Dr.Mahr-un -nisa
Proteins
Proteins-----AA
 Proteins are made from 20 different amino acids,
9 of which are essential.
 Each amino acid has an amino group, an acid
group, a hydrogen atom, and a side group.
 It is the side group that makes each amino acid
unique.
 The sequence of amino acids in each protein
determines its unique shape and function.
 Amino Acids
 Have unique side groups that result in
differences in the size, shape and electrical
charge of an amino acid
 Nonessential amino acids, also called
dispensable amino acids, are ones the body can
create.

Nonessential amino acids include alanine, arginine,
asparagines, aspartic acid, cysteine, glutamic acid,
glutamine, glycine, proline, serine, and tyrosine.
 Amino Acids
 Essential amino acids, also called indispensable
amino acids, must be supplied by the foods people
consume.

Essential amino acids include histidine, isoleucine,
leucine, lysine, methionine, phenyalanine, threonine,
tryptophan, and valine.
 Conditionally essential amino acids refer to amino
acids that are normally nonessential but essential
under certain conditions.
Amino Acid Requirements of Humans
--------------------------------------------------------------------
Nutritionally Essential Nutritionally Nonessential
--------------------------------------------------------------------
Argininea
Alanine
Histidine Asparagine
Isoleucine Aspartate
Leucine Cysteine
Lysine Glutamate
Methionine Glutamine
Phenylalanine Glycine
Threonine Proline
Tryptophan Serine
Valine Tyrosine
---------------------------------------------------------------------
a “
Nutritionally semiessential.” Synthesized at rates
inadequate to support growth of children.
What is protein
 Proteins
 Amino acid chains are linked by peptide bonds in
condensation reactions.

Dipeptides have two amino acids bonded together.

Tripeptides have three amino acids bonded together.

Polypeptides have more than two amino acids bonded
together.
 Amino acid sequences are all different, which
allows for a wide variety of possible sequences.
M. Zaharna Clini.
Chem. 2009
Peptide bond
The Chemist’s View of
Proteins
 Proteins
 Protein Shapes

Hydrophilic side groups are attracted to water.

Hydrophobic side groups repel water.

Coiled and twisted chains help to provide
stability.
M. Zaharna Clini.
Chem. 2009
Classification of protein
 Proteins are polymers of amino acids produced
by living cells in all forms of life.
 A large number of proteins exist with diverse
functions, sizes, shapes and structures but each
is composed of essential and non-essential
amino acids in varying numbers and sequences.
 The number of distinct proteins within one cell is
estimated at 3,000 - 5,000
 The most abundant organic molecule in cells (50-70%
of cell dry weight)
M. Zaharna Clini.
Chem. 2009
Size
 A typical protein contains 200-300
amino acids, but some are much
smaller and some are much larger
 Proteins range in molecular weight from
6,000 Daltons (insulin) to millions of
Daltons (structural proteins)
M. Zaharna Clini.
Chem. 2009
Protein Structure
 Primary structure –
sequence of AA
 In order to function properly,
proteins must have the correct
sequence of amino acids.
 e.g when valine is substituted
for glutamic acid in the β chain
of HbA, HbS is formed, which
results in sickle-cell anemia.
M. Zaharna Clini.
Chem. 2009
Secondary structure
 Initial helical folding
 Beta pleated sheet
 Held together by
Hydrogen bonding
M. Zaharna Clini. Chem. 2009
Tertiary Structure
 Chain folds back on itself
to form 3D structure
 Interaction of R groups
 Responsible for biologic
activity of molecule
M. Zaharna Clini. Chem. 2009
Quaternary structure
 2 or more polypeptide chains
binding together
 eg. Hemoglobin
 Hemoglobin has 4 subunits
 Two α chains
 Two β chains
 Many enzymes have
quaternary structures
M. Zaharna Clini.
Chem. 2009
Classification by Protein
Structure
 Simple Proteins (contain only amino
acids) are classified by shape as –
 Globular proteins: compact, tightly
folded and coiled chains

Majority of serum proteins are globular
 Fibrous proteins: elongated, high
viscosity (hair, collagen)
M. Zaharna Clini.
Chem. 2009
Classification by Protein
Structure
 Conjugated proteins contain non-amino
acid groups
 Amino acid portion is called apoprotein and
non-amino acid portion is called the
prosthetic group
 It is the prothetic groups that define the
characteristics of these proteins.
 Name of the conjugated protein is derived
from the prosthetic group
M. Zaharna Clini.
Chem. 2009
Conjugated Proteins
Classification Prosthetic
group
Example
Lipoprotein Lipid HDL
Glycoprotein Carbohydrates Immunoglo-
bulins
Phosphoprotein Phosphate Casein of
milk
M. Zaharna Clini.
Chem. 2009
Functions of proteins
 Generally speaking, proteins do everything in the living cells
 Functional classification of plasma proteins is useful in
understanding the changes that occur in disease:
 Tissue nutrition
 Proteins of immune defense

Antibodies
 Acute phase proteins

Proteins associated with inflammation
 Transport proteins( albumin, transferrin)

Proteins used to bind and transport
 Hemostasis

Proteins involved in forming clots and acting very closely with
complement
M. Zaharna Clini.
Chem. 2009
Functions of proteins
 Regulatory

( receptors, hormones )
 Catalysis,

enzymes
 Osmotic force

Maintenance of water distribution between cells
and tissue and the vascular system of the body
 Acid-base balance

Participation as buffers to maintain pH
 Structural, contractile, fibrous and keratinous
Monogastric Protein Digestion
 Whole proteins are not absorbed
 Too large to pass through cell membranes
intact
 Digestive enzymes
 Hydrolyze peptide bonds
 Secreted as inactive pre-enzymes
 Prevents self-digestion
H3N+
C
H
C
R
O
N
H
C
H
C
O
R
N
H
C
H
C
R
O
O–
Monogastric Protein Digestion
 Initiated in stomach
 HCl from parietal cells

Stomach pH 1.6 to 3.2

Denatures 40
, 30
, and 20
structures
 Pepsinogen from chief cells

Cleaves at phenylalanine, tyrosine, tryptophan

Protein leaves stomach as mix of insoluble protein, soluble
protein, peptides and amino acids
Aromatic amino acids
Pepsinogen
HCl
Pepsin
Protein Digestion – Small Intestine
 Pancreatic enzymes secreted
 Trypsinogen
 Chymotrypsinogen
 Procarboxypeptidase
 Proelastase
 Collagenase
Zymogens
Monogastric Digestion –
Small Intestine
 Zymogens must be converted to active form
 Trypsinogen Trypsin

Endopeptidase
 Cleaves on carbonyl side of Lys & Arg
 Chymotrypsinogen Chymotrypsin

Endopeptidase
 Cleaves carboxy terminal Phe, Tyr and Trp
 Procarboxypeptidase Carboxypeptidase

Exopeptidase
 Removes carboxy terminal residues
Enteropeptidase/Trypsin
Trypsin
Trypsin
Protein Digestion
 Small intestine (brush border)
 Aminopeptidases

Cleave at N-terminal AA
 Dipeptidases

Cleave dipeptides
 Enterokinase (or enteropeptidase)

Trypsinogen → trypsin

Trypsin then activates all the other enzymes
Trypsin Inhibitors
 Small proteins or peptides
 Present in plants, organs, and fluids
 Soybeans, peas, beans, wheat
 Pancreas, colostrum
 Block digestion of specific proteins
 Inactivated by heat
Protein Digestion
 Proteins are broken down to
 Tripeptides
 Dipeptides
 Free amino acids
Free Amino Acid Absorption
 Free amino acids
 Carrier systems

Neutral AA

Basic AA

Acidic AA

Imino acids
 Entrance of some AA
is via active transport

Requires energy
Na+
Na+
Peptide Absorption
 Form in which the majority of
protein is absorbed
 More rapid than absorption
of free amino acids
 Active transport
 Energy required
 Metabolized into free amino
acids in enterocyte
 Only free amino acids
absorbed into blood
Absorption of Intact Proteins
 Newborns
 First 24 hours after birth
 Immunoglobulins

Passive immunity
 Adults
 Para cellular routes

Tight junctions between cells
 Intracellular routes

Endocytosis

Pinocytosis
 Of little nutritional significance...
 Affects health (allergies and passive immunity)
Protein Transport in the Blood
 Amino acids diffuse across the
basolateral membrane
 Enterocytes → portal blood → liver →
tissues
 Transported mostly as free amino acids
 Liver
 Breakdown of amino acids
 Synthesis of non-essential amino acids
Groff & Gropper, 2000
Overview of Protein Digestion and
Absorption in Monogastrics
OVERVIEW OF AMINO ACID METABOLISM
ENVIRONMENT ORGANISM
Ingested
protein
Bio-
synthesis
Protein
AMINO
ACIDS
Nitrogen
Carbon
skeletons
Urea
Degradatio
n
(required)
1
2 3
a
b
Purines
Pyrimidines
Porphyrins
c c
Used for
energy pyruvate
α-ketoglutarate
succinyl-CoA
fumarate
oxaloacetate
acetoacetate
acetyl CoA
(glucogenic)(ketogenic)
Amino Acid Catabolism
 Deamination of Amino Acids
removal of the a-amino acids
Oxidative Deamination
Non-oxidative Deamination
Transamination
TRANSAMINATION
The term amphibolic is used to describe a biochemical
pathway that involves both catabolism and anabolism
Reductive amination catalyzed by
glutamate dehydrogenase (this is physiological
important becouse high conc. Of NH4 ion are cytotoxic)
Glutamine synthesis is coupled to
hydrolysis of ATP
Pyruvate is an amphibolic intermediate
in synthesis of alanine
Glutamte dehydrogenase, glutamine synthetase and
aminotranferases play central roles in amino acid
biostynthsis
 The combined action of the above said
enzymes converts inorganic ammonium
ion in to the α-amino nitrogen of AA
Asparagine synthesis is energetically
favorable due to coupling to ATP
hydrolysis
Serine biosynthesis(oxidation of the α-hydroxyl
group of the glycolytic intermidiate 3-phosphoglycerate by 3-
phosphoglycerate dehygrogenase convert it to 3-
phosphohydroxypuruvate. Transamination and subsequent
dephosphorylation is strongly favored)
Multistep pathway for glycine biosynthesis
Glycine is also synthesized from serine
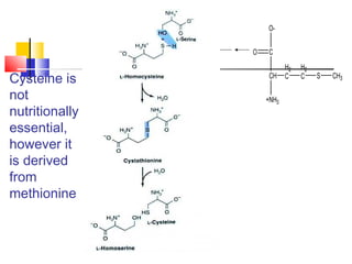
Cysteine is
not
nutritionally
essential,
however it
is derived
from
methionine
+NH3
CH
C
H2
C
O-
O
H2
C S CH3
Tyrosine is
formed
from
phenylalanine
Hydroxyproline is formed after protein
synthesis
Selenocysteine is synthesized from
serine and selenophosphate
Amino acids that are synthesized de novo in humans.
All are related by a small number of steps to glycolysis
or TCA cycle intermediates.
Salvage pathways for formation of certain
nonessential amino acids from other amino acids
Amino Acid formed Precursor Amino Acid
Arginine Proline
Cysteine Methionine
Tyrosine Phenylalanine
NITROGEN BALANCE
Nitrogen balance = nitrogen ingested - nitrogen excreted
(primarily as protein) (primarily as urea)
Nitrogen balance = 0 (nitrogen equilibrium)
protein synthesis = protein degradation
Positive nitrogen balance
protein synthesis > protein degradation
Negative nitrogen balance
protein synthesis < protein degradation
UREA CYCLE
mitochondria
cytosol
Function: detoxification of ammonia
(prevents hyperammonemia)
FATE OF THE CARBON
SKELETONS
Carbon skeletons are used for
energy.
Glucogenic: TCA cycle
intermediates(gluconeogensis)
Ketogenic: acetyl CoA, acetoacetyl
CoA, or acetoacetate
Protein synthesis
 On-going, semicontinuous activity in all
cells but rate varies greatly between
tissues
Rate of protein synthesis
Ks (%/d)
Tissue Pig Steer
Liver
Gut
Muscle
23
45
5
21
39
2
Ks = fraction of tissue protein synthesized per
day
Protein synthesis
 On-going, semicontinuous activity in all cells
but rate varies greatly between tissues
 Rate is regulated by hormones and supply of
amino acids and energy
 Energetically expensive
 requires about 5 ATP per one peptide bond
 Accounts for about 20% of whole-body
energy expenditure
Protein degradation
 Also controlled by hormones and
energy status
 Method to assist in metabolic control
 turns off enzymes
Protein synthesis and
degradation
 Synthesis must exceed degradation for
net protein deposition or secretion
 Changes in deposition can be achieved
by different combinations of changes in
synthesis and degradation
Changes in deposition
Synthesis Degradation Deposition
No change
No change
No change
Protein synthesis and
degradation
 Synthesis must exceed degradation for
net protein deposition or secretion
 Changes in deposition can be achieved
by different combinations of changes in
synthesis and degradation
 Allows for fine control of protein
deposition
Proline biosynthesis(the initial reaction of proline biosynthsis converts the
ᵞ-carboxyl group of glutamate to the mixed acid anhydride of glutamate ᵞ-phospate.
Subsequent reduction form glutamate ᵞ- semialdehyde,, which following
spontaneously cyclization is reduced to L-Proline )
Protein synthesis and
degradation
 Other possible reasons for evolution of
protein turnover include
 Allows post-translational conversion of
inactive peptides to active forms (e.g.,
pepsinogen to pepsin)
 Minimizes possible negative consequences
of translation errors
Protein catabolism
 Some net catabolism of body proteins
occurs at all times
 Expressed as urinary nitrogen excretion

yields urea
 Minimal nitrogen excretion is termed
endogenous urinary nitrogen (EUN)
Urinary nitrogen excretion
Urine
KIDNEY
LIVER
Urea
Urea
CO2
Amino acids keto acids
NH3
Blood
Protein Synthesis
Protein Synthesis
 Synthesis= the process of building or
making
 DNA= (deoxyribonucleic acid) the
genetic code or instructions for the cell
 RNA= ribonucleic acid
 Amino Acids= building blocks of
proteins
DNA RNA
Deoxyribonucleic Acid Ribonucleic Acid
Sugar=deoxyribose Sugar= ribose
Contains 1 more H atom
than deoxyribose
Double stranded Single stranded- a single
strand of nucleotides
Nitrogen bases: ATCG Nitrogen bases: AUCG
U=Uracil
http://www.princeton.ed
u/
http://image
s2.clinicalto
ols.com/ima
ges/gene/dn
a_versus_rn
a_reversed.j
pg
STEP 1: TRANSCRIPTION= making
RNA
Location: Eukaryotes-nucleus
Prokaryotes-cytoplasm
 1. RNA polymerase binds to the gene’s
promoter
 2. The two DNA strands unwind and
separate.
 3. Complementary nucleotides are
added using the base pairing rules
EXCEPT:
 A=U

Try this example.
 Using the following DNA sequence,
what would be the complementary RNA
sequence?
 ATCCGTAATTATGGC
 UAGGCAUUAAUACCG
http://www.odec.ca/projects/2004/mcgo4s0/public_html/t3/mRNA%20to%20protein.gif
 1. Messenger RNA= mRNA is a form of
RNA that carries the instructions for making
the protein from a gene and delivers it to the
site of translation.
 Codon= three nucleotide sequence
 Transfer RNA= tRNA single strands of
RNA that temporarily carry a specific amino
acid on one end and has an anticodon
 Anticodon-a 3 nucleotide sequence that is
complementary to an mRNA codon
 Ribosomal RNA= rRNA- a part of the
structure of ribosomes
Codon and Anticodon
 Codon-found on mRNA Anticodon-found on tRNA
http://images.google.com/imgres?
imgurl=http://www.obgynacademy.com/basicsciences/feto
logy/genetics/images/codon_GCA.gif&imgrefurl=http://ww
w.obgynacademy.com/basicsciences/fetology/genetics/&u
sg=__4MvAO2N3sXbERXQwODVDSqtsOjM=&h=160&w=
168&sz=4&hl=en&start=5&tbnid=toyuIN8drVBr4M:&tbnh=
94&tbnw=99&prev=/images%3Fq%3Dcodon%26gbv
%3D2%26hl%3Den
http://www.microbelibrary.org/microbelibrary/files/ccImages/Articleim
ages/kaiser/tRNA_arg.jpg
STEP 2-TRANSLATION-
Assembling proteins- in the
cytoplasm
 mRNA leaves nucleus and enters cytoplasm
 tRNA molecules with the complementary
anticodon and a specific amino acid arrives at
the ribosome where the mRNA is waiting.
 Peptide bond forms between amino acids
 tRNA molecule leaves and a new one comes
with another amino acid.
 Amino acids continue to attach together until
the stop codon and a protein is formed
SUMMARY
 Transcription= process of making RNA
from DNA
 Translation= RNA directions are used to
make a protein from amino acids
• DNA→RNA →Protein
 Transcription Translation
nucleus
Cytoplasm on
ribosome
DNA RNA
Deoxyribonucleic Acid Ribonucleic Acid
Sugar=deoxyribose Sugar= ribose
Contains 1 more H atom
than deoxyribose
Double stranded Single stranded- a single
strand of nucleotides
Nitrogen bases: ATCG Nitrogen bases: AUCG
U=Uracil
Video Clips
 http://www.youtube.com/watch?v=KvYEqG
 http://www.youtube.com/watch?v=B6O6uR
DNA Replication RNA Transcription
DNA polymerase is used. RNA polymerase is used.
DNA nucleotides are
linked.
RNA nucleotides are
linked.
A DNA molecule is
made.
An RNA molecule is
made.
Both DNA strands serve
as templates.
Only one part of one
strand of DNA ( a gene)
is used as a template.
Explain the steps in protein synthesis.
http://stemcells.nih.gov
/info/scireport/images/f
igurea6.jpg
Ruminant Protein Digestion
 Ruminants can exist with limited dietary
protein sources due to microbial protein
synthesis
 Essential amino acids synthesized
 Microbial protein is not sufficient during:
 Rapid growth
 High production
Protein in the Ruminant Diet
 Types of protein:
 Dietary protein – contains amino acids

Rumen Degradable Protein (RDP) – available for use by
rumen microbes

Rumen Undegradable Protein (RUP) – escapes rumen
fermentation; enters small intestine unaltered
 Varies with diet, feed processing
 Dietary non-protein nitrogen (NPN) – not true
protein; provides a source of nitrogen for microbial
protein synthesis

Relatively CHEAP - decreases cost of protein
supplementation
Ruminant Protein Feeding
 Feed the rumen microbes first (RDP)
 Two counteractive processes in rumen

Degradation of (dietary) protein

Synthesis of microbial protein
 Feed proteins that will escape fermentation to
meet remainder of animal’s protein requirements
 Escape protein, bypass protein, or
rumen undegradable protein (RUP)

Aldehydes increase inter-protein cross-linking

Heat treatment
 Utilization depends on

Digestibility of RUP source in the small intestine

Protein quality
Protein Degradation in Rumen
Feedstuff % Degraded
in 2 hours
Urea 100
Alfalfa (fresh) 90
Wheat Grain 78
Soybean Meal 65
Corn Grain 48
Blood Meal 18
Rumen Protein Utilization
 Factors affecting ruminal degradation
 Rate of passage

Rate of passage ↑ ⇒ degradation ↓
 Solubility in water

Must be solubilized prior to degradation
 Heat treatment

Degradation ↓
 N (and S) availability
 Energy availability (carbohydrates)
Protein Fractions
 Dietary proteins classified based on
solubility in the rumen
 A

NPN, instantly solubilized/degraded
 B1 B2 B3

Potentially degradable
 C

Insoluble, recovered in ADF, undegradable
Ruminant Protein Digestion
 Rumen microbes use dietary protein
 Creates difference between protein quality in feed
and protein actually absorbed by host
 Microbes break down dietary protein to
 Amino acids
 NH3, VFAs, and CO2
 Microbes re-synthesize amino acids
 Including all the essential amino acids from NH3 and
carbon skeletons
No absorption of protein or amino acids
from rumen (or from cecum or large
intestine!)
Protein Hydrolysis by
Rumen Microbes
 Process with multiple steps
 Insoluble protein is solubilized when possible
 Peptide bonds of solubilized protein are cleaved

Microbial endo- and exo-peptidases

Amino acids and peptides released
 Peptides and amino acids absorbed rapidly by
bacteria
 Bacteria degrade into ammonia N (NH3)
 NH3 used to produce microbial crude protein (MCP)
Microbial Crude Protein
(MCP)
 Protein produced by microbial synthesis in
the rumen
 Primary source of protein to the ruminant
animal
 Microbes combine ammonia nitrogen and
carbohydrate carbon skeleton to make
microbial crude protein
 Diet affects the amount of nitrogen
entering the small intestine as microbial
crude protein
Factors Limiting Microbial
Protein Synthesis
 Amount of energy
 ATP
 Available nitrogen
 NPN
 Degraded feed intake protein nitrogen (RDP)
 Available carbohydrates
 Carbon residues for backbone of new amino acid
Microbial crude protein synthesis relies on
synchronization of carbohydrate (for carbon
backbones) and nitrogen availability (for amino group)
Microbial Protein Synthesis
 Synchronization of carbohydrate and N availability
 NPN supplementation
 Carbohydrates used for carbon skeleton of amino acids
VFA (CHO fermentation)
Rumen NH3
Blood NH3
Adapted from Van Soest, 1994
Time post-feeding
Concentration
Carbon backbone
(from CHO fermentation)
Microbial Protein Formation
Dietary
NPN
Dietary
Soluble RDP
Microbial
Proteins
Amino Acids
Carbon Skeletons Sulfur Other Co-factors
NH3
ATP
Dietary
Starch Sugar
Dietary Cellulose
Hemicellulose
rapid slow
rapid
slower Dietary
Insoluble RDP
very
slow
Nitrogen Recycling
 Excess NH3 is absorbed
through the rumen wall to the blood
 Quickly converted to urea in the liver
 Excess NH3 may elevate blood pH
 Ammonia toxicity
 Costs energy
 Urea (two ammonia molecules linked together)

Relatively non-toxic

Excreted in urine

Returned to rumen via saliva (rumination important)
 Efficiency of nitrogen recycling decreases
with increasing nitrogen intake
Nitrogen Recycling
 Nitrogen is continually recycled to rumen for
reutilization
 Ability to survive on low nitrogen diets
 Up to 90% of plasma urea CAN be recycled to
rumen on low protein diet
 Over 75% of plasma urea will be excreted on high
protein diet
 Plasma urea enters rumen
 Saliva
 Diffuses through rumen wall from blood
Urea Ammonia + CO2
Urease
Feed Protein,
NPN and CHO
Feed
Protein
Feed NPN
NH3/NH4
Bacterial N
NH4
+
loss
MCP
RDP
RUP
Feed
Protein
AA
MCP AA
NH3
Liver
Blood Urea
Salivary N
ATP
RUMEN
SMALL INTESTINE
Ruminant Digestion and
Absorption
 Post-ruminal digestion and absorption
closely resembles the processes of
monogastric animals
 However, amino acid profile entering small
intestine different from dietary profile
Overview of Protein Feeding
Issues in Ruminants
 Rumen degradable protein (RDP)
 Low protein quality in feed ⇒ very good quality
microbial proteins
 Great protein quality in feed ⇒ very good quality
microbial proteins
 Feed the cheapest RDP source that is practical
regardless of quality
 Rumen undegradable protein (RUP)
 Not modified in rumen, so should be higher
quality protein as fed to animal

May cost more initially, but may be worth cost if
performance boosted enough
Salivary Urea
NPN
NH3
POOL
Dietary
Nitrogen Non-utilized Ammonia
NH3
UREA
LIVER
LEVEL TO
PROVIDE FOR
MAXIMUM
MICROBIAL GROWTH
MICROBIAL
PROTEIN
65% OF PROTEIN
35% OF PROTEIN
SMALL
INTESTINE
AMINO
ACIDS
AMINO
ACIDSPROTEIN
AMINO
ACIDS
PEPTIDES
Reticulo-rumen
RUP
RDP
Recycled urea
Functional Feeds
 Functional feeds may be defined as
any feed or feed ingredient that
produces a biological effect or health
benefit that is above and beyond the
nutritive value of that feedstuff
 Many feeds and their components fit
this definition
Functional Proteins
 Functional proteins are feed-derived
proteins that, in addition to their
nutritional value, produce a biological
effect in the body
Feedstuffs with Biologically
Active Proteins
 Milk
 Colostrum
 Whey Protein Concentrates/Isolates
 Plasma or serum
 Other animal-derived feedstuffs
 Fish meal
 Meat and bone meal
 Fermented animal-based products
 Yeast
 Lactobacillus organisms
 Soy products
Protein Size Affects Function
 Many protein hormones are functional even
when fed to animals
 thyrotropin-releasing hormone (TRH, a 3-amino acid
peptide)
 luteinizing hormone-releasing hormone (LHRH, a 10-amino
acid peptide)
 insulin (a 51-amino acid polypeptide)
 The smaller the peptide, the more “functional” it is
when fed
 100% activity for TRH, 50% for LHRH, and 30% for insulin
 Feedstuffs containing protein hormones (colostrum)
have biological activity when fed to animals
Production of Bioactive Peptides
From Biologically-Inactive Proteins
 Peptides produced from intact inactive
proteins by incomplete digestion via
proteases in stomach and duodenum or via
microbial proteases in rumen
 Many of these biologically active peptides
(typically 2-4 amino acid residues) are stable
from further digestion
 Some peptides bind to specific epithelial receptors
in intestinal lumen and induce physiological
reactions
 Some peptides are absorbed intact by a specific
peptide transporter system into the circulatory
system and transported to target organs
Responses to Feeding Functional
Proteins or Peptides
 Antimicrobial – including control of gut microflora
 Antiviral
 Binding of enterotoxins
 Anti-carcinogenic
 Immunomodulation
 Anti-oxidant effects
 Opioid effects
 Enhance tissue development or function
 Anti-inflammatory
 Appetite regulation
 Anti-hypertensive
 Anti-thrombic
Functional Activity of Major Milk Proteins
 Caseins (α, β and κ)
 Transport of minerals and trace elements (Ca, PO4, Fe, Zn, Cu), precursor
of bioactive peptides, immunomodulation (hydrolysates/peptides)
 β-Lactoglobulin
 Retinol carrier, binding fatty acids, potential antioxidant, precursor for
bioactive peptides
 α-Lactalbumin
 Lactose synthesis in mammary gland, Ca carrier, immunomodulation,
anticarcinogenic, precursor for bioactive peptides
 Immunoglobulins
 Specific immune protection (antibodies and complement system), G, M, A
potential precursor for bioactive peptides
 Glycomacropeptide
 Antiviral, antithrombotic, bifidogenic, gastric regulation
 Lactoferrin
 Antimicrobial, antioxidative, anticarcinogenic, anti-inflammatory,
immunomodulation, iron transport, cell growth regulation, precursor for
bioactive peptides
 Lactoperoxidase
 Antimicrobial, synergistic effect with Igs and LF
 Lysozyme
 Antimicrobial, synergistic effect with Igs and LF
 Serum albumin
 Precursor for bioactive peptides
 Proteose peptones
 Potential mineral carrier
Functional Activity of Minor Milk
Proteins
 Growth factors (IgF, TGF, EGF)
 stimulation of cell proliferation and differentation
 Cytokines
 regulation of immune system (interferons, interleukins,
TGFβ, TNFα)

Inflammation

Increases immune response
 Milk basic protein (MBP)
 Promotion of bone formation and suppression of bone
resorption
 Osteopontin
 Modulation of trophoblastic cell migration
Protein Fragments That Have
Biological Activity
Functional Protein Effects During
Toxin or Disease Challenge
 During intestinal inflammation, some functional proteins:
 Reduce

local inflammatory response

excessive activation of inflammatory cells

permeability
 Increase

Nutrient absorption

Barrier function

Intestinal health
 During intestinal inflammation, some functional proteins:
 Are absorbed and create adverse allergenic and immune
responses in the body
Modified from Campbell, 2007

Protein metabolism

  • 1.
  • 2.
    Proteins-----AA  Proteins aremade from 20 different amino acids, 9 of which are essential.  Each amino acid has an amino group, an acid group, a hydrogen atom, and a side group.  It is the side group that makes each amino acid unique.  The sequence of amino acids in each protein determines its unique shape and function.
  • 4.
     Amino Acids Have unique side groups that result in differences in the size, shape and electrical charge of an amino acid  Nonessential amino acids, also called dispensable amino acids, are ones the body can create.  Nonessential amino acids include alanine, arginine, asparagines, aspartic acid, cysteine, glutamic acid, glutamine, glycine, proline, serine, and tyrosine.
  • 6.
     Amino Acids Essential amino acids, also called indispensable amino acids, must be supplied by the foods people consume.  Essential amino acids include histidine, isoleucine, leucine, lysine, methionine, phenyalanine, threonine, tryptophan, and valine.  Conditionally essential amino acids refer to amino acids that are normally nonessential but essential under certain conditions.
  • 7.
    Amino Acid Requirementsof Humans -------------------------------------------------------------------- Nutritionally Essential Nutritionally Nonessential -------------------------------------------------------------------- Argininea Alanine Histidine Asparagine Isoleucine Aspartate Leucine Cysteine Lysine Glutamate Methionine Glutamine Phenylalanine Glycine Threonine Proline Tryptophan Serine Valine Tyrosine --------------------------------------------------------------------- a “ Nutritionally semiessential.” Synthesized at rates inadequate to support growth of children.
  • 8.
    What is protein Proteins  Amino acid chains are linked by peptide bonds in condensation reactions.  Dipeptides have two amino acids bonded together.  Tripeptides have three amino acids bonded together.  Polypeptides have more than two amino acids bonded together.  Amino acid sequences are all different, which allows for a wide variety of possible sequences.
  • 9.
    M. Zaharna Clini. Chem.2009 Peptide bond
  • 10.
    The Chemist’s Viewof Proteins  Proteins  Protein Shapes  Hydrophilic side groups are attracted to water.  Hydrophobic side groups repel water.  Coiled and twisted chains help to provide stability.
  • 11.
    M. Zaharna Clini. Chem.2009 Classification of protein  Proteins are polymers of amino acids produced by living cells in all forms of life.  A large number of proteins exist with diverse functions, sizes, shapes and structures but each is composed of essential and non-essential amino acids in varying numbers and sequences.  The number of distinct proteins within one cell is estimated at 3,000 - 5,000  The most abundant organic molecule in cells (50-70% of cell dry weight)
  • 12.
    M. Zaharna Clini. Chem.2009 Size  A typical protein contains 200-300 amino acids, but some are much smaller and some are much larger  Proteins range in molecular weight from 6,000 Daltons (insulin) to millions of Daltons (structural proteins)
  • 13.
    M. Zaharna Clini. Chem.2009 Protein Structure  Primary structure – sequence of AA  In order to function properly, proteins must have the correct sequence of amino acids.  e.g when valine is substituted for glutamic acid in the β chain of HbA, HbS is formed, which results in sickle-cell anemia.
  • 14.
    M. Zaharna Clini. Chem.2009 Secondary structure  Initial helical folding  Beta pleated sheet  Held together by Hydrogen bonding
  • 15.
    M. Zaharna Clini.Chem. 2009 Tertiary Structure  Chain folds back on itself to form 3D structure  Interaction of R groups  Responsible for biologic activity of molecule
  • 16.
    M. Zaharna Clini.Chem. 2009 Quaternary structure  2 or more polypeptide chains binding together  eg. Hemoglobin  Hemoglobin has 4 subunits  Two α chains  Two β chains  Many enzymes have quaternary structures
  • 17.
    M. Zaharna Clini. Chem.2009 Classification by Protein Structure  Simple Proteins (contain only amino acids) are classified by shape as –  Globular proteins: compact, tightly folded and coiled chains  Majority of serum proteins are globular  Fibrous proteins: elongated, high viscosity (hair, collagen)
  • 18.
    M. Zaharna Clini. Chem.2009 Classification by Protein Structure  Conjugated proteins contain non-amino acid groups  Amino acid portion is called apoprotein and non-amino acid portion is called the prosthetic group  It is the prothetic groups that define the characteristics of these proteins.  Name of the conjugated protein is derived from the prosthetic group
  • 19.
    M. Zaharna Clini. Chem.2009 Conjugated Proteins Classification Prosthetic group Example Lipoprotein Lipid HDL Glycoprotein Carbohydrates Immunoglo- bulins Phosphoprotein Phosphate Casein of milk
  • 20.
    M. Zaharna Clini. Chem.2009 Functions of proteins  Generally speaking, proteins do everything in the living cells  Functional classification of plasma proteins is useful in understanding the changes that occur in disease:  Tissue nutrition  Proteins of immune defense  Antibodies  Acute phase proteins  Proteins associated with inflammation  Transport proteins( albumin, transferrin)  Proteins used to bind and transport  Hemostasis  Proteins involved in forming clots and acting very closely with complement
  • 21.
    M. Zaharna Clini. Chem.2009 Functions of proteins  Regulatory  ( receptors, hormones )  Catalysis,  enzymes  Osmotic force  Maintenance of water distribution between cells and tissue and the vascular system of the body  Acid-base balance  Participation as buffers to maintain pH  Structural, contractile, fibrous and keratinous
  • 22.
    Monogastric Protein Digestion Whole proteins are not absorbed  Too large to pass through cell membranes intact  Digestive enzymes  Hydrolyze peptide bonds  Secreted as inactive pre-enzymes  Prevents self-digestion H3N+ C H C R O N H C H C O R N H C H C R O O–
  • 23.
    Monogastric Protein Digestion Initiated in stomach  HCl from parietal cells  Stomach pH 1.6 to 3.2  Denatures 40 , 30 , and 20 structures  Pepsinogen from chief cells  Cleaves at phenylalanine, tyrosine, tryptophan  Protein leaves stomach as mix of insoluble protein, soluble protein, peptides and amino acids Aromatic amino acids Pepsinogen HCl Pepsin
  • 24.
    Protein Digestion –Small Intestine  Pancreatic enzymes secreted  Trypsinogen  Chymotrypsinogen  Procarboxypeptidase  Proelastase  Collagenase Zymogens
  • 25.
    Monogastric Digestion – SmallIntestine  Zymogens must be converted to active form  Trypsinogen Trypsin  Endopeptidase  Cleaves on carbonyl side of Lys & Arg  Chymotrypsinogen Chymotrypsin  Endopeptidase  Cleaves carboxy terminal Phe, Tyr and Trp  Procarboxypeptidase Carboxypeptidase  Exopeptidase  Removes carboxy terminal residues Enteropeptidase/Trypsin Trypsin Trypsin
  • 26.
    Protein Digestion  Smallintestine (brush border)  Aminopeptidases  Cleave at N-terminal AA  Dipeptidases  Cleave dipeptides  Enterokinase (or enteropeptidase)  Trypsinogen → trypsin  Trypsin then activates all the other enzymes
  • 27.
    Trypsin Inhibitors  Smallproteins or peptides  Present in plants, organs, and fluids  Soybeans, peas, beans, wheat  Pancreas, colostrum  Block digestion of specific proteins  Inactivated by heat
  • 28.
    Protein Digestion  Proteinsare broken down to  Tripeptides  Dipeptides  Free amino acids
  • 29.
    Free Amino AcidAbsorption  Free amino acids  Carrier systems  Neutral AA  Basic AA  Acidic AA  Imino acids  Entrance of some AA is via active transport  Requires energy Na+ Na+
  • 30.
    Peptide Absorption  Formin which the majority of protein is absorbed  More rapid than absorption of free amino acids  Active transport  Energy required  Metabolized into free amino acids in enterocyte  Only free amino acids absorbed into blood
  • 31.
    Absorption of IntactProteins  Newborns  First 24 hours after birth  Immunoglobulins  Passive immunity  Adults  Para cellular routes  Tight junctions between cells  Intracellular routes  Endocytosis  Pinocytosis  Of little nutritional significance...  Affects health (allergies and passive immunity)
  • 32.
    Protein Transport inthe Blood  Amino acids diffuse across the basolateral membrane  Enterocytes → portal blood → liver → tissues  Transported mostly as free amino acids  Liver  Breakdown of amino acids  Synthesis of non-essential amino acids
  • 33.
    Groff & Gropper,2000 Overview of Protein Digestion and Absorption in Monogastrics
  • 34.
    OVERVIEW OF AMINOACID METABOLISM ENVIRONMENT ORGANISM Ingested protein Bio- synthesis Protein AMINO ACIDS Nitrogen Carbon skeletons Urea Degradatio n (required) 1 2 3 a b Purines Pyrimidines Porphyrins c c Used for energy pyruvate α-ketoglutarate succinyl-CoA fumarate oxaloacetate acetoacetate acetyl CoA (glucogenic)(ketogenic)
  • 35.
    Amino Acid Catabolism Deamination of Amino Acids removal of the a-amino acids Oxidative Deamination Non-oxidative Deamination Transamination
  • 36.
  • 37.
    The term amphibolicis used to describe a biochemical pathway that involves both catabolism and anabolism
  • 38.
    Reductive amination catalyzedby glutamate dehydrogenase (this is physiological important becouse high conc. Of NH4 ion are cytotoxic)
  • 39.
    Glutamine synthesis iscoupled to hydrolysis of ATP
  • 40.
    Pyruvate is anamphibolic intermediate in synthesis of alanine
  • 41.
    Glutamte dehydrogenase, glutaminesynthetase and aminotranferases play central roles in amino acid biostynthsis  The combined action of the above said enzymes converts inorganic ammonium ion in to the α-amino nitrogen of AA
  • 42.
    Asparagine synthesis isenergetically favorable due to coupling to ATP hydrolysis
  • 43.
    Serine biosynthesis(oxidation ofthe α-hydroxyl group of the glycolytic intermidiate 3-phosphoglycerate by 3- phosphoglycerate dehygrogenase convert it to 3- phosphohydroxypuruvate. Transamination and subsequent dephosphorylation is strongly favored)
  • 44.
    Multistep pathway forglycine biosynthesis
  • 45.
    Glycine is alsosynthesized from serine
  • 46.
    Cysteine is not nutritionally essential, however it isderived from methionine +NH3 CH C H2 C O- O H2 C S CH3
  • 47.
  • 48.
    Hydroxyproline is formedafter protein synthesis
  • 49.
    Selenocysteine is synthesizedfrom serine and selenophosphate
  • 50.
    Amino acids thatare synthesized de novo in humans. All are related by a small number of steps to glycolysis or TCA cycle intermediates.
  • 51.
    Salvage pathways forformation of certain nonessential amino acids from other amino acids Amino Acid formed Precursor Amino Acid Arginine Proline Cysteine Methionine Tyrosine Phenylalanine
  • 52.
    NITROGEN BALANCE Nitrogen balance= nitrogen ingested - nitrogen excreted (primarily as protein) (primarily as urea) Nitrogen balance = 0 (nitrogen equilibrium) protein synthesis = protein degradation Positive nitrogen balance protein synthesis > protein degradation Negative nitrogen balance protein synthesis < protein degradation
  • 53.
  • 54.
    FATE OF THECARBON SKELETONS Carbon skeletons are used for energy. Glucogenic: TCA cycle intermediates(gluconeogensis) Ketogenic: acetyl CoA, acetoacetyl CoA, or acetoacetate
  • 56.
    Protein synthesis  On-going,semicontinuous activity in all cells but rate varies greatly between tissues
  • 57.
    Rate of proteinsynthesis Ks (%/d) Tissue Pig Steer Liver Gut Muscle 23 45 5 21 39 2 Ks = fraction of tissue protein synthesized per day
  • 58.
    Protein synthesis  On-going,semicontinuous activity in all cells but rate varies greatly between tissues  Rate is regulated by hormones and supply of amino acids and energy  Energetically expensive  requires about 5 ATP per one peptide bond  Accounts for about 20% of whole-body energy expenditure
  • 59.
    Protein degradation  Alsocontrolled by hormones and energy status  Method to assist in metabolic control  turns off enzymes
  • 60.
    Protein synthesis and degradation Synthesis must exceed degradation for net protein deposition or secretion  Changes in deposition can be achieved by different combinations of changes in synthesis and degradation
  • 61.
    Changes in deposition SynthesisDegradation Deposition No change No change No change
  • 62.
    Protein synthesis and degradation Synthesis must exceed degradation for net protein deposition or secretion  Changes in deposition can be achieved by different combinations of changes in synthesis and degradation  Allows for fine control of protein deposition
  • 63.
    Proline biosynthesis(the initialreaction of proline biosynthsis converts the ᵞ-carboxyl group of glutamate to the mixed acid anhydride of glutamate ᵞ-phospate. Subsequent reduction form glutamate ᵞ- semialdehyde,, which following spontaneously cyclization is reduced to L-Proline )
  • 64.
    Protein synthesis and degradation Other possible reasons for evolution of protein turnover include  Allows post-translational conversion of inactive peptides to active forms (e.g., pepsinogen to pepsin)  Minimizes possible negative consequences of translation errors
  • 65.
    Protein catabolism  Somenet catabolism of body proteins occurs at all times  Expressed as urinary nitrogen excretion  yields urea  Minimal nitrogen excretion is termed endogenous urinary nitrogen (EUN)
  • 66.
  • 67.
  • 68.
    Protein Synthesis  Synthesis=the process of building or making  DNA= (deoxyribonucleic acid) the genetic code or instructions for the cell  RNA= ribonucleic acid  Amino Acids= building blocks of proteins
  • 69.
    DNA RNA Deoxyribonucleic AcidRibonucleic Acid Sugar=deoxyribose Sugar= ribose Contains 1 more H atom than deoxyribose Double stranded Single stranded- a single strand of nucleotides Nitrogen bases: ATCG Nitrogen bases: AUCG U=Uracil
  • 70.
  • 71.
    STEP 1: TRANSCRIPTION=making RNA Location: Eukaryotes-nucleus Prokaryotes-cytoplasm  1. RNA polymerase binds to the gene’s promoter  2. The two DNA strands unwind and separate.  3. Complementary nucleotides are added using the base pairing rules EXCEPT:  A=U 
  • 72.
    Try this example. Using the following DNA sequence, what would be the complementary RNA sequence?  ATCCGTAATTATGGC  UAGGCAUUAAUACCG
  • 73.
  • 74.
     1. MessengerRNA= mRNA is a form of RNA that carries the instructions for making the protein from a gene and delivers it to the site of translation.  Codon= three nucleotide sequence  Transfer RNA= tRNA single strands of RNA that temporarily carry a specific amino acid on one end and has an anticodon  Anticodon-a 3 nucleotide sequence that is complementary to an mRNA codon  Ribosomal RNA= rRNA- a part of the structure of ribosomes
  • 75.
    Codon and Anticodon Codon-found on mRNA Anticodon-found on tRNA http://images.google.com/imgres? imgurl=http://www.obgynacademy.com/basicsciences/feto logy/genetics/images/codon_GCA.gif&imgrefurl=http://ww w.obgynacademy.com/basicsciences/fetology/genetics/&u sg=__4MvAO2N3sXbERXQwODVDSqtsOjM=&h=160&w= 168&sz=4&hl=en&start=5&tbnid=toyuIN8drVBr4M:&tbnh= 94&tbnw=99&prev=/images%3Fq%3Dcodon%26gbv %3D2%26hl%3Den http://www.microbelibrary.org/microbelibrary/files/ccImages/Articleim ages/kaiser/tRNA_arg.jpg
  • 76.
    STEP 2-TRANSLATION- Assembling proteins-in the cytoplasm  mRNA leaves nucleus and enters cytoplasm  tRNA molecules with the complementary anticodon and a specific amino acid arrives at the ribosome where the mRNA is waiting.  Peptide bond forms between amino acids  tRNA molecule leaves and a new one comes with another amino acid.  Amino acids continue to attach together until the stop codon and a protein is formed
  • 77.
    SUMMARY  Transcription= processof making RNA from DNA  Translation= RNA directions are used to make a protein from amino acids • DNA→RNA →Protein  Transcription Translation nucleus Cytoplasm on ribosome
  • 78.
    DNA RNA Deoxyribonucleic AcidRibonucleic Acid Sugar=deoxyribose Sugar= ribose Contains 1 more H atom than deoxyribose Double stranded Single stranded- a single strand of nucleotides Nitrogen bases: ATCG Nitrogen bases: AUCG U=Uracil
  • 79.
    Video Clips  http://www.youtube.com/watch?v=KvYEqG http://www.youtube.com/watch?v=B6O6uR
  • 80.
    DNA Replication RNATranscription DNA polymerase is used. RNA polymerase is used. DNA nucleotides are linked. RNA nucleotides are linked. A DNA molecule is made. An RNA molecule is made. Both DNA strands serve as templates. Only one part of one strand of DNA ( a gene) is used as a template.
  • 81.
    Explain the stepsin protein synthesis. http://stemcells.nih.gov /info/scireport/images/f igurea6.jpg
  • 82.
    Ruminant Protein Digestion Ruminants can exist with limited dietary protein sources due to microbial protein synthesis  Essential amino acids synthesized  Microbial protein is not sufficient during:  Rapid growth  High production
  • 83.
    Protein in theRuminant Diet  Types of protein:  Dietary protein – contains amino acids  Rumen Degradable Protein (RDP) – available for use by rumen microbes  Rumen Undegradable Protein (RUP) – escapes rumen fermentation; enters small intestine unaltered  Varies with diet, feed processing  Dietary non-protein nitrogen (NPN) – not true protein; provides a source of nitrogen for microbial protein synthesis  Relatively CHEAP - decreases cost of protein supplementation
  • 84.
    Ruminant Protein Feeding Feed the rumen microbes first (RDP)  Two counteractive processes in rumen  Degradation of (dietary) protein  Synthesis of microbial protein  Feed proteins that will escape fermentation to meet remainder of animal’s protein requirements  Escape protein, bypass protein, or rumen undegradable protein (RUP)  Aldehydes increase inter-protein cross-linking  Heat treatment  Utilization depends on  Digestibility of RUP source in the small intestine  Protein quality
  • 85.
    Protein Degradation inRumen Feedstuff % Degraded in 2 hours Urea 100 Alfalfa (fresh) 90 Wheat Grain 78 Soybean Meal 65 Corn Grain 48 Blood Meal 18
  • 86.
    Rumen Protein Utilization Factors affecting ruminal degradation  Rate of passage  Rate of passage ↑ ⇒ degradation ↓  Solubility in water  Must be solubilized prior to degradation  Heat treatment  Degradation ↓  N (and S) availability  Energy availability (carbohydrates)
  • 87.
    Protein Fractions  Dietaryproteins classified based on solubility in the rumen  A  NPN, instantly solubilized/degraded  B1 B2 B3  Potentially degradable  C  Insoluble, recovered in ADF, undegradable
  • 88.
    Ruminant Protein Digestion Rumen microbes use dietary protein  Creates difference between protein quality in feed and protein actually absorbed by host  Microbes break down dietary protein to  Amino acids  NH3, VFAs, and CO2  Microbes re-synthesize amino acids  Including all the essential amino acids from NH3 and carbon skeletons No absorption of protein or amino acids from rumen (or from cecum or large intestine!)
  • 89.
    Protein Hydrolysis by RumenMicrobes  Process with multiple steps  Insoluble protein is solubilized when possible  Peptide bonds of solubilized protein are cleaved  Microbial endo- and exo-peptidases  Amino acids and peptides released  Peptides and amino acids absorbed rapidly by bacteria  Bacteria degrade into ammonia N (NH3)  NH3 used to produce microbial crude protein (MCP)
  • 90.
    Microbial Crude Protein (MCP) Protein produced by microbial synthesis in the rumen  Primary source of protein to the ruminant animal  Microbes combine ammonia nitrogen and carbohydrate carbon skeleton to make microbial crude protein  Diet affects the amount of nitrogen entering the small intestine as microbial crude protein
  • 91.
    Factors Limiting Microbial ProteinSynthesis  Amount of energy  ATP  Available nitrogen  NPN  Degraded feed intake protein nitrogen (RDP)  Available carbohydrates  Carbon residues for backbone of new amino acid Microbial crude protein synthesis relies on synchronization of carbohydrate (for carbon backbones) and nitrogen availability (for amino group)
  • 92.
    Microbial Protein Synthesis Synchronization of carbohydrate and N availability  NPN supplementation  Carbohydrates used for carbon skeleton of amino acids VFA (CHO fermentation) Rumen NH3 Blood NH3 Adapted from Van Soest, 1994 Time post-feeding Concentration Carbon backbone (from CHO fermentation)
  • 93.
    Microbial Protein Formation Dietary NPN Dietary SolubleRDP Microbial Proteins Amino Acids Carbon Skeletons Sulfur Other Co-factors NH3 ATP Dietary Starch Sugar Dietary Cellulose Hemicellulose rapid slow rapid slower Dietary Insoluble RDP very slow
  • 94.
    Nitrogen Recycling  ExcessNH3 is absorbed through the rumen wall to the blood  Quickly converted to urea in the liver  Excess NH3 may elevate blood pH  Ammonia toxicity  Costs energy  Urea (two ammonia molecules linked together)  Relatively non-toxic  Excreted in urine  Returned to rumen via saliva (rumination important)  Efficiency of nitrogen recycling decreases with increasing nitrogen intake
  • 95.
    Nitrogen Recycling  Nitrogenis continually recycled to rumen for reutilization  Ability to survive on low nitrogen diets  Up to 90% of plasma urea CAN be recycled to rumen on low protein diet  Over 75% of plasma urea will be excreted on high protein diet  Plasma urea enters rumen  Saliva  Diffuses through rumen wall from blood Urea Ammonia + CO2 Urease
  • 96.
    Feed Protein, NPN andCHO Feed Protein Feed NPN NH3/NH4 Bacterial N NH4 + loss MCP RDP RUP Feed Protein AA MCP AA NH3 Liver Blood Urea Salivary N ATP RUMEN SMALL INTESTINE
  • 97.
    Ruminant Digestion and Absorption Post-ruminal digestion and absorption closely resembles the processes of monogastric animals  However, amino acid profile entering small intestine different from dietary profile
  • 98.
    Overview of ProteinFeeding Issues in Ruminants  Rumen degradable protein (RDP)  Low protein quality in feed ⇒ very good quality microbial proteins  Great protein quality in feed ⇒ very good quality microbial proteins  Feed the cheapest RDP source that is practical regardless of quality  Rumen undegradable protein (RUP)  Not modified in rumen, so should be higher quality protein as fed to animal  May cost more initially, but may be worth cost if performance boosted enough
  • 99.
    Salivary Urea NPN NH3 POOL Dietary Nitrogen Non-utilizedAmmonia NH3 UREA LIVER LEVEL TO PROVIDE FOR MAXIMUM MICROBIAL GROWTH MICROBIAL PROTEIN 65% OF PROTEIN 35% OF PROTEIN SMALL INTESTINE AMINO ACIDS AMINO ACIDSPROTEIN AMINO ACIDS PEPTIDES Reticulo-rumen RUP RDP Recycled urea
  • 100.
    Functional Feeds  Functionalfeeds may be defined as any feed or feed ingredient that produces a biological effect or health benefit that is above and beyond the nutritive value of that feedstuff  Many feeds and their components fit this definition
  • 101.
    Functional Proteins  Functionalproteins are feed-derived proteins that, in addition to their nutritional value, produce a biological effect in the body
  • 102.
    Feedstuffs with Biologically ActiveProteins  Milk  Colostrum  Whey Protein Concentrates/Isolates  Plasma or serum  Other animal-derived feedstuffs  Fish meal  Meat and bone meal  Fermented animal-based products  Yeast  Lactobacillus organisms  Soy products
  • 103.
    Protein Size AffectsFunction  Many protein hormones are functional even when fed to animals  thyrotropin-releasing hormone (TRH, a 3-amino acid peptide)  luteinizing hormone-releasing hormone (LHRH, a 10-amino acid peptide)  insulin (a 51-amino acid polypeptide)  The smaller the peptide, the more “functional” it is when fed  100% activity for TRH, 50% for LHRH, and 30% for insulin  Feedstuffs containing protein hormones (colostrum) have biological activity when fed to animals
  • 104.
    Production of BioactivePeptides From Biologically-Inactive Proteins  Peptides produced from intact inactive proteins by incomplete digestion via proteases in stomach and duodenum or via microbial proteases in rumen  Many of these biologically active peptides (typically 2-4 amino acid residues) are stable from further digestion  Some peptides bind to specific epithelial receptors in intestinal lumen and induce physiological reactions  Some peptides are absorbed intact by a specific peptide transporter system into the circulatory system and transported to target organs
  • 105.
    Responses to FeedingFunctional Proteins or Peptides  Antimicrobial – including control of gut microflora  Antiviral  Binding of enterotoxins  Anti-carcinogenic  Immunomodulation  Anti-oxidant effects  Opioid effects  Enhance tissue development or function  Anti-inflammatory  Appetite regulation  Anti-hypertensive  Anti-thrombic
  • 106.
    Functional Activity ofMajor Milk Proteins  Caseins (α, β and κ)  Transport of minerals and trace elements (Ca, PO4, Fe, Zn, Cu), precursor of bioactive peptides, immunomodulation (hydrolysates/peptides)  β-Lactoglobulin  Retinol carrier, binding fatty acids, potential antioxidant, precursor for bioactive peptides  α-Lactalbumin  Lactose synthesis in mammary gland, Ca carrier, immunomodulation, anticarcinogenic, precursor for bioactive peptides  Immunoglobulins  Specific immune protection (antibodies and complement system), G, M, A potential precursor for bioactive peptides  Glycomacropeptide  Antiviral, antithrombotic, bifidogenic, gastric regulation  Lactoferrin  Antimicrobial, antioxidative, anticarcinogenic, anti-inflammatory, immunomodulation, iron transport, cell growth regulation, precursor for bioactive peptides  Lactoperoxidase  Antimicrobial, synergistic effect with Igs and LF  Lysozyme  Antimicrobial, synergistic effect with Igs and LF  Serum albumin  Precursor for bioactive peptides  Proteose peptones  Potential mineral carrier
  • 107.
    Functional Activity ofMinor Milk Proteins  Growth factors (IgF, TGF, EGF)  stimulation of cell proliferation and differentation  Cytokines  regulation of immune system (interferons, interleukins, TGFβ, TNFα)  Inflammation  Increases immune response  Milk basic protein (MBP)  Promotion of bone formation and suppression of bone resorption  Osteopontin  Modulation of trophoblastic cell migration
  • 108.
    Protein Fragments ThatHave Biological Activity
  • 109.
    Functional Protein EffectsDuring Toxin or Disease Challenge  During intestinal inflammation, some functional proteins:  Reduce  local inflammatory response  excessive activation of inflammatory cells  permeability  Increase  Nutrient absorption  Barrier function  Intestinal health  During intestinal inflammation, some functional proteins:  Are absorbed and create adverse allergenic and immune responses in the body Modified from Campbell, 2007