PAVEMENT MATERIALSPAVEMENT MATERIALS
ENGINEERINGENGINEERING
(CE-862)(CE-862)
Lec-02
Fall Semester 2016
 
Dr. Arshad Hussain
arshad_nit@yahoo.com , Office Room#111, Tel: 05190854163,
Cell: 03419756251
National Institute of Transportation (NIT)
National University of Science and Technology (NUST)
NUST Campus, Sector H-12, Islamabad
ROADBED SOILS -B
Phase Relationship,
Shear Strength & Soil
Structure
PHASE RELATIONSHIPPHASE RELATIONSHIP
Density and Unit WeightDensity and Unit Weight
 Mass is a measure of a body's
inertia, or its "quantity of
matter". Mass is not changed
at different places.
 Weight is force, the force of
gravity acting on a body. The
value is different at various
places (Newton's second law F
= ma) (Giancoli, 1998)
 The unit weight is frequently
used than the density is (e.g. in
calculating the overburden
pressure).
w
s
w
s
w
s
s
3
2
g
g
G
m
kN8.9,Water
sec
m8.9g
gravitytodueonaccelerati:g
Volume
gMass
Volume
Weight
,weightUnit
Volume
Mass
,Density
γ
γ
=
⋅ρ
⋅ρ
=
ρ
ρ
=
=γ
⋅ρ=⋅ρ=γ
⋅
==γ
=ρ
RELATIONSHIPSRELATIONSHIPS
e
n
S
ω
ρ
ρs
ρd
ρsat
ρ’
 Soil is generally a three phase material
 Contains solid particles and voids
 Voids can contain liquid and gas phases
Solid
Water
Air Vs
Vw
Va
 Soil is generally a three phase material
 Contains solid particles and voids
 Voids can contain liquid and gas phases
Solid
Water
Air Vs
Vw
Va
 Soil is generally a three phase material
 Contains solid particles and voids
 Voids can contain liquid and gas phases
Solid
Water
Air
Phase Volume Mass Weight
Air Va 0 0
Water Vw Mw Ww
Solid Vs Ms Ws
Vs
Vw
Va
UnitsUnits
Length metres
Mass tonnes (1 tonne = 103
kg)
Density t/m3
Weight kilonewtons (kN)
Stress kilopascals (kPa) 1 kPa= 1 kN/m2
Unit weight kN/m3
Accuracy Density of water, ρw = 1 t/m3
Weight and Unit weightWeight and Unit weight
 Force due to mass (weight) more important than mass
 W = M g
 Unit weight
Weight and Unit weightWeight and Unit weight
 Force due to mass (weight) more important than mass
 W = M g
 Unit weight
γ = ρ g
Weight and Unit weightWeight and Unit weight
 Force due to mass (weight) more important than mass
 W = M g
 Unit weight
γ = ρ g
σv
z σv = ρ g z
σv = γ z
Unit weight
Specific GravitySpecific Gravity
 Gs ≅ 2.65 for most soils
 Gs is useful because it enables the volume of solid
particles to be calculated from mass or weight
G
Density of Material
Densityof Water w
= =
ρ
ρ
G
UnitWeight of Material
UnitWeight of Water w
= =
γ
γ
This is defined by
Specific GravitySpecific Gravity
 Gs ≅ 2.65 for most soils
 Gs is useful because it enables the volume of solid
particles to be calculated from mass or weight
G
Density of Material
Densityof Water w
= =
ρ
ρ
G
UnitWeight of Material
UnitWeight of Water w
= =
γ
γ
This is defined by
V
M M
G
W W
G
s
s
s
s
s w
s
s
s
s w
= = = =
ρ ρ γ γ
Voids ratioVoids ratio
 It is not the actual volumes that are important but rather
the ratios between the volumes of the different phases.
This is described by the voids ratio, e, or porosity, n, and
the degree of saturation, S.
Voids ratioVoids ratio
 It is not the actual volumes that are important but rather
the ratios between the volumes of the different phases.
This is described by the voids ratio, e, or porosity, n, and
the degree of saturation, S.
 The voids ratio is defined as
Voids ratioVoids ratio
 It is not the actual volumes that are important but rather
the ratios between the volumes of the different phases.
This is described by the voids ratio, e, or porosity, n, and
the degree of saturation, S.
 The voids ratio is defined as
 and the porosity as
Voids ratioVoids ratio
 It is not the actual volumes that are important but rather
the ratios between the volumes of the different phases.
This is described by the voids ratio, e, or porosity, n, and
the degree of saturation, S.
 The voids ratio is defined as
 and the porosity as
The relation between these quantities can be simply
determined as follows
Vs = V - Vv = (1 - n) V
Voids ratioVoids ratio
 It is not the actual volumes that are important but rather
the ratios between the volumes of the different phases.
This is described by the voids ratio, e, or porosity, n, and
the degree of saturation, S.
 The voids ratio is defined as
 and the porosity as
The relation between these quantities can be simply
determined as follows
Vs = V - Vv = (1 - n) V
Hence
Relationship among Unit weight,Relationship among Unit weight,
moisture content , & Sp. gravitymoisture content , & Sp. gravity
Degree of SaturationDegree of Saturation
Saturated samplesSaturated samples
Relationship among Unit weight,Relationship among Unit weight,
moisture content , & Porositymoisture content , & Porosity
Saturated samplesSaturated samples
Various Forms of relationshipsVarious Forms of relationships
Typical values in natural stateTypical values in natural state
Example 1Example 1
Phase Trimmings Mass
(g)
Sample Mass, M
(g)
Sample Weight, Mg
(kN)
Total 55 290 2845 × 10-6
Solid 45 237.3 2327.9 × 10-6
Water 10 52.7 517 × 10-6
• Distribution by mass and weight
Phase Trimmings Mass
(g)
Sample Mass, M
(g)
Sample Weight, Mg
(kN)
Total 55 290 2845 × 10-6
Solid 45 237.3 2327.9 × 10-6
Water 10 52.7 517 × 10-6
• Distribution by mass and weight
• Distribution by volume (assume Gs = 2.65)
Total Volume V = 3.03
Example 1Example 1
Phase Trimmings Mass
(g)
Sample Mass, M
(g)
Sample Weight, Mg
(kN)
Total 55 290 2845 × 10-6
Solid 45 237.3 2327.9 × 10-6
Water 10 52.7 517 × 10-6
• Distribution by mass and weight
• Distribution by volume (assume Gs = 2.65)
Total Volume V = 3.03
Water Volume
Example 1Example 1
Phase Trimmings Mass
(g)
Sample Mass, M
(g)
Sample Weight, Mg
(kN)
Total 55 290 2845 × 10-6
Solid 45 237.3 2327.9 × 10-6
Water 10 52.7 517 × 10-6
• Distribution by mass and weight
• Distribution by volume (assume Gs = 2.65)
Total Volume V = 3.03
Water Volume
Solids Volume
Example 1Example 1
Phase Trimmings Mass
(g)
Sample Mass, M
(g)
Sample Weight, Mg
(kN)
Total 55 290 2845 × 10-6
Solid 45 237.3 2327.9 × 10-6
Water 10 52.7 517 × 10-6
• Distribution by mass and weight
• Distribution by volume (assume Gs = 2.65)
Total Volume V = 3.03
Water Volume
Solids Volume
Air Volume Va = V - Vs - Vw
Example 1Example 1
Moisture content
Moisture content
Voids ratio
Moisture content
Voids ratio
Degree of Saturation
Moisture content
Voids ratio
Degree of Saturation
Bulk unit weight
Moisture content
Voids ratio
Degree of Saturation
Bulk unit weight
Dry unit weight
Moisture content
Voids ratio
Degree of Saturation
Bulk unit weight
Dry unit weight
Saturated unit weight
Note that γdry < γbulk < γsat
Example 2Example 2
Volume and weight distributions
Phase Volume
(m3
)
Dry Weight
(kN)
Saturated W eight
(kN)
Voids 0.7 0 0.7 × 9.81 = 6.87
Solids 1.0 2.65 × 9.81 = 26.0 26.0
Volume and weight distributions
Dry unit weight,
Phase Volume
(m3
)
Dry Weight
(kN)
Saturated Weight
(kN)
Voids 0.7 0 0.7 × 9.81 = 6.87
Solids 1.0 2.65 × 9.81 = 26.0 26.0
Example 2Example 2
Volume and weight distributions
Dry unit weight,
Saturated unit weight
Phase Volume
(m3
)
Dry Weight
(kN)
Saturated Weight
(kN)
Voids 0.7 0 0.7 × 9.81 = 6.87
Solids 1.0 2.65 × 9.81 = 26.0 26.0
Example 2Example 2
Volume and weight distributions
Dry unit weight,
Saturated unit weight
Moisture content (if saturated)
Phase Volume
(m3
)
Dry W eight
(kN)
Saturated W eight
(kN)
Voids 0.7 0 0.7 × 9.81 = 6.87
Solids 1.0 2.65 × 9.81 = 26.0 26.0
Example 2Example 2
RelationshipsRelationships
(1)Water Content w (100%)

 For some organic soils w>100%, up
to 500 %
 For quick clays, w>100%
(2)Density of water (slightly varied
with temperatures)
(3) Density of soil
a. Dry density
b. Total, Wet, or Moist density
(0%<S<100%, Unsaturated)
c. Saturated density (S=100%, Va =0)
d. Submerged density (Buoyant density)
%100
)(
)(
⋅=
s
w
MsolidssoilofMass
MwaterofMass
w )V(samplesoilofvolumeTotal
)M(solidssoilofMass
t
s
d =ρ
)V(samplesoilofvolumeTotal
)MM(samplesoilofMass
t
ws +
=ρ
)V(samplesoilofvolumeTotal
)MM(watersolidssoilofMass
t
ws
sat
++
=ρ
wsat
'
ρ−ρ=ρ
333
w m/Mg1m/kg1000cm/g1 ===ρ
ThanksThanks

Pavement Engineering Materials_2

  • 2.
    PAVEMENT MATERIALSPAVEMENT MATERIALS ENGINEERINGENGINEERING (CE-862)(CE-862) Lec-02 FallSemester 2016   Dr. Arshad Hussain arshad_nit@yahoo.com , Office Room#111, Tel: 05190854163, Cell: 03419756251 National Institute of Transportation (NIT) National University of Science and Technology (NUST) NUST Campus, Sector H-12, Islamabad
  • 3.
    ROADBED SOILS -B PhaseRelationship, Shear Strength & Soil Structure
  • 4.
  • 5.
    Density and UnitWeightDensity and Unit Weight  Mass is a measure of a body's inertia, or its "quantity of matter". Mass is not changed at different places.  Weight is force, the force of gravity acting on a body. The value is different at various places (Newton's second law F = ma) (Giancoli, 1998)  The unit weight is frequently used than the density is (e.g. in calculating the overburden pressure). w s w s w s s 3 2 g g G m kN8.9,Water sec m8.9g gravitytodueonaccelerati:g Volume gMass Volume Weight ,weightUnit Volume Mass ,Density γ γ = ⋅ρ ⋅ρ = ρ ρ = =γ ⋅ρ=⋅ρ=γ ⋅ ==γ =ρ
  • 6.
  • 7.
     Soil isgenerally a three phase material  Contains solid particles and voids  Voids can contain liquid and gas phases Solid Water Air Vs Vw Va
  • 8.
     Soil isgenerally a three phase material  Contains solid particles and voids  Voids can contain liquid and gas phases Solid Water Air Vs Vw Va
  • 9.
     Soil isgenerally a three phase material  Contains solid particles and voids  Voids can contain liquid and gas phases Solid Water Air Phase Volume Mass Weight Air Va 0 0 Water Vw Mw Ww Solid Vs Ms Ws Vs Vw Va
  • 10.
    UnitsUnits Length metres Mass tonnes(1 tonne = 103 kg) Density t/m3 Weight kilonewtons (kN) Stress kilopascals (kPa) 1 kPa= 1 kN/m2 Unit weight kN/m3 Accuracy Density of water, ρw = 1 t/m3
  • 11.
    Weight and UnitweightWeight and Unit weight  Force due to mass (weight) more important than mass  W = M g  Unit weight
  • 12.
    Weight and UnitweightWeight and Unit weight  Force due to mass (weight) more important than mass  W = M g  Unit weight γ = ρ g
  • 13.
    Weight and UnitweightWeight and Unit weight  Force due to mass (weight) more important than mass  W = M g  Unit weight γ = ρ g σv z σv = ρ g z σv = γ z
  • 14.
  • 15.
    Specific GravitySpecific Gravity Gs ≅ 2.65 for most soils  Gs is useful because it enables the volume of solid particles to be calculated from mass or weight G Density of Material Densityof Water w = = ρ ρ G UnitWeight of Material UnitWeight of Water w = = γ γ This is defined by
  • 16.
    Specific GravitySpecific Gravity Gs ≅ 2.65 for most soils  Gs is useful because it enables the volume of solid particles to be calculated from mass or weight G Density of Material Densityof Water w = = ρ ρ G UnitWeight of Material UnitWeight of Water w = = γ γ This is defined by V M M G W W G s s s s s w s s s s w = = = = ρ ρ γ γ
  • 17.
    Voids ratioVoids ratio It is not the actual volumes that are important but rather the ratios between the volumes of the different phases. This is described by the voids ratio, e, or porosity, n, and the degree of saturation, S.
  • 18.
    Voids ratioVoids ratio It is not the actual volumes that are important but rather the ratios between the volumes of the different phases. This is described by the voids ratio, e, or porosity, n, and the degree of saturation, S.  The voids ratio is defined as
  • 19.
    Voids ratioVoids ratio It is not the actual volumes that are important but rather the ratios between the volumes of the different phases. This is described by the voids ratio, e, or porosity, n, and the degree of saturation, S.  The voids ratio is defined as  and the porosity as
  • 20.
    Voids ratioVoids ratio It is not the actual volumes that are important but rather the ratios between the volumes of the different phases. This is described by the voids ratio, e, or porosity, n, and the degree of saturation, S.  The voids ratio is defined as  and the porosity as The relation between these quantities can be simply determined as follows Vs = V - Vv = (1 - n) V
  • 21.
    Voids ratioVoids ratio It is not the actual volumes that are important but rather the ratios between the volumes of the different phases. This is described by the voids ratio, e, or porosity, n, and the degree of saturation, S.  The voids ratio is defined as  and the porosity as The relation between these quantities can be simply determined as follows Vs = V - Vv = (1 - n) V Hence
  • 22.
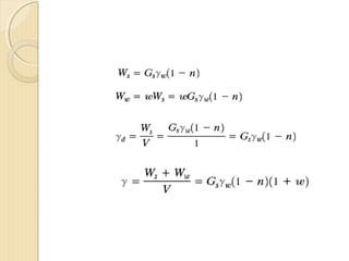
    Relationship among Unitweight,Relationship among Unit weight, moisture content , & Sp. gravitymoisture content , & Sp. gravity
  • 24.
  • 25.
  • 28.
    Relationship among Unitweight,Relationship among Unit weight, moisture content , & Porositymoisture content , & Porosity
  • 30.
  • 32.
    Various Forms ofrelationshipsVarious Forms of relationships
  • 33.
    Typical values innatural stateTypical values in natural state
  • 34.
    Example 1Example 1 PhaseTrimmings Mass (g) Sample Mass, M (g) Sample Weight, Mg (kN) Total 55 290 2845 × 10-6 Solid 45 237.3 2327.9 × 10-6 Water 10 52.7 517 × 10-6 • Distribution by mass and weight
  • 35.
    Phase Trimmings Mass (g) SampleMass, M (g) Sample Weight, Mg (kN) Total 55 290 2845 × 10-6 Solid 45 237.3 2327.9 × 10-6 Water 10 52.7 517 × 10-6 • Distribution by mass and weight • Distribution by volume (assume Gs = 2.65) Total Volume V = 3.03 Example 1Example 1
  • 36.
    Phase Trimmings Mass (g) SampleMass, M (g) Sample Weight, Mg (kN) Total 55 290 2845 × 10-6 Solid 45 237.3 2327.9 × 10-6 Water 10 52.7 517 × 10-6 • Distribution by mass and weight • Distribution by volume (assume Gs = 2.65) Total Volume V = 3.03 Water Volume Example 1Example 1
  • 37.
    Phase Trimmings Mass (g) SampleMass, M (g) Sample Weight, Mg (kN) Total 55 290 2845 × 10-6 Solid 45 237.3 2327.9 × 10-6 Water 10 52.7 517 × 10-6 • Distribution by mass and weight • Distribution by volume (assume Gs = 2.65) Total Volume V = 3.03 Water Volume Solids Volume Example 1Example 1
  • 38.
    Phase Trimmings Mass (g) SampleMass, M (g) Sample Weight, Mg (kN) Total 55 290 2845 × 10-6 Solid 45 237.3 2327.9 × 10-6 Water 10 52.7 517 × 10-6 • Distribution by mass and weight • Distribution by volume (assume Gs = 2.65) Total Volume V = 3.03 Water Volume Solids Volume Air Volume Va = V - Vs - Vw Example 1Example 1
  • 39.
  • 40.
  • 41.
  • 42.
    Moisture content Voids ratio Degreeof Saturation Bulk unit weight
  • 43.
    Moisture content Voids ratio Degreeof Saturation Bulk unit weight Dry unit weight
  • 44.
    Moisture content Voids ratio Degreeof Saturation Bulk unit weight Dry unit weight Saturated unit weight Note that γdry < γbulk < γsat
  • 45.
    Example 2Example 2 Volumeand weight distributions Phase Volume (m3 ) Dry Weight (kN) Saturated W eight (kN) Voids 0.7 0 0.7 × 9.81 = 6.87 Solids 1.0 2.65 × 9.81 = 26.0 26.0
  • 46.
    Volume and weightdistributions Dry unit weight, Phase Volume (m3 ) Dry Weight (kN) Saturated Weight (kN) Voids 0.7 0 0.7 × 9.81 = 6.87 Solids 1.0 2.65 × 9.81 = 26.0 26.0 Example 2Example 2
  • 47.
    Volume and weightdistributions Dry unit weight, Saturated unit weight Phase Volume (m3 ) Dry Weight (kN) Saturated Weight (kN) Voids 0.7 0 0.7 × 9.81 = 6.87 Solids 1.0 2.65 × 9.81 = 26.0 26.0 Example 2Example 2
  • 48.
    Volume and weightdistributions Dry unit weight, Saturated unit weight Moisture content (if saturated) Phase Volume (m3 ) Dry W eight (kN) Saturated W eight (kN) Voids 0.7 0 0.7 × 9.81 = 6.87 Solids 1.0 2.65 × 9.81 = 26.0 26.0 Example 2Example 2
  • 49.
    RelationshipsRelationships (1)Water Content w(100%)   For some organic soils w>100%, up to 500 %  For quick clays, w>100% (2)Density of water (slightly varied with temperatures) (3) Density of soil a. Dry density b. Total, Wet, or Moist density (0%<S<100%, Unsaturated) c. Saturated density (S=100%, Va =0) d. Submerged density (Buoyant density) %100 )( )( ⋅= s w MsolidssoilofMass MwaterofMass w )V(samplesoilofvolumeTotal )M(solidssoilofMass t s d =ρ )V(samplesoilofvolumeTotal )MM(samplesoilofMass t ws + =ρ )V(samplesoilofvolumeTotal )MM(watersolidssoilofMass t ws sat ++ =ρ wsat ' ρ−ρ=ρ 333 w m/Mg1m/kg1000cm/g1 ===ρ
  • 50.

Editor's Notes

  • #50 M:Mega Please tell student to correct the density of water Mg/m3 instead of Mg/cm3