1
CHAPTER ONE
1.1 GENERALINTRODUCTION
The theory and computation of eigenvalue problems are among the most
successfuland widely used tools of applied mathematics and scientific computing.
Matrix eigen value problems arise naturally from a wide variety of scientific and
engineering applications, including acoustics, controltheory, elasticity theory,
mechanical vibrations, probability theory, quantum mechanics , stability analysis
and many other areas.
The increasing number of applications and the ever growing scale of the
problems have motivated fundamental progress in the numerical solution of
eigenvalue problems in the past few decades. New insights and extensions of
existing computational methods usually go hand in hand with the development of
new algorithms and software packages.
The current state of the art is that excellent numerical methods have been
used with great success fordecades for dense matrices of small to medium size.
The 𝑄𝑅 and power method algorithms for standard eigenvalue problems 𝐴𝑣 = 𝜆𝑣
and generated problems 𝐴𝑣 = 𝜆𝐵𝑣 in mathematical software’s suchas MATLAB
and many other commercial and public software packages. These algorithms are
designed to compute the complete set of eigenvalues with full accuracy. However,
2
the 𝑄𝑅 and power method algorithms are not practicable for large and sparse
eigenvalue problems, where only a small number of eigenvalues and eigenvectors
are usually desired. The main reason is that the time complexity and storage
requirements become very prohibitive for large 𝑛.
To compute the desired eigenpairs of large sparsematrices, things have been
designed and implemented for a large variety of eigenvalues algorithm based on
the techniques of subspaces (Krylov subspace, Arnoldi and Lanczos method) and
projections. Ideally, the subspaces generated are expected to contain increasingly
better approximations to the desired eigenvectors, and therefore some eigenvalues
of the small projected matrices become progressively more accurate
approximations to the desired eigenvalues.
The thesis is organized as follows. In chapter one, the general introduction
of eigenvalue is been reviewed, the aims and objectives of the study is also been
done to see the benefits of the study to the areas of applications which include;
elasticity, probability, mechanical vibration and biology. In chapter two, I
reviewed the basic theory, tools and solvers needed to study eigenvalue algorithms,
and also discuss some related work in the literatures. Chapter three investigates the
various methods to finding eigenvalue problems which include the Krylov
subspace, the power method and QR method which will all be discussed fully in
3
the course of this study. Chapter four provides some insights and studies about
eigenvalue and its application to the various areas such as biology, statistics,
engineering; it also provides some additional enhancements to solve problems
under these applications. In chapter five, I summarize the study and suggest some
areas for future research and the references.
1.2 EIGENVALUES
Eigenvalues are a special set of scalars associated with a linear system of
equations (i.e. a matrix equation) that are sometimes also known as characteristic
roots, characteristic values (Hoffman and Kunze 1971), propervalues or latent
roots (Marcus and Minc 1988).
The determination of eigenvalues and correspondingeigenvectors of a
system is extremely important in physics, science and engineering, where it is
equivalent to matrix diagonalization and arises in such common applications as
stability analysis, the physics of rotating bodies, and small oscillations of vibrating
systems, to name only a few. Each eigenvalue is paired with a correspondingso
called eigenvector (or, in general, a correspondingright eigenvector and a
corresponding left eigenvector, there is no analogous distinction between left and
right for eigenvalues).
4
Eigenvalues are very important in science; this report provides examples of
the applications of eigenvalues and eigenvectors in everyday life. If will run
through a few examples to demonstrate the importance of eigenvalues and
eigenvectors in science, it then demonstrates how one can find eigenvectors and
eigenvalues.
The decomposition of a square matrix 𝐴 into eigenvalues and eigenvectors is
known in this work as eigen-decomposition, and the fact that this decomposition is
always possibleas long as the eigen-decomposition theorem.
Let 𝐴 be a linear transformation represented by a matrix 𝐴 if there is a vector
𝑋 ∈ 𝑅 𝑛
≠ 0 such that
𝐴𝑥 = 𝜆𝑥 (1.1)
For some scalar λ, then λ is called the eigenvalue of 𝐴 with corresponding (right)
eigenvector 𝑥.
Letting 𝐴 be a 𝑘 × 𝑘 square matrix,[
𝑎11 𝑎12 … 𝑎1𝑘
𝑎21 𝑎22 … 𝑎2𝑘
⋮ ⋮ … ⋮
𝑎 𝑘1 𝑎 𝑘2 … 𝑎 𝑘𝑘
] (1.2)
with eigenvalue λ then the corresponding eigenvectors satisfy
[
𝑎11 𝑎12 … 𝑎1𝑘
𝑎21 𝑎22 … 𝑎2𝑘
⋮ ⋮ … ⋮
𝑎 𝑘1 𝑎 𝑘2 … 𝑎 𝑘𝑘
][
𝑥1
𝑥2
⋮
𝑥 𝑘
] = 𝜆 [
𝑥1
𝑥2
⋮
𝑥 𝑘
] (1.3)
5
This is equivalent to the homogenous system
[
𝑎11 − 𝜆 𝑎12 … 𝑎1𝑘
𝑎21 𝑎22 − 𝜆 … 𝑎2𝑘
⋮ ⋮ … ⋮
𝑎 𝑘1 𝑎 𝑘2 … 𝑎 𝑘𝑘−𝜆
][
𝑥1
𝑥2
⋮
𝑥 𝑘
] = [
0
0
⋮
0
] (1.4)
Equation (1.4) can be written compactly as
( 𝐴 − 𝜆𝐼) 𝑥 = 0 (1.5)
; Where 𝐼 is the identity matrix. As shown in Cramer’s rule, a linear system of
equations has nontrivial solutions if and only if the determinant vanishes, so the
solutions of equation (1.5) are given by
det( 𝐴 − 𝜆𝐼) = 0 (1.6)
This equation known as the characteristic equation of 𝐴 and the left – hand side is
known as the characteristic polynomial.
For example, for a 2 × 2 matrix, the eigenvalues are
𝜆 =
1
2
[(𝑎11 + 𝑎22)+ √4𝑎12 𝑎21 + (𝑎11 − 𝑎22)2] (1.7)
This arises as the solutions of the characteristic equation
𝑥2
− 𝑥(( 𝑎11 + 𝑎22)+ ( 𝑎11 𝑎22 − 𝑎12 𝑎21) = 0 (1.8)
If all eigenvalues are different, then plugging these back in gives 𝑘 − 1
independent equation for the 𝑘 components of each correspondingeigenvector, and
the system is said to be non-degenerated. If the eigenvalues are 𝑛-fold degenerate,
6
then the system is said to be degenerated and the eigenvectors are not linearly
independent.
Eigenvalues may be computed using eigenvalues (matrix), eigenvectors and
eigenvalues can be returned together using the command eigen-system (matrix).
1.2.1 HOW TO FIND EIGENVALUES
Supposeλ = 0, finding the eigenvalues is now the same as finding non-zero
vectors in the null space. We can do this if det (𝐴) = 0 but not otherwise. If we do
not assume that λ = 0 then it is still the same as finding the null space, but it is the
null spacefor the matrix. 𝐴 − 𝜆𝐼. Here 𝐼 stand for the (𝑛 × 𝑛) identity matrix.
There will be a non-zero vector for the identity matrix only if the determinate of
this new matrix is equal to 0. We refer to this condition, det (𝐴 − 𝜆𝐼) = 0, as the
characteristic equation of 𝐴. If the null spaceof 𝐴 − 𝜆𝐼 has a non – zero vector, it
is called an EIGENSPACE of 𝐴 with an EIGENVALUE of λ. Thus the algorithm
for solving Eigenvectors, according to Evans M. Harell II, is as follows:
i. First find the eigenvalues by solving the characteristic equation call the
solutions.
λ1, … , λ𝑛
7
ii. For each eigenvalue λk, use row reduction to find a basis of the eigen-space
ker (𝐴 − 𝜆𝐼). If λk, the existence of a non zero vector in this null space, is
guaranteed. Any such vector is an eigenvector.
1.3 BASIC PHYSICAL SIGNIFICANCE OF EIGENVALUES
Essentially, eigenvalues and eigen-spaces characterize linear transformations
and allow for easy computation. If we consider matrix as a transformation then in
simple terms eigenvalue is the strength of that transformation in a particular
direction known as eigenvector.
Eigenvalues and eigenvectors are used widely in science and engineering.
They have many applications, particularly in physics. Consider rigid physical
bodies. Rigid physical bodies have a preferred direction of rotation, about which
they can rotate freely, also for example if someone were to throw a football, it
would rotate round its axis while flying prettily through the air. Although this may
seem like common sense, even rigid bodies with a more complicated shape will
have preferred directions of rotation. These are called axes of inertia, and they are
calculated by finding the eigenvectors of a matrix called the inertia tensor, the
eigenvectors also important, are called moment of inertia.
Eigenvalue has major significance in the stress-strain analysis and vibration
related problem;
8
1. Eigenvalue is always independent of the direction. These features makes our
life easy to calculate the stress strain value when we express stress or strain
related problem in form of characteristic equation (eigen and eigenvector
form) then the eigenvalue gives us invariant which is independent of any
coordinate and the correspondingdirection in which it acts is called
eigenvector.
2. In vibration related problem when we solved mass-stiffness force relation in
form of eigenvalue problem, then eigenvalue gives us the information about
the natural frequency about the system which is also independent of
coordinate system and correspondingamplitudes is our eigenvector.
3. At last we can say eigenvalue is invariant.
1.4 AIMS AND OBJECTIVES OF STUDY
The aim of this work is to study the numerical methods for solving
eigenvalue problems. The objectives include the following:
i. Constructtechniques to solve eigenvalue problems
ii. Use some numerical algorithms to eliminate some controversies associated
with eigenvalue problems
iii. To demonstrate the application of numerical methods to calculations
encountered in the courseof the research
iv. Give solutions for more general eigenvalue problems and its applications.
9
1.5 SCOPE OF STUDY
This study focuses on numerical solution of eigenvalue problems and their
applications to other branches of sciences which include engineering, biological
sciences and other related areas.
We also looked at eigenvalue algorithms for solving large and sparse
eigenvalue problem with their application. In many applications, if people are
interested in a small number of interior eigenvalues, a transformation (spectral) is
usually employed to map these eigenvalues to dominant ones of the transformed
problem so that they can be easily captured. Different methods such as the Krylov
subspaceprojection method, power, 𝑄𝑅, Arnoldi and Lanczos process are been
investigated in the aspectof finding eigenvalue and noting that Arnoldi methods
are used to solve eigenvalue problems with different applications most especially
spectral transformations. We also investigate other strategies specific to eigenvalue
algorithms to further reduce the inner iteration counts.
10
1.6 DEFINITION OF TERMS
1. Orthogonal Matrix: This is a square matrix with real entries whose columns
and rows are orthogonal unit vectors (i.e. orthonormal vectors), i.e. 𝑄 𝑇
𝑄 =
𝑄𝑄 𝑇
= 𝐼, where 𝐼 is the identity matrix.
2. Eigen Decomposition: Eigen decomposition or sometimes spectral
decomposition is the factorization of a matrix into a canonical form,
whereby the matrix is represented in terms of its eigenvalues and
eigenvectors.
3. Householder Matrices: This is a linear transformation that describes a
reflection about a plane or hyper plane containing the origin. Householder
transformations are widely used in numerical linear algebra to perform 𝑄𝑅
decompositions and it’s the first step of 𝑄𝑅 algorithm.
4. Symmetric Matrix: A symmetric matrix is a square matrix that is equal to its
transpose. Formally matrix 𝐴 is symmetric if 𝐴=𝐴T
5. 𝑄𝑅 Decomposition: A 𝑄𝑅 decomposition (also called a 𝑄𝑅 factorization) of
a matrix is a decomposition of a matrix 𝐴 into a product 𝐴= 𝑄𝑅 of an
orthogonal matrix 𝑄 and an upper triangular matrix 𝑅. 𝑄𝑅 decompositionis
often used to solve linear least squares problem, and it is the basis for a
particular eigenvalue algorithm, the 𝑄𝑅 algorithm.
11
6. Power Method (Iteration): The power method iteration is an eigenvalue
algorithm: given a matrix 𝐴, the algorithm will producea number λ (the
eigenvalue) and a non-zero vector 𝑉 (the eigenvector), such that 𝐴𝑣 = 𝜆𝑣.
The algorithm is also known as the Von Mises iteration.
7. Null Space:If 𝑇 is a linear transformation of 𝑅n, then the null spacenull (𝑇),
also called the kernel ker (𝑇), is the set of all vectors such that
𝑇 (𝑥) = 0 , i.e. Null (𝑇) ≡ { 𝑥: 𝑇(𝑥) = 0}
8. Dominant Eigenvalue: Let 𝜆1, 𝜆2, … , and 𝜆 𝑛be the eigenvectors of an 𝑛 × 𝑛
matrix 𝐴, 𝜆1is called the dominant eigenvalues of 𝐴 if |𝜆1| > |𝜆𝑖|, ί = 2,…,𝑛.
The eigenvectors corresponding to 𝜆1 are called dominant eigenvectors of 𝐴.
9. Eigen-space: If 𝐴 is a 𝑛 × 𝑛 square matrix and λ is an eigenvalue of 𝐴, then
the union of the zero vector 0 and the set of all eigenvectors corresponding
to eigenvalues λ is a subspace of 𝑅 known as the eigen-space of λ.
10.Time Complexity: Time complexity of an algorithm quantifies the amount
of time taken by an algorithm to run as a function of the length of the string
representing the input. The time complexity of an algorithm is commonly
expressed using 0 notations, which excludes coefficients and lower order
terms i.
12
CHAPTER TWO
2.1 LITERATURE REVIEW
Eigenvalues are often introduced in the context of linear algebra or matrix
theory and numerical analysis. Historically, however, they arose in the study of
quadratic forms and differential equations.
In the 18th century, Euler studied the rotational motion of a rigid bodyand
discovered the importance of the principal axes. Lagrange realized that the
principal axes are the eigenvectors of the inertia matrix. In the early 19th century,
Cauchy saw how their work could be used to classify the quadratic surfaces, and
generalized it to arbitrary dimension. Cauchy also coined the term racine
caracteristique (characteristic root) for what is now called eigenvalue; his term
survives in characteristic equation.
Fourier used the work of Laplace and Langrage to solve the heat equation by
separation of variables in his famous book“Theorie analytiquede la Chaleur”
published in 1822. Timoshenko, S. (1936) worked on elasticity theory. Sturm
development Fourier ideas further and brought them to the attention of Cauchy,
who combined them with his own ideas and arrived at the fact that real symmetric
matrices have real eigenvalues.
13
This was extended by Hermit in 1855 to what are now called Hermitian
matrices. Around the same time, Brioschi proved that the eigenvalues of
orthogonal matrices lie on the unit circle, and Clebseh found the corresponding
result for skew – symmetric matrices. Evans, M. Harall II. (2001) talked on finding
eigenvalues and eigenvectors.
Finally, weierstrass clarified an important aspect in the stability theory of
eigenvalue problems by Laplace by realizing that defective matrices can cause
instability of eigenvalues.
In the mean time, Liouville studied eigenvalue problems similar to those of
sturm; the discipline that grew out of their work is now sturm-Liouville theory.
Schwarz studied the first eigenvalue of Laplace’s equation on general domains
toward the end of the 19th century, while Poincare studied Poisson’s equation a few
years later. Demmel, James W. (1997) also worked on the algebraic numerical
solutions.
The first numerical algorithm for computing eigenvalues and eigenvectors
appeared in 1929, when Von Mises published the POWER METHOD. One of the
most popular methods today, the QR algorithm, was proposed independently by
John G.F Francis and Vera Kublanovskaya in 1961. Another important eigenvalue
algorithm developed recently is the shift – invert residual Arnold method for
14
finding eigenvalues, this method has a few similarities to Jacobi method; both aim
at only one eigen-pair at a time and expand the subspacewith the solution to a
correction equation where the right-hand side is the current eigenvalue residual
vector (the coefficient matrices are different for the two methods, though; in the
initial steps, the inner solves can be done with only a moderate accuracy, but the
tolerance for the inner decreases as the outer iteration proceeds.
To further study the Arnold and other methods, extends the strategy and
accuracy of matrix vector products with shift – invert transformation for standard
eigenvalue problems. We shall carry out a complete theoretical and numerical
comparison of all these methods in the courseof this project.
Numerical experiments and analysis show that these techniques lead to
significant savings in computational costwithout affecting the convergence of
outer iterations to the desired eigen pairs, knowing fully well that the eigenvalue
algorithm are outer iteration.
2.2 BASIC DEFINITIONSAND TOOLS EIGENVALUE PROBLEMS.
In this section, we briefly review some basic definitions, properties and
theories of algebraic eigenvalues problem. Let 𝐴 be a 𝑛 × 𝑛 square matrix, λ a
scalar, and v a non-zero column vector of length n, such that
𝐴𝑣 = 𝜆𝑣 (2.1)
15
This equation is referred to as the standard eigenvalue problem. Here, λ is an
eigenvalue of 𝐴, v is the correspondingright eigenvector and [λ, 𝑣] is called an
eigen-pair. Similarly, a left eigenvector is defined by the equation 𝑤*𝐴 = λ𝑤*
where 𝑤* is the conjugate transposeof 𝑤. Unless otherwise stated, the term
eigenvector are normalized, i.e. the norm of any eigenvector equals one.
Eigenvalues of 𝐴 are the roots of the characteristic polynomial 𝑃 (λ) = det
(𝜆𝐼 − 𝐴). An eigenvalue is called a simple one if it is a simple root of 𝑃 (λ) (with
algebraic multiplicity one); otherwise it is a multiple eigenvalue. The full set of
eigenvalues of 𝐴 is called the spectrum and is denoted by λ (𝐴) = {λ1, λ2… λn}.
The spectrum of 𝐴 remains invariant under similarity transformations, i.e. if x is
square and non singular, then for an à = 𝑥−1
𝐴𝑥, 𝜆( 𝐴) = 𝜆(Ã).
A subspace 𝑉 that satisfies 𝑣 ϵ 𝑉 = 𝐴𝑣 ϵ 𝑉 is called invariant subspace
(eigen-space) of 𝐴. An eigenvector spans a one-dimensional invariant subspace. A
desired invariant subspacerefers to a spacespanned by the eigenvectors
corresponding to a group of wanted eigenvalues.
If 𝐴 has 𝑛 linearly independent eigenvectors, it can be diagonalized as
𝐴 = 𝑉⋀𝑉−1
(2.2)
16
Where 𝑉 = [𝑉 1, 𝑉 2… 𝑉 n] contains the eigenvectors of 𝐴, and ⋀ = diag (λ1, λ2
…λn) is a diagonal matrix containing the corresponding eigenvalues. In particular,
if 𝐴 has distinct eigenvalues, it is diagonalizable. A Hermitian matrix 𝐴 (𝐴 * = 𝐴)
is diagonalizable; it has only real eigenvalues and a complete orthonormal set of
eigenvectors, the diagonalization is also called the spectraldecomposition.
A most important tool connecting a block triangular matrix with a block
diagonal matrix is the Sylvester equation. Forexample, consider the block
diagonalization of the matrix T = [
𝑇11 𝑇12
0 𝑇22
]
Suppose 𝑄 is the solution of the Sylvester equation 𝑇11 𝑄 – 𝑄𝑇22 = - 𝑇 12 .Then
[
𝐼 𝑃 −𝑄
0 𝐼 𝑛−𝑝
] [
𝑇11 𝑇12
0 𝑇22
] [
𝐼 𝑃 𝑄
0 𝐼 𝑛−𝑝
]
= [
𝑇11 𝑇11 𝑄 − 𝑄𝑇22 + 𝑇12
0 𝑇22
] = [
𝑇11 0
0 𝑇22
] (2.3)
In general, given 𝐾 ∈ 𝐶PxP and 𝑀 є Cq xq, the Sylvester operator 𝑆: 𝐶Pxq 𝐶PxP
associated with these two matrices is defined as a linear transformation 𝑆:𝐺 𝑆
(𝐺) = 𝐾𝐺 − 𝐺𝑀. This transformation is non singular ⟺ λ(𝐾) ∩ λ(𝑚)= Ø.
The separation between 𝐾 and 𝑀 is defined as
Sep (𝐾, 𝑀) = Inf ‖ 𝐾𝐺 − 𝐺𝑀 ‖ (2.4)
17
And the norm of 𝑆 is defined as
‖ 𝑆 ‖ = sup ‖ 𝐾𝐺 − 𝐺𝑀 ‖ ; ‖G‖ = 1 (2.5)
We have so far reviewed some preliminary definitions and tools to study
standard eigenvalue problems. The definitions and tools of generalized eigenvalue
problems 𝐴𝑣 = 𝜆𝐵𝑣, though more complicated, are largely parallel to what is
presented in this section. In particular, the generalized problem is equivalent to the
standard problem 𝐵−1
𝐴𝑣 = 𝜆𝑣 for non singular 𝐵. To simplify the analysis, we
assume throughout these thesis that B is non-singular, unless otherwise stated.
2.3 DIRECT AND INVERSE EIGENVALUE PROBLEM
The eigenvalue problems associated with some applications (mechanical
vibrations, engineering, statistics e.t.c) are been shown in the chapter four of this
project. Discrete models usually consists of linear equations that can be
represented as algebraic eigenvalue problems are of the form
( 𝐴 − 𝜆𝐵) 𝑥 =0 (2.6)
In algebraic eigenvalue problems, the non-trivial solution 𝑥 ≠ 0 that satisfies
Equation (2.6) is called an eigenvector and λ its correspondingeigenvalue.
Eigenvalue problems that are based on either continuous system or its discrete
model approximation can be used to solve two broad classifications of problems:
1. Direct eigenvalue problems, and
18
2. Inverse eigenvalue problems
In direct eigenvalue problems the physical parameters (area, length, modulus
of elasticity, density, etc.) of the system are known and these are used to determine
the unknown spectraldata (eigenvalues and eigenvectors) of the system. In
contrast, in inverse eigenvalue problems some or all of the spectral data are known
and these are used to determine the unknown physical parameters. A graphical
explanation of direct and inverse eigenvalue problems can be obtained from the
block diagrams in Figure 1.1.
Introduction of optimization principles in mathematical models that are used
for different applications creates a new genre of problems. These problems are a
mixture of both direct and inverse eigenvalue problems. The aim here is to find the
optimal physical parameters that yield extremum eigenvalues, subject to certain
constraints on these physical parameters.
Figure 1.1 Direct and Inverse problem
19
CHAPTER THREE
3.0 THEORETICALCONSIDERATIONS
3.1 KRYLOV-SUBSPACE PROJECTION METHODS FOR EIGENVALUE PROBLEM
3.1.1 Definition and Basic Properties
Krylov subspacesare among the most widely used building blocks of iterative
linear solvers and eigenvalue algorithms for large sparsematrices. Given a linear
operator 𝐴 and a nonzero initial vector 𝑢1, the 𝑘-th order Krylov subspaceis 𝐾k (𝐴,
𝑢1) = span { 𝑢, 𝐴𝑢1 ... 𝐴k−1 𝑢1}. The generation of Krylov subspaces only needs the
operation of matrix-vector productinvolving 𝐴. If 𝐴 is a large sparsematrix with
𝑛𝑛𝑧 non-zero entries, each matrix-vector productgenerating a new member vector
of the Krylov subspacecan be computed in only 𝑛𝑛𝑧 floating point operations.
An important property of Krylov subspacesis that the 𝐾k (𝐴, 𝑢1) contains
quickly improving approximations to eigenvectors corresponding to extremal
eigenvalues of 𝐴. To simplify the introduction, we only present the result for
Hermitian 𝐴 with eigenvalues λ1 > λ2 ≥ ... ≥ λn. It is obvious from the structure of
the Krylov subspaces that any vector 𝑣 𝜖 𝐾k (𝐴, 𝑢1) can be written as qk−1(𝐴) 𝑢1,
where qk−1 is some polynomial of degree 𝑘 − 1.
20
BASIS FOR KRYLOV SUBSPACE
 Krylov sequence forms a basis for krylov subspacebutit is ill-conditioned
 Better to work with an orthonormal basis
 Lanczos algorithm builds an orthonormal basis for krylov subspacefor
Hermitian matrices
 Arnoldi algorithm generalizes this to non-Hermitian matrices.
3.1.2 THE ARNOLDI PROCESS
The original form of the Krylov subspacebasis {𝑢1, 𝐴𝑢1 ... 𝐴k−1 𝑢1} becomes
progressively ill-conditioned as 𝑘 increases, because 𝐴k−1 𝑢1 converges to the
dominant eigenvector(s) of 𝐴. To resolve this difficulty, the Arnoldi process
computes a set of orthonormal basis vectors for 𝐾k (𝐴, 𝑢1) as described in
In short, the Arnoldi process computes 𝐴𝑢k, orthogonalize’s it against 𝑈k, and
normalizes the result to 𝑢k+1.
This process gives the Arnoldi decomposition 𝐴𝑈k =𝑈k+1 𝐻̂ 𝐾 = 𝑈k 𝐻k + ℎk+1,
𝑘𝑢 𝑘+ 1𝑒𝑘
𝑇
, where Hk = 𝑈𝑘
∗
𝐴uk 𝜖 𝐶(k+1) x k and 𝑒𝑘
𝑇
= (0, 0,...0,1) 𝜖 𝑅 𝑘
. It can be shown
readily that the orthonormal column vectors of 𝑈k span 𝐾k (𝐴, 𝑢1) . ForHermitian
𝐴, the Arnoldi process naturally reduces to the Lanczos process,where 𝐴𝑢 𝑘 is
automatically orthogonal to 𝑢1,..., 𝑢k−2 and thus only needs to be Orthogonalize
against 𝑢k−1 and 𝑢k and then normalized to 𝑢k+1.
21
3.1.3 THE LANCZOS PROCESS
Since naturally, the Arnoldi process reduces to Lanczos process,therefore
the Lanczos decomposition is usually written as 𝐴𝑈k = 𝑈k 𝑇k+βk 𝑢k+1𝑒𝑘
𝑇
, where 𝑇k
is a tri-diagonal real symmetric matrix with αj = 𝑢𝑗
∗
uj (1 ≤ 𝑗 ≤ 𝑘) on the main
diagonal and βj = ‖𝐴uj – αjuj − βj−1 uj−1‖ (1≤ 𝑗 ≤ 𝑘 − 1) on the sub- and super
diagonals. In floating point arithmetic, the loss of orthogonality of Lanczos vectors
may prevent Ritz vectors from approximating the desired eigenvectors, and some
re-orthogonalization procedureis necessary to resolve this difficulty.
The advantage of the Lanczos process is that every iteration step has just one
matrix vector multiplication, hence linear complexity for sufficiently sparse
matrices and also the disadvantage is that in finite precision arithmetic qi’s may not
be orthogonal and the costof insuring orthogonality can be huge as number of
iteration increases.
ALGORITHM 1.0 The Lanczos process
1: Let A ∈ Fn×n be Hermitian. This algorithm computes the Lanczos relation,
i.e., an orthonormal basis Qm = [q1, . . . , qm] for Km(x) where m is the smallest index
such that Km(x) = Km+1(x), and (the nontrivial elements of) the tri-diagonal matrix
Tm.
2: q := x/‖x‖; Q1 = [q];
3: r := Aq;
4: α1 := q*r;
5: r := r − α1q;
6: β1:= ‖r‖;
22
7: for j = 2, 3, . . . do
8: v = q; q := r/βj−1; Qj := [Qj−1, q];
9: r := Aq − βj−1v;
10: αj := q*r;
11: r := r – αjq;
12: βj := ‖r‖;
13: if βj = 0 then
14: return (Q ∈ Fn×j ; α1, . . . , αj ; β1, . . . , βj−1)
15: end if
16: end for
3.1.4 A NUMERICAL EXAMPLE OF LANCZOS ALGORITHM
This numerical example is intended to show that the implementation of the
Lanczos algorithm. Let 𝐴 = diag (0, 1, 2, 3, 4, 100000) and 𝑥 = (1, 1, 1, 1, 1, 1)T .
The diagonal matrix A has six simple eigenvalues and x has a non-vanishing
component in the direction of each eigen-space. Thus, the Lanczos algorithm
should stop after 𝑚 = 𝑛 = 6 iteration steps with the complete Lanczos relation. Up
to rounding error, we expect that β6 = 0 and that the eigenvalues of 𝑇6 are identical
with those of 𝐴. Applying the Lanczos algorithm with these input data, in the
sequel we present the numbers that we obtained with a Mat-lab implementation of
this algorithm.
For 𝑘 = 1
α1 = 16668.33333333334, β1 = 37267.05429136513.
23
For 𝑘 = 2
α2 = 83333.66652666384, β2 = 3.464101610531258.
The diagonal of the eigenvalue matrix Ө2 is:
diag (Ө2) = (1.999959999195565, 99999.99989999799)T .
The last row of β2S2 is
β2S2 = (1.414213562613906, 3.162277655014521).
The matrix of Ritz vectors 𝑌2 = 𝑄2 𝑆2 is
[
−0.44722 −2.0000 × 10−05
−0.44722 −9.9998 × 10−06
−0.44721 4.0002× 10−10
−0.44721 1.0001× 10−05
−0.44720 2.0001× 10−05
4.4723 × 10−10
1.0000 ]
For 𝑘 = 3. α3 = 2.000112002245340, β3 = 1.183215957295906.
The diagonal of the eigenvalue matrix is
diag (Ө3) = (0.5857724375775532, 3.414199561869119, 99999.99999999999)T .
The largest eigenvalue has converged already. This is not surprising as λ2/λ1 =
4×10−5. With simple vector iteration the eigenvalues would converge with the
factor λ2/λ1 = 4 ×10−5.
The last row of β3 𝑆3 is
β3 𝑆3= (0.8366523355001995, 0.8366677176165411, 3.741732220526109×10−05)
24
The matrix of Ritz vectors 𝑌3 = 𝑄3 𝑆3 is
[
0.76345 0.13099 2.0000× 10−10
0.53983 −0.09263 −1.0001× 10−10
0.31622 −0.31623 −2.0001× 10−10
0.09262 0.09262 −1.0000× 10−10
−0.13098 −0.76344 2.001× 10−10
−1.5864× 10−10
−1.5851 × 10−10
1.00000 ]
The largest element (in modulus) of 𝑌3
𝑇
𝑌3 is ≈ 3×10−12.
The Ritz vectors (and thus the Lanczos vectors qi) are mutually orthogonal up to
rounding error.
𝑘 = 4. α4 = 2.000007428756856, β4 = 1.014186947306611.
The diagonal of the eigenvalue matrix is
diag (Ө4) = [
0.1560868732577987
1.999987898940119
3.843904656006355
99999.99999999999
]
The last row of β4 𝑆4 is
β4 𝑆4 = (0.46017, −0.77785, −0.46018, 3.7949×10−10)
The matrix of Ritz vectors 𝑌4 = 𝑄4 𝑆4 is
[
−0.82515 0.069476 −0.40834 −0.18249
−0.034415 0.41262 −0.40834 −0.18243
0.37812 0.37781 −0.40834 −0.18236
0.41256 −0.034834 −0.40834 −0.18230
0.069022 −0.82520 −0.40834 −0.18223
−1.3202 × 10−04
1.3211× 10−04
−0.40777 0.91308 ]
The largest element (in modulus) of 𝑌4
𝑇
𝑌4 is ≈ 2×10−8.
25
We have β4 𝑆4,4 = 4×10−10. So, according to our previous estimates (ϑ4, 𝑌4),
𝑦4 = 𝑌4 𝑒4 a very good approximation for an eigen-pair of A. This is in fact the case.
Noticing that 𝑌4
𝑇
𝑌4 has off diagonal elements of the order 10−8. These elements are
in the last row/column of 𝑌4
𝑇
𝑌4. This means that all Ritz vectors have a small but
not negligible component in the direction of the ‘largest’ Ritz vector.
𝑘= 5, α5 = 2.363169101109444, β5 = 190.5668098726485.
The diagonal of the eigenvalue matrix is
diag(Ө5) =
[
0.04749223464478182
1.413262891598485
2.894172742223630
4.008220660846780
9.999999999999999104]
The last row of β5 𝑆5 is
β5 𝑆5 = (−43.570, −111.38134, 963.4957, 2320×10−13)
The matrix of Ritz vectors 𝑌5 is
[
−0.98779 −0.084856 0.049886 0.017056 −1.1424 × 10−17
−0.14188 0.83594 −0.21957 −0.065468 −7.2361 × 10−18
0.063480 0.54001 0.42660 0.089943 8.0207× 10−18
−0.010200 −0.048519 0.87582 −0.043531 −5.1980 × 10−18
−0.0014168 −0.0055339 0.015585 −0.99269 −1.6128 × 10−17
4.3570× 10−4
0.0011138 −0.0013409 4.3570 × 10−4
1.0000 ]
26
Evidently, the last column of 𝑌 5 is an excellent eigenvector approximation.
Noticing however that all Ritz vectors have a relatively large (~10−4) last
component. This, gives rise to quite large off-diagonal elements of 𝑌5
𝑇
𝑌5 − 𝐼5 =
[
2.220 × 10−16
−1.587 × 10−16
−3.430 × 10−16
−7.890 × 10−9
−7.780 × 10−4
−1.587 × 10−16
−1.110× 10−16
1.283 × 10−12
−1.764 × 10−8
−1.740 × 10−3
−3.430 × 10−12
1.283 × 10−12
0 5.6800 × 10−17
5.6800 × 10−8
−7.890 × 10−9
−1.764 × 10−8
5.6800 × 10−17
−2.220 × 10−16
4.187 × 10−16
−7.780 × 10−4
−1.740 × 10−3
−6.027 × 10−8
4.187 × 10−16
−1.110 × 10−16]
Similarly as with 𝑘 = 4, the first four Ritz vectors satisfy the orthogonality
condition very well. But they are not perpendicular to the last Ritz vector.
𝑘 = 6, α6 = 99998.06336906151, β6 = 396.6622037049789
The diagonal of the eigenvalue matrix is
diag(Ө6) =
[
0.02483483859326367
1.273835519171372
2.726145019098232
3.975161765440400
9.999842654044850 × 104
1.000000000000000 × 105]
The eigenvalues are not the exact ones, as was to be expected. We even have two
copies of the largest eigenvalue of 𝐴 in Ө6! The last row of β6 𝑆6 is
β6S6 = (−0.20603, 0.49322, 0.49323, 0.20604, 396.66,−8.6152×10−15)
Although theory predicts that β6 = 0. The sixth entry of β6 𝑆6 is very small, which
means that the sixth Ritz value and the correspondingRitz vector are good
approximations to an eigen-pair of 𝐴. In fact, eigenvalue and eigenvector are
accurate to machine precision.
27
β5 𝑆6,5 does not predict the fifth column of 𝑌6 to be a good eigenvector
approximation, although the angle between the fifth and sixth column of 𝑌6 is less
than 10−3. The last two columns of 𝑌6 are
[
−4.7409× 10−4
−3.3578× 10−17
1.8964× 10−3
−5.3735× 10−17
−2.8447× 10−3
−7.0931× 10−17
1.8965× 10−3
−6.7074× 10−17
−4.7414× 10−3
−4.9289× 10−17
−0.99999 1.0000 ]
As β6 ≠ 0, one could continue the Lanczos process and compute ever larger tri-
diagonal matrices. If one proceeds in this way one obtains multiple copies of
certain eigenvalues. The correspondingvalues βk 𝑆 𝑘𝑖
(𝑘)
will be tiny. The
corresponding Ritz vectors will be ‘almost’ linearly dependent.
From this numerical example we see that the problem of the Lanczos
algorithm consists in the loss of orthogonality among Ritz vectors which is a
consequenceof the loss of orthogonality among Lanczos vectors, since 𝑌𝑘 =
𝑄 𝑘 𝑆 𝑘 and 𝑆 𝑘 is unitary (up to round off).
28
3.2 POWER METHOD FOR FINDING/APPROXIMATINGEIGENVALUE
The problem we are considering here is this: given a 𝑛 × 𝑛 real matrix, we
find numerical approximations to the eigenvalues and eigenvectors of 𝐴. This
numerical eigen-problem is difficult to solve in general. In many applications, 𝐴
may be symmetric or tri-diagonal or have some other special form or property.
Consequently, most numerical methods are designed for special matrices. As
presented here, the method can be used only to find the eigenvalue of A that is
largest in absolute value—this eigenvalue is called the dominant eigenvalue of A.
Although this restriction may seem severe, dominant eigenvalues are of primary
interest in many physical applications.
Not every matrix has a dominant eigenvalue. For instance, the matrix
𝐴 = [
1 0
0 −1
] with eigenvalues of 𝜆1 = 1 and 𝜆2 = −1 has no
dominant eigenvalue. Similarly, the matrix 𝐴=[
2 0 0
0 2 1
0 0 1
]with eigenvalues of 𝜆1=
2, and 𝜆2= 2 and 𝜆3= 1 has no dominant eigenvalue.
3.2.1 Example 1: let 𝐴 have eigenvalues 2, 5, 0, -7 and -2. Does 𝐴 have a
dominant eigenvalue? If so, which is dominant?
Solution
Since |-7| > |5| > |2| > |-2| > |0|
A has a dominant eigenvalue of 𝜆1= -7
29
The PowerMethod
Like the Jacobi and Gauss-Seidel methods, the power method for approximating
eigenvalues is iterative. First assume that the matrix A has a dominant eigenvalue
with correspondingdominant eigenvectors. Then choosean initial approximation
𝑋0 of one of the dominant eigenvectors of A. This initial approximation must be a
non-zero vector in 𝑅 𝑛
. Finally, form the sequence given by
x1 = Ax0
x2 = Ax1 = A(Ax0) = A2x0
x3 = Ax2 = A(A2x0) =A3x0
.
.
.
xk =Axk-1 =A(Ak-1x0) =Akx0
For large powers of k, and by properly scaling this sequence, you will see that you
obtain a good approximation of the dominant eigenvector of A. This procedure is
illustrated in Example 2.
Example 2:
Complete six iterations of the power method to approximate a dominant
eigenvector of 𝐴 =[
2 −12
1 5
]with 𝑋0 = [
1
1
]
30
SOLUTION
Beginning with an initial non-zero approximation of 𝑋0 = [
1
1
]
Then, obtaining the following approximations
Iterations scaledapproximations
X1 = Ax0 = [
2 −12
1 −5
] [
1
1
] =[
−10
−4
] -4 [
2.50
1
]
X2 = Ax1 = [
2 −12
1 −5
][
−10
−4
]= [
28
10
] 10 [
2.80
1.00
]
X3 = Ax2 = [
2 −12
1 −5
][
28
10
] = [
−64
−22
] -22 [
2.91
1.00
]
X4 = Ax3 = [
2 −12
1 −5
][
−64
−22
] =[
136
40
] 46 [
2.96
1.00
]
X5 = Ax4 = [
2 −12
1 −5
][
136
40
]= [
−280
−94
] -94[
2.98
1.00
]
X6 = Ax5 = [
2 −12
1 −5
][
−280
−94
] = [
568
190
] 190[
2.99
1.00
]
The approximations in this example appear to be approaching scalar multiples of
[
3
1
]. Thus this is the dominant eigenvector of the matrix A=[
2 −12
1 −5
]
31
3.3 QR METHOD FOR FINDING EIGENVALUES
The basis of the 𝑄𝑅 method for calculating the eigenvalues of 𝐴 is the fact
that an 𝑛 × 𝑛 matrix can be written as;
𝐴 = 𝑄𝑅 (𝑄𝑅 factorization of 𝐴)
Where 𝑄 is orthogonal matrix and 𝑅 is upper triangular matrix. The method is
efficient for the calculation of all eigenvalues of a matrix. The construction of 𝑄
and 𝑅 proceeds as follows. Matrices 𝑃1 , 𝑃2,…, 𝑃𝑛−1are constructed so that
𝑃𝑛−1, 𝑃𝑛−2,…, 𝑃2 𝑃1 𝐴 = 𝑅 is upper triangular. These matrices can be chosen as
orthogonal matrices and are called householder matrices. Since the 𝑃′𝑠
are
orthogonal, the stability of the eigenvalue problem will not b worsened.
We let 𝑄 𝑇
= 𝑃𝑛−1 𝑃𝑛−2 … 𝑃2 𝑃1
Then we have 𝑄 𝑇
𝐴 = 𝑅 and 𝑄𝑄 𝑇
𝐴 = 𝑄𝑅. 𝐼𝐴 = 𝑄𝑅. 𝐴 = 𝑄𝑅
We discuss the construction of the 𝑃′𝑠
presently. First, we state how the 𝑄𝑅
factorization of 𝐴 is used to find eigenvectors of 𝐴. We discuss sequences of
matrices 𝐴1, 𝐴2,…, 𝐴 𝑚, … , 𝑄1, 𝑄2, …, 𝑄 𝑚,…, and 𝑅1, 𝑅2,…, 𝑅 𝑚…by this process:
STEP 1: set 𝐴1 = 𝐴1 𝑄1 = 𝑄, 𝑎𝑛𝑑 𝑅1 = 𝑅
STEP 2: set 𝐴2 = 𝑅1 𝑄1; then factor 𝐴2 as 𝐴2 = 𝑄2 𝑅2 (𝑄𝑅 factorization of 𝐴2)
STEP 3: set 𝐴3 = 𝑅2 𝑄2; then factor 𝐴3 as 𝐴3 = 𝑄3 𝑅3(𝑄𝑅 factorization of 𝐴3)
STEP 4:set 𝐴 𝑚= 𝑅 𝑚−1 𝑄 𝑚−1;then factor 𝐴 𝑚as 𝐴 𝑚 = 𝑄 𝑚 𝑅 𝑚(𝑄𝑅 factorization 𝐴 𝑚)
32
At the kth step, a matrix 𝐴 𝑘is found, first be using 𝑄 𝑘−1and 𝑅 𝑘−1from the
previous step; second, 𝐴 𝑘is factored into 𝑄 𝑘 𝑅 𝑘. Thus a QR factorization takes
place at each step. Matrix 𝐴 𝑚will tend toward a singular or nearly triangular form.
Thus the eigenvalues of 𝐴 𝑚will be easy to calculate.
3.3.1 Example: Use the 𝑄𝑅 method to calculate the eigenvectors of 𝐴 =
[
5 −2
−2 8
]. (The true eigenvalues are 4 and 9)
SOLUTION
We use the formulas for the 2 × 2 case each time we need a 𝑄𝑅 factorization. The
calculated matrices are listed below (rounded), after step 3, only 𝐴 𝑚is listed.
Step 1: 𝐴1 = 𝐴 = [
5 −2
−2 8
] , 𝑄1 = 𝑄 = [
0.928 0.371
0.371 0.928
],
𝑅1 = 𝑅 = [
−5.385 4.828
0 6.685
]
Step 2: 𝐴2 = 𝑅1 𝑄1 = [
6.793 −2.482
−2.482 6.207
], 𝑄2 = [
−0.979 0.201
−0.343 0.939
], 𝑅2 =
[
−7.233 −4.462
0 4.977
]
Step 3: 𝐴3 = 𝑅2 𝑄2 = [
8.324 −1.708
−1.708 4.675
], 𝑄3 = [
−0.979 0.201
0.201 0.979
]
Step 4: 𝐴4 = [
8.850 0.852
0.852 4.149
]
33
Step 5: 𝐴5 = [
8.969 −0.387
−0.387 4.030
]
Step 6: 𝐴6 = [
8.993 0.173
0.173 4.006
]
.
.
.
Step 12: 𝐴12 = [
8.9999996 0.00134
0.00134 4.000018
]
Approximate eigenvalues are on the diagonal i.e. λ1 = 9, λ2 = 4
NOTE:In this example, 𝐴 𝑚 appeared to be converging to a diagonal matrix; of
course, the diagonal elements are the approximate eigenvalues. This illustrates the
results.
Algorithm 2.0 Basic 𝑄𝑅 Algorithm
1. Let 𝐴 ∈ Cn×n. This algorithm computes an upper triangular matrix 𝑇 and a
unitary matrix 𝑈 such that A = 𝑈𝑇𝑈* is the Schur decomposition of 𝐴.
2. Set 𝐴0 = 𝐴 and 𝑈0 = 𝐼.
3. for k = 1, 2, . . . do
4. 𝐴 𝑘−1 = 𝑄 𝑘 𝑅 𝑘; /* 𝑄𝑅 factorization */
5. 𝐴 𝑘 = 𝑅 𝑘 𝑄 𝑘;
6. 𝑈𝑘 = 𝑈𝑘−1 𝑄 𝑘; /* Update transformation matrix */
7. end for
8. Set 𝑇 = 𝐴∞ and 𝑈= 𝑈∞
34
From the algorithm, we see that;
Ak = Qk*Ak-1Qk = Qk*Qk-1*Ak-2Qk-1Qk = …=Qk*…Q1*A0Q1…Qk
𝑈 𝑘
Numerical Implementation of 𝑸𝑹 𝑨𝒍𝒈𝒐𝒓𝒊𝒕𝒉𝒎:
We conductMATLAB experiments to illustrate the convergence rate given
as |𝑎𝑖𝑗
𝑘
| =б(|
𝜆 𝑖
𝜆 𝑗
|k), 𝑖 > 𝑗. To that end, we constructa random 4 × 4 matrix with
eigenvalues 1, 2, 3, and 4. In this implementation of this algorithm, we seek to find
a matrix structure that is preserved by the 𝑄𝑅algorithm and that lowers the costof
a single iteration step, then, we want to improve on the convergence property of
the algorithm.
𝐷= diag ([4 3 2 1]);
rand (’seed’,0);
format short e
S= rand (4); S = (S - .5)*2;
A = S*D/S % A0 = A = S*D*S^{-1}
for i=1:20,
[Q , R] = qr (A); A = R*Q
end
This yields the matrix sequence
35
A0 = [-4.4529e-01 4.9063e+00 -8.7871e-01 6.3036e+00]
[-6.3941e+00 1.3354e+01 1.6668e+00 1.1945e+01]
[3.6842e+00 -6.6617e+00 -6.0021e-02 -7.0043e+00]
[3.1209e+00 -5.2052e+00 -1.4130e+00 -2.8484e+00]
A1 = [5.9284e+00 1.6107e+00 9.3153e-01 -2.2056e+01]
[-1.5294e+00 1.8630e+00 2.0428e+00 6.5900e+00]
[1.9850e-01 2.5660e-01 1.7088e+00 1.2184e+00]
[2.4815e-01 1.5265e-01 2.6924e-01 4.9975e-01]
A2 = [4.7396e+00 1.4907e+00 -2.1236e+00 2.3126e+01]
[-4.3101e-01 2.4307e+00 2.2544e+00 -8.2867e-01]
[1.2803e-01 2.4287e-01 1.6398e+00 -1.8290e+00]
[-4.8467e-02 -5.8164e-02 -1.0994e-01 1.1899e+00]
A3 = [4.3289e+00 1.0890e+00 -3.9478e+00 -2.2903e+01]
[-1.8396e-00 2.7053e+00 1.9060e+00 -1.2062e+00]
[6.7951e-02 1.7100e-01 1.6852e+00 2.5267e+00]
[1.3063e-02 2.2630e-02 7.9186e-02 1.2805e+00]
A4 = [4.1561e+00 7.6418e-01 -5.1996e+00 2.2582e+01]
[-9.4175e-02 2.8361e+00 1.5788e+00 2.0983e+00]
[3.5094e-02 1.1515e-01 1.7894e+00 -2.9819e+00]
[-3.6770e-03 -8.7212e-03 -5.7793e-02 1.2184e+00]
A5 = [4.0763e+00 5.2922e-01 -6.0126e+00 -2.2323e+01]
[-5.3950e-02 2.9035e+00 1.3379e+00 -2.5358e+00]
[1.7929e-02 7.7393e-02 1.8830e+00 3.2484e+00]
[1.0063e-03 3.2290e-03 3.7175e-02 1.1372e+00]
36
A6 = [4.0378e+00 3.6496e-01 -6.4924e+00 2.2149e+01]
[-3.3454e-02 2.9408e+00 1.1769e+00 2.7694e+00]
[9.1029e-03 5.2173e-02 1.9441e+00 -3.4025e+00]
[-2.6599e-04 -1.1503e-03 -2.1396e-02 1.0773e+00]
A7 = [4.0189e+00 2.5201e-01 -6.7556e+00 -2.2045e+01]
[-2.1974e-02 2.9627e+00 1.0736e+00 -2.9048e+00]
[4.6025e-03 3.5200e-02 1.9773e+00 3.4935e+00]
[6.8584e-05 3.9885e-04 1.1481e-02 1.0411e+00]
A8 = [4.0095e+00 1.7516e-01 -6.8941e+00 2.1985e+01]
[-1.5044e-02 2.9761e+00 1.0076e+00 2.9898e+00]
[2.3199e-03 2.3720e-02 1.9932e+00 -3.5486e+00]
[-1.7427e-05 -1.3602e-04 -5.9304e-03 1.0212e+00]
A9 = [4.0048e+00 1.2329e-01 -6.9655e+00 -2.1951e+01]
[-1.0606e-02 2.9845e+00 9.6487e-01 -3.0469e+00]
[1.1666e-03 1.5951e-02 1.9999e+00 3.5827e+00]
[4.3933e-06 4.5944e-05 3.0054e-03 1.0108e+00]
A10 = [4.0024e+00 8.8499e-02 -7.0021e+00 2.1931e+01]
[-7.6291e-03 2.9899e+00 9.3652e-01 3.0873e+00]
[5.8564e-04 1.0704e-02 2.0023e+00 -3.6041e+00]
[-1.1030e-06 -1.5433e-05 -1.5097e-03 1.0054e+00]
A11 = [4.0013e+00 6.5271e-02 -7.0210e+00 -2.1920e+01]
[-5.5640e-03 2.9933e+00 9.1729e-01 -3.1169e+00]
[2.9364e-04 7.1703e-03 2.0027e+00 3.6177e+00]
[2.7633e-07 5.1681e-06 7.5547e-04 1.0027e+00]
37
A12 = [4.0007e+00 4.9824e-02 -7.0308e+00 2.1912e+01]
[-4.0958e-03 2.9956e+00 9.0396e-01 3.1390e+00]
[1.4710e-04 4.7964e-03 2.0024e+00 -3.6265e+00]
[-6.9154e-08 -1.7274e-06 -3.7751e-04 1.0014e+00]
A13 = [4.0003e+00 3.9586e-02 -7.0360e+00 -2.1908e+01]
[-3.0339e-03 2.9971e+00 8.9458e-01 -3.1558e+00]
[7.3645e-05 3.2052e-03 2.0019e+00 3.6322e+00]
[1.7298e-08 5.7677e-07 1.8857e-04 1.0007e+00]
A14 = [4.0002e+00 3.2819e-02 -7.0388e+00 2.1905e+01]
[-2.2566e-03 2.9981e+00 8.8788e-01 3.1686e+00]
[3.6855e-05 2.1402e-03 2.0014e+00 -3.6359e+00]
[-4.3255e-09 -1.9245e-07 -9.4197e-05 1.0003e+00]
A15 = [4.0001e+00 2.8358e-02 -7.0404e+00 -2.1902e+01]
[-1.6832e-03 2.9987e+00 8.8305e-01 -3.1784e+00]
[1.8438e-05 1.4284e-03 2.0010e+00 3.6383e+00]
[1.0815e-09 6.4192e-08 4.7062e-05 1.0002e+00]
A16 = [4.0001e+00 2.5426e-02 -7.0413e+00 2.1901e+01]
[-1.2577e-03 2.9991e+00 8.7953e-01 3.1859e+00]
[9.2228e-06 9.5295e-04 2.0007e+00 -3.6399e+00]
[-2.7039e-10 -2.1406e-08 -2.3517e-05 1.0001e+00]
A17 = [4.0000e+00 2.3503e-02 -7.0418e+00 -2.1900e+01]
[-9.4099e-04 2.9994e+00 8.7697e-01 -3.1917e+00]
[4.6126e-06 6.3562e-04 2.0005e+00 3.6409e+00]
[6.7600e-11 7.1371e-09 1.1754e-05 1.0000e+00]
38
A18 = [4.0000e+00 2.2246e-02 -7.0422e+00 2.1899e+01]
[-7.0459e-04 2.9996e+00 8.7508e-01 3.1960e+00]
[2.3067e-06 4.2388e-04 2.0003e+00 -3.6416e+00]
[-1.6900e-11 -2.3794e-09 -5.8750e-06 1.0000e+00]
A19 = [4.0000e+00 2.1427e-02 -7.0424e+00 -2.1898e+01]
[-5.2787e-04 2.9997e+00 8.7369e-01 -3.1994e+00]
[1.1535e-06 2.8265e-04 2.0002e+00 3.6421e+00]
[4.2251e-12 7.9321e-10 2.9369e-06 1.0000e+00]
A20 = [4.0000e+00 2.0896e-02 -7.0425e+00 2.1898e+01]
[-3.9562e-04 2.9998e+00 8.7266e-01 3.2019e+00]
[5.7679e-07 1.8846e-04 2.0002e+00 -3.6424e+00]
[-1.0563e-12 -2.6442e-10 -1.4682e-06 1.0000e+00]
Looking at the element-wise quotients of the last two matrices, one recognizes the
convergence rates claimed at the beginning.
A20/A19 = [1.0000 0.9752 1.0000 -1.0000]
[0.7495 1.0000 0.9988 -1.0008]
[0.5000 0.6668 1.0000 -1.0001]
[-0.2500 -0.3334 -0.4999 1.0000]
The elements above and on the diagonal are relatively stable. These little numerical
tests are intended to demonstrate that the convergence rates given as |𝑎𝑖𝑗
𝑘
| = б (|
𝜆 𝑖
𝜆 𝑗
|k),
𝑖 > 𝑗, are in fact seen in a real run of the basic 𝑄𝑅 algorithm. The conclusions we
can draw are the following:
39
The convergence of the algorithm is slow; in fact it can be arbitrarily slow if
eigenvalues are very close to each other. The algorithm is expensive; each iteration
step requires the computation of the 𝑄𝑅 factorization of a full n × n matrix, i.e.,
each single iteration step has a complexity O(n3). Even if we assume that the
number of steps is proportional to n, we would get an O(n4) complexity.
40
CHAPTER FOUR
4.0 APPLICATIONS OF EIGENVALUE PROBLEMS
The eigenvalue problem is a problem of considerable theoretical interests
and wide ranging application. For example, this problem is useful in solving
systems of differential equations, analyzing population growth model and
calculating power of matrices (in order to define the exponential matrix). Other
areas where eigenvalues and eigenvectors are applicable include: Physics,
Sociology, Biology, Economics and Statistics.
In this chapter, we discuss a few typical examples of applications of matrix
eigenvalue problems. These applications problems are incredibly large but we shall
focus on four applications which include: Elasticity Theory, Population Theory,
Mechanical Vibration and Biology.
4.1 APPLICATION OF EIGENVALUE PROBLEM TO ELASTICITY THEORY
An application: Stretching an elastic membrane
Supposethat we take a circular elastic membrane and stretch it. If we
assume that the elastic membrane is a disc of radius 1, then we may define
coordinate axes through the centre of the disk so that the boundary of the
membrane is defined by the circle 𝑋1
2 + 𝑋2
2 = 1. To model stretching the
41
membrane, we do the following: consider a point on the circle, 𝑃(𝑥1,𝑥2);
multiplying 𝑃 by a 2 × 2 matrix moves 𝑃 into the point 𝑄(𝑦1,𝑦2), given by
𝑌 = [
𝑦1
𝑦2
] = 𝐴 [
𝑥1
𝑥2
] = 𝐴𝑥
an elastic membrane in the 𝑋1 𝑋2 plane with boundary circle 𝑋1
2+ 𝑋2
2= 1. Fig ( 4.1)
is stretched so that a point 𝑃:(𝑥1,𝑥2); goes over into the point 𝑄:(𝑦1,𝑦2)
4.1.1 Problem 1
Let A = [
5 3
3 5
] ; 𝑌 = [
𝑦1
𝑦2
]= Ax = [
5 3
3 5
][
𝑥1
𝑥2
] ; (4.1)
Find the directions (principal directions), that is, the directions of the position
vector 𝑥 of 𝑃 for which the direction of the position vector 𝑦 of 𝑄 is the same or
exactly opposite. What shape does the boundary circle take under this
deformation?
SOLUTION
We are looking for vectors x such that 𝑦 = 𝜆𝑥. Since 𝑦 = 𝐴𝑥, this gives 𝐴𝑥 = 𝜆𝑥,
the equation of an eigenvalue problem. In components, 𝐴𝑥 = 𝜆𝑥 is
5x1 + 3x2 = λx1 OR (5-λ) x1 + 3x2 = 0 (4.2)
3x1 + 5x2 = λx2 3x1 + (5-λ) x2 = 0
The characteristic equation is |
5 − 𝜆 3
3 5 − 𝜆
| = (5-λ)2 – 9 = 0 (4.3)
42
Its solutions are λ1= 8 and λ2 = 2. These are the eigenvalues of our problem.
For λ1 = 8, our system becomes
-3x1 + 3x2 = 0
3x1 – 3x2 = 0 ; solution x2 = x1 where x1 is arbitrary. For instance x1 = x2 = 1
For λ2 = 2; our system ii) becomes
3x1 + 3x2 = 0
3x1 + 3x2 = 0; ⇒ x2 = -x1, i.e. x1 arbitrary, for instance x1 = 1, x2 = -1
We thus obtain as eigenvectors of 𝐴, for instance, 𝑉1 =( 1 1)T correspondingto
λ1 and 𝑉2 =(1 -1)T corresponding to λ2 ( or a non zero scalar multiple of these).
These values make 45o and 135o angles with the positive x1 direction. They give
the principal directions, the answer to our problem. The eigenvalues show that in
the principal directions the membrane is stretched by factors 8 and 2 respectively
(see fig 4.1).
Fig (4.1) Un-deformed and Deformed Membrane
43
Accordingly, if we choosethe principal directions as directions of a new
Cartesian u1u2 coordinate system, with the positive u1 axis in the first quadrant and
the positive u2 semi axis in the second quadrant of the x1x2 system, and if we set u1
= rcosθ, u2= rsinθ, then a boundary point of the un-stretched circular membrane has
coordinates cosθ, sinθ. Hence after the stretch, we have;
Z1= 8cosθ and Z2= 2sinθ.
Since cos2θ + sin2θ = 1, this shows that the deformed boundary is an ellipse (fig
4.1)
This implies that
Z1
2 + Z2
2 = 1 (4.4)
82 22
4.1.2 Problem 2: The Elastic Pendulum
Consider the pendulum in the figure below in that is connected to a hinge by
an idealized rod that is mass less and of fixed length L. Denote by θ the angel
between the rod and vertical. The force acting on the mass are gravity, which has
magnitude mg and direction (0, -1), tension in the rod, whose magnitude T(t)
automatically adjusts itself so that the distance between the mass and the hinge is
fixed at L and whose direction is always parallel to the rod and possiblysome
functional forces, like friction in the hinge and air resistance. Assume that total
frictional force has magnitude proportional to the speed of the mass and has
44
direction oppositeto the direction of motion of the mass. Find the solution(s) of
this:
With
𝑔
𝑙
= 2 and
𝛽
𝑚
= 2. The angle θ and angular speed 𝑆 obey
𝑑𝜃
𝑑𝑡
= s,
𝑑𝑠
𝑑𝑡
= - 2θ – 2𝑆.
SOLUTION
Noting that this pendulum obeys
𝑚𝑙
𝑑2 𝜃
𝑑𝑡2
= - 𝑀𝑔sinθ - βl
𝑑𝜃
𝑑𝑡
and that when θ is small, we can approximate sin θ ≈ θ and get the equation
𝑑2 𝜃
𝑑𝑡2
+
𝛽
𝑚
𝑑𝜃
𝑑𝑡
+
𝑔𝜃
𝑙
= 0
And s =
𝑑𝜃
𝑑𝑡
Then;
𝑑𝑠
𝑑𝑡
= -2θ – 2𝑆 or
𝑑
𝑑𝑡
[
𝜃
𝑠
] = [
0 1
−2 −2
] [
𝜃
𝑠
]
45
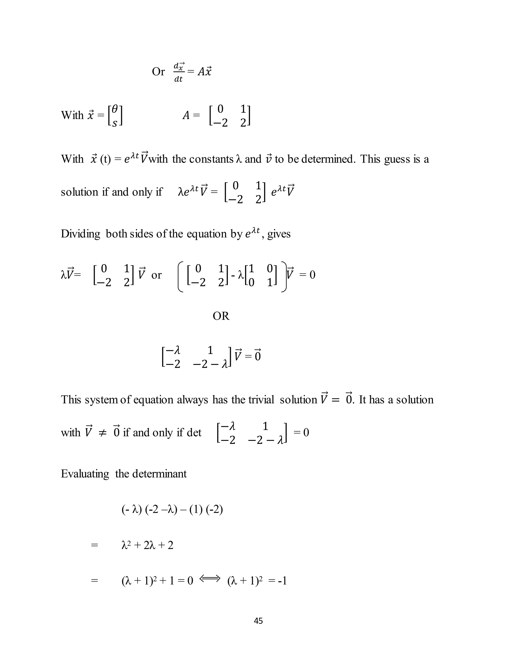
Or
𝑑 𝑥
→
𝑑𝑡
= 𝐴𝑥⃗
With 𝑥⃗ = [
𝜃
𝑠
] 𝐴 = [
0 1
−2 2
]
With 𝑥⃗ (t) = 𝑒 𝜆𝑡
𝑉⃗⃗with the constants λ and 𝑣⃗ to be determined. This guess is a
solution if and only if λ𝑒 𝜆𝑡
𝑉⃗⃗ = [
0 1
−2 2
] 𝑒 𝜆𝑡
𝑉⃗⃗
Dividing both sides of the equation by 𝑒 𝜆𝑡
, gives
λ𝑉⃗⃗= [
0 1
−2 2
] 𝑉⃗⃗ or [
0 1
−2 2
] - λ[
1 0
0 1
] 𝑉⃗⃗ = 0
OR
[
−𝜆 1
−2 −2 − 𝜆
] 𝑉⃗⃗ = 0⃗⃗
This system of equation always has the trivial solution 𝑉⃗⃗ = 0⃗⃗. It has a solution
with 𝑉⃗⃗ ≠ 0⃗⃗ if and only if det [
−𝜆 1
−2 −2 − 𝜆
] = 0
Evaluating the determinant
(- λ) (-2 –λ) – (1) (-2)
= λ2 + 2λ + 2
= (λ + 1)2 + 1 = 0 (λ + 1)2 = -1
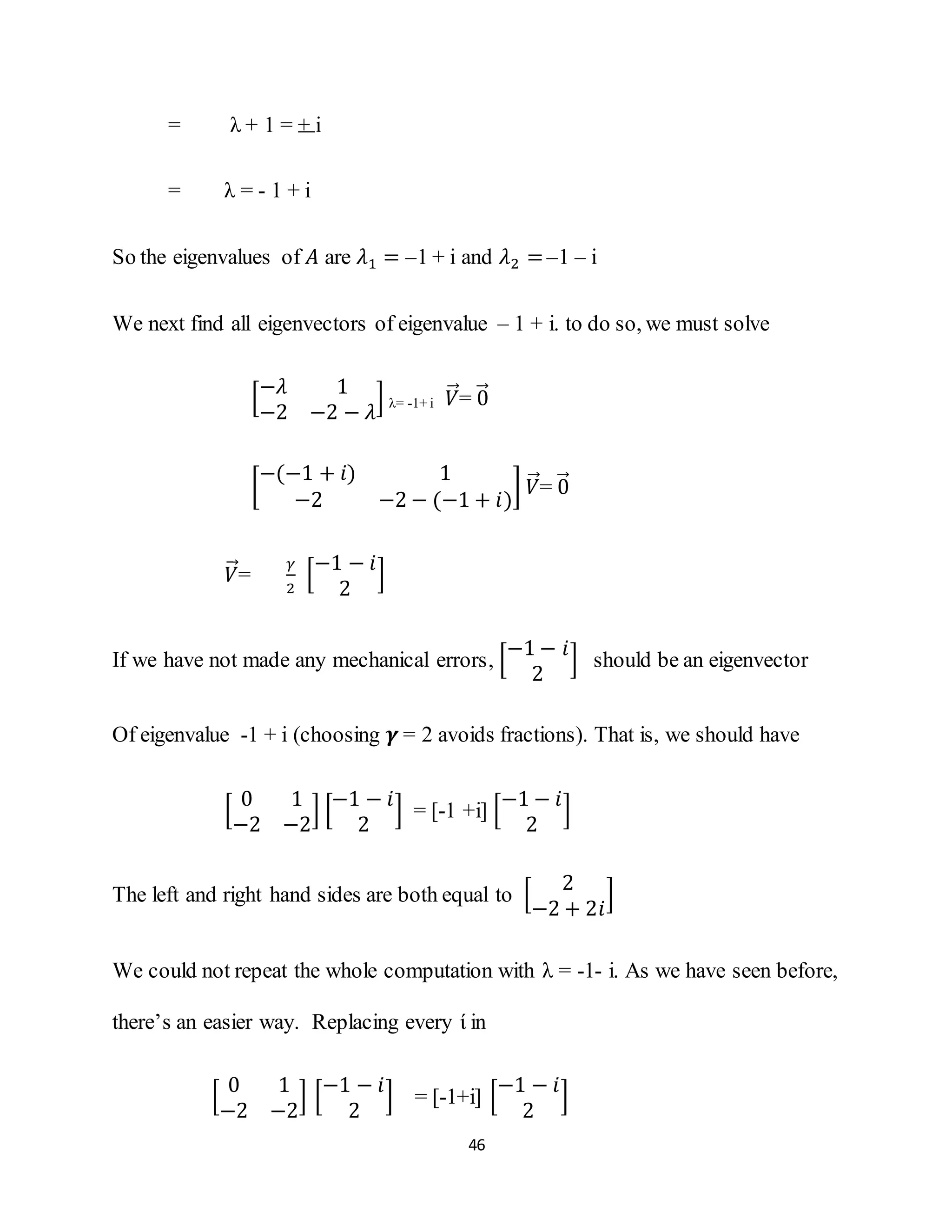
46
= λ + 1 = + i
= λ = - 1 + i
So the eigenvalues of 𝐴 are 𝜆1 = –1 + i and 𝜆2 =–1 – i
We next find all eigenvectors of eigenvalue – 1 + i. to do so, we must solve
[
−𝜆 1
−2 −2 − 𝜆
] λ= -1+ i 𝑉⃗⃗= 0⃗⃗
[
−(−1 + 𝑖) 1
−2 −2 − (−1 + 𝑖)
] 𝑉⃗⃗= 0⃗⃗
𝑉⃗⃗=
𝛾
2
[
−1 − 𝑖
2
]
If we have not made any mechanical errors, [
−1 − 𝑖
2
] should be an eigenvector
Of eigenvalue -1 + i (choosing 𝜸 = 2 avoids fractions). That is, we should have
[
0 1
−2 −2
] [
−1 − 𝑖
2
] = [-1 +i] [
−1 − 𝑖
2
]
The left and right hand sides are both equal to [
2
−2 + 2𝑖
]
We could not repeat the whole computation with λ = -1- i. As we have seen before,
there’s an easier way. Replacing every ί in
[
0 1
−2 −2
] [
−1 − 𝑖
2
] = [-1+i] [
−1 − 𝑖
2
]
47
by –𝑖̀. That is, take the complex conjugate
[
0 1
−2 −2
] [
−1 + 𝑖
2
] = [-1-i] [
−1 − 𝑖
2
]
This is a true equation both sides equal [
2
−2 − 𝑖
] and says that [
−1 − 𝑖
2
] is an
eigenvector of eigenvalue -1 - 𝑖̀.
We started this example looking for solution of
𝑑 𝑥
→
𝑑𝑡
= 𝐴𝑋⃗(t) of the form 𝑋⃗(t) =
𝑒 𝜆𝑡
𝑉⃗⃗ . we have found (again choosing 𝜸 = 2 so as to avoid fractions) that both give
solutions.
λ = -1+i, 𝑉⃗⃗= [
−1 − 𝑖
2
] ; λ = -1-i, 𝑉⃗⃗ = [
−1 + 𝑖
2
]
[
1 − 𝑖 1
−2 −1 − 𝑖
] 𝑉⃗⃗ = 0⃗⃗
If we do not made any mechanical errors, the second row must not be a multiple of
the first, despite the ί’s floating around. Applying Gaussian elimination as usual;
we have
(2) -
−2
1−𝑖̀
(1) [
1 − 𝑖 1
−2 −
−2
1−𝑖
(1 − 𝑖) −1 − 𝑖 −
−2
1−𝑖
] 𝑉⃗⃗ = 0⃗⃗
⇒ [
1 − 𝑖 1
0 −1 − 𝑖 −
−2
1−𝑖
] 𝑉⃗⃗= 0⃗⃗
48
Multiplying both numeration and denominator of
−2
1−𝑖̀
by the complex conjugate of
the denominator (which is obtained by replacing every ί in the denominator by – ί).
The new denominator will be real number.
i.e. [
1 − 𝑖 1
0 −1 − 𝑖 −
−2
1−𝑖
1+𝑖
1+𝑖
] 𝑉⃗⃗= 0⃗⃗⃗⃗
i.e. [
1 − 𝑖 1
0 −1 − 𝑖 −
−2(1+𝑖)
12−𝑖2
] 𝑉⃗⃗= 0⃗⃗⃗⃗ = [
1 − 𝑖 1
0 0
] 𝑉⃗⃗ = 0⃗⃗
And the second row vanishes as expected, backsolving
v2 = 𝜸1 arbitrary
v1 =
−1
1− 𝑖̀
v2 = -
1 + ί
(1−𝑖̀)(1+𝑖)
𝜸 = -
1+𝑖̀
2
𝜸
by linearity, for any valuess of c1 and c2,
𝑥⃗(t) = c1e (-1+ί)t [
−1 − 𝑖
2
] + c2 e(-1+ί)t [
−1 − 𝑖
2
]
⇒
𝑑 𝑥
→
𝑑𝑡
= [
0 1
−2 −2
] 𝑥⃗(t)
We shall see that there are no other solutions, noting that the solutions involve
exponentials with complex exponents. Avoiding complex exponential, we can
always convert this into sin’s and cos’s,byusing
49
eίt = cost+ ίsint
e-ίt = cost – ίsint
Substituting, we have; and collecting like terms;
(-1-ί)e(-1-ί) = (-1-ί) e-te-it = (-1-𝑖̀)e-t [cost+ ίsint]
= e-t [(-1- ί) cost+ (1- ί)sint]
2e (-1+ ί) t = 2e-teίt = 2e-t [cost+ ίsint] = e-t [2cost+ 2ίsint]
(-1+ί) e (-1-ί) t = (-1+ί) e-te-it = (-1+𝑖̀)e-t [cost- ίsint]
= e-t [(-1+ί) cost+ (-1+ί) sint] .
2e(-1+ ί)t = 2e-te-ίt = 2e-t [cost– ίsint] = e-t [2cost- 2ίsint]
In most applications, the matrix A contains only real entries. So just by taking
complex conjugates of both sides of A𝑣⃗=λ𝑣⃗ (recall that we take complex
conjugates by replacing every ί with – ί). We see that, if 𝑣⃗ is an eigenvector of
eigenvalue λ, then the complex conjugate of 𝑣⃗ is an eigenvector of eigenvalue 𝜆̀.
This is exactly what happened in this example. Our two eigenvalues 𝜆1 = – 1 + ί,
𝜆2 = -1- ί are complex conjugates of each other, as are the corresponding
eigenvectors [
−1 + 𝑖
2
] [
−1 + 𝑖
2
] . So our two solution,
50
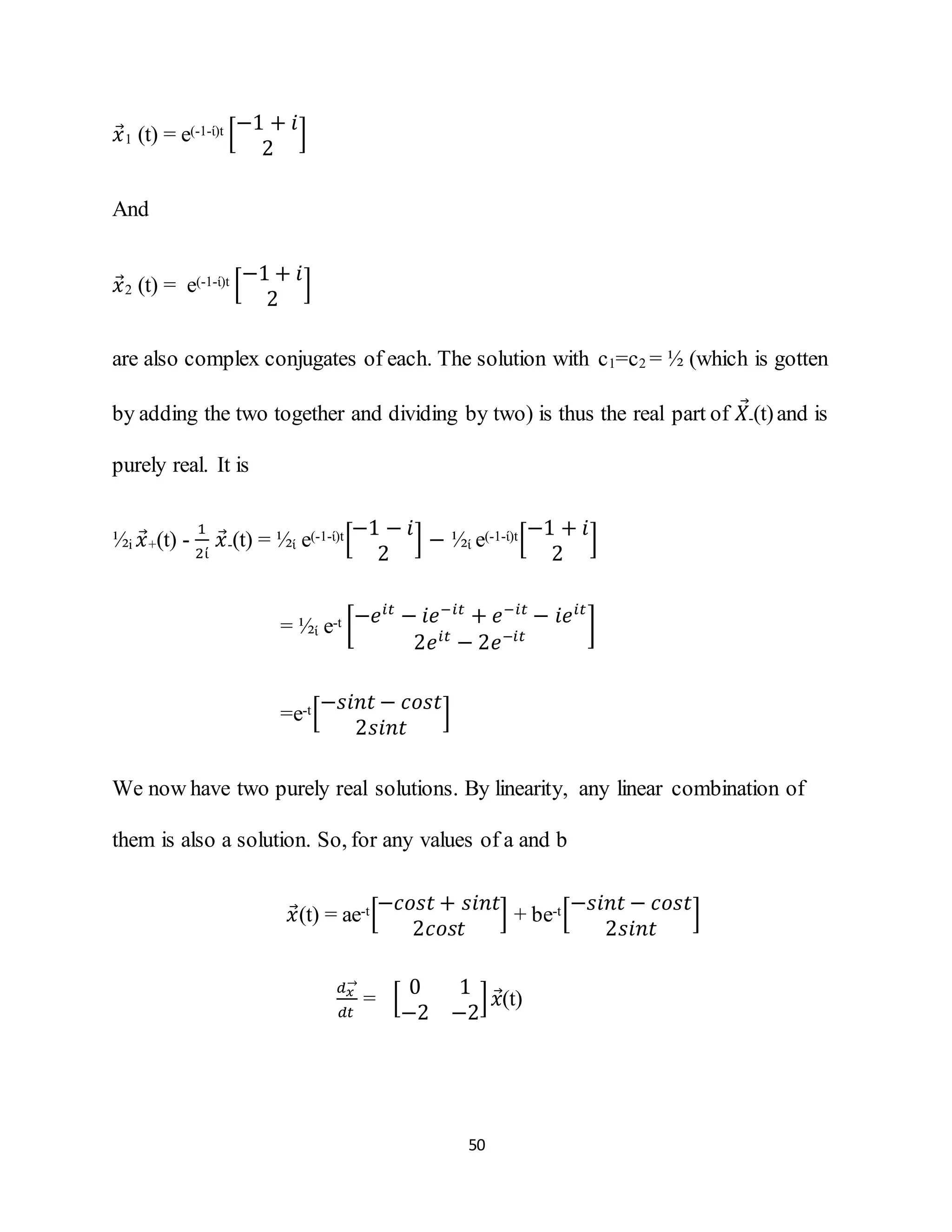
𝑥⃗1 (t) = e(-1-ί)t [
−1 + 𝑖
2
]
And
𝑥⃗2 (t) = e(-1-ί)t [
−1 + 𝑖
2
]
are also complex conjugates of each. The solution with c1=c2 = ½ (which is gotten
by adding the two together and dividing by two) is thus the real part of 𝑋⃗-(t)and is
purely real. It is
½i 𝑥⃗+(t) -
1
2ί
𝑥⃗-(t) = ½ί e(-1-ί)t[
−1 − 𝑖
2
] − ½ί e(-1-ί)t[
−1 + 𝑖
2
]
= ½ί e-t [−𝑒𝑖𝑡
− 𝑖𝑒−𝑖𝑡
+ 𝑒−𝑖𝑡
− 𝑖𝑒 𝑖𝑡
2𝑒 𝑖𝑡
− 2𝑒−𝑖𝑡
]
=e-t[
−𝑠𝑖𝑛𝑡 − 𝑐𝑜𝑠𝑡
2𝑠𝑖𝑛𝑡
]
We now have two purely real solutions. By linearity, any linear combination of
them is also a solution. So, for any values of a and b
𝑥⃗(t) = ae-t[
−𝑐𝑜𝑠𝑡 + 𝑠𝑖𝑛𝑡
2𝑐𝑜𝑠𝑡
] + be-t[
−𝑠𝑖𝑛𝑡 − 𝑐𝑜𝑠𝑡
2𝑠𝑖𝑛𝑡
]
𝑑 𝑥
→
𝑑𝑡
= [
0 1
−2 −2
] 𝑥⃗(t)
51
We have not constructed any solutions that we did not have before. We have really
just renamed the arbitrary constants with c1=
𝑎
2
+
𝑏
2ί
and C2 =
𝑎
2
+
𝑏
2ί
Where (a,b) are real and (c1,c2)are complex.
52
4.2 APPLICATION OF EIGENVALUE PROBLEM IN POPULATION THEORY
In this section, we discuss how one can use matrix theory and eigenvalues to
describe the way the population structure varies over time.
Difference equations show up all over the place in mathematics and science,
but one place they are used is for insurance calculations. A wealth insurance
company works from probabilities; in a given year, they need to know how many
people are healthy (so they can plan the right amount of money for preventative
care), how many people are sick (so they can plan for more money to stop paying
bills). An insurance company doesn’thave an infinite amount of money, so they
need to have at least a tough idea of where to allocate their money in a given year.
4.2.1 Problem 3
Supposewe have a population of initially 200 healthy people, but a serious plague
hits. People can be categorized as healthy, sick, or dead. Because of the plague,
each year, 60% of the healthy people get sick, only 30% stay healthy and 10% of
the healthy people die. We also know this plague is difficult to cure, so each year
60% of the sick die, while only 20% become healthy and 20% remain sick.
Assuming all of the dead people stay dead, to the nearest person, determine how
many people are healthy, sick and dead after k years. How many years will it take
until only 10% (20% of the initial 200 people) of the population is still alive?
53
SOLUTION
We begin by setting up the variables and equations. Let x1(k) be the number of
healthy people after k years, x2(k) be the number of sick people, and x3(k) be the
number of dead people.
Then, the information given in the problem tells us that
X1 (k+1) = 0.3x1(k) + 0.2x2(k)
X2(k+1) = 0.6x1(k) + 0.2x2(k)
X3 (k +1) = 0.1x1(k) + 0.6x2(k) + x3 (k)
So if xk = [
𝑥1𝑘
𝑥2𝑘
𝑥3𝑘
]
This problem is asking us to solve the equation xk = Axk-1
Where A = [
0.3 0.2 0
0.6 0.2 0
0.1 0.6 1
]
To do this, we first find the eigenvalues and eigenvectors of A, which are
λ1 = -0.1, u1 = [
1
−2
1
]
54
λ2 = 0.6, u2 = [
−2
−3
−5
]
λ3 = 1, u3 = [
0
0
1
]
Then given any initial vector x0, we know
xk= c1λ1
ku1 + c2λ2
ku2 + c3λ3
ku3
Where c1, c2 and c3 are the co-ordinates of x0 in the basis u1, u2, u3
But, here we have x0 = [
200
0
0
]
And we can write this in terms of the basis as
X0 =
600
7
u1 -
400
7
u2 + 200 u3
So at any time k,
xk =
600
7
(-1.0)k [
1
−2
1
] −
400
7
(0.6)k [
−2
−3
5
] + 200(1)k [
0
0
1
]
To figure out how long it will take for only 10% of the population to still be alive,
we just plug in the first few values of k. Rounded to the nearest person, we find
that
55
X0 = [
200
0
0
] X4 = [
15
122
163
]
X1 = [
60
120
20
] X5 = [
9
13
178
]
X2 = [
42
60
98
] X6 = [
9
8
87
]
X3 = [
25
37
138
]
So, after 6 years, only 13 (less than 10%) of the initial 200 people will still be
alive.
4.2.2 Problem 4: let the oldest age attained by females in some animal population
be 9 years. Divide the population into three age classes of 3 years each. Let the
“Leslie matrix’’ be
L=(Ijk) = [
0 2.3 0.4
0.6 0 0
0 0.3 1
]
Where Ijk is the average number of daughters born to a single female during the
time she is in age class k, and Iϳ,j-1 (𝑗 = 2.3) is the fraction of females in age class
(𝑗-1) that will survive and pass into class j.
56
a) What is the number of females in each class after 3, 6, 9 years if each class
initially consists of 400 females?
b) For what initial distribution will the number of females in each class change
by the same proportion? What is this rate of change?
Solution
A). Initially, the number of females i.e x(0)
T =(400 400 400).
i. After 3 years
X(3) = Lx(0) = [
0 2.3 0.4
0.6 0 0
0 0.3 1
][
400
400
400
]
= [
1080
240
120
]
ii. Similarly, after 6 years, the number of females in each class is given by
X(6)
T = (Lx(3))T
= [
0 2.3 0.4
0.6 0 0
0 0.3 1
] [
1080
240
120
]
= [600 648 72]
57
iii. After 9 years, the number of females in each class is given by
X(9)
T = (Lx(6))T = [
0 2.3 0.4
0.6 0 0
0 0.3 1
] [
600
648
72
]
= [1519.2 360 194.4]
The answers obtained shows that the initial population of the female continues to
increase at each stage after 3 years respectively. And also the answer shows that
the population cannot continue to increase but at some point in some classes, the
population decreases.
B). proportional change means that we are looking for a distribution vector x such
that Lx = λx, where λ is the rate of change (growth if λ > 1, decreaseif λ < 1). The
characteristic equation is
det(L – λI) = -λ3 – 0.6 (-2-3λ -0.3(0.4))
-λ3 + 1.38λ + 0.072 = 0
A positive root is found to be λ (1.2) (By Newton’s method). A corresponding
eigenvector x can be determined from the characteristic matrix
(A – 1.2I) = [
−1.2 2.3 0.4
0.6 −1.2 0
0 0.3 −1.2
] Say x = [
1
0.5
0.125
]
Where x3 = 0.125 is chosen
58
X2 =0.5; then follows from
0.3x2 – 1.2x3 = 0 and x1 =1 from -1.2x1 + 2.3x2 + 0.4x3=0. To get an initial
population of 1200 as before, we multiply x by
1200
(1+0.5+0.125)
= 738
Thus, proportional growth of the numbers of females, in the three classes will
occurif the initial values are 738, 369, and 92 in classes 1, 2, 3 respectively. The
growth rate will be 1.2 per 3 years.
4.3 APPLICATION OF EIGENVALUE PROBLEM IN MECHANICAL VIBRATION
Vibration is the motion of a particle or a body(system) of connected bodies
displaced from a position of equilibrium. Most vibrations are undesirable in
machines and structures and because they produceincreased stresses, energy
losses, cause added wear, increase bearing loads, induce fatigue, create passage
discomfort in vehicles and absorb energy from the system. Rotating machine parts
needs careful balancing in order to prevent damage from vibrations.
Vibration can be classified into three categories; free, forced, and self-excited. Free
vibration of a system is vibration that occurs in the absence of external force. An
external force that acts on the system causes forced vibrations. In this case, the
exciting force continuously supplies energy to the system. Forcevibrations may be
59
either deterministic or random while self excited vibrations are periodic and
deterministic oscillations.
4.3.1Anapplication: vibrating system of two masses ontwo springs.
Mass –spring systems involving several masses and springs can be treated as
eigen value problems. For instance, the mechanical system in fig (4.2) is governed
by the system of ODE’s.
Problem 5:
y1
11 =-5y1 + 2y2
y2
11 = 2y1 -2y2 (4.5)
Where y1 and y2 are the displacements of the masses from rest, as shown in the
figure, and primes denote derivatives with respect to time (t). In vector form, this
becomes;
Fig (4.2) masses on springs
60
𝑌̈ = [
𝑦̈1
𝑦̈2
] =𝐴𝑦 = [
−5 2
2 −2
][
𝑦1
𝑦2
] (4.6)
From (4.6) we try a vector solution of the form
y = xewt (4.7)
This is suggested by a mechanical system of a single mass on a spring, whose
motion is given by exponential functions (and sines and cosines). Substitution into
(ii) gives
𝑊2 𝑥𝑒 𝑤𝑡
= 𝐴𝑥𝑒 𝑤𝑡
Dividing by 𝑒 𝑤𝑡
and writing 𝑤2 = λ, we see what our mechanical system leads to
the eigenvalue problem.
𝐴𝑥 = 𝜆𝑥 (4.8)
Where λ = 𝑤2. From this where A= [
−5 2
2 −2
] , we see that A has the
eigenvalues λ1= -1 and λ2= - 6. Consequently, 𝑤 = √-1 = ± ί and √-6 =±i√-6,
respectively, correspondingeigenvectors are
X1 = [
1
2
] and X2 = [
2
−1
] (4.9)
From equation (4.7) we thus obtain the four complex solutions (second orderlinear
ODE’s)
61
X1e+it = x1 (cost± isint),
X2e+i√6t = x2(cos√6t ± isin√6t)
by addition and subtraction, we get the four real solutions x1cost, x1sint, x2cos√6t,
x2sin√6t.
A general solution is obtained by taking the linear combination of these,
y = x1(a1cost + b1sint) + x2 (a2cos√6t + b2sin√6t) with arbitrary constants a1, b1, a2,
b2 (to which values can be assigned by prescribing initial displacement and initial
velocity of each of the two masses). By equation (v), the components of y are
y1= a1cost+ b1sint +2a2cos√6t+ 2b2sin√6t
y2 = 2a1cost + 2b1sint – a2cos√6t – b2sin√6t
These functions describe harmonic oscillations of the two masses. Physically, this
had to be expressed because we have neglected damping.
62
4.4 APPLICATION OF EIGENVALUE PROBLEM IN BIOLOGY
In this section, we shall see how one can use matrix theory and eigenvalues
to describe the population structures (stages or life cycle) of creatures over time.
We will use a real life example (biological model) to explain and introduce
concepts related to biology as been stated by (Caswell H.). we will show the Leslie
matrix to study eigenvalue problems of population structure.
A Leslie matrix uses age specific or stage (class) specific survival and fecundity
rates for a population to describe the way the population structure varies over time.
To begin, let’s supposethat the female members of a population are divided into
two stages, each one year in length. Females in the first stage produceno offspring
and have a 70% chance of surviving to the second stage. Females in the second
stage producean average of 3 female offspring per year, but are guaranteed to die
after one year in stage 2. Let’s also supposethat initially there are 100 females in
the second stage. What will the distribution of the female population look like in
year 1?
The number of stage 1 females in year 1 = (average number of offspring produced
by stage 1 females x 100) + (average number of offspring produced by stage 2
females x 100) = (0 x 100) + (3 x 100) = 300
63
Also, the number of stage 2 females in year 1= number of stage 1 females reaching
stage 2 + number of stage 2 females remaining in stage 2 = (probability of a stage 1
female reaching stage 2 x 100) + (probability of a stage 2 female remaining in
stage 2 x 100) = (0.7 x 100) + (0 x 100) = 3. So in year 1, there will be 300 females
in stage 1 and 70 females in stage 2.
What do we do if there are more than two stages for the female population? In
general, supposethe female members of a population are into n stages or classes.
Let Fi = The fecundity of a female in the ith class
i.e. Fi= The average number of offspring per female in the ith class.
Also, let pi= the probability that a female in the ith class will survive to become a
member of the (I + 1)st class. Let
( )
1
( )
( ) 2
( )
1
2
k
k
k
k
n
x population of stage females in year k
population of stage females in year kx
population of stage n females in year kx
   
   
       
       
x
MM .
64
Then
)(
11
)1(
)(
22
)1(
3
)(
11
)1(
2
)()(
11
)(
22
)(
11
)1(
1
k
nn
k
n
kk
kk
k
nn
k
nn
kkk
xPx
xPx
xPx
xFxFxFxFx












(4.10)
Then a Leslie matrix that describes the change in the population over time is given
by



















000
000
000
1
2
1
121
n
nn
P
P
P
FFFF
L





and we can represent the system of linear equations given in (4.10) by the matrix
system
.)()1( kk
Lxx 
Also note that .)0(1)1(
xx 
 kk
L (4.11)
4.4.1 Problem 6:
We’re interested in the long-term behavior of the population. So let’s see if we can
answer the following questions. To construct, take the Leslie matrix of the beetle
population as



















0
3
1
0
00
2
1
600
L .
65
1. Supposethat in a given year there are 60 beetles age 1 year, 60 beetles age 2
years and 60 beetles age 3 years. In other words, the population of beetles at time 0
is given by the vector .
60
60
60
)0(










x what will the age distribution of the beetles look
like in the following year? How about 5 years from now? How about 10 years from
now?
SOLUTION
The question we are most interested in answering is the following: What will
happen to a population in the long run? Will it grow? Will it die out? Will it get
younger? Older? The key to answering these questions is the eigenvalues and
eigenvectors of L.
To see this, let’s go back to our initial illustration, where the female members of a
population are divided into two stages, and each one year in length. Females in the
first stage produceno offspring and have a 70% chance of surviving to the second
stage. Females in the second stage producean average of 3 female offspring per
year, but are guaranteed to die after one year in stage 2. Let’s also supposethat
initially there are 100 females in the first stage and 100 females in the second
stage.
66
The Leslie matrix L for this population is given by 𝐿 = [
0 3
0.7 0
] We find the
eigenvalues of L to be 45.11.21  and .45.11.22  The corresponding
eigenvectors are 1 (2.07, 1)e and 2 ( 2.07, 1). e How will this help us determine the
long-run population?
First, we will express our initial population vector (0)
(100, 100)x as a linear
combination of the eigenvectors .and 21 ee This gives: .85.2515.74 21
)0(
eex  Then
)04.70,14.300(
)48.37,58.77()52.107,56.222(
)45.1(85.25)45.1(15.74
)(85.25)(15.74
)85.2515.74(
21
21
21
)0()1(





ee
ee
eexx
LL
LL
as we saw above. From (2) above we see that
   
 
 
( ) (0)
1 2
1 2
1 2
1 2
1
(74.15 25.85 )
74.15( ) 25.85( )
74.15 (1.45) 25.85 ( 1.45)
(1.45) 74.15 25.85 ( 1)
(1.45) 2.07(74.15 25.85 ( 1) ), 74.15 25.85 ( 1)
n n n
n n
n n
n n
n n n
L L
L L

  
 
  
   
      
x x e e
e e
e e
e e
and now we can see that as n gets larger, bothstages of our population will
continue to grow due to n
)45.1( Now let’s return to our beetle population example.
67
Recall that the Leslie matrix for our beetle population is given by



















0
3
1
0
00
2
1
600
L .
a) The age distribution of the beetles in year one is given by








































20
30
360
60
60
60
0
3
1
0
00
2
1
600
)0(
xL
The age distribution of the beetles five years from now is given by








































10
180
120
60
60
60
0
3
1
0
00
2
1
600
5
)0(5
xL
The age distribution of the beetles ten years from now is given by








































20
30
360
60
60
60
0
3
1
0
00
2
1
600
10
)0(10
xL
68
2: What will happen to the population of beetles in the long run? Will it die out?
Will it grow? Will the population get younger? Older? Let’s see if we can
determine what will happen.
a) Beginning with ,
60
60
60
)0(










x calculate ,, )2()1(
xx and .)3(
x what will happen if I
calculate ,, )5()4(
xx and )6(
x ? Can you now describethe long-term behavior of
the beetle population?
b) Find the eigenvalues 1 2 3, ,   for the matrix L. Also find the norm of each
eigenvalue. What do you see? Does this help explain the behavior you
observed in the previous problem?
SOLUTION
a)








































20
30
360
60
60
60
0
3
1
0
00
2
1
600
)0()1(
xx L








































10
180
120
60
60
60
0
3
1
0
00
2
1
600
2
)0(2)2(
xx L
We see the population cycling through








































60
60
60
60
60
60
0
3
1
0
00
2
1
600
3
)0(3)3(
xx L
69
,, )2()1(
xx and .)3(
x So ,, )2()5()1()4(
xxxx  and .)3()6(
xx  The population will cycle
through these three vectors forever.
b) The eigenvalues of L are
2
31
and,
2
31
,1 321
ii 


  (the cube roots
of 1). Each eigenvalue has norm 1. Since the 3rd power of each eigenvalue is
1, we observe the cyclic nature of the population.
Conclusion:From the question one and two, the conclusion is that as n increases
i.e. the number of years, the age distribution of the beetles will continue to increase
and decrease simultaneously at some certain points as n increases by 5years (n+5).
This example explains Leslie model.
4.4 2 Problem 7: An application to genetics in plants
In an experimental farm, a large population of flowers consists of all possible
genotypes (AA, Aa, and aa), with an initial frequency of a0=0.05, b0=0.90 and
c0=0.05 respectively. Supposethat the genotype controls flower colour, and that
each flower is fertilized by a flower of a genotype similar to its own (this is
equivalent o an “inbreeding” program). Find an expression for the genotype
distribution of the population after any number of generations. Use this equation to
predict the genotype distribution of the population after 4 generations, and predict
70
what the genotype distribution of the population will be after an infinite number of
generations.
SOLUTION
The genotype distribution of flower color in a population in the n-th generation can
be represented by a genotype vector 𝑋 𝑛 = [
𝑎 𝑛
𝑏 𝑛
𝑐 𝑛
]
where an , bn , and cn denote the portion of the population with genotype AA, Aa,
aa, respectively in the n-th generation.
If each plant is fertilized by a plant with a genotype similar to its own, then the
possible combinations of the genotypes of the parents are AA and AA, Aa and Aa,
and aa and aa. The probabilities of the possible genotypes of the offspring
corresponding to these combinations are shown in the table below.
TABLE (4.1)
GENOTYPES OF PARENTS
AA,AA Aa, Aa aa,aa
Genotype AA 1 0.25 0
Genotype Aa 0 0.5 0
Genotype aa 0 0.25 1
The following equations determine the frequency of each genotype as dependent
on the preceding generation. These arise directly from consideration of table (4.1).
71
an = an-1 + 0.25 bn-1
bn= 0.5bn-1 n = 1,2 (4.12)
cn= 0.25bn-1 + cn-1
Equations (4.12) can be written in matrix notation as:
xn = Mxn-1 , n = 1,2, … (4.13)
Where Xn = [
𝑎 𝑛
𝑏 𝑛
𝑐 𝑛
] , Xn-1= [
𝐴 𝑛−1
𝐵𝑛−1
𝐶𝑛−1
] and M = [
1 0.25 0
0 0.5 0
0 0.25 1
]
(Noting that this matrix corresponds exactly to the columns of Table (4.1).Our next
task is to diagonalize 𝑀 (that is, we seek an invertible matrix 𝑃 and a diagonal
matrix 𝐷 such that 𝑀 = 𝑃𝐷𝑃−1
). To perform this diagonalization, we need to find
the eigenvalues of 𝑀 and an eigenvector correspondingto each eigenvalue.
By computation using graphing calculator, the eigenvalues are λ1= 1 (multiplicity
of two), and λ2 = 0.5 (multiplicity of one).
The eigen-space corresponding to λ1= 1is x= [
𝑥1
𝑥2
𝑥3
] = x1[
1
0
0
] + x3[
0
0
1
]
A basis for this eigen-space is [
1
0
0
] and [
0
0
1
] . Therefore, the eigen-space
corresponding to λ1 = 1 is two dimensional. The eigen-space correspondingto λ2=
72
0.5 is x= [
𝑥1
𝑥2
𝑥3
] = x3[
1
−2
1
] . A basis for this eigen-space is [
1
−2
1
] .Therefore the
eigen-space correspondingto λ2 = 0.5 is one dimensional.
Since the sum of the dimensions of the distinct eigen-spaces equals 3 (and 𝑀 is
3 × 3), 𝑀 is indeed diagonalizable. That is we can find 3 linearly independent
eigenvectors of 𝑀. These 3 linearly independent eigenvectors of 𝑀 are the set of
vectors that were identified above to form the basis for each of the eigen-spaces
corresponding to each eigenvalue.
Therefore, D = [
𝜆1 0 0
0 𝜆2 0
0 0 𝜆3
] = [
1 0 0
0 1 0
0 0 0.5
]
P = [
1 0 1
0 0 −2
0 1 1
] and p-1 = [
1 0.5 0
0 0.5 1
0 −0.5 0
] (by graphing calculator)
Thus xn = [
𝑎 𝑛
𝑏 𝑛
𝑐 𝑛
] = 𝑃𝐷 𝑛
𝑃−1
𝑋0
[
1 0 1
0 0 −2
0 1 1
] [
1 0.5 0
0 0.5 1
0 −0.5 0
] [
𝑎0
𝑏0
𝑐0
] [
1 0 0
0 1 0
0 0 0.5 𝑛
]
= [
𝑎0
𝑏0
𝑐0
] [
1 0.5 − 0.5 𝑛+1
0
0 0.5 𝑛
0
0 0.5 − 0.5 𝑛+1
1
]
Finally,
𝑎 𝑛 = 𝑎0 + [0.5− 0.5 𝑛+1
]𝑏0
𝑏 𝑛 = 0.5 𝑛
𝑏0
𝑐 𝑛 = 𝑐0 + [0.5 − 0.5 𝑛+1
]𝑏0
n=1, 2, (4.14)
73
Equations (4.14) give us the genotype distribution of the population after any
number of generations of the breeding scheme. Notice that for n = 0, an = a0, bn=
b0, and cn= c0, as we expect.
After 4 generations (𝑛= 4), with a0 = 0.05, b0 = 0.90, and c0 = 0.05, we predict that:
a4 = 0.47, b4 = 0.06, and c4 = 0.47.
That is, originally (𝑛 = 0), in a population of 100 individuals, 5 would be AA, 90
would be Aa, and 5 would be aa. After 4 generations, 47 individuals would be AA,
only 6 would be Aa, and 47 would be aa. If we let n→, we find that: an = 0.5, bn
= 0, and cn = 0.5 .That is, in the limit as n→.
The breeding program in this problem is an extreme caseof “inbreeding”, which is
mating between individuals with similar genotypes. A well-known example of
inbreeding is mating between brothers and sisters. Such breeding schemes were
used by the royal families of England, in hopes of keeping “the royal lines pure.”
However, many genetic diseases are autosomal recessive, which means that the
disease is carried on the recessive allele. While AA and Aa genotypes will not
exhibit the recessive disease, aa will. As this example shows, inbreeding increases
the proportion of AA and aa genotypes in the population while reducing the
number of Aa genotypes. Therefore, under an inbreeding program, the proportion
of the population that is infected with the disease (aa) will increase.
74
CHAPTER FIVE
5.1 SUMMARY
The concept of numerical solution of eigenvalue problems has been studied
with diver’s algorithms and application in various areas of human life. The
application areas include Engineering, Biology, Statistics e.t.c. Chapters one and
two talk more about the general introduction of eigenvalues and the way in which
eigen values and eigen vectors are been obtained.
The power method and QR algorithm are two methods for numerical
calculation of eigenvalues of real matrices. The stability of a numerical eigenvalue
problem depends on the matrix under consideration. These two algorithms were
been discussed in chapter three with other algorithms in finding eigenvalues which
include the Arnoldi Lanczos method, Rayleigh iteration algorithm e.t.c. These are
algorithms in numerical analysis and one of the important problems is designing
efficient and stable algorithms for finding the eigenvalues of a matrix or for a
continuous linear operator (for example, the eigenvectors of the Hamiltonian of a
particular quantum system are the different energy eigen-states of that system and
their eigenvalues are the correspondingenergy levels). These eigenvalue
algorithms may also find eigenvectors. The MATLAB application was also used in
75
implementing some of these algorithms for better interpretation of the numerical
solution of the problem.
The application of this were been applied to different areas. The ideas of
eigenvalues and eigenvectors have many other areas in which they can be applied
but spacehas not permitted the presentation of all application of this, so we
considered the biological application in which the Leslie model is been verified on
the population structure of creatures and hoe their population can be controlled (an
example was been treated), also the application of eigenvalue problems in
mechanical vibration which deals with the mass spring system involving several
masses and springs. This mechanical system is governed by the system of ODE’s.
Therefore, from the observation of the eigenvalue algorithms, it is verified
that different model of algorithms is suitable to solve eigenvalue problems
regarding different applications.
5.2 CONCLUSION
The methods presented in this study is very efficient for finding a limited
number of solutions of eigenvalue problems of large order arising from different
numerical analysis of structures. The features of the eigenvalue algorithms are
summarized as follows;
76
a. Any number of multiple or close eigenvalues and their eigenvectors
can be found. The existence of the multiple or close eigenvalues can
be detected during the iterations by different methods used as
contained in chapter three.
b. The eigenvalues in any range of interest and their eigenvectors can be
found, if the approximations to the solution are known.
c. The numerical solution can be checked to determine if some
eigenvalues and corresponding eigenvectors of interest have been
missed, without extra operations.
d. Some numerical method has very high convergence rates for
eigenvalues and eigenvectors and some of these methods are more
economical than others as been discussed in chapter two, the
advantage being greater in large problems.
77
5.3 RECOMMENDATION
Since the application of eigenvalue problems in numerical solution has a
wide range of applications. It is recommended that it should be included in the
academic curriculum of the different fields of study obtainable in Nigerian
Universities. Also some of the software’s for solving eigenvalue problems such as
MATLAB, MAPLE, and JAVA should be taught as part of departmental courses
to ease some of the problems encountered when some of these software’s are to be
used in implementation and interpretation of project works.
78
5.4 REFERENCES
[1] Caswell, H. (1987). Matrix Population Models: Construction,
Analysis and Interpretation, 2nd Edition, Sinaeur associates, inc. publishers,
Sunderland, Massachusetts.
[2] Demmel, James W. (1997). Applied Numerical Linear Algebra.
SIAM, Philadelphia.
[3] Erwin Kreyszig. (2006). Advanced Engineering Mathematics: Some
Applications of Eigenvalue Problems (9th Edition). John Wiley & Son’s Inc.
New York.
[4] Evans, M. Harall II. (2001). Eigenvectors and Eigenvalues. Online at
http://www.methaphysics.com/calc/eigen.html
[5] Farr, William M. (2003). Modeling Inheritance of Genetic Traits.
http://www.math.wpi.edu/course_materials/MA2071A98/project/node/.html
[6] Francis, J.G.F.(1962). TheQR transformation-parts1 and 2, computer
and mathematics journal, vol 13, pp 265-271 and 332-345.
[7] Gohberg, I, Lancaster, P, Rodman, L. (2005). Indefinite linear algebra
and applications. Basel-Boston-Berlin.
[8] Golub, G.H.; Zhang, Z. and Zha,H. (2000). Large sparse symmetric
problems with homogenous linear constraints: The Lanczos process with
inner outer iterations, linear algebra and its application journal, vol 309, pp
289-306
[9] Hoffman, K. and Kunze, R. (1971). Characteristic Values in Linear
Algebra.2nd Edition, Prentice-Hall, Inc., Engle-Wood Cliffs, New Jersey.
[10] Kiusalaas, J. (2010). Numerical Methods in Engineering with Phyton,
Cambridge University press. New York
[11] Lay, D.C. (2000). Linear Algebra and its Application. Addison
Wesley, New York.
[12] Max Kurtz. (1991). Handbookin Applied Mathematics for Engineers
and Scientist. Mc Graw Hill, New York.
[13] Parlett, B.N. (2000). The QR Algorithm, Computing Science. SIAM,
Philadelphia.
79
[14] Reichel, L.; Calvetti, D.; Sorensen, D.C. (1994). An Implicitly
Restarted Lanczos Method for Large Symmetric Eigenvalue Problems.
Technical Report, Rice University.
[15] Rutishauser, H. (1958). Solution of EigenvalueProblems with the LR-
Transformation Journal. NBS appl. Math series 49, pp 47-81.
[16] Sleijpen, G.L.G. and Vander Vorst, H.A. (1996). A JacobiDavidson
Iteration Method for Linear Eigenvalue Problems. SIAM journal on Matrix
Analysis and Applications. Vol 13, No. 1, pp 357-385
[17] Timoshenko, S. (1936). Theory of Elastic Stability. McGraw-hill, New York.
[18] Wilkinson, J.H. (1965). The Algebraic Eigenvalue Problem. Oxford
University Press, Oxford, UK.
[19] Zheng, Ng and Jordan. (2002). Link Analysis, Eigenvectors and
Stability. University of California Press, Berkeley.

Numerical solution of eigenvalues and applications 2

  • 1.
    1 CHAPTER ONE 1.1 GENERALINTRODUCTION Thetheory and computation of eigenvalue problems are among the most successfuland widely used tools of applied mathematics and scientific computing. Matrix eigen value problems arise naturally from a wide variety of scientific and engineering applications, including acoustics, controltheory, elasticity theory, mechanical vibrations, probability theory, quantum mechanics , stability analysis and many other areas. The increasing number of applications and the ever growing scale of the problems have motivated fundamental progress in the numerical solution of eigenvalue problems in the past few decades. New insights and extensions of existing computational methods usually go hand in hand with the development of new algorithms and software packages. The current state of the art is that excellent numerical methods have been used with great success fordecades for dense matrices of small to medium size. The 𝑄𝑅 and power method algorithms for standard eigenvalue problems 𝐴𝑣 = 𝜆𝑣 and generated problems 𝐴𝑣 = 𝜆𝐵𝑣 in mathematical software’s suchas MATLAB and many other commercial and public software packages. These algorithms are designed to compute the complete set of eigenvalues with full accuracy. However,
  • 2.
    2 the 𝑄𝑅 andpower method algorithms are not practicable for large and sparse eigenvalue problems, where only a small number of eigenvalues and eigenvectors are usually desired. The main reason is that the time complexity and storage requirements become very prohibitive for large 𝑛. To compute the desired eigenpairs of large sparsematrices, things have been designed and implemented for a large variety of eigenvalues algorithm based on the techniques of subspaces (Krylov subspace, Arnoldi and Lanczos method) and projections. Ideally, the subspaces generated are expected to contain increasingly better approximations to the desired eigenvectors, and therefore some eigenvalues of the small projected matrices become progressively more accurate approximations to the desired eigenvalues. The thesis is organized as follows. In chapter one, the general introduction of eigenvalue is been reviewed, the aims and objectives of the study is also been done to see the benefits of the study to the areas of applications which include; elasticity, probability, mechanical vibration and biology. In chapter two, I reviewed the basic theory, tools and solvers needed to study eigenvalue algorithms, and also discuss some related work in the literatures. Chapter three investigates the various methods to finding eigenvalue problems which include the Krylov subspace, the power method and QR method which will all be discussed fully in
  • 3.
    3 the course ofthis study. Chapter four provides some insights and studies about eigenvalue and its application to the various areas such as biology, statistics, engineering; it also provides some additional enhancements to solve problems under these applications. In chapter five, I summarize the study and suggest some areas for future research and the references. 1.2 EIGENVALUES Eigenvalues are a special set of scalars associated with a linear system of equations (i.e. a matrix equation) that are sometimes also known as characteristic roots, characteristic values (Hoffman and Kunze 1971), propervalues or latent roots (Marcus and Minc 1988). The determination of eigenvalues and correspondingeigenvectors of a system is extremely important in physics, science and engineering, where it is equivalent to matrix diagonalization and arises in such common applications as stability analysis, the physics of rotating bodies, and small oscillations of vibrating systems, to name only a few. Each eigenvalue is paired with a correspondingso called eigenvector (or, in general, a correspondingright eigenvector and a corresponding left eigenvector, there is no analogous distinction between left and right for eigenvalues).
  • 4.
    4 Eigenvalues are veryimportant in science; this report provides examples of the applications of eigenvalues and eigenvectors in everyday life. If will run through a few examples to demonstrate the importance of eigenvalues and eigenvectors in science, it then demonstrates how one can find eigenvectors and eigenvalues. The decomposition of a square matrix 𝐴 into eigenvalues and eigenvectors is known in this work as eigen-decomposition, and the fact that this decomposition is always possibleas long as the eigen-decomposition theorem. Let 𝐴 be a linear transformation represented by a matrix 𝐴 if there is a vector 𝑋 ∈ 𝑅 𝑛 ≠ 0 such that 𝐴𝑥 = 𝜆𝑥 (1.1) For some scalar λ, then λ is called the eigenvalue of 𝐴 with corresponding (right) eigenvector 𝑥. Letting 𝐴 be a 𝑘 × 𝑘 square matrix,[ 𝑎11 𝑎12 … 𝑎1𝑘 𝑎21 𝑎22 … 𝑎2𝑘 ⋮ ⋮ … ⋮ 𝑎 𝑘1 𝑎 𝑘2 … 𝑎 𝑘𝑘 ] (1.2) with eigenvalue λ then the corresponding eigenvectors satisfy [ 𝑎11 𝑎12 … 𝑎1𝑘 𝑎21 𝑎22 … 𝑎2𝑘 ⋮ ⋮ … ⋮ 𝑎 𝑘1 𝑎 𝑘2 … 𝑎 𝑘𝑘 ][ 𝑥1 𝑥2 ⋮ 𝑥 𝑘 ] = 𝜆 [ 𝑥1 𝑥2 ⋮ 𝑥 𝑘 ] (1.3)
  • 5.
    5 This is equivalentto the homogenous system [ 𝑎11 − 𝜆 𝑎12 … 𝑎1𝑘 𝑎21 𝑎22 − 𝜆 … 𝑎2𝑘 ⋮ ⋮ … ⋮ 𝑎 𝑘1 𝑎 𝑘2 … 𝑎 𝑘𝑘−𝜆 ][ 𝑥1 𝑥2 ⋮ 𝑥 𝑘 ] = [ 0 0 ⋮ 0 ] (1.4) Equation (1.4) can be written compactly as ( 𝐴 − 𝜆𝐼) 𝑥 = 0 (1.5) ; Where 𝐼 is the identity matrix. As shown in Cramer’s rule, a linear system of equations has nontrivial solutions if and only if the determinant vanishes, so the solutions of equation (1.5) are given by det( 𝐴 − 𝜆𝐼) = 0 (1.6) This equation known as the characteristic equation of 𝐴 and the left – hand side is known as the characteristic polynomial. For example, for a 2 × 2 matrix, the eigenvalues are 𝜆 = 1 2 [(𝑎11 + 𝑎22)+ √4𝑎12 𝑎21 + (𝑎11 − 𝑎22)2] (1.7) This arises as the solutions of the characteristic equation 𝑥2 − 𝑥(( 𝑎11 + 𝑎22)+ ( 𝑎11 𝑎22 − 𝑎12 𝑎21) = 0 (1.8) If all eigenvalues are different, then plugging these back in gives 𝑘 − 1 independent equation for the 𝑘 components of each correspondingeigenvector, and the system is said to be non-degenerated. If the eigenvalues are 𝑛-fold degenerate,
  • 6.
    6 then the systemis said to be degenerated and the eigenvectors are not linearly independent. Eigenvalues may be computed using eigenvalues (matrix), eigenvectors and eigenvalues can be returned together using the command eigen-system (matrix). 1.2.1 HOW TO FIND EIGENVALUES Supposeλ = 0, finding the eigenvalues is now the same as finding non-zero vectors in the null space. We can do this if det (𝐴) = 0 but not otherwise. If we do not assume that λ = 0 then it is still the same as finding the null space, but it is the null spacefor the matrix. 𝐴 − 𝜆𝐼. Here 𝐼 stand for the (𝑛 × 𝑛) identity matrix. There will be a non-zero vector for the identity matrix only if the determinate of this new matrix is equal to 0. We refer to this condition, det (𝐴 − 𝜆𝐼) = 0, as the characteristic equation of 𝐴. If the null spaceof 𝐴 − 𝜆𝐼 has a non – zero vector, it is called an EIGENSPACE of 𝐴 with an EIGENVALUE of λ. Thus the algorithm for solving Eigenvectors, according to Evans M. Harell II, is as follows: i. First find the eigenvalues by solving the characteristic equation call the solutions. λ1, … , λ𝑛
  • 7.
    7 ii. For eacheigenvalue λk, use row reduction to find a basis of the eigen-space ker (𝐴 − 𝜆𝐼). If λk, the existence of a non zero vector in this null space, is guaranteed. Any such vector is an eigenvector. 1.3 BASIC PHYSICAL SIGNIFICANCE OF EIGENVALUES Essentially, eigenvalues and eigen-spaces characterize linear transformations and allow for easy computation. If we consider matrix as a transformation then in simple terms eigenvalue is the strength of that transformation in a particular direction known as eigenvector. Eigenvalues and eigenvectors are used widely in science and engineering. They have many applications, particularly in physics. Consider rigid physical bodies. Rigid physical bodies have a preferred direction of rotation, about which they can rotate freely, also for example if someone were to throw a football, it would rotate round its axis while flying prettily through the air. Although this may seem like common sense, even rigid bodies with a more complicated shape will have preferred directions of rotation. These are called axes of inertia, and they are calculated by finding the eigenvectors of a matrix called the inertia tensor, the eigenvectors also important, are called moment of inertia. Eigenvalue has major significance in the stress-strain analysis and vibration related problem;
  • 8.
    8 1. Eigenvalue isalways independent of the direction. These features makes our life easy to calculate the stress strain value when we express stress or strain related problem in form of characteristic equation (eigen and eigenvector form) then the eigenvalue gives us invariant which is independent of any coordinate and the correspondingdirection in which it acts is called eigenvector. 2. In vibration related problem when we solved mass-stiffness force relation in form of eigenvalue problem, then eigenvalue gives us the information about the natural frequency about the system which is also independent of coordinate system and correspondingamplitudes is our eigenvector. 3. At last we can say eigenvalue is invariant. 1.4 AIMS AND OBJECTIVES OF STUDY The aim of this work is to study the numerical methods for solving eigenvalue problems. The objectives include the following: i. Constructtechniques to solve eigenvalue problems ii. Use some numerical algorithms to eliminate some controversies associated with eigenvalue problems iii. To demonstrate the application of numerical methods to calculations encountered in the courseof the research iv. Give solutions for more general eigenvalue problems and its applications.
  • 9.
    9 1.5 SCOPE OFSTUDY This study focuses on numerical solution of eigenvalue problems and their applications to other branches of sciences which include engineering, biological sciences and other related areas. We also looked at eigenvalue algorithms for solving large and sparse eigenvalue problem with their application. In many applications, if people are interested in a small number of interior eigenvalues, a transformation (spectral) is usually employed to map these eigenvalues to dominant ones of the transformed problem so that they can be easily captured. Different methods such as the Krylov subspaceprojection method, power, 𝑄𝑅, Arnoldi and Lanczos process are been investigated in the aspectof finding eigenvalue and noting that Arnoldi methods are used to solve eigenvalue problems with different applications most especially spectral transformations. We also investigate other strategies specific to eigenvalue algorithms to further reduce the inner iteration counts.
  • 10.
    10 1.6 DEFINITION OFTERMS 1. Orthogonal Matrix: This is a square matrix with real entries whose columns and rows are orthogonal unit vectors (i.e. orthonormal vectors), i.e. 𝑄 𝑇 𝑄 = 𝑄𝑄 𝑇 = 𝐼, where 𝐼 is the identity matrix. 2. Eigen Decomposition: Eigen decomposition or sometimes spectral decomposition is the factorization of a matrix into a canonical form, whereby the matrix is represented in terms of its eigenvalues and eigenvectors. 3. Householder Matrices: This is a linear transformation that describes a reflection about a plane or hyper plane containing the origin. Householder transformations are widely used in numerical linear algebra to perform 𝑄𝑅 decompositions and it’s the first step of 𝑄𝑅 algorithm. 4. Symmetric Matrix: A symmetric matrix is a square matrix that is equal to its transpose. Formally matrix 𝐴 is symmetric if 𝐴=𝐴T 5. 𝑄𝑅 Decomposition: A 𝑄𝑅 decomposition (also called a 𝑄𝑅 factorization) of a matrix is a decomposition of a matrix 𝐴 into a product 𝐴= 𝑄𝑅 of an orthogonal matrix 𝑄 and an upper triangular matrix 𝑅. 𝑄𝑅 decompositionis often used to solve linear least squares problem, and it is the basis for a particular eigenvalue algorithm, the 𝑄𝑅 algorithm.
  • 11.
    11 6. Power Method(Iteration): The power method iteration is an eigenvalue algorithm: given a matrix 𝐴, the algorithm will producea number λ (the eigenvalue) and a non-zero vector 𝑉 (the eigenvector), such that 𝐴𝑣 = 𝜆𝑣. The algorithm is also known as the Von Mises iteration. 7. Null Space:If 𝑇 is a linear transformation of 𝑅n, then the null spacenull (𝑇), also called the kernel ker (𝑇), is the set of all vectors such that 𝑇 (𝑥) = 0 , i.e. Null (𝑇) ≡ { 𝑥: 𝑇(𝑥) = 0} 8. Dominant Eigenvalue: Let 𝜆1, 𝜆2, … , and 𝜆 𝑛be the eigenvectors of an 𝑛 × 𝑛 matrix 𝐴, 𝜆1is called the dominant eigenvalues of 𝐴 if |𝜆1| > |𝜆𝑖|, ί = 2,…,𝑛. The eigenvectors corresponding to 𝜆1 are called dominant eigenvectors of 𝐴. 9. Eigen-space: If 𝐴 is a 𝑛 × 𝑛 square matrix and λ is an eigenvalue of 𝐴, then the union of the zero vector 0 and the set of all eigenvectors corresponding to eigenvalues λ is a subspace of 𝑅 known as the eigen-space of λ. 10.Time Complexity: Time complexity of an algorithm quantifies the amount of time taken by an algorithm to run as a function of the length of the string representing the input. The time complexity of an algorithm is commonly expressed using 0 notations, which excludes coefficients and lower order terms i.
  • 12.
    12 CHAPTER TWO 2.1 LITERATUREREVIEW Eigenvalues are often introduced in the context of linear algebra or matrix theory and numerical analysis. Historically, however, they arose in the study of quadratic forms and differential equations. In the 18th century, Euler studied the rotational motion of a rigid bodyand discovered the importance of the principal axes. Lagrange realized that the principal axes are the eigenvectors of the inertia matrix. In the early 19th century, Cauchy saw how their work could be used to classify the quadratic surfaces, and generalized it to arbitrary dimension. Cauchy also coined the term racine caracteristique (characteristic root) for what is now called eigenvalue; his term survives in characteristic equation. Fourier used the work of Laplace and Langrage to solve the heat equation by separation of variables in his famous book“Theorie analytiquede la Chaleur” published in 1822. Timoshenko, S. (1936) worked on elasticity theory. Sturm development Fourier ideas further and brought them to the attention of Cauchy, who combined them with his own ideas and arrived at the fact that real symmetric matrices have real eigenvalues.
  • 13.
    13 This was extendedby Hermit in 1855 to what are now called Hermitian matrices. Around the same time, Brioschi proved that the eigenvalues of orthogonal matrices lie on the unit circle, and Clebseh found the corresponding result for skew – symmetric matrices. Evans, M. Harall II. (2001) talked on finding eigenvalues and eigenvectors. Finally, weierstrass clarified an important aspect in the stability theory of eigenvalue problems by Laplace by realizing that defective matrices can cause instability of eigenvalues. In the mean time, Liouville studied eigenvalue problems similar to those of sturm; the discipline that grew out of their work is now sturm-Liouville theory. Schwarz studied the first eigenvalue of Laplace’s equation on general domains toward the end of the 19th century, while Poincare studied Poisson’s equation a few years later. Demmel, James W. (1997) also worked on the algebraic numerical solutions. The first numerical algorithm for computing eigenvalues and eigenvectors appeared in 1929, when Von Mises published the POWER METHOD. One of the most popular methods today, the QR algorithm, was proposed independently by John G.F Francis and Vera Kublanovskaya in 1961. Another important eigenvalue algorithm developed recently is the shift – invert residual Arnold method for
  • 14.
    14 finding eigenvalues, thismethod has a few similarities to Jacobi method; both aim at only one eigen-pair at a time and expand the subspacewith the solution to a correction equation where the right-hand side is the current eigenvalue residual vector (the coefficient matrices are different for the two methods, though; in the initial steps, the inner solves can be done with only a moderate accuracy, but the tolerance for the inner decreases as the outer iteration proceeds. To further study the Arnold and other methods, extends the strategy and accuracy of matrix vector products with shift – invert transformation for standard eigenvalue problems. We shall carry out a complete theoretical and numerical comparison of all these methods in the courseof this project. Numerical experiments and analysis show that these techniques lead to significant savings in computational costwithout affecting the convergence of outer iterations to the desired eigen pairs, knowing fully well that the eigenvalue algorithm are outer iteration. 2.2 BASIC DEFINITIONSAND TOOLS EIGENVALUE PROBLEMS. In this section, we briefly review some basic definitions, properties and theories of algebraic eigenvalues problem. Let 𝐴 be a 𝑛 × 𝑛 square matrix, λ a scalar, and v a non-zero column vector of length n, such that 𝐴𝑣 = 𝜆𝑣 (2.1)
  • 15.
    15 This equation isreferred to as the standard eigenvalue problem. Here, λ is an eigenvalue of 𝐴, v is the correspondingright eigenvector and [λ, 𝑣] is called an eigen-pair. Similarly, a left eigenvector is defined by the equation 𝑤*𝐴 = λ𝑤* where 𝑤* is the conjugate transposeof 𝑤. Unless otherwise stated, the term eigenvector are normalized, i.e. the norm of any eigenvector equals one. Eigenvalues of 𝐴 are the roots of the characteristic polynomial 𝑃 (λ) = det (𝜆𝐼 − 𝐴). An eigenvalue is called a simple one if it is a simple root of 𝑃 (λ) (with algebraic multiplicity one); otherwise it is a multiple eigenvalue. The full set of eigenvalues of 𝐴 is called the spectrum and is denoted by λ (𝐴) = {λ1, λ2… λn}. The spectrum of 𝐴 remains invariant under similarity transformations, i.e. if x is square and non singular, then for an à = 𝑥−1 𝐴𝑥, 𝜆( 𝐴) = 𝜆(Ã). A subspace 𝑉 that satisfies 𝑣 ϵ 𝑉 = 𝐴𝑣 ϵ 𝑉 is called invariant subspace (eigen-space) of 𝐴. An eigenvector spans a one-dimensional invariant subspace. A desired invariant subspacerefers to a spacespanned by the eigenvectors corresponding to a group of wanted eigenvalues. If 𝐴 has 𝑛 linearly independent eigenvectors, it can be diagonalized as 𝐴 = 𝑉⋀𝑉−1 (2.2)
  • 16.
    16 Where 𝑉 =[𝑉 1, 𝑉 2… 𝑉 n] contains the eigenvectors of 𝐴, and ⋀ = diag (λ1, λ2 …λn) is a diagonal matrix containing the corresponding eigenvalues. In particular, if 𝐴 has distinct eigenvalues, it is diagonalizable. A Hermitian matrix 𝐴 (𝐴 * = 𝐴) is diagonalizable; it has only real eigenvalues and a complete orthonormal set of eigenvectors, the diagonalization is also called the spectraldecomposition. A most important tool connecting a block triangular matrix with a block diagonal matrix is the Sylvester equation. Forexample, consider the block diagonalization of the matrix T = [ 𝑇11 𝑇12 0 𝑇22 ] Suppose 𝑄 is the solution of the Sylvester equation 𝑇11 𝑄 – 𝑄𝑇22 = - 𝑇 12 .Then [ 𝐼 𝑃 −𝑄 0 𝐼 𝑛−𝑝 ] [ 𝑇11 𝑇12 0 𝑇22 ] [ 𝐼 𝑃 𝑄 0 𝐼 𝑛−𝑝 ] = [ 𝑇11 𝑇11 𝑄 − 𝑄𝑇22 + 𝑇12 0 𝑇22 ] = [ 𝑇11 0 0 𝑇22 ] (2.3) In general, given 𝐾 ∈ 𝐶PxP and 𝑀 є Cq xq, the Sylvester operator 𝑆: 𝐶Pxq 𝐶PxP associated with these two matrices is defined as a linear transformation 𝑆:𝐺 𝑆 (𝐺) = 𝐾𝐺 − 𝐺𝑀. This transformation is non singular ⟺ λ(𝐾) ∩ λ(𝑚)= Ø. The separation between 𝐾 and 𝑀 is defined as Sep (𝐾, 𝑀) = Inf ‖ 𝐾𝐺 − 𝐺𝑀 ‖ (2.4)
  • 17.
    17 And the normof 𝑆 is defined as ‖ 𝑆 ‖ = sup ‖ 𝐾𝐺 − 𝐺𝑀 ‖ ; ‖G‖ = 1 (2.5) We have so far reviewed some preliminary definitions and tools to study standard eigenvalue problems. The definitions and tools of generalized eigenvalue problems 𝐴𝑣 = 𝜆𝐵𝑣, though more complicated, are largely parallel to what is presented in this section. In particular, the generalized problem is equivalent to the standard problem 𝐵−1 𝐴𝑣 = 𝜆𝑣 for non singular 𝐵. To simplify the analysis, we assume throughout these thesis that B is non-singular, unless otherwise stated. 2.3 DIRECT AND INVERSE EIGENVALUE PROBLEM The eigenvalue problems associated with some applications (mechanical vibrations, engineering, statistics e.t.c) are been shown in the chapter four of this project. Discrete models usually consists of linear equations that can be represented as algebraic eigenvalue problems are of the form ( 𝐴 − 𝜆𝐵) 𝑥 =0 (2.6) In algebraic eigenvalue problems, the non-trivial solution 𝑥 ≠ 0 that satisfies Equation (2.6) is called an eigenvector and λ its correspondingeigenvalue. Eigenvalue problems that are based on either continuous system or its discrete model approximation can be used to solve two broad classifications of problems: 1. Direct eigenvalue problems, and
  • 18.
    18 2. Inverse eigenvalueproblems In direct eigenvalue problems the physical parameters (area, length, modulus of elasticity, density, etc.) of the system are known and these are used to determine the unknown spectraldata (eigenvalues and eigenvectors) of the system. In contrast, in inverse eigenvalue problems some or all of the spectral data are known and these are used to determine the unknown physical parameters. A graphical explanation of direct and inverse eigenvalue problems can be obtained from the block diagrams in Figure 1.1. Introduction of optimization principles in mathematical models that are used for different applications creates a new genre of problems. These problems are a mixture of both direct and inverse eigenvalue problems. The aim here is to find the optimal physical parameters that yield extremum eigenvalues, subject to certain constraints on these physical parameters. Figure 1.1 Direct and Inverse problem
  • 19.
    19 CHAPTER THREE 3.0 THEORETICALCONSIDERATIONS 3.1KRYLOV-SUBSPACE PROJECTION METHODS FOR EIGENVALUE PROBLEM 3.1.1 Definition and Basic Properties Krylov subspacesare among the most widely used building blocks of iterative linear solvers and eigenvalue algorithms for large sparsematrices. Given a linear operator 𝐴 and a nonzero initial vector 𝑢1, the 𝑘-th order Krylov subspaceis 𝐾k (𝐴, 𝑢1) = span { 𝑢, 𝐴𝑢1 ... 𝐴k−1 𝑢1}. The generation of Krylov subspaces only needs the operation of matrix-vector productinvolving 𝐴. If 𝐴 is a large sparsematrix with 𝑛𝑛𝑧 non-zero entries, each matrix-vector productgenerating a new member vector of the Krylov subspacecan be computed in only 𝑛𝑛𝑧 floating point operations. An important property of Krylov subspacesis that the 𝐾k (𝐴, 𝑢1) contains quickly improving approximations to eigenvectors corresponding to extremal eigenvalues of 𝐴. To simplify the introduction, we only present the result for Hermitian 𝐴 with eigenvalues λ1 > λ2 ≥ ... ≥ λn. It is obvious from the structure of the Krylov subspaces that any vector 𝑣 𝜖 𝐾k (𝐴, 𝑢1) can be written as qk−1(𝐴) 𝑢1, where qk−1 is some polynomial of degree 𝑘 − 1.
  • 20.
    20 BASIS FOR KRYLOVSUBSPACE  Krylov sequence forms a basis for krylov subspacebutit is ill-conditioned  Better to work with an orthonormal basis  Lanczos algorithm builds an orthonormal basis for krylov subspacefor Hermitian matrices  Arnoldi algorithm generalizes this to non-Hermitian matrices. 3.1.2 THE ARNOLDI PROCESS The original form of the Krylov subspacebasis {𝑢1, 𝐴𝑢1 ... 𝐴k−1 𝑢1} becomes progressively ill-conditioned as 𝑘 increases, because 𝐴k−1 𝑢1 converges to the dominant eigenvector(s) of 𝐴. To resolve this difficulty, the Arnoldi process computes a set of orthonormal basis vectors for 𝐾k (𝐴, 𝑢1) as described in In short, the Arnoldi process computes 𝐴𝑢k, orthogonalize’s it against 𝑈k, and normalizes the result to 𝑢k+1. This process gives the Arnoldi decomposition 𝐴𝑈k =𝑈k+1 𝐻̂ 𝐾 = 𝑈k 𝐻k + ℎk+1, 𝑘𝑢 𝑘+ 1𝑒𝑘 𝑇 , where Hk = 𝑈𝑘 ∗ 𝐴uk 𝜖 𝐶(k+1) x k and 𝑒𝑘 𝑇 = (0, 0,...0,1) 𝜖 𝑅 𝑘 . It can be shown readily that the orthonormal column vectors of 𝑈k span 𝐾k (𝐴, 𝑢1) . ForHermitian 𝐴, the Arnoldi process naturally reduces to the Lanczos process,where 𝐴𝑢 𝑘 is automatically orthogonal to 𝑢1,..., 𝑢k−2 and thus only needs to be Orthogonalize against 𝑢k−1 and 𝑢k and then normalized to 𝑢k+1.
  • 21.
    21 3.1.3 THE LANCZOSPROCESS Since naturally, the Arnoldi process reduces to Lanczos process,therefore the Lanczos decomposition is usually written as 𝐴𝑈k = 𝑈k 𝑇k+βk 𝑢k+1𝑒𝑘 𝑇 , where 𝑇k is a tri-diagonal real symmetric matrix with αj = 𝑢𝑗 ∗ uj (1 ≤ 𝑗 ≤ 𝑘) on the main diagonal and βj = ‖𝐴uj – αjuj − βj−1 uj−1‖ (1≤ 𝑗 ≤ 𝑘 − 1) on the sub- and super diagonals. In floating point arithmetic, the loss of orthogonality of Lanczos vectors may prevent Ritz vectors from approximating the desired eigenvectors, and some re-orthogonalization procedureis necessary to resolve this difficulty. The advantage of the Lanczos process is that every iteration step has just one matrix vector multiplication, hence linear complexity for sufficiently sparse matrices and also the disadvantage is that in finite precision arithmetic qi’s may not be orthogonal and the costof insuring orthogonality can be huge as number of iteration increases. ALGORITHM 1.0 The Lanczos process 1: Let A ∈ Fn×n be Hermitian. This algorithm computes the Lanczos relation, i.e., an orthonormal basis Qm = [q1, . . . , qm] for Km(x) where m is the smallest index such that Km(x) = Km+1(x), and (the nontrivial elements of) the tri-diagonal matrix Tm. 2: q := x/‖x‖; Q1 = [q]; 3: r := Aq; 4: α1 := q*r; 5: r := r − α1q; 6: β1:= ‖r‖;
  • 22.
    22 7: for j= 2, 3, . . . do 8: v = q; q := r/βj−1; Qj := [Qj−1, q]; 9: r := Aq − βj−1v; 10: αj := q*r; 11: r := r – αjq; 12: βj := ‖r‖; 13: if βj = 0 then 14: return (Q ∈ Fn×j ; α1, . . . , αj ; β1, . . . , βj−1) 15: end if 16: end for 3.1.4 A NUMERICAL EXAMPLE OF LANCZOS ALGORITHM This numerical example is intended to show that the implementation of the Lanczos algorithm. Let 𝐴 = diag (0, 1, 2, 3, 4, 100000) and 𝑥 = (1, 1, 1, 1, 1, 1)T . The diagonal matrix A has six simple eigenvalues and x has a non-vanishing component in the direction of each eigen-space. Thus, the Lanczos algorithm should stop after 𝑚 = 𝑛 = 6 iteration steps with the complete Lanczos relation. Up to rounding error, we expect that β6 = 0 and that the eigenvalues of 𝑇6 are identical with those of 𝐴. Applying the Lanczos algorithm with these input data, in the sequel we present the numbers that we obtained with a Mat-lab implementation of this algorithm. For 𝑘 = 1 α1 = 16668.33333333334, β1 = 37267.05429136513.
  • 23.
    23 For 𝑘 =2 α2 = 83333.66652666384, β2 = 3.464101610531258. The diagonal of the eigenvalue matrix Ө2 is: diag (Ө2) = (1.999959999195565, 99999.99989999799)T . The last row of β2S2 is β2S2 = (1.414213562613906, 3.162277655014521). The matrix of Ritz vectors 𝑌2 = 𝑄2 𝑆2 is [ −0.44722 −2.0000 × 10−05 −0.44722 −9.9998 × 10−06 −0.44721 4.0002× 10−10 −0.44721 1.0001× 10−05 −0.44720 2.0001× 10−05 4.4723 × 10−10 1.0000 ] For 𝑘 = 3. α3 = 2.000112002245340, β3 = 1.183215957295906. The diagonal of the eigenvalue matrix is diag (Ө3) = (0.5857724375775532, 3.414199561869119, 99999.99999999999)T . The largest eigenvalue has converged already. This is not surprising as λ2/λ1 = 4×10−5. With simple vector iteration the eigenvalues would converge with the factor λ2/λ1 = 4 ×10−5. The last row of β3 𝑆3 is β3 𝑆3= (0.8366523355001995, 0.8366677176165411, 3.741732220526109×10−05)
  • 24.
    24 The matrix ofRitz vectors 𝑌3 = 𝑄3 𝑆3 is [ 0.76345 0.13099 2.0000× 10−10 0.53983 −0.09263 −1.0001× 10−10 0.31622 −0.31623 −2.0001× 10−10 0.09262 0.09262 −1.0000× 10−10 −0.13098 −0.76344 2.001× 10−10 −1.5864× 10−10 −1.5851 × 10−10 1.00000 ] The largest element (in modulus) of 𝑌3 𝑇 𝑌3 is ≈ 3×10−12. The Ritz vectors (and thus the Lanczos vectors qi) are mutually orthogonal up to rounding error. 𝑘 = 4. α4 = 2.000007428756856, β4 = 1.014186947306611. The diagonal of the eigenvalue matrix is diag (Ө4) = [ 0.1560868732577987 1.999987898940119 3.843904656006355 99999.99999999999 ] The last row of β4 𝑆4 is β4 𝑆4 = (0.46017, −0.77785, −0.46018, 3.7949×10−10) The matrix of Ritz vectors 𝑌4 = 𝑄4 𝑆4 is [ −0.82515 0.069476 −0.40834 −0.18249 −0.034415 0.41262 −0.40834 −0.18243 0.37812 0.37781 −0.40834 −0.18236 0.41256 −0.034834 −0.40834 −0.18230 0.069022 −0.82520 −0.40834 −0.18223 −1.3202 × 10−04 1.3211× 10−04 −0.40777 0.91308 ] The largest element (in modulus) of 𝑌4 𝑇 𝑌4 is ≈ 2×10−8.
  • 25.
    25 We have β4𝑆4,4 = 4×10−10. So, according to our previous estimates (ϑ4, 𝑌4), 𝑦4 = 𝑌4 𝑒4 a very good approximation for an eigen-pair of A. This is in fact the case. Noticing that 𝑌4 𝑇 𝑌4 has off diagonal elements of the order 10−8. These elements are in the last row/column of 𝑌4 𝑇 𝑌4. This means that all Ritz vectors have a small but not negligible component in the direction of the ‘largest’ Ritz vector. 𝑘= 5, α5 = 2.363169101109444, β5 = 190.5668098726485. The diagonal of the eigenvalue matrix is diag(Ө5) = [ 0.04749223464478182 1.413262891598485 2.894172742223630 4.008220660846780 9.999999999999999104] The last row of β5 𝑆5 is β5 𝑆5 = (−43.570, −111.38134, 963.4957, 2320×10−13) The matrix of Ritz vectors 𝑌5 is [ −0.98779 −0.084856 0.049886 0.017056 −1.1424 × 10−17 −0.14188 0.83594 −0.21957 −0.065468 −7.2361 × 10−18 0.063480 0.54001 0.42660 0.089943 8.0207× 10−18 −0.010200 −0.048519 0.87582 −0.043531 −5.1980 × 10−18 −0.0014168 −0.0055339 0.015585 −0.99269 −1.6128 × 10−17 4.3570× 10−4 0.0011138 −0.0013409 4.3570 × 10−4 1.0000 ]
  • 26.
    26 Evidently, the lastcolumn of 𝑌 5 is an excellent eigenvector approximation. Noticing however that all Ritz vectors have a relatively large (~10−4) last component. This, gives rise to quite large off-diagonal elements of 𝑌5 𝑇 𝑌5 − 𝐼5 = [ 2.220 × 10−16 −1.587 × 10−16 −3.430 × 10−16 −7.890 × 10−9 −7.780 × 10−4 −1.587 × 10−16 −1.110× 10−16 1.283 × 10−12 −1.764 × 10−8 −1.740 × 10−3 −3.430 × 10−12 1.283 × 10−12 0 5.6800 × 10−17 5.6800 × 10−8 −7.890 × 10−9 −1.764 × 10−8 5.6800 × 10−17 −2.220 × 10−16 4.187 × 10−16 −7.780 × 10−4 −1.740 × 10−3 −6.027 × 10−8 4.187 × 10−16 −1.110 × 10−16] Similarly as with 𝑘 = 4, the first four Ritz vectors satisfy the orthogonality condition very well. But they are not perpendicular to the last Ritz vector. 𝑘 = 6, α6 = 99998.06336906151, β6 = 396.6622037049789 The diagonal of the eigenvalue matrix is diag(Ө6) = [ 0.02483483859326367 1.273835519171372 2.726145019098232 3.975161765440400 9.999842654044850 × 104 1.000000000000000 × 105] The eigenvalues are not the exact ones, as was to be expected. We even have two copies of the largest eigenvalue of 𝐴 in Ө6! The last row of β6 𝑆6 is β6S6 = (−0.20603, 0.49322, 0.49323, 0.20604, 396.66,−8.6152×10−15) Although theory predicts that β6 = 0. The sixth entry of β6 𝑆6 is very small, which means that the sixth Ritz value and the correspondingRitz vector are good approximations to an eigen-pair of 𝐴. In fact, eigenvalue and eigenvector are accurate to machine precision.
  • 27.
    27 β5 𝑆6,5 doesnot predict the fifth column of 𝑌6 to be a good eigenvector approximation, although the angle between the fifth and sixth column of 𝑌6 is less than 10−3. The last two columns of 𝑌6 are [ −4.7409× 10−4 −3.3578× 10−17 1.8964× 10−3 −5.3735× 10−17 −2.8447× 10−3 −7.0931× 10−17 1.8965× 10−3 −6.7074× 10−17 −4.7414× 10−3 −4.9289× 10−17 −0.99999 1.0000 ] As β6 ≠ 0, one could continue the Lanczos process and compute ever larger tri- diagonal matrices. If one proceeds in this way one obtains multiple copies of certain eigenvalues. The correspondingvalues βk 𝑆 𝑘𝑖 (𝑘) will be tiny. The corresponding Ritz vectors will be ‘almost’ linearly dependent. From this numerical example we see that the problem of the Lanczos algorithm consists in the loss of orthogonality among Ritz vectors which is a consequenceof the loss of orthogonality among Lanczos vectors, since 𝑌𝑘 = 𝑄 𝑘 𝑆 𝑘 and 𝑆 𝑘 is unitary (up to round off).
  • 28.
    28 3.2 POWER METHODFOR FINDING/APPROXIMATINGEIGENVALUE The problem we are considering here is this: given a 𝑛 × 𝑛 real matrix, we find numerical approximations to the eigenvalues and eigenvectors of 𝐴. This numerical eigen-problem is difficult to solve in general. In many applications, 𝐴 may be symmetric or tri-diagonal or have some other special form or property. Consequently, most numerical methods are designed for special matrices. As presented here, the method can be used only to find the eigenvalue of A that is largest in absolute value—this eigenvalue is called the dominant eigenvalue of A. Although this restriction may seem severe, dominant eigenvalues are of primary interest in many physical applications. Not every matrix has a dominant eigenvalue. For instance, the matrix 𝐴 = [ 1 0 0 −1 ] with eigenvalues of 𝜆1 = 1 and 𝜆2 = −1 has no dominant eigenvalue. Similarly, the matrix 𝐴=[ 2 0 0 0 2 1 0 0 1 ]with eigenvalues of 𝜆1= 2, and 𝜆2= 2 and 𝜆3= 1 has no dominant eigenvalue. 3.2.1 Example 1: let 𝐴 have eigenvalues 2, 5, 0, -7 and -2. Does 𝐴 have a dominant eigenvalue? If so, which is dominant? Solution Since |-7| > |5| > |2| > |-2| > |0| A has a dominant eigenvalue of 𝜆1= -7
  • 29.
    29 The PowerMethod Like theJacobi and Gauss-Seidel methods, the power method for approximating eigenvalues is iterative. First assume that the matrix A has a dominant eigenvalue with correspondingdominant eigenvectors. Then choosean initial approximation 𝑋0 of one of the dominant eigenvectors of A. This initial approximation must be a non-zero vector in 𝑅 𝑛 . Finally, form the sequence given by x1 = Ax0 x2 = Ax1 = A(Ax0) = A2x0 x3 = Ax2 = A(A2x0) =A3x0 . . . xk =Axk-1 =A(Ak-1x0) =Akx0 For large powers of k, and by properly scaling this sequence, you will see that you obtain a good approximation of the dominant eigenvector of A. This procedure is illustrated in Example 2. Example 2: Complete six iterations of the power method to approximate a dominant eigenvector of 𝐴 =[ 2 −12 1 5 ]with 𝑋0 = [ 1 1 ]
  • 30.
    30 SOLUTION Beginning with aninitial non-zero approximation of 𝑋0 = [ 1 1 ] Then, obtaining the following approximations Iterations scaledapproximations X1 = Ax0 = [ 2 −12 1 −5 ] [ 1 1 ] =[ −10 −4 ] -4 [ 2.50 1 ] X2 = Ax1 = [ 2 −12 1 −5 ][ −10 −4 ]= [ 28 10 ] 10 [ 2.80 1.00 ] X3 = Ax2 = [ 2 −12 1 −5 ][ 28 10 ] = [ −64 −22 ] -22 [ 2.91 1.00 ] X4 = Ax3 = [ 2 −12 1 −5 ][ −64 −22 ] =[ 136 40 ] 46 [ 2.96 1.00 ] X5 = Ax4 = [ 2 −12 1 −5 ][ 136 40 ]= [ −280 −94 ] -94[ 2.98 1.00 ] X6 = Ax5 = [ 2 −12 1 −5 ][ −280 −94 ] = [ 568 190 ] 190[ 2.99 1.00 ] The approximations in this example appear to be approaching scalar multiples of [ 3 1 ]. Thus this is the dominant eigenvector of the matrix A=[ 2 −12 1 −5 ]
  • 31.
    31 3.3 QR METHODFOR FINDING EIGENVALUES The basis of the 𝑄𝑅 method for calculating the eigenvalues of 𝐴 is the fact that an 𝑛 × 𝑛 matrix can be written as; 𝐴 = 𝑄𝑅 (𝑄𝑅 factorization of 𝐴) Where 𝑄 is orthogonal matrix and 𝑅 is upper triangular matrix. The method is efficient for the calculation of all eigenvalues of a matrix. The construction of 𝑄 and 𝑅 proceeds as follows. Matrices 𝑃1 , 𝑃2,…, 𝑃𝑛−1are constructed so that 𝑃𝑛−1, 𝑃𝑛−2,…, 𝑃2 𝑃1 𝐴 = 𝑅 is upper triangular. These matrices can be chosen as orthogonal matrices and are called householder matrices. Since the 𝑃′𝑠 are orthogonal, the stability of the eigenvalue problem will not b worsened. We let 𝑄 𝑇 = 𝑃𝑛−1 𝑃𝑛−2 … 𝑃2 𝑃1 Then we have 𝑄 𝑇 𝐴 = 𝑅 and 𝑄𝑄 𝑇 𝐴 = 𝑄𝑅. 𝐼𝐴 = 𝑄𝑅. 𝐴 = 𝑄𝑅 We discuss the construction of the 𝑃′𝑠 presently. First, we state how the 𝑄𝑅 factorization of 𝐴 is used to find eigenvectors of 𝐴. We discuss sequences of matrices 𝐴1, 𝐴2,…, 𝐴 𝑚, … , 𝑄1, 𝑄2, …, 𝑄 𝑚,…, and 𝑅1, 𝑅2,…, 𝑅 𝑚…by this process: STEP 1: set 𝐴1 = 𝐴1 𝑄1 = 𝑄, 𝑎𝑛𝑑 𝑅1 = 𝑅 STEP 2: set 𝐴2 = 𝑅1 𝑄1; then factor 𝐴2 as 𝐴2 = 𝑄2 𝑅2 (𝑄𝑅 factorization of 𝐴2) STEP 3: set 𝐴3 = 𝑅2 𝑄2; then factor 𝐴3 as 𝐴3 = 𝑄3 𝑅3(𝑄𝑅 factorization of 𝐴3) STEP 4:set 𝐴 𝑚= 𝑅 𝑚−1 𝑄 𝑚−1;then factor 𝐴 𝑚as 𝐴 𝑚 = 𝑄 𝑚 𝑅 𝑚(𝑄𝑅 factorization 𝐴 𝑚)
  • 32.
    32 At the kthstep, a matrix 𝐴 𝑘is found, first be using 𝑄 𝑘−1and 𝑅 𝑘−1from the previous step; second, 𝐴 𝑘is factored into 𝑄 𝑘 𝑅 𝑘. Thus a QR factorization takes place at each step. Matrix 𝐴 𝑚will tend toward a singular or nearly triangular form. Thus the eigenvalues of 𝐴 𝑚will be easy to calculate. 3.3.1 Example: Use the 𝑄𝑅 method to calculate the eigenvectors of 𝐴 = [ 5 −2 −2 8 ]. (The true eigenvalues are 4 and 9) SOLUTION We use the formulas for the 2 × 2 case each time we need a 𝑄𝑅 factorization. The calculated matrices are listed below (rounded), after step 3, only 𝐴 𝑚is listed. Step 1: 𝐴1 = 𝐴 = [ 5 −2 −2 8 ] , 𝑄1 = 𝑄 = [ 0.928 0.371 0.371 0.928 ], 𝑅1 = 𝑅 = [ −5.385 4.828 0 6.685 ] Step 2: 𝐴2 = 𝑅1 𝑄1 = [ 6.793 −2.482 −2.482 6.207 ], 𝑄2 = [ −0.979 0.201 −0.343 0.939 ], 𝑅2 = [ −7.233 −4.462 0 4.977 ] Step 3: 𝐴3 = 𝑅2 𝑄2 = [ 8.324 −1.708 −1.708 4.675 ], 𝑄3 = [ −0.979 0.201 0.201 0.979 ] Step 4: 𝐴4 = [ 8.850 0.852 0.852 4.149 ]
  • 33.
    33 Step 5: 𝐴5= [ 8.969 −0.387 −0.387 4.030 ] Step 6: 𝐴6 = [ 8.993 0.173 0.173 4.006 ] . . . Step 12: 𝐴12 = [ 8.9999996 0.00134 0.00134 4.000018 ] Approximate eigenvalues are on the diagonal i.e. λ1 = 9, λ2 = 4 NOTE:In this example, 𝐴 𝑚 appeared to be converging to a diagonal matrix; of course, the diagonal elements are the approximate eigenvalues. This illustrates the results. Algorithm 2.0 Basic 𝑄𝑅 Algorithm 1. Let 𝐴 ∈ Cn×n. This algorithm computes an upper triangular matrix 𝑇 and a unitary matrix 𝑈 such that A = 𝑈𝑇𝑈* is the Schur decomposition of 𝐴. 2. Set 𝐴0 = 𝐴 and 𝑈0 = 𝐼. 3. for k = 1, 2, . . . do 4. 𝐴 𝑘−1 = 𝑄 𝑘 𝑅 𝑘; /* 𝑄𝑅 factorization */ 5. 𝐴 𝑘 = 𝑅 𝑘 𝑄 𝑘; 6. 𝑈𝑘 = 𝑈𝑘−1 𝑄 𝑘; /* Update transformation matrix */ 7. end for 8. Set 𝑇 = 𝐴∞ and 𝑈= 𝑈∞
  • 34.
    34 From the algorithm,we see that; Ak = Qk*Ak-1Qk = Qk*Qk-1*Ak-2Qk-1Qk = …=Qk*…Q1*A0Q1…Qk 𝑈 𝑘 Numerical Implementation of 𝑸𝑹 𝑨𝒍𝒈𝒐𝒓𝒊𝒕𝒉𝒎: We conductMATLAB experiments to illustrate the convergence rate given as |𝑎𝑖𝑗 𝑘 | =б(| 𝜆 𝑖 𝜆 𝑗 |k), 𝑖 > 𝑗. To that end, we constructa random 4 × 4 matrix with eigenvalues 1, 2, 3, and 4. In this implementation of this algorithm, we seek to find a matrix structure that is preserved by the 𝑄𝑅algorithm and that lowers the costof a single iteration step, then, we want to improve on the convergence property of the algorithm. 𝐷= diag ([4 3 2 1]); rand (’seed’,0); format short e S= rand (4); S = (S - .5)*2; A = S*D/S % A0 = A = S*D*S^{-1} for i=1:20, [Q , R] = qr (A); A = R*Q end This yields the matrix sequence
  • 35.
    35 A0 = [-4.4529e-014.9063e+00 -8.7871e-01 6.3036e+00] [-6.3941e+00 1.3354e+01 1.6668e+00 1.1945e+01] [3.6842e+00 -6.6617e+00 -6.0021e-02 -7.0043e+00] [3.1209e+00 -5.2052e+00 -1.4130e+00 -2.8484e+00] A1 = [5.9284e+00 1.6107e+00 9.3153e-01 -2.2056e+01] [-1.5294e+00 1.8630e+00 2.0428e+00 6.5900e+00] [1.9850e-01 2.5660e-01 1.7088e+00 1.2184e+00] [2.4815e-01 1.5265e-01 2.6924e-01 4.9975e-01] A2 = [4.7396e+00 1.4907e+00 -2.1236e+00 2.3126e+01] [-4.3101e-01 2.4307e+00 2.2544e+00 -8.2867e-01] [1.2803e-01 2.4287e-01 1.6398e+00 -1.8290e+00] [-4.8467e-02 -5.8164e-02 -1.0994e-01 1.1899e+00] A3 = [4.3289e+00 1.0890e+00 -3.9478e+00 -2.2903e+01] [-1.8396e-00 2.7053e+00 1.9060e+00 -1.2062e+00] [6.7951e-02 1.7100e-01 1.6852e+00 2.5267e+00] [1.3063e-02 2.2630e-02 7.9186e-02 1.2805e+00] A4 = [4.1561e+00 7.6418e-01 -5.1996e+00 2.2582e+01] [-9.4175e-02 2.8361e+00 1.5788e+00 2.0983e+00] [3.5094e-02 1.1515e-01 1.7894e+00 -2.9819e+00] [-3.6770e-03 -8.7212e-03 -5.7793e-02 1.2184e+00] A5 = [4.0763e+00 5.2922e-01 -6.0126e+00 -2.2323e+01] [-5.3950e-02 2.9035e+00 1.3379e+00 -2.5358e+00] [1.7929e-02 7.7393e-02 1.8830e+00 3.2484e+00] [1.0063e-03 3.2290e-03 3.7175e-02 1.1372e+00]
  • 36.
    36 A6 = [4.0378e+003.6496e-01 -6.4924e+00 2.2149e+01] [-3.3454e-02 2.9408e+00 1.1769e+00 2.7694e+00] [9.1029e-03 5.2173e-02 1.9441e+00 -3.4025e+00] [-2.6599e-04 -1.1503e-03 -2.1396e-02 1.0773e+00] A7 = [4.0189e+00 2.5201e-01 -6.7556e+00 -2.2045e+01] [-2.1974e-02 2.9627e+00 1.0736e+00 -2.9048e+00] [4.6025e-03 3.5200e-02 1.9773e+00 3.4935e+00] [6.8584e-05 3.9885e-04 1.1481e-02 1.0411e+00] A8 = [4.0095e+00 1.7516e-01 -6.8941e+00 2.1985e+01] [-1.5044e-02 2.9761e+00 1.0076e+00 2.9898e+00] [2.3199e-03 2.3720e-02 1.9932e+00 -3.5486e+00] [-1.7427e-05 -1.3602e-04 -5.9304e-03 1.0212e+00] A9 = [4.0048e+00 1.2329e-01 -6.9655e+00 -2.1951e+01] [-1.0606e-02 2.9845e+00 9.6487e-01 -3.0469e+00] [1.1666e-03 1.5951e-02 1.9999e+00 3.5827e+00] [4.3933e-06 4.5944e-05 3.0054e-03 1.0108e+00] A10 = [4.0024e+00 8.8499e-02 -7.0021e+00 2.1931e+01] [-7.6291e-03 2.9899e+00 9.3652e-01 3.0873e+00] [5.8564e-04 1.0704e-02 2.0023e+00 -3.6041e+00] [-1.1030e-06 -1.5433e-05 -1.5097e-03 1.0054e+00] A11 = [4.0013e+00 6.5271e-02 -7.0210e+00 -2.1920e+01] [-5.5640e-03 2.9933e+00 9.1729e-01 -3.1169e+00] [2.9364e-04 7.1703e-03 2.0027e+00 3.6177e+00] [2.7633e-07 5.1681e-06 7.5547e-04 1.0027e+00]
  • 37.
    37 A12 = [4.0007e+004.9824e-02 -7.0308e+00 2.1912e+01] [-4.0958e-03 2.9956e+00 9.0396e-01 3.1390e+00] [1.4710e-04 4.7964e-03 2.0024e+00 -3.6265e+00] [-6.9154e-08 -1.7274e-06 -3.7751e-04 1.0014e+00] A13 = [4.0003e+00 3.9586e-02 -7.0360e+00 -2.1908e+01] [-3.0339e-03 2.9971e+00 8.9458e-01 -3.1558e+00] [7.3645e-05 3.2052e-03 2.0019e+00 3.6322e+00] [1.7298e-08 5.7677e-07 1.8857e-04 1.0007e+00] A14 = [4.0002e+00 3.2819e-02 -7.0388e+00 2.1905e+01] [-2.2566e-03 2.9981e+00 8.8788e-01 3.1686e+00] [3.6855e-05 2.1402e-03 2.0014e+00 -3.6359e+00] [-4.3255e-09 -1.9245e-07 -9.4197e-05 1.0003e+00] A15 = [4.0001e+00 2.8358e-02 -7.0404e+00 -2.1902e+01] [-1.6832e-03 2.9987e+00 8.8305e-01 -3.1784e+00] [1.8438e-05 1.4284e-03 2.0010e+00 3.6383e+00] [1.0815e-09 6.4192e-08 4.7062e-05 1.0002e+00] A16 = [4.0001e+00 2.5426e-02 -7.0413e+00 2.1901e+01] [-1.2577e-03 2.9991e+00 8.7953e-01 3.1859e+00] [9.2228e-06 9.5295e-04 2.0007e+00 -3.6399e+00] [-2.7039e-10 -2.1406e-08 -2.3517e-05 1.0001e+00] A17 = [4.0000e+00 2.3503e-02 -7.0418e+00 -2.1900e+01] [-9.4099e-04 2.9994e+00 8.7697e-01 -3.1917e+00] [4.6126e-06 6.3562e-04 2.0005e+00 3.6409e+00] [6.7600e-11 7.1371e-09 1.1754e-05 1.0000e+00]
  • 38.
    38 A18 = [4.0000e+002.2246e-02 -7.0422e+00 2.1899e+01] [-7.0459e-04 2.9996e+00 8.7508e-01 3.1960e+00] [2.3067e-06 4.2388e-04 2.0003e+00 -3.6416e+00] [-1.6900e-11 -2.3794e-09 -5.8750e-06 1.0000e+00] A19 = [4.0000e+00 2.1427e-02 -7.0424e+00 -2.1898e+01] [-5.2787e-04 2.9997e+00 8.7369e-01 -3.1994e+00] [1.1535e-06 2.8265e-04 2.0002e+00 3.6421e+00] [4.2251e-12 7.9321e-10 2.9369e-06 1.0000e+00] A20 = [4.0000e+00 2.0896e-02 -7.0425e+00 2.1898e+01] [-3.9562e-04 2.9998e+00 8.7266e-01 3.2019e+00] [5.7679e-07 1.8846e-04 2.0002e+00 -3.6424e+00] [-1.0563e-12 -2.6442e-10 -1.4682e-06 1.0000e+00] Looking at the element-wise quotients of the last two matrices, one recognizes the convergence rates claimed at the beginning. A20/A19 = [1.0000 0.9752 1.0000 -1.0000] [0.7495 1.0000 0.9988 -1.0008] [0.5000 0.6668 1.0000 -1.0001] [-0.2500 -0.3334 -0.4999 1.0000] The elements above and on the diagonal are relatively stable. These little numerical tests are intended to demonstrate that the convergence rates given as |𝑎𝑖𝑗 𝑘 | = б (| 𝜆 𝑖 𝜆 𝑗 |k), 𝑖 > 𝑗, are in fact seen in a real run of the basic 𝑄𝑅 algorithm. The conclusions we can draw are the following:
  • 39.
    39 The convergence ofthe algorithm is slow; in fact it can be arbitrarily slow if eigenvalues are very close to each other. The algorithm is expensive; each iteration step requires the computation of the 𝑄𝑅 factorization of a full n × n matrix, i.e., each single iteration step has a complexity O(n3). Even if we assume that the number of steps is proportional to n, we would get an O(n4) complexity.
  • 40.
    40 CHAPTER FOUR 4.0 APPLICATIONSOF EIGENVALUE PROBLEMS The eigenvalue problem is a problem of considerable theoretical interests and wide ranging application. For example, this problem is useful in solving systems of differential equations, analyzing population growth model and calculating power of matrices (in order to define the exponential matrix). Other areas where eigenvalues and eigenvectors are applicable include: Physics, Sociology, Biology, Economics and Statistics. In this chapter, we discuss a few typical examples of applications of matrix eigenvalue problems. These applications problems are incredibly large but we shall focus on four applications which include: Elasticity Theory, Population Theory, Mechanical Vibration and Biology. 4.1 APPLICATION OF EIGENVALUE PROBLEM TO ELASTICITY THEORY An application: Stretching an elastic membrane Supposethat we take a circular elastic membrane and stretch it. If we assume that the elastic membrane is a disc of radius 1, then we may define coordinate axes through the centre of the disk so that the boundary of the membrane is defined by the circle 𝑋1 2 + 𝑋2 2 = 1. To model stretching the
  • 41.
    41 membrane, we dothe following: consider a point on the circle, 𝑃(𝑥1,𝑥2); multiplying 𝑃 by a 2 × 2 matrix moves 𝑃 into the point 𝑄(𝑦1,𝑦2), given by 𝑌 = [ 𝑦1 𝑦2 ] = 𝐴 [ 𝑥1 𝑥2 ] = 𝐴𝑥 an elastic membrane in the 𝑋1 𝑋2 plane with boundary circle 𝑋1 2+ 𝑋2 2= 1. Fig ( 4.1) is stretched so that a point 𝑃:(𝑥1,𝑥2); goes over into the point 𝑄:(𝑦1,𝑦2) 4.1.1 Problem 1 Let A = [ 5 3 3 5 ] ; 𝑌 = [ 𝑦1 𝑦2 ]= Ax = [ 5 3 3 5 ][ 𝑥1 𝑥2 ] ; (4.1) Find the directions (principal directions), that is, the directions of the position vector 𝑥 of 𝑃 for which the direction of the position vector 𝑦 of 𝑄 is the same or exactly opposite. What shape does the boundary circle take under this deformation? SOLUTION We are looking for vectors x such that 𝑦 = 𝜆𝑥. Since 𝑦 = 𝐴𝑥, this gives 𝐴𝑥 = 𝜆𝑥, the equation of an eigenvalue problem. In components, 𝐴𝑥 = 𝜆𝑥 is 5x1 + 3x2 = λx1 OR (5-λ) x1 + 3x2 = 0 (4.2) 3x1 + 5x2 = λx2 3x1 + (5-λ) x2 = 0 The characteristic equation is | 5 − 𝜆 3 3 5 − 𝜆 | = (5-λ)2 – 9 = 0 (4.3)
  • 42.
    42 Its solutions areλ1= 8 and λ2 = 2. These are the eigenvalues of our problem. For λ1 = 8, our system becomes -3x1 + 3x2 = 0 3x1 – 3x2 = 0 ; solution x2 = x1 where x1 is arbitrary. For instance x1 = x2 = 1 For λ2 = 2; our system ii) becomes 3x1 + 3x2 = 0 3x1 + 3x2 = 0; ⇒ x2 = -x1, i.e. x1 arbitrary, for instance x1 = 1, x2 = -1 We thus obtain as eigenvectors of 𝐴, for instance, 𝑉1 =( 1 1)T correspondingto λ1 and 𝑉2 =(1 -1)T corresponding to λ2 ( or a non zero scalar multiple of these). These values make 45o and 135o angles with the positive x1 direction. They give the principal directions, the answer to our problem. The eigenvalues show that in the principal directions the membrane is stretched by factors 8 and 2 respectively (see fig 4.1). Fig (4.1) Un-deformed and Deformed Membrane
  • 43.
    43 Accordingly, if wechoosethe principal directions as directions of a new Cartesian u1u2 coordinate system, with the positive u1 axis in the first quadrant and the positive u2 semi axis in the second quadrant of the x1x2 system, and if we set u1 = rcosθ, u2= rsinθ, then a boundary point of the un-stretched circular membrane has coordinates cosθ, sinθ. Hence after the stretch, we have; Z1= 8cosθ and Z2= 2sinθ. Since cos2θ + sin2θ = 1, this shows that the deformed boundary is an ellipse (fig 4.1) This implies that Z1 2 + Z2 2 = 1 (4.4) 82 22 4.1.2 Problem 2: The Elastic Pendulum Consider the pendulum in the figure below in that is connected to a hinge by an idealized rod that is mass less and of fixed length L. Denote by θ the angel between the rod and vertical. The force acting on the mass are gravity, which has magnitude mg and direction (0, -1), tension in the rod, whose magnitude T(t) automatically adjusts itself so that the distance between the mass and the hinge is fixed at L and whose direction is always parallel to the rod and possiblysome functional forces, like friction in the hinge and air resistance. Assume that total frictional force has magnitude proportional to the speed of the mass and has
  • 44.
    44 direction oppositeto thedirection of motion of the mass. Find the solution(s) of this: With 𝑔 𝑙 = 2 and 𝛽 𝑚 = 2. The angle θ and angular speed 𝑆 obey 𝑑𝜃 𝑑𝑡 = s, 𝑑𝑠 𝑑𝑡 = - 2θ – 2𝑆. SOLUTION Noting that this pendulum obeys 𝑚𝑙 𝑑2 𝜃 𝑑𝑡2 = - 𝑀𝑔sinθ - βl 𝑑𝜃 𝑑𝑡 and that when θ is small, we can approximate sin θ ≈ θ and get the equation 𝑑2 𝜃 𝑑𝑡2 + 𝛽 𝑚 𝑑𝜃 𝑑𝑡 + 𝑔𝜃 𝑙 = 0 And s = 𝑑𝜃 𝑑𝑡 Then; 𝑑𝑠 𝑑𝑡 = -2θ – 2𝑆 or 𝑑 𝑑𝑡 [ 𝜃 𝑠 ] = [ 0 1 −2 −2 ] [ 𝜃 𝑠 ]
  • 45.
    45 Or 𝑑 𝑥 → 𝑑𝑡 = 𝐴𝑥⃗ With𝑥⃗ = [ 𝜃 𝑠 ] 𝐴 = [ 0 1 −2 2 ] With 𝑥⃗ (t) = 𝑒 𝜆𝑡 𝑉⃗⃗with the constants λ and 𝑣⃗ to be determined. This guess is a solution if and only if λ𝑒 𝜆𝑡 𝑉⃗⃗ = [ 0 1 −2 2 ] 𝑒 𝜆𝑡 𝑉⃗⃗ Dividing both sides of the equation by 𝑒 𝜆𝑡 , gives λ𝑉⃗⃗= [ 0 1 −2 2 ] 𝑉⃗⃗ or [ 0 1 −2 2 ] - λ[ 1 0 0 1 ] 𝑉⃗⃗ = 0 OR [ −𝜆 1 −2 −2 − 𝜆 ] 𝑉⃗⃗ = 0⃗⃗ This system of equation always has the trivial solution 𝑉⃗⃗ = 0⃗⃗. It has a solution with 𝑉⃗⃗ ≠ 0⃗⃗ if and only if det [ −𝜆 1 −2 −2 − 𝜆 ] = 0 Evaluating the determinant (- λ) (-2 –λ) – (1) (-2) = λ2 + 2λ + 2 = (λ + 1)2 + 1 = 0 (λ + 1)2 = -1
  • 46.
    46 = λ +1 = + i = λ = - 1 + i So the eigenvalues of 𝐴 are 𝜆1 = –1 + i and 𝜆2 =–1 – i We next find all eigenvectors of eigenvalue – 1 + i. to do so, we must solve [ −𝜆 1 −2 −2 − 𝜆 ] λ= -1+ i 𝑉⃗⃗= 0⃗⃗ [ −(−1 + 𝑖) 1 −2 −2 − (−1 + 𝑖) ] 𝑉⃗⃗= 0⃗⃗ 𝑉⃗⃗= 𝛾 2 [ −1 − 𝑖 2 ] If we have not made any mechanical errors, [ −1 − 𝑖 2 ] should be an eigenvector Of eigenvalue -1 + i (choosing 𝜸 = 2 avoids fractions). That is, we should have [ 0 1 −2 −2 ] [ −1 − 𝑖 2 ] = [-1 +i] [ −1 − 𝑖 2 ] The left and right hand sides are both equal to [ 2 −2 + 2𝑖 ] We could not repeat the whole computation with λ = -1- i. As we have seen before, there’s an easier way. Replacing every ί in [ 0 1 −2 −2 ] [ −1 − 𝑖 2 ] = [-1+i] [ −1 − 𝑖 2 ]
  • 47.
    47 by –𝑖̀. Thatis, take the complex conjugate [ 0 1 −2 −2 ] [ −1 + 𝑖 2 ] = [-1-i] [ −1 − 𝑖 2 ] This is a true equation both sides equal [ 2 −2 − 𝑖 ] and says that [ −1 − 𝑖 2 ] is an eigenvector of eigenvalue -1 - 𝑖̀. We started this example looking for solution of 𝑑 𝑥 → 𝑑𝑡 = 𝐴𝑋⃗(t) of the form 𝑋⃗(t) = 𝑒 𝜆𝑡 𝑉⃗⃗ . we have found (again choosing 𝜸 = 2 so as to avoid fractions) that both give solutions. λ = -1+i, 𝑉⃗⃗= [ −1 − 𝑖 2 ] ; λ = -1-i, 𝑉⃗⃗ = [ −1 + 𝑖 2 ] [ 1 − 𝑖 1 −2 −1 − 𝑖 ] 𝑉⃗⃗ = 0⃗⃗ If we do not made any mechanical errors, the second row must not be a multiple of the first, despite the ί’s floating around. Applying Gaussian elimination as usual; we have (2) - −2 1−𝑖̀ (1) [ 1 − 𝑖 1 −2 − −2 1−𝑖 (1 − 𝑖) −1 − 𝑖 − −2 1−𝑖 ] 𝑉⃗⃗ = 0⃗⃗ ⇒ [ 1 − 𝑖 1 0 −1 − 𝑖 − −2 1−𝑖 ] 𝑉⃗⃗= 0⃗⃗
  • 48.
    48 Multiplying both numerationand denominator of −2 1−𝑖̀ by the complex conjugate of the denominator (which is obtained by replacing every ί in the denominator by – ί). The new denominator will be real number. i.e. [ 1 − 𝑖 1 0 −1 − 𝑖 − −2 1−𝑖 1+𝑖 1+𝑖 ] 𝑉⃗⃗= 0⃗⃗⃗⃗ i.e. [ 1 − 𝑖 1 0 −1 − 𝑖 − −2(1+𝑖) 12−𝑖2 ] 𝑉⃗⃗= 0⃗⃗⃗⃗ = [ 1 − 𝑖 1 0 0 ] 𝑉⃗⃗ = 0⃗⃗ And the second row vanishes as expected, backsolving v2 = 𝜸1 arbitrary v1 = −1 1− 𝑖̀ v2 = - 1 + ί (1−𝑖̀)(1+𝑖) 𝜸 = - 1+𝑖̀ 2 𝜸 by linearity, for any valuess of c1 and c2, 𝑥⃗(t) = c1e (-1+ί)t [ −1 − 𝑖 2 ] + c2 e(-1+ί)t [ −1 − 𝑖 2 ] ⇒ 𝑑 𝑥 → 𝑑𝑡 = [ 0 1 −2 −2 ] 𝑥⃗(t) We shall see that there are no other solutions, noting that the solutions involve exponentials with complex exponents. Avoiding complex exponential, we can always convert this into sin’s and cos’s,byusing
  • 49.
    49 eίt = cost+ίsint e-ίt = cost – ίsint Substituting, we have; and collecting like terms; (-1-ί)e(-1-ί) = (-1-ί) e-te-it = (-1-𝑖̀)e-t [cost+ ίsint] = e-t [(-1- ί) cost+ (1- ί)sint] 2e (-1+ ί) t = 2e-teίt = 2e-t [cost+ ίsint] = e-t [2cost+ 2ίsint] (-1+ί) e (-1-ί) t = (-1+ί) e-te-it = (-1+𝑖̀)e-t [cost- ίsint] = e-t [(-1+ί) cost+ (-1+ί) sint] . 2e(-1+ ί)t = 2e-te-ίt = 2e-t [cost– ίsint] = e-t [2cost- 2ίsint] In most applications, the matrix A contains only real entries. So just by taking complex conjugates of both sides of A𝑣⃗=λ𝑣⃗ (recall that we take complex conjugates by replacing every ί with – ί). We see that, if 𝑣⃗ is an eigenvector of eigenvalue λ, then the complex conjugate of 𝑣⃗ is an eigenvector of eigenvalue 𝜆̀. This is exactly what happened in this example. Our two eigenvalues 𝜆1 = – 1 + ί, 𝜆2 = -1- ί are complex conjugates of each other, as are the corresponding eigenvectors [ −1 + 𝑖 2 ] [ −1 + 𝑖 2 ] . So our two solution,
  • 50.
    50 𝑥⃗1 (t) =e(-1-ί)t [ −1 + 𝑖 2 ] And 𝑥⃗2 (t) = e(-1-ί)t [ −1 + 𝑖 2 ] are also complex conjugates of each. The solution with c1=c2 = ½ (which is gotten by adding the two together and dividing by two) is thus the real part of 𝑋⃗-(t)and is purely real. It is ½i 𝑥⃗+(t) - 1 2ί 𝑥⃗-(t) = ½ί e(-1-ί)t[ −1 − 𝑖 2 ] − ½ί e(-1-ί)t[ −1 + 𝑖 2 ] = ½ί e-t [−𝑒𝑖𝑡 − 𝑖𝑒−𝑖𝑡 + 𝑒−𝑖𝑡 − 𝑖𝑒 𝑖𝑡 2𝑒 𝑖𝑡 − 2𝑒−𝑖𝑡 ] =e-t[ −𝑠𝑖𝑛𝑡 − 𝑐𝑜𝑠𝑡 2𝑠𝑖𝑛𝑡 ] We now have two purely real solutions. By linearity, any linear combination of them is also a solution. So, for any values of a and b 𝑥⃗(t) = ae-t[ −𝑐𝑜𝑠𝑡 + 𝑠𝑖𝑛𝑡 2𝑐𝑜𝑠𝑡 ] + be-t[ −𝑠𝑖𝑛𝑡 − 𝑐𝑜𝑠𝑡 2𝑠𝑖𝑛𝑡 ] 𝑑 𝑥 → 𝑑𝑡 = [ 0 1 −2 −2 ] 𝑥⃗(t)
  • 51.
    51 We have notconstructed any solutions that we did not have before. We have really just renamed the arbitrary constants with c1= 𝑎 2 + 𝑏 2ί and C2 = 𝑎 2 + 𝑏 2ί Where (a,b) are real and (c1,c2)are complex.
  • 52.
    52 4.2 APPLICATION OFEIGENVALUE PROBLEM IN POPULATION THEORY In this section, we discuss how one can use matrix theory and eigenvalues to describe the way the population structure varies over time. Difference equations show up all over the place in mathematics and science, but one place they are used is for insurance calculations. A wealth insurance company works from probabilities; in a given year, they need to know how many people are healthy (so they can plan the right amount of money for preventative care), how many people are sick (so they can plan for more money to stop paying bills). An insurance company doesn’thave an infinite amount of money, so they need to have at least a tough idea of where to allocate their money in a given year. 4.2.1 Problem 3 Supposewe have a population of initially 200 healthy people, but a serious plague hits. People can be categorized as healthy, sick, or dead. Because of the plague, each year, 60% of the healthy people get sick, only 30% stay healthy and 10% of the healthy people die. We also know this plague is difficult to cure, so each year 60% of the sick die, while only 20% become healthy and 20% remain sick. Assuming all of the dead people stay dead, to the nearest person, determine how many people are healthy, sick and dead after k years. How many years will it take until only 10% (20% of the initial 200 people) of the population is still alive?
  • 53.
    53 SOLUTION We begin bysetting up the variables and equations. Let x1(k) be the number of healthy people after k years, x2(k) be the number of sick people, and x3(k) be the number of dead people. Then, the information given in the problem tells us that X1 (k+1) = 0.3x1(k) + 0.2x2(k) X2(k+1) = 0.6x1(k) + 0.2x2(k) X3 (k +1) = 0.1x1(k) + 0.6x2(k) + x3 (k) So if xk = [ 𝑥1𝑘 𝑥2𝑘 𝑥3𝑘 ] This problem is asking us to solve the equation xk = Axk-1 Where A = [ 0.3 0.2 0 0.6 0.2 0 0.1 0.6 1 ] To do this, we first find the eigenvalues and eigenvectors of A, which are λ1 = -0.1, u1 = [ 1 −2 1 ]
  • 54.
    54 λ2 = 0.6,u2 = [ −2 −3 −5 ] λ3 = 1, u3 = [ 0 0 1 ] Then given any initial vector x0, we know xk= c1λ1 ku1 + c2λ2 ku2 + c3λ3 ku3 Where c1, c2 and c3 are the co-ordinates of x0 in the basis u1, u2, u3 But, here we have x0 = [ 200 0 0 ] And we can write this in terms of the basis as X0 = 600 7 u1 - 400 7 u2 + 200 u3 So at any time k, xk = 600 7 (-1.0)k [ 1 −2 1 ] − 400 7 (0.6)k [ −2 −3 5 ] + 200(1)k [ 0 0 1 ] To figure out how long it will take for only 10% of the population to still be alive, we just plug in the first few values of k. Rounded to the nearest person, we find that
  • 55.
    55 X0 = [ 200 0 0 ]X4 = [ 15 122 163 ] X1 = [ 60 120 20 ] X5 = [ 9 13 178 ] X2 = [ 42 60 98 ] X6 = [ 9 8 87 ] X3 = [ 25 37 138 ] So, after 6 years, only 13 (less than 10%) of the initial 200 people will still be alive. 4.2.2 Problem 4: let the oldest age attained by females in some animal population be 9 years. Divide the population into three age classes of 3 years each. Let the “Leslie matrix’’ be L=(Ijk) = [ 0 2.3 0.4 0.6 0 0 0 0.3 1 ] Where Ijk is the average number of daughters born to a single female during the time she is in age class k, and Iϳ,j-1 (𝑗 = 2.3) is the fraction of females in age class (𝑗-1) that will survive and pass into class j.
  • 56.
    56 a) What isthe number of females in each class after 3, 6, 9 years if each class initially consists of 400 females? b) For what initial distribution will the number of females in each class change by the same proportion? What is this rate of change? Solution A). Initially, the number of females i.e x(0) T =(400 400 400). i. After 3 years X(3) = Lx(0) = [ 0 2.3 0.4 0.6 0 0 0 0.3 1 ][ 400 400 400 ] = [ 1080 240 120 ] ii. Similarly, after 6 years, the number of females in each class is given by X(6) T = (Lx(3))T = [ 0 2.3 0.4 0.6 0 0 0 0.3 1 ] [ 1080 240 120 ] = [600 648 72]
  • 57.
    57 iii. After 9years, the number of females in each class is given by X(9) T = (Lx(6))T = [ 0 2.3 0.4 0.6 0 0 0 0.3 1 ] [ 600 648 72 ] = [1519.2 360 194.4] The answers obtained shows that the initial population of the female continues to increase at each stage after 3 years respectively. And also the answer shows that the population cannot continue to increase but at some point in some classes, the population decreases. B). proportional change means that we are looking for a distribution vector x such that Lx = λx, where λ is the rate of change (growth if λ > 1, decreaseif λ < 1). The characteristic equation is det(L – λI) = -λ3 – 0.6 (-2-3λ -0.3(0.4)) -λ3 + 1.38λ + 0.072 = 0 A positive root is found to be λ (1.2) (By Newton’s method). A corresponding eigenvector x can be determined from the characteristic matrix (A – 1.2I) = [ −1.2 2.3 0.4 0.6 −1.2 0 0 0.3 −1.2 ] Say x = [ 1 0.5 0.125 ] Where x3 = 0.125 is chosen
  • 58.
    58 X2 =0.5; thenfollows from 0.3x2 – 1.2x3 = 0 and x1 =1 from -1.2x1 + 2.3x2 + 0.4x3=0. To get an initial population of 1200 as before, we multiply x by 1200 (1+0.5+0.125) = 738 Thus, proportional growth of the numbers of females, in the three classes will occurif the initial values are 738, 369, and 92 in classes 1, 2, 3 respectively. The growth rate will be 1.2 per 3 years. 4.3 APPLICATION OF EIGENVALUE PROBLEM IN MECHANICAL VIBRATION Vibration is the motion of a particle or a body(system) of connected bodies displaced from a position of equilibrium. Most vibrations are undesirable in machines and structures and because they produceincreased stresses, energy losses, cause added wear, increase bearing loads, induce fatigue, create passage discomfort in vehicles and absorb energy from the system. Rotating machine parts needs careful balancing in order to prevent damage from vibrations. Vibration can be classified into three categories; free, forced, and self-excited. Free vibration of a system is vibration that occurs in the absence of external force. An external force that acts on the system causes forced vibrations. In this case, the exciting force continuously supplies energy to the system. Forcevibrations may be
  • 59.
    59 either deterministic orrandom while self excited vibrations are periodic and deterministic oscillations. 4.3.1Anapplication: vibrating system of two masses ontwo springs. Mass –spring systems involving several masses and springs can be treated as eigen value problems. For instance, the mechanical system in fig (4.2) is governed by the system of ODE’s. Problem 5: y1 11 =-5y1 + 2y2 y2 11 = 2y1 -2y2 (4.5) Where y1 and y2 are the displacements of the masses from rest, as shown in the figure, and primes denote derivatives with respect to time (t). In vector form, this becomes; Fig (4.2) masses on springs
  • 60.
    60 𝑌̈ = [ 𝑦̈1 𝑦̈2 ]=𝐴𝑦 = [ −5 2 2 −2 ][ 𝑦1 𝑦2 ] (4.6) From (4.6) we try a vector solution of the form y = xewt (4.7) This is suggested by a mechanical system of a single mass on a spring, whose motion is given by exponential functions (and sines and cosines). Substitution into (ii) gives 𝑊2 𝑥𝑒 𝑤𝑡 = 𝐴𝑥𝑒 𝑤𝑡 Dividing by 𝑒 𝑤𝑡 and writing 𝑤2 = λ, we see what our mechanical system leads to the eigenvalue problem. 𝐴𝑥 = 𝜆𝑥 (4.8) Where λ = 𝑤2. From this where A= [ −5 2 2 −2 ] , we see that A has the eigenvalues λ1= -1 and λ2= - 6. Consequently, 𝑤 = √-1 = ± ί and √-6 =±i√-6, respectively, correspondingeigenvectors are X1 = [ 1 2 ] and X2 = [ 2 −1 ] (4.9) From equation (4.7) we thus obtain the four complex solutions (second orderlinear ODE’s)
  • 61.
    61 X1e+it = x1(cost± isint), X2e+i√6t = x2(cos√6t ± isin√6t) by addition and subtraction, we get the four real solutions x1cost, x1sint, x2cos√6t, x2sin√6t. A general solution is obtained by taking the linear combination of these, y = x1(a1cost + b1sint) + x2 (a2cos√6t + b2sin√6t) with arbitrary constants a1, b1, a2, b2 (to which values can be assigned by prescribing initial displacement and initial velocity of each of the two masses). By equation (v), the components of y are y1= a1cost+ b1sint +2a2cos√6t+ 2b2sin√6t y2 = 2a1cost + 2b1sint – a2cos√6t – b2sin√6t These functions describe harmonic oscillations of the two masses. Physically, this had to be expressed because we have neglected damping.
  • 62.
    62 4.4 APPLICATION OFEIGENVALUE PROBLEM IN BIOLOGY In this section, we shall see how one can use matrix theory and eigenvalues to describe the population structures (stages or life cycle) of creatures over time. We will use a real life example (biological model) to explain and introduce concepts related to biology as been stated by (Caswell H.). we will show the Leslie matrix to study eigenvalue problems of population structure. A Leslie matrix uses age specific or stage (class) specific survival and fecundity rates for a population to describe the way the population structure varies over time. To begin, let’s supposethat the female members of a population are divided into two stages, each one year in length. Females in the first stage produceno offspring and have a 70% chance of surviving to the second stage. Females in the second stage producean average of 3 female offspring per year, but are guaranteed to die after one year in stage 2. Let’s also supposethat initially there are 100 females in the second stage. What will the distribution of the female population look like in year 1? The number of stage 1 females in year 1 = (average number of offspring produced by stage 1 females x 100) + (average number of offspring produced by stage 2 females x 100) = (0 x 100) + (3 x 100) = 300
  • 63.
    63 Also, the numberof stage 2 females in year 1= number of stage 1 females reaching stage 2 + number of stage 2 females remaining in stage 2 = (probability of a stage 1 female reaching stage 2 x 100) + (probability of a stage 2 female remaining in stage 2 x 100) = (0.7 x 100) + (0 x 100) = 3. So in year 1, there will be 300 females in stage 1 and 70 females in stage 2. What do we do if there are more than two stages for the female population? In general, supposethe female members of a population are into n stages or classes. Let Fi = The fecundity of a female in the ith class i.e. Fi= The average number of offspring per female in the ith class. Also, let pi= the probability that a female in the ith class will survive to become a member of the (I + 1)st class. Let ( ) 1 ( ) ( ) 2 ( ) 1 2 k k k k n x population of stage females in year k population of stage females in year kx population of stage n females in year kx                         x MM .
  • 64.
    64 Then )( 11 )1( )( 22 )1( 3 )( 11 )1( 2 )()( 11 )( 22 )( 11 )1( 1 k nn k n kk kk k nn k nn kkk xPx xPx xPx xFxFxFxFx             (4.10) Then a Lesliematrix that describes the change in the population over time is given by                    000 000 000 1 2 1 121 n nn P P P FFFF L      and we can represent the system of linear equations given in (4.10) by the matrix system .)()1( kk Lxx  Also note that .)0(1)1( xx   kk L (4.11) 4.4.1 Problem 6: We’re interested in the long-term behavior of the population. So let’s see if we can answer the following questions. To construct, take the Leslie matrix of the beetle population as                    0 3 1 0 00 2 1 600 L .
  • 65.
    65 1. Supposethat ina given year there are 60 beetles age 1 year, 60 beetles age 2 years and 60 beetles age 3 years. In other words, the population of beetles at time 0 is given by the vector . 60 60 60 )0(           x what will the age distribution of the beetles look like in the following year? How about 5 years from now? How about 10 years from now? SOLUTION The question we are most interested in answering is the following: What will happen to a population in the long run? Will it grow? Will it die out? Will it get younger? Older? The key to answering these questions is the eigenvalues and eigenvectors of L. To see this, let’s go back to our initial illustration, where the female members of a population are divided into two stages, and each one year in length. Females in the first stage produceno offspring and have a 70% chance of surviving to the second stage. Females in the second stage producean average of 3 female offspring per year, but are guaranteed to die after one year in stage 2. Let’s also supposethat initially there are 100 females in the first stage and 100 females in the second stage.
  • 66.
    66 The Leslie matrixL for this population is given by 𝐿 = [ 0 3 0.7 0 ] We find the eigenvalues of L to be 45.11.21  and .45.11.22  The corresponding eigenvectors are 1 (2.07, 1)e and 2 ( 2.07, 1). e How will this help us determine the long-run population? First, we will express our initial population vector (0) (100, 100)x as a linear combination of the eigenvectors .and 21 ee This gives: .85.2515.74 21 )0( eex  Then )04.70,14.300( )48.37,58.77()52.107,56.222( )45.1(85.25)45.1(15.74 )(85.25)(15.74 )85.2515.74( 21 21 21 )0()1(      ee ee eexx LL LL as we saw above. From (2) above we see that         ( ) (0) 1 2 1 2 1 2 1 2 1 (74.15 25.85 ) 74.15( ) 25.85( ) 74.15 (1.45) 25.85 ( 1.45) (1.45) 74.15 25.85 ( 1) (1.45) 2.07(74.15 25.85 ( 1) ), 74.15 25.85 ( 1) n n n n n n n n n n n n L L L L                     x x e e e e e e e e and now we can see that as n gets larger, bothstages of our population will continue to grow due to n )45.1( Now let’s return to our beetle population example.
  • 67.
    67 Recall that theLeslie matrix for our beetle population is given by                    0 3 1 0 00 2 1 600 L . a) The age distribution of the beetles in year one is given by                                         20 30 360 60 60 60 0 3 1 0 00 2 1 600 )0( xL The age distribution of the beetles five years from now is given by                                         10 180 120 60 60 60 0 3 1 0 00 2 1 600 5 )0(5 xL The age distribution of the beetles ten years from now is given by                                         20 30 360 60 60 60 0 3 1 0 00 2 1 600 10 )0(10 xL
  • 68.
    68 2: What willhappen to the population of beetles in the long run? Will it die out? Will it grow? Will the population get younger? Older? Let’s see if we can determine what will happen. a) Beginning with , 60 60 60 )0(           x calculate ,, )2()1( xx and .)3( x what will happen if I calculate ,, )5()4( xx and )6( x ? Can you now describethe long-term behavior of the beetle population? b) Find the eigenvalues 1 2 3, ,   for the matrix L. Also find the norm of each eigenvalue. What do you see? Does this help explain the behavior you observed in the previous problem? SOLUTION a)                                         20 30 360 60 60 60 0 3 1 0 00 2 1 600 )0()1( xx L                                         10 180 120 60 60 60 0 3 1 0 00 2 1 600 2 )0(2)2( xx L We see the population cycling through                                         60 60 60 60 60 60 0 3 1 0 00 2 1 600 3 )0(3)3( xx L
  • 69.
    69 ,, )2()1( xx and.)3( x So ,, )2()5()1()4( xxxx  and .)3()6( xx  The population will cycle through these three vectors forever. b) The eigenvalues of L are 2 31 and, 2 31 ,1 321 ii      (the cube roots of 1). Each eigenvalue has norm 1. Since the 3rd power of each eigenvalue is 1, we observe the cyclic nature of the population. Conclusion:From the question one and two, the conclusion is that as n increases i.e. the number of years, the age distribution of the beetles will continue to increase and decrease simultaneously at some certain points as n increases by 5years (n+5). This example explains Leslie model. 4.4 2 Problem 7: An application to genetics in plants In an experimental farm, a large population of flowers consists of all possible genotypes (AA, Aa, and aa), with an initial frequency of a0=0.05, b0=0.90 and c0=0.05 respectively. Supposethat the genotype controls flower colour, and that each flower is fertilized by a flower of a genotype similar to its own (this is equivalent o an “inbreeding” program). Find an expression for the genotype distribution of the population after any number of generations. Use this equation to predict the genotype distribution of the population after 4 generations, and predict
  • 70.
    70 what the genotypedistribution of the population will be after an infinite number of generations. SOLUTION The genotype distribution of flower color in a population in the n-th generation can be represented by a genotype vector 𝑋 𝑛 = [ 𝑎 𝑛 𝑏 𝑛 𝑐 𝑛 ] where an , bn , and cn denote the portion of the population with genotype AA, Aa, aa, respectively in the n-th generation. If each plant is fertilized by a plant with a genotype similar to its own, then the possible combinations of the genotypes of the parents are AA and AA, Aa and Aa, and aa and aa. The probabilities of the possible genotypes of the offspring corresponding to these combinations are shown in the table below. TABLE (4.1) GENOTYPES OF PARENTS AA,AA Aa, Aa aa,aa Genotype AA 1 0.25 0 Genotype Aa 0 0.5 0 Genotype aa 0 0.25 1 The following equations determine the frequency of each genotype as dependent on the preceding generation. These arise directly from consideration of table (4.1).
  • 71.
    71 an = an-1+ 0.25 bn-1 bn= 0.5bn-1 n = 1,2 (4.12) cn= 0.25bn-1 + cn-1 Equations (4.12) can be written in matrix notation as: xn = Mxn-1 , n = 1,2, … (4.13) Where Xn = [ 𝑎 𝑛 𝑏 𝑛 𝑐 𝑛 ] , Xn-1= [ 𝐴 𝑛−1 𝐵𝑛−1 𝐶𝑛−1 ] and M = [ 1 0.25 0 0 0.5 0 0 0.25 1 ] (Noting that this matrix corresponds exactly to the columns of Table (4.1).Our next task is to diagonalize 𝑀 (that is, we seek an invertible matrix 𝑃 and a diagonal matrix 𝐷 such that 𝑀 = 𝑃𝐷𝑃−1 ). To perform this diagonalization, we need to find the eigenvalues of 𝑀 and an eigenvector correspondingto each eigenvalue. By computation using graphing calculator, the eigenvalues are λ1= 1 (multiplicity of two), and λ2 = 0.5 (multiplicity of one). The eigen-space corresponding to λ1= 1is x= [ 𝑥1 𝑥2 𝑥3 ] = x1[ 1 0 0 ] + x3[ 0 0 1 ] A basis for this eigen-space is [ 1 0 0 ] and [ 0 0 1 ] . Therefore, the eigen-space corresponding to λ1 = 1 is two dimensional. The eigen-space correspondingto λ2=
  • 72.
    72 0.5 is x=[ 𝑥1 𝑥2 𝑥3 ] = x3[ 1 −2 1 ] . A basis for this eigen-space is [ 1 −2 1 ] .Therefore the eigen-space correspondingto λ2 = 0.5 is one dimensional. Since the sum of the dimensions of the distinct eigen-spaces equals 3 (and 𝑀 is 3 × 3), 𝑀 is indeed diagonalizable. That is we can find 3 linearly independent eigenvectors of 𝑀. These 3 linearly independent eigenvectors of 𝑀 are the set of vectors that were identified above to form the basis for each of the eigen-spaces corresponding to each eigenvalue. Therefore, D = [ 𝜆1 0 0 0 𝜆2 0 0 0 𝜆3 ] = [ 1 0 0 0 1 0 0 0 0.5 ] P = [ 1 0 1 0 0 −2 0 1 1 ] and p-1 = [ 1 0.5 0 0 0.5 1 0 −0.5 0 ] (by graphing calculator) Thus xn = [ 𝑎 𝑛 𝑏 𝑛 𝑐 𝑛 ] = 𝑃𝐷 𝑛 𝑃−1 𝑋0 [ 1 0 1 0 0 −2 0 1 1 ] [ 1 0.5 0 0 0.5 1 0 −0.5 0 ] [ 𝑎0 𝑏0 𝑐0 ] [ 1 0 0 0 1 0 0 0 0.5 𝑛 ] = [ 𝑎0 𝑏0 𝑐0 ] [ 1 0.5 − 0.5 𝑛+1 0 0 0.5 𝑛 0 0 0.5 − 0.5 𝑛+1 1 ] Finally, 𝑎 𝑛 = 𝑎0 + [0.5− 0.5 𝑛+1 ]𝑏0 𝑏 𝑛 = 0.5 𝑛 𝑏0 𝑐 𝑛 = 𝑐0 + [0.5 − 0.5 𝑛+1 ]𝑏0 n=1, 2, (4.14)
  • 73.
    73 Equations (4.14) giveus the genotype distribution of the population after any number of generations of the breeding scheme. Notice that for n = 0, an = a0, bn= b0, and cn= c0, as we expect. After 4 generations (𝑛= 4), with a0 = 0.05, b0 = 0.90, and c0 = 0.05, we predict that: a4 = 0.47, b4 = 0.06, and c4 = 0.47. That is, originally (𝑛 = 0), in a population of 100 individuals, 5 would be AA, 90 would be Aa, and 5 would be aa. After 4 generations, 47 individuals would be AA, only 6 would be Aa, and 47 would be aa. If we let n→, we find that: an = 0.5, bn = 0, and cn = 0.5 .That is, in the limit as n→. The breeding program in this problem is an extreme caseof “inbreeding”, which is mating between individuals with similar genotypes. A well-known example of inbreeding is mating between brothers and sisters. Such breeding schemes were used by the royal families of England, in hopes of keeping “the royal lines pure.” However, many genetic diseases are autosomal recessive, which means that the disease is carried on the recessive allele. While AA and Aa genotypes will not exhibit the recessive disease, aa will. As this example shows, inbreeding increases the proportion of AA and aa genotypes in the population while reducing the number of Aa genotypes. Therefore, under an inbreeding program, the proportion of the population that is infected with the disease (aa) will increase.
  • 74.
    74 CHAPTER FIVE 5.1 SUMMARY Theconcept of numerical solution of eigenvalue problems has been studied with diver’s algorithms and application in various areas of human life. The application areas include Engineering, Biology, Statistics e.t.c. Chapters one and two talk more about the general introduction of eigenvalues and the way in which eigen values and eigen vectors are been obtained. The power method and QR algorithm are two methods for numerical calculation of eigenvalues of real matrices. The stability of a numerical eigenvalue problem depends on the matrix under consideration. These two algorithms were been discussed in chapter three with other algorithms in finding eigenvalues which include the Arnoldi Lanczos method, Rayleigh iteration algorithm e.t.c. These are algorithms in numerical analysis and one of the important problems is designing efficient and stable algorithms for finding the eigenvalues of a matrix or for a continuous linear operator (for example, the eigenvectors of the Hamiltonian of a particular quantum system are the different energy eigen-states of that system and their eigenvalues are the correspondingenergy levels). These eigenvalue algorithms may also find eigenvectors. The MATLAB application was also used in
  • 75.
    75 implementing some ofthese algorithms for better interpretation of the numerical solution of the problem. The application of this were been applied to different areas. The ideas of eigenvalues and eigenvectors have many other areas in which they can be applied but spacehas not permitted the presentation of all application of this, so we considered the biological application in which the Leslie model is been verified on the population structure of creatures and hoe their population can be controlled (an example was been treated), also the application of eigenvalue problems in mechanical vibration which deals with the mass spring system involving several masses and springs. This mechanical system is governed by the system of ODE’s. Therefore, from the observation of the eigenvalue algorithms, it is verified that different model of algorithms is suitable to solve eigenvalue problems regarding different applications. 5.2 CONCLUSION The methods presented in this study is very efficient for finding a limited number of solutions of eigenvalue problems of large order arising from different numerical analysis of structures. The features of the eigenvalue algorithms are summarized as follows;
  • 76.
    76 a. Any numberof multiple or close eigenvalues and their eigenvectors can be found. The existence of the multiple or close eigenvalues can be detected during the iterations by different methods used as contained in chapter three. b. The eigenvalues in any range of interest and their eigenvectors can be found, if the approximations to the solution are known. c. The numerical solution can be checked to determine if some eigenvalues and corresponding eigenvectors of interest have been missed, without extra operations. d. Some numerical method has very high convergence rates for eigenvalues and eigenvectors and some of these methods are more economical than others as been discussed in chapter two, the advantage being greater in large problems.
  • 77.
    77 5.3 RECOMMENDATION Since theapplication of eigenvalue problems in numerical solution has a wide range of applications. It is recommended that it should be included in the academic curriculum of the different fields of study obtainable in Nigerian Universities. Also some of the software’s for solving eigenvalue problems such as MATLAB, MAPLE, and JAVA should be taught as part of departmental courses to ease some of the problems encountered when some of these software’s are to be used in implementation and interpretation of project works.
  • 78.
    78 5.4 REFERENCES [1] Caswell,H. (1987). Matrix Population Models: Construction, Analysis and Interpretation, 2nd Edition, Sinaeur associates, inc. publishers, Sunderland, Massachusetts. [2] Demmel, James W. (1997). Applied Numerical Linear Algebra. SIAM, Philadelphia. [3] Erwin Kreyszig. (2006). Advanced Engineering Mathematics: Some Applications of Eigenvalue Problems (9th Edition). John Wiley & Son’s Inc. New York. [4] Evans, M. Harall II. (2001). Eigenvectors and Eigenvalues. Online at http://www.methaphysics.com/calc/eigen.html [5] Farr, William M. (2003). Modeling Inheritance of Genetic Traits. http://www.math.wpi.edu/course_materials/MA2071A98/project/node/.html [6] Francis, J.G.F.(1962). TheQR transformation-parts1 and 2, computer and mathematics journal, vol 13, pp 265-271 and 332-345. [7] Gohberg, I, Lancaster, P, Rodman, L. (2005). Indefinite linear algebra and applications. Basel-Boston-Berlin. [8] Golub, G.H.; Zhang, Z. and Zha,H. (2000). Large sparse symmetric problems with homogenous linear constraints: The Lanczos process with inner outer iterations, linear algebra and its application journal, vol 309, pp 289-306 [9] Hoffman, K. and Kunze, R. (1971). Characteristic Values in Linear Algebra.2nd Edition, Prentice-Hall, Inc., Engle-Wood Cliffs, New Jersey. [10] Kiusalaas, J. (2010). Numerical Methods in Engineering with Phyton, Cambridge University press. New York [11] Lay, D.C. (2000). Linear Algebra and its Application. Addison Wesley, New York. [12] Max Kurtz. (1991). Handbookin Applied Mathematics for Engineers and Scientist. Mc Graw Hill, New York. [13] Parlett, B.N. (2000). The QR Algorithm, Computing Science. SIAM, Philadelphia.
  • 79.
    79 [14] Reichel, L.;Calvetti, D.; Sorensen, D.C. (1994). An Implicitly Restarted Lanczos Method for Large Symmetric Eigenvalue Problems. Technical Report, Rice University. [15] Rutishauser, H. (1958). Solution of EigenvalueProblems with the LR- Transformation Journal. NBS appl. Math series 49, pp 47-81. [16] Sleijpen, G.L.G. and Vander Vorst, H.A. (1996). A JacobiDavidson Iteration Method for Linear Eigenvalue Problems. SIAM journal on Matrix Analysis and Applications. Vol 13, No. 1, pp 357-385 [17] Timoshenko, S. (1936). Theory of Elastic Stability. McGraw-hill, New York. [18] Wilkinson, J.H. (1965). The Algebraic Eigenvalue Problem. Oxford University Press, Oxford, UK. [19] Zheng, Ng and Jordan. (2002). Link Analysis, Eigenvectors and Stability. University of California Press, Berkeley.