M.NARESH
M.E.,(Ph. D)
ASSISTANT PROFESSOR
MATRUSRI ENGINEERING COLLEGE
• Radio communication was invented by Nokola Tesla and
Guglielmo Marconi: in 1893, Nikola Tesla made the first
public demonstration of wireless (radio) telegraphy;
Guglielmo Marconi conducted long ditance (over see)
telegraphy 1897
• in 1940 the first walkie-talkie was used by the US military
• in 1947, John Bardeen and Walter Brattain from AT&T’s Bell
Labs invented the transistor (semiconductor device used to
amplify and switch electronic signals)
• AT&T introduced commercial radio comm.: car phone – two
way radio link to the local phone network
• in 1979 the first commercial cellular phone service was
launched by the Nordic Mobile Telephone (in Finland,
Sweden, Norway, Denmark).
 Evolution to cellular networks: – (communication anytime, anywhere)
1987 1940 1979
 Mobile phone subscribers worldwide:
year
Subscribers
[million]
0
200
400
600
800
1000
1200
1400
1600
1996 1997 1998 1999 2000 2001 2002 2003 2004
approx. 1.7 bn
GSM total
TDMA total
CDMA total
PDC total
Analogue total
W-CDMA
Total wireless
Prediction (1998)
2009:
>4 bn!
Example coverage of GSM networks (www.gsmworld.com)
T-Mobile (GSM-900/1800) Germany O2 (GSM-1800) Germany
AT&T (GSM-850/1900) USA Vodacom (GSM-900) South Africa
• 1G (first generation) : voice-oriented systems based on analog
technology; ex.: Advanced Mobile Phone Systems (AMPS) and
cordless systems
• 2G (second generation) : voice-oriented systems based on
digital technology; more efficient and used less spectrum than
1G; ex.: Global System for Mobile (GSM) and US Time
Division Multiple Access (US-TDMA)
• 3G (third generation) : high-speed voice-oriented systems
integrated with data services; ex.: General Packet Radio
Service (GPRS), Code Division Multiple Access (CDMA)
• 4G (fourth generation): still experimental, not deployed yet;
based on Internet protocol networks and will provide voice,
data and multimedia service to subscribers
 Cellular systems generations:
Why “Cellular”?
• The entire network coverage area is divided into cells based on
the principle of frequency reuse.
• A cell = basic geographical unit of a cellular network; is the area
around an antenna where a specific frequency range is used; is
represented graphically as a hexagonal shape, but in reality it is
irregular in shape.
•.
 Network cells:
• A cluster is a group of adiacent cells,
usually 7 cells; no frequency reuse is done within a cluster
• when a subscriber moves to another cell, the antenna of the
new cell takes over the signal transmission.
•. The frequency spectrum is divided into subbands and each
subband is used within one cell of the cluster in heavy traffic
zones cells are smaller, while in isolated zones cells are larger.
•Type of Cells:
• macrocell – their coverage is large (aprox. 6 miles in diameter);
used in remote areas, high-power transmitters and receivers are used.
• microcell – their coverage is small (half a mile in diameter) and are
used in urban zones; low-powered transmitters and receivers are used
to avoid interference with cells in another clusters.
• Picocell – covers areas such as building or a tunnel
Components of a cellular phone (MSU – Mobile Subscriber Unit)
• radio transceiver – low power radio transmitter and
receiver
• antenna, usually located inside the phone
• control circuitry – formats the data sent to and from the
BTS; controls signal transmission and reception
• man-machine interface – consists from a keypad and a
display; is managed by the control circuitry
• Subscriber Identity Module (SIM) – integrated circuit card
that stores the identity information of subscriber
• battery, usually Li-ion, the power unit of the phone
Setting up a call process
• when powered on, the phone does not have a frequency/ time
slot/ode assigned to it yet; so it scans for the control channel of
the BTS and picks the strongest signal
• then it sends a message (including its identification number) to
the BTS to indicate its presence
• the BTS sends an acknowledgement message back to the cell
phone
• the phone then registers with the BTS and informs the BTS of its
exact location
• after the phone is registered to the BTS, the BTS assigns a
channel to the phone and the phone is ready to receive or make
calls
Making a call process
• The subscriber dials the receiver’s number and sends it to the BTS
• The BTS sends to its BSC the ID, location and number of the
caller and also the number of the receiver
• The BSC forwards this information to its MSC
• the MSC routes the call to the receiver’s MSC which is then sent
to the receiver’s BSC and then to its BTS
• the communication with the receiver’s cell phone is established
Receiving a call process
• when the receiver’ phone is in an idle state it listens for the
control channel of its BTS
• if there is an incoming call the BSC and BTS sends a message to
the cells in the area where the receiver’s phone is located
• the phone monitors its message and compares the number from
the message with its own
• if the numbers matches the cell phone sends an acknowledgement
to the BTS
• after authentication, the communication is established between
the caller and the receiver
UNIT-I:
BASIC CELLULAR SYSTEM
UNIT-II:
FREE SPACE PROPOGATION MODEL
UNIT-III:
MULTIPLE ACCESS
UNIT-IV:
GSM & CDMA
UNIT-V:
IG,2G,3G,4G,WLAN,BLUETOOTH,UMTE,PAN,CDMA2000
UNIT-I:
BASIC CELLULAR SYSTEM
• Basic cellular system & It’s Operation
• Frequency Reuse
• Channel Assignment Strategies
• Hand off Process
• Factors Influencing Hand off’s
• Handoffs in different generations
• Interference & system capacity
• Cross talk
• Enhancing Capacity & Cell coverage
• Trunked Radio system
 Basic cellular system:
Basic cellular system:
 General view of Cellular telecommunications system:
 Introduction to Cellular Systems
• Solves the problem of spectral congestion and user
capacity.
• Offer very high capacity in a limited spectrum without
major technological changes.
• Reuse of radio channel in different cells.
• Enable a fix number of channels to serve an arbitrarily
large number of users by reusing the channel throughout
the coverage region.
 Frequency Reuse(1/4):
• Each cellular base station is allocated a group of radio
channels within a small geographic area called a cell.
• Neighboring cells are assigned different channel groups.
• By limiting the coverage area to within the boundary of the
cell, the channel groups may be reused to cover different
cells.
• Keep interference levels within tolerable limits.
• Frequency reuse or frequency planning
• seven groups of channel from A to G
• footprint of a cell - actual radio
coverage
• Omni-directional antenna vs..
directional antenna
• Consider a cellular system which has a total of S duplex channels.
• Each cell is allocated a group of k channels, .
• The S channels are divided among N cells.
• The total number of available radio channels
• The N cells which use the complete set of channels is called cluster.
• The cluster can be repeated M times within the system. The total
number of channels, C, is used as a measure of capacity
• The capacity is directly proportional to the number of replication M.
• The cluster size, N, is typically equal to 4, 7, or 12.
• Small N is desirable to maximize capacity.
• The frequency reuse factor is given by
S
k 
kN
S 
MS
MkN
C 

N
/
1
 Frequency Reuse(2/4):
• Hexagonal geometry has
– exactly six equidistance neighbors
– the lines joining the centers of any cell and each of its neighbors
are separated by multiples of 60 degrees.
• Only certain cluster sizes and cell layout are possible.
• The number of cells per cluster, N, can only have values which satisfy
• Co-channel
neighbors of a
particular cell,
ex, i=3 and j=2.
2
2
j
ij
i
N 


 Frequency Reuse(3/4):
 Frequency Reuse(4/4):
 Suppose we have spectrum for
100 voice channels
 Scenario 1: a high power base
station covering entire area –
system capacity = 100 channels
 Scenario 2: divide spectrum into
4 groups of 25 channels each;
cells (1, 7), (2, 4), (3, 5), 6 are
assigned distinct channel
groups – system capacity = 175
channels
An Example of Frequency Reuse:
 Frequency Reuse Example-2
 Suppose W = 25 MHz and B = 25 KHz/voice channel
 W/B = 1000 voice channels can be supported over the spectrum
 Scenario 1: a high power base station covering entire area (M = N = 1)
 system capacity n = 1000 users
 Scenario 2:
 Coverage area divided into M = 20 cells with reuse factor N = 4
 Each cluster accommodate 1000 active users
 5 clusters in coverage area  system capacity n = 5000 users
 Scenario 3:
 M = 100 cells, N = 4  system capacity n = 25000 users
 Scenario 4:
 M = 100 cells, N = 1  system capacity n = 100000 users
 Common Air Interface (CAI)
Forward Channel
Reverse Channel
Standard that defines Communication
between a Base Station and Mobile
Specifies Four Channels [Voice
Channels and Control / Setup
Channels]
FVC: Forward Voice Channel
RVC: Reverse Voice Channel
FCC: Forward Control Channel
RCC: Reverse Control Channel
Several Types of Mobile Radio Systems:
Garage Door Controller [<100 MHz]
Remote Controllers [TV/VCR/DISH][Infra-Red: 1-100 THz]
Cordless Telephone [<100 MHz]
Hand-Held Radio [Walki-Talki] [VHF-UHF:40-480 MHz]
Pagers/Beepers [< 1 GHz]
Cellular Mobile Telephone[<2 GHz]
Classification:
Simplex System: Communication is possible in only one direction :
Garage Door Controller, Remote Controllers [TV/VCR/DISH]
Pagers/Beepers
Semi-Duplex System: Communication is possible in two directions
but one talks and other listens at any time[Push to Talk System]:
Walki-Talki
Duplex System: Communication is possible in both directions at
any time: Cellular Telephone [FDD or TDD]
 Comparison of Common Wireless Communication
Systems
System
Coverage
Range
Required
Infra-
Structure
Complexity
Hardware
Cost
Carrier
Frequency
Functionality
Tv Remote Control Low Low Low Low Infra-Red Tx/Rx
Garage Door Contol Low Low Low Low <100 Mhz Tx/Rx
Paging System High High Low/High Low/High <1GHz Rx/Tx
Cordless Phone Low Low Moderate/Low Low/Moderate <100 MHz Transceiver
Cellular Phone High High High Moderate/High <1 GHz Transceiver
Tx = Transmitter Rx = Receiver
Comparison of Mobile Communication Systems - Mobile/Base Station
 Channel Assignment Strategies:
• Frequency reuse scheme
– increases capacity
– minimize interference
• Channel assignment strategy
– fixed channel assignment
– dynamic channel assignment
• Fixed channel assignment
– each cell is allocated a predetermined set of voice channel
– any new call attempt can only be served by the unused channels
– the call will be blocked if all channels in that cell are occupied
• Dynamic channel assignment
– channels are not allocated to cells permanently.
– allocate channels based on request.
– reduce the likelihood of blocking, increase capacity.
 Handoff Strategies (1/4)
• When a mobile moves into a different cell while a conversation is in
progress, the MSC automatically transfers the call to a new channel
belonging to the new base station.
• Handoff operation
– identifying a new base station
– re-allocating the voice and control channels with the new base
station.
• Handoff Threshold
– Minimum usable signal for acceptable voice quality (-90dBm to -
100dBm)
– Handoff margin cannot be too large
or too small.
– If is too large, unnecessary handoffs burden the MSC
– If is too small, there may be insufficient time to complete
handoff before a call is lost.
usable
minimum
,
, r
handoff
r P
P 




 Handoff Strategies (2/4):
• Handoff must ensure that the drop in the measured signal is not due to
momentary fading and that the mobile is actually moving away from the
serving base station.
• Running average measurement of signal strength should be optimized so that
unnecessary handoffs are avoided.
– Depends on the speed at which the vehicle is moving.
– Steep short term average -> the hand off should be made quickly
– The speed can be estimated from the statistics of the received short-term
fading signal at the base station
• Dwell time: The time over which a call may be maintained within a cell
without handoff.
• Dwell time depends on
– propagation
– interference
– distance
– speed
 Handoff Strategies (3/4):
• Handoff measurement
– In first generation analog cellular systems, signal strength
measurements are made by the base station and supervised by the
MSC.
– In second generation systems (TDMA), handoff decisions are mobile
assisted, called mobile assisted handoff (MAHO)
• Intersystem handoff: If a mobile moves from one cellular system to a
different cellular system controlled by a different MSC.
1. Handoff requests is much
• important than handling
• a new call.
 Handoff Strategies (4/4):
MSC
 Practical Handoff Consideration(1/3):
• Different type of users
– High speed users need frequent handoff during a call.
– Low speed users may never need a handoff during a call.
• Microcells to provide capacity, the MSC can become burdened if high
speed users are constantly being passed between very small cells.
• Minimize handoff intervention
– handle the simultaneous traffic of high speed and low speed users.
• Large and small cells can be located at a single location (umbrella cell)
– different antenna height
– different power level
• Cell dragging problem: pedestrian users provide a very strong signal to
the base station
– The user may travel deep within a neighboring cell
Practical Handoff Consideration(2/3):
Umbrella Cell Approach
• Handoff for first generation analog cellular systems
– 10 secs handoff time
– is in the order of 6 dB to 12 dB
• Handoff for second generation cellular systems, e.g., GSM
– 1 to 2 seconds handoff time
– mobile assists handoff
– is in the order of 0 dB to 6 dB
– Handoff decisions based on signal strength, co-channel
interference, and adjacent channel interference.
• IS-95 CDMA spread spectrum cellular system
– Mobiles share the channel in every cell.
– No physical change of channel during handoff
– MSC decides the base station with the best receiving signal as the
service station


Practical Handoff Consideration(3/3):
Interference and System Capacity:
• Sources of interference
– Another mobile in the same cell
– A call in progress in the neighboring cell
– Other base stations operating in the same frequency band
– Non-cellular system leaks energy into the cellular frequency band
• Two major cellular interference
1. Co-channel interference
2. Adjacent channel interference
1.Co-channel Interference and System Capacity (1/5):
• Frequency reuse - there are several cells that use the same set of
frequencies
– co-channel cells
– co-channel interference
• To reduce co-channel interference, co-channel cell must be separated
by a minimum distance.
• When the size of the cell is approximately the same
– co-channel interference is independent of the transmitted power
– co-channel interference is a function of
• R: Radius of the cell
• D: distance to the center of the nearest co-channel cell
• Increasing the ratio q=D/R, the interference is reduced.
• q is called the co-channel reuse ratio
• For a hexagonal geometry
• A small value of Q provides large capacity
• A large value of Q improves the transmission quality - smaller level of
co-channel interference
• A tradeoff must be made between these two objectives
N
R
D
Q 3


1.Co-channel Interference and System Capacity (2/5):
• Let be the number of co-channel interfering cells. The signal-to-
interference ratio (SIR) for a mobile receiver can be expressed as
S: the desired signal power
: interference power caused by the ith interfering co-channel cell base
station
• The average received power at a distance d from the transmitting
antenna is approximated by
or
n is the path loss exponent which ranges between 2 and 4.
0
i


 0
1
i
i
i
I
S
I
S
i
I
n
r
d
d
P
P










0
0










0
0 log
10
)
dBm
(
)
dBm
(
d
d
n
P
Pr
close-in reference point
TX
0
d
0
P :measued power
1.Co-channel Interference and System Capacity (3/5):
• When the transmission power of each base station is equal, SIR for a
mobile can be approximated as
• Consider only the first layer of interfering cells
 




 0
1
i
i
n
i
n
D
R
I
S
 
0
0
3
)
/
(
i
N
i
R
D
I
S
n
n


• Example: AMPS requires that SIR be
greater than 18dB
– N should be at least 6.49 for n=4.
– Minimum cluster size is 7
6
0 
i
1.Co-channel Interference and System Capacity (4/5):
• For hexagonal geometry with 7-cell cluster, with the mobile unit being
at the cell boundary, the signal-to-interference ratio for the worst case
can be approximated as
4
4
4
4
4
4
)
(
)
2
/
(
)
2
/
(
)
(
2 














D
R
D
R
D
R
D
R
D
R
I
S
1. Co-channel Interference and System Capacity (5/5):
2. Adjacent Channel Interference(1/2):
• Adjacent channel interference: interference from adjacent in frequency
to the desired signal.
– Imperfect receiver filters allow nearby frequencies to leak into the
pass band
– Performance degrade seriously due to near-far effect.
desired signal
receiving filter
response
desired signal
interference
interference
signal on adjacent channel
signal on adjacent channel
FILTER
• Adjacent channel interference can be minimized through careful
filtering and channel assignment.
• Keep the frequency separation between each channel in a given cell as
large as possible
• A channel separation greater than six is needed to bring the adjacent
channel interference to an acceptable level.
• Adjacent channel interface can be reduced by:
- channel Assignments
- Careful filtering
- Reduction of near-end-far –end interference
• Adjacent channel interference is again classified into 2 types
1. Next channel interference
2. Neighboring channel interference
2. Adjacent Channel Interference(2/2):
 Power Control for Reducing Interference:
• Ensure each mobile transmits the smallest power necessary to maintain
a good quality link on the reverse channel
– long battery life
– increase SIR
– solve the near-far problem
Trunking and Grade of Service:
• Erlangs: One Erlangs represents the amount of traffic density carried
by a channel that is completely occupied.
– Ex: A radio channel that is occupied for 30 minutes during an hour
carries 0.5 Erlangs of traffic.
• Grade of Service (GOS): The likelihood that a call is blocked.
• Each user generates a traffic intensity of Erlangs given by
H: average duration of a call.
: average number of call requests per unit time
• For a system containing U users and an unspecified number of
channels, the total offered traffic intensity A, is given by
• For C channel trunking system, the traffic intensity, is given as
H
Au 


u
UA
A 
c
A
C
UA
A u
c /

u
A
 Improving Capacity in Cellular Systems:
• Methods for improving capacity in cellular systems
– Cell Splitting: subdividing a congested cell into smaller cells.
– Sectoring: directional antennas to control the interference and
frequency reuse.
– Coverage zone : Distributing the coverage of a cell and extends the
cell boundary to hard-to-reach place.
 Cell Splitting:
• Split congested cell into smaller cells.
– Preserve frequency reuse plan.
– Reduce transmission power.
microcell
Reduce R to R/2
Illustration of cell splitting within a 3 km by 3 km square
• Transmission power reduction from to
• Examining the receiving power at the new and old cell boundary
• If we take n = 4 and set the received power equal to each other
• The transmit power must be reduced by 12 dB in order to fill in the
original coverage area.
• Problem: if only part of the cells are splited
– Different cell sizes will exist simultaneously
• Handoff issues - high speed and low speed traffic can be
simultaneously accommodated
1
t
P 2
t
P
n
t
r R
P
P 
 1
]
boundary
cell
old
at
[
n
t
r R
P
P 
 )
2
/
(
]
boundary
cell
new
at
[ 2
16
1
2
t
t
P
P 
Sectoring:
• Decrease the co-channel interference and keep the cell radius R
unchanged
– Replacing single omni-directional antenna by several directional
antennas
– Radiating within a specified sector
 Interference Reduction:
position of the
mobile
interference cells
Microcell Zone Concept:
• Antennas are placed at the outer edges of the cell
• Any channel may be assigned to any zone by the base station
• Mobile is served by the zone with the strongest signal.
• Handoff within a cell
– No channel re-assignment
– Switch the channel to a
different zone site
• Reduce interference
– Low power transmitters
are employed
UNIT-I:
BASIC CELLULAR SYSTEM
UNIT-II:
MOBILE RADIO PROPAGATION
UNIT-III:
MULTIPLE ACCESS
UNIT-IV:
GSM & CDMA
UNIT-V:
IG,2G,3G,4G,WLAN,BLUETOOTH,UMTE,PAN,CDMA2000
UNIT-II:
MOBILE RADIO PROPAGATION
UNIT-II:
MOBILE RADIO PROPAGATION
• Free space propagation model
• Three basic propagation mechanisms
• Practical link budget design using path loss models
• Outdoor propagation models: Durkin’s model and indoor
• Propagation model, partition losses.
• Small scale multipath propagation
•Parameters of Mobile multipath channels, types of small scale fading.
57
 Speed, Wavelength, Frequency
System Frequency Wavelength
AC current 60 Hz 5,000 km
FM radio 100 MHz 3 m
Cellular 800 MHz 37.5 cm
Ka band satellite 20 GHz 15 mm
Ultraviolet light 1015 Hz 10-7 m
Light speed = Wavelength x Frequency
= 3 x 108 m/s = 300,000 km/s
58
Types of Waves
Earth
Sky wave
Space wave
Ground wave
Troposphere
(0 - 12 km)
Stratosphere
(12 - 50 km)
Mesosphere
(50 - 80 km)
Ionosphere
(80 - 720 km)
59
 Radio Frequency Bands
Classification Band Initials Frequency Range Characteristics
Extremely low ELF < 300 Hz
Ground wave
Infra low ILF 300 Hz - 3 kHz
Very low VLF 3 kHz - 30 kHz
Low LF 30 kHz - 300 kHz
Medium MF 300 kHz - 3 MHz Ground/Sky wave
High HF 3 MHz - 30 MHz Sky wave
Very high VHF 30 MHz - 300 MHz
Space wave
Ultra high UHF 300 MHz - 3 GHz
Super high SHF 3 GHz - 30 GHz
Extremely high EHF 30 GHz - 300 GHz
Tremendously high THF 300 GHz - 3000 GHz
• Electromagnetic wave propagation
– reflection
– diffraction
– scattering
• Urban areas
– No direct line-of-sight
– high-rise buildings causes severe diffraction loss
– multipath fading due to different paths of varying lengths
• Large-scale propagation models predict the mean signal strength for an
arbitrary T-R separation distance.
• Small-scale (fading) models characterize the rapid fluctuations of the
received signal strength over very short travel distance or short time
duration.
INTRODUCTION:
61
 Radio Propagation Effects
Transmitter
d
Receiver
hb
hm
Diffracted
Signal
Reflected Signal
Direct Signal
Building
62
 Free-space Propagation
• The received signal power at distance d:
where Pt is transmitting power, Ae is effective area, and Gt is the
transmitting antenna gain. Assuming that the radiated power is uniformly
distributed over the surface of the sphere.
Transmitter Distance d
Receiver
hb
hm
2
r
4
P
d
P
G
A t
t
e


 Free Space Propagation Model :
• The free space propagation model is used to predict received signal
strength when the transmitter and receiver have a clear line-of-sight
path between them.
– satellite communication
– microwave line-of-sight radio link
• Friis free space equation
: transmitted power : T-R separation distance (m)
: received power : system loss
: transmitter antenna gain : wave length in meters
: receiver antenna gain
L
d
G
G
P
d
P r
t
t
r 2
2
2
)
4
(
)
(



t
P
)
(d
Pr
t
G
r
G
d
L

• The gain of the antenna
: effective aperture is related to the physical size of the antenna
• The wave length is related to the carrier frequency by
: carrier frequency in Hertz
: carrier frequency in radians
: speed of light (meters/s)
• The losses are usually due to transmission line attenuation,
filter losses, and antenna losses in the communication system. A value
of L=1 indicates no loss in the system hardware.
2
4

 e
A
G 
e
A

c
c
f
c



2


f
c

c
L )
1
( 
L
• Isotropic radiator is an ideal antenna which radiates power with unit
gain.
• Effective isotropic radiated power (EIRP) is defined as
and represents the maximum radiated power available from transmitter
in the direction of maximum antenna gain as compared to an isotropic
radiator.
• Path loss for the free space model with antenna gains
• When antenna gains are excluded
• The Friis free space model is only a valid predictor for for values
of d which is in the far-field (Fraunhofer region) of the transmission
antenna.
t
tG
P
EIRP 










 2
2
2
)
4
(
log
10
log
10
)
(
d
G
G
P
P
dB
PL r
t
r
t












 2
2
2
)
4
(
log
10
log
10
)
(
d
P
P
dB
PL
r
t


r
P
• The far-field region of a transmitting antenna is defined as the region
beyond the far-field distance
where D is the largest physical linear dimension of the antenna.
• To be in the far-filed region the following equations must be satisfied
and
• Furthermore the following equation does not hold for d=0.
• Use close-in distance and a known received power at that
point
or

2
2D
d f 
D
d f  

f
d
L
d
G
G
P
d
P r
t
t
r 2
2
2
)
4
(
)
(



0
d )
( 0
d
Pr
2
0
0 )
(
)
( 






d
d
d
P
d
P r
r
f
d
d
d 
 0














d
d
d
P
d
P r
r
0
0
log
20
W
001
.
0
)
(
log
10
dBm
)
( f
d
d
d 
 0
Relating Power to Electric Field:
• Consider a small linear radiator of length L
r
E

E

H
• Electric and magnetic fields for a small linear radiator of length L
)
/
(
2
0
)
/
(
3
2
2
0
0
)
/
(
3
2
0
0
4
sin
2
sin
1
2
cos
c
d
t
j
c
c
d
t
j
c
c
c
d
t
j
c
r
c
c
c
e
d
c
d
j
c
L
i
H
e
d
j
c
d
c
d
j
c
L
i
E
e
d
j
c
d
c
L
i
E












































0


 
 H
H
E r
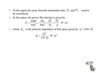
• At the region far away from the transmitter only and need to
be considered.
• In free space, the power flux density is given by
• where is the intrinsic impedance of free space given by

E 
H
2
2
2
2
2
/
4
4
m
W
E
R
E
d
G
P
d
EIRP
P
fs
t
t
d







fs
R 
 120

2
2
/
377
m
W
E
Pd


• The power received at distance is given by the power flux density
times the effective aperture of the receiver antenna
• If the receiver antenna is modeled as a matched resistive load to the
receiver, the received power is given by
Watts
)
4
(
120
)
( 2
2
2
2
d
G
G
P
A
E
A
P
d
P r
t
t
e
e
d
r






ant
ant
r
R
V
R
V
d
P
4
)
2
/
(
)
(
2
2


71
Example of Path Loss (Free-space)
Path Loss in Free-space
70
80
90
100
110
120
130
0 5 10 15 20 25 30
Distance d (km)
Path
Loss
Lf
(dB)
fc=150MHz
fc=200MHz
fc=400MHz
fc=800MHz
fc=1000MHz
fc=1500MHz
72
Path Loss
• Path loss in decreasing order:
– Urban area (large city)
– Urban area (medium and small city)
– Suburban area
– Open area
73
Example of Path Loss (Urban Area: Large City)
Path Loss in Urban Area in Large City
100
110
120
130
140
150
160
170
180
0 10 20 30
Distance d (km)
Path
Loss
Lpu
(dB)
fc=200MHz
fc=400MHz
fc=800MHz
fc=1000MHz
fc=1500MHz
fc=150MHz
74
Example of Path Loss
(Urban Area: Medium and Small Cities)
Path Loss in Urban Area for Small & Medium Cities
100
110
120
130
140
150
160
170
180
0 10 20 30
Distance d (km)
Path
Loss
Lpu
(dB)
fc=150MHz
fc=200MHz
fc=400MHz
fc=800MHz
fc=1000MHz
fc=1500MHz
75
Example of Path Loss (Suburban Area)
Path Loss in Suburban Area
90
100
110
120
130
140
150
160
170
0 5 10 15 20 25 30
Distance d (km)
Path
Loss
Lps
(dB)
fc=150MHz
fc=200MHz
fc=400MHz
fc=800MHz
fc=1000MHz
fc=1500MHz
76
Example of Path Loss (Open Area)
Path Loss in Open Area
80
90
100
110
120
130
140
150
0 5 10 15 20 25 30
Distance d (km)
Path
Loss
Lpo
(dB)
fc=150MHz
fc=200MHz
fc=400MHz
fc=800MHz
fc=1000MHz
fc=1500MHz
77
 Propagation Mechanisms:
• Reflection
– Propagation wave impinges on an object which is large as
compared to wavelength
- e.g., the surface of the Earth, buildings, walls, etc.
• Diffraction
– Radio path between transmitter and receiver obstructed by
surface with sharp irregular edges
– Waves bend around the obstacle, even when LOS (line of sight)
does not exist
• Scattering
– Objects smaller than the wavelength of the
propagation wave
- e.g. foliage, street signs, lamp posts
Reflection:
. If an object is large compared to the wavelength of the signal example huge
buildings ,mountains or the surface of the earth the signal is reflected.
. The reflected signal is not as strong as the original , as objects can absorbs
some of the signal power.
. When the radio wave propagating in one medium impinges upon another
medium having electrical properties, the wave is partially reflected and
partially transmitted.
. If the wave is incident on perfect dielectric
.If the wave is incident on perfect conductor
.
Reflection from Dielectrics:
E- Field in the plane of Incidence E-Filed Normal t the plane of incidence
• E-Field Polarization is parallel
with the plane of incidence.
• E- Field polarization is perpendicular
to the plane of incidence
i,r,t-refer to incident, reflected and transmitted fields
µ,σ.ε- permeability, conductance and permittivity.
Reflection:
Reflection
Reflection
Reflection coefficients
• Equation 4.26, example 4.4, Brewster angle, perfect conductors
Reflection coefficients:
• A dielectric material is a substance that is a
poor conductor of electricity, but an efficient
supporter of electrostatic fields.
• For earth, at frequency 100MHz
 Reflection from perfect conductors
– E-field in the plane of incidence
– E-field normal to the plane of incidence
r
i
r
i E
E 
 and


r
i
r
i E
E 

 and


. The electromagnetic energy cannot pass through a perfect conductor,
a plane wave incident on a conductor has all of its energy reflected.
. The electric field at the surface of the conductor must be equal to zero at all
Time in order to obey Maxwell’s equation, the reflected must equal in
magnitude to the incident wave,
Propagation over smooth plane (2Ray Model): (1/6)
• The received signal is the phase sum of the direct wave and the reflected
wave from the plane (2-ray model).
Propagation over smooth plane: (2/6)
 The 2-path or 2-ray model that is used for modeling the land mobile radio.
 The 2-ray ground reflection model is a useful propagation model that is based on
geometric optics and considers both the direct path and ground reflected
propagation path b/w transmitter and receiver.
Method of image: (3/6)
Propagation over smooth plane:(4/6)
Propagation over smooth plane: (5/6)
Propagation over smooth plane: (6/7)
The Path loss for the two-ray model (with antenna gains) can be expressed in
dB as:
Diffraction:
Diffraction occurs when waves hit the edge of an obstacle
– “Secondary” waves propagated into the shadowed region
– Water wave example
– Diffraction is caused by the propagation of secondary wavelets into a
shadowed region.
– Excess path length results in a phase shift
– The field strength of a diffracted wave in the shadowed region is the vector
sum of the electric field components of all the secondary wavelets in the space
around the obstacle.
– Huygens's principle: all points on a wave front can be considered as point
sources for the production of secondary wavelets, and that these wavelets
combine to produce a new wave front in the direction of propagation.
– Estimating the signal attenuation caused by diffraction of radio waves over
hills and buildings is essential in predicting the field strength in a given
service area. It is mathematically difficult to make very precise estimates of
the diffraction losses over complex and irregular terrain. Some cases have
been derived, such as propagation over a knife-edge object
Diffraction:
Diffraction geometry:
 :
Huygens's principle says points on a wave front can be considered sources for
additional wavelets
Diffraction geometry:
96
• The excess total path length traversed by a ray passing through each circle
is nλ/2
Diffraction:
Scattering:
• When the size of an obstacle is in the order of the wavelength or less,
then waves are scattered. An incoming signal is hence scattered into
several weaker outgoing signals
• Rough surfaces
– Lamp posts and trees, scatter all directions
– Critical height for bumps is f(,incident angle), 4.62
– Smooth if its minimum to maximum protuberance h is less than critical
height.
– Scattering loss factor modeled with Gaussian distribution, 4.63, 4.64.
• Nearby metal objects (street signs, etc.)
– Usually modeled statistically
• Large distant objects
– Analytical model: Radar Cross Section (RCS)
– Bistatic radar equation, 4.66
• It is therefore expected that the received signal is stronger than predicted
from reflection and diffraction models alone.
. Flat surfaces with much larger dimension that a wavelength are modeled as
reflective surfaces.
. Surface roughness can be tested using the Rayleigh criterion which defines
a critical height (hc ) of surface protuberances for a given angle of incidence Өi
Given by:
hc = ʎ/8 sinӨi
Depending on relation between h and hc, the surface is of 2 types:
1. The surface is smooth if its minimum to maximom protubereance, h is
less than hc i.e.,(h<hc).
2. It is considered rough when the protuberance h is greater than hc i.e (h>hc)
RADAR CROSS SECTION MODEL:
• In Radio Channels where large, distant objects include scattering; knowledge of
the physical location of those objects can be used in order to accurately predict
scattered signal strength.
• RCS(Radar cross section): The RADAR cross section of a scattering object is
defined as the ratio of the power density of the signal scattered in the direction
of the receiver to the power density of the radio wave incident upon the
scattering object. It has units of square meters.
• For an URBAN mobile radio system, Models based on the bistatic radar equation are
Used to compute the received power due to SCATTERING in the far field.
Pr(dBm)=Pt(dBm)+Gt(dBi)+20 log (ʎ)+RCS[dBm2 ]-30log(4p)-20log dt-20log dr
PRACTICAL LINK BUDGET DESIGN USING PATH LOSS MODELS:
1. Log-Distance path loss model
2. Log-Normal shadowing
1. Determination of percentage of coverage Area
M.NARESH
M.E.,(Ph. D)
ASSISTANT PROFESSOR
MATRUSRI ENGINEERING COLLEGE
UNIT-I:
BASIC CELLULAR SYSTEM
UNIT-II:
MOBILE RADIO PROPAGATION
UNIT-III:
MULTIPLE ACCESS
UNIT-IV:
GSM & CDMA
UNIT-V:
IG,2G,3G,4G,WLAN,BLUETOOTH,UMTE,PAN,CDMA2000
Unit-III
Multiple Access Techniques
Multiple Access schemes are used to allow many mobile
user to share simultaneously a finite amount of
radio spectrum.
Or
The method of providing radio communication services
Simultaneously to many users over a wide are using a
Fixed BW is called MULTIPLE ACCESS.
The basic principle of multiple access technique is to allow
Frequency channel to be subdivided among many users.
Several Different ways to allow access to the channel:
1. FDMA
2. TDMA
3. SSMD
- FHMA
- CDMA
- Hybrid spread spectrum Access
4. SDMA
5. PACKET RADIO
Based upon available BW allocated to the users,
these techniques are categorized as 2 types:
1. Narrow band Systems
2. Wideband systems
Narrow band Systems:
1. In this systems, the transmission BW of a single channel is related to the expected
coherence BW of the channel.
2. In NB FDMA, user is assigned a particular channel which is not shared by other
users in the vicinity and if FDD is used ,then the systems called FDMA/FDD.
3. In NB TDMA, users are allowed to share the same radio channel but allocates a unique
time slot to each user in a cyclical fashion on the channel. NBTDMA is allocated
channels using either FDD or TDD, and such systems are called TDMA/FDD or
TDMA/TDD.
Wide band systems:
1. In WB systems, the transmission BW of a single channel is much larger than the
coherence BW of the channel.
2. In WB multiple access systems a no. of transmitters are allowed to transmit on the
same channel.
110
Frequency Division Multiple Access (FDMA)
User 1
User 2
User n
…
Time
Frequency
• Single channel per carrier
• All first generation systems use FDMA.
• In FDMA , the available frequency BW bands and their sub bands (i.e., channels) are
allocated to the different users.
• These channels are assigned on demand to users who request service, during the period
of the call, no other user can share the same channel.
Frequency division duplexing (FDD)
• Two bands of frequencies for every user
• forward band
• reverse band
• duplexer needed
• frequency seperation between forward band and
reverse band is constant
frequency separation
reverse channel Forward channel
f
Time division duplexing (TDD):
• Uses time for forward and reverse link
• multiple users share a single radio channel
• forward time slot
• reverse time slot
• no duplexer is required
time seperation
t
forward channel
reverse channel
Frequency Division Multiple Access (FDMA)
FDMA:
115
FDMA
MS #1
MS #2
MS #n
BS
f1’
f2’
fn’
f1
f2
fn
…
…
…
Reverse channels
(Uplink)
Forward channels
(Downlink)
116
FDMA: Channel Structure
1 2 3
…
N
Frequency
Total Bandwidth W=NWc
Guard Band Wg
4
Sub Band Wc
Frequency
Protecting bandwidth
…
f1’ f2’ fn’
…
f1 f2 fn
Reverse channels Forward channels
117
Types of Channels
• Control channel
– Forward (Downlink) control channel
– Reverse (Uplink) control channel
• Traffic channel
– Forward traffic (traffic or information) channel
– Reverse traffic (traffic or information) channel
118
Types of Channels (Cont’d)
MS BS
f1’
f2’
fn’
f ’
f
…
Reverse channel (Uplink)
Forward channels
(Downlink)
f1
f2
fn
…
Control channels
Traffic channels
119
Time Division Multiple Access (TDMA)
User
1
User
2
User
n
…
Time
Frequency
• Multiple channels per carrier
• Most of second generation systems use TDMA
In This scheme ,the same antenna at the base station is shared by several radio
channels.
The power amplifiers are operated near saturation region for getting possible
power efficiency and it is non-linear.
These non linearities cause spreading of signals over the entire frequency
domain resulting in Inter modulation(IM) Frequency generation.
It will enchance interferances in actual and intermodulation must be
minimized.
Non –Linear Effects in FDMA:
TDMA
TDMA
123
MS #1
MS #2
MS #n
BS
…
…
Reverse channels
(Uplink)
Forward channels
(Downlink)
t
Frequency f ’
#1
…
#1
…
Frame
Slot
…
#1
…
#1
Frame
…
t
Frequency f
Frame Frame
…
t
#2
…
#2
…
…
t
#n
… #n …
…
#2
…
#2
…
t
…
#n
…
#n
…
t
TDMA
124
TDMA: Channel Structure
… t
f
#1
#2
#n
#1
#2
#n
…
(a). Forward channel
…
#1
#2
#n
Frame Frame
Frame
… t
f ’
#1
#2
#n
#1
#2
#n
…
(b). Reverse channel
…
#1
#2
#n
Frame Frame
Frame
125
TDMA: Frame Structure (Cont’d)
…
Time
Frequency
f = f ’
#1
#2
#n
#1
#2
#n
…
Forward
channel
Reverse
channel
…
#1
#2
#n
Forward
channel
Frame Frame
#1
#2
#n
…
Reverse
channel
Channels in Simplex Mode
126
TDMA: Frame Structure (Cont’d)
…
Time
Frequency
#1
#2
#n
#1
#2
#n
… …
#1
#2
#n
Frame Frame
Frame
Head Data
Guard
time
Spread spectrum
• Spread spectrum – a transmission technique wherein data occupy a larger
bandwidth than necessary
• Bandwidth spreading is a accomplished before transmission using a code
that is independent of the transmitted data. The same code is used to
demodulated the data at receiving end.
• Originally designed for military used to avoid jamming.
• Why spread the signal over a wider spectrum?
– more robust, will survive if part of the spectrum is noisy
– will allow other systems to operate in the same environment
• Two techniques
– frequency hopping
– direct sequence
Frequency Hopping Spread Spectrum (FHSS)
– A pseudorandom sequence is used to change the radio signal
frequency across a broad frequency band in a random fashion.
– The modulation technique implies that the radio transmitter
frequency hops from channel to channel in a predetermined.
– The RF signal is dehopped at the receiver end using a frequency
synthesizer control by a pseudorandom sequence generator.
– A frequency hopper may be:
• Fast hopped: multiple hops per data bit
• Slow hopped: multiple bits per hop
– Multiple simultaneous from several users is possible using FH as
long as each uses different FH sequences and not collide.
129
Digital signal
Hopping Pattern
Spreading signal Digital signal
Spreading Despread
Frequency Frequency Frequency
Power Power Power
Hopping Pattern
Transmitter Receiver
Concept of Frequency Hopping Spread Spectrum
Direct Sequence Spread Spectrum (DSSS)
– In this method, the radio signal is multiplied by a pseudorandom
sequence whose bandwidth is much greater than that signal itself
– spreading its bandwidth.
– Pseudorandom sequence directly phase modulates a carrier –
increase the bandwidth of transmission and lowering the
spectral power density.
– The resulting RF signal has a noiselike spectrum. Noise to others
but not to the intended receiver.
– The received signal is despread by correlating it with the local
identical pseudorandom sequence to spread the carrier at the
receiver.
131
Digital signal
s(t)
Code
c(t)
Spreading signal
m(t)
Code
c(t)
Digital signal
s(t)
Spreading Despread
Frequency Frequency Frequency
Power Power Power
Transmitter Receiver
Direct Sequence Spread Spectrum for CDMA
Direct Sequence Spread Spectrum (DSSS)
133
Code Division Multiple Access (CDMA)
User
1
Time
Frequency
• Users share bandwidth by using code sequences that are orthogonal to each other
• Some second generation systems use CDMA
• Most of third generation systems use CDMA
User
2
User
n
Code
.
.
.
CDMA
CDMA
136
Code Division Multiple Access (CDMA)
MS #1
MS #2
MS #n
BS
C1’
C2’
Cn’
C1
C2
Cn
…
…
…
Reverse channels
(Uplink)
Forward channels
(Downlink)
Frequency f ’
Note: Ci’ x Cj’ = 0, i.e., Ci’ and Cj’ are orthogonal codes,
Ci x Cj = 0, i.e., Ci and Cj are orthogonal codes
Frequency f
CDMA Operation
• Spread Spectrum Multiple Access Technologies
CDMA: Spread Spectrum (cont.)
• Signal transmission consists of the following steps:
1. A pseudo-random code is generated, different for each channel and each
successive connection.
2. The Information data modulates the pseudo-random code (the Information
data is “spread”).
3. The resulting signal modulates a carrier.
4. The modulated carrier is amplified and broadcast.
CDMA: Spread Spectrum (cont.)
• Signal reception consists of the following steps:
1. The carrier is received and amplified.
2. The received signal is mixed with a local carrier to recover the spread digital
signal.
3. A pseudo-random code is generated, matching the anticipated signal.
4. The receiver acquires the received code and phase locks its own code to it.
5. The received signal is correlated with the generated code, extracting the
Information data.
140
Comparisons of FDMA, TDMA, and CDMA
(Example)
Operation FDMA TDMA CDMA
Allocated Bandwidth 12.5 MHz 12.5 MHz 12.5 MHz
Frequency reuse 7 7 1
Required channel BW 0.03 MHz 0.03 MHz 1.25 MHz
No. of RF channels 12.5/0.03=416 12.5/0.03=416 12.5/1.25=10
Channels/cell 416/7=59 416/7=59 12.5/1.25=10
Control channels/cell 2 2 2
Usable channels/cell 57 57 8
Calls per RF channel 1 4* 40**
Voice channels/cell 57x1=57 57x4=228 8x40=320
Sectors/cell 3 3 3
Voice calls/sector 57/3=19 228/3=76 320
Capacity vs FDMA 1 4 16.8
* Depends on the number of slots ** Depends on the number of codes
Delay ? ? ?
SDMA
(SPACE DIVISION MULTIPLE ACCESS)
142
Outline
• Introduction
• Contention Protocols
• ALOHA
• Slotted ALOHA
• CSMA (Carrier Sense Multiple Access)
• CSMA/CD (CSMA with Collision Detection)
• CSMA/CA (CSMA with Collision Avoidance)
143
Introduction
• Multiple access control channels
– Each node is attached to a transmitter/receiver which
communicates via a channel shared by other nodes
– Transmission from any node is received by other nodes
Shared Multiple
Access Control
Channel to BS
Node 4
Node 3
Node 2
Node 1 …
Node N
144
Introduction (Cont’d)
• Multiple access issues
– If more than one node transmit at a time on the control
channel to BS, a collision occurs
– How to determine which node can transmit to BS?
• Multiple access protocols
– Solving multiple access issues
– Different types:
• Contention protocols resolve a collision after it occurs.
These protocols execute a collision resolution protocol
after each collision
• Collision-free protocols (e.g., a bit-map protocol and
binary countdown) ensure that a collision can never
occur.
145
Channel Sharing Techniques
Channel Sharing
Techniques
Static
Channelization
Dynamic Medium
Access Control
Scheduling
Random Access
146
Classification of Multiple Access Protocols
Multiple access protocols
Contention-based Conflict-free
Random access Collision resolution
FDMA,
TDMA,
CDMA,
Token Bus,
DQDB, etc
ALOHA,
CSMA,
BTMA,
ISMA,
etc
TREE,
WINDOW,
etc
DQDB: Distributed Queue Dual Bus
BTMA: Busy Tone Multiple Access
ISMA: Internet Streaming Media Alliance
147
Contention Protocols
• ALOHA
– Developed in the 1970s for a packet radio network by Hawaii
University.
– Whenever a station has a data, it transmits. Sender finds out
whether transmission was successful or experienced a collision by
listening to the broadcast from the destination station. Sender
retransmits after some random time if there is a collision.
• Slotted ALOHA
– Improvement: Time is slotted and a packet can only be
transmitted at the beginning of one slot. Thus, it can reduce the
collision duration.
148
Contention Protocols (Cont’d)
• CSMA (Carrier Sense Multiple Access)
– Improvement: Start transmission only if no transmission is
ongoing
• CSMA/CD (CSMA with Collision Detection)
– Improvement: Stop ongoing transmission if a collision is detected
• CSMA/CA (CSMA with Collision Avoidance)
– Improvement: Wait a random time and try again when carrier is
quiet. If still quiet, then transmit
• CSMA/CA with ACK
• CSMA/CA with RTS/CTS
149
ALOHA
1 2 3 3 2
Time
Collision
Retransmission Retransmission
Node 1 Packet
Collision mechanism in ALOHA
Waiting a random time
Node 2 Packet
Node 3 Packet
150
Throughput of ALOHA
n
 
!
n
(2G)
n
P
e 2G


• The probability that n packets arrive in two packets time is given by
where G is traffic load.
  G
e
P 2
0 

• The probability P(0) that a packet is successfully received without
collision is calculated by letting n=0 in the above equation. We get
  G
e
G
P
G
S 2
0 




• We can calculate throughput S with a traffic load G as follows:
184
.
0
2
1
max 

e
S
• The Maximum throughput of ALOHA is
151
Slotted ALOHA
1 2&3 2
Time
Collision
Retransmission Retransmission
3
Slot
Node 1 Packet
Nodes 2 & 3 Packets
Collision mechanism in slotted ALOHA
152
Throughput of Slotted ALOHA
  G
e
P 

0
• The probability of no collision is given by
  G
e
G
P
G
S 



 0
• The throughput S is
368
.
0
1
max 

e
S
• The Maximum throughput of slotted ALOHA is
153
Throughput
G
8
6
4
2
0
0.5
0.4
0.3
0.2
0.1
0
Slotted Aloha
Aloha
0.368
0.184
G
S
154
CSMA (Carrier Sense Multiple
Access)
• Max throughput achievable by slotted ALOHA
is 0.368.
• CSMA gives improved throughput compared
to Aloha protocols.
• Listens to the channel before transmitting a
packet (avoid avoidable collisions).
155
Collision Mechanism in CSMA
1 2 3
Time
Collision
4
Node 4 sense
Delay
5
Node 5 sense
Delay
Node 1 Packet
Node 2 Packet
Node 3 Packet
156
Kinds of CSMA
CSMA
Nonpersistent CSMA
Persistent CSMA
Unslotted Nonpersistent CSMA
Unslotted persistent CSMA
Slotted Nonpersistent CSMA
Slotted persistent CSMA
1-persistent CSMA
p-persistent CSMA
157
Nonpersistent/x-persistent CSMA Protocols
• Nonpersistent CSMA Protocol:
Step 1: If the medium is idle, transmit immediately
Step 2: If the medium is busy, wait a random amount of time and
repeat Step 1
– Random backoff reduces probability of collisions
– Waste idle time if the backoff time is too long
• 1-persistent CSMA Protocol:
Step 1: If the medium is idle, transmit immediately
Step 2: If the medium is busy, continue to listen until medium
becomes idle, and then transmit immediately
– There will always be a collision if two nodes want to retransmit
(usually you stop transmission attempts after few tries)
158
Nonpersistent/x-persistent CSMA Protocols
• p-persistent CSMA Protocol:
Step 1: If the medium is idle, transmit with probability p, and delay
for worst case propagation delay for one packet with probability
(1-p)
Step 2: If the medium is busy, continue to listen until medium
becomes idle, then go to Step 1
Step 3: If transmission is delayed by one time slot, continue with Step 1
– A good tradeoff between nonpersistent and 1-persistent CSMA
159
How to Select Probability p ?
• Assume that N nodes have a packet to send and the
medium is busy
• Then, Np is the expected number of nodes that will
attempt to transmit once the medium becomes idle
• If Np > 1, then a collision is expected to occur
Therefore, network must make sure that Np < 1 to
avoid collision, where N is the maximum number of
nodes that can be active at a time
160
Throughput
0 1 2 3 4 5 6 7 8 9
G
1.0
0.9
0.8
0.7
0.6
0.5
0.4
0.3
0.2
0.1
0
S
Aloha
Slotted Aloha
1-persistent CSMA
0.5-persistent CSMA
0.1-persistent CSMA
0.01-persistent CSMA
Nonpersistent CSMA
161
CSMA/CD (CSMA with Collision Detection)
• In CSMA, if 2 terminals begin sending packet at the same
time, each will transmit its complete packet (although
collision is taking place).
• Wasting medium for an entire packet time.
• CSMA/CD
Step 1: If the medium is idle, transmit
Step 2: If the medium is busy, continue to listen until
the channel is idle then transmit
Step 3: If a collision is detected during transmission,
cease transmitting
Step 4: Wait a random amount of time and repeats
the same algorithm
162
CSMA/CD
A B
( is the propagation time)
T0 A begins transmission
A B
B begins transmission
Time
T0+-
A B
B detects collision
T0+
A B
A detects collision just
before end of transmission
T0+2 -
163
CSMA/CA (CSMA with collision Avoidance)
• All terminals listen to the same medium as CSMA/CD.
• Terminal ready to transmit senses the medium.
• If medium is busy it waits until the end of current transmission.
• It again waits for an additional predetermined time period DIFS
(Distributed inter frame Space).
• Then picks up a random number of slots (the initial value of backoff
counter) within a contention window to wait before transmitting its frame.
• If there are transmissions by other terminals during this time period
(backoff time), the terminal freezes its counter.
• It resumes count down after other terminals finish transmission + DIFS.
The terminal can start its transmission when the counter reaches to zero.
164
CSMA/CA
Time
Node A’s frame
Nodes B & C sense
the medium
Nodes B resenses the medium
and transmits its frame.
Node C freezes its counter.
Node B’s frame
Nodes C starts
transmitting.
Delay: B
Delay: C
Nodes C resenses the
medium and starts
decrementing its counter.
Node C’s frame
165
CSMA/CA
DIFS
Next Frame
Medium Busy
DIFS Contention window
Defer access
Backoff after defer
Slot
Time
DIFS – Distributed Inter Frame Spacing
Contention
window
166
CSMA/CA
Time
Node A’s frame
Nodes B & C sense
the medium
Nodes B resenses the medium
and transmits its frame.
Node C freezes its counter.
Node B’s frame
Nodes C starts
transmitting.
Delay: B
Delay: C
Nodes C resenses the
medium and starts
decrementing its counter.
Node C’s frame
167
CSMA/CA with ACK
• Immediate Acknowledgements from receiver upon
reception of data frame without any need for sensing the
medium.
• ACK frame transmitted after time interval SIFS (Short
Inter-Frame Space) (SIFS < DIFS)
• Receiver transmits ACK without sensing the medium.
• If ACK is lost, retransmission done.
168
CSMA/CA/ACK
DIFS
Next Frame
ACK
Data
Other
Source
Destination
DIFS
SIFS
Contention window
Defer access Backoff after defer
SIFS – Short Inter Frame Spacing
Time
169
CSMA/CA with RTS/CTS
• Transmitter sends an RTS (request to send) after medium
has been idle for time interval more than DIFS.
• Receiver responds with CTS (clear to send) after medium
has been idle for SIFS.
• Then Data is exchanged.
• RTS/CTS is used for reserving channel for data
transmission so that the collision can only occur in control
message.
170
CSMA/CA with RTS/CTS
DIFS
Next Frame
CTS
RTS
Other
Source
Destination
DIFS
SIFS
Contention window
Defer access Backoff after defer
SIFS
Data
SIFS
ACK
Time
171
RTS/CTS
Node A Node B
Propagation delay
UNIT-I:
BASIC CELLULAR SYSTEM
UNIT-II:
MOBILE RADIO PROPAGATION
UNIT-III:
MULTIPLE ACCESS
UNIT-IV:
GSM & CDMA
UNIT-V:
IG,2G,3G,4G,WLAN,BLUETOOTH,UMTE,PAN,CDMA2000
GSM
Services and features
System Architecture
Radio sub system
Channel Types
Fame structure
Signal Processing
GSM: Overview
– formerly: Groupe Spéciale Mobile (founded 1982
– now: Global System for Mobile Communication
– Pan-European standard (ETSI, European Telecommunications
Standardisation Institute)
– simultaneous introduction of essential digital cellular services in three
phases (1991, 1994, 1996) by the European telecommunication
administrations, seamless roaming within Europe possible
– Main objective was to Replace the incompatible analog system
– today many providers all over the world use GSM (more than 130
countries in Asia, Africa, Europe, Australia, America)
– more than 1300 million subscribers in world and 45 million subscribers in
INDIA
Performance characteristics of GSM
• Communication
– mobile, wireless digital communication; support for voice and data
services
• Total mobility
– international access, chip-card enables use of access points of different
providers
• Worldwide connectivity
– one number, the network handles localization
• High capacity
– better frequency efficiency, smaller cells, more customers per cell
• High transmission quality
– high audio quality
– uninterrupted phone calls at higher speeds (e.g., from cars, trains) – better
handoffs and
• Security functions
– access control, authentication via chip-card and PIN
Disadvantages of GSM
• There is no perfect system!!
– no end-to-end encryption of user data
– no full ISDN bandwidth of 64 kbit/s to the user, no transparent B-
channel
– abuse of private data possible
• roaming profiles accessible
– high complexity of the system
– several incompatibilities within the GSM standards
GSM: Mobile Services
• GSM offers
– several types of connections
• voice connections, data connections, short message service
– multi-service options (combination of basic services)
• Three service domains
– Bearer Services – interface to the physical medium (transparent for
example in the case of voice or non transparent for data services)
– Telematic Services – services provided by the system to the end
user (e.g., voice, SMS, fax, etc.)
– Supplementary Services – associated with the tele services: call
forwarding, redirection, etc.
GSM-PLMN
transit
network
(PSTN, ISDN)
source/
destination
network
TE TE
bearer services
tele services
R, S (U, S, R)
Um
MT
MS
Bearer Services
• Telecommunication services to transfer data between access points
– R and S interfaces – interfaces that provide network independent data
transmission from end device to mobile termination point.
– U interface – provides the interface to the network (TDMS, FDMA,
etc.)
• Specification of services up to the terminal interface (OSI layers 1-3)
– Transparent – no error control of flow control, only FEC
– Non transparent – error control, flow control
• Different data rates for voice and data (original standard)
– voice service (circuit switched)
• synchronous: 2.4, 4.8 or 9.6 Kbps.
– data service (circuit switched)
• synchronous: 2.4, 4.8 or 9.6 kbit/s
• asynchronous: 300 - 1200 bit/s
– data service (packet switched)
• synchronous: 2.4, 4.8 or 9.6 kbit/s
• asynchronous: 300 - 9600 bit/s
Tele Services I
• Telecommunication services that enable voice communication via
mobile phones
• All these basic services have to obey cellular functions, security
measures etc.
• Offered voice related services
– mobile telephony
primary goal of GSM was to enable mobile telephony offering the
traditional bandwidth of 3.1 kHz
– Emergency number
common number throughout Europe (112); mandatory for all
service providers; free of charge; connection with the highest
priority (preemption of other connections possible)
– Multinumbering
several ISDN phone numbers per user possible
Tele Services II
• Additional services: Non-Voice-Teleservices
– group 3 fax
– voice mailbox (implemented in the fixed network supporting the
mobile terminals)
– electronic mail (MHS, Message Handling System, implemented in the
fixed network)
– Short Message Service (SMS)
alphanumeric data transmission to/from the mobile terminal using the
signaling channel, thus allowing simultaneous use of basic services
and SMS (160 characters)
Supplementary services
• Services in addition to the basic services, cannot be offered stand-alone
• May differ between different service providers, countries and protocol
versions
• Important services
– identification: forwarding of caller number
– suppression of number forwarding
– automatic call-back
– conferencing with up to 7 participants
– locking of the mobile terminal (incoming or outgoing calls)
Architecture of the GSM system
• GSM is a PLMN (Public Land Mobile Network)
– several providers setup mobile networks following the GSM standard
within each country
– components
• MS (mobile station)
• BS (base station)
• MSC (mobile switching center)
• LR (location register)
– subsystems
• RSS (radio subsystem): covers all radio aspects
• NSS (network and switching subsystem): call forwarding,
handover, switching
• OSS (operation subsystem): management of the network
GSM FEATURES
1. SIM (Subscriber Identification Number)
2. On-Air Privacy
GSM: overview
fixed network
BSC
BSC
MSC MSC
GMSC
OMC, EIR,
AUC
VLR
HLR
NSS
with OSS
RSS
VLR
GSM: elements and interfaces
NSS
MS MS
BTS
BSC
GMSC
IWF
OMC
BTS
BSC
MSC MSC
Abis
Um
EIR
HLR
VLR VLR
A
BSS
PDN
ISDN, PSTN
RSS
radio cell
radio cell
MS
AUC
OSS
signaling
O
Um
Abis
A
BSS
radio
subsystem
MS MS
BTS
BSC
BTS
BTS
BSC
BTS
network and switching
subsystem
MSC
MSC
fixed
partner networks
IWF
ISDN
PSTN
PSPDN
CSPDN
SS7
EIR
HLR
VLR
ISDN
PSTN
GSM: system architecture
System architecture: radio subsystem
• Components
– MS (Mobile Station)
– BSS (Base Station Subsystem):
consisting of
• BTS (Base Transceiver Station):
sender and receiver
• BSC (Base Station Controller):
controlling several transceivers
• Interfaces
– Um : radio interface
– Abis : standardized, open interface with
16 kbit/s user channels
– A: standardized, open interface with
64 kbit/s user channels
Um
Abis
A
BSS
radio
subsystem
network and switching
subsystem
MS MS
BTS
BSC MSC
BTS
BTS
BSC
BTS
MSC
System architecture: network and switching subsystem
Components
o MSC (Mobile Services Switching Center):
o IWF (Interworking Functions)
o ISDN (Integrated Services Digital Network)
o PSTN (Public Switched Telephone Network)
o PSPDN (Packet Switched Public Data Net.)
o CSPDN (Circuit Switched Public Data Net.)
Databases
o HLR (Home Location Register)
o VLR (Visitor Location Register)
o EIR (Equipment Identity Register)
network
subsystem
MSC
MSC
fixed partner
networks
IWF
ISDN
PSTN
PSPDN
CSPDN
SS7
EIR
HLR
VLR
ISDN
PSTN
System architecture: network and switching subsystem
Components
o MSC (Mobile Services Switching Center):
o IWF (Interworking Functions)
o ISDN (Integrated Services Digital Network)
o PSTN (Public Switched Telephone Network)
o PSPDN (Packet Switched Public Data Net.)
o CSPDN (Circuit Switched Public Data Net.)
Databases
o HLR (Home Location Register)
o VLR (Visitor Location Register)
o EIR (Equipment Identity Register)
network
subsystem
MSC
MSC
fixed partner
networks
IWF
ISDN
PSTN
PSPDN
CSPDN
SS7
EIR
HLR
VLR
ISDN
PSTN

Mobile cellular Communication.ppt

  • 1.
  • 2.
    • Radio communicationwas invented by Nokola Tesla and Guglielmo Marconi: in 1893, Nikola Tesla made the first public demonstration of wireless (radio) telegraphy; Guglielmo Marconi conducted long ditance (over see) telegraphy 1897 • in 1940 the first walkie-talkie was used by the US military • in 1947, John Bardeen and Walter Brattain from AT&T’s Bell Labs invented the transistor (semiconductor device used to amplify and switch electronic signals) • AT&T introduced commercial radio comm.: car phone – two way radio link to the local phone network • in 1979 the first commercial cellular phone service was launched by the Nordic Mobile Telephone (in Finland, Sweden, Norway, Denmark).  Evolution to cellular networks: – (communication anytime, anywhere)
  • 3.
  • 4.
     Mobile phonesubscribers worldwide: year Subscribers [million] 0 200 400 600 800 1000 1200 1400 1600 1996 1997 1998 1999 2000 2001 2002 2003 2004 approx. 1.7 bn GSM total TDMA total CDMA total PDC total Analogue total W-CDMA Total wireless Prediction (1998) 2009: >4 bn!
  • 5.
    Example coverage ofGSM networks (www.gsmworld.com) T-Mobile (GSM-900/1800) Germany O2 (GSM-1800) Germany AT&T (GSM-850/1900) USA Vodacom (GSM-900) South Africa
  • 6.
    • 1G (firstgeneration) : voice-oriented systems based on analog technology; ex.: Advanced Mobile Phone Systems (AMPS) and cordless systems • 2G (second generation) : voice-oriented systems based on digital technology; more efficient and used less spectrum than 1G; ex.: Global System for Mobile (GSM) and US Time Division Multiple Access (US-TDMA) • 3G (third generation) : high-speed voice-oriented systems integrated with data services; ex.: General Packet Radio Service (GPRS), Code Division Multiple Access (CDMA) • 4G (fourth generation): still experimental, not deployed yet; based on Internet protocol networks and will provide voice, data and multimedia service to subscribers  Cellular systems generations:
  • 7.
  • 8.
    • The entirenetwork coverage area is divided into cells based on the principle of frequency reuse. • A cell = basic geographical unit of a cellular network; is the area around an antenna where a specific frequency range is used; is represented graphically as a hexagonal shape, but in reality it is irregular in shape. •.  Network cells: • A cluster is a group of adiacent cells, usually 7 cells; no frequency reuse is done within a cluster
  • 9.
    • when asubscriber moves to another cell, the antenna of the new cell takes over the signal transmission. •. The frequency spectrum is divided into subbands and each subband is used within one cell of the cluster in heavy traffic zones cells are smaller, while in isolated zones cells are larger. •Type of Cells: • macrocell – their coverage is large (aprox. 6 miles in diameter); used in remote areas, high-power transmitters and receivers are used. • microcell – their coverage is small (half a mile in diameter) and are used in urban zones; low-powered transmitters and receivers are used to avoid interference with cells in another clusters. • Picocell – covers areas such as building or a tunnel
  • 10.
    Components of acellular phone (MSU – Mobile Subscriber Unit) • radio transceiver – low power radio transmitter and receiver • antenna, usually located inside the phone • control circuitry – formats the data sent to and from the BTS; controls signal transmission and reception • man-machine interface – consists from a keypad and a display; is managed by the control circuitry • Subscriber Identity Module (SIM) – integrated circuit card that stores the identity information of subscriber • battery, usually Li-ion, the power unit of the phone
  • 11.
    Setting up acall process • when powered on, the phone does not have a frequency/ time slot/ode assigned to it yet; so it scans for the control channel of the BTS and picks the strongest signal • then it sends a message (including its identification number) to the BTS to indicate its presence • the BTS sends an acknowledgement message back to the cell phone • the phone then registers with the BTS and informs the BTS of its exact location • after the phone is registered to the BTS, the BTS assigns a channel to the phone and the phone is ready to receive or make calls
  • 12.
    Making a callprocess • The subscriber dials the receiver’s number and sends it to the BTS • The BTS sends to its BSC the ID, location and number of the caller and also the number of the receiver • The BSC forwards this information to its MSC • the MSC routes the call to the receiver’s MSC which is then sent to the receiver’s BSC and then to its BTS • the communication with the receiver’s cell phone is established
  • 13.
    Receiving a callprocess • when the receiver’ phone is in an idle state it listens for the control channel of its BTS • if there is an incoming call the BSC and BTS sends a message to the cells in the area where the receiver’s phone is located • the phone monitors its message and compares the number from the message with its own • if the numbers matches the cell phone sends an acknowledgement to the BTS • after authentication, the communication is established between the caller and the receiver
  • 14.
    UNIT-I: BASIC CELLULAR SYSTEM UNIT-II: FREESPACE PROPOGATION MODEL UNIT-III: MULTIPLE ACCESS UNIT-IV: GSM & CDMA UNIT-V: IG,2G,3G,4G,WLAN,BLUETOOTH,UMTE,PAN,CDMA2000
  • 15.
    UNIT-I: BASIC CELLULAR SYSTEM •Basic cellular system & It’s Operation • Frequency Reuse • Channel Assignment Strategies • Hand off Process • Factors Influencing Hand off’s • Handoffs in different generations • Interference & system capacity • Cross talk • Enhancing Capacity & Cell coverage • Trunked Radio system
  • 16.
  • 17.
  • 18.
     General viewof Cellular telecommunications system:
  • 19.
     Introduction toCellular Systems • Solves the problem of spectral congestion and user capacity. • Offer very high capacity in a limited spectrum without major technological changes. • Reuse of radio channel in different cells. • Enable a fix number of channels to serve an arbitrarily large number of users by reusing the channel throughout the coverage region.
  • 20.
     Frequency Reuse(1/4): •Each cellular base station is allocated a group of radio channels within a small geographic area called a cell. • Neighboring cells are assigned different channel groups. • By limiting the coverage area to within the boundary of the cell, the channel groups may be reused to cover different cells. • Keep interference levels within tolerable limits. • Frequency reuse or frequency planning • seven groups of channel from A to G • footprint of a cell - actual radio coverage • Omni-directional antenna vs.. directional antenna
  • 21.
    • Consider acellular system which has a total of S duplex channels. • Each cell is allocated a group of k channels, . • The S channels are divided among N cells. • The total number of available radio channels • The N cells which use the complete set of channels is called cluster. • The cluster can be repeated M times within the system. The total number of channels, C, is used as a measure of capacity • The capacity is directly proportional to the number of replication M. • The cluster size, N, is typically equal to 4, 7, or 12. • Small N is desirable to maximize capacity. • The frequency reuse factor is given by S k  kN S  MS MkN C   N / 1  Frequency Reuse(2/4):
  • 22.
    • Hexagonal geometryhas – exactly six equidistance neighbors – the lines joining the centers of any cell and each of its neighbors are separated by multiples of 60 degrees. • Only certain cluster sizes and cell layout are possible. • The number of cells per cluster, N, can only have values which satisfy • Co-channel neighbors of a particular cell, ex, i=3 and j=2. 2 2 j ij i N     Frequency Reuse(3/4):
  • 23.
  • 24.
     Suppose wehave spectrum for 100 voice channels  Scenario 1: a high power base station covering entire area – system capacity = 100 channels  Scenario 2: divide spectrum into 4 groups of 25 channels each; cells (1, 7), (2, 4), (3, 5), 6 are assigned distinct channel groups – system capacity = 175 channels An Example of Frequency Reuse:
  • 25.
     Frequency ReuseExample-2  Suppose W = 25 MHz and B = 25 KHz/voice channel  W/B = 1000 voice channels can be supported over the spectrum  Scenario 1: a high power base station covering entire area (M = N = 1)  system capacity n = 1000 users  Scenario 2:  Coverage area divided into M = 20 cells with reuse factor N = 4  Each cluster accommodate 1000 active users  5 clusters in coverage area  system capacity n = 5000 users  Scenario 3:  M = 100 cells, N = 4  system capacity n = 25000 users  Scenario 4:  M = 100 cells, N = 1  system capacity n = 100000 users
  • 26.
     Common AirInterface (CAI) Forward Channel Reverse Channel Standard that defines Communication between a Base Station and Mobile Specifies Four Channels [Voice Channels and Control / Setup Channels] FVC: Forward Voice Channel RVC: Reverse Voice Channel FCC: Forward Control Channel RCC: Reverse Control Channel
  • 27.
    Several Types ofMobile Radio Systems: Garage Door Controller [<100 MHz] Remote Controllers [TV/VCR/DISH][Infra-Red: 1-100 THz] Cordless Telephone [<100 MHz] Hand-Held Radio [Walki-Talki] [VHF-UHF:40-480 MHz] Pagers/Beepers [< 1 GHz] Cellular Mobile Telephone[<2 GHz] Classification: Simplex System: Communication is possible in only one direction : Garage Door Controller, Remote Controllers [TV/VCR/DISH] Pagers/Beepers Semi-Duplex System: Communication is possible in two directions but one talks and other listens at any time[Push to Talk System]: Walki-Talki Duplex System: Communication is possible in both directions at any time: Cellular Telephone [FDD or TDD]
  • 28.
     Comparison ofCommon Wireless Communication Systems System Coverage Range Required Infra- Structure Complexity Hardware Cost Carrier Frequency Functionality Tv Remote Control Low Low Low Low Infra-Red Tx/Rx Garage Door Contol Low Low Low Low <100 Mhz Tx/Rx Paging System High High Low/High Low/High <1GHz Rx/Tx Cordless Phone Low Low Moderate/Low Low/Moderate <100 MHz Transceiver Cellular Phone High High High Moderate/High <1 GHz Transceiver Tx = Transmitter Rx = Receiver Comparison of Mobile Communication Systems - Mobile/Base Station
  • 29.
     Channel AssignmentStrategies: • Frequency reuse scheme – increases capacity – minimize interference • Channel assignment strategy – fixed channel assignment – dynamic channel assignment • Fixed channel assignment – each cell is allocated a predetermined set of voice channel – any new call attempt can only be served by the unused channels – the call will be blocked if all channels in that cell are occupied • Dynamic channel assignment – channels are not allocated to cells permanently. – allocate channels based on request. – reduce the likelihood of blocking, increase capacity.
  • 30.
     Handoff Strategies(1/4) • When a mobile moves into a different cell while a conversation is in progress, the MSC automatically transfers the call to a new channel belonging to the new base station. • Handoff operation – identifying a new base station – re-allocating the voice and control channels with the new base station. • Handoff Threshold – Minimum usable signal for acceptable voice quality (-90dBm to - 100dBm) – Handoff margin cannot be too large or too small. – If is too large, unnecessary handoffs burden the MSC – If is too small, there may be insufficient time to complete handoff before a call is lost. usable minimum , , r handoff r P P     
  • 31.
  • 32.
    • Handoff mustensure that the drop in the measured signal is not due to momentary fading and that the mobile is actually moving away from the serving base station. • Running average measurement of signal strength should be optimized so that unnecessary handoffs are avoided. – Depends on the speed at which the vehicle is moving. – Steep short term average -> the hand off should be made quickly – The speed can be estimated from the statistics of the received short-term fading signal at the base station • Dwell time: The time over which a call may be maintained within a cell without handoff. • Dwell time depends on – propagation – interference – distance – speed  Handoff Strategies (3/4):
  • 33.
    • Handoff measurement –In first generation analog cellular systems, signal strength measurements are made by the base station and supervised by the MSC. – In second generation systems (TDMA), handoff decisions are mobile assisted, called mobile assisted handoff (MAHO) • Intersystem handoff: If a mobile moves from one cellular system to a different cellular system controlled by a different MSC. 1. Handoff requests is much • important than handling • a new call.  Handoff Strategies (4/4): MSC
  • 34.
     Practical HandoffConsideration(1/3): • Different type of users – High speed users need frequent handoff during a call. – Low speed users may never need a handoff during a call. • Microcells to provide capacity, the MSC can become burdened if high speed users are constantly being passed between very small cells. • Minimize handoff intervention – handle the simultaneous traffic of high speed and low speed users. • Large and small cells can be located at a single location (umbrella cell) – different antenna height – different power level • Cell dragging problem: pedestrian users provide a very strong signal to the base station – The user may travel deep within a neighboring cell
  • 35.
  • 36.
    • Handoff forfirst generation analog cellular systems – 10 secs handoff time – is in the order of 6 dB to 12 dB • Handoff for second generation cellular systems, e.g., GSM – 1 to 2 seconds handoff time – mobile assists handoff – is in the order of 0 dB to 6 dB – Handoff decisions based on signal strength, co-channel interference, and adjacent channel interference. • IS-95 CDMA spread spectrum cellular system – Mobiles share the channel in every cell. – No physical change of channel during handoff – MSC decides the base station with the best receiving signal as the service station   Practical Handoff Consideration(3/3):
  • 37.
    Interference and SystemCapacity: • Sources of interference – Another mobile in the same cell – A call in progress in the neighboring cell – Other base stations operating in the same frequency band – Non-cellular system leaks energy into the cellular frequency band • Two major cellular interference 1. Co-channel interference 2. Adjacent channel interference
  • 38.
    1.Co-channel Interference andSystem Capacity (1/5): • Frequency reuse - there are several cells that use the same set of frequencies – co-channel cells – co-channel interference • To reduce co-channel interference, co-channel cell must be separated by a minimum distance. • When the size of the cell is approximately the same – co-channel interference is independent of the transmitted power – co-channel interference is a function of • R: Radius of the cell • D: distance to the center of the nearest co-channel cell • Increasing the ratio q=D/R, the interference is reduced. • q is called the co-channel reuse ratio
  • 39.
    • For ahexagonal geometry • A small value of Q provides large capacity • A large value of Q improves the transmission quality - smaller level of co-channel interference • A tradeoff must be made between these two objectives N R D Q 3   1.Co-channel Interference and System Capacity (2/5):
  • 40.
    • Let bethe number of co-channel interfering cells. The signal-to- interference ratio (SIR) for a mobile receiver can be expressed as S: the desired signal power : interference power caused by the ith interfering co-channel cell base station • The average received power at a distance d from the transmitting antenna is approximated by or n is the path loss exponent which ranges between 2 and 4. 0 i    0 1 i i i I S I S i I n r d d P P           0 0           0 0 log 10 ) dBm ( ) dBm ( d d n P Pr close-in reference point TX 0 d 0 P :measued power 1.Co-channel Interference and System Capacity (3/5):
  • 41.
    • When thetransmission power of each base station is equal, SIR for a mobile can be approximated as • Consider only the first layer of interfering cells        0 1 i i n i n D R I S   0 0 3 ) / ( i N i R D I S n n   • Example: AMPS requires that SIR be greater than 18dB – N should be at least 6.49 for n=4. – Minimum cluster size is 7 6 0  i 1.Co-channel Interference and System Capacity (4/5):
  • 42.
    • For hexagonalgeometry with 7-cell cluster, with the mobile unit being at the cell boundary, the signal-to-interference ratio for the worst case can be approximated as 4 4 4 4 4 4 ) ( ) 2 / ( ) 2 / ( ) ( 2                D R D R D R D R D R I S 1. Co-channel Interference and System Capacity (5/5):
  • 43.
    2. Adjacent ChannelInterference(1/2): • Adjacent channel interference: interference from adjacent in frequency to the desired signal. – Imperfect receiver filters allow nearby frequencies to leak into the pass band – Performance degrade seriously due to near-far effect. desired signal receiving filter response desired signal interference interference signal on adjacent channel signal on adjacent channel FILTER
  • 44.
    • Adjacent channelinterference can be minimized through careful filtering and channel assignment. • Keep the frequency separation between each channel in a given cell as large as possible • A channel separation greater than six is needed to bring the adjacent channel interference to an acceptable level. • Adjacent channel interface can be reduced by: - channel Assignments - Careful filtering - Reduction of near-end-far –end interference • Adjacent channel interference is again classified into 2 types 1. Next channel interference 2. Neighboring channel interference 2. Adjacent Channel Interference(2/2):
  • 45.
     Power Controlfor Reducing Interference: • Ensure each mobile transmits the smallest power necessary to maintain a good quality link on the reverse channel – long battery life – increase SIR – solve the near-far problem
  • 46.
    Trunking and Gradeof Service: • Erlangs: One Erlangs represents the amount of traffic density carried by a channel that is completely occupied. – Ex: A radio channel that is occupied for 30 minutes during an hour carries 0.5 Erlangs of traffic. • Grade of Service (GOS): The likelihood that a call is blocked. • Each user generates a traffic intensity of Erlangs given by H: average duration of a call. : average number of call requests per unit time • For a system containing U users and an unspecified number of channels, the total offered traffic intensity A, is given by • For C channel trunking system, the traffic intensity, is given as H Au    u UA A  c A C UA A u c /  u A
  • 47.
     Improving Capacityin Cellular Systems: • Methods for improving capacity in cellular systems – Cell Splitting: subdividing a congested cell into smaller cells. – Sectoring: directional antennas to control the interference and frequency reuse. – Coverage zone : Distributing the coverage of a cell and extends the cell boundary to hard-to-reach place.
  • 48.
     Cell Splitting: •Split congested cell into smaller cells. – Preserve frequency reuse plan. – Reduce transmission power. microcell Reduce R to R/2
  • 49.
    Illustration of cellsplitting within a 3 km by 3 km square
  • 50.
    • Transmission powerreduction from to • Examining the receiving power at the new and old cell boundary • If we take n = 4 and set the received power equal to each other • The transmit power must be reduced by 12 dB in order to fill in the original coverage area. • Problem: if only part of the cells are splited – Different cell sizes will exist simultaneously • Handoff issues - high speed and low speed traffic can be simultaneously accommodated 1 t P 2 t P n t r R P P   1 ] boundary cell old at [ n t r R P P   ) 2 / ( ] boundary cell new at [ 2 16 1 2 t t P P 
  • 51.
    Sectoring: • Decrease theco-channel interference and keep the cell radius R unchanged – Replacing single omni-directional antenna by several directional antennas – Radiating within a specified sector
  • 52.
     Interference Reduction: positionof the mobile interference cells
  • 53.
    Microcell Zone Concept: •Antennas are placed at the outer edges of the cell • Any channel may be assigned to any zone by the base station • Mobile is served by the zone with the strongest signal. • Handoff within a cell – No channel re-assignment – Switch the channel to a different zone site • Reduce interference – Low power transmitters are employed
  • 54.
    UNIT-I: BASIC CELLULAR SYSTEM UNIT-II: MOBILERADIO PROPAGATION UNIT-III: MULTIPLE ACCESS UNIT-IV: GSM & CDMA UNIT-V: IG,2G,3G,4G,WLAN,BLUETOOTH,UMTE,PAN,CDMA2000
  • 55.
  • 56.
    UNIT-II: MOBILE RADIO PROPAGATION •Free space propagation model • Three basic propagation mechanisms • Practical link budget design using path loss models • Outdoor propagation models: Durkin’s model and indoor • Propagation model, partition losses. • Small scale multipath propagation •Parameters of Mobile multipath channels, types of small scale fading.
  • 57.
    57  Speed, Wavelength,Frequency System Frequency Wavelength AC current 60 Hz 5,000 km FM radio 100 MHz 3 m Cellular 800 MHz 37.5 cm Ka band satellite 20 GHz 15 mm Ultraviolet light 1015 Hz 10-7 m Light speed = Wavelength x Frequency = 3 x 108 m/s = 300,000 km/s
  • 58.
    58 Types of Waves Earth Skywave Space wave Ground wave Troposphere (0 - 12 km) Stratosphere (12 - 50 km) Mesosphere (50 - 80 km) Ionosphere (80 - 720 km)
  • 59.
    59  Radio FrequencyBands Classification Band Initials Frequency Range Characteristics Extremely low ELF < 300 Hz Ground wave Infra low ILF 300 Hz - 3 kHz Very low VLF 3 kHz - 30 kHz Low LF 30 kHz - 300 kHz Medium MF 300 kHz - 3 MHz Ground/Sky wave High HF 3 MHz - 30 MHz Sky wave Very high VHF 30 MHz - 300 MHz Space wave Ultra high UHF 300 MHz - 3 GHz Super high SHF 3 GHz - 30 GHz Extremely high EHF 30 GHz - 300 GHz Tremendously high THF 300 GHz - 3000 GHz
  • 60.
    • Electromagnetic wavepropagation – reflection – diffraction – scattering • Urban areas – No direct line-of-sight – high-rise buildings causes severe diffraction loss – multipath fading due to different paths of varying lengths • Large-scale propagation models predict the mean signal strength for an arbitrary T-R separation distance. • Small-scale (fading) models characterize the rapid fluctuations of the received signal strength over very short travel distance or short time duration. INTRODUCTION:
  • 61.
    61  Radio PropagationEffects Transmitter d Receiver hb hm Diffracted Signal Reflected Signal Direct Signal Building
  • 62.
    62  Free-space Propagation •The received signal power at distance d: where Pt is transmitting power, Ae is effective area, and Gt is the transmitting antenna gain. Assuming that the radiated power is uniformly distributed over the surface of the sphere. Transmitter Distance d Receiver hb hm 2 r 4 P d P G A t t e  
  • 63.
     Free SpacePropagation Model : • The free space propagation model is used to predict received signal strength when the transmitter and receiver have a clear line-of-sight path between them. – satellite communication – microwave line-of-sight radio link • Friis free space equation : transmitted power : T-R separation distance (m) : received power : system loss : transmitter antenna gain : wave length in meters : receiver antenna gain L d G G P d P r t t r 2 2 2 ) 4 ( ) (    t P ) (d Pr t G r G d L 
  • 64.
    • The gainof the antenna : effective aperture is related to the physical size of the antenna • The wave length is related to the carrier frequency by : carrier frequency in Hertz : carrier frequency in radians : speed of light (meters/s) • The losses are usually due to transmission line attenuation, filter losses, and antenna losses in the communication system. A value of L=1 indicates no loss in the system hardware. 2 4   e A G  e A  c c f c    2   f c  c L ) 1 (  L
  • 65.
    • Isotropic radiatoris an ideal antenna which radiates power with unit gain. • Effective isotropic radiated power (EIRP) is defined as and represents the maximum radiated power available from transmitter in the direction of maximum antenna gain as compared to an isotropic radiator. • Path loss for the free space model with antenna gains • When antenna gains are excluded • The Friis free space model is only a valid predictor for for values of d which is in the far-field (Fraunhofer region) of the transmission antenna. t tG P EIRP             2 2 2 ) 4 ( log 10 log 10 ) ( d G G P P dB PL r t r t              2 2 2 ) 4 ( log 10 log 10 ) ( d P P dB PL r t   r P
  • 66.
    • The far-fieldregion of a transmitting antenna is defined as the region beyond the far-field distance where D is the largest physical linear dimension of the antenna. • To be in the far-filed region the following equations must be satisfied and • Furthermore the following equation does not hold for d=0. • Use close-in distance and a known received power at that point or  2 2D d f  D d f    f d L d G G P d P r t t r 2 2 2 ) 4 ( ) (    0 d ) ( 0 d Pr 2 0 0 ) ( ) (        d d d P d P r r f d d d   0               d d d P d P r r 0 0 log 20 W 001 . 0 ) ( log 10 dBm ) ( f d d d   0
  • 67.
    Relating Power toElectric Field: • Consider a small linear radiator of length L r E  E  H
  • 68.
    • Electric andmagnetic fields for a small linear radiator of length L ) / ( 2 0 ) / ( 3 2 2 0 0 ) / ( 3 2 0 0 4 sin 2 sin 1 2 cos c d t j c c d t j c c c d t j c r c c c e d c d j c L i H e d j c d c d j c L i E e d j c d c L i E                                             0      H H E r
  • 69.
    • At theregion far away from the transmitter only and need to be considered. • In free space, the power flux density is given by • where is the intrinsic impedance of free space given by  E  H 2 2 2 2 2 / 4 4 m W E R E d G P d EIRP P fs t t d        fs R   120  2 2 / 377 m W E Pd  
  • 70.
    • The powerreceived at distance is given by the power flux density times the effective aperture of the receiver antenna • If the receiver antenna is modeled as a matched resistive load to the receiver, the received power is given by Watts ) 4 ( 120 ) ( 2 2 2 2 d G G P A E A P d P r t t e e d r       ant ant r R V R V d P 4 ) 2 / ( ) ( 2 2  
  • 71.
    71 Example of PathLoss (Free-space) Path Loss in Free-space 70 80 90 100 110 120 130 0 5 10 15 20 25 30 Distance d (km) Path Loss Lf (dB) fc=150MHz fc=200MHz fc=400MHz fc=800MHz fc=1000MHz fc=1500MHz
  • 72.
    72 Path Loss • Pathloss in decreasing order: – Urban area (large city) – Urban area (medium and small city) – Suburban area – Open area
  • 73.
    73 Example of PathLoss (Urban Area: Large City) Path Loss in Urban Area in Large City 100 110 120 130 140 150 160 170 180 0 10 20 30 Distance d (km) Path Loss Lpu (dB) fc=200MHz fc=400MHz fc=800MHz fc=1000MHz fc=1500MHz fc=150MHz
  • 74.
    74 Example of PathLoss (Urban Area: Medium and Small Cities) Path Loss in Urban Area for Small & Medium Cities 100 110 120 130 140 150 160 170 180 0 10 20 30 Distance d (km) Path Loss Lpu (dB) fc=150MHz fc=200MHz fc=400MHz fc=800MHz fc=1000MHz fc=1500MHz
  • 75.
    75 Example of PathLoss (Suburban Area) Path Loss in Suburban Area 90 100 110 120 130 140 150 160 170 0 5 10 15 20 25 30 Distance d (km) Path Loss Lps (dB) fc=150MHz fc=200MHz fc=400MHz fc=800MHz fc=1000MHz fc=1500MHz
  • 76.
    76 Example of PathLoss (Open Area) Path Loss in Open Area 80 90 100 110 120 130 140 150 0 5 10 15 20 25 30 Distance d (km) Path Loss Lpo (dB) fc=150MHz fc=200MHz fc=400MHz fc=800MHz fc=1000MHz fc=1500MHz
  • 77.
    77  Propagation Mechanisms: •Reflection – Propagation wave impinges on an object which is large as compared to wavelength - e.g., the surface of the Earth, buildings, walls, etc. • Diffraction – Radio path between transmitter and receiver obstructed by surface with sharp irregular edges – Waves bend around the obstacle, even when LOS (line of sight) does not exist • Scattering – Objects smaller than the wavelength of the propagation wave - e.g. foliage, street signs, lamp posts
  • 78.
    Reflection: . If anobject is large compared to the wavelength of the signal example huge buildings ,mountains or the surface of the earth the signal is reflected. . The reflected signal is not as strong as the original , as objects can absorbs some of the signal power. . When the radio wave propagating in one medium impinges upon another medium having electrical properties, the wave is partially reflected and partially transmitted. . If the wave is incident on perfect dielectric .If the wave is incident on perfect conductor .
  • 79.
    Reflection from Dielectrics: E-Field in the plane of Incidence E-Filed Normal t the plane of incidence • E-Field Polarization is parallel with the plane of incidence. • E- Field polarization is perpendicular to the plane of incidence i,r,t-refer to incident, reflected and transmitted fields µ,σ.ε- permeability, conductance and permittivity.
  • 80.
  • 81.
  • 82.
  • 83.
    Reflection coefficients • Equation4.26, example 4.4, Brewster angle, perfect conductors
  • 84.
    Reflection coefficients: • Adielectric material is a substance that is a poor conductor of electricity, but an efficient supporter of electrostatic fields. • For earth, at frequency 100MHz
  • 85.
     Reflection fromperfect conductors – E-field in the plane of incidence – E-field normal to the plane of incidence r i r i E E   and   r i r i E E    and   . The electromagnetic energy cannot pass through a perfect conductor, a plane wave incident on a conductor has all of its energy reflected. . The electric field at the surface of the conductor must be equal to zero at all Time in order to obey Maxwell’s equation, the reflected must equal in magnitude to the incident wave,
  • 86.
    Propagation over smoothplane (2Ray Model): (1/6) • The received signal is the phase sum of the direct wave and the reflected wave from the plane (2-ray model).
  • 87.
    Propagation over smoothplane: (2/6)  The 2-path or 2-ray model that is used for modeling the land mobile radio.  The 2-ray ground reflection model is a useful propagation model that is based on geometric optics and considers both the direct path and ground reflected propagation path b/w transmitter and receiver.
  • 88.
  • 89.
  • 90.
  • 91.
    Propagation over smoothplane: (6/7) The Path loss for the two-ray model (with antenna gains) can be expressed in dB as:
  • 92.
    Diffraction: Diffraction occurs whenwaves hit the edge of an obstacle – “Secondary” waves propagated into the shadowed region – Water wave example – Diffraction is caused by the propagation of secondary wavelets into a shadowed region. – Excess path length results in a phase shift – The field strength of a diffracted wave in the shadowed region is the vector sum of the electric field components of all the secondary wavelets in the space around the obstacle. – Huygens's principle: all points on a wave front can be considered as point sources for the production of secondary wavelets, and that these wavelets combine to produce a new wave front in the direction of propagation. – Estimating the signal attenuation caused by diffraction of radio waves over hills and buildings is essential in predicting the field strength in a given service area. It is mathematically difficult to make very precise estimates of the diffraction losses over complex and irregular terrain. Some cases have been derived, such as propagation over a knife-edge object
  • 93.
  • 94.
    Diffraction geometry:  : Huygens'sprinciple says points on a wave front can be considered sources for additional wavelets
  • 95.
  • 96.
    96 • The excesstotal path length traversed by a ray passing through each circle is nλ/2
  • 97.
  • 98.
    Scattering: • When thesize of an obstacle is in the order of the wavelength or less, then waves are scattered. An incoming signal is hence scattered into several weaker outgoing signals • Rough surfaces – Lamp posts and trees, scatter all directions – Critical height for bumps is f(,incident angle), 4.62 – Smooth if its minimum to maximum protuberance h is less than critical height. – Scattering loss factor modeled with Gaussian distribution, 4.63, 4.64. • Nearby metal objects (street signs, etc.) – Usually modeled statistically • Large distant objects – Analytical model: Radar Cross Section (RCS) – Bistatic radar equation, 4.66
  • 99.
    • It istherefore expected that the received signal is stronger than predicted from reflection and diffraction models alone.
  • 100.
    . Flat surfaceswith much larger dimension that a wavelength are modeled as reflective surfaces. . Surface roughness can be tested using the Rayleigh criterion which defines a critical height (hc ) of surface protuberances for a given angle of incidence Өi Given by: hc = ʎ/8 sinӨi Depending on relation between h and hc, the surface is of 2 types: 1. The surface is smooth if its minimum to maximom protubereance, h is less than hc i.e.,(h<hc). 2. It is considered rough when the protuberance h is greater than hc i.e (h>hc)
  • 101.
    RADAR CROSS SECTIONMODEL: • In Radio Channels where large, distant objects include scattering; knowledge of the physical location of those objects can be used in order to accurately predict scattered signal strength. • RCS(Radar cross section): The RADAR cross section of a scattering object is defined as the ratio of the power density of the signal scattered in the direction of the receiver to the power density of the radio wave incident upon the scattering object. It has units of square meters. • For an URBAN mobile radio system, Models based on the bistatic radar equation are Used to compute the received power due to SCATTERING in the far field. Pr(dBm)=Pt(dBm)+Gt(dBi)+20 log (ʎ)+RCS[dBm2 ]-30log(4p)-20log dt-20log dr
  • 102.
    PRACTICAL LINK BUDGETDESIGN USING PATH LOSS MODELS: 1. Log-Distance path loss model 2. Log-Normal shadowing 1. Determination of percentage of coverage Area
  • 103.
  • 104.
    UNIT-I: BASIC CELLULAR SYSTEM UNIT-II: MOBILERADIO PROPAGATION UNIT-III: MULTIPLE ACCESS UNIT-IV: GSM & CDMA UNIT-V: IG,2G,3G,4G,WLAN,BLUETOOTH,UMTE,PAN,CDMA2000
  • 105.
  • 106.
    Multiple Access schemesare used to allow many mobile user to share simultaneously a finite amount of radio spectrum. Or The method of providing radio communication services Simultaneously to many users over a wide are using a Fixed BW is called MULTIPLE ACCESS. The basic principle of multiple access technique is to allow Frequency channel to be subdivided among many users.
  • 107.
    Several Different waysto allow access to the channel: 1. FDMA 2. TDMA 3. SSMD - FHMA - CDMA - Hybrid spread spectrum Access 4. SDMA 5. PACKET RADIO
  • 108.
    Based upon availableBW allocated to the users, these techniques are categorized as 2 types: 1. Narrow band Systems 2. Wideband systems
  • 109.
    Narrow band Systems: 1.In this systems, the transmission BW of a single channel is related to the expected coherence BW of the channel. 2. In NB FDMA, user is assigned a particular channel which is not shared by other users in the vicinity and if FDD is used ,then the systems called FDMA/FDD. 3. In NB TDMA, users are allowed to share the same radio channel but allocates a unique time slot to each user in a cyclical fashion on the channel. NBTDMA is allocated channels using either FDD or TDD, and such systems are called TDMA/FDD or TDMA/TDD. Wide band systems: 1. In WB systems, the transmission BW of a single channel is much larger than the coherence BW of the channel. 2. In WB multiple access systems a no. of transmitters are allowed to transmit on the same channel.
  • 110.
    110 Frequency Division MultipleAccess (FDMA) User 1 User 2 User n … Time Frequency • Single channel per carrier • All first generation systems use FDMA. • In FDMA , the available frequency BW bands and their sub bands (i.e., channels) are allocated to the different users. • These channels are assigned on demand to users who request service, during the period of the call, no other user can share the same channel.
  • 111.
    Frequency division duplexing(FDD) • Two bands of frequencies for every user • forward band • reverse band • duplexer needed • frequency seperation between forward band and reverse band is constant frequency separation reverse channel Forward channel f
  • 112.
    Time division duplexing(TDD): • Uses time for forward and reverse link • multiple users share a single radio channel • forward time slot • reverse time slot • no duplexer is required time seperation t forward channel reverse channel
  • 113.
  • 114.
  • 115.
    115 FDMA MS #1 MS #2 MS#n BS f1’ f2’ fn’ f1 f2 fn … … … Reverse channels (Uplink) Forward channels (Downlink)
  • 116.
    116 FDMA: Channel Structure 12 3 … N Frequency Total Bandwidth W=NWc Guard Band Wg 4 Sub Band Wc Frequency Protecting bandwidth … f1’ f2’ fn’ … f1 f2 fn Reverse channels Forward channels
  • 117.
    117 Types of Channels •Control channel – Forward (Downlink) control channel – Reverse (Uplink) control channel • Traffic channel – Forward traffic (traffic or information) channel – Reverse traffic (traffic or information) channel
  • 118.
    118 Types of Channels(Cont’d) MS BS f1’ f2’ fn’ f ’ f … Reverse channel (Uplink) Forward channels (Downlink) f1 f2 fn … Control channels Traffic channels
  • 119.
    119 Time Division MultipleAccess (TDMA) User 1 User 2 User n … Time Frequency • Multiple channels per carrier • Most of second generation systems use TDMA
  • 120.
    In This scheme,the same antenna at the base station is shared by several radio channels. The power amplifiers are operated near saturation region for getting possible power efficiency and it is non-linear. These non linearities cause spreading of signals over the entire frequency domain resulting in Inter modulation(IM) Frequency generation. It will enchance interferances in actual and intermodulation must be minimized. Non –Linear Effects in FDMA:
  • 121.
  • 122.
  • 123.
    123 MS #1 MS #2 MS#n BS … … Reverse channels (Uplink) Forward channels (Downlink) t Frequency f ’ #1 … #1 … Frame Slot … #1 … #1 Frame … t Frequency f Frame Frame … t #2 … #2 … … t #n … #n … … #2 … #2 … t … #n … #n … t TDMA
  • 124.
    124 TDMA: Channel Structure …t f #1 #2 #n #1 #2 #n … (a). Forward channel … #1 #2 #n Frame Frame Frame … t f ’ #1 #2 #n #1 #2 #n … (b). Reverse channel … #1 #2 #n Frame Frame Frame
  • 125.
    125 TDMA: Frame Structure(Cont’d) … Time Frequency f = f ’ #1 #2 #n #1 #2 #n … Forward channel Reverse channel … #1 #2 #n Forward channel Frame Frame #1 #2 #n … Reverse channel Channels in Simplex Mode
  • 126.
    126 TDMA: Frame Structure(Cont’d) … Time Frequency #1 #2 #n #1 #2 #n … … #1 #2 #n Frame Frame Frame Head Data Guard time
  • 127.
    Spread spectrum • Spreadspectrum – a transmission technique wherein data occupy a larger bandwidth than necessary • Bandwidth spreading is a accomplished before transmission using a code that is independent of the transmitted data. The same code is used to demodulated the data at receiving end. • Originally designed for military used to avoid jamming. • Why spread the signal over a wider spectrum? – more robust, will survive if part of the spectrum is noisy – will allow other systems to operate in the same environment • Two techniques – frequency hopping – direct sequence
  • 128.
    Frequency Hopping SpreadSpectrum (FHSS) – A pseudorandom sequence is used to change the radio signal frequency across a broad frequency band in a random fashion. – The modulation technique implies that the radio transmitter frequency hops from channel to channel in a predetermined. – The RF signal is dehopped at the receiver end using a frequency synthesizer control by a pseudorandom sequence generator. – A frequency hopper may be: • Fast hopped: multiple hops per data bit • Slow hopped: multiple bits per hop – Multiple simultaneous from several users is possible using FH as long as each uses different FH sequences and not collide.
  • 129.
    129 Digital signal Hopping Pattern Spreadingsignal Digital signal Spreading Despread Frequency Frequency Frequency Power Power Power Hopping Pattern Transmitter Receiver Concept of Frequency Hopping Spread Spectrum
  • 130.
    Direct Sequence SpreadSpectrum (DSSS) – In this method, the radio signal is multiplied by a pseudorandom sequence whose bandwidth is much greater than that signal itself – spreading its bandwidth. – Pseudorandom sequence directly phase modulates a carrier – increase the bandwidth of transmission and lowering the spectral power density. – The resulting RF signal has a noiselike spectrum. Noise to others but not to the intended receiver. – The received signal is despread by correlating it with the local identical pseudorandom sequence to spread the carrier at the receiver.
  • 131.
    131 Digital signal s(t) Code c(t) Spreading signal m(t) Code c(t) Digitalsignal s(t) Spreading Despread Frequency Frequency Frequency Power Power Power Transmitter Receiver Direct Sequence Spread Spectrum for CDMA
  • 132.
    Direct Sequence SpreadSpectrum (DSSS)
  • 133.
    133 Code Division MultipleAccess (CDMA) User 1 Time Frequency • Users share bandwidth by using code sequences that are orthogonal to each other • Some second generation systems use CDMA • Most of third generation systems use CDMA User 2 User n Code . . .
  • 134.
  • 135.
  • 136.
    136 Code Division MultipleAccess (CDMA) MS #1 MS #2 MS #n BS C1’ C2’ Cn’ C1 C2 Cn … … … Reverse channels (Uplink) Forward channels (Downlink) Frequency f ’ Note: Ci’ x Cj’ = 0, i.e., Ci’ and Cj’ are orthogonal codes, Ci x Cj = 0, i.e., Ci and Cj are orthogonal codes Frequency f
  • 137.
    CDMA Operation • SpreadSpectrum Multiple Access Technologies
  • 138.
    CDMA: Spread Spectrum(cont.) • Signal transmission consists of the following steps: 1. A pseudo-random code is generated, different for each channel and each successive connection. 2. The Information data modulates the pseudo-random code (the Information data is “spread”). 3. The resulting signal modulates a carrier. 4. The modulated carrier is amplified and broadcast.
  • 139.
    CDMA: Spread Spectrum(cont.) • Signal reception consists of the following steps: 1. The carrier is received and amplified. 2. The received signal is mixed with a local carrier to recover the spread digital signal. 3. A pseudo-random code is generated, matching the anticipated signal. 4. The receiver acquires the received code and phase locks its own code to it. 5. The received signal is correlated with the generated code, extracting the Information data.
  • 140.
    140 Comparisons of FDMA,TDMA, and CDMA (Example) Operation FDMA TDMA CDMA Allocated Bandwidth 12.5 MHz 12.5 MHz 12.5 MHz Frequency reuse 7 7 1 Required channel BW 0.03 MHz 0.03 MHz 1.25 MHz No. of RF channels 12.5/0.03=416 12.5/0.03=416 12.5/1.25=10 Channels/cell 416/7=59 416/7=59 12.5/1.25=10 Control channels/cell 2 2 2 Usable channels/cell 57 57 8 Calls per RF channel 1 4* 40** Voice channels/cell 57x1=57 57x4=228 8x40=320 Sectors/cell 3 3 3 Voice calls/sector 57/3=19 228/3=76 320 Capacity vs FDMA 1 4 16.8 * Depends on the number of slots ** Depends on the number of codes Delay ? ? ?
  • 141.
  • 142.
    142 Outline • Introduction • ContentionProtocols • ALOHA • Slotted ALOHA • CSMA (Carrier Sense Multiple Access) • CSMA/CD (CSMA with Collision Detection) • CSMA/CA (CSMA with Collision Avoidance)
  • 143.
    143 Introduction • Multiple accesscontrol channels – Each node is attached to a transmitter/receiver which communicates via a channel shared by other nodes – Transmission from any node is received by other nodes Shared Multiple Access Control Channel to BS Node 4 Node 3 Node 2 Node 1 … Node N
  • 144.
    144 Introduction (Cont’d) • Multipleaccess issues – If more than one node transmit at a time on the control channel to BS, a collision occurs – How to determine which node can transmit to BS? • Multiple access protocols – Solving multiple access issues – Different types: • Contention protocols resolve a collision after it occurs. These protocols execute a collision resolution protocol after each collision • Collision-free protocols (e.g., a bit-map protocol and binary countdown) ensure that a collision can never occur.
  • 145.
    145 Channel Sharing Techniques ChannelSharing Techniques Static Channelization Dynamic Medium Access Control Scheduling Random Access
  • 146.
    146 Classification of MultipleAccess Protocols Multiple access protocols Contention-based Conflict-free Random access Collision resolution FDMA, TDMA, CDMA, Token Bus, DQDB, etc ALOHA, CSMA, BTMA, ISMA, etc TREE, WINDOW, etc DQDB: Distributed Queue Dual Bus BTMA: Busy Tone Multiple Access ISMA: Internet Streaming Media Alliance
  • 147.
    147 Contention Protocols • ALOHA –Developed in the 1970s for a packet radio network by Hawaii University. – Whenever a station has a data, it transmits. Sender finds out whether transmission was successful or experienced a collision by listening to the broadcast from the destination station. Sender retransmits after some random time if there is a collision. • Slotted ALOHA – Improvement: Time is slotted and a packet can only be transmitted at the beginning of one slot. Thus, it can reduce the collision duration.
  • 148.
    148 Contention Protocols (Cont’d) •CSMA (Carrier Sense Multiple Access) – Improvement: Start transmission only if no transmission is ongoing • CSMA/CD (CSMA with Collision Detection) – Improvement: Stop ongoing transmission if a collision is detected • CSMA/CA (CSMA with Collision Avoidance) – Improvement: Wait a random time and try again when carrier is quiet. If still quiet, then transmit • CSMA/CA with ACK • CSMA/CA with RTS/CTS
  • 149.
    149 ALOHA 1 2 33 2 Time Collision Retransmission Retransmission Node 1 Packet Collision mechanism in ALOHA Waiting a random time Node 2 Packet Node 3 Packet
  • 150.
    150 Throughput of ALOHA n  ! n (2G) n P e 2G   • The probability that n packets arrive in two packets time is given by where G is traffic load.   G e P 2 0   • The probability P(0) that a packet is successfully received without collision is calculated by letting n=0 in the above equation. We get   G e G P G S 2 0      • We can calculate throughput S with a traffic load G as follows: 184 . 0 2 1 max   e S • The Maximum throughput of ALOHA is
  • 151.
    151 Slotted ALOHA 1 2&32 Time Collision Retransmission Retransmission 3 Slot Node 1 Packet Nodes 2 & 3 Packets Collision mechanism in slotted ALOHA
  • 152.
    152 Throughput of SlottedALOHA   G e P   0 • The probability of no collision is given by   G e G P G S      0 • The throughput S is 368 . 0 1 max   e S • The Maximum throughput of slotted ALOHA is
  • 153.
  • 154.
    154 CSMA (Carrier SenseMultiple Access) • Max throughput achievable by slotted ALOHA is 0.368. • CSMA gives improved throughput compared to Aloha protocols. • Listens to the channel before transmitting a packet (avoid avoidable collisions).
  • 155.
    155 Collision Mechanism inCSMA 1 2 3 Time Collision 4 Node 4 sense Delay 5 Node 5 sense Delay Node 1 Packet Node 2 Packet Node 3 Packet
  • 156.
    156 Kinds of CSMA CSMA NonpersistentCSMA Persistent CSMA Unslotted Nonpersistent CSMA Unslotted persistent CSMA Slotted Nonpersistent CSMA Slotted persistent CSMA 1-persistent CSMA p-persistent CSMA
  • 157.
    157 Nonpersistent/x-persistent CSMA Protocols •Nonpersistent CSMA Protocol: Step 1: If the medium is idle, transmit immediately Step 2: If the medium is busy, wait a random amount of time and repeat Step 1 – Random backoff reduces probability of collisions – Waste idle time if the backoff time is too long • 1-persistent CSMA Protocol: Step 1: If the medium is idle, transmit immediately Step 2: If the medium is busy, continue to listen until medium becomes idle, and then transmit immediately – There will always be a collision if two nodes want to retransmit (usually you stop transmission attempts after few tries)
  • 158.
    158 Nonpersistent/x-persistent CSMA Protocols •p-persistent CSMA Protocol: Step 1: If the medium is idle, transmit with probability p, and delay for worst case propagation delay for one packet with probability (1-p) Step 2: If the medium is busy, continue to listen until medium becomes idle, then go to Step 1 Step 3: If transmission is delayed by one time slot, continue with Step 1 – A good tradeoff between nonpersistent and 1-persistent CSMA
  • 159.
    159 How to SelectProbability p ? • Assume that N nodes have a packet to send and the medium is busy • Then, Np is the expected number of nodes that will attempt to transmit once the medium becomes idle • If Np > 1, then a collision is expected to occur Therefore, network must make sure that Np < 1 to avoid collision, where N is the maximum number of nodes that can be active at a time
  • 160.
    160 Throughput 0 1 23 4 5 6 7 8 9 G 1.0 0.9 0.8 0.7 0.6 0.5 0.4 0.3 0.2 0.1 0 S Aloha Slotted Aloha 1-persistent CSMA 0.5-persistent CSMA 0.1-persistent CSMA 0.01-persistent CSMA Nonpersistent CSMA
  • 161.
    161 CSMA/CD (CSMA withCollision Detection) • In CSMA, if 2 terminals begin sending packet at the same time, each will transmit its complete packet (although collision is taking place). • Wasting medium for an entire packet time. • CSMA/CD Step 1: If the medium is idle, transmit Step 2: If the medium is busy, continue to listen until the channel is idle then transmit Step 3: If a collision is detected during transmission, cease transmitting Step 4: Wait a random amount of time and repeats the same algorithm
  • 162.
    162 CSMA/CD A B ( isthe propagation time) T0 A begins transmission A B B begins transmission Time T0+- A B B detects collision T0+ A B A detects collision just before end of transmission T0+2 -
  • 163.
    163 CSMA/CA (CSMA withcollision Avoidance) • All terminals listen to the same medium as CSMA/CD. • Terminal ready to transmit senses the medium. • If medium is busy it waits until the end of current transmission. • It again waits for an additional predetermined time period DIFS (Distributed inter frame Space). • Then picks up a random number of slots (the initial value of backoff counter) within a contention window to wait before transmitting its frame. • If there are transmissions by other terminals during this time period (backoff time), the terminal freezes its counter. • It resumes count down after other terminals finish transmission + DIFS. The terminal can start its transmission when the counter reaches to zero.
  • 164.
    164 CSMA/CA Time Node A’s frame NodesB & C sense the medium Nodes B resenses the medium and transmits its frame. Node C freezes its counter. Node B’s frame Nodes C starts transmitting. Delay: B Delay: C Nodes C resenses the medium and starts decrementing its counter. Node C’s frame
  • 165.
    165 CSMA/CA DIFS Next Frame Medium Busy DIFSContention window Defer access Backoff after defer Slot Time DIFS – Distributed Inter Frame Spacing Contention window
  • 166.
    166 CSMA/CA Time Node A’s frame NodesB & C sense the medium Nodes B resenses the medium and transmits its frame. Node C freezes its counter. Node B’s frame Nodes C starts transmitting. Delay: B Delay: C Nodes C resenses the medium and starts decrementing its counter. Node C’s frame
  • 167.
    167 CSMA/CA with ACK •Immediate Acknowledgements from receiver upon reception of data frame without any need for sensing the medium. • ACK frame transmitted after time interval SIFS (Short Inter-Frame Space) (SIFS < DIFS) • Receiver transmits ACK without sensing the medium. • If ACK is lost, retransmission done.
  • 168.
    168 CSMA/CA/ACK DIFS Next Frame ACK Data Other Source Destination DIFS SIFS Contention window Deferaccess Backoff after defer SIFS – Short Inter Frame Spacing Time
  • 169.
    169 CSMA/CA with RTS/CTS •Transmitter sends an RTS (request to send) after medium has been idle for time interval more than DIFS. • Receiver responds with CTS (clear to send) after medium has been idle for SIFS. • Then Data is exchanged. • RTS/CTS is used for reserving channel for data transmission so that the collision can only occur in control message.
  • 170.
    170 CSMA/CA with RTS/CTS DIFS NextFrame CTS RTS Other Source Destination DIFS SIFS Contention window Defer access Backoff after defer SIFS Data SIFS ACK Time
  • 171.
    171 RTS/CTS Node A NodeB Propagation delay
  • 172.
    UNIT-I: BASIC CELLULAR SYSTEM UNIT-II: MOBILERADIO PROPAGATION UNIT-III: MULTIPLE ACCESS UNIT-IV: GSM & CDMA UNIT-V: IG,2G,3G,4G,WLAN,BLUETOOTH,UMTE,PAN,CDMA2000
  • 173.
    GSM Services and features SystemArchitecture Radio sub system Channel Types Fame structure Signal Processing
  • 174.
    GSM: Overview – formerly:Groupe Spéciale Mobile (founded 1982 – now: Global System for Mobile Communication – Pan-European standard (ETSI, European Telecommunications Standardisation Institute) – simultaneous introduction of essential digital cellular services in three phases (1991, 1994, 1996) by the European telecommunication administrations, seamless roaming within Europe possible – Main objective was to Replace the incompatible analog system – today many providers all over the world use GSM (more than 130 countries in Asia, Africa, Europe, Australia, America) – more than 1300 million subscribers in world and 45 million subscribers in INDIA
  • 175.
    Performance characteristics ofGSM • Communication – mobile, wireless digital communication; support for voice and data services • Total mobility – international access, chip-card enables use of access points of different providers • Worldwide connectivity – one number, the network handles localization • High capacity – better frequency efficiency, smaller cells, more customers per cell • High transmission quality – high audio quality – uninterrupted phone calls at higher speeds (e.g., from cars, trains) – better handoffs and • Security functions – access control, authentication via chip-card and PIN
  • 176.
    Disadvantages of GSM •There is no perfect system!! – no end-to-end encryption of user data – no full ISDN bandwidth of 64 kbit/s to the user, no transparent B- channel – abuse of private data possible • roaming profiles accessible – high complexity of the system – several incompatibilities within the GSM standards
  • 177.
    GSM: Mobile Services •GSM offers – several types of connections • voice connections, data connections, short message service – multi-service options (combination of basic services) • Three service domains – Bearer Services – interface to the physical medium (transparent for example in the case of voice or non transparent for data services) – Telematic Services – services provided by the system to the end user (e.g., voice, SMS, fax, etc.) – Supplementary Services – associated with the tele services: call forwarding, redirection, etc. GSM-PLMN transit network (PSTN, ISDN) source/ destination network TE TE bearer services tele services R, S (U, S, R) Um MT MS
  • 178.
    Bearer Services • Telecommunicationservices to transfer data between access points – R and S interfaces – interfaces that provide network independent data transmission from end device to mobile termination point. – U interface – provides the interface to the network (TDMS, FDMA, etc.) • Specification of services up to the terminal interface (OSI layers 1-3) – Transparent – no error control of flow control, only FEC – Non transparent – error control, flow control • Different data rates for voice and data (original standard) – voice service (circuit switched) • synchronous: 2.4, 4.8 or 9.6 Kbps. – data service (circuit switched) • synchronous: 2.4, 4.8 or 9.6 kbit/s • asynchronous: 300 - 1200 bit/s – data service (packet switched) • synchronous: 2.4, 4.8 or 9.6 kbit/s • asynchronous: 300 - 9600 bit/s
  • 179.
    Tele Services I •Telecommunication services that enable voice communication via mobile phones • All these basic services have to obey cellular functions, security measures etc. • Offered voice related services – mobile telephony primary goal of GSM was to enable mobile telephony offering the traditional bandwidth of 3.1 kHz – Emergency number common number throughout Europe (112); mandatory for all service providers; free of charge; connection with the highest priority (preemption of other connections possible) – Multinumbering several ISDN phone numbers per user possible
  • 180.
    Tele Services II •Additional services: Non-Voice-Teleservices – group 3 fax – voice mailbox (implemented in the fixed network supporting the mobile terminals) – electronic mail (MHS, Message Handling System, implemented in the fixed network) – Short Message Service (SMS) alphanumeric data transmission to/from the mobile terminal using the signaling channel, thus allowing simultaneous use of basic services and SMS (160 characters)
  • 181.
    Supplementary services • Servicesin addition to the basic services, cannot be offered stand-alone • May differ between different service providers, countries and protocol versions • Important services – identification: forwarding of caller number – suppression of number forwarding – automatic call-back – conferencing with up to 7 participants – locking of the mobile terminal (incoming or outgoing calls)
  • 182.
    Architecture of theGSM system • GSM is a PLMN (Public Land Mobile Network) – several providers setup mobile networks following the GSM standard within each country – components • MS (mobile station) • BS (base station) • MSC (mobile switching center) • LR (location register) – subsystems • RSS (radio subsystem): covers all radio aspects • NSS (network and switching subsystem): call forwarding, handover, switching • OSS (operation subsystem): management of the network
  • 183.
    GSM FEATURES 1. SIM(Subscriber Identification Number) 2. On-Air Privacy
  • 184.
    GSM: overview fixed network BSC BSC MSCMSC GMSC OMC, EIR, AUC VLR HLR NSS with OSS RSS VLR
  • 185.
    GSM: elements andinterfaces NSS MS MS BTS BSC GMSC IWF OMC BTS BSC MSC MSC Abis Um EIR HLR VLR VLR A BSS PDN ISDN, PSTN RSS radio cell radio cell MS AUC OSS signaling O
  • 186.
    Um Abis A BSS radio subsystem MS MS BTS BSC BTS BTS BSC BTS network andswitching subsystem MSC MSC fixed partner networks IWF ISDN PSTN PSPDN CSPDN SS7 EIR HLR VLR ISDN PSTN GSM: system architecture
  • 187.
    System architecture: radiosubsystem • Components – MS (Mobile Station) – BSS (Base Station Subsystem): consisting of • BTS (Base Transceiver Station): sender and receiver • BSC (Base Station Controller): controlling several transceivers • Interfaces – Um : radio interface – Abis : standardized, open interface with 16 kbit/s user channels – A: standardized, open interface with 64 kbit/s user channels Um Abis A BSS radio subsystem network and switching subsystem MS MS BTS BSC MSC BTS BTS BSC BTS MSC
  • 188.
    System architecture: networkand switching subsystem Components o MSC (Mobile Services Switching Center): o IWF (Interworking Functions) o ISDN (Integrated Services Digital Network) o PSTN (Public Switched Telephone Network) o PSPDN (Packet Switched Public Data Net.) o CSPDN (Circuit Switched Public Data Net.) Databases o HLR (Home Location Register) o VLR (Visitor Location Register) o EIR (Equipment Identity Register) network subsystem MSC MSC fixed partner networks IWF ISDN PSTN PSPDN CSPDN SS7 EIR HLR VLR ISDN PSTN
  • 189.
    System architecture: networkand switching subsystem Components o MSC (Mobile Services Switching Center): o IWF (Interworking Functions) o ISDN (Integrated Services Digital Network) o PSTN (Public Switched Telephone Network) o PSPDN (Packet Switched Public Data Net.) o CSPDN (Circuit Switched Public Data Net.) Databases o HLR (Home Location Register) o VLR (Visitor Location Register) o EIR (Equipment Identity Register) network subsystem MSC MSC fixed partner networks IWF ISDN PSTN PSPDN CSPDN SS7 EIR HLR VLR ISDN PSTN