Eigenvalue – Eigenvector Problem
EIGENVALUES & EIGENVECTORS
The eigenvalue problem is a problem of considerable
theoretical interest and wide-ranging application.
For example, this problem is crucial in solving systems of
differential equations, analyzing population growth models,
and calculating powers of matrices (in order to define the
exponential matrix (A100)).
Other areas such as physics, sociology, biology, economics
and statistics have focused considerable attention on
“eigenvalues” and “eigenvectors”-their applications and their
computations
Eigenvalue Problems
(Mathematical Background)
a11  λx1  a12x2  a1nxn  0
a21x1  a22  x2  a1nxn  0
   
an1x1  an2x2  ann  xn  0
D Determinant AI
AX0
The roots of polynomial D(λ) are the eigenvalues of the eigen system
A solution {X} to [A]{X} = λ{X} is an eigen vector
(homogeneous system)
AIX0 (eigen system)
1 2 3
4 5 6
7 8 9
1-c 2 3
4 5-c 6
7 8 9-c
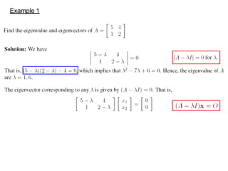
Example 1
4x1+4x2=0 4x1=-4x2
X1+x2=0 x1=-x2
CW
Example 2
C2+2c+2c+4=0  c(c+2)+2(c+2)=0
C3+4c2+4c-4c2-16c-16
𝑎3 − 12𝑎 − 16
𝑎 − 4
= 𝑎2
+ 4𝑎 + 4
R1+1/3R3
1 5 -3
3 -9 3
6 -6 0
1 5 -3
0 1 -1/2
6 -6 0
15
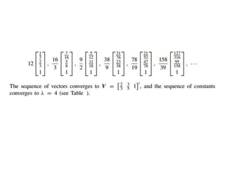
The Power Method
(An iterative approach for determining the largest eigenvalue)
Example (3):
Iteration 1: initialization [x1, x2, x3]T = [1 1 1]T
Iteration 2: A [10 1]T
Iteration 3: A [1 -11]T
Iteration 4: A [-0.751 -0.75]T
Iteration 4: A [-0.7141 -0.714]T
(Exact solution = 6.070)
Class Work: Use the power method to find the dominant eigenvalue and
eigenvector for the matrix
21
Power Method for Lowest Eigenvalue
(An iterative approach for determining the lowesteigenvalue)

0.141
0.141
0.281
0.562 0.281

0.281 0.422
0.422
A1
 0.281



 

   
  
0.751
0.751
0.884
0.1411
0.281
0.562 0.2811  1.124  1.124 1
0.281 0.4221 0.884
0.281
0.141
0.422

Iteration 1:
Iteration 3:
Exact solution is 0.955 which is the reciprocal of the smallest eigenvalue,
1.0472 of [A].
Iteration 2:






 
  



0.715
0.715
  0.984 1
0.984
0.281 0.1410.751 0.704
0.562 0.281 1
0.281 0.4220.751 0.704

0.141
0.281
0.422



 


     
0.709
0.709

 0.964

1
0.964
0.1410.715 0.684
0.281
0.562 0.281
1
0.281 0.4220.715 0.684

0.141
0.281
0.422
Idea: The largest eigenvalue of [A]-1 is the reciprocal of the lowest
eigenvalue of [A]


1.7783.556

 0 1.778
 3.556 1.778 0 
Example (5): A 1.778 0.281 3.556
0.422
Home Work
1.
2.
3.

Eigen value and Eigen Vector.pptx

  • 1.
  • 2.
    EIGENVALUES & EIGENVECTORS Theeigenvalue problem is a problem of considerable theoretical interest and wide-ranging application. For example, this problem is crucial in solving systems of differential equations, analyzing population growth models, and calculating powers of matrices (in order to define the exponential matrix (A100)). Other areas such as physics, sociology, biology, economics and statistics have focused considerable attention on “eigenvalues” and “eigenvectors”-their applications and their computations
  • 4.
    Eigenvalue Problems (Mathematical Background) a11 λx1  a12x2  a1nxn  0 a21x1  a22  x2  a1nxn  0     an1x1  an2x2  ann  xn  0 D Determinant AI AX0 The roots of polynomial D(λ) are the eigenvalues of the eigen system A solution {X} to [A]{X} = λ{X} is an eigen vector (homogeneous system) AIX0 (eigen system) 1 2 3 4 5 6 7 8 9 1-c 2 3 4 5-c 6 7 8 9-c
  • 6.
  • 7.
  • 8.
  • 9.
  • 11.
    C2+2c+2c+4=0  c(c+2)+2(c+2)=0 C3+4c2+4c-4c2-16c-16 𝑎3− 12𝑎 − 16 𝑎 − 4 = 𝑎2 + 4𝑎 + 4
  • 12.
    R1+1/3R3 1 5 -3 3-9 3 6 -6 0 1 5 -3 0 1 -1/2 6 -6 0
  • 17.
    15 The Power Method (Aniterative approach for determining the largest eigenvalue) Example (3): Iteration 1: initialization [x1, x2, x3]T = [1 1 1]T Iteration 2: A [10 1]T Iteration 3: A [1 -11]T Iteration 4: A [-0.751 -0.75]T Iteration 4: A [-0.7141 -0.714]T (Exact solution = 6.070)
  • 18.
    Class Work: Usethe power method to find the dominant eigenvalue and eigenvector for the matrix
  • 21.
    21 Power Method forLowest Eigenvalue (An iterative approach for determining the lowesteigenvalue)  0.141 0.141 0.281 0.562 0.281  0.281 0.422 0.422 A1  0.281              0.751 0.751 0.884 0.1411 0.281 0.562 0.2811  1.124  1.124 1 0.281 0.4221 0.884 0.281 0.141 0.422  Iteration 1: Iteration 3: Exact solution is 0.955 which is the reciprocal of the smallest eigenvalue, 1.0472 of [A]. Iteration 2:               0.715 0.715   0.984 1 0.984 0.281 0.1410.751 0.704 0.562 0.281 1 0.281 0.4220.751 0.704  0.141 0.281 0.422              0.709 0.709   0.964  1 0.964 0.1410.715 0.684 0.281 0.562 0.281 1 0.281 0.4220.715 0.684  0.141 0.281 0.422 Idea: The largest eigenvalue of [A]-1 is the reciprocal of the lowest eigenvalue of [A]   1.7783.556   0 1.778  3.556 1.778 0  Example (5): A 1.778 0.281 3.556 0.422
  • 22.