĄāđ€āļŠāđˆāļ™āđ€āļ”āļīāļĄ āļˆāļ‡āļŦāļēāļĢāļąāļĻāļĄāļĩāļ‚āļ­āļ‡āļāļēāļ™āļāļĢāļ§āļĒāļ­āļąāļ™āđƒāļŦāļĄāđˆāļ™āļĩāđ‰ 
āļ. 5 
āļ‚. 6 
āļ„. 3.6 
āļ‡. 4 
6 CM 
50. āļ„āļ°āđāļ™āļ™āđ€āļ‰āļĨāļĩāđˆāļĒāđƒāļ™āļāļēāļĢāļŠāļ­āļšāļ§āļīāļŠāļēāļ āļēāļĐāļēāđ„āļ—āļĒāļ‚āļ­āļ‡āļ™āļąāļāđ€āļĢāļĩāļĒāļ™ 33 āļ„āļ™ āđ€āļ—āđˆāļēāļāļąāļš 42.35 āļ–āđ‰āļēāļĄāļĩāļ™āļąāļāđ€āļĢāļĩāļĒāļ™āļ‚āļēāļ”āļŠāļ­āļš 
2 āļ„āļ™ āđ‚āļ”āļĒāļĄāļēāļŠāļ­āļšāļ—āļĩāļŦāļĨāļąāļ‡ āļ„āļ°āđāļ™āļ™āđ€āļ‰āļĨāļĩāđˆāļĒāļ‚āļ­āļ‡ 2 āļ„āļ™āļ™āļĩāđ‰āđ€āļ—āđˆāļēāļāļąāļš 38.25 āļˆāļ‡āļŦāļēāļ§āđˆāļēāļ„āļ°āđāļ™āļ™āđ€āļ‰āļĨāļĩāđˆāļĒāļ‚āļ­āļ‡āļ™āļąāļāđ€āļĢāļĩāļĒāļ™āļ—āļąāđ‰āļ‡ 
35 āļ„āļ™ āđ€āļ›āđ‡āļ™āđ€āļ—āđˆāļēāđ„āļĢ 
āļ. 42.12 āļ‚. 40.30 
āļ„. 40.12 āļ‡. 39.25 
-------------------------------------------------------------------------------------------------------

Satit tue134008

  • 1.
    āļ„āļ“āļīāļ•āļĻāļēāļŠāļ•āļĢāđŒ (āļĄ.4) āļŦāļ™āđ‰āļē1 1. āļ‚āđ‰āļ­āļ„āļ§āļēāļĄāđƒāļ”āļ•āđˆāļ­āđ„āļ›āļ™āļĩāđ‰āđ€āļ›āđ‡āļ™āļˆāļĢāļīāļ‡ āļ. 2.9999â€Ķ āđ€āļ›āđ‡āļ™āļˆāļģāļ™āļ§āļ™āđ€āļ•āđ‡āļĄ āļ‚. 7.3434â€Ķ āđ€āļ›āđ‡āļ™āļˆāļģāļ™āļ§āļ™āļ­āļ•āļĢāļĢāļāļĒāļ° āļ„. π = 22 āļ‡. 4 + 9 āđ€āļ›āđ‡āļ™āļˆāļģāļ™āļ§āļ™āļ­āļ•āļĢāļĢāļāļĒāļ° 7 2. āļˆāļ°āļ•āđ‰āļ­āļ‡āļ™āļģāļ„āļģāļ•āļ­āļšāļ‚āđ‰āļ­āđƒāļ”āļĄāļēāļšāļ§āļāļāļąāļšāļœāļĨāļšāļ§āļāļ‚āļ­āļ‡ 5a2b – 6a2 + 7b2 āđāļĨāļ° â€“7a2b + a2 + b2 āļˆāļķāļ‡āļˆāļ°āđ„āļ”āđ‰ āļœāļĨāļĨāļąāļžāļ˜āđŒāđ€āļ›āđ‡āļ™ â€“8a2b – 13a2 + 4b2 āļ. 6a2b – 8a2 + 4b2 āļ‚. –6a2b – 8a2 – 4b2 āļ„. 6a2b + 8a2 – 4b2 āļ‡. –6a2b + 8a2 + 4b2 81n − 1 × 8m × 3n + 4 3. āļāļģāļŦāļ™āļ” m , n āđ€āļ›āđ‡āļ™āļˆāļģāļ™āļ§āļ™āđ€āļ•āđ‡āļĄ āļ„āđˆāļēāļ‚āļ­āļ‡ 27n × 4m × 32n × 2 m āļ•āļĢāļ‡āļāļąāļšāļ‚āđ‰āļ­āđƒāļ” āļ. –1 āļ‚. 0 āļ„. 1 āļ‡. 4 4. āļ„āđˆāļēāļ‚āļ­āļ‡ x āļˆāļēāļāļŠāļĄāļāļēāļĢ 2x+2 + 2x − 2x−1 = 40 āļ•āļĢāļ‡āļāļąāļšāļ‚āđ‰āļ­āđƒāļ” āļ. 1 āļ‚. 2 āļ„. 4 āļ‡. 6 5. āļ–āđ‰āļēāļŦāļēāļĢāļžāļŦāļļāļ™āļēāļĄ 2x3 − x2 − 2x + 9 āļ”āđ‰āļ§āļĒāļžāļŦāļļāļ™āļēāļĄ A āļˆāļ°āđ„āļ”āđ‰āļœāļĨāļĨāļąāļžāļ˜āđŒ x2 − 2x + 2 āđ€āļŦāļĨāļ·āļ­āđ€āļĻāļĐ 3 āļžāļŦāļļāļ™āļēāļĄ A āļ•āļĢāļ‡āļāļąāļšāļ‚āđ‰āļ­āđƒāļ” āļ. 2x – 3 āļ‚. 2x – 9 āļ„. 2x + 3 āļ‡. 2x + 9 6. āļˆāļēāļāļĢāļđāļ› āļ§āļ‡āļĨāđ‰āļ­āļĢāļ–āļĄāļĩāļāđ‰āļ­āļ™āļ­āļīāļāļŠāļđāļ‡ 2 āļ™āļīāđ‰āļ§āļ”āļąāļ™āđ„āļ§āđ‰ āļ–āđ‰āļē AB = 4 āļ™āļīāđ‰āļ§ āļ§āļ‡āļĨāđ‰āļ­āļ™āļĩāđ‰āļĄāļĩāļĢāļąāļĻāļĄāļĩāļĒāļēāļ§āļāļĩāđˆāļ™āļīāđ‰āļ§ āļ. 5 āļ™āļīāđ‰āļ§ āļ‚. 10 āļ™āļīāđ‰āļ§ āļ„. 15 āļ™āļīāđ‰āļ§ āļ‡. 15 2 āļ™āļīāđ‰āļ§ 7. āļˆāļēāļāļĢāļđāļ› ABCDEF āđ€āļ›āđ‡āļ™āļŦāļāđ€āļŦāļĨāļĩāđˆāļĒāļĄāļ”āđ‰āļēāļ™āđ€āļ—āđˆāļēāļĄāļļāļĄāđ€āļ—āđˆāļē PA āđāļĨāļ° PC āđ€āļ›āđ‡āļ™āđ€āļŠāđ‰āļ™āļŠāļąāļĄāļœāļąāļŠ āļĄāļļāļĄ x āļāļēāļ‡āļāļĩāđˆāļ­āļ‡āļĻāļē āļ. 15 āļ­āļ‡āļĻāļē āļ‚. 30 āļ­āļ‡āļĻāļē āļ„. 45 āļ­āļ‡āļĻāļē āļ‡. 60 āļ­āļ‡āļĻāļē A , 20 D AˆC = = āļ‚āļ™āļēāļ”āļ‚āļ­āļ‡ B Oˆ 8. āļˆāļēāļāļĢāļđāļ› o o 80 B Dˆ A āđ€āļ—āđˆāļēāļāļąāļšāļ‚āđ‰āļ­āđƒāļ” āļ. 100 āļ­āļ‡āļĻāļē āļ‚. 110 āļ­āļ‡āļĻāļē āļ„. 115 āļ­āļ‡āļĻāļē āļ‡. 120 āļ­āļ‡āļĻāļē
  • 2.
    āļ„āļ“āļīāļ•āļĻāļēāļŠāļ•āļĢāđŒ (āļĄ.4) āļŦāļ™āđ‰āļē2 9. āļ–āđ‰āļē + a 6 5 = āđāļĨāđ‰āļ§ 22a – a2 āļĄāļĩāļ„āđˆāļēāđ€āļ—āđˆāļēāļāļąāļšāļ‚āđ‰āļ­āđƒāļ” 6 − 5 āļ.0 āļ‚. – 1 āļ„. 1 āļ‡. 2 0.6&x + 0.25 − 1 = & − − āļ„āđˆāļēāļ‚āļ­āļ‡ x āļĄāļĩāļ„āđˆāļēāđ€āļ—āđˆāļēāđ„āļĢ x 1.8 0.75x 1 9 10. āļˆāļēāļāļŠāļĄāļāļēāļĢ 3 āļ. – 2 āļ‚. – 1 āļ„. 1 āļ‡. 2 11. āļ›āļąāļˆāļˆāļļāļšāļąāļ™āļ­āļēāļĒāļļāļ‚āļ­āļ‡āļ™āđ‰āļ­āļ‡āđāļ­āļĄāđāļĨāļ°āļžāļĩāđˆāļ­āļ­āļĄāļĄāļĩāļ­āļąāļ•āļĢāļēāļŠāđˆāļ§āļ™āđ€āļ›āđ‡āļ™ 1 : 3 āđ€āļĄāļ·āđˆāļ­ 4 āļ›āļĩāļ—āļĩāđˆāđāļĨāđ‰āļ§āļ­āļēāļĒāļļāļ‚āļ­āļ‡āļ™āđ‰āļ­āļ‡āđāļ­āļĄāđāļĨāļ°āļžāļĩāđˆāļ­āļ­āļĄ āļĄāļĩāļ­āļąāļ•āļĢāļēāļŠāđˆāļ§āļ™āđ€āļ›āđ‡āļ™ 1 : 5 āļ›āļąāļˆāļˆāļļāļšāļąāļ™āļ™āđ‰āļ­āļ‡āđāļ­āļĄāļĄāļĩāļ­āļēāļĒāļļāļāļĩāđˆāļ›āļĩ āļ. 6 āļ›āļĩ āļ‚. 8 āļ›āļĩ āļ„. 10 āļ›āļĩ āļ‡. 12 āļ›āļĩ 12. āļ‚āđ‰āļ­āđƒāļ”āđ€āļ›āđ‡āļ™āļ„āļģāļ•āļ­āļšāļ‚āļ­āļ‡āļ­āļŠāļĄāļāļēāļĢ x – 19 < – 3x – 7 < 2x + 3 āļ. – 1 < x < 3 āļ‚. 1 < x < 3 āļ„. – 4 < x < 3 āļ‡. – 2 < x < 3 13. āļ™āļēāļĒāđ‚āļŠāļ„āļ”āļĩāđ„āļ”āđ‰āļĢāļąāļšāđ€āļ‡āļīāļ™āļˆāļēāļāļžāđˆāļ­āđāļĨāļ°āđāļĄāđˆāđ€āļ›āđ‡āļ™āļˆāļģāļ™āļ§āļ™āđ€āļ‡āļīāļ™āđ€āļ—āđˆāļēāļāļąāļ™ āļ™āļģāđ„āļ›āļ‹āļ·āđ‰āļ­āļŠāļĄāļļāļ” 50 āļšāļēāļ— āđāļĨāļ°āļāļēāļāļ­āļ­āļĄāļŠāļīāļ™ 100 āļšāļēāļ— āđ€āļĄāļ·āđˆāļ­āļ™āļąāļšāđ€āļ‡āļīāļ™āļ—āļĩāđˆāđ€āļŦāļĨāļ·āļ­āļ›āļĢāļēāļāļāļ§āđˆāļēāđ€āļŦāļĨāļ·āļ­āđ€āļ‡āļīāļ™āđ„āļĄāđˆāļ–āļķāļ‡ 10 āļšāļēāļ— āđ‚āļŠāļ„āļ”āļĩāđ„āļ”āđ‰āļĢāļąāļšāđ€āļ‡āļīāļ™āļˆāļēāļāđāļĄāđˆāđ€āļ—āđˆāļēāđ„āļĢ āļ. āļĄāļēāļāļāļ§āđˆāļē 70 āļšāļēāļ— āđāļ•āđˆāđ„āļĄāđˆāļ–āļķāļ‡ 75 āļšāļēāļ— āļ‚. āļĄāļēāļāļāļ§āđˆāļē 70 āļšāļēāļ— āđāļ•āđˆāđ„āļĄāđˆāļ–āļķāļ‡ 80 āļšāļēāļ— āļ„. āļĄāļēāļāļāļ§āđˆāļē 75 āļšāļēāļ— āđāļ•āđˆāđ„āļĄāđˆāļ–āļķāļ‡ 80 āļšāļēāļ— āļ‡. āļĄāļēāļāļāļ§āđˆāļē 75 āļšāļēāļ— āđāļ•āđˆāđ„āļĄāđˆāļ–āļķāļ‡ 85 āļšāļēāļ— 14. āļĢāļ–āļ›āļĢāļ°āļˆāļģāļ—āļēāļ‡āđāļĨāļ°āļĢāļ–āļ•āļđāđ‰āļ­āļ­āļāļˆāļēāļāļŠāļ–āļēāļ™āļĩāļ‚āļ™āļŠāđˆāļ‡āđ€āļ”āļĩāļĒāļ§āļāļąāļ™ āđ‚āļ”āļĒāļĢāļ–āļ›āļĢāļ°āļˆāļģāļ—āļēāļ‡āļ­āļ­āļāđ€āļ§āļĨāļē 10.00 āļ™. āļ”āđ‰āļ§āļĒ āļ„āļ§āļēāļĄāđ€āļĢāđ‡āļ§ 60 āļāļīāđ‚āļĨāđ€āļĄāļ•āļĢāļ•āđˆāļ­āļŠāļąāđˆāļ§āđ‚āļĄāļ‡ āļŠāđˆāļ§āļ™āļĢāļ–āļ•āļđāđ‰āļ­āļ­āļāđ€āļ§āļĨāļē 10.45 āļ™. āļ”āđ‰āļ§āļĒāļ„āļ§āļēāļĄāđ€āļĢāđ‡āļ§ 90 āļāļīāđ‚āļĨāđ€āļĄāļ•āļĢāļ•āđˆāļ­āļŠāļąāđˆāļ§āđ‚āļĄāļ‡ āļ–āđ‰āļēāļĢāļ–āļ—āļąāđ‰āļ‡āļŠāļ­āļ‡āļˆāļķāļ‡āļˆāļļāļ”āļŦāļĄāļēāļĒāļžāļĢāđ‰āļ­āļĄāļāļąāļ™ āļĢāļ°āļĒāļ°āļ—āļēāļ‡āļĢāļ°āļŦāļ§āđˆāļēāļ‡āļŠāļ–āļēāļ™āļĩāļ—āļąāđ‰āļ‡āļŠāļ­āļ‡āļŦāđˆāļēāļ‡āļāļąāļ™āļāļĩāđˆāļāļīāđ‚āļĨāđ€āļĄāļ•āļĢ āļ. 135 āļāļīāđ‚āļĨāđ€āļĄāļ•āļĢ āļ‚. 140 āļāļīāđ‚āļĨāđ€āļĄāļ•āļĢ āļ„. 145 āļāļīāđ‚āļĨāđ€āļĄāļ•āļĢ āļ‡. 150 āļāļīāđ‚āļĨāđ€āļĄāļ•āļĢ 15. āļŠāļĄāļāļēāļĢāļ„āļđāđˆāđƒāļ”āđ€āļĄāļ·āđˆāļ­āļ™āļģāđ„āļ›āđ€āļ‚āļĩāļĒāļ™āļāļĢāļēāļŸāđāļĨāđ‰āļ§āļ•āļąāļ”āļāļąāļ™āđ€āļ›āđ‡āļ™āļĄāļļāļĄāļ‰āļēāļ āļ. 2x – 3y – 11 = 0 āļ‚. 2x – 3y – 1 = 0 2x + 3y – 9 = 0 3x + 2y – 7 = 0 āļ„. 2x + 3y – 4 = 0 āļ‡. 2x – 3y – 6 = 0 4x + 6y – 12 = 0 3x – 2y – 12 = 0 16. āļ™āđ‰āļģāļŠāđ‰āļĄ 2 āļŠāļ™āļīāļ” āļĢāļēāļ„āļēāļĨāļīāļ•āļĢāļĨāļ° 8 āļšāļēāļ— āđāļĨāļ°āļĨāļīāļ•āļĢāļĨāļ° 15 āļšāļēāļ— āļ™āļģāļĄāļēāļœāļŠāļĄāđƒāļ™āļ­āļąāļ•āļĢāļēāļŠāđˆāļ§āļ™āđ€āļ—āđˆāļēāđ„āļĢ āļˆāļķāļ‡āļˆāļ°āļ—āļģāđƒāļŦāđ‰āđ€āļĄāļ·āđˆāļ­ āļ‚āļēāļĒāđ„āļ›āļĢāļēāļ„āļēāļĨāļīāļ•āļĢāļĨāļ° 12 āļšāļēāļ— āļˆāļķāļ‡āļĄāļĩāļāļģāđ„āļĢ 20 āđ€āļ›āļ­āļĢāđŒāđ€āļ‹āđ‡āļ™āļ•āđŒ āļ. 3 : 2 āļ‚. 2 : 3 āļ„. 2 : 5 āļ‡. 5 : 2
  • 3.
    āļ„āļ“āļīāļ•āļĻāļēāļŠāļ•āļĢāđŒ (āļĄ.4) āļŦāļ™āđ‰āļē3 17. āļ™āļąāļāđ€āļĢāļĩāļĒāļ™āļāļĨāļļāđˆāļĄāļŦāļ™āļķāđˆāļ‡āđ€āļ‰āļĨāļĩāđˆāļĒāđ€āļ‡āļīāļ™āļāļąāļ™āđ€āļžāļ·āđˆāļ­āļ‹āļ·āđ‰āļ­āļ­āļēāļŦāļēāļĢāļĄāļēāļĢāļąāļšāļ›āļĢāļ°āļ—āļēāļ™ āļ›āļĢāļēāļāļāļ§āđˆāļē āļ–āđ‰āļēāļ„āļ™āļ™āđ‰āļ­āļĒāļĨāļ‡ 12 āļ„āļ™ āļˆāļ°āļ•āđ‰āļ­āļ‡āļ­āļ­āļ āđ€āļ‡āļīāļ™āđ€āļžāļīāđˆāļĄāļ„āļ™āļĨāļ° 18 āļšāļēāļ— āđāļ•āđˆāļ–āđ‰āļēāļĄāļĩāļ„āļ™āļĄāļēāđ€āļžāļīāđˆāļĄāļ­āļĩāļ 8 āļ„āļ™ āļˆāļ°āļ­āļ­āļāđ€āļ‡āļīāļ™āļĨāļ”āļĨāļ‡āļ„āļ™āļĨāļ° 6 āļšāļēāļ— āļˆāļ‡āļŦāļēāļ„āđˆāļēāļ­āļēāļŦāļēāļĢāļĄāļ·āđ‰āļ­āļ™āļĩāđ‰ āļ. 720 āļšāļēāļ— āļ‚. 840 āļšāļēāļ— āļ„. 880 āļšāļēāļ— āļ‡. 960 āļšāļēāļ— 18. āļ„āđˆāļē x āļˆāļēāļāļŠāļĄāļāļēāļĢ tan2 45 o – cos2 60 o = x sin 45 o cos 45 o tan 60 o āļ•āļĢāļ‡āļāļąāļšāļ‚āđ‰āļ­āđƒāļ” āļ. 3 āļ‚. 2 2 3 āļ„. 3 2 āļ‡. 3 19. āļ™āļēāļĒ āļ āļ­āļĒāļđāđˆāļ—āļēāļ‡āļ—āļīāļĻāđ€āļŦāļ™āļ·āļ­āļ‚āļ­āļ‡āđ€āļŠāļēāļ˜āļ‡āđāļŦāđˆāļ‡āļŦāļ™āļķāđˆāļ‡āļ§āļąāļ”āļĄāļļāļĄāđ€āļ‡āļĒāļ‚āļ­āļ‡āđ€āļŠāļēāļ˜āļ‡āđ„āļ”āđ‰ 45 o āļ™āļēāļĒ āļ‚ āļ­āļĒāļđāđˆāļ—āļēāļ‡āļ—āļīāļĻāđƒāļ•āđ‰āļ‚āļ­āļ‡āđ€āļŠāļē āļ˜āļ‡āļ§āļąāļ”āļĄāļļāļĄāđ€āļ‡āļĒāđ„āļ”āđ‰ 30 o āļ–āđ‰āļēāđ€āļŠāļēāļ˜āļ‡āļŠāļđāļ‡ 100 āđ€āļĄāļ•āļĢ āļ™āļēāļĒ āļ āđāļĨāļ°āļ™āļēāļĒ āļ‚ āļ­āļĒāļđāđˆāļŦāđˆāļēāļ‡āļāļąāļ™āđ€āļ—āđˆāļēāđ„āļĢ āļ. 200.5 āđ€āļĄāļ•āļĢ āļ‚. 250.2 āđ€āļĄāļ•āļĢ āļ„. 273.2 āđ€āļĄāļ•āļĢ āļ‡. 275.5 āđ€āļĄāļ•āļĢ 20. āļ–āļąāļ‡āļĢāļđāļ›āļ—āļĢāļ‡āļāļĢāļ°āļšāļ­āļ 2 āļ–āļąāļ‡ āļĄāļĩāļ™āđ‰āļģāđƒāļŠāđˆāđ„āļ§āđ‰āđ€āļ•āđ‡āļĄāļžāļ­āļ”āļĩāļ—āļąāđ‰āļ‡ 2 āļ–āļąāļ‡ āļ–āļąāļ‡ A āļĄāļĩāļĢāļąāļĻāļĄāļĩāļ‚āļ­āļ‡āļāļēāļ™āđ€āļ›āđ‡āļ™ 6 āļ™āļīāđ‰āļ§ āļ–āļąāļ‡āļŠāļđāļ‡ 1 āļŸāļļāļ• āļ–āļąāļ‡ B āļĄāļĩāļĢāļąāļĻāļĄāļĩāļāļēāļ™āđ€āļ›āđ‡āļ™ 8 āļ™āļīāđ‰āļ§ āļŠāļđāļ‡ 1.5 āļŸāļļāļ• āļ–āđ‰āļēāļ–āđˆāļēāļĒāļ™āđ‰āļģāļˆāļēāļāļ–āļąāļ‡āļ—āļąāđ‰āļ‡ 2 āļĨāļ‡āđƒāļ™āļ–āļąāļ‡ C āļˆāļ™āļŦāļĄāļ” āļ›āļĢāļēāļāļāļ§āđˆāļēāđ€āļ•āđ‡āļĄāļ–āļąāļ‡ āļžāļ­āļ”āļĩ āļ–āđ‰āļēāļ–āļąāļ‡ C āļĢāļđāļ›āļ—āļĢāļ‡āļāļĢāļ°āļšāļ­āļ āļĄāļĩāļĢāļąāļĻāļĄāļĩāļ‚āļ­āļ‡āļāļēāļ™āđ€āļ›āđ‡āļ™ 1 āļŸāļļāļ• āđāļĨāđ‰āļ§āļ–āļąāļ‡ C āļĄāļĩāļ„āļ§āļēāļĄāļŠāļđāļ‡āļāļĩāđˆāļ™āļīāđ‰āļ§ āļ. 11 āļ™āļīāđ‰āļ§ āļ‚. 11.5 āļ™āļīāđ‰āļ§ āļ„. 12 āļ™āļīāđ‰āļ§ āļ‡. 12.5 āļ™āļīāđ‰āļ§ 21. (a – b) (a + b)3 – a4 + b4 āđāļĒāļāļ•āļąāļ§āļ›āļĢāļ°āļāļ­āļšāļ•āļĢāļ‡āļāļąāļšāļ‚āđ‰āļ­āđƒāļ” āļ. ab (a2 + b2) āļ‚. 2ab (a2 + b2) āļ„. 2ab (a – b) (a + b) āļ‡. ab (a – b) (a + b) 22. āļāļģāļŦāļ™āļ” y = x2 + 3 āđāļĨāļ° y = x2 – 8x +16 āļ–āđ‰āļēāđ€āļ‚āļĩāļĒāļ™āļāļĢāļēāļŸāļ—āļąāđ‰āļ‡āļŠāļ­āļ‡āļšāļ™āđāļāļ™āđ€āļ”āļĩāļĒāļ§āļāļąāļ™ āļˆāļļāļ”āļĒāļ­āļ”āļ‚āļ­āļ‡ āļāļĢāļēāļŸāļ—āļąāđ‰āļ‡āļŠāļ­āļ‡āļ­āļĒāļđāđˆāļŦāđˆāļēāļ‡āļāļąāļ™āļāļĩāđˆāļŦāļ™āđˆāļ§āļĒ āļ. 4 āļŦāļ™āđˆāļ§āļĒ āļ‚. 5 āļŦāļ™āđˆāļ§āļĒ āļ„. 6 āļŦāļ™āđˆāļ§āļĒ āļ‡. 7 āļŦāļ™āđˆāļ§āļĒ 23. āļ™āļąāļāđ€āļĢāļĩāļĒāļ™āļ—āļąāđ‰āļ‡āļŦāļĄāļ” 15 āļ„āļ™ āļĄāļĩ 12 āļ„āļ™āļŠāļ­āļšāļ§āļīāļŠāļēāļ„āļ“āļīāļ•āļĻāļēāļŠāļ•āļĢāđŒ āđāļĨāļ° 10 āļ„āļ™ āļŠāļ­āļšāļ§āļīāļŠāļēāļ āļēāļĐāļēāļ­āļąāļ‡āļāļĪāļĐ āļ–āđ‰āļēāļŠāļļāđˆāļĄ āđ€āļĨāļ·āļ­āļāļ™āļąāļāđ€āļĢāļĩāļĒāļ™āļĄāļē 1 āļ„āļ™ āļ„āļ§āļēāļĄāļ™āđˆāļēāļˆāļ°āđ€āļ›āđ‡āļ™āļ—āļĩāđˆāļˆāļ°āđ„āļ”āđ‰āļ™āļąāļāđ€āļĢāļĩāļĒāļ™āļ—āļĩāđˆāļŠāļ­āļšāļ§āļīāļŠāļēāļ„āļ“āļīāļ•āļĻāļēāļŠāļ•āļĢāđŒāļ­āļĒāđˆāļēāļ‡āđ€āļ”āļĩāļĒāļ§āđ€āļ›āđ‡āļ™āđ€āļ—āđˆāļēāđ„āļĢ āļ. 12 āļ‚. 15 15 7 āļ„. 3 2 āļ‡. 1 3 24. āļ„āļ™āļ‡āļēāļ™ 30 āļ„āļ™ āļŠāđˆāļ§āļĒāļāļąāļ™āļ—āļģāļ‡āļēāļ™āļŠāļīāđ‰āļ™āļŦāļ™āļķāđˆāļ‡āđ€āļŠāļĢāđ‡āļˆāđ„āļ›āļ„āļĢāļķāđˆāļ‡āļŦāļ™āļķāđˆāļ‡āļ‚āļ­āļ‡āļ‡āļēāļ™ āđƒāļŠāđ‰āđ€āļ§āļĨāļē 16 āļ§āļąāļ™ āļ–āđ‰āļēāļ•āđ‰āļ­āļ‡āļāļēāļĢāđƒāļŦāđ‰āļ‡āļēāļ™āļ—āļĩāđˆ āđ€āļŦāļĨāļ·āļ­āđāļĨāđ‰āļ§āđ€āļŠāļĢāđ‡āļˆāđƒāļ™ 10 āļ§āļąāļ™ āļˆāļ°āļ•āđ‰āļ­āļ‡āđ€āļžāļīāđˆāļĄāļ„āļ™āļ‡āļēāļ™āļ­āļĩāļāļāļĩāđˆāļ„āļ™ āļ. 16 āļ„āļ™ āļ‚. 18 āļ„āļ™ āļ„. 20 āļ„āļ™ āļ‡. 24 āļ„āļ™ 25. āļ‹āļ·āđ‰āļ­āļŦāļ™āļąāļ‡āļŠāļ·āļ­āļˆāļģāļ™āļ§āļ™āļŦāļ™āļķāđˆāļ‡āļ„āļīāļ”āđ€āļ›āđ‡āļ™āđ€āļ‡āļīāļ™ 200 āļšāļēāļ— āļ–āđ‰āļēāļŦāļ™āļąāļ‡āļŠāļ·āļ­āļ‚āļķāđ‰āļ™āļĢāļēāļ„āļēāļ­āļĩāļāđ€āļĨāđˆāļĄāļĨāļ° 5 āļšāļēāļ— āđ€āļ‡āļīāļ™āļˆāļģāļ™āļ§āļ™āļ™āļĩāđ‰āļˆāļ°āļ‹āļ·āđ‰āļ­ āļŦāļ™āļąāļ‡āļŠāļ·āļ­āđ„āļ”āđ‰āļ™āđ‰āļ­āļĒāļĨāļ‡āļāļ§āđˆāļēāđ€āļ”āļīāļĄ 2 āđ€āļĨāđˆāļĄ āļ­āļĒāļēāļāļ—āļĢāļēāļšāļ§āđˆāļēāđ€āļ”āļīāļĄāļŦāļ™āļąāļ‡āļŠāļ·āļ­āļĢāļēāļ„āļēāđ€āļĨāđˆāļĄāļĨāļ°āđ€āļ—āđˆāļēāđ„āļĢ āļ. 20 āļšāļēāļ— āļ‚. 25 āļšāļēāļ— āļ„. 30 āļšāļēāļ— āļ‡. 35 āļšāļēāļ—
  • 4.
    āļ„āļ“āļīāļ•āļĻāļēāļŠāļ•āļĢāđŒ (āļĄ.4) āļŦāļ™āđ‰āļē4 1 = āđāļĨāđ‰āļ§āļ„āđˆāļēāļ‚āļ­āļ‡ x3 – x3 26. āļ–āđ‰āļēāļāļģāļŦāļ™āļ”āļ§āđˆāļē x – 4 x 1 =? āļ. 64 āļ‚. 68 āļ„. 76 āļ‡. 82 8 10 āđƒāļāļĨāđ‰āđ€āļ„āļĩāļĒāļ‡āļˆāļģāļ™āļ§āļ™āđ€āļ•āđ‡āļĄāđƒāļ”āļĄāļēāļāļ—āļĩāđˆāļŠāļļāļ” 27. āļ„āđˆāļēāļ‚āļ­āļ‡āļˆāļģāļ™āļ§āļ™āļˆāļĢāļīāļ‡ 3 āļ. 2 āļ‚. 3 āļ„. 4 āļ‡. 5 28. āļ–āđ‰āļēāļ„āļģāļ•āļ­āļšāļŦāļ™āļķāđˆāļ‡āļ‚āļ­āļ‡āļŠāļĄāļāļēāļĢāļāļģāļĨāļąāļ‡āļŠāļ­āļ‡ ax2 + bx + c = 0 āļ„āļ·āļ­ 2 + 3 āđāļĨāđ‰āļ§āļ­āļĩāļāļ„āļģāļ•āļ­āļšāļŦāļ™āļķāđˆāļ‡āļ‚āļ­āļ‡ āļŠāļĄāļāļēāļĢāļ™āļĩāđ‰āļ„āļ·āļ­āļ­āļ°āđ„āļĢ āļ. 3 + 2 āļ‚. 3 – 2 āļ„. – 2 – 3 āļ‡. 2 – 3 29. āļ–āđ‰āļēāļĢāļ°āļšāļšāļŠāļĄāļāļēāļĢ âŽŦ ⎊⎭ ⎩⎮ 2 y = 2x + kx + 3 2 y = x − 3x + 2 āđāļĨāļ° āļĄāļĩāļ„āļģāļ•āļ­āļšāđ€āļžāļĩāļĒāļ‡āļ„āļģāļ•āļ­āļšāđ€āļ”āļĩāļĒāļ§āđāļĨāđ‰āļ§ āļ„āđˆāļēāļ‚āļ­āļ‡āļˆāļģāļ™āļ§āļ™āļˆāļĢāļīāļ‡ k āđ€āļ—āđˆāļēāļāļąāļšāđ€āļ—āđˆāļēāđƒāļ” āļ. 1, –5 āļ‚. 1 , 5 āļ„. –1, –5 āļ‡. –1, 5 30. āļ–āđ‰āļēāļ•āļąāļ§āļŦāļēāļĢāļĢāđˆāļ§āļĄāļĄāļēāļāļ—āļĩāđˆāļŠāļļāļ”āļ‚āļ­āļ‡ a āđāļĨāļ° b āđ€āļ—āđˆāļēāļāļąāļš 24 āđāļĨāļ° ab = 3840 āđāļĨāđ‰āļ§ āļ•āļąāļ§āļ„āļđāļ“āļĢāđˆāļ§āļĄāļ™āđ‰āļ­āļĒāļ—āļĩāđˆāļŠāļļāļ”āļ‚āļ­āļ‡ a āđāļĨāļ° b āđ€āļ—āđˆāļēāļāļąāļšāđ€āļ—āđˆāļēāđƒāļ” āļ. 960 āļ‚. 320 āļ„. 160 āļ‡. 120 31. āđƒāļŦāđ‰ a, b > 0 āđ‚āļ”āļĒ a āđ€āļ›āđ‡āļ™āļĢāļēāļāļ—āļĩāđˆāļŠāļ­āļ‡āļ‚āļ­āļ‡ b āđāļĨāļ° b āđ€āļ›āđ‡āļ™āļĢāļēāļāļ—āļĩāđˆāļŠāļēāļĄāļ‚āļ­āļ‡ 4 āļ‚āđ‰āļ­āđƒāļ”āđ€āļ›āđ‡āļ™āļˆāļĢāļīāļ‡ āļ. a2b2 = 2b āļ‚. a4b = a3 + 2 āļ„. 2a2 = b6 + 2 āļ‡. 2b2 = a6 + 2 32. āļŠāļĄāļāļēāļĢāđƒāļ™āļ‚āđ‰āļ­āđƒāļ”āļ—āļĩāđˆāđ„āļĄāđˆāļĄāļĩāļĢāļēāļ (root) āļ—āļĩāđˆāđ€āļ›āđ‡āļ™āļˆāļģāļ™āļ§āļ™āļˆāļĢāļīāļ‡ āļ. x2 – x – 1 = 0 āļ‚. x2 + x – 1 = 0 āļ„. x2 – 2x – 2 = 0 āļ‡. x2 + x + 1 = 0 33. āļĢāļēāļāļ—āļĩāđˆāļŠāļ­āļ‡āļšāļ§āļāļ‚āļ­āļ‡ 9 + 4 2 āđ€āļ—āđˆāļēāļāļąāļšāđ€āļ—āđˆāļēāđƒāļ” āļ. 1 + 2 2 āļ‚. 1 – 2 2 āļ„. 3 + 2 2 āļ‡. 3 + 2
  • 5.
    āļ„āļ“āļīāļ•āļĻāļēāļŠāļ•āļĢāđŒ (āļĄ.4) āļŦāļ™āđ‰āļē5 (10,002)2 − (9,998)2 34. āļˆāļ‡āļŦāļēāļ„āđˆāļēāļ‚āļ­āļ‡ (20,004)2 − (19,996)2 āļ. 4 āļ‚. 1 āļ„. 4 1 āļ‡. 8 11 17 1 + 1 = 1 āļˆāļ‡āļŦāļēāļ„āđˆāļēāļ‚āļ­āļ‡ x y 2xy 35. āļāļģāļŦāļ™āļ”āđƒāļŦāđ‰ x y 2 2x + 2y − 3xy + − āļ. 5 āļ‚. 3 4 āļ„. 3 − 4 āļ‡. 2 3 36. āļ–āđ‰āļē x2 – x – 2 āļŦāļēāļĢāļžāļŦāļļāļ™āļēāļĄ x5 + x4 + qx2 + rx – 12 āđāļĨāđ‰āļ§ āļˆāļ‡āļŦāļēāļ„āđˆāļēāļ‚āļ­āļ‡ 2q + r āļ. –18 āļ‚. –36 āļ„. –40 āļ‡. –48 37. āļˆāļ‡āļŦāļēāļ„āđˆāļēāļ‚āļ­āļ‡ 8 − 32 + 18 8 − 50 āļ. 1 āļ‚. – 1 āļ„. 1 āļ‡. – 3 1 3 ≠ 1 38. āļˆāļ‡āļ—āļģāđƒāļŦāđ‰āđ€āļ›āđ‡āļ™āļœāļĨāļŠāļģāđ€āļĢāđ‡āļˆ āđ€āļĄāļ·āđˆāļ­ x , 1, 2 2 ⎞ ⎟ ⎟ ⎠ ⎛ ⎜ ⎜ ⎝ 2x2 − 3x + 1 − ⎞ ⎟⎠ ⎛ ⎜⎝ 3 − − 1 − 2x 1 x 2 x 1 āļ. 1 āļ‚. – 1 āļ„. 2 āļ‡. –2 39. āļˆāļēāļāļĢāļđāļ› āļāļģāļŦāļ™āļ”āļ§āđˆāļē sin A = 2 āļ”āđ‰āļēāļ™ BC āļĒāļēāļ§ 4 āļŦāļ™āđˆāļ§āļĒ 5 āđāļĨāļ°āļ”āđ‰āļēāļ™ AB āļĒāļēāļ§ x āļŦāļ™āđˆāļ§āļĒ āļˆāļ‡āļŦāļēāļ§āđˆāļē x āļŠāļ­āļ”āļ„āļĨāđ‰āļ­āļ‡āļāļąāļš āļŠāļĄāļāļēāļĢāđƒāļ” āļ. x2 – 4x + 4 = 0 āļ‚. x2 – 4x + 8 = 0 āļ„. x2 – 6x + 4 = 0 āļ‡. x2 - 5 x – 10 = 0 40. 3 āđ€āļ—āđˆāļēāļ‚āļ­āļ‡āļœāļĨāļšāļ§āļāļ‚āļ­āļ‡āļˆāļģāļ™āļ§āļ™āļŦāļ™āļķāđˆāļ‡āļāļąāļš 12 āļĄāļēāļāļāļ§āđˆāļēāļœāļĨāļ•āđˆāļēāļ‡āļ‚āļ­āļ‡āļˆāļģāļ™āļ§āļ™āļ™āļąāđ‰āļ™āļāļąāļš 15 āļ­āļĒāļđāđˆ 7 āļˆāļ‡āļŦāļēāļ§āđˆāļē 4 āļˆāļģāļ™āļ§āļ™āļ™āļąāđ‰āļ™āļ„āļ·āļ­āļ­āļ°āđ„āļĢ āļ. 4 āļ‚. 58 āļ„. 64 āļ‡. 68 C 4 B x A
  • 6.
    āļ„āļ“āļīāļ•āļĻāļēāļŠāļ•āļĢāđŒ (āļĄ.4) āļŦāļ™āđ‰āļē6 41. āļžāļŦāļļāļ™āļēāļĄ x + 1 āļŦāļēāļĢāļžāļŦāļļāļ™āļēāļĄāļ‚āđ‰āļ­āđƒāļ”āđ„āļ”āđ‰āļĨāļ‡āļ•āļąāļ§ āļ. x10 + 1 āļ‚. x11 + 1 āļ„. x12 + 1 āļ‡. āļ–āļđāļāļ—āļļāļāļ‚āđ‰āļ­ 42. āļžāļēāļĢāļēāđ‚āļšāļĨāļēāļĄāļĩāļŠāļĄāļāļēāļĢāļ§āđˆāļē y = 2x2 + k āđ€āļĄāļ·āđˆāļ­ k > 0 āļĢāļ°āļĒāļ°āļ—āļēāļ‡āļĢāļ°āļŦāļ§āđˆāļēāļ‡āļˆāļļāļ”āļĒāļ­āļ”āļ‚āļ­āļ‡āļžāļēāļĢāļēāđ‚āļšāļĨāļēāļāļąāļšāļˆāļļāļ” (k, 0) āđ€āļ—āđˆāļēāļāļąāļš 8 āļˆāļ‡āļŦāļēāļ„āđˆāļēāļ‚āļ­āļ‡ k āļ. 2 āļ‚. 2 āļ„. 3 āļ‡. 4 43. āļˆāļēāļāļĢāļđāļ› āļ§āļ‡āļāļĨāļĄāļĄāļĩāļžāļ·āđ‰āļ™āļ—āļĩāđˆ 81π āļ•āļēāļĢāļēāļ‡āļŦāļ™āđˆāļ§āļĒ O āđ€āļ›āđ‡āļ™āļˆāļļāļ”āļĻāļđāļ™āļĒāđŒāļāļĨāļēāļ‡āļ‚āļ­āļ‡āļ§āļ‡āļāļĨāļĄ āļ–āđ‰āļēāļ„āļ­āļĢāđŒāļ” AC āļĒāļēāļ§ 12 āļŦāļ™āđˆāļ§āļĒ āļˆāļ‡āļŦāļēāļžāļ·āđ‰āļ™āļ—āļĩāđˆāļ‚āļ­āļ‡āļŠāļēāļĄāđ€āļŦāļĨāļĩāđˆāļĒāļĄ ABC (āļ•āļēāļĢāļēāļ‡āļŦāļ™āđˆāļ§āļĒ) āļ. 12 5 āļ‚. 18 5 āļ„. 32 5 A āļ‡. 36 5 C 44. āļˆāļēāļāļĢāļđāļ› āļŠāļĩāđˆāđ€āļŦāļĨāļĩāđˆāļĒāļĄ OABC āđ€āļ›āđ‡āļ™āļŠāļĩāđˆāđ€āļŦāļĨāļĩāđˆāļĒāļĄāļĄāļļāļĄāļ‰āļēāļ āļ–āđ‰āļēāļŦāļĄāļļāļ™āļŠāđˆāļ§āļ™āļ‚āļ­āļ‡āđ€āļŠāđ‰āļ™āļ•āļĢāļ‡ AB āļĢāļ­āļšāđāļāļ™ OC āļˆāļ°āđ„āļ”āđ‰ āļĢāļđāļ›āļ—āļĢāļ‡āļ—āļĩāđˆāļĄāļĩāļ›āļĢāļīāļĄāļēāļ•āļĢāđ€āļ—āđˆāļēāđƒāļ” āļ. 6π āļ‚. 12π āļ„. 18π āļ‡. 12 B(2,3) y 45. āļˆāļēāļāļĢāļđāļ› āļ§āļ‡āļāļĨāļĄ 2 āļ§āļ‡āļŠāļąāļĄāļœāļąāļŠāļāļąāļ™āļ—āļĩāđˆāļˆāļļāļ” T āļāļģāļŦāļ™āļ”āļ„āļ§āļēāļĄāļĒāļēāļ§āļ‚āļ­āļ‡āļ„āļ­āļĢāđŒāļ”āļ”āļąāļ‡āļĢāļđāļ› āļˆāļ‡āļŦāļēāļ­āļąāļ•āļĢāļēāļŠāđˆāļ§āļ™ x : y āļ. 8 : 3 āļ‚. 5 : 4 āļ„. 4 : 5 āļ‡. 3 : 10 46. āļŠāļēāļĒāļ„āļ™āļŦāļ™āļķāđˆāļ‡āđ€āļ”āļīāļ™āđ„āļ›āļ—āļēāļ‡āļ—āļīāļĻāđ€āļŦāļ™āļ·āļ­ 3 āļāļĄ. āđāļĨāđ‰āļ§āđ€āļ”āļīāļ™āđ„āļ›āļ—āļēāļ‡āļ—āļīāļĻāļ•āļ°āļ§āļąāļ™āļ­āļ­āļ 3 āļāļĄ. āđāļĨāļ°āđ€āļ”āļīāļ™āđ„āļ›āļ—āļēāļ‡āļ—āļīāļĻāđ€āļŦāļ™āļ·āļ­ āļ­āļĩāļ 4 āļāļĄ. āļˆāļ‡āļŦāļēāļ§āđˆāļēāļˆāļļāļ”āļ›āļĨāļēāļĒāļ—āļēāļ‡āļŦāđˆāļēāļ‡āļˆāļēāļāļˆāļļāļ”āđ€āļĢāļīāđˆāļĄāļ•āđ‰āļ™āļāļĩāđˆ āļāļĄ. āļ. 62 āļ‚. 58 āļ„. 10 āļ‡. 29 B O O A(2,0) x C A x C y T 3 8 D 10 B
  • 7.
    āļ„āļ“āļīāļ•āļĻāļēāļŠāļ•āļĢāđŒ (āļĄ.4) āļŦāļ™āđ‰āļē7 47. āļ“ āļˆāļļāļ” 2 āļˆāļļāļ”āļšāļ™āļžāļ·āđ‰āļ™āļ”āļīāļ™āļ‹āļķāđˆāļ‡āļŦāđˆāļēāļ‡āļāļąāļ™ 18 āļĄ. āļĒāļ­āļ”āđ€āļŠāļēāļ˜āļ‡āļ—āļģāļĄāļļāļĄāđ€āļ‡āļĒ 60 o āđāļĨāļ° 30 o āļ•āļēāļĄāļĨāļģāļ”āļąāļš āļˆāļ‡āļŦāļēāļ§āđˆāļēāđ€āļŠāļēāļ˜āļ‡ āļŠāļđāļ‡āļāļĩāđˆāđ€āļĄāļ•āļĢ āļ. 24 3 āļ‚. 18 3 āļ„. 9 3 āļ‡. 7 3 60o 30o A 18 m B 48. āļ—āļĢāļ‡āļāļĨāļĄāļšāļĢāļĢāļˆāļļāļ āļēāļĒāđƒāļ™āļĢāļđāļ›āļ—āļĢāļ‡āļŠāļĩāđˆāđ€āļŦāļĨāļĩāđˆāļĒāļĄāļˆāļąāļ•āļļāļĢāļąāļŠāļĒāļēāļ§āļ”āđ‰āļēāļ™āļĨāļ° 12 āļ™āļīāđ‰āļ§ āļˆāļ°āļĄāļĩāļ›āļĢāļīāļĄāļēāļ•āļĢāļāļĩāđˆāļĨāļđāļāļšāļēāļĻāļāđŒāļ™āļīāđ‰āļ§ āļ. 284π āļ‚. 288π āļ„. 124π āļ‡. 48π 49. āļāļĢāļ§āļĒāļāļĨāļĄāļ•āļĢāļ‡āļĢāļąāļĻāļĄāļĩāļ—āļĩāđˆāļāļēāļ™ 10 āļ‹āļĄ. āļŠāļđāļ‡āļ•āļĢāļ‡ 12 āļ‹āļĄ. āļ–āđ‰āļēāļ•āļąāļ”āļāļĢāļ§āļĒāļ—āļĩāđˆāļ„āļ§āļēāļĄāļŠāļđāļ‡ 6 āļ‹āļĄ. āļˆāļēāļāļĒāļ­āļ”āļāļĢāļ§āļĒāđƒāļŦāđ‰āļĄāļĩāļāļēāļ™ āđ€āļ›āđ‡āļ™āļ§āļ‡āļāļĨāļĄāđ€āļŠāđˆāļ™āđ€āļ”āļīāļĄ āļˆāļ‡āļŦāļēāļĢāļąāļĻāļĄāļĩāļ‚āļ­āļ‡āļāļēāļ™āļāļĢāļ§āļĒāļ­āļąāļ™āđƒāļŦāļĄāđˆāļ™āļĩāđ‰ āļ. 5 āļ‚. 6 āļ„. 3.6 āļ‡. 4 6 CM 50. āļ„āļ°āđāļ™āļ™āđ€āļ‰āļĨāļĩāđˆāļĒāđƒāļ™āļāļēāļĢāļŠāļ­āļšāļ§āļīāļŠāļēāļ āļēāļĐāļēāđ„āļ—āļĒāļ‚āļ­āļ‡āļ™āļąāļāđ€āļĢāļĩāļĒāļ™ 33 āļ„āļ™ āđ€āļ—āđˆāļēāļāļąāļš 42.35 āļ–āđ‰āļēāļĄāļĩāļ™āļąāļāđ€āļĢāļĩāļĒāļ™āļ‚āļēāļ”āļŠāļ­āļš 2 āļ„āļ™ āđ‚āļ”āļĒāļĄāļēāļŠāļ­āļšāļ—āļĩāļŦāļĨāļąāļ‡ āļ„āļ°āđāļ™āļ™āđ€āļ‰āļĨāļĩāđˆāļĒāļ‚āļ­āļ‡ 2 āļ„āļ™āļ™āļĩāđ‰āđ€āļ—āđˆāļēāļāļąāļš 38.25 āļˆāļ‡āļŦāļēāļ§āđˆāļēāļ„āļ°āđāļ™āļ™āđ€āļ‰āļĨāļĩāđˆāļĒāļ‚āļ­āļ‡āļ™āļąāļāđ€āļĢāļĩāļĒāļ™āļ—āļąāđ‰āļ‡ 35 āļ„āļ™ āđ€āļ›āđ‡āļ™āđ€āļ—āđˆāļēāđ„āļĢ āļ. 42.12 āļ‚. 40.30 āļ„. 40.12 āļ‡. 39.25 -------------------------------------------------------------------------------------------------------