Unit 2 Shafts and Coupling
Syllabus
(Most of AU Part C question may come form this unit)
1.Design of solid and hollow
shafts based on strength,
rigidity and critical speed
2.Keys, keyways and splines
3.Rigid and flexible couplings.
Shaft
• A shaft is a rotating machine element which is used to transmit
power from one place to another.
• The power is delivered to the shaft by some tangential force
and the resultant torque (or twisting moment) set up within the
shaft permits the power to be transferred to various machines
linked up to the shaft.
• In order to transfer the power from one shaft to another, the
various members such as pulleys, gears etc., are mounted on it.
• The forces exerted upon them causes the shaft to bending.
Notes
1. The shafts are usually cylindrical, but may be square or cross-
shaped in section. They are solid in cross-section but sometimes hollow
shafts are also used. Hollow shafts perform well than Solid shafts.
2. An axle, though similar in shape to the shaft, is a stationary machine
element and is used for the transmission of bending moment only. It
simply acts as a support for some rotating body such as hoisting
drum, a car wheel or a rope sheave.
3. A spindle is a short shaft that imparts motion either to a cutting tool
(e.g. drill press spindles) or to a work piece (e.g. lathe spindles).
Material Used for Shafts
The material used for shafts should have the
following properties :
1. It should have high strength.
2. It should have good machinability.
3. It should have low notch sensitivity factor.
4. It should have good heat treatment properties.
5. It should have high wear resistant properties.
Types of Shafts
1. Transmission shafts. These shafts transmit power between the
source and the machines absorbing power.
• The counter shafts, line shafts, over head shafts and all
factory shafts are transmission shafts.
• Since these shafts carry machine parts such as pulleys, gears
etc., therefore they are subjected to bending in addition to
twisting.
2.Machine shafts. These shafts form an integral part of the
machine itself. The crank shaft is an example of machine shaft.
Stresses in Shafts
The following stresses are induced in the shafts :
1. Shear stresses due to the transmission of
torque (i.e. due to torsional load).
2. Bending stresses (tensile or compressive) due
to the forces acting upon machine elements like
gears, pulleys etc. as well as due to the weight of
the shaft itself.
3. Stresses due to combined torsional and
bending loads.
Fluctuating
load
Design of Shafts
(Shafts subjected to)
Twisting
Moment
Bending
Moment
Combined
twisting
and
bending
moment
Combined
Axial loads,
twisting and
bending
moment
Design of Shafts
The shafts may be designed on the basis of
1. Strength, and 2. Rigidity and stiffness.
In designing shafts on the basis of strength, the following cases may be
considered :
1. Shafts subjected to twisting moment or torque only,
2. Shafts subjected to bending moment only,
3. Shafts subjected to combined twisting and bending moments, and
4. Shafts subjected to fluctuating load
5. Shafts subjected to axial loads in addition to combined torsional and
bending loads.
In our syllabus we have solid and
hollow shafts
CASE - I
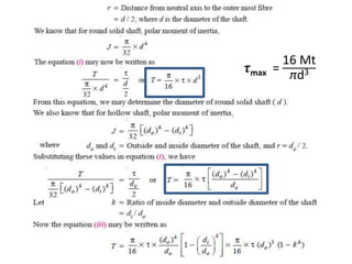
Shafts Subjected to Twisting Moment Only
• When the shaft is subjected to a twisting
moment (or torque) only, then the diameter of
the shaft may be obtained by using the torsion
equation. We know that
𝜏max =
16 Mt
πd3
The outside and inside diameter of a hollow shaft may be
determined.
It may be noted that
1. The hollow shafts are usually used in marine work.
2. These shafts are stronger per kg of material and they may be
forged on a mandrel, thus making the material more
homogeneous than would be possible for a solid shaft.
3. When a hollow shaft is to be made equal in strength to a solid
shaft, the twisting moment of both the shafts must be same.
In other words, for the same material of both the shafts,
2. The twisting moment (T) may be obtained by
using the following relation :
 We know that the power transmitted (in watts) by
the shaft,
3. In case of belt drives, the twisting moment (T) is
given by
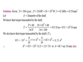
CASE -1 : Shafts Subjected to
Twisting Moment Only
A line shaft rotating at 200 r.p.m. is to transmit 20 kW.
The shaft may be assumed to be made of mild steel with
an allowable shear stress of 42 MPa. Determine the
diameter of the shaft, neglecting the bending moment
on the shaft.
Eg. PROBLEM - 1
PROBLEM - 2
• A solid shaft is transmitting 1 MW at 240
r.p.m. Determine the diameter of the shaft if
the maximum torque transmitted exceeds the
mean torque by 20%. Take the maximum
allowable shear stress as 60 MPa.
CASE – 2 : Shafts Subjected to
Bending Moment Only
• When the shaft is subjected to a bending moment only,
then the maximum stress (tensile or compressive) is
given by the bending equation. We know that
PSG Databook 7.21
CASE – 2
Eg. PROBLEM - 1
• A pair of wheels of a railway wagon carries a
load of 50kN on each axle box, acting at a
distance of 100mm outside the wheel base.
The gauge of the rails is 1.4m. Find the
diameter of the axle between the wheels, if
the stress is not to exceed 100 MPa.
CASE – 3 : Shafts Subjected to Combined
Twisting Moment and Bending Moment
• When the shaft is subjected to combined twisting moment and
bending moment, then the shaft must be designed on the basis of the
two moments simultaneously. Various theories have been suggested
to account for the elastic failure of the materials when they are
subjected to various types of combined stresses.
• The following two theories are important from the subject point of
view :
1. Maximum shear stress theory or Guest's theory. It is used for
ductile materials such as mild steel.
2. Maximum normal stress theory or Rankine’s theory. It is used
for brittle materials such as cast iron.
• Let τ = Shear stress induced due to twisting moment, and
• σb = Bending stress (tensile or compressive) induced due to bending
• moment.
• The expression is known as equivalent
twisting moment and is denoted by Te.
• The expression
is known as equivalent bending moment and is
denoted by Me.
According to
Guest’s theory
According to
Rankine’s theory
A circular shaft can transmit a torque of 5 kN-m. If the
torque is reduced to 4 kN-m, then the maximum value
of bending moment that can be applied to the shaft is
• Te =
• 5 = M2 + 42
• 25 = M2 + 16
• M = 3
Problem 1
A Shaft supported at the ends in ball bearings
carried a straight tooth spur gear at its mid span
and of to transmit 7.5 kW at 300 rpm. The PCD of
gear is 150mm. The distance b/w the centre lines of
bearing and gear is 100 mm each. If the shaft is
made up of steel and the allowable shear stress is
45MPa, determine the diameter of the shaft. Show
in a sketch how the gear be mounted on shaft; also
indicate the ends where the bearings will be
maintained. The pressure angle of the gear may be
taken as 20°
A Shaft supported at the ends in ball bearings carried a straight tooth spur gear at its mid span and of to
transmit 7.5 kW at 300 rpm. The PCD of gear is 150mm. The distance b/w the centre lines of bearing and gear
is 100 mm each. If the shaft is made up of steel and the allowable shear stress is 45MPa, determine the
diameter of the shaft. Show in a sketch how the gear be mounted on shaft; also indicate the ends where the
bearings will be maintained. The pressure angle of the gear may be taken as 20°
• Given:
– P = 7500 W
– N = 300 rpm
– D = 150 mm
– L = 200 mm
–  = 45 N/mm2
–  = 20°
• To find:
– d – diameter of the Shaft.
Diagrammatic representation
100mm 100mm
150mm
Gear
Bearing
Approach
• 𝑚𝑎𝑥 =
16 𝑀𝑡𝑒
 𝒅𝟑
• To find equivalent 𝑀𝑡𝑒
• 𝑀𝑡𝑒 = Mb
2 + Mt
2
• For Mb
– PSG 6.5, Max bending moment for
centre load acting on a beam with simply
supported beam at its end,
• Mb
= P. l / 4 & Mt = Tangential Force x Dist
To find Mb & Mt
• For Mb we need to find P (Weight of the gear
acting downwards)
• P = Tan. Force / Cos 
• Already Mt = Tangential Force x Dist (Radius)
• Hence find Mt using
Power formula
• P =
𝟐 𝝅Mt
𝟔𝟎
CASE – 4 : Shafts Subjected to
Fluctuating Loads
• In the previous articles we have assumed that the shaft is subjected
to constant torque and bending moment. But in actual practice, the
shafts are subjected to fluctuating torque and bending moments. In
order to design such shafts like line shafts and counter shafts, the
combined shock and fatigue factors must be taken into account for
the computed twisting moment (T ) and bending moment (M ). Thus
for a shaft subjected to combined bending and torsion, the
equivalent twisting moment,
x
Problem
• A shaft is subjected to fluctuating loads for
which the normal torque (T) and bending
moment (M) are 1000 N-m and 500 N-m
respectively. If the combined shock and
fatigue factor for bending is 1.5 and combined
shock and fatigue factor for torsion is 2, then
the equivalent twisting moment for the shaft
is?
x
CASE -5 : Shafts Subjected to Axial
Load in addition to Combined Torsion
and Bending Loads
CASE -5 : Shafts Subjected to Axial Load in addition to
Combined Torsion and Bending Loads
To Remember…
Types of Problem in case 5
• Gears (2 or more) mounted on shaft
• Pulleys (2 or more) mounted on shaft
• Combination of gear and pulleys mounted on
shaft
QB 5
• A horizontal nickel steel shaft rests on two bearings, A at the left
end and B at the right end and carries two gears C and D located
at distances of 250 mm and 400 mm respectively from the centre
line of the left, and right be bearings. The pitch diameter of the
gear C is 600 mm and that of gear D is 200 mm. The distance
between the centre lines of the bearings is 2400 mm. The shaft
transmits 20 kW at 120 rpm. The power is delivered to the shaft at
gear C and is taken out at gear D in such a manner that the tooth
pressure Fcc of the gear C and FF of the gear D act vertically,
downwards. Find the diameter of the shaft, if the working stress,
is 100 MPa in tension and 56 MPa in shear. The gear C and D
weighs 950 N and 350 N respectively. The combined shock and
fatigue factors for bending and torsion may be taken as 1.5 and
1.2 respectively.
Approach
• 𝑚𝑎𝑥 =
16 𝑀𝑡𝑒
 𝒅𝟑
• To find equivalent 𝑀𝑡𝑒
• 𝑀𝑡𝑒 = (k.Mb)2 + (k.Mt)2
• 𝑏 =
32 𝑀𝑏
 𝒅𝟑
• To find equivalent 𝑀𝑏
• 𝑀𝑡𝑒 =1/2 [𝑀𝑏. 𝑘 + (k.Mb)2 + (k.Mt)2]
Approach
• To find Mt:
• Power formula
– P =
𝟐 𝝅Mt
𝟔𝟎
• To find Mb:
– Resolve the shaft as beam and find the max
bending moment at A,B,C & D
To find the Bending Moment
1. First find Tangential force for both gears,
Ft = Mt/ r
2. Find the total load at C & D, = Ft + W
3. Taking loads and equate Reactions and Total
loads. Take moment at any point to find one
reaction which in turn find the another one.
4. Find Bending moment at A,B,C & D. (In this
choose the Max as Mb
Problems using Pulley
• A shaft supported by bearings at the end which s 1m
apart. A 600 mm diameter pulley is mounted at
distance of 300mm to the right of left hand bearing
and this drives a pulley directly below it with the help
of belt having max tension 2.25kN. Another pulley
400mm dia is placed 200mm to the left of right bearing
and is driven with the help of electric motor and belt,
which is placed horizontal to the right. The angle of
contact for both the pulleys is 180° and μ = 0.24.
Determine the suitable dia pf solid shaft, allowing
working stress of 63 MPa in tension and 42 MPa in
shear for the material of shaft. Assume that the torque
on one pulley is equal to that of other pulley.
AU Problems
• The intermediate shaft in a multi-stage gear box carries a pinion
and a gear as show in fig. 12a. The dimensions and the tooth loads
are given in figure. The material of the shaft is plain carbon steel
whose yield strength is 380 MPa. The factor of safety is specified as
3. The power flowing through the shaft is approximately 38 kW at a
speed of approximately 200 rpm. Determine the size of the shaft on
the basis of strength. (NOV/DEC 2020 AND April/May 2021)
AU Problems
• A section of commercial shafting 2 m long between
bearings carries a 1000 N pulley at its mid-point, as shown
in fig. The pulley is keyed to the shaft and receives 30 kW at
150 rev/min which is transmitted to a flexible coupling just
outside the right bearing. The belt drive is horizontal and
some of the belt tensions is 8000 N. Assume K1 = Kb = 1.5 .
Calculate the necessary shaft diameter and determine the
angle of twist between bearings. G = 80 GN/m2.(NOV/DEC
2018)
AU Problems
• A transmission shaft supporting a helical gear B and overhang bevel
gear D is shown in figure. The shaft is mounted on two bearings A
and C. The pitch circle diameter of the helical gear is 450 mm and
the diameter of the bevel gear at the forces is 450 mm. Power is
transmitted from the helical gear to the bevel gear. The gears are
keyed to the shaft. The material of the shaft is steel 45C8 (Sut=600
and Syt=380 N/mm2). The factors Kb and Kt of ASME code are 2.0
and 1.5 respectively. Determine the shaft diameter using ASME
Code. (APR/MAY 2018)
AU Problems
• A 600 mm diameter pulley driven by a horizontal belt
transmits power through a solid shaft to a 262 mm diameter
pinion which drives a matting gear. The pulley weighs 1200 N
to provide some flywheel effect. The arrangement of
elements, the belt tensions and components of the gear
reactions on the pinion are as indicated in Fig. Determine the
necessary shaft diameter using a suitable value for
commercial shafting and shock fatigue factors of Kb=2 and
Kt=15. (NOV/DEC 2017)
AU Problems
• A shaft is supported by two bearings placed 1100 mm
apart. A pulley of diameter 620 mm is keyed at 400
mm to the right of the left hand bearing and this drives
a pulley directly below it with a maximum tension of
2.75 kN. Another pulley of diameter 400 mm is placed
200 mm to the left of the right hand bearing and is
driven with a motor placed horizontally to the right.
The angle of contact of the pulleys is 180° and the
coefficient of friction between the belt and the pulleys
is 0.3. Find the diameter of the shaft. Assume Kb = 3, Kt
= 2.5, Syt = 190 MPa, Sut = 300 MPa. (APR/MAY 2017)
AU Problems
• The shaft of length 1 m carrying two pulleys 1 and 2 at
its left and right ends respectively and it is supported
on two bearings A and B which are located 0.25 m from
the left end and the same 0.25 m from the right end
respectively. The shaft transmits 7.5 kW power at 360
rpm from pulley 1 to pulley 2. The diameters of pulley
1 and 2 are 250 and 500 mm respectively. The masses
of pulley 1 and 2 are 10 kg and 30 kg respectively. The
belt tension act vertically downward and ratio of belt
tensions on tight side to slack side for each pulley is
2.5:1. The yield strength of the shaft material σy= 380
MPa and factor of safety is 3. Estimate the suitable
diameter of the shaft. (NOV/DEC 2015)
Design of Shafts on the basis of Rigidity
• Sometimes the shafts are to be designed on the basis of rigidity
(inability to be to bent or be forced out of shape). We shall
consider the following two types of rigidity.
1.Torsional rigidity.
• The torsional rigidity is important in the case of camshaft of
an I.C. engine where the timing of the valves would be
effected.
• The permissible amount of twist should not exceed 0.25° per
metre length of such shafts. For line shafts or transmission
shafts, deflections 2.5 to 3 degree per metre length may be
used as limiting value.
• The widely used deflection for the shafts is limited to 1 degree
in a length equal to twenty times the diameter of the shaft.
 =
584 𝑇.𝐿
𝐺.𝑑4
• If the torque transmitted is 4775 kN-mm,
Modulus of rigidity is 0.84x 10^5 N/mm2,
angle of deflection is 0.25 per metre length.
Find the dia of shaft.
2. Lateral rigidity.
• It is important in case of transmission shafting and
shafts running at high speed, where small lateral
deflection would cause huge out-of-balance forces.
• The lateral rigidity is also important for maintaining
proper bearing clearances and for correct gear teeth
alignment.
• The maximum deflection can be calculated by
– Integration method
– Area method
– Energy method
• The ratio of maximum permissible deflection to the
length of the shaft between supports, should not
exceed 1/1200.
Critical Speed of Shaft
• Speed at which a rotating shaft will tend to
vibrate violently in the transverse direction.
This is speed where the shaft becomes
dynamically unstable.
• Also called as whirling speed or whipping
speed.
Critical Speed of Shaft
• The magnitude of the deflection depends
upon:
– Stiffness of the shaft and it’s support
– Total mass of shaft and attached parts
– Unbalance of the mass with respect to axis of
rotation
– The amount of damping in the system
• Rayleigh-Ritz method:
– Critical speed, Ne =
30

g

(g – 9.81 m/s, total deflection)
Find the critical speed of Shaft when
total maximum deflection is 0.319 mm
1. 1670 rpm
2. 1600 rpm
3. 1675 rpm
4. 1700 rpm
• A hollow shaft of 0.5 m outside diameter and 0.3
m inside diameter is used to drive a propeller of a
marine vessel. The shaft is mounted on bearings
6 metre apart and it transmits 5600 kW at 150
r.p.m. The maximum axial propeller thrust is 500
kN and the shaft weighs 70 kN. Determine
• (i) The maximum shear stress developed in the
shaft and
• (ii) The angular twist between the bearings.
AU Problems
• In an axial flow rotary compressor, the shaft is subjected to
maximum twisting moment and maximum bending moment of
1500 Nm and 3000 Nm respectively. Neglecting the axial load,
determine the diameter, if the permissible shear stress is 50
N/mm2. Assume minor shocks. If the shaft is hollow one with K =
di/do = 0.4, what will be material saving in hollow shaft which is
subjected to same loading and material as a solid shaft.
(NOV/DEC 2014)
• A hollow shaft is required to transmit 600 kW at 110 rpm, the
maximum torque being 20% greater than the mean. The shear
stress is not to exceed 63 MPa and twist in a length of 3 meter not
to exceed 1.4 degrees. Find the external diameter of the shaft, if
the internal diameter to the external diameter is 3/8. Take modulus
of rigidity as 84 GPa. (APR/MAY 2011)
DESIGN
OF
Keys
Key
• A key is a piece of mild steel inserted between
the shaft and hub or boss of the pulley to
connect these together in order to prevent
relative motion between them.
• It is always inserted parallel to the axis of the
shaft.
• Keys aroused as temporary fastenings and are
subjected to considerable crushing and
shearing stresses.
Function of Key
1)Connect the shaft and hub
together.
2)Prevent relative rotational
movement between the shaft
and hub mounted on it
3)Transmit torque from a rotating
machine element to the shaft.
Keyway
• Groove cut on the shaft and hub to
accommodate the key.
Types of Keys
1. Sunk keys,
2. Saddle keys,
3. Tangent keys,
4. Round keys, and
5. Splines
2. Saddle keys
• A saddle key (flat) is a taper key which fits in a
keyway in the hub and is flat on the shaft.
• It is likely to slip round the shaft under load.
Therefore it is used for comparatively light
loads.
• This doesn’t need any keyways on the shaft.
• The saddle keys are of the following two types
1. Flat saddle key, and
2.Hollow saddle key.
• A hollow saddle key is a taper key which fits in a
keyway in the hub and the bottom of the key is
shaped to fit the curved surface of the shaft.
Since hollow saddle keys hold on by friction.
• Flat saddle key has flat bottom surface.
• Therefore these are suitable for light loads. It is
usually used as a temporary fastening in fixing
and setting eccentrics, cams etc.
3. Tangent Keys
• The tangent keys are fitted in pair at
right angles.
• Each key is to with standtorsion in
one direction only. These are used in
large heavy duty shafts.
4. Round Keys
•The round keys are circular in section and fit into holes drilled
partly in the shaft and partly in the hub.
•They have the advantage of manufacturing as their keyways
may be drilled and reamed after the mating parts have been
assembled.
•Round keys are usually considered to be most appropriate for
low power drives
5. SPLINES
•Keys made as an integral with the shaft which fit in the
keyways broached in the hub are known as splined shafts.
•These shafts usually have four, six, ten or sixteen splines.
•The splined shafts are relatively stronger than shafts having a
single keyway.
•Used when force to be transmitted is large.
•It is used in heavy duty applications such as Air craft propeller
shaft, automatic gear box, etc
1.Sunk Keys
• The sunk keys are provided half in the keyway of the
shaft and half in the keyway of the hub or boss of the
pulley.
• They are sunk halfway in shaft keyway of shaft and hub
• The sunk keys are of the following type
A)Rectangular sunk key
B)Square sunk key
C) Parallel sunk key
D)Gib-head key
E)Feather key
F) Woodruff key
A) Rectangular sunk key
• It imparts a compressive contact pressure
between the hub and shaft
B) Square sunk key
• The only difference between a rectangular
sunk key and a square sunk key is that its
width and thickness are equal,
• i.e. w = t =d / 4
C) Parallel sunk key
• The parallel sunk keys may be of rectangular or square
section uniform in width and thickness throughout. It
may be noted that a parallel key is a taper less
• and is used where the pulley, gear or other mating
piece is required to slide along the shaft.
• Width = d/4
• Thickness = d/6
• Length = 1.5 to 3 d
D) GIB-HEAD KEY
• It is a rectangular sunk key with a head at one end known
as gib head. It is usually provided to facilitate the
removal of key.
• Height of head = 1.75 times of thickness
E) FEATHER KEY
A key attached to one member of a pair and which
permits relative axial movement of the other is known
as feather key. It is a special key of parallel type.
It is fastened either to the shaft or hub.
F) WOODRUFF KEY
• The main advantages of a woodruff key
1.It accommodates itself to any taper in the
hub or boss of the mating piece.
2. It is useful on tapering shaft ends. Its extra
depth in the shaft prevents any tendency to
turnover in its keyway.
• The disadvantages are :
1.The depth of the keyway weakens the shaft.
2.It can not be used as a feather
Cotter
FORCE ACTING ON A SUNK KEY
When a key is used in transmitting torque from a shaft to a rotor
or hub, the following two types of forces act on the key :
•Forces (F1) due to fit of the key in its keyway. These forces
produce compressive stresses in the key which are difficult to
determine in magnitude.
•Forces (F) due to the torque transmitted by the shaft. These
forces produce shearing and compressive (or crushing)
stresses in the key.
•In designing a key, forces due to fit of the key are neglected
and it is assumed that the distribution of forces along the
length of key is uniform.
Coupling
Couplings
 A device that is used to connect
two shafts together for the purpose of power
transmission.
 General types of couplings are:
 Rigid: for aligned shafts
 Flexible: for non-aligned shafts
Rigid (or) Aligned Shaft Couplings
• Aligned shaft couplings are rigid couplings
that are designed to draw two shafts together
so that no motion can occur between them.
• Types
–Flanged
–Muff or sleeve or
Types of Shafts Couplings
1. Rigid coupling 2. Flexible coupling
1. Rigid coupling : It is used to connect two shafts
which are perfectly aligned.
• types of rigid coupling are
• a)Sleeve or muff coupling.
• b)Clamp or split-muff or compression coupling,
• c)Flange coupling
• Split Coupler
• Keyed
• Friction
Flanged Coupling
A key is used to fix the coupling to the shaft,
and then couplings are bolted together. The
bolts are subjected to shear stress.
Split Coupler
Again, a key is used to fix the coupling
and the shaft and the two halves of the
coupling are bolted together.
Keyed Coupler
•Grooves are cut into the shaft and the
fixed part.
•A key is put in the grooves to lock the
two parts together.
Friction Coupling
Clutch Disengaged Clutch Engaged
Driver
Plate A
Friction Material
Driven Shaft
Stationary
Driver Shaft
In motion
Driver Shaft
In motion
Driven Shaft
In motion
• 2.Flexible coupling : It is used to connect two
shafts having both lateral and angular
misalignment.
• Types of flexible coupling are
• a)Bushed pin type coupling,
• b)Universal coupling, and
• c)Oldham coupling
Non-Aligned Shaft Couplings
• Used to join shafts that meet at a slight angle.
• Angle may still change while running due to
vibration or load.
• Types:
–Universal
–Constant Velocity
–Flexible
Universal Joint
•Consist of two end yokes and a center bearing
block.
•Provides for angular misalignment of up to 45
degrees.
Constant Velocity Joint
•Used where angles are greater than 20 and there
is no room to use two universal joints.
•Driven shaft maintains a constant speed
regardless of driver shaft angle.
•Used on driveshaft's on front wheel drive cars.
Flexible Coupling
•Both shafts are bolted to a rubber disc. The
flexibility of the disc compensates for the change
in angle.
•Can handle approximately 3 of angular
misalignment.
Design procedures of Couplings
General Concepts
1. Design of Shaft (Dia)
2. Design of Hub/Sleeve
3. Design of Flange or depends on type of
Coupling
4. Design of Key
5. Design of bolts or specific part in the type of
Coupling(if needed)
Note: Check Shear stress, Compressive
stress or other required stresses.
Only if those are less than permissible
stress, the design is safe.
In syllabus
1. Muff or sleeve coupling
2. Split muff coupling
3. Flange coupling
4. Marine type flange coupling
5. Bushed-pin type flexible coupling
a. Sleeve or Muff-coupling
• It is the simplest type of rigid coupling, made of
cast iron.
• It consists of a hollow cylinder whose inner
diameter is the same as that of the shaft (sleeve).
• It is fitted over the ends of the two shafts by
means of a gib head key, as shown in Fig.
• The power is transmitted from one shaft to the
other shaft by means of a key and a sleeve.
1. Dia of SHAFT - (d, T)
d = diameter of the shaft (Shear stress formula)
T= torque (power formula 2NT/60)
2. SLEEVE – (D, L)
D= Outer diameter of the sleeve = 2d+13mm
L = Length of Sleeve = 3.5d
3. KEY
• l= length, w= width, t=thickness
• The sleeve is designed by considering it as a
hollow shaft.
𝜏 = 16 Mt / πd3
• T=Torque to be transmitted by the coupling
• τc=Permissible shear stress for the material of
the sleeve which is cast iron.
• Torque transmitted by a hollow section
T = (π/16)×τc×(D4-d4)/D
= (π/16)×τc×D3(1-K4)
... (∵k = d / D)
• From this expression, the induced shear stress
in the sleeve may be checked.
3. Design for key
• The length of the coupling key = length of the
sleeve ( i.e. . 3.5d ).
• The coupling key is usually made into two
parts
• length of the key in each shaft
l= L/2=3.5d/2
• After fixing the length of key in each shaft, the
induced shearing and crushing stresses may
be checked. We know that torque transmitted,
4. Checking of Stress values
• T = l× w×τ ×(d /2)
(Considering shearing of the key)
• T = l × (t/2) × σC × (d /2)
(Considering crushing of the key)
If both the stresses are less than permissible
stress value, the design of key is safe.
Steps:
1. Shaft dia
2. Sleeve
3. Key
4. Check stresses
PSG databook additional pages
Steps:
1. Shaft dia
2. Sleeve
3. Key
4. Check stresses in
Sleeve and Key
Steps:
1. Shaft dia
2. Sleeve
3. Key
4. Check stresses in
Sleeve and Key
Steps:
1. Shaft dia
2. Sleeve
3. Key
4. Check stresses in
Sleeve and Key
Design procedures of Couplings
General Concepts
1. Design of Shaft (Dia)
2. Design of Hub/Sleeve
3. Design of Flange or depends on type of
Coupling
4. Design of Key
5. Design of bolts or specific part in the type of
Coupling(if needed)
Note: Check Shear stress, Compressive
stress or other required stresses.
Only if those are less than permissible
stress, the design is safe.
In syllabus
1. Muff or sleeve coupling
2. Split muff coupling
3. Flange coupling
4. Marine type flange coupling
5. Bushed-pin type flexible coupling
2. Split muff or Clamp or
Compression Coupling
• The muff or sleeve is made into two halves and
are bolted together.
• The halves of the muff are made of cast iron.
• The shaft ends are made to a butt each other.
• A single key is fitted directly in the keyways of
both the shafts.
• One-half of the muff is fixed from below and the
other half is placed from above.
• Both the halves are held together by means of
mild steel studs or bolts and nuts.
• The number of bolts may be two, four or six.
• The advantage of this coupling is that the position
of the shafts need not be changed for assembling
or disassembling of the couplings.
Design of split muff coupling
• Step 1 : Design of Shaft
• Step 2 : Design of Sleeve
• Step 3 : Design of Key
• Step 4 : Checking the stress values
• Step 5 : Design of Bolts
5. Design of clamping bolts
• T =Torque transmited by the shaft,
• d =Diameter of shaft,
• d b=Root or effective diameter of bolt
• n=Number of bolts,
• σt =Permissible tensile stress for bolt material,
• µ=Coefficient of friction between the muff and
shaft, and
• L=Length of muff.
• Force exerted by each bolt (F) =(π/4) (d b
2 ) σt
• Force exerted by the bolts on each side of the
shaft (F)= (π/4) (d b
2 ) (σt )(n/2)
• (P )be the pressure on the shaft and the muff
surface due to the force, then for uniform
pressure distribution over the surface
• P=Force/Projected area
• P= (π/4) (d b
2 ) (σt )(n/2) / (1/2)Ld
• ∴Frictional force between each shaft and
muff,
F =µ× pressure × area
• F=(µ × (π/4)(d b
2 )(σt )(n/2)/(1/2)Ld )
× π (1/2) d L
• F= µ × (π2/8)(d b
2 )(σt )(n)
• Torque that can be transmitted by the
coupling
T=F × d/2
T=µ × (π2/8)(d b
2 )(σt )(n)×d/2
• From this relation, the root diameter of the
bolt (d b )
may be evaluated . µ=0.3
Steps:
1. Shaft dia
2. Sleeve
3. Key
4. Check stresses in
Sleeve and Key
5. Bolt design
Steps:
1. Shaft dia
2. Sleeve
3. Key
4. Check stresses in
Sleeve and Key
5. Bolt design
From 7.133
Steps:
1. Shaft dia
2. Sleeve
3. Key
4. Check stresses in
Sleeve and Key
5. Bolt design
Steps:
1. Shaft dia
2. Sleeve
3. Key
4. Check stresses in
Sleeve and Key
5. Bolt design
Steps:
1. Shaft dia
2. Sleeve
3. Key
4. Check stresses in
Sleeve and Key
5. Bolt design
Design procedures of Couplings
General Concepts
1. Design of Shaft (Dia)
2. Design of Hub/Sleeve
3. Design of Flange or depends on type of
Coupling
4. Design of Key
5. Design of bolts or specific part in the type of
Coupling(if needed)
Note: Check Shear stress, Compressive
stress or other required stresses.
Only if those are less than permissible
stress, the design is safe.
In syllabus
1. Muff or sleeve coupling
2. Split muff coupling
3. Flange coupling
4. Marine type flange coupling
5. Bushed-pin type flexible coupling
Rigid Couplings - Flanged
Keyed to shaft Taper locked
Flange coupling
• A flange coupling usually applies to a coupling
having two separate cast iron flanges.
• Each flange is mounted on the shaft end and
keyed to it.
• The faces are turned up at right angle to the axis
of the shaft
• Flange coupling are
• 1.Unprotected type flange coupling
• 2. Protected type flange coupling
• 3. Marine type flange coupling
Rigid Couplings
NO relative motion between the shafts.
Precise alignment of the shafts
Bolts in carry torque in shear. N = # of bolts.
)
(
N
D
T
8
d
d
bc 


1.Unprotected type flange coupling
• In an unprotected type flange coupling each
shaft is keyed to the boss of a flange with a
counter sunk key and the flanges are coupled
together by means of bolts.
• Generally, three, four or six bolts are used
Protected type flange coupling
Design of Flange coupling
1. Design of Shaft
2. Design of hub*
3. Design of Flange*
4. Design of Key*
5. Design of Bolts*
Note: *Check induced Shear stress and/or
induced Compressive stress.
Only if those are less than permissible stress,
the design is safe.
Design of Flange
coupling - Procedure
Steps:
1. Shaft dia
2. Hub
3. Flange (Check stresses )
4. Key (Check stresses )
5. Bolt
Steps:
1. Shaft dia
2. Hub
3. Flange (Check stresses )
4. Key (Check stresses )
5. Bolt
Steps:
1. Shaft dia
2. Hub (Check stress)
3. Flange (Check stresses )
4. Key (Check stresses )
5. Bolt
Steps:
1. Shaft dia
2. Hub (Check stress)
3. Flange (Check stresses )
4. Key (Check stresses )
5. Bolt
Steps:
1. Shaft dia
2. Hub (Check stress)
3. Flange (Check stresses )
4. Key (Check stresses )
5. Bolt
Steps:
1. Shaft dia
2. Hub (Check stress)
3. Flange (Check stresses )
4. Key (Check stresses )
5. Bolt
Steps:
1. Shaft dia
2. Hub (Check stress)
3. Flange (Check stresses )
4. Key (Check stresses )
5. Bolt
Steps:
1. Shaft dia
2. Hub (Check stress)
3. Flange (Check stresses )
4. Key (Check stresses )
5. Bolt
Design procedures of Couplings
General Concepts
1. Design of Shaft (Dia)
2. Design of Hub/Sleeve
3. Design of Flange or depends on type of
Coupling
4. Design of Key
5. Design of bolts or specific part in the type of
Coupling(if needed)
Note: Check Shear stress, Compressive
stress or other required stresses.
Only if those are less than permissible
stress, the design is safe.
In syllabus
1. Muff or sleeve coupling
2. Split muff coupling
3. Flange coupling
4. Marine type flange coupling
5. Bushed-pin type flexible coupling
Marine type flange coupling
• In a marine type flange coupling, the flanges are forged
integral with the shafts .
• The flanges are held together by means of tapered
head less bolts.
• numbering from four to twelve depending upon the
diameter of shaft.
• Shaft diameter No. of bolts
• 35 to 55 4
• 56 to 150 6
• 151 to 230 8
• 231 to 390 10
• Above 390 12
• The other proportions for the marine type
flange coupling
• Thickness of flange =d / 3
• Taper of bolt= 1 in 20 to 1 in 40
• Pitch circle diameter of bolts, D1= 1.6d
• Outside diameter of flange, D2= 2.2d
Design of Marine type flange
coupling
1.Design of Shaft
2.Design of Flange
– Dimensions of Coupling
(Before the design of flange
starts)
3.Design of bolts
Design procedure for Marine flange
coupling
1. Design of Shaft
2. Design of Flange
Dimensions of Coupling
(Before the design of
flange starts)
3. Design of bolts
1. Design of Shaft
2. Design of Flange
Dimensions of Coupling
(Before the design of
flange starts)
3. Design of bolts
1. Design of Shaft
2. Design of Flange
Dimensions of Coupling
(Before the design of
flange starts)
3. Design of bolts
1. Design of Shaft
2. Design of Flange
Dimensions of Coupling
(Before the design of
flange starts)
3. Design of bolts
1. Design of Shaft
2. Design of Flange
Dimensions of Coupling
(Before the design of
flange starts)
3. Design of bolts
Design procedures of Couplings
General Concepts
1. Design of Shaft (Dia)
2. Design of Hub/Sleeve
3. Design of Flange or depends on type of
Coupling
4. Design of Key
5. Design of bolts or specific part in the type of
Coupling(if needed)
Note: Check Shear stress, Compressive
stress or other required stresses.
Only if those are less than permissible
stress, the design is safe.
In syllabus
1. Muff or sleeve coupling
2. Split muff coupling
3. Flange coupling
4. Marine type flange coupling
5. Bushed-pin type flexible coupling
Bushed-pin Flexible Coupling
• A modification of the rigid type of flange
coupling.
• The coupling bolts are known as pins. The
rubber or leather bushes are used over the
pins.
• The two halves of the coupling are dissimilar
in construction.
• A clearance of 5 mm is left between the face
of the two halves of the coupling.
• the bearing pressure on the rubber or leather
bushes and it should not exceed 0.5 N/mm2
Pin and bush design
• l=Length of bush in the flange,
• d 2=Diameter of bush,
• pb=Bearing pressure on the bush or pin,
• n=Number of pins,
• D1=Diameter of pitch circle of the pins
Pin and bush design
• bearing load acting on each pin,
• W = pb×d 2×l
• ∴Total bearing load on the bush or pins
• W × n= pb×d 2×l ×n
• torque transmitted by the coupling=
T= W × n × (D1 /2)
T= pb×d 2×l ×n × (D1 /2)
• Direct shear stress due to pure torsion in the
coupling halve
• τ=W/[ (π/4) (d 1
2 )]
• maximum bending moment on the pin
• M =W (l/2 +5mm)
• bending stress
σ= M / Z
= W (l/2 +5mm)/ (π/32) (d 1
3)
• Maximum principal stress
= 1/2[σ +(σ+4τ2 ) 1/2]
• maximum shear stress on the pin
= 1/2(σ+4τ2 ) 1/2
• The value of maximum principal stress varies
from 28 to 42 MPa
End
Unit 2
Shaft and
Coupling
Shaft Coupling
1. Muff Coupling
2. Split muff coupling
3. Flange coupling
4. Marine type flange
coupling
5. Bushed pin
coupling
Shafts Subjected to Axial Load
in addition to Combined Torsion
and Bending Loads (Need to
draw Bending Moment
Diagram)
1. Pulley
2. Gear
3. Pulley and Gear
Modulus of Rigidity
(Hollow shaft
problem)

Unit 2 Shafts and Coupling.pptx

  • 1.
    Unit 2 Shaftsand Coupling
  • 3.
    Syllabus (Most of AUPart C question may come form this unit) 1.Design of solid and hollow shafts based on strength, rigidity and critical speed 2.Keys, keyways and splines 3.Rigid and flexible couplings.
  • 4.
    Shaft • A shaftis a rotating machine element which is used to transmit power from one place to another. • The power is delivered to the shaft by some tangential force and the resultant torque (or twisting moment) set up within the shaft permits the power to be transferred to various machines linked up to the shaft. • In order to transfer the power from one shaft to another, the various members such as pulleys, gears etc., are mounted on it. • The forces exerted upon them causes the shaft to bending.
  • 5.
    Notes 1. The shaftsare usually cylindrical, but may be square or cross- shaped in section. They are solid in cross-section but sometimes hollow shafts are also used. Hollow shafts perform well than Solid shafts. 2. An axle, though similar in shape to the shaft, is a stationary machine element and is used for the transmission of bending moment only. It simply acts as a support for some rotating body such as hoisting drum, a car wheel or a rope sheave. 3. A spindle is a short shaft that imparts motion either to a cutting tool (e.g. drill press spindles) or to a work piece (e.g. lathe spindles).
  • 6.
    Material Used forShafts The material used for shafts should have the following properties : 1. It should have high strength. 2. It should have good machinability. 3. It should have low notch sensitivity factor. 4. It should have good heat treatment properties. 5. It should have high wear resistant properties.
  • 7.
    Types of Shafts 1.Transmission shafts. These shafts transmit power between the source and the machines absorbing power. • The counter shafts, line shafts, over head shafts and all factory shafts are transmission shafts. • Since these shafts carry machine parts such as pulleys, gears etc., therefore they are subjected to bending in addition to twisting. 2.Machine shafts. These shafts form an integral part of the machine itself. The crank shaft is an example of machine shaft.
  • 8.
    Stresses in Shafts Thefollowing stresses are induced in the shafts : 1. Shear stresses due to the transmission of torque (i.e. due to torsional load). 2. Bending stresses (tensile or compressive) due to the forces acting upon machine elements like gears, pulleys etc. as well as due to the weight of the shaft itself. 3. Stresses due to combined torsional and bending loads.
  • 9.
    Fluctuating load Design of Shafts (Shaftssubjected to) Twisting Moment Bending Moment Combined twisting and bending moment Combined Axial loads, twisting and bending moment
  • 10.
    Design of Shafts Theshafts may be designed on the basis of 1. Strength, and 2. Rigidity and stiffness. In designing shafts on the basis of strength, the following cases may be considered : 1. Shafts subjected to twisting moment or torque only, 2. Shafts subjected to bending moment only, 3. Shafts subjected to combined twisting and bending moments, and 4. Shafts subjected to fluctuating load 5. Shafts subjected to axial loads in addition to combined torsional and bending loads.
  • 11.
    In our syllabuswe have solid and hollow shafts
  • 12.
    CASE - I ShaftsSubjected to Twisting Moment Only • When the shaft is subjected to a twisting moment (or torque) only, then the diameter of the shaft may be obtained by using the torsion equation. We know that
  • 13.
  • 14.
    The outside andinside diameter of a hollow shaft may be determined. It may be noted that 1. The hollow shafts are usually used in marine work. 2. These shafts are stronger per kg of material and they may be forged on a mandrel, thus making the material more homogeneous than would be possible for a solid shaft. 3. When a hollow shaft is to be made equal in strength to a solid shaft, the twisting moment of both the shafts must be same. In other words, for the same material of both the shafts,
  • 15.
    2. The twistingmoment (T) may be obtained by using the following relation :  We know that the power transmitted (in watts) by the shaft, 3. In case of belt drives, the twisting moment (T) is given by
  • 16.
    CASE -1 :Shafts Subjected to Twisting Moment Only A line shaft rotating at 200 r.p.m. is to transmit 20 kW. The shaft may be assumed to be made of mild steel with an allowable shear stress of 42 MPa. Determine the diameter of the shaft, neglecting the bending moment on the shaft. Eg. PROBLEM - 1
  • 18.
    PROBLEM - 2 •A solid shaft is transmitting 1 MW at 240 r.p.m. Determine the diameter of the shaft if the maximum torque transmitted exceeds the mean torque by 20%. Take the maximum allowable shear stress as 60 MPa.
  • 20.
    CASE – 2: Shafts Subjected to Bending Moment Only • When the shaft is subjected to a bending moment only, then the maximum stress (tensile or compressive) is given by the bending equation. We know that
  • 22.
  • 23.
    CASE – 2 Eg.PROBLEM - 1 • A pair of wheels of a railway wagon carries a load of 50kN on each axle box, acting at a distance of 100mm outside the wheel base. The gauge of the rails is 1.4m. Find the diameter of the axle between the wheels, if the stress is not to exceed 100 MPa.
  • 25.
    CASE – 3: Shafts Subjected to Combined Twisting Moment and Bending Moment • When the shaft is subjected to combined twisting moment and bending moment, then the shaft must be designed on the basis of the two moments simultaneously. Various theories have been suggested to account for the elastic failure of the materials when they are subjected to various types of combined stresses. • The following two theories are important from the subject point of view : 1. Maximum shear stress theory or Guest's theory. It is used for ductile materials such as mild steel. 2. Maximum normal stress theory or Rankine’s theory. It is used for brittle materials such as cast iron. • Let τ = Shear stress induced due to twisting moment, and • σb = Bending stress (tensile or compressive) induced due to bending • moment.
  • 26.
    • The expressionis known as equivalent twisting moment and is denoted by Te. • The expression is known as equivalent bending moment and is denoted by Me. According to Guest’s theory According to Rankine’s theory
  • 27.
    A circular shaftcan transmit a torque of 5 kN-m. If the torque is reduced to 4 kN-m, then the maximum value of bending moment that can be applied to the shaft is • Te = • 5 = M2 + 42 • 25 = M2 + 16 • M = 3
  • 28.
    Problem 1 A Shaftsupported at the ends in ball bearings carried a straight tooth spur gear at its mid span and of to transmit 7.5 kW at 300 rpm. The PCD of gear is 150mm. The distance b/w the centre lines of bearing and gear is 100 mm each. If the shaft is made up of steel and the allowable shear stress is 45MPa, determine the diameter of the shaft. Show in a sketch how the gear be mounted on shaft; also indicate the ends where the bearings will be maintained. The pressure angle of the gear may be taken as 20°
  • 29.
    A Shaft supportedat the ends in ball bearings carried a straight tooth spur gear at its mid span and of to transmit 7.5 kW at 300 rpm. The PCD of gear is 150mm. The distance b/w the centre lines of bearing and gear is 100 mm each. If the shaft is made up of steel and the allowable shear stress is 45MPa, determine the diameter of the shaft. Show in a sketch how the gear be mounted on shaft; also indicate the ends where the bearings will be maintained. The pressure angle of the gear may be taken as 20° • Given: – P = 7500 W – N = 300 rpm – D = 150 mm – L = 200 mm –  = 45 N/mm2 –  = 20° • To find: – d – diameter of the Shaft.
  • 30.
  • 31.
    Approach • 𝑚𝑎𝑥 = 16𝑀𝑡𝑒  𝒅𝟑 • To find equivalent 𝑀𝑡𝑒 • 𝑀𝑡𝑒 = Mb 2 + Mt 2 • For Mb – PSG 6.5, Max bending moment for centre load acting on a beam with simply supported beam at its end, • Mb = P. l / 4 & Mt = Tangential Force x Dist
  • 32.
    To find Mb& Mt • For Mb we need to find P (Weight of the gear acting downwards) • P = Tan. Force / Cos  • Already Mt = Tangential Force x Dist (Radius) • Hence find Mt using Power formula • P = 𝟐 𝝅Mt 𝟔𝟎
  • 33.
    CASE – 4: Shafts Subjected to Fluctuating Loads • In the previous articles we have assumed that the shaft is subjected to constant torque and bending moment. But in actual practice, the shafts are subjected to fluctuating torque and bending moments. In order to design such shafts like line shafts and counter shafts, the combined shock and fatigue factors must be taken into account for the computed twisting moment (T ) and bending moment (M ). Thus for a shaft subjected to combined bending and torsion, the equivalent twisting moment, x
  • 34.
    Problem • A shaftis subjected to fluctuating loads for which the normal torque (T) and bending moment (M) are 1000 N-m and 500 N-m respectively. If the combined shock and fatigue factor for bending is 1.5 and combined shock and fatigue factor for torsion is 2, then the equivalent twisting moment for the shaft is? x
  • 35.
    CASE -5 :Shafts Subjected to Axial Load in addition to Combined Torsion and Bending Loads
  • 36.
    CASE -5 :Shafts Subjected to Axial Load in addition to Combined Torsion and Bending Loads
  • 40.
  • 41.
    Types of Problemin case 5 • Gears (2 or more) mounted on shaft • Pulleys (2 or more) mounted on shaft • Combination of gear and pulleys mounted on shaft
  • 43.
    QB 5 • Ahorizontal nickel steel shaft rests on two bearings, A at the left end and B at the right end and carries two gears C and D located at distances of 250 mm and 400 mm respectively from the centre line of the left, and right be bearings. The pitch diameter of the gear C is 600 mm and that of gear D is 200 mm. The distance between the centre lines of the bearings is 2400 mm. The shaft transmits 20 kW at 120 rpm. The power is delivered to the shaft at gear C and is taken out at gear D in such a manner that the tooth pressure Fcc of the gear C and FF of the gear D act vertically, downwards. Find the diameter of the shaft, if the working stress, is 100 MPa in tension and 56 MPa in shear. The gear C and D weighs 950 N and 350 N respectively. The combined shock and fatigue factors for bending and torsion may be taken as 1.5 and 1.2 respectively.
  • 45.
    Approach • 𝑚𝑎𝑥 = 16𝑀𝑡𝑒  𝒅𝟑 • To find equivalent 𝑀𝑡𝑒 • 𝑀𝑡𝑒 = (k.Mb)2 + (k.Mt)2 • 𝑏 = 32 𝑀𝑏  𝒅𝟑 • To find equivalent 𝑀𝑏 • 𝑀𝑡𝑒 =1/2 [𝑀𝑏. 𝑘 + (k.Mb)2 + (k.Mt)2]
  • 46.
    Approach • To findMt: • Power formula – P = 𝟐 𝝅Mt 𝟔𝟎 • To find Mb: – Resolve the shaft as beam and find the max bending moment at A,B,C & D
  • 47.
    To find theBending Moment 1. First find Tangential force for both gears, Ft = Mt/ r 2. Find the total load at C & D, = Ft + W 3. Taking loads and equate Reactions and Total loads. Take moment at any point to find one reaction which in turn find the another one. 4. Find Bending moment at A,B,C & D. (In this choose the Max as Mb
  • 57.
    Problems using Pulley •A shaft supported by bearings at the end which s 1m apart. A 600 mm diameter pulley is mounted at distance of 300mm to the right of left hand bearing and this drives a pulley directly below it with the help of belt having max tension 2.25kN. Another pulley 400mm dia is placed 200mm to the left of right bearing and is driven with the help of electric motor and belt, which is placed horizontal to the right. The angle of contact for both the pulleys is 180° and μ = 0.24. Determine the suitable dia pf solid shaft, allowing working stress of 63 MPa in tension and 42 MPa in shear for the material of shaft. Assume that the torque on one pulley is equal to that of other pulley.
  • 58.
    AU Problems • Theintermediate shaft in a multi-stage gear box carries a pinion and a gear as show in fig. 12a. The dimensions and the tooth loads are given in figure. The material of the shaft is plain carbon steel whose yield strength is 380 MPa. The factor of safety is specified as 3. The power flowing through the shaft is approximately 38 kW at a speed of approximately 200 rpm. Determine the size of the shaft on the basis of strength. (NOV/DEC 2020 AND April/May 2021)
  • 59.
    AU Problems • Asection of commercial shafting 2 m long between bearings carries a 1000 N pulley at its mid-point, as shown in fig. The pulley is keyed to the shaft and receives 30 kW at 150 rev/min which is transmitted to a flexible coupling just outside the right bearing. The belt drive is horizontal and some of the belt tensions is 8000 N. Assume K1 = Kb = 1.5 . Calculate the necessary shaft diameter and determine the angle of twist between bearings. G = 80 GN/m2.(NOV/DEC 2018)
  • 60.
    AU Problems • Atransmission shaft supporting a helical gear B and overhang bevel gear D is shown in figure. The shaft is mounted on two bearings A and C. The pitch circle diameter of the helical gear is 450 mm and the diameter of the bevel gear at the forces is 450 mm. Power is transmitted from the helical gear to the bevel gear. The gears are keyed to the shaft. The material of the shaft is steel 45C8 (Sut=600 and Syt=380 N/mm2). The factors Kb and Kt of ASME code are 2.0 and 1.5 respectively. Determine the shaft diameter using ASME Code. (APR/MAY 2018)
  • 61.
    AU Problems • A600 mm diameter pulley driven by a horizontal belt transmits power through a solid shaft to a 262 mm diameter pinion which drives a matting gear. The pulley weighs 1200 N to provide some flywheel effect. The arrangement of elements, the belt tensions and components of the gear reactions on the pinion are as indicated in Fig. Determine the necessary shaft diameter using a suitable value for commercial shafting and shock fatigue factors of Kb=2 and Kt=15. (NOV/DEC 2017)
  • 62.
    AU Problems • Ashaft is supported by two bearings placed 1100 mm apart. A pulley of diameter 620 mm is keyed at 400 mm to the right of the left hand bearing and this drives a pulley directly below it with a maximum tension of 2.75 kN. Another pulley of diameter 400 mm is placed 200 mm to the left of the right hand bearing and is driven with a motor placed horizontally to the right. The angle of contact of the pulleys is 180° and the coefficient of friction between the belt and the pulleys is 0.3. Find the diameter of the shaft. Assume Kb = 3, Kt = 2.5, Syt = 190 MPa, Sut = 300 MPa. (APR/MAY 2017)
  • 63.
    AU Problems • Theshaft of length 1 m carrying two pulleys 1 and 2 at its left and right ends respectively and it is supported on two bearings A and B which are located 0.25 m from the left end and the same 0.25 m from the right end respectively. The shaft transmits 7.5 kW power at 360 rpm from pulley 1 to pulley 2. The diameters of pulley 1 and 2 are 250 and 500 mm respectively. The masses of pulley 1 and 2 are 10 kg and 30 kg respectively. The belt tension act vertically downward and ratio of belt tensions on tight side to slack side for each pulley is 2.5:1. The yield strength of the shaft material σy= 380 MPa and factor of safety is 3. Estimate the suitable diameter of the shaft. (NOV/DEC 2015)
  • 64.
    Design of Shaftson the basis of Rigidity • Sometimes the shafts are to be designed on the basis of rigidity (inability to be to bent or be forced out of shape). We shall consider the following two types of rigidity. 1.Torsional rigidity. • The torsional rigidity is important in the case of camshaft of an I.C. engine where the timing of the valves would be effected. • The permissible amount of twist should not exceed 0.25° per metre length of such shafts. For line shafts or transmission shafts, deflections 2.5 to 3 degree per metre length may be used as limiting value. • The widely used deflection for the shafts is limited to 1 degree in a length equal to twenty times the diameter of the shaft.
  • 65.
  • 66.
    • If thetorque transmitted is 4775 kN-mm, Modulus of rigidity is 0.84x 10^5 N/mm2, angle of deflection is 0.25 per metre length. Find the dia of shaft.
  • 70.
    2. Lateral rigidity. •It is important in case of transmission shafting and shafts running at high speed, where small lateral deflection would cause huge out-of-balance forces. • The lateral rigidity is also important for maintaining proper bearing clearances and for correct gear teeth alignment. • The maximum deflection can be calculated by – Integration method – Area method – Energy method • The ratio of maximum permissible deflection to the length of the shaft between supports, should not exceed 1/1200.
  • 71.
    Critical Speed ofShaft • Speed at which a rotating shaft will tend to vibrate violently in the transverse direction. This is speed where the shaft becomes dynamically unstable. • Also called as whirling speed or whipping speed.
  • 72.
    Critical Speed ofShaft • The magnitude of the deflection depends upon: – Stiffness of the shaft and it’s support – Total mass of shaft and attached parts – Unbalance of the mass with respect to axis of rotation – The amount of damping in the system • Rayleigh-Ritz method: – Critical speed, Ne = 30  g  (g – 9.81 m/s, total deflection)
  • 73.
    Find the criticalspeed of Shaft when total maximum deflection is 0.319 mm 1. 1670 rpm 2. 1600 rpm 3. 1675 rpm 4. 1700 rpm
  • 74.
    • A hollowshaft of 0.5 m outside diameter and 0.3 m inside diameter is used to drive a propeller of a marine vessel. The shaft is mounted on bearings 6 metre apart and it transmits 5600 kW at 150 r.p.m. The maximum axial propeller thrust is 500 kN and the shaft weighs 70 kN. Determine • (i) The maximum shear stress developed in the shaft and • (ii) The angular twist between the bearings.
  • 79.
    AU Problems • Inan axial flow rotary compressor, the shaft is subjected to maximum twisting moment and maximum bending moment of 1500 Nm and 3000 Nm respectively. Neglecting the axial load, determine the diameter, if the permissible shear stress is 50 N/mm2. Assume minor shocks. If the shaft is hollow one with K = di/do = 0.4, what will be material saving in hollow shaft which is subjected to same loading and material as a solid shaft. (NOV/DEC 2014) • A hollow shaft is required to transmit 600 kW at 110 rpm, the maximum torque being 20% greater than the mean. The shear stress is not to exceed 63 MPa and twist in a length of 3 meter not to exceed 1.4 degrees. Find the external diameter of the shaft, if the internal diameter to the external diameter is 3/8. Take modulus of rigidity as 84 GPa. (APR/MAY 2011)
  • 80.
  • 81.
    Key • A keyis a piece of mild steel inserted between the shaft and hub or boss of the pulley to connect these together in order to prevent relative motion between them. • It is always inserted parallel to the axis of the shaft. • Keys aroused as temporary fastenings and are subjected to considerable crushing and shearing stresses.
  • 82.
    Function of Key 1)Connectthe shaft and hub together. 2)Prevent relative rotational movement between the shaft and hub mounted on it 3)Transmit torque from a rotating machine element to the shaft.
  • 83.
    Keyway • Groove cuton the shaft and hub to accommodate the key.
  • 84.
    Types of Keys 1.Sunk keys, 2. Saddle keys, 3. Tangent keys, 4. Round keys, and 5. Splines
  • 85.
    2. Saddle keys •A saddle key (flat) is a taper key which fits in a keyway in the hub and is flat on the shaft. • It is likely to slip round the shaft under load. Therefore it is used for comparatively light loads. • This doesn’t need any keyways on the shaft.
  • 87.
    • The saddlekeys are of the following two types 1. Flat saddle key, and 2.Hollow saddle key. • A hollow saddle key is a taper key which fits in a keyway in the hub and the bottom of the key is shaped to fit the curved surface of the shaft. Since hollow saddle keys hold on by friction. • Flat saddle key has flat bottom surface. • Therefore these are suitable for light loads. It is usually used as a temporary fastening in fixing and setting eccentrics, cams etc.
  • 88.
    3. Tangent Keys •The tangent keys are fitted in pair at right angles. • Each key is to with standtorsion in one direction only. These are used in large heavy duty shafts.
  • 89.
    4. Round Keys •Theround keys are circular in section and fit into holes drilled partly in the shaft and partly in the hub. •They have the advantage of manufacturing as their keyways may be drilled and reamed after the mating parts have been assembled. •Round keys are usually considered to be most appropriate for low power drives
  • 91.
    5. SPLINES •Keys madeas an integral with the shaft which fit in the keyways broached in the hub are known as splined shafts. •These shafts usually have four, six, ten or sixteen splines. •The splined shafts are relatively stronger than shafts having a single keyway. •Used when force to be transmitted is large. •It is used in heavy duty applications such as Air craft propeller shaft, automatic gear box, etc
  • 92.
    1.Sunk Keys • Thesunk keys are provided half in the keyway of the shaft and half in the keyway of the hub or boss of the pulley. • They are sunk halfway in shaft keyway of shaft and hub • The sunk keys are of the following type A)Rectangular sunk key B)Square sunk key C) Parallel sunk key D)Gib-head key E)Feather key F) Woodruff key
  • 93.
    A) Rectangular sunkkey • It imparts a compressive contact pressure between the hub and shaft
  • 95.
    B) Square sunkkey • The only difference between a rectangular sunk key and a square sunk key is that its width and thickness are equal, • i.e. w = t =d / 4
  • 96.
    C) Parallel sunkkey • The parallel sunk keys may be of rectangular or square section uniform in width and thickness throughout. It may be noted that a parallel key is a taper less • and is used where the pulley, gear or other mating piece is required to slide along the shaft. • Width = d/4 • Thickness = d/6 • Length = 1.5 to 3 d
  • 98.
    D) GIB-HEAD KEY •It is a rectangular sunk key with a head at one end known as gib head. It is usually provided to facilitate the removal of key. • Height of head = 1.75 times of thickness
  • 100.
    E) FEATHER KEY Akey attached to one member of a pair and which permits relative axial movement of the other is known as feather key. It is a special key of parallel type. It is fastened either to the shaft or hub.
  • 101.
  • 104.
    • The mainadvantages of a woodruff key 1.It accommodates itself to any taper in the hub or boss of the mating piece. 2. It is useful on tapering shaft ends. Its extra depth in the shaft prevents any tendency to turnover in its keyway. • The disadvantages are : 1.The depth of the keyway weakens the shaft. 2.It can not be used as a feather
  • 106.
  • 107.
    FORCE ACTING ONA SUNK KEY When a key is used in transmitting torque from a shaft to a rotor or hub, the following two types of forces act on the key : •Forces (F1) due to fit of the key in its keyway. These forces produce compressive stresses in the key which are difficult to determine in magnitude. •Forces (F) due to the torque transmitted by the shaft. These forces produce shearing and compressive (or crushing) stresses in the key. •In designing a key, forces due to fit of the key are neglected and it is assumed that the distribution of forces along the length of key is uniform.
  • 118.
  • 120.
    Couplings  A devicethat is used to connect two shafts together for the purpose of power transmission.  General types of couplings are:  Rigid: for aligned shafts  Flexible: for non-aligned shafts
  • 121.
    Rigid (or) AlignedShaft Couplings • Aligned shaft couplings are rigid couplings that are designed to draw two shafts together so that no motion can occur between them. • Types –Flanged –Muff or sleeve or
  • 122.
    Types of ShaftsCouplings 1. Rigid coupling 2. Flexible coupling 1. Rigid coupling : It is used to connect two shafts which are perfectly aligned. • types of rigid coupling are • a)Sleeve or muff coupling. • b)Clamp or split-muff or compression coupling, • c)Flange coupling • Split Coupler • Keyed • Friction
  • 123.
    Flanged Coupling A keyis used to fix the coupling to the shaft, and then couplings are bolted together. The bolts are subjected to shear stress.
  • 124.
    Split Coupler Again, akey is used to fix the coupling and the shaft and the two halves of the coupling are bolted together.
  • 125.
    Keyed Coupler •Grooves arecut into the shaft and the fixed part. •A key is put in the grooves to lock the two parts together.
  • 126.
    Friction Coupling Clutch DisengagedClutch Engaged Driver Plate A Friction Material Driven Shaft Stationary Driver Shaft In motion Driver Shaft In motion Driven Shaft In motion
  • 127.
    • 2.Flexible coupling: It is used to connect two shafts having both lateral and angular misalignment. • Types of flexible coupling are • a)Bushed pin type coupling, • b)Universal coupling, and • c)Oldham coupling
  • 129.
    Non-Aligned Shaft Couplings •Used to join shafts that meet at a slight angle. • Angle may still change while running due to vibration or load. • Types: –Universal –Constant Velocity –Flexible
  • 130.
    Universal Joint •Consist oftwo end yokes and a center bearing block. •Provides for angular misalignment of up to 45 degrees.
  • 131.
    Constant Velocity Joint •Usedwhere angles are greater than 20 and there is no room to use two universal joints. •Driven shaft maintains a constant speed regardless of driver shaft angle. •Used on driveshaft's on front wheel drive cars.
  • 132.
    Flexible Coupling •Both shaftsare bolted to a rubber disc. The flexibility of the disc compensates for the change in angle. •Can handle approximately 3 of angular misalignment.
  • 133.
    Design procedures ofCouplings General Concepts 1. Design of Shaft (Dia) 2. Design of Hub/Sleeve 3. Design of Flange or depends on type of Coupling 4. Design of Key 5. Design of bolts or specific part in the type of Coupling(if needed) Note: Check Shear stress, Compressive stress or other required stresses. Only if those are less than permissible stress, the design is safe.
  • 134.
    In syllabus 1. Muffor sleeve coupling 2. Split muff coupling 3. Flange coupling 4. Marine type flange coupling 5. Bushed-pin type flexible coupling
  • 135.
    a. Sleeve orMuff-coupling
  • 136.
    • It isthe simplest type of rigid coupling, made of cast iron. • It consists of a hollow cylinder whose inner diameter is the same as that of the shaft (sleeve). • It is fitted over the ends of the two shafts by means of a gib head key, as shown in Fig. • The power is transmitted from one shaft to the other shaft by means of a key and a sleeve.
  • 137.
    1. Dia ofSHAFT - (d, T) d = diameter of the shaft (Shear stress formula) T= torque (power formula 2NT/60) 2. SLEEVE – (D, L) D= Outer diameter of the sleeve = 2d+13mm L = Length of Sleeve = 3.5d 3. KEY • l= length, w= width, t=thickness • The sleeve is designed by considering it as a hollow shaft. 𝜏 = 16 Mt / πd3
  • 138.
    • T=Torque tobe transmitted by the coupling • τc=Permissible shear stress for the material of the sleeve which is cast iron. • Torque transmitted by a hollow section T = (π/16)×τc×(D4-d4)/D = (π/16)×τc×D3(1-K4) ... (∵k = d / D) • From this expression, the induced shear stress in the sleeve may be checked.
  • 139.
    3. Design forkey • The length of the coupling key = length of the sleeve ( i.e. . 3.5d ). • The coupling key is usually made into two parts • length of the key in each shaft l= L/2=3.5d/2 • After fixing the length of key in each shaft, the induced shearing and crushing stresses may be checked. We know that torque transmitted,
  • 140.
    4. Checking ofStress values • T = l× w×τ ×(d /2) (Considering shearing of the key) • T = l × (t/2) × σC × (d /2) (Considering crushing of the key) If both the stresses are less than permissible stress value, the design of key is safe.
  • 143.
    Steps: 1. Shaft dia 2.Sleeve 3. Key 4. Check stresses
  • 144.
  • 145.
    Steps: 1. Shaft dia 2.Sleeve 3. Key 4. Check stresses in Sleeve and Key
  • 146.
    Steps: 1. Shaft dia 2.Sleeve 3. Key 4. Check stresses in Sleeve and Key
  • 147.
    Steps: 1. Shaft dia 2.Sleeve 3. Key 4. Check stresses in Sleeve and Key
  • 149.
    Design procedures ofCouplings General Concepts 1. Design of Shaft (Dia) 2. Design of Hub/Sleeve 3. Design of Flange or depends on type of Coupling 4. Design of Key 5. Design of bolts or specific part in the type of Coupling(if needed) Note: Check Shear stress, Compressive stress or other required stresses. Only if those are less than permissible stress, the design is safe.
  • 150.
    In syllabus 1. Muffor sleeve coupling 2. Split muff coupling 3. Flange coupling 4. Marine type flange coupling 5. Bushed-pin type flexible coupling
  • 151.
    2. Split muffor Clamp or Compression Coupling
  • 153.
    • The muffor sleeve is made into two halves and are bolted together. • The halves of the muff are made of cast iron. • The shaft ends are made to a butt each other. • A single key is fitted directly in the keyways of both the shafts. • One-half of the muff is fixed from below and the other half is placed from above. • Both the halves are held together by means of mild steel studs or bolts and nuts. • The number of bolts may be two, four or six. • The advantage of this coupling is that the position of the shafts need not be changed for assembling or disassembling of the couplings.
  • 154.
    Design of splitmuff coupling • Step 1 : Design of Shaft • Step 2 : Design of Sleeve • Step 3 : Design of Key • Step 4 : Checking the stress values • Step 5 : Design of Bolts
  • 155.
    5. Design ofclamping bolts • T =Torque transmited by the shaft, • d =Diameter of shaft, • d b=Root or effective diameter of bolt • n=Number of bolts, • σt =Permissible tensile stress for bolt material, • µ=Coefficient of friction between the muff and shaft, and • L=Length of muff.
  • 156.
    • Force exertedby each bolt (F) =(π/4) (d b 2 ) σt • Force exerted by the bolts on each side of the shaft (F)= (π/4) (d b 2 ) (σt )(n/2) • (P )be the pressure on the shaft and the muff surface due to the force, then for uniform pressure distribution over the surface • P=Force/Projected area • P= (π/4) (d b 2 ) (σt )(n/2) / (1/2)Ld
  • 157.
    • ∴Frictional forcebetween each shaft and muff, F =µ× pressure × area • F=(µ × (π/4)(d b 2 )(σt )(n/2)/(1/2)Ld ) × π (1/2) d L • F= µ × (π2/8)(d b 2 )(σt )(n)
  • 158.
    • Torque thatcan be transmitted by the coupling T=F × d/2 T=µ × (π2/8)(d b 2 )(σt )(n)×d/2 • From this relation, the root diameter of the bolt (d b ) may be evaluated . µ=0.3
  • 160.
    Steps: 1. Shaft dia 2.Sleeve 3. Key 4. Check stresses in Sleeve and Key 5. Bolt design
  • 161.
    Steps: 1. Shaft dia 2.Sleeve 3. Key 4. Check stresses in Sleeve and Key 5. Bolt design From 7.133
  • 162.
    Steps: 1. Shaft dia 2.Sleeve 3. Key 4. Check stresses in Sleeve and Key 5. Bolt design
  • 163.
    Steps: 1. Shaft dia 2.Sleeve 3. Key 4. Check stresses in Sleeve and Key 5. Bolt design
  • 164.
    Steps: 1. Shaft dia 2.Sleeve 3. Key 4. Check stresses in Sleeve and Key 5. Bolt design
  • 165.
    Design procedures ofCouplings General Concepts 1. Design of Shaft (Dia) 2. Design of Hub/Sleeve 3. Design of Flange or depends on type of Coupling 4. Design of Key 5. Design of bolts or specific part in the type of Coupling(if needed) Note: Check Shear stress, Compressive stress or other required stresses. Only if those are less than permissible stress, the design is safe.
  • 166.
    In syllabus 1. Muffor sleeve coupling 2. Split muff coupling 3. Flange coupling 4. Marine type flange coupling 5. Bushed-pin type flexible coupling
  • 167.
    Rigid Couplings -Flanged Keyed to shaft Taper locked
  • 168.
    Flange coupling • Aflange coupling usually applies to a coupling having two separate cast iron flanges. • Each flange is mounted on the shaft end and keyed to it. • The faces are turned up at right angle to the axis of the shaft • Flange coupling are • 1.Unprotected type flange coupling • 2. Protected type flange coupling • 3. Marine type flange coupling
  • 169.
    Rigid Couplings NO relativemotion between the shafts. Precise alignment of the shafts Bolts in carry torque in shear. N = # of bolts. ) ( N D T 8 d d bc   
  • 170.
  • 172.
    • In anunprotected type flange coupling each shaft is keyed to the boss of a flange with a counter sunk key and the flanges are coupled together by means of bolts. • Generally, three, four or six bolts are used
  • 173.
  • 177.
    Design of Flangecoupling 1. Design of Shaft 2. Design of hub* 3. Design of Flange* 4. Design of Key* 5. Design of Bolts* Note: *Check induced Shear stress and/or induced Compressive stress. Only if those are less than permissible stress, the design is safe.
  • 179.
  • 183.
    Steps: 1. Shaft dia 2.Hub 3. Flange (Check stresses ) 4. Key (Check stresses ) 5. Bolt
  • 185.
    Steps: 1. Shaft dia 2.Hub 3. Flange (Check stresses ) 4. Key (Check stresses ) 5. Bolt
  • 186.
    Steps: 1. Shaft dia 2.Hub (Check stress) 3. Flange (Check stresses ) 4. Key (Check stresses ) 5. Bolt
  • 187.
    Steps: 1. Shaft dia 2.Hub (Check stress) 3. Flange (Check stresses ) 4. Key (Check stresses ) 5. Bolt
  • 188.
    Steps: 1. Shaft dia 2.Hub (Check stress) 3. Flange (Check stresses ) 4. Key (Check stresses ) 5. Bolt
  • 189.
    Steps: 1. Shaft dia 2.Hub (Check stress) 3. Flange (Check stresses ) 4. Key (Check stresses ) 5. Bolt
  • 190.
    Steps: 1. Shaft dia 2.Hub (Check stress) 3. Flange (Check stresses ) 4. Key (Check stresses ) 5. Bolt
  • 191.
    Steps: 1. Shaft dia 2.Hub (Check stress) 3. Flange (Check stresses ) 4. Key (Check stresses ) 5. Bolt
  • 194.
    Design procedures ofCouplings General Concepts 1. Design of Shaft (Dia) 2. Design of Hub/Sleeve 3. Design of Flange or depends on type of Coupling 4. Design of Key 5. Design of bolts or specific part in the type of Coupling(if needed) Note: Check Shear stress, Compressive stress or other required stresses. Only if those are less than permissible stress, the design is safe.
  • 195.
    In syllabus 1. Muffor sleeve coupling 2. Split muff coupling 3. Flange coupling 4. Marine type flange coupling 5. Bushed-pin type flexible coupling
  • 196.
  • 197.
    • In amarine type flange coupling, the flanges are forged integral with the shafts . • The flanges are held together by means of tapered head less bolts. • numbering from four to twelve depending upon the diameter of shaft. • Shaft diameter No. of bolts • 35 to 55 4 • 56 to 150 6 • 151 to 230 8 • 231 to 390 10 • Above 390 12
  • 198.
    • The otherproportions for the marine type flange coupling • Thickness of flange =d / 3 • Taper of bolt= 1 in 20 to 1 in 40 • Pitch circle diameter of bolts, D1= 1.6d • Outside diameter of flange, D2= 2.2d
  • 199.
    Design of Marinetype flange coupling 1.Design of Shaft 2.Design of Flange – Dimensions of Coupling (Before the design of flange starts) 3.Design of bolts
  • 201.
    Design procedure forMarine flange coupling
  • 205.
    1. Design ofShaft 2. Design of Flange Dimensions of Coupling (Before the design of flange starts) 3. Design of bolts
  • 206.
    1. Design ofShaft 2. Design of Flange Dimensions of Coupling (Before the design of flange starts) 3. Design of bolts
  • 207.
    1. Design ofShaft 2. Design of Flange Dimensions of Coupling (Before the design of flange starts) 3. Design of bolts
  • 208.
    1. Design ofShaft 2. Design of Flange Dimensions of Coupling (Before the design of flange starts) 3. Design of bolts
  • 209.
    1. Design ofShaft 2. Design of Flange Dimensions of Coupling (Before the design of flange starts) 3. Design of bolts
  • 210.
    Design procedures ofCouplings General Concepts 1. Design of Shaft (Dia) 2. Design of Hub/Sleeve 3. Design of Flange or depends on type of Coupling 4. Design of Key 5. Design of bolts or specific part in the type of Coupling(if needed) Note: Check Shear stress, Compressive stress or other required stresses. Only if those are less than permissible stress, the design is safe.
  • 211.
    In syllabus 1. Muffor sleeve coupling 2. Split muff coupling 3. Flange coupling 4. Marine type flange coupling 5. Bushed-pin type flexible coupling
  • 212.
  • 214.
    • A modificationof the rigid type of flange coupling. • The coupling bolts are known as pins. The rubber or leather bushes are used over the pins. • The two halves of the coupling are dissimilar in construction. • A clearance of 5 mm is left between the face of the two halves of the coupling.
  • 215.
    • the bearingpressure on the rubber or leather bushes and it should not exceed 0.5 N/mm2 Pin and bush design • l=Length of bush in the flange, • d 2=Diameter of bush, • pb=Bearing pressure on the bush or pin, • n=Number of pins, • D1=Diameter of pitch circle of the pins
  • 216.
    Pin and bushdesign • bearing load acting on each pin, • W = pb×d 2×l • ∴Total bearing load on the bush or pins • W × n= pb×d 2×l ×n • torque transmitted by the coupling= T= W × n × (D1 /2) T= pb×d 2×l ×n × (D1 /2)
  • 218.
    • Direct shearstress due to pure torsion in the coupling halve • τ=W/[ (π/4) (d 1 2 )] • maximum bending moment on the pin • M =W (l/2 +5mm) • bending stress σ= M / Z = W (l/2 +5mm)/ (π/32) (d 1 3)
  • 219.
    • Maximum principalstress = 1/2[σ +(σ+4τ2 ) 1/2] • maximum shear stress on the pin = 1/2(σ+4τ2 ) 1/2 • The value of maximum principal stress varies from 28 to 42 MPa
  • 235.
  • 236.
    Unit 2 Shaft and Coupling ShaftCoupling 1. Muff Coupling 2. Split muff coupling 3. Flange coupling 4. Marine type flange coupling 5. Bushed pin coupling Shafts Subjected to Axial Load in addition to Combined Torsion and Bending Loads (Need to draw Bending Moment Diagram) 1. Pulley 2. Gear 3. Pulley and Gear Modulus of Rigidity (Hollow shaft problem)