1
Phytophthora infestans a re- emerging pathogen
• Evolutionary context P. infestans is more like an
alga that has lost its chlorophyll rather than a fungus.
• P. infestans is very similar to a fungus
morphologically and in the ecological niche it fills.
• Diploid at all stages
• Requires two mating types, designated A1 and A2,
for sexual reproduction.
• Oospore, which is resistant to environmental
extremes
Is not a fungus?
Stephen B. Goodwin
3
•Late blight occurs regularly in the northwestern hills of
Himachal Pradesh and Uttaranchal;
•The northeastern hills of Shillong in Meghalaya and
Darjeeling districts of west Bengal and Nilgiris in the
southern hills
• In the Indo-Gangetic plains states of Punjab UP, Bihar
and West Bengal.
The disease is more severe and occurs more frequently in
the northeastern hills where the weather is favorable to the
pathogen
https://research.cip.cgiar.org/confluence/display/GILBWEB/India
Headlines from newspapers in West Bengal State, India, reporting the effects of severe late blight in 2014.
Phytophthora infestans: New Tools (and Old Ones) Lead to New Understanding and Precision Management
William E. Fry Annu. Rev. Phytopathol. 2016. 54:529–47
William E. Fry,2016
CONTENTS
• Introduction
• Emergence and resurgence phases
Before 1840s - late 19th century
Late 20th century (1980-1999)
Early 21th century (2000-2017
• Conclusion
• Future aspects
5
Late blight of potato and tomato
I am the pathogen associated with
the Irish potato famine. If you like
digging in the dirt, you may find me
infecting my favorite food, potato
tubers
Photo: University of
Georgia Plant Pathology
Archive, Bugwood.org
OLD:
Domain: Eukarya
Kingdom: Stramenopila
Phylum: Oomycota
Class: Oomycetes*
Order: Peronosporales
Family: Pythiaceae
Genus: Phytophthora
Species: Phytophthora
infestans
NEW:
Domain: Eukaryota
Kingdom: Chromista
Phylum: Oomycota
Class: Oomycetes
Order: Peronosporales
Family: Peronosporaceae
Genus: Phytophthora
Species: Phytophthora infestans
Taxonomic Tree
Scientific Name
Phytophthora infestans
Preferred Common Name
Phytophthora blight
http://www.cabi.org/isc/datasheet/40970
Life cycle of Phytophthora infestans
7
G N Agrios,5th Edition
Direct germination ,
warm >15 0C
Indirect germination
Cool,12-15 0C
Compatible A1 &
A2 mating types,
Heterothallic;
sexual rep.
Survive few
weeks
Survive for 3-
4 yrs
chlamydospores
Sporulation
at 15-25 0C
8
http://www.cabi.org/isc/datasheet/40970
9
EMERGENCE AND RESURGENCE PHASES
• Before 1840s - late 19th century
• Late 20th century (1980-1999)
• Early 21th century (2000-2017)
9
10
Centre of origin
MEXICO
PERU
;SA
Initial assumption P.infestans (asexual reproduction)
originated in the Andes of South America along with
the potato (1846, 1928)
11yrs later,
the native species of Solanum in Mexico
(asexual reproduction)are largely resistant to
P.infestan was found.(S. demissum)
1939, Reddick was suggest idea that mexico was the
centre of origin of P.infestan.
Conformed in 1950,
when it was discovered in the Toluca Valley in
central Mexico was sexual, containing both A1 and
A2 mating types (Galindo and Gallagly) (sexual
reproduction)
W.E.Fry et al. , 2015
Kentaro Yoshida et al .2013
Before 1840s - late 19th century
• In 16th century, the potato was introduced in Europe from South and
Central America.
• Strong objections for adopting : Unclean, not mentioned in the
bible.(not rapidly spread)
• 1800, cultivation of potato increased in good conditions like cool
and wet climate of Ireland.
• In early 1840s, LB was 1st observed in north eastern united
states(1843) Southern US, Canada( air borne sporangia)
• Well established in Ireland, England, Europe by 1842
• Irish famine(1845) in Ireland & Europe 11
The Russet or Irish Potato,
characterized by its large,
brown, oblong shape.
G N Agrios. 5th edition
Causes
• Rise in population
• Dependence on the potato
• The Blight
Source:
• Transportation of infected planting material and tubers
from Mexico to USA
• from North America to Europe
In Europe, P.infestans survive in summer and winter as
mycelia in potato tubers and tomato fruits (HERB1& US1)
Irish famine(1845)
13
Irish famine(1845)
G N Agrios. 5th edition
Air borne sporangia
Dr. J. Lindley, proposed incorrectly that the plants, during the rains, over absorbed water
through their roots and because they could not get rid of the excess water, their
tissues became swollen and rotted
Berkeley, however, noticed that the mold covering potato plants about to rot was a
fungus (oomycete) similar but not identical to a fungus he observed on a sick onion.
Finally, in 1861, Anton de Bary proved that the potato blight was caused by an oomycete
was named Phytophthora infestans (“infectious plant destroyer” from phyto = plant,
phthora = destruction, infestans = infectious),
In India it was introduced into the Nilgiri hills between 1870 and1880.
Soon spread to Darjeeling In Himalayas after introduction of english potato.
14
G N Agrios. 5th edition
Irish famine strain??
15
• Goodwin suggested that the famine might have
been caused by the US1 clonal lineage of
P.infestans. (Based on dominant strain in mid 20th
century)
• Analyses of collected herbarium specimens by
using shotgun sequencing indicated that US1
genotype was not present in 1845 to 1896
But instead,
• Populations were dominated by a single genotype
named HERB-1 (Yoshidaetal.2013).
•HERB-1 apparently dominated for 50years but it
was subsequently replaced by the closely related
US1 clone Goodwin et al. (1994)
MEXICO
PERU;SA
EUROPE
CHINA
AFRICA
IMPACT OF IRISH FAMINE
16
Management
Fry et al, 2015)
late 20th century
(Resurgence of LB IN 1980-1999)
• Heterothallic species – A1 & A2 – Sexual reproduction- oospores
• Before 1980s,
P.infestans either A1 or A2 mating types
ex: (HERB1-A1;Ireland and US1 – A1 Europe, 20th century)- metalaxyl sensitive
Both A1 and A2 (Central Mexico)- metalaxyl resistant.
• 1980s, a ‘new’ population(A1 & A2) from central Mexico, spread to other parts of the
world(imported potatoes).
• In Europe US1 replaced by new strain A2 from Mexico (A2 metalaxyl resistant)-1981
(Goodwin et al. 1998).
19
A2 MATING TYPE
A2
A2
Resurgence
From Europe to Africa, Asia, South America.(A2)
In USA, 1985 to 1995 – US1 replaced by US8(A2,metalaxyl resistant) - EPIDEMIC
A2
20
USAAND CANADA:
In 1980s US1 replaced by US6 (Both are A1 TYPE)
1992 US7 and US8 (A2)genotypes replacing US1 and US6
1996 US11 and US 17(A2)genotypes replacing US7 and US8
For the first time in the USA and Canada there was the
possibility of sexual recombination.
•The first evidence for probable recombinant genotypes in the field
was in British Columbia during 1992 (Goodwin et al. 1995a).
•Other evidence for possible recombinant génotypes has been
found in the Columbia Basin of Washington and Oregon (Miller et
al. 1997) and in New York (Goodwin et al. 1998).
(Goodwin et al. 1998).
• The new genotypes US-7 and US-8 are highly resistant to metalaxyl, whereas isolates of
US-1 from the United States and Canada tested to date have been sensitive
Fry et al, 2015)
MECHANISMS OF HIGHER FITNESS IN NEW POPULATIONS
• Before 1980s the population of P. infestans in India and other countries of the world – US1 (A1,MS, mtDNA
haplotype Ib)
• In USA and Europe – both A1 & A2 (MR,1980-1990)
• In late 20th century, Aggressive A2 lineages – 13_A2 1st observed in Netherlands it becomes a major threat to
France, Northern Ireland, Germany, Denmark, other countries since 2005.
• Nishimura et al. 1st report on A2 mating population in collected genotypes from South East Asia (1999)
• A dominant clonal linage SIB-1 was reported from Siberia, China, Japan in late 20th century.
• In Taiwan- US 11 (1991-2006).
• 11 diverse genotypes collected from Nepal
• In 1992-2000 Gotoh et al. Collected isolates in South East Asian countires, out of 20
genotypes, 3 (IN-1, IN-2, NP-1) in India.(A1, MS)
22
B. P. Singh,S. Roy and S. K. Bhattacharyya
• 104 isolates of P.infestans were collected from different potato growing regions of
India.(1990–93)
• They were paired with mating type A1 to determine their mating type.
• All isolates from the Indo-Gangetic plains and Assam were the A1 mating type, whereas
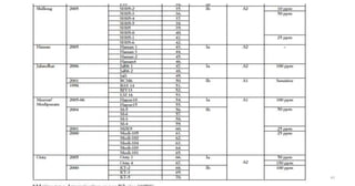
a mixed population of A1 and A2 types occurred at Shillong, Darjeeling and Shimla hills.
• The frequency of A2 isolates was 5–30% in the Shimla hills and 60% and 58%
respectively in the Shillong and Darjeeling hills.
23
24
• Field resistance to LB, effect of plant age and inoculum level on resistance and host
attributes studied on the Indian potato cultivars Kufri Chandramaukhi, Kufri Jvoti,
Kufri Badshah and Kufri Sherpa
•Kufri Jyoti was similar or more resistant than Kufri Badshah.
•No correlation was observed between any of the host attributes and resistance to late
blight, except that the erect canopy of Kufri Badshah was associated with its slow
blighting rate.
•At high inoculum, colonization rate and total sporulation were increased but infection
efficiency was decreased.
MECHANISAM OF MIGRATION
25
Source of inoculum for US-1 in southern Florida during 1993 and for US-8 during 1994
was infected seed potato tubers.
No evidence of new strains arrived in northern North America originally.(usually warm
conditions)
Because,
• Importation of potato tubers, especially from Mexico, is prohibited,
• Northwestern Mexico are surrounded by arid mountains and deserts
•Escape from culture collections in the USA or Canada seems remote, because strict
quarantine.
Cond.
Cond.
Cond.
(Fry and Goodwin 1997a, 1997b)
26
Tomatoes are imported from Mexico into the United States for fresh consumption.
•They probably are not screened as carefully for late blight, because it is usually considered only a potato
disease.
• The area of northwestern Mexico that the DNA fingerprint data indicated as the probable source of the
US-7 and US-8 genotypes also produced in tomatoes
Cond.
Long distance transport of P. infestans is in tomato transplants.
•From Florida into New York, and from California into Washington and even British Columbia
•The pathogen has been isolated from tomatoes in greenhouses
•This spread probably was by aerial dispersai of sporangia and indicates how rapid asexual reproduction
can facilitate migration
(Fry and Goodwin 1997a, 1997b)
Mechanism of greater fitness could be
Muller's ratchet.
• Most fitted genotype within a clonal lineage fails to survive by chance
• Mean fitness -decreases (Muller 1964).
• The speed of the ratchet depends on the rate of mutation and the population size.
• During many asexual generations, the fitness can ratchet downwards considerably.
• Populations can reach "mutational meltdown" after only 103 asexual Generations
27
•Example: US-1 clonal lineage may have experienced this number of asexual
generations by the 1980s and 1990s (Drenth et al. 1993; Goodwin 1997)
• By occurrence of fastest with high mutation rates in small populations.
Physiological specilazation and origin of new races
Schick and Muller(1932 , 1933) Physiological specilazation and occurrence of new races from
S.demissum & S.tuberosum
Black(1953) – determined 4 major genes( R1,R2, R3, R4 from S.demissum)for resistant, Minor gene
resistence was found in S.tuberosum
• Acc. To international system for classifying races and genes for resistance.
• 4 Rgenes produce 16 combinations of race , 15 are identifies (1953)
In India 6 genes produce 64 new races of P. infestans
• Up to 1958 race 0 and 1 – north western hills, in 1965 Race 0 and 4 in eastern hills
• But in 1966 complex races in eatsern hills and shimla.
• Frequency of race 1 was low on commercial cultivars, but high on seedlings raised under LBRP
(1965).
• In 1969, race 0 was still most common (58%), but frequency of race race 1 (42%) increased over
years.
• Race 3,4 appeared 1st time at Fagu (1973).
28
AAGGARWAL, RS MEHROTRA
• 9 high spectrum race with 4,5,6,and 7 genes were identified in Khasi hills.(Khanna et
al.,1977).
• 13 new race from shimla(1975).
• Up to 1980s 31 races were recorded in Northern plains.
• 1980, 8 – 9 complex races in hills
• 1986 Absence of race 0 and predominanece of race 3,4,7,8,10,11 indicate the shift of
virulence of P.infestans was complete.
• In 1991, 7 races identified in Lakhimpur(Assam).
• 1993, 11 races on potato and 3 races on tomato in plains of punjab
• In 1998, 6 gene, 7 gene, 8 gene complexes were the most dominated in shimla hills.
29
MANAGEMENT(1960-1990)
• In 1961 Paharia got good results with Dithane Z-78 in Patna
• In Nilgiri hills and western Himalays - Bordeaux mixture
• Eastern Himalayas - Dithane Z-78
• Acc. To Nagaich 1977,
 Northern hills- Dithane M-45 at 2kg/ha (last week of june) followed by Bordeaux
mixture 5:5:50, at 10days intervals
 Eastern hills- Bordeaux mixture and Brestan 1kg/ha
 Nilgiri hils- Brestan or Difoltan with stiker Triton HE
 In Plains: Diathane M 45(2kg/ha)or Brestan (1kg/ha) or Difoltan 80WP(2.5kg/ha)
• 1n 1983 Bhattacharya et al. Metalaxyl (1kg/ha) and Propineb(1.5kg/ha)
• 1987 Bhattacharya -Oxadixyl+ metlaxyl; Oxadixyl +COC in Darjeeling
1991 Arora 1st reported metalaxyl resistant isolates
AAGGARWAL, RS MEHROTRA
• Van Everdingen (1926) was the pioneer in using weather conditions for forecasting PLB
in Holland
• Beaumont modified these rules for UK conditions and these were known as ‘Beaumont
rules’ (Beaumont, 1947).
• Hyre (1954) proposed ‘moving days concept’ which takes care of the break in disease
congenial conditions over time.
• Wallin (1962) developed ‘severity value’ concept based on temperature and relative
humidity
• Negative prognosis’ was developed by Ullrich and Schrodter (1966) Germany and
Europe.
• Cook’s moving graph concept (Cook, 1949)
31
DISEASE FORECASTING AND DECISION SUPPORT SYSTEM(1926 TO 2005)
RK Arora , Sanjeev Sharma and BP Singh, 2014
• BLITECAST: Computer program that combines two late blight forecasting techniques developed by Hyre
and Wallin for forecast LB in USA and Europe (Krause et al., 1975)
• ProPhy: Netherlands and recommends first fungicide spray-the crop reaches a height of 15 cm in susceptible
varieties and ten days later in moderately resistant varieties (Schepers, 1995).
• NegFry: The model was developed in Denmark is based on the negative prognosis (Ullrich and Schrodte
1966).
• PROGEB, PhytoPRE, Web-blight: In 1996, Plant-Plus: 1997, PhytoPRE:2000, China-blight, Guntz-
Divoux:1997, Bio-PhytoPRE:2005
32
1950’s when Chaudhury and Pal (1959) utilized the rainfall data and dates of appearance of
late blight in Darjeeling hills for 12 years s using Cook’s moving graph concept (Cook, 1949)
and Hyre’s concept (Hyre, 1954)
RK Arora , Sanjeev Sharma and BP Singh, 2014
33
Early 21thcentury (Resurgence)
A2
A1
A1
A2
Migration of new genotypes
0
34
LATE BLIGHT IN INDIA
• Late blight occurs regularly –
 In 2001, presece of 5 races identified in Pantnagar.
 In 2005, frequency of 11 gene complex in highest at Darjeeling(70%), Western UP(68.2%), Patna(53%),
Shimla(48%), Shillong(35%).
 Singh (2007) reported that in 2005-06, 29 races were recorded from various parts of the country.
An increasing severity of late blight, a shift in pathogen population toward increased specific virulence and an
increased tolerance to metalaxyl has been recorded in past three decades in the north western plains of India (Arora,
2008)
34
35
 severe in the northeastern hills where the weather is favorable
 Tomato is attacked by P.infestans mainly in hilly regions, rare in the plains.
• Sources of infection :Infected seed tubers both in hills and plains.
 Hills-survival in seed tubers into the next crop season.
 Plains -survives in seed tubers (stored in the cold stores at 2--4 0 C)
 In Nilgiris in the south, the inoculum is carried over in the form of sporangia from one
season to another mainly because of the presence of the potato crop round the year
https://research.cip.cgiar.org/confluence/display/GILBWEB/India
Resurgence in South West India
• In south west India (Karnataka state, with 46,000 ha tomato),
• The disease had been reported there on potato since1953
• Late blight of tomato not important till 2007
• genotypes of 19 isolates –diseased tomato (were assayed using molecular markers (SSRandRG57).
• Results show that isolates being members of the 13_A2 genotype(Blue_13)of P.infestans—
dominated Great Britain in 2005 to 2008
W E Fry et al. 2015 (Chowdappa et al.2013)
Migration : importation of tons of seed potato from Great Britian and Europe pirior to
2009 (conformed by 13_A2 detected 2010, 2011,2012)
In 2009 and 2010-tomato and potato late blight epidemics (100% LOSS) (Chowdappa et al.
2013,(Arka Vias, Arka Megali, Arka sourhab and Kufri jyothi , kufri surya, kufri pukraj
respectively)
38
Origin and number of Phytophthora Infestans isolates
collected from potato and tomato at different locations in
South India from 2010 to 2012
Map of South India where isolates of Phytophthora infestans were
collected from 2010 to 2012
39
•Phytophthora infestans isolates collected between 1996 and 2006 from
potato-growing regions of India.
•A1 (90%) in the subtropical Indo-Gangetic plains,
•A2 (93%) in temperate highland regions
•All 11 isolates collected before 2000 were metalaxyl sensitive.
• whereas all 28 isolates from after 2004 were metalaxyl tolerant.
•Before 2002, the Ib mtDNA haplotype was seen in all 26 isolates,
•But a shift was observed from 2004 to 2006 after which the Ia mtDNA
haplotype was found to have replaced the Ib haplotype everywhere
except in the north eastern hills of India.
• Microsatellite analysis revealed that isolates from the north Himalayan
hills after 2000 were distinct from the all the others
40
41
42
•Oospore formation - when the ambient r.h. declined to 74% and moisture content of host tissue decreased to
83.7–85.6%. (INOCULATED PLANTS)
• It took 8 days (cv. Kufri Chandramukhi) to 13 days (cv. Kufri Jyoti and Kufri Badshah) for oospores to
develop.
•Oospores produced in vitro remained viable when buried in soil in the temperate highlands of Himachal
Pradesh and sub-tropical plains of Uttar Pradesh, India for more than 150 days, i.e. beginning of the next crop
season.
43
EPIDEMIC
• The US-1(Ib) lineage increases in frequency
in the middle 20th century in the US and
globally and then declined.
• The mefenoxam (metalaxyl) sensitive US-
22, more common on tomato in 2009, has
been displaced by US-23 in 2011, which
infects both hosts of potato and tomato.
• The genetic relationship of 18 of the 24
clonal lineages found in the US since 1970s
were examined using 12 simple sequence
repeat (SSR) markers
IN USA:
44
IN UK:
45
A total of 42 isolates of P. infestans were collected from different
districts of Uttarakhand during 2007-14 and diversity analysis
was performed using biological and molecular markers
46
Results of the present study indicates that the both mating type was present in Uttarakhand,
metalaxyl sensitivity was observed up to 200 ppm and eleven gene complex was common after 2011
Present study result suggests that the new population (Ia) which was introduced during 2002 in India has
displaced the old population (Ib) in Uttarakhand.
Source: potato seeds supply from plains and the new population (Ia) may be introduced via seeds
47
•A total of 57 isolates of P. infestans collected from Himachal Pradesh (temperate high hills and low hills) over a
period of three years (2008-2010) were characterized using biological and molecular markers.
•Results revealed that all the isolates yielded Ia mtDNA haplotypes which could be a new population.
•Work on identification of P. infestans races was taken up in 1958 and at that time races 0 and 1 were present
in north-western hills while race 0 was present in north-eastern hills of India.
48
Results:
•All the isolates were of A2 mating Ia type possessing 9-11 virulence genes ( 1st occurrence of A2
in 1986 inIndia)
• Most of them (89.5%) displayed intermediate resistance to metalaxyl. (1st introduced as a
commercial form in 1988, MR strain occurred in 1999)
•None of the isolates were resistant to metalaxyl while 51 (89.5%) were metalaxyl intermediate
and 6 (10.5%) were metalaxyl sensitive.
• The proportions of sensitive isolates were more during the year 2008 as compared to 2009 and
2010.
49
Uttar Pradesh
•Min. 10-20% yield will be reduced .
•moderately resistant var. showed less severity only after 5-7
sprays of standard chemicals.
•Most of the farmers were using either metalaxyl alone or
combination of metalaxyl+mancozeb, mancozeb, cymoxanil
+ mancozeb and dimethomorph.
50
•PUNJAB:
•Overall, 10-15% reduction in Punjab due of LB.
• K. Jyoti is the most dominating potato variety followed by K. Pukhraj and processing varieties like K. Chipsona-1 & 3
etc
•Most of the farmers were using either metalaxyl alone or combination of metalaxyl + mancozeb, mancozeb, cymoxanil
+ mancozeb.
WEST BENGAL:
• 30% area was badly affected due to late blight.
•K. Jyoti is the most dominating potato variety followed by K. Pukhraj, and K. Chipsona-1 etc.
• Most of the farmers were using either metalaxyl alone or combination of metalaxyl + mancozeb, mancozeb,
cymoxanil + mancozeb. based chemical for managing the disease
KARNATAKA:
•In Chickmagaluru district, late blight was recorded with 15-75% disease severity.
•Overall, 10-15% yield loss.
• Potato farmers were using cymoxanil + mancozeb, femaxodone + cymoxanil, phenomidone + mancozeb,
Mandipropamid, mancozeb, dimethomorph along with gums/stickers for managing the disease.
51
a region is also an important parameter for spreads of The late blight disease is considered emerging
disease, it is not only having important in global crop production, but also pose severe risks on a local
level, especially on small farms in developing countries [Subbarao et al. (2015)
UTTRAKHAND
52
53
IMPACT/LOSS
• Yield losses due to late blight varies from year to year
• Ranges from 19-65 % in eastern hills,
• 11-74 % in North western hills
• 10 -75 % in Eastern plains
• 20-40 % in north western plains
• 31-39 % in southern hills.
• Tuber rot is less in blight resistant varieties as compared to susceptible ones.
• Tuber infection is also more in large and medium sized tubers and in low-lying areas where
drainage is poor.
53
In INDIA
https://research.cip.cgiar.org/confluence/display/GILBWEB/India
JHULSACAST: Singh et al. (2000)
• A computerized forecast of potato late blight in Western Uttar Pradesh for rainy and non rainy year.
• Depending on the weather conditions, any of the following two late blight status will be displayed.
Status 1: Conditions for non-rainy model fulfilled / not fulfilled.
Status 2: Conditions for rainy model fulfilled / not fulfilled.
• In case the conditions for any of two models are fulfilled, a warning is flashed starting, “The Late blight
is expected to appear within seven to ten days”Forecasting models
• Model 1 - rainy year (0.1-0.5 mm) for a minimum of 2 consecutive days,
5-day moving >85% Rh more than or equal to 50 hours and
5-day moving congenial temperature (7.2-26.60C) period more than or equal to 120 hours.
• Model 2 - non-rainy year includes 7-day moving >85% Rh period more than or equal to 60 hours
7-day moving congenial temperature (7.2-26.60C) period more than or equal to 120 hours.
54
Forecasting around Pantnagar
• Modified Model for Late Blight Forecasting around Pantnagar: Singh et al. (2010)
modified JHULSACAST and developed a modified model for late blight forecasting
at Pantnagar is as follows:
i). 7-days moving > 85% cumulative relative humidity period 85 hours.
ii). 7-days moving > 85% cumulative temperature (7.2-26.60C) period 115 hours.
55
•Recently the Institute has developed INDO-BLIGHTCAST- a web based Pan-India model
for forecasting potato late blight as an improvement over JHULSACAST.
•It predicts late blight appearance using daily mean temperature and RH data available with
meteorological stations across the country without any calibration.
•The model is being operationalized throughout the country in collaboration with IMD.
56
The R gene responsible for race non- specific and broad spectrum resisitence in Solanum bulbocastanum
has been cloned by two independent groups in USA (RB) and The Netherlands (Rpi-blb1)
On the basis of resistance level, tuber characters and other agronomic traits they selected 5 Kufri jyothi
hybrids KJ16,KJ21,KJ65, KJ66, and KJ-77) for temperate highlands.
Karnataka: LB management:
• Kufri Girdhari recorded the minimum intensity of late blight (24.0%) followed by Kufri
Shailja (30.0%) and Kufri Himalini (40.4%).
• Among the schedule, prophylactic spray (just at the time of canopy closure) with mancozeb
@ 0.2%
• followed by 2nd spray 7-10 days after 1st spray with fenamidon + mancozeb @ 0.3%
• 3rd spray with mancozeb @ 0.2% 7-10 days after 2nd spray recorded lowest disease
intensity (34.20%) and maximum yield (25.0 t/ha)
57
Management of late blight disease in kharif potato at Karnataka
E.P. Venkatasalam, A. Bairwa , R. Sudha, R. Umamaheswari and B.P.
Singh, 2015
58
http://www.cabi.org/isc/datasheet/40970
Conclusion
Future aspects
• Our early hopes of finding silver bullet for management have not been realized, beacause We have
not been able to convert potato and tomato crops in to non-host plants.
• To detect what are the other migration pathways.
• A changing environment may also modify the initial inoculums in that region. We need to include
methods to detect air borne sporangia, and fungicide sensitivity and mating types of these
sporangia.
• Breeders should use genomic approaches to develop durable resistance against LB.
• Enhanced and more rapid diagnostic and genotypic technologies will contribute to better- informed
management studies.
59
60
Its not the ending ……this is the BEGENING

Phytophthora infestans a re-emerging pathogen

  • 1.
    1 Phytophthora infestans are- emerging pathogen
  • 2.
    • Evolutionary contextP. infestans is more like an alga that has lost its chlorophyll rather than a fungus. • P. infestans is very similar to a fungus morphologically and in the ecological niche it fills. • Diploid at all stages • Requires two mating types, designated A1 and A2, for sexual reproduction. • Oospore, which is resistant to environmental extremes Is not a fungus? Stephen B. Goodwin
  • 3.
    3 •Late blight occursregularly in the northwestern hills of Himachal Pradesh and Uttaranchal; •The northeastern hills of Shillong in Meghalaya and Darjeeling districts of west Bengal and Nilgiris in the southern hills • In the Indo-Gangetic plains states of Punjab UP, Bihar and West Bengal. The disease is more severe and occurs more frequently in the northeastern hills where the weather is favorable to the pathogen https://research.cip.cgiar.org/confluence/display/GILBWEB/India
  • 4.
    Headlines from newspapersin West Bengal State, India, reporting the effects of severe late blight in 2014. Phytophthora infestans: New Tools (and Old Ones) Lead to New Understanding and Precision Management William E. Fry Annu. Rev. Phytopathol. 2016. 54:529–47 William E. Fry,2016
  • 5.
    CONTENTS • Introduction • Emergenceand resurgence phases Before 1840s - late 19th century Late 20th century (1980-1999) Early 21th century (2000-2017 • Conclusion • Future aspects 5
  • 6.
    Late blight ofpotato and tomato I am the pathogen associated with the Irish potato famine. If you like digging in the dirt, you may find me infecting my favorite food, potato tubers Photo: University of Georgia Plant Pathology Archive, Bugwood.org OLD: Domain: Eukarya Kingdom: Stramenopila Phylum: Oomycota Class: Oomycetes* Order: Peronosporales Family: Pythiaceae Genus: Phytophthora Species: Phytophthora infestans NEW: Domain: Eukaryota Kingdom: Chromista Phylum: Oomycota Class: Oomycetes Order: Peronosporales Family: Peronosporaceae Genus: Phytophthora Species: Phytophthora infestans Taxonomic Tree Scientific Name Phytophthora infestans Preferred Common Name Phytophthora blight http://www.cabi.org/isc/datasheet/40970
  • 7.
    Life cycle ofPhytophthora infestans 7 G N Agrios,5th Edition Direct germination , warm >15 0C Indirect germination Cool,12-15 0C Compatible A1 & A2 mating types, Heterothallic; sexual rep. Survive few weeks Survive for 3- 4 yrs chlamydospores Sporulation at 15-25 0C
  • 8.
  • 9.
    9 EMERGENCE AND RESURGENCEPHASES • Before 1840s - late 19th century • Late 20th century (1980-1999) • Early 21th century (2000-2017) 9
  • 10.
    10 Centre of origin MEXICO PERU ;SA Initialassumption P.infestans (asexual reproduction) originated in the Andes of South America along with the potato (1846, 1928) 11yrs later, the native species of Solanum in Mexico (asexual reproduction)are largely resistant to P.infestan was found.(S. demissum) 1939, Reddick was suggest idea that mexico was the centre of origin of P.infestan. Conformed in 1950, when it was discovered in the Toluca Valley in central Mexico was sexual, containing both A1 and A2 mating types (Galindo and Gallagly) (sexual reproduction) W.E.Fry et al. , 2015 Kentaro Yoshida et al .2013
  • 11.
    Before 1840s -late 19th century • In 16th century, the potato was introduced in Europe from South and Central America. • Strong objections for adopting : Unclean, not mentioned in the bible.(not rapidly spread) • 1800, cultivation of potato increased in good conditions like cool and wet climate of Ireland. • In early 1840s, LB was 1st observed in north eastern united states(1843) Southern US, Canada( air borne sporangia) • Well established in Ireland, England, Europe by 1842 • Irish famine(1845) in Ireland & Europe 11 The Russet or Irish Potato, characterized by its large, brown, oblong shape. G N Agrios. 5th edition
  • 12.
    Causes • Rise inpopulation • Dependence on the potato • The Blight Source: • Transportation of infected planting material and tubers from Mexico to USA • from North America to Europe In Europe, P.infestans survive in summer and winter as mycelia in potato tubers and tomato fruits (HERB1& US1) Irish famine(1845)
  • 13.
    13 Irish famine(1845) G NAgrios. 5th edition Air borne sporangia
  • 14.
    Dr. J. Lindley,proposed incorrectly that the plants, during the rains, over absorbed water through their roots and because they could not get rid of the excess water, their tissues became swollen and rotted Berkeley, however, noticed that the mold covering potato plants about to rot was a fungus (oomycete) similar but not identical to a fungus he observed on a sick onion. Finally, in 1861, Anton de Bary proved that the potato blight was caused by an oomycete was named Phytophthora infestans (“infectious plant destroyer” from phyto = plant, phthora = destruction, infestans = infectious), In India it was introduced into the Nilgiri hills between 1870 and1880. Soon spread to Darjeeling In Himalayas after introduction of english potato. 14 G N Agrios. 5th edition
  • 15.
    Irish famine strain?? 15 •Goodwin suggested that the famine might have been caused by the US1 clonal lineage of P.infestans. (Based on dominant strain in mid 20th century) • Analyses of collected herbarium specimens by using shotgun sequencing indicated that US1 genotype was not present in 1845 to 1896 But instead, • Populations were dominated by a single genotype named HERB-1 (Yoshidaetal.2013). •HERB-1 apparently dominated for 50years but it was subsequently replaced by the closely related US1 clone Goodwin et al. (1994) MEXICO PERU;SA EUROPE CHINA AFRICA
  • 16.
    IMPACT OF IRISHFAMINE 16
  • 17.
  • 18.
    late 20th century (Resurgenceof LB IN 1980-1999) • Heterothallic species – A1 & A2 – Sexual reproduction- oospores • Before 1980s, P.infestans either A1 or A2 mating types ex: (HERB1-A1;Ireland and US1 – A1 Europe, 20th century)- metalaxyl sensitive Both A1 and A2 (Central Mexico)- metalaxyl resistant. • 1980s, a ‘new’ population(A1 & A2) from central Mexico, spread to other parts of the world(imported potatoes). • In Europe US1 replaced by new strain A2 from Mexico (A2 metalaxyl resistant)-1981 (Goodwin et al. 1998).
  • 19.
    19 A2 MATING TYPE A2 A2 Resurgence FromEurope to Africa, Asia, South America.(A2) In USA, 1985 to 1995 – US1 replaced by US8(A2,metalaxyl resistant) - EPIDEMIC A2
  • 20.
    20 USAAND CANADA: In 1980sUS1 replaced by US6 (Both are A1 TYPE) 1992 US7 and US8 (A2)genotypes replacing US1 and US6 1996 US11 and US 17(A2)genotypes replacing US7 and US8 For the first time in the USA and Canada there was the possibility of sexual recombination. •The first evidence for probable recombinant genotypes in the field was in British Columbia during 1992 (Goodwin et al. 1995a). •Other evidence for possible recombinant génotypes has been found in the Columbia Basin of Washington and Oregon (Miller et al. 1997) and in New York (Goodwin et al. 1998). (Goodwin et al. 1998).
  • 21.
    • The newgenotypes US-7 and US-8 are highly resistant to metalaxyl, whereas isolates of US-1 from the United States and Canada tested to date have been sensitive Fry et al, 2015) MECHANISMS OF HIGHER FITNESS IN NEW POPULATIONS
  • 22.
    • Before 1980sthe population of P. infestans in India and other countries of the world – US1 (A1,MS, mtDNA haplotype Ib) • In USA and Europe – both A1 & A2 (MR,1980-1990) • In late 20th century, Aggressive A2 lineages – 13_A2 1st observed in Netherlands it becomes a major threat to France, Northern Ireland, Germany, Denmark, other countries since 2005. • Nishimura et al. 1st report on A2 mating population in collected genotypes from South East Asia (1999) • A dominant clonal linage SIB-1 was reported from Siberia, China, Japan in late 20th century. • In Taiwan- US 11 (1991-2006). • 11 diverse genotypes collected from Nepal • In 1992-2000 Gotoh et al. Collected isolates in South East Asian countires, out of 20 genotypes, 3 (IN-1, IN-2, NP-1) in India.(A1, MS) 22
  • 23.
    B. P. Singh,S.Roy and S. K. Bhattacharyya • 104 isolates of P.infestans were collected from different potato growing regions of India.(1990–93) • They were paired with mating type A1 to determine their mating type. • All isolates from the Indo-Gangetic plains and Assam were the A1 mating type, whereas a mixed population of A1 and A2 types occurred at Shillong, Darjeeling and Shimla hills. • The frequency of A2 isolates was 5–30% in the Shimla hills and 60% and 58% respectively in the Shillong and Darjeeling hills. 23
  • 24.
    24 • Field resistanceto LB, effect of plant age and inoculum level on resistance and host attributes studied on the Indian potato cultivars Kufri Chandramaukhi, Kufri Jvoti, Kufri Badshah and Kufri Sherpa •Kufri Jyoti was similar or more resistant than Kufri Badshah. •No correlation was observed between any of the host attributes and resistance to late blight, except that the erect canopy of Kufri Badshah was associated with its slow blighting rate. •At high inoculum, colonization rate and total sporulation were increased but infection efficiency was decreased.
  • 25.
    MECHANISAM OF MIGRATION 25 Sourceof inoculum for US-1 in southern Florida during 1993 and for US-8 during 1994 was infected seed potato tubers. No evidence of new strains arrived in northern North America originally.(usually warm conditions) Because, • Importation of potato tubers, especially from Mexico, is prohibited, • Northwestern Mexico are surrounded by arid mountains and deserts •Escape from culture collections in the USA or Canada seems remote, because strict quarantine.
  • 26.
    Cond. Cond. Cond. (Fry and Goodwin1997a, 1997b) 26 Tomatoes are imported from Mexico into the United States for fresh consumption. •They probably are not screened as carefully for late blight, because it is usually considered only a potato disease. • The area of northwestern Mexico that the DNA fingerprint data indicated as the probable source of the US-7 and US-8 genotypes also produced in tomatoes Cond. Long distance transport of P. infestans is in tomato transplants. •From Florida into New York, and from California into Washington and even British Columbia •The pathogen has been isolated from tomatoes in greenhouses •This spread probably was by aerial dispersai of sporangia and indicates how rapid asexual reproduction can facilitate migration (Fry and Goodwin 1997a, 1997b)
  • 27.
    Mechanism of greaterfitness could be Muller's ratchet. • Most fitted genotype within a clonal lineage fails to survive by chance • Mean fitness -decreases (Muller 1964). • The speed of the ratchet depends on the rate of mutation and the population size. • During many asexual generations, the fitness can ratchet downwards considerably. • Populations can reach "mutational meltdown" after only 103 asexual Generations 27 •Example: US-1 clonal lineage may have experienced this number of asexual generations by the 1980s and 1990s (Drenth et al. 1993; Goodwin 1997) • By occurrence of fastest with high mutation rates in small populations.
  • 28.
    Physiological specilazation andorigin of new races Schick and Muller(1932 , 1933) Physiological specilazation and occurrence of new races from S.demissum & S.tuberosum Black(1953) – determined 4 major genes( R1,R2, R3, R4 from S.demissum)for resistant, Minor gene resistence was found in S.tuberosum • Acc. To international system for classifying races and genes for resistance. • 4 Rgenes produce 16 combinations of race , 15 are identifies (1953) In India 6 genes produce 64 new races of P. infestans • Up to 1958 race 0 and 1 – north western hills, in 1965 Race 0 and 4 in eastern hills • But in 1966 complex races in eatsern hills and shimla. • Frequency of race 1 was low on commercial cultivars, but high on seedlings raised under LBRP (1965). • In 1969, race 0 was still most common (58%), but frequency of race race 1 (42%) increased over years. • Race 3,4 appeared 1st time at Fagu (1973). 28 AAGGARWAL, RS MEHROTRA
  • 29.
    • 9 highspectrum race with 4,5,6,and 7 genes were identified in Khasi hills.(Khanna et al.,1977). • 13 new race from shimla(1975). • Up to 1980s 31 races were recorded in Northern plains. • 1980, 8 – 9 complex races in hills • 1986 Absence of race 0 and predominanece of race 3,4,7,8,10,11 indicate the shift of virulence of P.infestans was complete. • In 1991, 7 races identified in Lakhimpur(Assam). • 1993, 11 races on potato and 3 races on tomato in plains of punjab • In 1998, 6 gene, 7 gene, 8 gene complexes were the most dominated in shimla hills. 29
  • 30.
    MANAGEMENT(1960-1990) • In 1961Paharia got good results with Dithane Z-78 in Patna • In Nilgiri hills and western Himalays - Bordeaux mixture • Eastern Himalayas - Dithane Z-78 • Acc. To Nagaich 1977,  Northern hills- Dithane M-45 at 2kg/ha (last week of june) followed by Bordeaux mixture 5:5:50, at 10days intervals  Eastern hills- Bordeaux mixture and Brestan 1kg/ha  Nilgiri hils- Brestan or Difoltan with stiker Triton HE  In Plains: Diathane M 45(2kg/ha)or Brestan (1kg/ha) or Difoltan 80WP(2.5kg/ha) • 1n 1983 Bhattacharya et al. Metalaxyl (1kg/ha) and Propineb(1.5kg/ha) • 1987 Bhattacharya -Oxadixyl+ metlaxyl; Oxadixyl +COC in Darjeeling 1991 Arora 1st reported metalaxyl resistant isolates AAGGARWAL, RS MEHROTRA
  • 31.
    • Van Everdingen(1926) was the pioneer in using weather conditions for forecasting PLB in Holland • Beaumont modified these rules for UK conditions and these were known as ‘Beaumont rules’ (Beaumont, 1947). • Hyre (1954) proposed ‘moving days concept’ which takes care of the break in disease congenial conditions over time. • Wallin (1962) developed ‘severity value’ concept based on temperature and relative humidity • Negative prognosis’ was developed by Ullrich and Schrodter (1966) Germany and Europe. • Cook’s moving graph concept (Cook, 1949) 31 DISEASE FORECASTING AND DECISION SUPPORT SYSTEM(1926 TO 2005) RK Arora , Sanjeev Sharma and BP Singh, 2014
  • 32.
    • BLITECAST: Computerprogram that combines two late blight forecasting techniques developed by Hyre and Wallin for forecast LB in USA and Europe (Krause et al., 1975) • ProPhy: Netherlands and recommends first fungicide spray-the crop reaches a height of 15 cm in susceptible varieties and ten days later in moderately resistant varieties (Schepers, 1995). • NegFry: The model was developed in Denmark is based on the negative prognosis (Ullrich and Schrodte 1966). • PROGEB, PhytoPRE, Web-blight: In 1996, Plant-Plus: 1997, PhytoPRE:2000, China-blight, Guntz- Divoux:1997, Bio-PhytoPRE:2005 32 1950’s when Chaudhury and Pal (1959) utilized the rainfall data and dates of appearance of late blight in Darjeeling hills for 12 years s using Cook’s moving graph concept (Cook, 1949) and Hyre’s concept (Hyre, 1954) RK Arora , Sanjeev Sharma and BP Singh, 2014
  • 33.
  • 34.
    0 34 LATE BLIGHT ININDIA • Late blight occurs regularly –  In 2001, presece of 5 races identified in Pantnagar.  In 2005, frequency of 11 gene complex in highest at Darjeeling(70%), Western UP(68.2%), Patna(53%), Shimla(48%), Shillong(35%).  Singh (2007) reported that in 2005-06, 29 races were recorded from various parts of the country. An increasing severity of late blight, a shift in pathogen population toward increased specific virulence and an increased tolerance to metalaxyl has been recorded in past three decades in the north western plains of India (Arora, 2008) 34
  • 35.
    35  severe inthe northeastern hills where the weather is favorable  Tomato is attacked by P.infestans mainly in hilly regions, rare in the plains. • Sources of infection :Infected seed tubers both in hills and plains.  Hills-survival in seed tubers into the next crop season.  Plains -survives in seed tubers (stored in the cold stores at 2--4 0 C)  In Nilgiris in the south, the inoculum is carried over in the form of sporangia from one season to another mainly because of the presence of the potato crop round the year https://research.cip.cgiar.org/confluence/display/GILBWEB/India
  • 36.
    Resurgence in SouthWest India • In south west India (Karnataka state, with 46,000 ha tomato), • The disease had been reported there on potato since1953 • Late blight of tomato not important till 2007 • genotypes of 19 isolates –diseased tomato (were assayed using molecular markers (SSRandRG57). • Results show that isolates being members of the 13_A2 genotype(Blue_13)of P.infestans— dominated Great Britain in 2005 to 2008 W E Fry et al. 2015 (Chowdappa et al.2013) Migration : importation of tons of seed potato from Great Britian and Europe pirior to 2009 (conformed by 13_A2 detected 2010, 2011,2012) In 2009 and 2010-tomato and potato late blight epidemics (100% LOSS) (Chowdappa et al. 2013,(Arka Vias, Arka Megali, Arka sourhab and Kufri jyothi , kufri surya, kufri pukraj respectively)
  • 38.
    38 Origin and numberof Phytophthora Infestans isolates collected from potato and tomato at different locations in South India from 2010 to 2012 Map of South India where isolates of Phytophthora infestans were collected from 2010 to 2012
  • 39.
    39 •Phytophthora infestans isolatescollected between 1996 and 2006 from potato-growing regions of India. •A1 (90%) in the subtropical Indo-Gangetic plains, •A2 (93%) in temperate highland regions •All 11 isolates collected before 2000 were metalaxyl sensitive. • whereas all 28 isolates from after 2004 were metalaxyl tolerant. •Before 2002, the Ib mtDNA haplotype was seen in all 26 isolates, •But a shift was observed from 2004 to 2006 after which the Ia mtDNA haplotype was found to have replaced the Ib haplotype everywhere except in the north eastern hills of India. • Microsatellite analysis revealed that isolates from the north Himalayan hills after 2000 were distinct from the all the others
  • 40.
  • 41.
  • 42.
    42 •Oospore formation -when the ambient r.h. declined to 74% and moisture content of host tissue decreased to 83.7–85.6%. (INOCULATED PLANTS) • It took 8 days (cv. Kufri Chandramukhi) to 13 days (cv. Kufri Jyoti and Kufri Badshah) for oospores to develop. •Oospores produced in vitro remained viable when buried in soil in the temperate highlands of Himachal Pradesh and sub-tropical plains of Uttar Pradesh, India for more than 150 days, i.e. beginning of the next crop season.
  • 43.
    43 EPIDEMIC • The US-1(Ib)lineage increases in frequency in the middle 20th century in the US and globally and then declined. • The mefenoxam (metalaxyl) sensitive US- 22, more common on tomato in 2009, has been displaced by US-23 in 2011, which infects both hosts of potato and tomato. • The genetic relationship of 18 of the 24 clonal lineages found in the US since 1970s were examined using 12 simple sequence repeat (SSR) markers IN USA:
  • 44.
  • 45.
    45 A total of42 isolates of P. infestans were collected from different districts of Uttarakhand during 2007-14 and diversity analysis was performed using biological and molecular markers
  • 46.
    46 Results of thepresent study indicates that the both mating type was present in Uttarakhand, metalaxyl sensitivity was observed up to 200 ppm and eleven gene complex was common after 2011 Present study result suggests that the new population (Ia) which was introduced during 2002 in India has displaced the old population (Ib) in Uttarakhand. Source: potato seeds supply from plains and the new population (Ia) may be introduced via seeds
  • 47.
    47 •A total of57 isolates of P. infestans collected from Himachal Pradesh (temperate high hills and low hills) over a period of three years (2008-2010) were characterized using biological and molecular markers. •Results revealed that all the isolates yielded Ia mtDNA haplotypes which could be a new population. •Work on identification of P. infestans races was taken up in 1958 and at that time races 0 and 1 were present in north-western hills while race 0 was present in north-eastern hills of India.
  • 48.
    48 Results: •All the isolateswere of A2 mating Ia type possessing 9-11 virulence genes ( 1st occurrence of A2 in 1986 inIndia) • Most of them (89.5%) displayed intermediate resistance to metalaxyl. (1st introduced as a commercial form in 1988, MR strain occurred in 1999) •None of the isolates were resistant to metalaxyl while 51 (89.5%) were metalaxyl intermediate and 6 (10.5%) were metalaxyl sensitive. • The proportions of sensitive isolates were more during the year 2008 as compared to 2009 and 2010.
  • 49.
    49 Uttar Pradesh •Min. 10-20%yield will be reduced . •moderately resistant var. showed less severity only after 5-7 sprays of standard chemicals. •Most of the farmers were using either metalaxyl alone or combination of metalaxyl+mancozeb, mancozeb, cymoxanil + mancozeb and dimethomorph.
  • 50.
    50 •PUNJAB: •Overall, 10-15% reductionin Punjab due of LB. • K. Jyoti is the most dominating potato variety followed by K. Pukhraj and processing varieties like K. Chipsona-1 & 3 etc •Most of the farmers were using either metalaxyl alone or combination of metalaxyl + mancozeb, mancozeb, cymoxanil + mancozeb. WEST BENGAL: • 30% area was badly affected due to late blight. •K. Jyoti is the most dominating potato variety followed by K. Pukhraj, and K. Chipsona-1 etc. • Most of the farmers were using either metalaxyl alone or combination of metalaxyl + mancozeb, mancozeb, cymoxanil + mancozeb. based chemical for managing the disease KARNATAKA: •In Chickmagaluru district, late blight was recorded with 15-75% disease severity. •Overall, 10-15% yield loss. • Potato farmers were using cymoxanil + mancozeb, femaxodone + cymoxanil, phenomidone + mancozeb, Mandipropamid, mancozeb, dimethomorph along with gums/stickers for managing the disease.
  • 51.
    51 a region isalso an important parameter for spreads of The late blight disease is considered emerging disease, it is not only having important in global crop production, but also pose severe risks on a local level, especially on small farms in developing countries [Subbarao et al. (2015) UTTRAKHAND
  • 52.
  • 53.
    53 IMPACT/LOSS • Yield lossesdue to late blight varies from year to year • Ranges from 19-65 % in eastern hills, • 11-74 % in North western hills • 10 -75 % in Eastern plains • 20-40 % in north western plains • 31-39 % in southern hills. • Tuber rot is less in blight resistant varieties as compared to susceptible ones. • Tuber infection is also more in large and medium sized tubers and in low-lying areas where drainage is poor. 53 In INDIA https://research.cip.cgiar.org/confluence/display/GILBWEB/India
  • 54.
    JHULSACAST: Singh etal. (2000) • A computerized forecast of potato late blight in Western Uttar Pradesh for rainy and non rainy year. • Depending on the weather conditions, any of the following two late blight status will be displayed. Status 1: Conditions for non-rainy model fulfilled / not fulfilled. Status 2: Conditions for rainy model fulfilled / not fulfilled. • In case the conditions for any of two models are fulfilled, a warning is flashed starting, “The Late blight is expected to appear within seven to ten days”Forecasting models • Model 1 - rainy year (0.1-0.5 mm) for a minimum of 2 consecutive days, 5-day moving >85% Rh more than or equal to 50 hours and 5-day moving congenial temperature (7.2-26.60C) period more than or equal to 120 hours. • Model 2 - non-rainy year includes 7-day moving >85% Rh period more than or equal to 60 hours 7-day moving congenial temperature (7.2-26.60C) period more than or equal to 120 hours. 54
  • 55.
    Forecasting around Pantnagar •Modified Model for Late Blight Forecasting around Pantnagar: Singh et al. (2010) modified JHULSACAST and developed a modified model for late blight forecasting at Pantnagar is as follows: i). 7-days moving > 85% cumulative relative humidity period 85 hours. ii). 7-days moving > 85% cumulative temperature (7.2-26.60C) period 115 hours. 55 •Recently the Institute has developed INDO-BLIGHTCAST- a web based Pan-India model for forecasting potato late blight as an improvement over JHULSACAST. •It predicts late blight appearance using daily mean temperature and RH data available with meteorological stations across the country without any calibration. •The model is being operationalized throughout the country in collaboration with IMD.
  • 56.
    56 The R generesponsible for race non- specific and broad spectrum resisitence in Solanum bulbocastanum has been cloned by two independent groups in USA (RB) and The Netherlands (Rpi-blb1) On the basis of resistance level, tuber characters and other agronomic traits they selected 5 Kufri jyothi hybrids KJ16,KJ21,KJ65, KJ66, and KJ-77) for temperate highlands.
  • 57.
    Karnataka: LB management: •Kufri Girdhari recorded the minimum intensity of late blight (24.0%) followed by Kufri Shailja (30.0%) and Kufri Himalini (40.4%). • Among the schedule, prophylactic spray (just at the time of canopy closure) with mancozeb @ 0.2% • followed by 2nd spray 7-10 days after 1st spray with fenamidon + mancozeb @ 0.3% • 3rd spray with mancozeb @ 0.2% 7-10 days after 2nd spray recorded lowest disease intensity (34.20%) and maximum yield (25.0 t/ha) 57 Management of late blight disease in kharif potato at Karnataka E.P. Venkatasalam, A. Bairwa , R. Sudha, R. Umamaheswari and B.P. Singh, 2015
  • 58.
  • 59.
    Future aspects • Ourearly hopes of finding silver bullet for management have not been realized, beacause We have not been able to convert potato and tomato crops in to non-host plants. • To detect what are the other migration pathways. • A changing environment may also modify the initial inoculums in that region. We need to include methods to detect air borne sporangia, and fungicide sensitivity and mating types of these sporangia. • Breeders should use genomic approaches to develop durable resistance against LB. • Enhanced and more rapid diagnostic and genotypic technologies will contribute to better- informed management studies. 59
  • 60.
    60 Its not theending ……this is the BEGENING

Editor's Notes

  • #12 SPREAD FROM USA TO EUROPE
  • #15 Finally, in 1861, Anton deBary did a simple experiment that proved that the potato blight was caused by a fungus
  • #16 Herb1 genotype
  • #17 Graph of population of Ireland, 1821-2001. Rise in population did not begin to increase until the 1960s. (Use of this graph is through the courtesy of Dr. James Hughes, Professor of Geography, Geology and the Environment, Slippery Rock University of Pennsylvania) (https://sites.google.com/site/135botany/home)
  • #19 A1,A2 metalaxyl resistant ONCE A1 AND NEW A2 RESULTS OOPSPORE IN EUROPE
  • #31 Cultural and biocontrol
  • #37 Why the mane 13_A2
  • #39 Notes of present after cook 2012
  • #44 Dominant clonal lineages detected in the United States from 1997 through 2014 .Data for 1997 to 2008 come from the Fry Lab
  • #53 Tomato (Solanum lycopersicum) cultivation in India has expanded to 0.91 million ha in 2015-2016. Farmers originally cultivated this crop for self-consumption but now are adopting it as a cash crop for commercial production. Recently, the occurrence of late blight on tomato, caused by Phytophthora infestans, in Uttar Pradesh, India has appeared to increase but average late blight incidence on tomato has not been well documented for this region. In early 2016, a severe outbreak of late blight was observed in tomato with a disease incidence up to 60% in farmers' fields in eastern Uttar Pradesh and at the IIVR Research Farm in Varanasi, also in eastern Uttar Pradesh. Initial disease symptoms appeared on leaves as irregular, water-soaked and light-brown lesions usually covered with white, cottony mycelial growth on the underside of the leaf (Fig. 1). Water-soaked brown lesions expanded rapidly on stem and green fruits. Infected green fruits often developed olivaceous, brown-coloured, leathery, hard structures (Fig. 2). All infected fruits eventually fell off the plants and could not be marketed or used for human consumption. This report highlights the emergence of this pathogen in eastern Uttar Pradesh. The occurrence and impact of late blight in potato is well documented. Regional and seasonal incidence of late blight on potato showed highest average annual crop losses in South-East Asia (35%), including India (40-75%) and Bangladesh (25-57%) (International Potato Center, 1997; Rahman et  al., 2008; Arora, 2015). Phytophthora infestans is one of the most important pathogens on solanaceous vegetables worldwide threatening food security (Fisher et  al., 2012). Its management is dependent on chemical control but pathogen resistance is known to occur. Therefore, there is an urgent need to develop resistant varieties of tomato for changing climatic scenarios.
  • #55 blight is expected to appear within seven to ten days”Forecasting models Model 1 for rainy year includes measurable rain (0.1-0.5 mm) for a minimum of 2 consecutive days, 5-day moving more than 85% relative humidity period more than or equal to 50 hours and 5-day moving congenial temperature (7.2-26.60C) period more than or equal to 120 hours while model 2 for non-rainy year includes 7-day moving more than 85% relative humidity period more than or equal to 60 hours and 7-day moving congenial temperature (7.2-26.60C) period more than or equal to 120 hours. Previous 9 days weather data in the case of rainy day model and the last 13 days weather data in the case of non-rainy day model is required to compute and forecast the likelihood of the potato late blight disease appearance. To develop forecasting model for Pantnagar conditions, the above model was slightly modified based on existing weather conditions. Modified model for late blight forecasting around Pantnagar includes 7-days moving more than 85% cumulative relative humidity period more than or equal to 85 hours and 7-days moving cumulative temperature (7.2-26.60C) period more than or equal to 115 hours.