Analytic Geometry

 The Coordinate Equation of a Circle

• A circle is the set of all points (x, y) that 
are equidistant from the centre.
• The distance between the centre and any 
of the points is the radius r



When the centre is at the origin on the coordinate plane

    r = √(x ­ 0)2 + (y ­ 0)2     and r2 = x2 + y2


                     y




                                P(x, y)




                                          x




                                                           1
When the centre of the circle is not at the origin then:

The standard form for the equation of the radius in relation to 
any point on the circle is

r = (x1 ­ x2)2 + (y1 ­ y2)2


If you know the coordinates of the centre of the circle (h,k) then 
the coordinate form of the equation is


r =  (x ­ h)2 + (y ­ k)2

or

r2 = (x ­ h)2 + (y ­ k)2

Note: This is the equation of the circle located with the centre 
at the origin shifted h units horizontally and k units vertically




                                                                      2
y
                                   centre (h, k)




                               r    P(x, y) any point on the circle



                                      x




The equation of a circle can be written in two forms

x2 + y2 + dx + ey + f = 0

and if you complete the square of this equation you can 
convert it into the form

r2 = (x ­ h)2 + (y ­ k)2




                                                                      3
a) What is the coordinate of the 
cente?



b) What is the radius?



c) Change the equation to the 
form  x2 + y2 + dx + ey + f = 0




                                    4
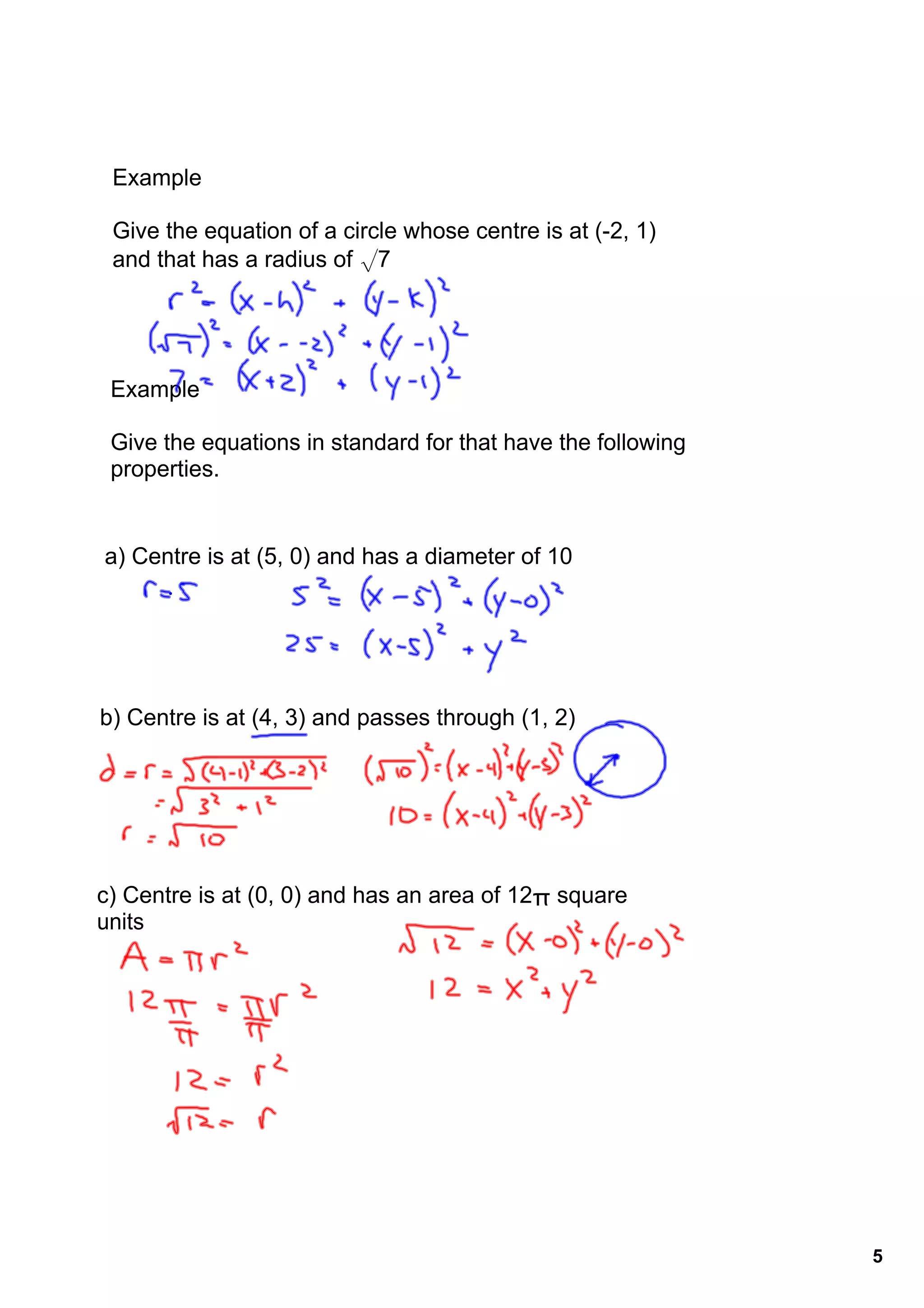
Example

 Give the equation of a circle whose centre is at (­2, 1)
 and that has a radius of √7




 Example

 Give the equations in standard for that have the following 
 properties.


a) Centre is at (5, 0) and has a diameter of 10




b) Centre is at (4, 3) and passes through (1, 2)




c) Centre is at (0, 0) and has an area of 12π square 
units




                                                               5
Example

For the circle with the equation 

x2 + y2 ­ 8x + 12y +35 = 0

a) Find its centre
b) Find its radius
c) Sketch its graph on a coordinate grid

To do all of this it is better to change it into the form

r2 = (x ­ h)2 + (y ­ k)2




                                                            6
7

Nov. 3 Coordinate Equation Of A Circle