BENZENOIDS AND THEIR REACTIONS
BENZENE, the parent substance of aromatic compounds, was first described by
Faraday in 1825. He isolated "carbureted hydrogen", empirical formula CH,
from material obtained by the destructive distillation of vegetable oils.
Hofmann later (1849) separated benzene from coal-tar. The vapour density
was found to be 39 and so the molecular formula was shown to be C6H6. In
1865 Kekulé suggested that the benzene molecule is made up of a hexagon of
six carbon atoms, joined alternately by double and single bonds and with a
hydrogen atom attached to each carbon atom.
RECAP
AROMATICITY
Aromaticity is one of the crucial concepts in organic chemistry since most of the organic compounds we encounter are
aromatic.
Organic compounds exhibiting delocalization of pi electrons are aromatic and are referred to as aromatic compounds.
On the other hand, organic compounds which do not exhibit delocalization of pi electrons are referred to as non-
aromatic or aliphatic compounds (these might be in a cyclic form but only the aromatic rings have a special kind of
stability). Compared to aliphatic compounds, aromatic compounds exhibit more excellent stability.
The term aromaticity is used to describe a cyclic, planar molecule with complete conjugation that exhibits more stability
than other geometric arrangements with the same set of atoms.
Aromaticity is defined as a property of the conjugated cycloalkenes which enhances the stability of a molecule due to
the delocalization of electrons present in the pi-pi orbitals.
Aromatic molecules are said to be very stable, and they do not break so easily and also reacts with other types of
substances.
 Aromatic molecules are very stable and do not easily undergo chemical reactions
Rules / Special characteristics of Aromaticity
A compound must fulfill the following criteria for to be aromatic.
- It must be a cyclic system and complete conjugation i.e., ring have alternate single and double bonds
- It must be a planar structure (Each element in the structure must and should have a p-orbital ring which is in a perpendicular
from to the ring).
- The total number of pi-electrons must follow Huckel’s rule, i.e., it must possess (4n+2) π electrons; where n = 0, 1, 2, 3…
(Integers).
- The molecule must be planer or flat. Those compounds that follow the above rules of aromaticity are generally flat as in that
condition they possess extremely large potential energy. g Benzene, Pyridine, Furan and Naphthalene
- Note don’t give addition reactions but rather undergo substitution reactions.
EXAMPLES FOLLOWING HUCKEL’S RULE
AROMATICITY IN BENZENOID COMPOUND
Benzenoids are a class of organic compounds with at least one benzene ring.
Benzenoid aromatic compounds are the organic molecular species either with isolated benzene ring or
with multiple benzene rings which fuse to form a more complex structure.
Aromatic molecules are very stable, and generally undergo electrophilic substitutions rather than
additions. Since the most common aromatic compounds are derivatives of benzene.
For resonance diagrams above, the use of double headed arrows indicate that the two structures are
not distinct entities but merely hypothetical possibilities.
MONOCYCLIC AND POLYCYCLIC EXAMPLES
AROMATICITY OF NON-BENZENOID
Non-benzenoid compounds are the organic molecular species either with all carbons in the cycle or
with more hetero atoms in the ring and exhibits an aromatic behavior but does not contain any benzene
nucleus.
The non-benzenoid aromatic compound have one or more rings fused but none of these rings is
benzene ring. The ring might contain 7, 5 etc. number of carbons but that ring will not be benzene ring.
The most basic example of non-benzenoid aromatic compound is Azulene. It is a system of two fused
rings, one containing 7 and the other containing 5 carbons.
These compounds can further be classified into homocyclic (carbocyclic) aromatic compounds and
heterocyclic aromatic compounds.

HETEROCYCLIC
Homocyclic Aromatic Compounds
THE FOLLOWING DIAGRAM SHOWS HOW BENZENE MOLECULES CAN BE REPRESENTED AS A CIRCLE
INSIDE A HEXAGON OR WITH THE ORIGINAL KEKULÉ STRUCTURE.
AROMATIC AMINO ACIDS
Definition
• Aromatic amino acids are a group of amino acids that
contain an aromatic ring structure within their side chains.
• The aromatic ring is a stable, planar ring of carbon atoms
with alternating double and single bonds, which gives
these amino acids distinct chemical properties. The three
aromatic amino acids found in proteins are
General structure of aromatic amino
acids
General Properties
Relatively non polar
Absorb U.V light at different degrees
Phe, Tyr and Trp are cebtral molecules in plant metabolism and function as
building blocks of proteins.
They serve as precursors for a variety of plant hormones such as auxin and
salicylate as well as for a very wide range of aromatic secondary metabolites
with multiple biological functions.
SHIKIMATE PATHWAY
CONTS
SHIKIMATE PATHWAY
 Aromatic amino acids are synthesized in the Shikimate pathway.
 This is a seven step metabolic route used by bacteria, fungi, algae,
parasites and plants for the biosynthesis of chorismate and the
aromatic amino acids.
 Shikimate kinase catalyzes the ATP-dependent phosphorylation of
shikimate to form Shikimate 3-phosphate.
 Shikimate 3-phosphate is then coupled with phosphoenol pyruvate
to give 5-enolpyruvyshikimate-3-phosphate via the enzyme 5-
enolpyruvylshikimate-3-phosphate (EPSP) synthase.
 Then 5-enolpyruvylshikimate-3-phosphate is transformed into
chorismate by a chorismate synthase.
CONTS
 Prephenic acid is then synthesized by a Claisen rearrangement of
chorismate by chorismate mutase which can be utilised for:
1. Tyrosine biosynthesis
 Prephenate is oxidatively decarboxylated with retention of the
hydroxyl group to p-hydroxyphenyl pyruvate, which is
transaminated using glutamate as the nitrogen source to give
tyrosine and α-ketoglutarate.
2. Phenylalanine biosynthesis
 Prephenate is converted to phenylpyruvate by prephenate
dehydratase.
 Then phenylpyruvate is transaminated to give phenylalanine by
phenylalanine aminotransferase.
CONTS
3. Tryptophan biosynthesis:
 Chorismate produces anthranilate which condenses with
phosphoribosyl pyrophosphate (PRPP) make N-5-Phosphoribosyl
anthranilate.
 After ring opening of the ribose moiety and following reductive
decarboxylation, indole-3-glycerlphosphate is produced, which in
turn is transformed into indole.
 In the last step, tryptophan synthase catalyzes the formation of
tryptophan from indole and the amino acid serine.
FUNCTIONAL GROUPS
 Phenylalanine
Group: Benzyl group (C H -CH -)
₆ ₅ ₂
 Tyrosine
Group: Phenol group (-C H OH)
₆ ₄
Hydroxyl group (-OH)
 Tryptophan
Group: Idole group (C H N-)
₈ ₆
PHYSICAL CHARACTERISTIC
1. Benzyl Group
 It is part of may organic compounds and its colourless liquid or
solid at room temperature.
 The benzene ring id non-polar and hydrophobic.
2. Phenol Group
 Colourless crystalline solid at room temperature and darkens upon
exposure to light and oxidation.
 It is hydrophilic to water
 The benzene ring is aromatic
 It is weakly Acidic
3. Hydroxyl group
 Do not appear alone. Are found in combination with other
compounds.
 Compounds containing hydroxyl group are hydrophilic due to
polarity of this group.
 Soluble in water due to polarity of the hydroxyl group.
 They have a higher boiling and melting points compared to non
polar molecules of similar molecular weight.
4. Indole group
 Solid at room temperature and often have a characteristic musty
or floral odor.
APPLICATION OF AROMATIC AMINO ACIDS
 Used as artificial sweeteners
 Used in synthesis of drugs
 Used as dietary supplements
 Tyrosine is a precursor for thyroid hormones
 Help in neurotransmitter support
Aniline is an aromatic derivative in which a hydrogen atom of the benzene ring
has been replaced by an amino group -NH2. Aniline is also known as
aminobenzene or phenylamine. It has a chemical formula of C6H7N or C6H5NH2 .
 Aniline is the most basic aromatic amine. Anilines are a key industrial
essential
chemical. It has the odor of rotten fish, volatile amines. It burns easily. It has a
smoky flame, which is typical of aromatic chemicals.
stereochemistry aniline has a planar, hexagonal benzene structure, chiral, nature
of molecules and non-superimposable mirror images, optical activity.
PREPARATION OF ANILINE
Laboratory preparation
Aniline is produced in the laboratory by reducing
nitrobenzene with tin and concentrated hydrochloric
acid.
FROM THE REDUCTION OF NITROBENZENE WITH IRON AND DIL.HCL
 Aniline is commercially produced by reducing nitrobenzene with iron and dil. HCl.
 4 C6H5NO2 + 9 Fe + 4 H2O → 4 C6H5NH2 + 3Fe3O4
 From the reaction of chlorobenzene with ammonia
 Chlorobenzene reacts with ammonia in the presence of CuCl2 as a catalyst to give aniline.
C6H5Cl + 2 NH3 + CuCl2 → C6H5NH2 + NH4Cl
 From benzamide
 When amides are heated with bromine and caustic potash, the amide (-CONH2) group is con
the amine (-NH2) group. This is known as Hoffman’s degradation reaction. This process produ
from benzamide.
C6H5CONH2 + Br2 + 4 KOH → C6H5NH2 + K2CO3 + 2 KBr + 2 H2O
PHYSICAL PROPERTIES OF ANILINE
I. Aniline has a boiling point of around 184 o
C and a melting point of
approximately 6 o
C.
II. It has a characteristic unpleasant smell.
III.Density of aniline is 1.002 at 20 o
C .
IV. It is sparingly soluble in water. It is readily soluble in a wide range of
solvents, including alcohol and ether.
V. It becomes pale yellow and darkens When exposed to air.
VI. It is a weak base that reacts with strong acids to generate anilinium ion
C6H5NH3
+.
VII.When the substance is inhaled through the air or absorbed through the
skin, it forms nitrogen oxides that cause harmful effects on the
environment.
VIII.
Aniline is steam volatile and highly toxic.
 Reactions of aniline (chemical reaction )
 Reactions involving -the NH2 group
 Basic nature
• Because of the presence of an electron lone pair on the nitrogen atom, it is basic in
nature.
• It is a weaker base than ammonia and aliphatic amines. This is due to the fact that the
amines group in aniline is linked to the phenol group, which is negative. The (–) effect of
the phenol group and the (+ )effect of the amines group diminish the availability of a
lone electron pair on nitrogen.
• The addition of an electron-donating group raises the basicity of the benzene ring.
Based on this, ortho meta and para Toluidine are stronger bases than aniline.
• Because it is basic in nature, it combines with acid to form salt. Eg.
 Reaction with an alkyl halide
 Alkylation is the process of replacing the H-atom of an amino group with an
alkyl group (-R).
 The reaction of aniline with an alkyl halide produces secondary, tertiary, and
quaternary ammonium compounds.
Reaction with benzaldehyde
Aniline reacts with benzaldehyde to give benzylidene
aniline
 Acylation of aniline
 The reaction of aniline with an acid chloride or acid anhydride produces corresponding amides called
anilides. For example, In the presence of pyridine, aniline reacts with ethanoyl chloride to give N-phenyl
ethanamide ie., acetanilide.
 Carbylamine reaction
 The reaction of aniline with the chloroform and alc. Koh produces phenyl isocyanide (carbylamine),
which has an offensive smell.
 C6H5 -NH2 + CHCl3 + 3 KOH → C6H5 — NC + 3H2O + 3 KCl
 Benzoylation
 Benzoylation is the process of replacing the H-atom of an amino group with a
benzoyl group (C6H5CO-). Aniline reacts with the benzoyl chloride to give
benzanilide
 Reaction with nitrous acid
 In the presence of hydrochloric acid, aniline reacts with nitrous
acid to produce benzene diazonium chloride. The action of NaNO2
and HCl produces the nitrous acid required for this process. Since
benzene di diazonium chloride decomposes at higher
temperatures, this reaction is usually carried out at low
temperatures (0-5°C). The -NH2 group is transformed into the -N
group in this reaction. This is known as the diazotization reaction.
 The existing benzene diazonium chloride — N = N — Cl group can
be easily changed into different groups. As a result, this reaction is used
to produce a wide range of chemicals, including aniline, benzene,
chlorobenzene, phenol, and others. In alkaline solutions, benzene
diazonium chloride reacts with beta-naphthyl and a few other chemicals.
 Reactions involving benzene ring
 Electrophilic substitution reactions
 The electrophilic substitution reaction occurs when an electrophile
substitutes another electrophile in an organic molecule. Halogenation,
nitration, and sulphonation are common electrophilic processes for
anilines. The functional group (-NH2) connected to aniline is an electron-
donating group, making it highly active for the electrophilic substitution
process.
 Because of its multiple resonant configurations, the benzene ring has more electrons or
negative charge in the ortho- and para- positions than in the meta- position. As a result,
anilines are o- and p-directed in the electrophilic substitution process.
 Bromination reaction
 When aniline interacts with liquid bromine, it produces 2,4,6-tribromoaniline, a white
powder. Benzene does not react with liquid bromine, whereas aniline does. This reaction
demonstrates that aniline has a higher electron density in the benzene ring than
benzene.
 Suphonation reaction
 Aniline and sulphuric acid react quickly to make anilinium hydrogen sulfate, which when
heated, yields sulphonic acid.
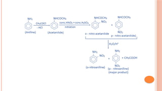
NITRATION REACTION
 Aniline cannot be nitrated directly because, in addition to being a
nitrating agent, conc. HNO3 is also an oxidizing agent that may oxidize
amino groups. As a result, before nitration, the amino group is protected
by acetylation. The nitro group can then be placed into the ring at the
ortho and para positions. Nitro aniline is produced by hydrolysis of
nitrated-acetylated aniline. The para product is obtained as the major
product.
 Uses of aniline
• It is used as the starting material for the preparation of various chemical compounds.
• This chemical is used in the production of drugs such as paracetamol, acetaminophen, and
Tylenol.
• In agriculture, this chemical is employed as a pesticide and fungicide.
• It is used in the production of polyurethane, which is then utilized in the production of
plastics.
• It is also utilized in the rubber industry in the process of vulcanization.
• Anilines are used in products such as automobile tires, gloves, balloons, and so on.
• It is also utilized as a coloring agent in the production of clothing such as jeans.
• It determines the aromaticity of oil products.
THANK YOU

final group one presentation Benzenoids.pptx

  • 1.
    BENZENOIDS AND THEIRREACTIONS BENZENE, the parent substance of aromatic compounds, was first described by Faraday in 1825. He isolated "carbureted hydrogen", empirical formula CH, from material obtained by the destructive distillation of vegetable oils. Hofmann later (1849) separated benzene from coal-tar. The vapour density was found to be 39 and so the molecular formula was shown to be C6H6. In 1865 Kekulé suggested that the benzene molecule is made up of a hexagon of six carbon atoms, joined alternately by double and single bonds and with a hydrogen atom attached to each carbon atom.
  • 2.
    RECAP AROMATICITY Aromaticity is oneof the crucial concepts in organic chemistry since most of the organic compounds we encounter are aromatic. Organic compounds exhibiting delocalization of pi electrons are aromatic and are referred to as aromatic compounds. On the other hand, organic compounds which do not exhibit delocalization of pi electrons are referred to as non- aromatic or aliphatic compounds (these might be in a cyclic form but only the aromatic rings have a special kind of stability). Compared to aliphatic compounds, aromatic compounds exhibit more excellent stability. The term aromaticity is used to describe a cyclic, planar molecule with complete conjugation that exhibits more stability than other geometric arrangements with the same set of atoms. Aromaticity is defined as a property of the conjugated cycloalkenes which enhances the stability of a molecule due to the delocalization of electrons present in the pi-pi orbitals. Aromatic molecules are said to be very stable, and they do not break so easily and also reacts with other types of substances.  Aromatic molecules are very stable and do not easily undergo chemical reactions
  • 3.
    Rules / Specialcharacteristics of Aromaticity A compound must fulfill the following criteria for to be aromatic. - It must be a cyclic system and complete conjugation i.e., ring have alternate single and double bonds - It must be a planar structure (Each element in the structure must and should have a p-orbital ring which is in a perpendicular from to the ring). - The total number of pi-electrons must follow Huckel’s rule, i.e., it must possess (4n+2) π electrons; where n = 0, 1, 2, 3… (Integers). - The molecule must be planer or flat. Those compounds that follow the above rules of aromaticity are generally flat as in that condition they possess extremely large potential energy. g Benzene, Pyridine, Furan and Naphthalene - Note don’t give addition reactions but rather undergo substitution reactions.
  • 4.
  • 5.
    AROMATICITY IN BENZENOIDCOMPOUND Benzenoids are a class of organic compounds with at least one benzene ring. Benzenoid aromatic compounds are the organic molecular species either with isolated benzene ring or with multiple benzene rings which fuse to form a more complex structure. Aromatic molecules are very stable, and generally undergo electrophilic substitutions rather than additions. Since the most common aromatic compounds are derivatives of benzene. For resonance diagrams above, the use of double headed arrows indicate that the two structures are not distinct entities but merely hypothetical possibilities.
  • 6.
  • 7.
    AROMATICITY OF NON-BENZENOID Non-benzenoidcompounds are the organic molecular species either with all carbons in the cycle or with more hetero atoms in the ring and exhibits an aromatic behavior but does not contain any benzene nucleus. The non-benzenoid aromatic compound have one or more rings fused but none of these rings is benzene ring. The ring might contain 7, 5 etc. number of carbons but that ring will not be benzene ring. The most basic example of non-benzenoid aromatic compound is Azulene. It is a system of two fused rings, one containing 7 and the other containing 5 carbons. These compounds can further be classified into homocyclic (carbocyclic) aromatic compounds and heterocyclic aromatic compounds. 
  • 8.
  • 9.
    THE FOLLOWING DIAGRAMSHOWS HOW BENZENE MOLECULES CAN BE REPRESENTED AS A CIRCLE INSIDE A HEXAGON OR WITH THE ORIGINAL KEKULÉ STRUCTURE.
  • 10.
    AROMATIC AMINO ACIDS Definition •Aromatic amino acids are a group of amino acids that contain an aromatic ring structure within their side chains. • The aromatic ring is a stable, planar ring of carbon atoms with alternating double and single bonds, which gives these amino acids distinct chemical properties. The three aromatic amino acids found in proteins are
  • 11.
    General structure ofaromatic amino acids
  • 12.
    General Properties Relatively nonpolar Absorb U.V light at different degrees Phe, Tyr and Trp are cebtral molecules in plant metabolism and function as building blocks of proteins. They serve as precursors for a variety of plant hormones such as auxin and salicylate as well as for a very wide range of aromatic secondary metabolites with multiple biological functions.
  • 13.
  • 14.
  • 15.
    SHIKIMATE PATHWAY  Aromaticamino acids are synthesized in the Shikimate pathway.  This is a seven step metabolic route used by bacteria, fungi, algae, parasites and plants for the biosynthesis of chorismate and the aromatic amino acids.  Shikimate kinase catalyzes the ATP-dependent phosphorylation of shikimate to form Shikimate 3-phosphate.  Shikimate 3-phosphate is then coupled with phosphoenol pyruvate to give 5-enolpyruvyshikimate-3-phosphate via the enzyme 5- enolpyruvylshikimate-3-phosphate (EPSP) synthase.  Then 5-enolpyruvylshikimate-3-phosphate is transformed into chorismate by a chorismate synthase.
  • 16.
    CONTS  Prephenic acidis then synthesized by a Claisen rearrangement of chorismate by chorismate mutase which can be utilised for: 1. Tyrosine biosynthesis  Prephenate is oxidatively decarboxylated with retention of the hydroxyl group to p-hydroxyphenyl pyruvate, which is transaminated using glutamate as the nitrogen source to give tyrosine and α-ketoglutarate. 2. Phenylalanine biosynthesis  Prephenate is converted to phenylpyruvate by prephenate dehydratase.  Then phenylpyruvate is transaminated to give phenylalanine by phenylalanine aminotransferase.
  • 17.
    CONTS 3. Tryptophan biosynthesis: Chorismate produces anthranilate which condenses with phosphoribosyl pyrophosphate (PRPP) make N-5-Phosphoribosyl anthranilate.  After ring opening of the ribose moiety and following reductive decarboxylation, indole-3-glycerlphosphate is produced, which in turn is transformed into indole.  In the last step, tryptophan synthase catalyzes the formation of tryptophan from indole and the amino acid serine.
  • 18.
    FUNCTIONAL GROUPS  Phenylalanine Group:Benzyl group (C H -CH -) ₆ ₅ ₂  Tyrosine Group: Phenol group (-C H OH) ₆ ₄ Hydroxyl group (-OH)  Tryptophan Group: Idole group (C H N-) ₈ ₆
  • 19.
    PHYSICAL CHARACTERISTIC 1. BenzylGroup  It is part of may organic compounds and its colourless liquid or solid at room temperature.  The benzene ring id non-polar and hydrophobic. 2. Phenol Group  Colourless crystalline solid at room temperature and darkens upon exposure to light and oxidation.  It is hydrophilic to water  The benzene ring is aromatic  It is weakly Acidic
  • 20.
    3. Hydroxyl group Do not appear alone. Are found in combination with other compounds.  Compounds containing hydroxyl group are hydrophilic due to polarity of this group.  Soluble in water due to polarity of the hydroxyl group.  They have a higher boiling and melting points compared to non polar molecules of similar molecular weight. 4. Indole group  Solid at room temperature and often have a characteristic musty or floral odor.
  • 21.
    APPLICATION OF AROMATICAMINO ACIDS  Used as artificial sweeteners  Used in synthesis of drugs  Used as dietary supplements  Tyrosine is a precursor for thyroid hormones  Help in neurotransmitter support
  • 23.
    Aniline is anaromatic derivative in which a hydrogen atom of the benzene ring has been replaced by an amino group -NH2. Aniline is also known as aminobenzene or phenylamine. It has a chemical formula of C6H7N or C6H5NH2 .  Aniline is the most basic aromatic amine. Anilines are a key industrial essential chemical. It has the odor of rotten fish, volatile amines. It burns easily. It has a smoky flame, which is typical of aromatic chemicals. stereochemistry aniline has a planar, hexagonal benzene structure, chiral, nature of molecules and non-superimposable mirror images, optical activity.
  • 24.
    PREPARATION OF ANILINE Laboratorypreparation Aniline is produced in the laboratory by reducing nitrobenzene with tin and concentrated hydrochloric acid.
  • 25.
    FROM THE REDUCTIONOF NITROBENZENE WITH IRON AND DIL.HCL  Aniline is commercially produced by reducing nitrobenzene with iron and dil. HCl.  4 C6H5NO2 + 9 Fe + 4 H2O → 4 C6H5NH2 + 3Fe3O4  From the reaction of chlorobenzene with ammonia  Chlorobenzene reacts with ammonia in the presence of CuCl2 as a catalyst to give aniline. C6H5Cl + 2 NH3 + CuCl2 → C6H5NH2 + NH4Cl  From benzamide  When amides are heated with bromine and caustic potash, the amide (-CONH2) group is con the amine (-NH2) group. This is known as Hoffman’s degradation reaction. This process produ from benzamide. C6H5CONH2 + Br2 + 4 KOH → C6H5NH2 + K2CO3 + 2 KBr + 2 H2O
  • 26.
    PHYSICAL PROPERTIES OFANILINE I. Aniline has a boiling point of around 184 o C and a melting point of approximately 6 o C. II. It has a characteristic unpleasant smell. III.Density of aniline is 1.002 at 20 o C . IV. It is sparingly soluble in water. It is readily soluble in a wide range of solvents, including alcohol and ether. V. It becomes pale yellow and darkens When exposed to air. VI. It is a weak base that reacts with strong acids to generate anilinium ion C6H5NH3 +. VII.When the substance is inhaled through the air or absorbed through the skin, it forms nitrogen oxides that cause harmful effects on the environment. VIII. Aniline is steam volatile and highly toxic.
  • 27.
     Reactions ofaniline (chemical reaction )  Reactions involving -the NH2 group  Basic nature • Because of the presence of an electron lone pair on the nitrogen atom, it is basic in nature. • It is a weaker base than ammonia and aliphatic amines. This is due to the fact that the amines group in aniline is linked to the phenol group, which is negative. The (–) effect of the phenol group and the (+ )effect of the amines group diminish the availability of a lone electron pair on nitrogen. • The addition of an electron-donating group raises the basicity of the benzene ring. Based on this, ortho meta and para Toluidine are stronger bases than aniline. • Because it is basic in nature, it combines with acid to form salt. Eg.
  • 28.
     Reaction withan alkyl halide  Alkylation is the process of replacing the H-atom of an amino group with an alkyl group (-R).  The reaction of aniline with an alkyl halide produces secondary, tertiary, and quaternary ammonium compounds.
  • 29.
    Reaction with benzaldehyde Anilinereacts with benzaldehyde to give benzylidene aniline
  • 30.
     Acylation ofaniline  The reaction of aniline with an acid chloride or acid anhydride produces corresponding amides called anilides. For example, In the presence of pyridine, aniline reacts with ethanoyl chloride to give N-phenyl ethanamide ie., acetanilide.  Carbylamine reaction  The reaction of aniline with the chloroform and alc. Koh produces phenyl isocyanide (carbylamine), which has an offensive smell.  C6H5 -NH2 + CHCl3 + 3 KOH → C6H5 — NC + 3H2O + 3 KCl  Benzoylation  Benzoylation is the process of replacing the H-atom of an amino group with a benzoyl group (C6H5CO-). Aniline reacts with the benzoyl chloride to give benzanilide
  • 31.
     Reaction withnitrous acid  In the presence of hydrochloric acid, aniline reacts with nitrous acid to produce benzene diazonium chloride. The action of NaNO2 and HCl produces the nitrous acid required for this process. Since benzene di diazonium chloride decomposes at higher temperatures, this reaction is usually carried out at low temperatures (0-5°C). The -NH2 group is transformed into the -N group in this reaction. This is known as the diazotization reaction.
  • 33.
     The existingbenzene diazonium chloride — N = N — Cl group can be easily changed into different groups. As a result, this reaction is used to produce a wide range of chemicals, including aniline, benzene, chlorobenzene, phenol, and others. In alkaline solutions, benzene diazonium chloride reacts with beta-naphthyl and a few other chemicals.  Reactions involving benzene ring  Electrophilic substitution reactions  The electrophilic substitution reaction occurs when an electrophile substitutes another electrophile in an organic molecule. Halogenation, nitration, and sulphonation are common electrophilic processes for anilines. The functional group (-NH2) connected to aniline is an electron- donating group, making it highly active for the electrophilic substitution process.
  • 36.
     Because ofits multiple resonant configurations, the benzene ring has more electrons or negative charge in the ortho- and para- positions than in the meta- position. As a result, anilines are o- and p-directed in the electrophilic substitution process.  Bromination reaction  When aniline interacts with liquid bromine, it produces 2,4,6-tribromoaniline, a white powder. Benzene does not react with liquid bromine, whereas aniline does. This reaction demonstrates that aniline has a higher electron density in the benzene ring than benzene.  Suphonation reaction  Aniline and sulphuric acid react quickly to make anilinium hydrogen sulfate, which when heated, yields sulphonic acid.
  • 38.
    NITRATION REACTION  Anilinecannot be nitrated directly because, in addition to being a nitrating agent, conc. HNO3 is also an oxidizing agent that may oxidize amino groups. As a result, before nitration, the amino group is protected by acetylation. The nitro group can then be placed into the ring at the ortho and para positions. Nitro aniline is produced by hydrolysis of nitrated-acetylated aniline. The para product is obtained as the major product.
  • 40.
     Uses ofaniline • It is used as the starting material for the preparation of various chemical compounds. • This chemical is used in the production of drugs such as paracetamol, acetaminophen, and Tylenol. • In agriculture, this chemical is employed as a pesticide and fungicide. • It is used in the production of polyurethane, which is then utilized in the production of plastics. • It is also utilized in the rubber industry in the process of vulcanization. • Anilines are used in products such as automobile tires, gloves, balloons, and so on. • It is also utilized as a coloring agent in the production of clothing such as jeans. • It determines the aromaticity of oil products.
  • 41.