Purine- Basics and Synthesis
Varinder Khepar
PhD Chemistry
1
2
Nucleic Acid Building Blocks
• Nucleic acids are polymers that consist of
nucleotide residues. DNA and RNA are
polymers of nucleotide units.
• Each nucleotide is put together from three
building blocks:
1. phosphoric acid
2. a monosaccharide
3. an organic base
3
1) Phosphoric Acid
4
2. Monosaccharides
• All nucleotides are constructed from one of
these two monosaccharides:
5
3) Organic Bases
• There are two types of organic bases (amines)
that are incorporated into nucleic acids:
a) purines
b) pyrimidines
6
7
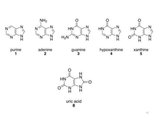
Purines
• Purine is a heterocyclic aromatic organic
compound composed of a pyrimidine ring
fused with imidazole ring.
• It consists of two hydrogen-carbon rings and
four nitrogen atoms
8
• Purine is both a very weak acid and an even
weaker base
• It is water-soluble
• It comprises adenine and guanine as
nucleobases.
• The melting point of purine is 214 °c
• Catabolism results in the production of uric
acid
9
Occurrence of purines
• Found in high concentration in meat and meat
products, especially internal organs such
as liver and kidney
• Plant-based diets are low in purines
• Moderate amount of purine is also contained
in fish, seafood, mushrooms, green peas,
dried peas and beans.
10
Notable purines
• There are many naturally occurring purines. They
include the nucleobases adenine and guanine .
• In DNA, these bases form hydrogen bonds with
their complementary pyrimidines, thymine and c
ytosine, respectively.
• In RNA, the complement of adenine
is uracil instead of thymine.
• Other notable purines
are hypoxanthine (4), xanthine (5) and uric acid.
11
12
History of purine
• The word purine (pure urine) was coined by
the German chemist Emil Fischer in 1884.
• He synthesized it for the first time in 1898.
• The starting material for the reaction
sequence was uric acid (8), which had been
isolated from kidney stones.
13
• Uric acid (8) was reacted with PCl5 to give
2,6,8-trichloropurine (10), which was
converted with HI and PH4I to give 2,6-
diiodopurine (11). The product was reduced to
purine (1) using zinc dust.
14
Synthesis of purine
• Laboratory synthesis
• Purine is obtained in good yield when formamide is heated
in an open vessel at 170 °C for 28 hours.
15
Synthesis of Purine derivatives
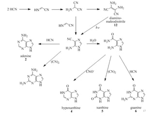
• Four molecules of HCN tetramerize to
form diaminomaleodinitrile (12)
• Five molecules of HCN condense in an
exothermic reaction to make adenine
16
17
Traube purine synthesis (in 1900)
18
Refrences
• http://www.sivabio.50webs.com/nucleicacid.
htm
• Fasullo, M., & Endres, L. (2015). Nucleotide
Salvage Deficiencies, DNA Damage and
Neurodegeneration. Int. J. Mol. Sci., 16(12),
9431–9449. doi:10.3390/ijms16059431.
• https://byjus.com/biology/difference-
between-purines-and-pyrimidines/
• https://en.wikipedia.org/wiki/Purine
19
THANK YOU
20

Purines

  • 1.
    Purine- Basics andSynthesis Varinder Khepar PhD Chemistry 1
  • 2.
  • 3.
    Nucleic Acid BuildingBlocks • Nucleic acids are polymers that consist of nucleotide residues. DNA and RNA are polymers of nucleotide units. • Each nucleotide is put together from three building blocks: 1. phosphoric acid 2. a monosaccharide 3. an organic base 3
  • 4.
  • 5.
    2. Monosaccharides • Allnucleotides are constructed from one of these two monosaccharides: 5
  • 6.
    3) Organic Bases •There are two types of organic bases (amines) that are incorporated into nucleic acids: a) purines b) pyrimidines 6
  • 7.
  • 8.
    Purines • Purine isa heterocyclic aromatic organic compound composed of a pyrimidine ring fused with imidazole ring. • It consists of two hydrogen-carbon rings and four nitrogen atoms 8
  • 9.
    • Purine isboth a very weak acid and an even weaker base • It is water-soluble • It comprises adenine and guanine as nucleobases. • The melting point of purine is 214 °c • Catabolism results in the production of uric acid 9
  • 10.
    Occurrence of purines •Found in high concentration in meat and meat products, especially internal organs such as liver and kidney • Plant-based diets are low in purines • Moderate amount of purine is also contained in fish, seafood, mushrooms, green peas, dried peas and beans. 10
  • 11.
    Notable purines • Thereare many naturally occurring purines. They include the nucleobases adenine and guanine . • In DNA, these bases form hydrogen bonds with their complementary pyrimidines, thymine and c ytosine, respectively. • In RNA, the complement of adenine is uracil instead of thymine. • Other notable purines are hypoxanthine (4), xanthine (5) and uric acid. 11
  • 12.
  • 13.
    History of purine •The word purine (pure urine) was coined by the German chemist Emil Fischer in 1884. • He synthesized it for the first time in 1898. • The starting material for the reaction sequence was uric acid (8), which had been isolated from kidney stones. 13
  • 14.
    • Uric acid(8) was reacted with PCl5 to give 2,6,8-trichloropurine (10), which was converted with HI and PH4I to give 2,6- diiodopurine (11). The product was reduced to purine (1) using zinc dust. 14
  • 15.
    Synthesis of purine •Laboratory synthesis • Purine is obtained in good yield when formamide is heated in an open vessel at 170 °C for 28 hours. 15
  • 16.
    Synthesis of Purinederivatives • Four molecules of HCN tetramerize to form diaminomaleodinitrile (12) • Five molecules of HCN condense in an exothermic reaction to make adenine 16
  • 17.
  • 18.
  • 19.
    Refrences • http://www.sivabio.50webs.com/nucleicacid. htm • Fasullo,M., & Endres, L. (2015). Nucleotide Salvage Deficiencies, DNA Damage and Neurodegeneration. Int. J. Mol. Sci., 16(12), 9431–9449. doi:10.3390/ijms16059431. • https://byjus.com/biology/difference- between-purines-and-pyrimidines/ • https://en.wikipedia.org/wiki/Purine 19
  • 20.