ΜΑΘΗΜΑΤΙΚΑ
Γ΄ Τάξης
Γενικού Λυκείου
Θετική και Τεχνολογική
Κατεύθυνση
ΛΥΣΕΙΣ ΤΩΝ ΑΣΚΗΣΕΩΝ
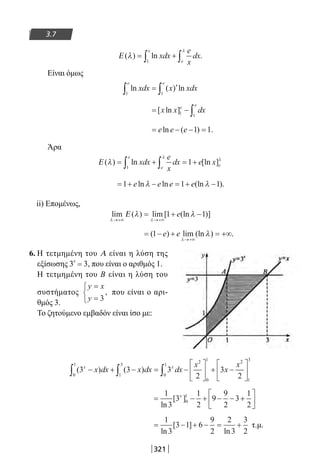
Η συγγραφή και η επιμέλεια του βιβλίου πραγματοποιήθηκε
υπό την αιγίδα του Παιδαγωγικού Ινστιτούτου
Η συγγραφή και η επιμέλεια του βιβλίου πραγματοποιήθηκε υπό την αιγίδα του Παιδαγωγικού Ινστιτούτου
22-0182-02.indd 1 21/2/2014 12:27:25 µµ
ΣΤΟΙΧΕΙΑ ΑΡΧΙΚΗΣ ΕΚ∆ΟΣΗΣ
ΣΤΟΙΧΕΙΑ ΕΠΑΝΕΚ∆ΟΣΗΣ
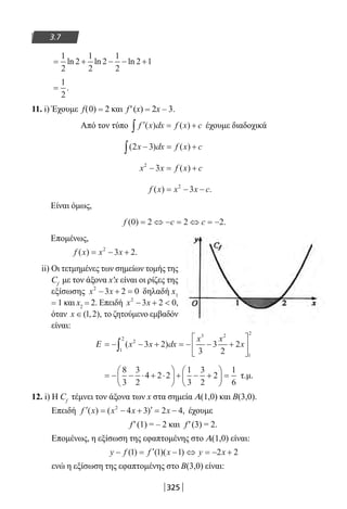
Η επανέκδοση του παρόντος βιβλίου πραγματοποιήθηκε
από το Ινστιτούτο Τεχνολογίας Υπολογιστών & Εκδόσεων
«Διόφαντος» μέσω ψηφιακής μακέτας, η οποία δημιουργή-
θηκε με χρηματοδότηση από το ΕΣΠΑ / ΕΠ «Εκπαίδευση
& Διά Βίου Μάθηση» / Πράξη «ΣΤΗΡΙΖΩ».
Οι αλλαγές που ενσωματώθηκαν στην παρούσα επανέκδοση έγιναν με βάση τις διορθώσεις του Παιδαγωγικού Ινστιτούτου.
22-0182-02.indd 2 21/2/2014 12:27:52 µµ
ΥΠΟΥΡΓΕΙΟ ΠΑΙΔΕΙΑΣ ΚΑΙ ΘΡΗΣΚΕΥΜΑΤΩΝ
ΠΟΛΙΤΙΣΜΟΥ ΚΑΙ ΑΘΛΗΤΙΣΜΟΥ
ΜΑΘΗΜΑΤΙΚΑ
Γ΄ Τάξης
Γενικού Λυκείου
Θετική και Τεχνολογική
Κατεύθυνση
ΛΥΣΕΙΣ ΤΩΝ ΑΣΚΗΣΕΩΝ
Ανδρεαδάκης Στυλιανός
Καθηγητής Πανεπιστημίου Αθηνών
Κατσαργύρης Βασίλειος
Καθηγητής Β/θμιας εκπαίδευσης
Μέτης Στέφανος
Καθηγητής Β/θμιας εκπαίδευσης
Μπρουχούτας Κων/νος
Καθηγητής Β/θμιας εκπαίδευσης
Παπασταυρίδης Σταύρος
Καθηγητής Πανεπιστημίου Αθηνών
Πολύζος Γεώργιος
Καθηγητής Β/θμιας εκπαίδευσης
ΙΝΣΤΙΤΟΥΤΟ ΤΕΧΝΟΛΟΓΙΑΣ ΥΠΟΛΟΓΙΣΤΩΝ ΚΑΙ ΕΚΔΟΣΕΩΝ «ΔΙΟΦΑΝΤΟΣ»
22-0182-02.indb 3 26/11/2013 4:08:42 μμ
ΓΙΑ ΤΟ ΜΑΘΗΤΗ
Το τεύχος που κρατάς έχει μια ιδιομορφία: σου δίνεται με τη σύσταση ν α μ η τ ο
διαβάσεις. τουλάχιστο με την έννοια που διαβάζεις ένα άλλο βιβλίο για να κατανοήσεις
το περιεχόμενό του.
Πράγματι, οι ασκήσεις που σου δίνει ο καθηγητής σου είναι για να εργαστείς μόνος.
Γιατί το να λύσεις μια άσκηση σημαίνει πολλές φορές όχι μόνο ότι έχεις κατανοήσει την
αντίστοιχη θεωρητική ύλη αλλά και ότι ξέρεις να τη χρησιμοποιήσεις για να δημιουργείς,
να ανακαλύπτεις ή να επιβεβαιώνεις κάτι καινούργιο. Και αυτό έχει ιδιαίτερη σημασία για
σένα τον ίδιο.Δεν μπορεί παρά να έχεις και συ τη φιλοδοξία να λύνεις μόνος χωρίς βοήθεια
τις ασκήσεις για να νιώθεις τη χαρά αυτής της δημιουργίας, της ανακάλυψης.
Πρέπει να ξέρεις ότι όταν δυσκολεύεσαι στη λύση μιας άσκησης, τις πιο πολλές φορές
υπάρχει κάποιο κενό στη γνώση της αντίστοιχης θεωρίας. Πήγαινε πίσω λοιπόν στο
διδακτικό βιβλίο κάθε φορά που χρειάζεται να εντοπίσεις και να συμπληρώσεις τέτοια
κενά. Οπωσδήποτε πριν καταπιαστείς με τη λύση των ασκήσεων πρέπει να αισθάνεσαι
κάτοχος της θεωρίας που διδάχτηκες.
Εκτός από την κατανόηση της θεωρίας μπορεί να βοηθηθείς στη λύση μιας άσκησης
από τα παραδείγματα και τις εφαρμογές που περιέχει το διδακτικό σου βιβλίο. Αν παρ’
όλα αυτά δεν μπορείς να προχωρήσεις, στο τέλος του βιβλίου σου θα βρεις μια σύντομη
υπόδειξη που ασφαλώς θα σε διευκολύνει.
Στις ελάχιστες περιπτώσεις που έχοντας εξαντλήσει κάθε περιθώριο προσπάθειας δε
βρίσκεται η πορεία που οδηγεί στη λύση της άσκησης, τότε και μ ό ν ο τότε μπορείς να
καταφύγεις σ’αυτό το τεύχος και μάλιστα για να διαβάσεις εκείνο το τμήμα της λύσης που
σου είναι απαραίτητο για να συνεχίσεις μόνος.
Ουσιαστικά λοιπόν δεν το ’χεις ανάγκη αυτό το τεύχος. Σου παρέχεται όμως για τους
εξής λόγους:
α) Για να μπορείς να συγκρίνεις τις λύσεις που εσύ βρήκες.
β) Για να σε προφυλάξει από ανεύθυνα «λυσάρια».
γ) Για να απαλλάξει τους γονείς σου από αντίστοιχη οικονομική επιβάρυνση.
δ) Για να έχεις εσύ και οι συμμαθητές σου την ίδια συλλογή ασκήσεων που είναι έτσι
επιλεγμένες, ώστε να εξασφαλίζουν την εμπέδωση της ύλης.
ε) Για να εργάζεσαι χωρίς το άγχος να εξασφαλίσεις οπωσδήποτε για κάθε μάθημα τις
λύσεις των ασκήσεων.
Το τεύχος που κρατάς είναι λοιπόν φίλος. Να του συμπεριφέρεσαι όπως σ’ έναν φίλο
που έχει δει πριν από σένα την ταινία που πρόκειται να δεις μη του επιτρέψεις να σου
αποκαλύψει την «υπόθεση» πριν δεις και συ το έργο. Μετά μπορείτε, να συζητήσετε. Η
σύγκριση των συμπερασμάτων θα είναι ενδιαφέρουσα και προπαντός επωφελής.
(Από το Τμήμα Μ.Ε. του Π.Ι.)
22-0182-02.indb 4 26/11/2013 4:08:42 μμ
Α΄ ΜΕΡΟΣ
ΑΛΓΕΒΡΑ
22-0182-02.indb 5 26/11/2013 4:08:42 μμ
22-0182-02.indb 6 26/11/2013 4:08:42 μμ
7
ΚΕΦΑΛΑΙΟ 1
ΠΙΝΑΚΕΣ - ΓΡΑΜΜΙΚΑ ΣΥΣΤΗΜΑΤΑ
1.1			 Α΄ ΟΜΑΔΑΣ
1. i) Ο πίνακας είναι τύπου 3 7× .
ii) Το στοιχείο α12
μας πληροφορεί ότι η ομάδα ΝΙΚΗ έχει 6 νίκες, ενώ το στοιχείο
α15
μας πληροφορεί ότι η ίδια ομάδα πέτυχε 13 τέρματα.
Το στοιχείο α24
μας πληροφορεί ότι η ομάδα ΘΥΕΛΛΑ έχει 3 ισοπαλίες.
Τέλος, το στοιχείο α37
μας πληροφορεί ότι η ομάδα ΔΑΦΝΗ έχει 11 βαθμούς.
2. Ο πίνακας A = [αij
] τύπου 4 4× σε ορθογώνια διάταξη είναι:
Α =







α α α α
α α α α
α α α α
α α α α
11 12 13 14
21 22 23 24
31 32 33 34
41 42 43 44 





.
Επειδή αij = −i j , έχουμε
α11 1 1 0= − = , α12 1 2 1= − = , α13 1 3 2= − = , α14 1 4 3= − =
α21 2 1 1= − = , α22 2 2 0= − = , α23 2 3 1= − = , α24 2 4 2= − =
α31 3 1 2= − = , α32 3 2 1= − = , α33 3 3 0= − = , α34 3 4 1= − =
α41 4 1 3= − = , α42 4 2 2= − = , α43 4 3 1= − = , α44 4 4 0= − =
Επομένως
Α =












0 1 2 3
1 0 1 2
2 1 0 1
3 2 1 0
.
22-0182-02.indb 7 26/11/2013 4:08:42 μμ
8
1.11.11.1
3. i) Η ισότητα ισχύει, αν και μόνο αν
2 1
0
2
2 1
x x
x y
x y
x y
− =
+ =
− =
+ =







.
Λύνουμε το σύστημα των δύο πρώτων εξισώσεων και βρίσκουμε ότι x = 1
και y = – 1.
Οι τιμές αυτές των x, y επαληθεύουν και τις άλλες δύο εξισώσεις.
Επομένως, οι πίνακες είναι ίσοι αν και μόνο αν, x = 1 και y = – 1.
ii) Η ισότητα ισχύει, αν και μόνο αν
x y
y
x x
y y
2
2
2
1
0
2
+ =
=
− + =
=







.
Λύνουμε το σύστημα των δύο πρώτων εξισώσεων και βρίσκουμε ότι
x
y
=
=



1
0
ή
x
y
= −
=



1
0
.
Οι τιμές αυτές των x, y δεν επαληθεύουν την τρίτη εξίσωση. Επομένως, δεν
υπάρχουν τιμές των x, y για τις οποίες οι πίνακες αυτοί να είναι ίσοι.
4. Ο πίνακας είναι διαγώνιος, αν και μόνο αν
2
2
ln 1 0 (ln 1 ή ln 1)
ln 1
(ln 1 ή ln 0)ln ln 0
x x x
x
x xx x
 − = = = −
⇔ ⇔ = ⇔ 
= =− = 
x = e.
5. Η ισότητα ισχύει, αν και μόνο αν
2
2 1
2 1
1
συν2 0
x=
x=
x=
x=
 ηµ

ηµ

εϕ

.
Η τρίτη εξίσωση εφx = 1 έχει στο [0,2π) λύσεις τις
4
π
,
5π
4
. Οι τιμές αυτές του
x επαληθεύουν και τις υπόλοιπες. Επομένως, οι πίνακες είναι ίσοι αν και μόνο
αν
π
x =
4
ή
π
x =
5
4
.
22-0182-02.indd 8 28/11/2013 1:12:10 μμ
9
1.2
1.2	 Α΄ ΟΜΑΔΑΣ
1. Έχουμε
i) Α Β+ =
−




 +
−





 =
−






5 2
1 3
6 3
2 5
11 1
1 8
Α Β− =
−




 −
−





 =
−




 +
− −
−





 =
− −5 2
1 3
6 3
2 5
5 2
1 3
6 3
2 5
1 5
33 2−






ii) Α Β+ =





 +





 =






6 7 8 9
5 6 7 8
5 6 7 8
6 7 8 9
11 13 15 17
11 13 15 17
Α Β− =





 −





 =
− − − −






6 7 8 9
5 6 7 8
5 6 7 8
6 7 8 9
1 1 1 1
1 1 1 1
iii) Α Β+ = + − − − =[ ] [ ] [ ]4 5 6 4 5 6 0 0 0
Α Β− = − − − − =[ ] [ ] [ ]4 5 6 4 5 6 8 10 12
iv) Δεν ορίζονται το άθροισμα και η διαφορά
v) Α Β+ =










+
− − −
− − −
− − −










=
α β γ
ω
κ λ µ
α β γ
ω
κ λ µ
x y y
1
1
1
x
1 0 00
0 1 0
0 0 1










.
2. Έχουμε
Α Α Α Α1 2 3 4
3 2
1 0
3 5
1 2
6 5
1 3
0 2
1
+ + + =
−




 +











 +
−
−





 +
− 33












=





 +
−




 =
−





0 7
2 2
6 7
0 0
6 14
2 2
.
3. Έχουμε
5 2
3 2
2 9
3 1
4 3
3 1
8 5
1 6
7 10
− −










+ −
−










=
−







x
y
ω

⇔
22-0182-02.indb 9 26/11/2013 4:08:42 μμ
10
1.11.2
⇔ − −
−










=
−









8 3
1 1
1 10
8 5
1 6
7 10
x
y
ω
5 3
1
1 7
x=6
y
ω − = 
 
⇔ − − ⇔ − 
 − = 
ω
x
y
= 8
= 7
= 8
.
4. Έχουμε
i) 5
2 1 3
1 4 1
3
1 2 6
0 5 3
10 5 15
5 20 5
3 6 18
0 15 9−





 +
−




 =
−





 +
−




 =
−
−






13 1 33
5 35 14
ii) 4
3 5 1
1 0 4
1
2
2 4 6
0 2 4
−




 −
−
−





 =
=
−




 +
− −
−





 =
−
−






12 20 4
4 0 16
1 2 3
0 1 2
11 18 1
4 1 18
iii) λ
λ λ λ
λ λ λ
λ λ λ
λ λ λ
−
−





 =
−
−








2
3
2
3
2 2 2
2 2 2
.
5. Έχουμε
i) 2 2
3 1
2 1
1 0
Α =
−









=
−









6 2
4 2
2 0
ii) 2 3 3 2 3
6 2
4 2
2 0
( ) ( )− = − = −
−









=
−
− −
−










Α Α
18 6
12 6
6 0
iii) 5 2 5
2 6
0 2
4 8
6 2
4 2
2 0
Β Α− =
−









−
−









=
−









+
−
− −
−










=
−
−
10 30
0 10
20 40
6 2
4 2
2 0
16 32
4 8
18 40








22-0182-02.indb 10 26/11/2013 4:08:43 μμ
11
1.2
iv) 3
1
2
3
3 1
2 1
1 0
1
2
2 6
0 2
4 8
Α Β− =
−









−
−









=
−









+
−
−
− −










=
−
−









9 3
6 3
3 0
1 3
0 1
2 4
10 6
6 2
1 4
.
6. i) Η εξίσωση γράφεται διαδοχικά
3
5 1
7 2
14 4
2 5
X +
−




 =
−
−






3
14 4
2 5
5 1
7 2
X =
−
−





 −
−





3
9 3
9 3
X =
−
−






X =
−
−






1
3
9 3
9 3
X =
−
−






3 1
3 1
ii) Η εξίσωση γράφεται διαδοχικά
6
1 2
3 4
7 5
3 1
2 2−





 − =
−
− −





X
− =
−
− −





 −
−





7 5
3 1
2 2
6
1 2
3 4
X
− =
−
− −





 +
− −
−





7
15 5
10 10
6 12
18 24
X
− =
− −
−





7
21 7
28 14
X
X = −
− −
−






1
7
21 7
28 14
X =
−






3 1
4 2
.
22-0182-02.indb 11 26/11/2013 4:08:43 μμ
12
1.2
7. Έχουμε
συν
συν ηµ
συν
ηµ
ηµ συν
συν ηµ
α
α α
α α
α
α α
α α
−




 +
−





 =
ηµ
=
−







+
−
συν ηµ συν
συν συν
ηµ ηµ συν
ηµ συν ηµ
2
2
2
2
α α α
α α α
α α α
α α αηµ








=
− +
− +






συν ηµ ηµ συν ηµ συν
συν ηµ συν συν ηµ
2 2
2 2
α α α α α α
α α α α α α
+
ηµ


=






1 0
0 1
, που είναι διαγώνιος πίνακας.
8. Έχουμε
2 5
14 8
21 13
2 5
2
3
14 8
21 13
X − =
−




 ⇔





 −
−
−





 =
−
Ψ
α β
γ δ
α β
γ δ 




⇔





 +
−
−





 =
−





2 2
2 2
5 10
5 15
14 8
21 13
α β
γ δ
α β
γ δ
⇔
−
−





 =
−





7 8
7 13
14 8
21 13
α β
γ δ
.
1.2			 Β΄ ΟΜΑΔΑΣ
1. Έχουμε
i)
1 2
0 1
3 1 1
1 02 2
−





 +
+




 =
−




 ⇔
x y y
x y
⇔
+ + +
−





 =
−





x y y
x y
1 3 2
1
1 1
1 02 2
⇔
+ + =
+ = −
=
− =







⇔
+ =
= −
= ±
= ±







⇔
x y
y
x
y
x y
y
x
y
1 1
3 2 1
1
1 0
0
1
1
1
2
2
xx
y
= 1
= 1−



22-0182-02.indb 12 26/11/2013 4:08:43 μμ
13
1.2
ii)
x x x y
y y
2
2
3
1
2 1
1
0 1
0 0
− +
−








+
−




 =





 ⇔
2
2
3 2 1 0 1
0 00
x x x y
y y
 − + + −  
⇔ =   
+    
2
2
3 2 0 ( 2 ή = 1)
1 1 2
( 0 ή 1)0
x x x x
x y x y
y y=y y
 − + = =
 
⇔ + − = ⇔ + = ⇔  
  = −+ = 
x
y
= 2
= 0
.
2. Η πρώτη εξίσωση γράφεται
3
3 0
0 3
3 0
0 3
3X Y Y X+ =





 ⇔ =





 − (1)
Η δεύτερη εξίσωση λόγω της (1) γράφεται
5 2
4 0
0 4
5 2
3 0
0 3
3
4 0
0 4
X Y X X+ =





 ⇔ +





 −





 =






⇔ +





 − =





5 2
3 0
0 3
6
4 0
0 4
X X
⇔ − =





 −





X
4 0
0 4
2
3 0
0 3
⇔ =





X
2 0
0 2
.
Επομένως, λόγω της (1) έχουμε
Y =





 −





 =





 +
−
−





 =
−
−



3 0
0 3
3
2 0
0 2
3 0
0 3
6 0
0 6
3 0
0 3


 .
3. Η εξίσωση γράφεται
3 2
1
2
5 3 3 2 5( )X X+ = +





 − ⇔ + = + −Β Α Β Χ Β Χ Α Β
⇔ − = − −3 2 5 3X X Α Β Β
⇔ = −2 2 8X Α Β
⇔ = −X Α Β4 .
22-0182-02.indb 13 26/11/2013 4:08:43 μμ
14
1.2
Επομένως
X =
−
−





 −
−
−








1 0 2
3 5 1
4
2
1
4
3
4
0 1 1
=
−
−





 +
− −
−





 =
− −
− −






1 0 2
3 5 1
8 1 3
0 4 4
9 1 5
3 1 3
.
4. Είναι
Π Π1 2
30 28 40
25 32 36
38 30 42
23 28 38
+ =





 +






68 58 82
48 60 74
 
=  
 
Φωτ. Μηχ. Βιντ. Τηλεορ.
υλικά
εργασία
oπότε
1 2
68 58 82 34 29 411 1
( )
48 60 74 24 30 372 2
Π Π
   
+ = =   
   
Φωτ. Μηχ. Βιντ. Τηλεορ.
υλικά
εργασία
Ο τελευταίος πίνακας δίνει για τη βιομηχανία το μέσο κόστος κάθε συσκευής.
5. i) Αν η παραγωγή αυξηθεί κατά 10%, τότε το ημερήσιο επίπεδο παραγωγής θα
δίνεται από τον πίνακα Β = 1,1∙Α.
Είναι
Β Α= ⋅ = ⋅





 =1 1 1 1
200 180 140 60
80 40 120 120
220 198 154 66
88 44 132
, ,
1132






ii) Για τους δύο πρώτους μήνες το επίπεδο παραγωγής δίνεται από τον πίνακα
2(30Α) = 60Α.
Για τους άλλους τρεις μήνες το επίπεδο παραγωγής δίνεται από τον πίνακα
3(30Β) = 90Β.
Επομένως, το σύνολο της παραγωγής ανά προϊόν για τους 5 μήνες δίνεται
από τον πίνακα
60 90 60
200 180 140 60
80 40 120 120
90
220 198 154 66
88 44 132
Α Β+ =





 +
1132






=






31800 28620 22260 9540
12720 6360 19080 19080
.
22-0182-02.indb 14 26/11/2013 4:08:43 μμ
15
1.3
1.3 			 Α΄ ΟΜΑΔΑΣ
1. Έχουμε
i) ΑΒ = [ ]










= ⋅ + ⋅ + ⋅[ ]=3 2 1
2
3
0
3 2 2 3 1 0 [ ]12
ΒΑ =










[ ]=
⋅ ⋅ ⋅
⋅ ⋅ ⋅
⋅ ⋅ ⋅









2
3
0
3 2 1
2 3 2 2 2 1
3 3 3 2 3 1
0 3 0 2 0 1
=










6 4 2
9 6 3
0 0 0
ii) ΑΒ =
−
−











 =
4 2
2 1
2 1
4 2
=
⋅ − ⋅ ⋅ − ⋅
− ⋅ + ⋅ − ⋅ + ⋅





 =






4 2 2 4 4 1 2 2
2 2 1 4 2 1 1 2
0 0
0 0
ΒΑ =






−
−






2 1
4 2
4 2
2 1
=
⋅ − ⋅ − +
⋅ + − − ⋅ +





 =
−
−






2 4 1 2 2 2 1
4 4 2 2 2 4 2
( )
( )
6 3
12 6
iii) ΑΒ =
−
−










−
−
−










=
− −
−
3 0 1
0 4 2
5 3 1
1 5 0
4 1 2
0 1 3
3 14 3
16 2 2
−− −









7 29 9
ΒΑ =
− −
−
−










−
−










=
− −1 5 0
4 1 2
0 1 3
3 0 1
0 4 2
5 3 1
3 20 11
2 10 −−
−










4
15 13 1
iv) ΑΒ =
− −






−










=
− −






4 2 1
3 1 3
2 1 3
0 1 2
4 7 1
4 13 17
18 17 8
.
Δεν ορίζεται το γινόμενο ΒΑ.
2. Έχουμε
i) ΑΒ =
−














 =
−









1 1
0 1
2 0
0 1 1
1 0 1
1 1 0
1 0 1
0 2 2
22-0182-02.indb 15 26/11/2013 4:08:43 μμ
16
1.3
ii) ΑΒ Γ− =
−









−
−









=


1 1 0
1 0 1
0 2 2
1 1 0
1 0 1
0 2 2
0 0 0
0 0 0
0 0 0








=
iii) ΑΒΓ ΑΒ Γ= =
−









−









=
−
−( )
1 1 0
1 0 1
0 2 2
1 1 0
1 0 1
0 2 2
2 1 1
1 3 22
2 4 6










.
3. Έστω Κ =






60 75
30 60
Ειδ. Ανειδ.
και Λ =






50
40
Ειδ.
Αποδ.
Ανειδ.
.
Επειδή οι αμοιβές στην α′ εταιρεία είναι 60∙50 + 75∙40 και στη β′ εταιρεία είναι
30∙50 + 60∙40, το σύνολο των αμοιβών των εργατών στις δύο εταιρείες εκφράζεται
με τον πίνακα
60 50 75 40
30 50 60 40
60 75
30 60
50
40
⋅ + ⋅
⋅ + ⋅





 =











 = ΚΛ.
4. i) Έχουμε
ΑΒ =






−
−





 =





 =
2 3
1 2
2 3
1 2
1 0
0 1
I.
Επομένως ο πίνακας Β είναι αντίστροφος του Α.
ii) Έχουμε
ΑΒ =
−
−
− −










− −
−
−










1 3 2
2 5 3
3 2 4
14 8 1
17 10 1
19 11 1
=
− + − + − − + −
− + − + − − + −
− − + +
14 51 38 8 30 22 1 3 2
28 85 57 16 50 33 2 5 3
42 34 76 24 220 44 3 2 4− + −










=










=
1 0 0
0 1 0
0 0 1
I.
Επομένως ο πίνακας Β είναι αντίστροφος του Α.
22-0182-02.indb 16 26/11/2013 4:08:43 μμ
17
1.3
5. Ο πίνακας Α αντιστρέφεται, αφού D=
2 3
1 2
4 3 1 0= − = ≠ , και έχει αντίστροφο
τον Α−
=
−
−






1 2 3
1 2
.
Ο πίνακας Β δεν αντιστρέφεται, αφού D = = − =
4 2
2 1
4 4 0.
Ο πίνακας Γ αντιστρέφεται, αφού
D = = ≠
συν
συν
συν ηµ
θ − θ
θ θ
θ θ
ηµ
ηµ
+ =1 02 2
,
και έχει αντίστροφο τον Γ −
=






1 συν
συν
θ θ
θ θ
ηµ
−ηµ
.
6. i) Είναι D =
−
= ≠
ηµ
ηµ
ηµ + =1 0
α α
α α
α α
συν
συν
συν2 2
, οπότε ο πίνακας
αντιστρέφεται και έχει αντίστροφο τον
ηµ
ηµ
ηµ
ηµ
α α
α α
α α
α α
−




 =
−






−
συν
συν
συν
συν
1
.
ii) Η εξίσωση γράφεται διαδοχικά
ηµ
ηµ
ηµ
ηµ
ηµ
ηµ
α α
α α
α α
α α
α α
α
συν
συν
συν
συν
συν
συν−






−




 =
−
X
αα
α α
α α





 −






συν
συν
ηµ
−ηµ
X =
−
− −






0
1 2
2 2
ηµ συν
ηµ συν
α α
α α
X =
−
− −






0
1 2
συν
ηµ
2α
α
.
1.3 Β΄ ΟΜΑΔΑΣ
1. i) Έχουμε
Α2
= xΑ + yI
1 2
2 4
1 2
2 4
1 2
2 4
1 0
0 1











 =





 +





x y
5 10
10 20
2
2 4
0
0





 =





 +






x x
x x
y
y
22-0182-02.indb 17 26/11/2013 4:08:44 μμ
18
1.3
5 10
10 20
2
2 4





 =
+
+






x y x
x x y
.
Από την τελευταία ισότητα των πινάκων παίρνουμε το σύστημα
x y
x
x y
+ =
=
+ =





⇔



5
2 10
4 20
x
y
= 5
= 0
.
ii) Η ισότητα A2
=xA + yΙ με x = 5 και y = 0 γίνεται:
Α2
=5Α.
Έτσι έχουμε:
Α Α Α ΑΑ Α Α Α3 2 2
5 5 5 5 25 25
1 2
2 4
= ⋅ = = = ⋅ = =





 =






25 50
50 100
και Α Α Α ΑΑ Α Α Α4 3 2
25 25 25 5 125= = = = ⋅ = =






125 250
250 500
.
2. Έχουμε: Α Α Α2 2 1
3 1
2 1
3 1
7 3
9 4
= ⋅ =
−
−






−
−





 =
−
−






Α Α Α3 2 7 3
9 4
2 1
3 1
23 10
30 13
= ⋅ =
−
−






−
−





 =
−
−





 .
Η δοθείσα ισότητα γράφεται:
23 10
30 13
20 10
30 10
0
0
−
−





 +
−
−





 +
−
−





 =
x
x
3 0
0 3
−
−





 =
x
x
x = 3.
3. Έχουμε:
2 1 1 1 0
0 0 0 1
X I
β β
α α     
= ⇔ =     
     
⇔
+







=






α α β
β
2
2
0
1 0
0 1
22-0182-02.indb 18 26/11/2013 4:08:44 μμ
19
1.3
2
2
1 1
1 1
0 ή
1 1
11
α α
α α
α β α β
β β
ββ
 = = ±
= = −  
⇔ + = ⇔ = − ⇔   
= − =   = ±= 
.
Επομένως, οι ζητούμενοι πίνακες είναι οι
1 1
0 1−





 και
−





1 1
0 1
.
4. i) Έχουμε
Α Α Α2
0 1 1
3 2 3
2 2 3
0 1 1
3 2 3
2 2 3
1 0 0
0 1 0= ⋅ =
−
−
−










−
−
−










=
00 0 1










= I.
Ομοίως έχουμε Β2
= Β∙Β = Ι
ii) Α Β− =
−
−
−










−
−
−
− −










=
− −
−
0 1 1
3 2 3
2 2 3
4 3 3
2 1 2
3 3 2
4 4 4
1 11 1
5 5 5−










και
Α Β+ =
−
−
−










+
−
−
− −










=
−
−
0 1 1
3 2 3
2 2 3
4 3 3
2 1 2
3 3 2
4 2 2
5 3 55
1 1 1−










.
Επομένως
( )Α Β− =
− −
−
−










⋅
− −
−
−










2
4 4 4
1 1 1
5 5 5
4 4 4
1 1 1
5 5 5
=
+ − − − + + −
− − + + − − − +
− − + + − −
16 4 20 16 4 20 16 4 20
4 1 5 4 1 5 4 1 5
20 5 25 20 5 25 20 −− +









5 25
=










=
0 0 0
0 0 0
0 0 0
22-0182-02.indb 19 26/11/2013 4:08:44 μμ
20
1.3
( )Α Β+ =
−
−
−










⋅
−
−
−










2
4 2 2
5 3 5
1 1 1
4 2 2
5 3 5
1 1 1
=
− − − + + − +
− − − + + − +
− + − − + − + +
16 10 2 8 6 2 8 10 2
20 15 5 10 9 5 10 15 5
4 5 1 2 3 1 2 5 1










=










=










=
4 0 0
0 4 0
0 0 4
4
1 0 0
0 1 0
0 0 1
4I
iii) Είναι Α Β2 2
− = και
( )( )Α Β Α Β+ − =
−
−
−










− −
−
−










=
−4 2 2
5 3 5
1 1 1
4 4 4
1 1 1
5 5 5
88 8 8
2 2 2
10 10 10
−
−
−










Άρα, Α Β Α Β Α Β2 2
− ≠ + −( )( ).
5. i) Είναι D =
− −
= − + = ≠
3 2
2 1
3 4 1 0, οπότε ο Α αντιστρέφεται και έχει αντίστροφο
τον Α−
=
− −





1 1 2
2 3
.
ii) Είναι Α Α+ =





 =−1 2 0
0 2
2I .
Άρα ( ) ( )Α Α+ = =−1
2 2ν ν ν
I I , με ν ∈*.
6. i) Έχουμε
Α Α Α2
( ) ( ) ( )x x x
x x x x
= ⋅ =
−





−





συν ηµ
ηµ συν
συν ηµ
ηµ συνx x x x
2 2
2 2
συν συν
συν συν
x x x x x x
x x+ x x x x
 συν − ηµ − ηµ − ηµ
=  
ηµ ηµ − ηµ +συν  
=
−




 =
συν ηµ
ηµ συν
2 2
2 2
2
x x
x x
xΑ( )
22-0182-02.indb 20 26/11/2013 4:08:44 μμ
21
1.3
Β Β Β2
( ) ( ) ( )x x x= ⋅ =
−





 −






ηµ συν
συν ηµ
ηµ συν
συν ηµ
x x
x x
x x
x x
2 2
2 2
2 συν
2 συν
x x x x
x x x x
 ηµ −συν ηµ
=  
− ηµ − συν +ηµ  
=
−
− −






συν ηµ
ηµ συν
2 2
2 2
x x
x x
= −
−




 = −
συν ηµ
ηµ συν
2 2
2 2
2
x x
x x
xΑ( )
ii) Έχουμε
Α2
(x) + Β2
(x) = Α(2x) – Α(2x) = .
iii) Η εξίσωση γράφεται διαδοχικά:
		 Α2
(x) – Β2
(x) = 2Ι
Α(2x) + Α(2x) = 2Ι
2Α(2x) = 2Ι
Α(2x) = Ι
συν ηµ
ηµ συν
2 2
2 2
1 0
0 1
x x
x x
−




 =





 .
Από την τελευταία ισότητα προκύπτει το σύστημα:
2 1
2 2
2 0
x
x
x=
κπ κ
συν =
⇔ = , ∈ ⇔ , ∈
ηµ
x = κπ κZ Z.
7. i) Είναι Μ Ν⋅ =




















0 6 0 6 0 2
1 0 9 0 3
1 5 1 2 0 4
5 6
6 7
4 5
, , ,
, ,
, , ,
Ο πίνακας ΜΝ εκφράζει το συνολικό κόστος παραγωγής για κάθε ένα από τα
τρία είδη παραγωγής και στα δύο εργοστάσια.
22-0182-02.indb 21 26/11/2013 4:08:44 μμ
22
1.3
ii) Το κόστος εργασίας για την παραγωγή μιας καρέκλας στο εργοστάσιο E1
είναι 11,6
ευρώ και το κόστος παραγωγής ενός πάγκου στο εργοστάσιο Ε2
είναι 8,8 ευρώ.
8. Έχουμε
Α Α Α2
1 1 3
5 2 6
2 1 3
1 1 3
5 2 6
2 1 3
= ⋅ =
− − −









 − − −










=
− − −










0 0 0
3 3 9
1 1 3
.
Α Α Α3 2
1 1 3
5 2 6
2 1 3
= ⋅ =
− − −









 − − −










0 0 0
3 3 9
1 1 3
=










=
0 0 0
0 0 0
0 0 0
.
Αν ν  3, τότε Αν
= Α3
∙Αν–3
= ∙Αν–3
= .
Β Β Β2
0 1 1
4 3 4
3 3 4
0 1 1
4 3 4
3 3 4
1 0 0
0 1 0= ⋅ =
−
−
−










−
−
−










=
00 0 1










= I
Β3
= Β2
∙Β = Ι∙Β = Β.
• Αν ν = 2ρ (άρτιος), τότε Βν
= Β2ρ
= (Β2
)ρ
= Ιρ
= Ι, ενώ
• Αν ν = 2ρ + 1 (περιττός), τότε Βν
= Β2ρ+1
= Β2ρ
∙Β = I∙Β = Β.
9. i) Είναι Α( )
( )
( )
( )
− =
−
−
−





 =
−
−





x
x
x
x x
x
x
1 1
1
1 1
1συν
ηµ
ηµ συν
ηµ
ηµ
.
Για να δείξουμε ότι Α–1
(x) = Α(–x), αρκεί να δείξουμε ότι ισχύει
Α(–x) Α(x) = I.
Έχουμε
Α Α( ) ( )− =
−
−











x x
x
x
x x
x
x
1 1
1
1 1
1συν
ηµ
ηµ συν
ηµ
ηµ
22-0182-02.indb 22 26/11/2013 4:08:44 μμ
23
1.3
=
−
− +








1 1 0
0 1
2
2
2
συν
ηµ
ηµx
x
x
=








=






1 0
0
1 0
0 12
2
2
συν
συν
συνx
x
x
ii) Η ισότητα Α(x) = I γράφεται:
Α( )x I
x
= ⇔





 =






1 1
1
1 0
0 1συν
ηµ
ηµ
x
x
⇔












=






1
1
1 0
0 1
συν
ηµ
συν
ηµ
συν συν
x
x
x
x
x x
⇔












=






1
1
1 0
0 1
συν
εϕ
εϕ
συν
x
x
x
x
⇔
=




⇔



⇔ = ∈
1
1
0
1
0
2συν
εϕ
συν
εϕ
x
x=
x=
x=
x κπ κ,  .
10.i) Έχουμε
Α Α( ) ( )x y
x x
x
y y
y
y x y
=




















=
+1
0 1 2
0 0 1
1
0 1 2
0 0 1
12 2 2
++ +
+










2
0 1 2 2
0 0 1
2
xy x
y x
=
+ +
+










= +
1
0 1 2
0 0 1
2
x y x y
x y x y
( )
( ) ( )Α
ii) Ο πίνακας Α(y) είναι αντίστροφος του Α(x), αν και μόνο αν
Α Α( ) ( )x y I x y y x= ⇔ + = ⇔ = −0 .
iii) Προφανώς Μ Α= =










( )1
1 1 1
0 1 2
0 0 1
22-0182-02.indb 23 26/11/2013 4:08:45 μμ
24
1.3
Επομένως −
− 
 − − 
  
Μ Α1
1 1 1
= ( 1) = 0 1 2
0 0 1
.
11. i) Είναι:
● Α ΑΑ2 1
1
1
1
= =
+
− −






+
− −






λ λ
λ λ
λ λ
λ λ
=
+ + − + − +
− − − − + +




λ λ λ λ λ λ λ
λ λ λ λ λ λ λ
2
2
1 1 1 1
1 1 1 1
( )( ) ( ) ( )
( ) ( ) ( )( ) 


=
+ −
− +








=





 =
λ λ
λ λ
2 2
2 2
1 0
0 1
1 0
0 1
I.
● Α3
= Α2
Α = Α
Επομένως
— Αν ν = 2λ (άρτιος), τότε Αν
= Α2λ
= (Α2
)λ
= Ι.
— Αν ν = 2λ + 1 (περιττός), τότε Αν
= Α2λ+1
= Α2λ
∙Α = Α
ii) Για λ = 2 έχουμε Α =
+
− −





 =
− −






2 1 2
1 2 2
2 3
1 2
.
Επειδή το 1993 είναι περιττός, έχουμε Α1993
= Α. Επομένως, η εξίσωση
Α1993 1 1
0 1
⋅ =
−





X γράφεται διαδοχικά:
ΑX =
−






1 1
0 1
X =
−






−
Α 1 1 1
0 1
X =
−





Α
1 1
0 1
(αφού Α–1
= Α)
X =
− −





 −






2 3
1 2
1 1
0 1
X =
−
−






2 1
1 1
22-0182-02.indb 24 26/11/2013 4:08:46 μμ
25
1.3
iii) Ι + Α + Α2
+ … + Α10
= Ι + Α + Ι + Α + Ι + Α + Ι + Α + Ι + Α + Ι = 6Ι + 5Α
12. i) Είναι D = = − = ≠
2 1
1 1
2 1 1 0, οπότε ο Α αντιστρέφεται και έχει αντίστροφο
τον − − 
=  − 
Α 1 1 1
1 2
ii) α) Η εξίσωση ΑX=
2 1
1 0
−




 γράφεται διαδοχικά:
X=Α− −





1 2 1
1 0
X=
1 1
1 2
2 1
1 0
−
−






−





X=
1 1
0 1
−




 .
β) Η εξίσωση
1 0
0 0
X =Α Α
 
 
 
γράφεται διαδοχικά:
X =ΑΑ − 





1 1 0
0 0
X=Α Α− −





1 11 0
0 0
X=
1 1
1 2
1 0
0 0
1 1
1 2
−
−












−
−






X=
1 0
1 0
1 1
1 2−






−
−






X=
1 1
1 1
−
−






22-0182-02.indb 25 26/11/2013 4:08:47 μμ
26
1.3
γ) Η εξίσωση ΑΧ = Α2
+2Α γράφεται διαδοχικά
ΑΧ = Α(Α + 2Ι)
Χ = Α–1
Α(Α +2Ι)
Χ = Α + 2Ι
X =





 +






2 1
1 1
2
1 0
0 1
X =






4 1
1 3
.
13. i) Έχουμε
Α2 1
2
1 3
3 1
1
2
1 3
3 1
1
4
2 2 3
2 3 2
=
−







⋅
−







=
− −
−








=
− −
−








1
2
1 3
3 1
,
οπότε
Α Α Α3 2 1
2
1 3
3 1
1
2
1 3
3 1
= =
− −
−








−







=
−
−





 = −





 = −
1
4
4 0
0 4
1 0
0 1
I .
Γενικά: 3 3 , άρτιοσ
( ) ( )
, περιττόσ
I
Iν ν ν ν
Α Α
Ι ν
αν
= = − = 
− αν
.
ii) Επειδή
1992 = 3∙664 και 1989 = 3∙663
έχουμε
Α1992
= (Α3
)664
= (–Ι)664
= Ι και Α1989
= (Α3
)663
= (–Ι)663
= –Ι.
Επομένως:
x x x I x I2 1992 1989 2
2 2Α Α+ + = ⇔ − + =( ) ( )
⇔ − − =( )x x I2
2
⇔ − − =( )x x2
2 0
⇔ = −x 1 ή x = 2.
22-0182-02.indb 26 26/11/2013 4:08:47 μμ
27
1.4
1.4 Α΄ ΟΜΑΔΑΣ
1. Οι γραμμικοί μετασχηματισμοί Τ1
, Τ2
και Τ3
έχουν πίνακες τους
1 1
1 1−





 ,
1 1
1 2





 και
1 2
2 4





 αντιστοίχως.
Έτσι
— Οι εικόνες των Α(1,0) και Β(0,1), ως προς τον Τ1
είναι τα σημεία Α′(1,–1) και
Β′(1,1) αντιστοίχως, που έχουν συντεταγμένες την πρώτη και δεύτερη στήλη του
πίνακα του γραμμικού μετασχηματισμού Τ1
.
— Οι εικόνες των Α(1,0) και Β(0,1) ως προς τον Τ2
είναι τα σημεία Α′(1,1) και
Β′(1,2) αντιστοίχως.
— Οι εικόνες των Α(1,0) και Β(0,1) ως προς τον Τ3
είναι τα σημεία Α′(1,2) και
Β′(2,4) αντιστοίχως.
2. i) T
x
y
x
y
1
1 1
2 3
:
′
′





 =
−











ii) T
x
y
x
y
2
1 2
1 1
:
′
′





 =
−











3. Είναι:
2 1
1 0
0
0
0
0−











 =





 και
2 1
1 0
3
4
10
3−











 =
−





 , οπότε η εικόνα του Ο(0,0)
είναι το σημείο Ο′(0,0) και του Α(3,4) το σημείο Α′(10,–3). Επομένως
( )ΟΑ = + =3 4 52 2
και ( )′ ′ = + =Ο Α 10 3 1092 2
,
οπότε ( ) ( )ΟΑ Ο Α≠ ′ ′ . Άρα, ο Τ δεν είναι ισομετρία.
4. Ο πίνακας του τετραπλεύρου Α′Β′Γ′Δ′ προκύπτει, αν πολλαπλασιάσουμε τον
πίνακα
2 1
1 1





 του γραμμικού μετασχηματισμού με τον πίνακα
0 1 1 0
0 0 1 1






του τετραγώνου ΑΒΓΔ. Είναι, δηλαδή, ο πίνακας
2 1
1 1
0 1 1 0
0 0 1 1
0 2 3 1
0 1 2 1











 =





 .
22-0182-02.indb 27 26/11/2013 4:08:48 μμ
28
1.4
Επομένως, η εικόνα του τετραγώνου
ΑΒΓΔ με πίνακα τον
0 1 1 0
0 0 1 1






είναι το τετράπλευρο Α′Β′Γ′Δ′ με
πίνακα τον
0 2 3 1
0 1 2 1





.
Οι ευθείες Α′Δ′ και Β′Γ′ έχουν
συντελεστές διεύθυνσης λ1
= 1 και
λ2
2 1
3 2
1=
−
−
= , αντιστοίχως. Είναι
δηλαδή λ1
= λ2
, οπότε Α′Δ′//Β′Γ′. Ομοίως, οι Α′Β′ και Δ′Γ′ έχουν συντελεστές λ3
1
2
=
και λ4
1
2
1
2
=
−
−
= αντιστοίχως. Είναι δηλαδή λ3
= λ4
, οπότε Α′Β′//Δ′Γ′. Επιπλέον
ισχύει λ λ2 3
1
2
1= ≠ − . Επομένως το Α′Β′Γ′Δ′ είναι πλάγιο παραλληλόγραμμο.
5. i) Ισχύει
0
5
1 1
3 2





 =












x
y
. Επομένως, αν πολλαπλασιάσουμε και τα δύο μέλη
με τον αντίστροφο του πίνακα
1 1
3 2





, που είναι ο πίνακας
−
−






2 1
3 1
, έχουμε:
1 1
3 2
0
5
2 1
3 1
0
5
1











 =





 ⇔
−
−











 =





−
x
y
x
y
⇔
−





 =






5
5
x
y
.
Άρα, το πρότυπο του Α′(0,5) είναι το σημείο Α(5,–5).
ii) Αρκεί να βρούμε την εξίσωση η οποία επαληθεύεται μόνο από τις συντεταγμένες
των εικόνων των σημείων της ευθείας ε.
Είναι:
′
′





 =











 ⇔






′
′





 =



−
x
y
x
y
x
y
x
y
1 1
3 2
1 1
3 2
1


 ⇔
−
−






′
′





 =






2 1
3 1
x
y
x
y
⇔
− ′ + ′ =
′ − ′ =



2
3
x y x
x y y
.
22-0182-02.indb 28 26/11/2013 4:08:48 μμ
29
1.4
Επομένως, αν το σημείο M(x,y) ανήκει στην ε, τότε θα ισχύει
y = x + 1
3x′ – y′ = – 2x′ + y′ + l
5x′ – 2y′ = 1.
Άρα το σημείο M′(x′,y′) θα ανήκει στην ευθεία ε′: 5x – 2y = 1.
Αλλά και αντιστρόφως, αν το σημείο M′(x′,y′) ανήκει στην ευθεία ε′: 5x – 2y
= 1, τότε το σημείο M(x,y) θα ανήκει στην ευθεία ε: y = x + 1.
Συνεπώς, η εικόνα της ευθείας ε: y = x + 1 είναι η ευθεία ε′: 5x – 2y = 1.
6. i) Ο πίνακας Α γράφεται Α =
−





 − −






−





 −














συν ηµ
ηµ συν
π π
π π
6 6
6 6



.
Επομένως, ο γραμμικός μετασχηματισμός παριστάνει στροφή με κέντρο την
αρχή των αξόνων Ο και γωνία θ
π
= −
6
.
ii) Παριστάνει ομοιοθεσία με κέντρο την αρχή των αξόνων Ο και λόγο λ = 2  0
iii) Παριστάνει το μετασχηματισμό που προκύπτει, αν εφαρμόσουμε πρώτα τη
συμμετρία ως προς άξονα την ευθεία y = x και στη συνέχεια τη συμμετρία ως
προς την αρχή των αξόνων Ο.
iv) Παριστάνει το μετασχηματισμό που προκύπτει, αν εφαρμόσουμε πρώτα την
ομοιοθεσία με κέντρο την αρχή των αξόνων Ο και λόγο λ = 2  0 και στη
συνέχεια τη συμμετρία ως προς κέντρο την αρχή των αξόνων Ο.
v) Παριστάνει το μετασχηματισμό που προκύπτει, αν εφαρμόσουμε πρώτα τη
συμμετρία ως προς άξονα την ευθεία y = x και στη συνέχεια τη συμμετρία ως
προς άξονα τον άξονα των x.
vi) Παριστάνει το μετασχηματισμό που προκύπτει, αν εφαρμόσουμε πρώτα τη
συμμετρία ως προς κέντρο την αρχή των αξόνων Ο, στη συνέχεια τη συμμετρία
ως προς άξονα τον άξονα των x και τέλος τη συμμετρία ως προς άξονα την
ευθεία y = x.
22-0182-02.indb 29 26/11/2013 4:08:48 μμ
30
1.4
1.4 Β΄ ΟΜΑΔΑΣ
1. i) Είναι
′ = +
′ = +



x x y
y x y
2
2 4
, οπότε y′ = 2x′.
Άρα, το σημείο M′(x′,y′) ανήκει στην ευθεία y = 2x. Επομένως, όλα τα σημεία
M(x,y) του επιπέδου απεικονίζονται σε σημεία της ευθείας y = 2x.
ii) Αν M(x,y) είναι ένα πρότυπο του Ο(0,0), τότε θα ισχύει
0
0
1 2
2 4
2 0
2 4 0





 =











 ⇔
+ =
+ =



x
y
x y
x y
⇔ + =x y2 0
⇔ = −y x
1
2
.
Άρα, τα πρότυπα του Ο(0,0) είναι όλα τα σημεία Μ x x,−






1
2
, y∈R, δηλαδή
όλα τα σημεία της ευθείας y x= −
1
2
.
iii) Το σημείο Α′(1,1) δεν έχει πρότυπο ως προς το μετασχηματισμό Τ, αφού
δεν ανήκει στην ευθεία y = 2x στην οποία απεικονίζονται όλα τα σημεία του
επιπέδου.
2. i) Ο μετασχηματισμός Τ δεν είναι ισομετρία αφού π.χ. για τα σημεία Α(1,0) και
Β(0,1) και τις εικόνες τους Α′(1,1) και Β′(–1,0) ισχύει
2 5= ≠ ′ ′ =( ) ( )ΑΒ Α Β .
ii) Έχουμε
Τ :
′
′





 =
−










 ⇔
′
′





 =
−





x
y
x
y
x
y
x y
x
1 1
1 0
⇔
′ = −
′ =



x x y
y x
		 (1)
Το μέσο του ΑΒ είναι το σημείο M(x0
,y0
) με
x
x x
0
1 2
2
=
+
και y
y y
0
1 2
2
=
+
.
Επομένως, η εικόνα του είναι το σημείο ′ ′ ′Μ ( , )x y0 0 με
22-0182-02.indb 30 26/11/2013 4:08:48 μμ
31
1.4
′ = − =
+
−
+
=
− + −
=
′ + ′
x x y
x x y y x y x y x x
0 0 0
1 2 1 2 1 1 2 2 1 2
2 2 2 2
( ) ( )
′ = =
+
=
′ + ′
y x
x x y y
0 0
1 2 1 2
2 2
.
Άρα, το ′ ′ ′Μ ( , )x y0 0 είναι το μέσο του Α′Β′.
iii) Έχουμε
Ε ΟΑ ΟΒΟΑΒ( ) det( , )= = = −
1
2
1
2
1
2
1 2
1 2
1 2 1 2 
x x
y y
x y y x
Ε Ο Α Ο ΒΟ Α Β( ) det( , )′ ′ ′ = ′ ′ ′ ′ =
− −1
2
1
2
1 1 2 2
1 2
 
x y x y
x x
= − − + = −
1
2
1
2
1 2 1 2 1 2 1 2 1 2 1 2x x y x x x x y x y y x .
Επομένως Ε ΕΟΑΒ Ο Α Β( ) ( )= ′ ′ ′ .
3. i) Έστω
Τ :
′
′





 =












x
y
x
y
α β
γ δ
ο ζητούμενος μετασχηματισμός. Τότε
y
y y= +
x x β
γx δ
α′ =

′
+
.
Επειδή το Α(1,1) απεικονίζεται στο Α′(0,1) και το B(1,–1) στο B′(2,1), έχουμε
α β
γ δ
α β
γ δ
+ =
+ =
− =
− =







0
1
2
1
οπότε α = 1, β = – 1, γ = 1 και δ = 0.
Επομένως,
Τ :
′
′





 =
−











x
y
x
y
1 1
1 0
.
22-0182-02.indb 31 26/11/2013 4:08:48 μμ
32
1.4
Για να βρούμε, τώρα, την εξίσωση της εικόνας της ευθείας ε: y = – 2x, αρκεί
να βρούμε την εξίσωση, η οποία επαληθεύεται μόνο από τις συντεταγμένες
των εικόνων των σημείων της ευθείας ε.
Είναι
′
′





 =
−










 ⇔
−





′
′





 =

−
x
y
x
y
x
y
x
y
1 1
1 0
1 1
1 0
1





⇔
−






′
′





 =





 ⇔
′ =
− ′+ ′ =



0 1
1 1
x
y
x
y
y x
x y y
.
Επομένως το M(x,y) ανήκει στην ε, αν και μόνο αν
y x x y y y x= − ⇔ − ′+ ′ = − ′ ⇔ ′ = ′2 2
1
3
.
Συνεπώς, η εικόνα της ευθείας y = – 2x είναι η ευθεία y x=
1
3
.
ii) Αν εργαστούμε αναλόγως, βρίσκουμε ότι ο μετασχηματισμός που απεικονίζει
τα σημεία Α(1,1) και Β(1,–1) στα Α′(6,3) και Β′(2,1) αντιστοίχως, είναι ο
Τ :
′
′





 =












x
y
x
y
4 2
2 1
οπότε θα έχουμε
′ = +
′ = +



x x y
y x y
4 2
2
.
Αν M(x,y) είναι ένα σημείο της ευθείας y = – 2x, τότε θα έχουμε
′ = + − =
′ = + − =



x x x
y x x
4 2 2 0
2 2 0
( )
( )
.
Επομένως, η ευθεία y = – 2x απεικονίζεται στο σημείο Ο(0,0).
22-0182-02.indb 32 26/11/2013 4:08:49 μμ
33
1.4
4. i) Από την ισότητα των τριγώνων ΟΒΜ και ΟΑ′Μ′ προκύπτει ότι
OB = OΑ′ και ΜΒ = Μ′Α′,
οπότε έχουμε
ΟΑ′ = ΟΒ και ΟΒ′ = ΟΑ.
Επομένως, είναι
x′ = – y και y′ = – x
οπότε το συμμετρικό του σημείου M(x,y), ως προς την ευθεία y = – x, είναι
το σημείο M′(–y, –x). Άρα
′ = −
′ = −



⇔
′ = ⋅ − ⋅
′ = − ⋅ + ⋅



⇔
′
′





 =
−
−


x y
y x
x x y
y x y
x
y
0 1
1 0
0 1
1 0









x
y
,
οπότε ο ζητούμενος μετασχηματισμός είναι ο
Τ :
′
′





 =
−
−












x
y
x
y
0 1
1 0
που είναι γραμμικός μετασχηματισμός με πίνακα
0 1
1 0
−
−





 .
ii) Από το διπλανό σχήμα έχουμε
′ =
′ =



⇔
′ = +
′ = +



x x
y
x x y
y x y0
1 0
0 0
⇔
′
′





 =












x
y
x
y
1 0
0 0
.
Επομένως, η προβολή πάνω στον
άξονα x′x είναι γραμμικός μετασχη-
ματισμός με πίνακα
1 0
0 0





 .
22-0182-02.indb 33 26/11/2013 4:08:49 μμ
34
1.4
iii) Από το διπλανό σχήμα έχουμε
′ =
′ =



⇔
′ = +
′ = +



x
y y
x x y
y x y
0 0 0
0 1
⇔
′
′





 =












x
y
x
y
0 0
0 1
.
Άρα, η προβολή πάνω στον άξονα y′y
είναι γραμμικός μετασχηματισμός με
πίνακα
0 0
0 1





 .
iv) Έστω Μ′(x′,y′) η προβολή του M(x,y)
στην ευθεία ε: y = x. Τότε θα ισχύει
′ = ′
⋅ = −



⇔
′ = ′
′ −
′ −
= −



′
y x
y x
y y
x x
MMλ λε 1 1
⇔
′ = ′
′− = − ′



y x
y y x x
⇔
′ = ′
′− = − ′



y x
x y x x
⇔
′ =
+
′ =
+






x
x y
y
x y
2
2
⇔
′
′





 =


















x
y
x
y
1
2
1
2
1
2
1
2
Άρα, η προβολή πάνω στην ευθεία ε: y = x είναι γραμμικός μετασχηματισμός
με πίνακα τον
1
2
1
2
1
2
1
2












=






1
2
1 1
1 1
.
22-0182-02.indb 34 26/11/2013 4:08:49 μμ
35
1.4
Όπως γνωρίζουμε, ο πίνακας της εικόνας ενός πολυγώνου προκύπτει, αν
πολλαπλασιάσουμε τον πίνακα του γραμμικού μετασχηματισμού με τον
πίνακα του πολυγώνου. Έτσι ο πίνακας της εικόνας του τετραγώνου με πίνακα
0 1 1 0
0 0 1 1





 είναι ο:
●
0 0 1 1
0 1 1 0
− −
− −





 , με τον γραμμ. μετασχηματισμό του (i)
●
0 1 1 0
0 0 0 0





 , με τον γραμμ. μετασχηματισμό του (ii)
●
0 0 0 0
0 0 1 1





 , με τον γραμμ. μετασχηματισμό του (iii)
●
0
1
2
1
1
2
0
1
2
1
1
2












, με τον γραμμ. μετασχηματισμό του (iv).
5. i) Αρκεί να βρούμε την εξίσωση η οποία επαληθεύεται μόνο από τις συντεταγμένες
των εικόνων των σημείων του κύκλου C: x2
+ y2
= 1.
Έχουμε
0
0 y = y
x
x
x x x x
yy y β
y
α α α
β
β
′
=′ ′ =       
= ⇔ ⇔       ′′ ′        =

Επομένως, το M(x,y) ανήκει στον κύκλο x2
+ y2
= 1, αν και μόνο αν
′




 +
′




 =
x y
α β
2 2
1
ή, ισοδύναμα,
′( )
+
′( )
=
x y
2
2
2
2
1
α β
.
Αυτό σημαίνει ότι το M(x,y) ανήκει στον κύκλο x2
+ y2
= 1, αν και μόνο αν το
M′(x′,y′) ανήκει στην έλλειψη
x y2
2
2
2
1
α β
+ = . Συνεπώς, η εικόνα του κύκλου
x2
+ y2
= 1 είναι η έλλειψη
x y2
2
2
2
1
α β
+ = .
22-0182-02.indb 35 26/11/2013 4:08:49 μμ
36
1.5 και 1.6
ii) Το τετράγωνο ΟΑΓΒ, που έχει πίνακα τον
0 1 1 0
0 0 1 1





 , με τον
μετασχηματισμό Τ έχει εικόνα το τετράπλευρο Ο′Α′Γ′Β′ με πίνακα
α
β
α α
β β
0
0
0 1 1 0
0 0 1 1
0 0
0 0











 =





 .
Επομένως, (Ο′Α′Γ′Β′) = αβ και επειδή (ΟΑΓΒ)
= 1, έχουμε (Ο′Α′Γ′Β′) = αβ(ΟΑΓΒ)
1.5 και 1.6 Α΄ ΟΜΑΔΑΣ
1. i)
2 3 5
1 2 1
1
2
−
−
















=
−






x
y
ω
ii)
1 1 0
3 2 6
0 1 3
2
12
6
−




















=










x
y
ω
.
2. i)
x y
x y
+ + − = −
+ + + =
+ − =





2 2 1
2 3 4 2
3 4 3 3
ω ϕ
ω ϕ
ω ϕx
	 ii)
x y
x y
x y
x y
− + = −
+ − =
+ − =
+ + =







3 2
2 3 1
3 2 3
4 2 3 1
ω
ω
ω
ω
.
Οι επαυξημένοι πίνακες αντίστοιχα είναι:
1 2 2 1
2 1 3 4
3 0 4 3
1
2
3
−
−
−









, 	
1 1 3
2 3 1
3 1 2
4 2 3
2
1
3
1
−
−
−
−













.
3. i)
x
y
=
= −
=





3
1
2ω
. Άρα το σύστημα έχει μοναδική λύση την ( , , ) ( , , )x y ω = −3 1 2 .
22-0182-02.indb 36 26/11/2013 4:08:49 μμ
37
1.5 και 1.6
ii)
x
y
x
y
+ =
− =



⇔
= −
= +



3 3
2 4
3 3
4 2
ω
ω
ω
ω
.
Άρα το σύστημα έχει άπειρο πλήθος λύσεων της μορφής
( , , ),3 3 4 2− + ∈ω ω ω ω R.
iii)
x y x y− =
=
=





⇔
= +
=
=





2
3
4
2
3
4
ω
ϕ
ω
ϕ
.
Άρα το σύστημα έχει άπειρο πλήθος λύσεων της μορφής ( , , , ),2 3 4+ ∈y y y R.
4. i) Σχηματίζουμε τον επαυξημένο πίνακα του συστήματος και έχουμε διαδοχικά
1 1
1 1 1
2 1 1
11
3
0
1 1 1
0 2 0
0 1 3
1
2
2
2 2 1
3 3 12
−
−










−
− − −
→ −
→ −
∼
Γ Γ Γ
Γ Γ Γ










→−
∼
Γ Γ2 2
1
2
1 1
0 1 0
0 1 3
1
1
1
2
1 1
0 1 0
0 0 3
11
1
3
3 3 2
− −
−
−









 −
−
−







→ +
∼
Γ Γ Γ


→−
∼
Γ Γ3 3
1
3
1 1 1
0 1 0
0 0 1
1
1
1
1 1 0
0 1 0
0 0 1
0
1
1
1 1 3 1
−










−










→ −
∼ ∼
Γ Γ Γ Γ →→ −Γ Γ1 2
1 0 0
0 1 0
0 0 1
1
1
1
−










Ο τελευταίος πίνακας αντιστοιχεί στο σύστημα
x
y
z
=
= −
=





1
1
1
.
Επομένως το σύστημα έχει μοναδική λύση την (x,y,z) = (1,–1,1).
22-0182-02.indb 37 26/11/2013 4:08:50 μμ
38
1.5 και 1.6
ii) Με τον αλγόριθμο του Gauss βρίσκουμε ότι ο ανηγμένος κλιμακωτός πίνακας
του συστήματος είναι:
1 0
2
3
0 1
1
3
0
1
3
1
3
0
−















0 0
Επομένως το σύστημα έχει άπειρο πλήθος λύσεων της μορφής
−





 ∈
2
3
+
1
3
,
1
3
+
1
3
,z z z z, R
iii)Με τον αλγόριθμο του Gauss βρίσκουμε ότι ο πίνακας του συστήματος είναι
ισοδύναμος με τον πίνακα:
1 2 1
0 1
3
5
0 0 0
2
7
5
5
−
−












.
Επομένως το σύστημα είναι αδύνατο.
5. i) Έχουμε:
1 1 1 2
2 1 1 1
1 2 2 1
2
1
3
1 1 1 2
0 3 3 3
0
2 2 1
3 3 1
2
− −
−










− − −
→ −
→ −
∼
Γ Γ Γ
Γ Γ Γ
11 1 3
2
3
1
2 2
1
3
−
−










→−
∼
Γ Γ
1 1 1 2
0 1 1 1
0 1 1 3
2
1
1
1 1 1 2
0 1 1 1
0 0 0 4
2
1
0
3 3 2
−









 −







→ −
∼
Γ Γ Γ



→−
∼
Γ Γ3 3
1
4
1 1 1 2
0 1 1 1
0 0 0 1
2
1
0
1 1 1 0
0 1 1 0
0 0 0 1
2
1
0
2 2 3
1 1 32










→ −
→ −
∼
Γ Γ Γ
Γ Γ Γ










→ −
∼
Γ Γ Γ1 1 2
1
0 1
0 0
1
1
0










22-0182-02.indb 38 26/11/2013 4:08:50 μμ
39
1.5 και 1.6
Ο τελευταίος πίνακας αντιστοιχεί στο σύστημα:
x
y z
x
y z
=
+ =
=





⇔
=
= −
=





1
1
0
1
1
0ω ω
.
Επομένως το σύστημα έχει άπειρο πλήθος λύσεων της μορφής (1, 1–z, z, 0),
z ∈R.
ii) Με τον αλγόριθμο του Gauss βρίσκουμε ότι ο ανηγμένος κλιμακωτός πίνακας
του συστήματος είναι:
Επομένως το σύστημα έχει άπειρο πλήθος λύσεων της μορφής
z R
iii) Με τον αλγόριθμο Gauss βρίσκουμε ότι ο πίνακας του συστήματος είναι
ισοδύναμος με τον πίνακα:
1 1 2 1
0 1
7
3
1
0 0 0 0
2
4
3
2
−
−
−












Επομένως το σύστημα είναι αδύνατο.
6. i) Έχουμε:
1 2
3 4
1 6
3 14
3
4
1
13
2 2 1
3 3 1
4 4 1
3
3−
− −














→ −
→ −
→ −
∼
Γ Γ Γ
Γ Γ Γ
Γ Γ Γ
11 2
0 10
0 8
0 8
2
5
4
4
2 2
1
10−
−
−
−














→−
∼
Γ Γ
1
0
0
0
2
1
8
8
3
1
2
4
4
1
0
0
0
2
1
0
0
3 3 2
4 4 2
8
8
− −
















→ +
→ −
∼
Γ Γ Γ
Γ Γ Γ
33
1
2
0
0
1 1 22
















→ −
∼
Γ Γ Γ
22-0182-02.indb 39 26/11/2013 4:08:50 μμ
40
1.5 και 1.6
1
0
0
0
0
1
0
0
2
1
2
0
0
















Επομένως το σύστημα έχει μοναδική λύση την ( , ) = 2,
1
2
x y





 .
ii) Με τον αλγόριθμο του Gauss βρίσκουμε ότι ο πίνακας του συστήματος είναι
ισοδύναμος με τον πίνακα:
1 3 1
0 7 3
0 7 3
0 0 0
1
2
2
2
−
−
−
−
−
−














.
Επομένως το σύστημα είναι αδύνατο.
1.5 και 1.6 Β΄ ΟΜΑΔΑΣ
1. Επειδή το σύστημα έχει ως λύση την (x, y, ω) = (1,–1,1) έχουμε:
α β γ
α γ
β γ
α β γ⋅ + − + ⋅ =
⋅ + − − ⋅ =
⋅ − − + ⋅ =





⇔
− + =1 1 1 0
1 2 1 1 1
3 1 1 1 3
0( )
( )
( )
αα γ
β γ
− =
+ =





3
0
.
Αν προσθέσουμε κατά μέλη τις δύο πρώτες εξισώσεις, βρίσκουμε:
2α – β = 3 (1)
Επίσης, αν προσθέσουμε κατά μέλη τη δεύτερη και τρίτη εξίσωση, βρίσκουμε:
α + β = 3 				 (2)
Αν τώρα προσθέσουμε κατά μέλη τις (1) και (2), βρίσκουμε ότι:
3 6 2α α= ⇔ = , οπότε β = 1 και γ = – 1.
Επομένως, (α, β, γ) = (2,1,–1).
2. Αφού η παραβολή διέρχεται από τα σημεία (1,0), (2,0) και (–1,6), πρέπει οι
συντεταγμένες των σημείων αυτών να επαληθεύουν την εξίσωσή της.Άρα, έχουμε
το σύστημα:
0
4 + 2β = 0
= 6
α β γ
α
α β γ
+ + =
+ γ



 − +
.
22-0182-02.indb 40 26/11/2013 4:08:50 μμ
41
1.5 και 1.6
Με τον αλγόριθμο του Gauss βρίσκουμε ότι ο ανηγμένος κλιμακωτός πίνακας
του συστήματος είναι:
1 0 0
0 1 0
0 0 1
1
3
2
−










Επομένως, α = 1, β = – 3, γ = 2 και η εξίσωση της παραβολής είναι y = x2
– 3x + 2.
Σχόλιο
Το σύστημα αυτό μπορεί να λυθεί και ως εξής:
Αφαιρούμε την πρώτη εξίσωση από τις άλλες δύο οπότε προκύπτει το σύστημα
3 0
2 6
α β
β
+ =
− =



.
Επομένως β = –3 και α = 1.
Με αντικατάσταση των τιμών των α, β στην πρώτη εξίσωση βρίσκουμε γ = 2.
3. Οι τρεις ισότητες αποτελούν σύστημα που έχει ως αγνώστους τους ημα, συνβ και
εφγ. Σχηματίζουμε τον επαυξημένο πίνακα του συστήματος και έχουμε διαδοχικά:
2
4
2
4
2
1
1
1
1
2
3 3 1
1
2
4
2
2
2
1
1
2
1
1
11
3 3
1 1
1
2
−
−
−
−














−
−−
−
−
→
∼
Γ Γ
11
1
2
2 2 1
3 3 1
4
2
















→ −
→ −
∼
Γ Γ Γ
Γ Γ Γ
1
0
0
2
10
3
1
2
3
0
1
3 3 5
3
2
1
0
0
2
3
10
1
2
0
3
2 3
−
−
−−
−
−
















−
−
−
↔
∼
Γ Γ
1
3
2
3 3 5
2 2
1
3
−
−
















→−
∼
Γ Γ
1
0
0
2
1
10
1
2
0
3
1
1
2
3 3 5
1
0
0
2
1
0
1
2
0
3
3 3 210
−
−−
−
−
−
















−
→ +
∼
Γ Γ Γ
11
1
2
3 3
3 3
1
3
















→
∼
Γ Γ
22-0182-02.indb 41 26/11/2013 4:08:51 μμ
42
1.5 και 1.6
1
0
0
2
1
0
1
2
0
1
1
1
2
3
1
0
0
2
1
0
0
0
1
1
1
+
2
2
3
3
1 1 3
1
2
−


















→ +
∼
Γ Γ Γ









→ −
∼
Γ Γ Γ1 1 22
1
0
0
0
1
0
0
0
1
3
2
1
2
3


















Επομένως,
ηµ
συν
εϕ
α
β
γ
=
=
=









3
2
1
2
3
και επειδή 0
2
 α β γ
π
, , έχουμε α β γ
π
= = =
3
.
4. Η εξίσωση ΑΧ = 4Χ γράφεται:
2 2 3 2 2 3 4
1 2 1 4 2 4
2 2 1 2 2 +ω 4
x x x y x
y y x y y
x y
ω
ω
ω ω ω
+ +         
         = ⇔ + + =         
         − −         
.
Από την ισότητα των πινάκων έχουμε το σύστημα:
2 2 3 4
2 4
2 2 4
2 2 3 0
2 0
2
x y x
x y y
x y
x y
x y
x
+ + =
+ + =
− + =





⇔
− + + =
− + =
−
ω
ω
ω ω
ω
ω
22 3 0y − =




 ω
⇔
− − =
− + =



2 2 3 0
2 0
x y
x y
ω
ω
.
Αν αφαιρέσουμε κατά μέλη τις εξισώσεις βρίσκουμε ότι x = 4ω, οπότε y =
5
2
ω
.
Επομένως το σύστημα έχει άπειρο πλήθος λύσεων της μορφής ∈
ω5
2
R.
22-0182-02.indb 42 26/11/2013 4:08:51 μμ
43
1.5 και 1.6
5. Οι ζητούμενοι πίνακες Χ είναι της μορφής
x y
z ω





 .
Επομένως, η εξίσωση ΑΧ = ΧΑ γράφεται διαδοχικά:
1 1
2 2
1 1
2 2
−
−





 ⋅





 =





 ⋅
−
−






x y
z
x y
zω ω
x y z
x y z
x y x y
z z
− −
− −





 =
+ − −
+ − −






ω
ω ω ω2 2 2 2
2 2
2 2
.
Από την τελευταία ισότητα των πινάκων προκύπτει το σύστημα:
x x y
y z x y
x z
y z z
y
x y
− = +
− = − −
− = +
− = − −







⇔
− − =
+ −
ω
ω ω
ω
ω2
2
2 2 2
2 2 2
2 0
3 zz
x z
y
=
− − =
+ =







0
2 3 2 0
2 0
ω
ω
⇔
− − =
+ − =
− − =





2 0
3 0
2 3 2 0
y
x y z
x z
ω
ω
Με τον αλγόριθμο του Gauss βρίσκουμε ότι ο ανηγμένος κλιμακωτός πίνακας
του συστήματος είναι:
1 0
3
2
1
0 1
1
2
0
0 0 0 0
0
0
0
− −


















Επομένως, το σύστημα έχει άπειρο πλήθος λύσεων της μορφής
3
2
1
2
ω ω ω ω+ −





 ∈z z z, , , , , R.
Άρα, οι ζητούμενοι πίνακες είναι της μορφής
3
2
+
1
2
ωω ωω
ωω
ωω
z
z
z
−








∈, , R.
22-0182-02.indb 43 26/11/2013 4:08:51 μμ
44
1.5 και 1.6
6. i) Σχηματίζουμε τον επαυξημένο πίνακα του συστήματος και έχουμε διαδοχικά
1 1 1
1 2 4
1 4 10
1 1 1 1
0 1 3
0 3 9
1
1
12 2
α
α
α
α










−
−










∼
∼
1 1 1
0 1 3
0 0 0
1
1
3 22
α
α α
−
− +










● Αν α α2
3 2 0− + ≠ , δηλαδή αν α ≠ 1 και α ≠ 2 , τότε το σύστημα είναι
αδύνατο.
● Αν α = 1, τότε ο τελευταίος επαυξημένος πίνακας γράφεται διαδοχικά:
1 1 1
0 1 3
0 0
1
0
00
1 0 2
0 1 3
0 0 0
1
0
0










−









∼
Επομένως, για α = 1 το σύστημα έχει άπειρο πλήθος λύσεων της μορφής
ω ω ω ω .
● Αν α = 2, τότε ο τελευταίος επαυξημένος πίνακας γράφεται διαδοχικά:
1 1 1
0 1 3
0 0 0
1
1
0
1 0 2
0 3
0 0 0
0
11
0










−









∼
Επομένως, για α = 2 το σύστημα έχει άπειρο πλήθος λύσεων της μορφής
,(2 1 3 , ), R.
ii) Σχηματίζουμε τον επαυξημένο πίνακα του συστήματος και έχουμε διαδοχικά:
1 1 1
1 2 3
1 2
6
10
1 1 1
0 1 2
0 1 1
6
4
6λ µ λ µ









 − −










∼
1 1 1
0 1 2
0 0 3
6
4
10λ µ− −










(1)
22-0182-02.indd 44 28/11/2013 1:13:14 μμ
45
1.5 και 1.6
● Αν λ ≠ 3, από τη μορφή (1) του επαυξημένου πίνακα έχουμε διαδοχικά:
1
0
0
1
1
0
1
2
1
6
4
10
3
1
0
0
1
1
0
0
0
1
6 8
3
4 2 8
µ
λ
λ µ
λ
λ µ
−
−












− −
−
− +
∼
λλ
µ
λ
−
−
−















3
10
3
∼
1
0
0
1
1
0
0
0
1
2 16
3
4 2 8
3
10
3
λ µ
λ
λ µ
λ
µ
λ
+ −
−
− +
−
−
−


















Επομένως, αν λλ ≠ 33 το σύστημα έχει μοναδική λύση την
2 16
3
4 2 8
3
10
3
λ µ
λ
λ µ
λ
µ
λ
+ −
−
− +
−
−
−





, , .
●Αν λ = 3 και µ ≠ 10, τότε από τη μορφή (1) του επαυξημένου πίνακα προκύπτει
ότι το σύστημα είναι αδύνατο.
● Αν λ = 3 και μ = 10, τότε το σύστημα είναι συμβιβαστό και από τη μορφή
(1) του επαυξημένου πίνακα έχουμε διαδοχικά:
1 1 1
0 1 3
0 0 0
1
1
0
1 0 1
0 1 2
0 0 0
2
4
0










−









∼
Επομένως, το σύστημα έχει άπειρο πλήθος λύσεων της μορφής
R.
iii) Αν προσθέσουμε κατά μέλη τις δύο πρώτες εξισώσεις βρίσκουμε
2x + (κ +1)y = κ + 1.
Επομένως, το σύστημα είναι ισοδύναμο με το
x y
x y
x y
+ =
+ + = +
+ + =





1
2 1 1
2 1 3
( )
( )
κ κ
κ
.
22-0182-02.indd 45 28/11/2013 1:14:12 μμ
46
1.7
● Αν κ κ+ ≠ ⇔ ≠1 3 2, το σύστημα είναι αδύνατο.
● Αν κ κ+ = ⇔ =1 3 2, τότε το σύστημα γράφεται:
x y
x y
x y
x y
x y
+ =
+ =
+ =





⇔
+ =
+ =



1
2 3 3
2 3 3
1
2 3 3
.
Από την επίλυση του τελευταίου συστήματος βρίσκουμε x = 0 και y = 1. Άρα
το σύστημα έχει μοναδική λύση την (0,1).
1.7 Α΄ ΟΜΑΔΑΣ
1. i)
30 5 0
0 2 3
0 0 50
30 2 50 3000− = − = −( )( )
ii)
e
e e
e
e e
e e
2
3
2
3
3 3
1 5
0 0 1
8
1
0= − = − − =( )
iii)
ηµ συν
συν ηµ
ηµ συν
συν ηµ
ηµ συν
θ θ
θ θ
θ θ
θ θ
θ θ
2
0 1 0
2
1 12 2
−
=
−
= + =
iv)
1 1 1
0
0
1
2 2
2 2
2 2
α β
α β
α β
α β
αβ βα αβ β α= = − = −( )
v)
1 1 1
1 0 5
1 0 2
1
1 5
1 2
2 5 10 1log
log
( )
log
log
(log log ) log
−
= −
−
= − + = − = −
vi)
e
e e
e
e e
e e
0 1
1 1 1
0
1
1
0
2
2
2 2
= = − = .
22-0182-02.indb 46 26/11/2013 4:08:52 μμ
47
1.7
2. i) Η εξίσωση
x
x
x
−
− =
1 1 1
2 1
0 1
0 γράφεται διαδοχικά:
( )x
x
x x
−
−
− =1
1
1
2
1 1
1
0
( )( ) ( )x x x− + − − =1 1 2 1 02
( )( )x x− + − =1 1 2 02
( )( )x x− − =1 1 02
( ) ( )x x− + =1 1 02
,
οπότε x = l ή x = – l
ii) Η εξίσωση γράφεται διαδοχικά
x
x
x
x x
x
x1
3
1
3
1
1
3 3
0− − =
x x x x x x( ) ( ) ( )− − − − − =3 3 3 3 02
− − + − + =2 3 3 3 02 2
x x x x
− + =3 3 02
x
x2
1=
οπότε x = –1 ή x = 1.
iii) Η εξίσωση γράφεται διαδοχικά
x
x
x
x
x x
x x
x
3
1
3
2
1
0− + =
x x x x x x( ) ( ) ( )2 2 2
3 3 2 0− − − + − =
x x x x x x3 2 2
3 3 2 2 0− − + + − =
x x x3 2
3 2 0− + =
x x x( )2
3 2 0− + = ,
οπότε x = 0, 1, 2.
22-0182-02.indb 47 26/11/2013 4:08:52 μμ
48
1.7
iv) Η εξίσωση γράφεται διαδοχικά
1
1 1
1 1
1
1
1
1
1
1
02 2
−
−
−
+ =
ηµ
ηµ
ηµ
ηµ
x
x
x
x
2 02 2
− + − =( ) ( )ηµ ηµ ηµ ηµx x x x+
2 02 2
− − + − =ηµ ηµ ηµ ηµx x x x
2 2 02
− =ηµ x
ηµ2
1x =
ηµx =1 ή ηµx = −1
x = +2
2
κπ
π
ή x = −2
2
κπ
π
, κ ∈.
3. i) Είναι: D =
−
−
= − =
5 2
1 3
15 2 13.
Επειδή 0D ≠ , το σύστημα έχει μοναδική λύση.
Βρίσκουμε τις ορίζουσες Dx
και Dy
. Έχουμε
Dx =
− −
−
= −
4 2
7 3
26 και Dy =
−
− −
= −
5 4
1 7
39.
Επομένως, x
D
D
x
= = − = −
26
13
2, y
D
D
y
= = − = −
39
13
3.
ii) Έχουμε D = −
−
=
3 4 4
4 4 4
6 6 0
252.
Επειδή 0D ≠ , το σύστημα έχει μοναδική λύση.
Υπολογίζουμε τις ορίζουσες Dx
, Dy
και Dω
και βρίσκουμε Dx
= 252, Dy
= 126
και Dω
= 378.
Επομένως, x
D
D
x
= = =
252
252
1, y
D
D
y
= = =
126
252
1
2
, ω ω
= = =
D
D
378
252
3
2
.
iii) Είναι D = − = ≠
2 3 4
1 1 1
7 1 1
46 0.
22-0182-02.indb 48 26/11/2013 4:08:52 μμ
49
1.7
Το σύστημα είναι ομογενές και αφού 0D ≠ έχει μοναδική λύση τη μηδενική
(0,0,0).
iv) Είναι D = = − = ≠
2 1
3 2
4 3 1 0
D1
1 1
2 2
0= = και D2
2 1
3 2
1= = .
Επομένως, το σύστημα έχει μοναδική λύση την
ηµx
D
D
= = =1 0
1
0, συνx
D
D
= = =2 1
1
1.
Επειδή x ∈[ , )0 2π οι τιμές του x για τις οποίες συναληθεύουν οι εξισώσεις
ημx = 0 και συνx = 1 είναι μόνο η x = 0.
4. i) To σύστημα έχει και μη μηδενικές λύσεις, αν και μόνο αν
2 1 0
1 1
1 3 1
0 2
1
3 1
1 1
1 1
0
−
− −
−
= ⇔ −
−
−
−
−
−
=
κ
κ
κ
κ
κ
κ κ
( )
⇔ − − + − − − + − =( )( ) ( )2 3 1 1 02
κ κ κ κ
⇔ − − − − − =( )( ) ( )2 3 2 02
κ κ κ κ
⇔ − − − + =( )( )2 3 1 02
κ κ κ
⇔ − − − =( )( )2 2 02
κ κ κ
⇔ κ = 2 ή κ = – 1
ii) Το σύστημα έχει και μη μηδενικές λύσεις, αν και μόνο αν
κ
κ
κ
κ κ κ κ
1 1
1 1
1 1
0 1 1 1 02
= ⇔ − − − + − =( ) ( ) ( )
⇔ − + − − − − =κ κ κ κ κ( )( ) ( ) ( )1 1 1 1 0
⇔ − + − =( )( )κ κ κ1 2 02
⇔ =κ 1 ή κ = – 2.
22-0182-02.indb 49 26/11/2013 4:08:53 μμ
50
1.7
1.7 B΄ ΟΜΑΔΑΣ
1.i) Έχουμε D = = − − −
1 1 1
1
2 2
2 1κ κ
κ
κ κ( )( ). Επομένως:
Όταν ≠κ 1και 2≠κ το σύστημα έχει μοναδική λύση. Υπολογίζουμε τις ορίζουσες
Dx
, Dy
, Dω
.
Έχουμε Dx = + =
1 1 1
1 1
2 2 2
0κ κ , Dy = + = −
1 1 1
1 1
2 2
2κ κ
κ
κ κ( )
και Dω κ κ κ
κ
κ= + = −
1 1 1
1
2 2
2.
Άρα, η λύση του συστήματος είναι η τριάδα (x,y,ω) με:
x
D
D
x
= =
− − −
=
0
2 1
0
( )( )κ κ
,
y
D
D
y
= =
−
− − −
=
−
κ κ
κ κ
κ
κ
( )
( )( )
2
2 1 1
,
ω
κ
κ κ κ
ω
= =
−
− − −
=
−
D
D
2
2 1
1
1( )( )
.
● Όταν κ = 1 το σύστημα γράφεται:
x y
x y
x y
+ + =
+ + =
+ + =





ω
ω
ω
1
2
2 2 2
το οποίο προφανώς είναι αδύνατο.
● Όταν κ = 2 το σύστημα γράφεται:
x y
x y
x y
x y
x y
+ + =
+ + =
+ + =





⇔
+ + =
+ + =



ω
ω
ω
ω
ω
1
2 2 3
2 2 2 2
1
2 2 3
.
22-0182-02.indb 50 26/11/2013 4:08:53 μμ
51
1.7
Σχηματίζουμε τον επαυξημένο πίνακα του συστήματος και έχουμε διαδοχικά:
1 1 1
2 2 1
1
3
1 1 1
0 0 1
1
1
1 1 0
0 0 1
2
1






−






−





∼ ∼
Επομένως, το σύστημα έχει άπειρο πλήθος λύσεων της μορφής
(2 , , 1),− − ∈y y y R.
ii) Έχουμε D =
−
= − + −
λ
λ λ
λ
λ λ
1 1
1
3 3
3 1 1( )( ).
Επομένως
● Όταν ≠λ 1 και ≠ −λ 1 το σύστημα έχει μοναδική λύση. Υπολογίζουμε τις
ορίζουσες Dx
, Dy
, Dω
.
Έχουμε: Dx =
−
− = − +
1 1 1
1 1
1 3
1 4λ λ
λ
λ λ( )( ) ,
Dy =
−
− = − + −
λ
λ λ λ
λ
λ λ λ
1 1
1
3 1
2 3 12
( )( )
και Dω
λ
λ λ λ λ= − = − − −
1 1
1 1
3 3 1
3 2 1( )( )
x
D
D
x
= =
− +
− + −
=
+
+
( )( )
( )( ) ( )
1 4
3 1 1
4
3 1
λ λ
λ λ
λ
λ
,
y
D
D
y
= =
− + −
− + −
=
− +
+
( )( )
( )( ) ( )
λ λ λ
λ λ
λ λ
λ
2 2
2 3 1
3 1 1
2 3
3 1
και ω
λ λ
λ λ
λ
λ
ω
= =
− − −
− + −
=
−
+
D
D
3 2 1
3 1 1
2
1
( )( )
( )( )
.
● Όταν λ = 1, το σύστημα γίνεται:
x y
x y
x y
+ − =
+ + =
+ + =





ω
ω
ω
1
0
3 3 1
.
22-0182-02.indb 51 26/11/2013 4:08:53 μμ
52
1.7
Αν αφαιρέσουμε κατά μέλη τις δύο πρώτες εξισώσεις, βρίσκουμε ω = −
1
2
, οπότε
το σύστημα είναι ισοδύναμο με την εξίσωση x y+ =
1
2
, που γράφεται x y= −
1
2
.
Άρα, το σύστημα έχει άπειρο πλήθος λύσεων της μορφής
1
2
, ,
1
2
,





y y R.
• Όταν λ = –1, το σύστημα γίνεται:
− + − =
− + − = −
+ − =





x y
x y
x y
ω
ω
ω
1
2
3 3 1
το οποίο προφανώς είναι αδύνατο.
2. Το σύστημα
(y ω) 0
2
0
x
x y
x y
λ
λ ω
λ ω
+ + =

+ =
 + + =
γράφεται ισοδύναμα
λω 0
2 0
0
x y
x y
x y
λ
λ ω
λ ω
+ =+

+ − =
 + + =
.
Έχουμε D = − = − +
1
2 1
1 1
3 1 1
λ λ
λ
λ
λ λ( )( ) .
Επομένως:
● Αν ≠λ 1 και ≠ −λ 1 το σύστημα έχει μοναδική λύση τη μηδενική (0,0,0).
● Αν λ = 1, το σύστημα γίνεται:
x y
x y
x y
x y
x y
+ + =
+ − =
+ + =





⇔
+ + =
+ − =



ω
ω
ω
ω
ω
0
2 0
0
0
2 0
.
Σχηματίζουμε τον επαυξημένο πίνακα του συστήματος και έχουμε διαδοχικά:
1 1 1
1 2 1
0
0
1 1 1
0 1 2
0
0
1 0 3
0 1 2
0
0−






−






−





∼ ∼
Επομένως, το σύστημα έχει άπειρο πλήθος λύσεων της μορφής
R.
● Αν λ = – 1, το σύστημα γίνεται:
x y
x y
x y
x y
x y
− − =
− + − =
− + + =





⇔
− − =
− + − =



ω
ω
ω
ω
ω
0
2 0
0
0
2 0
.
22-0182-02.indb 52 26/11/2013 4:08:54 μμ
53
1.7
Με πρόσθεση κατά μέλη βρίσκουμε y = 2ω. Επομένως, το σύστημα έχει άπειρο
πλήθος λύσεων της μορφής
∈(3 2 R
3. i) Παίρνουμε τις ευθείς ε1
, ε2
και σχηματίζουμε το σύστημα:
ε
ε
1
2
2 1
2 1
:
:
x y
x y
+ = −
+ =



.
Το σύστημα αυτό έχει ορίζουσα
1 2
2 1
3 0= − ≠
και άρα έχει μοναδική λύση την (1,–1), που σημαίνει ότι οι ευθείες ε1
, ε2
τέμνονται στο σημείο Α(1,–1). Επειδή οι συντεταγμένες του σημείου Α
επαληθεύουν και την εξίσωση της ε3
, η ευθεία ε3
διέρχεται και αυτή από το
Α. Επομένως, οι τρεις ευθείες διέρχονται από το ίδιο σημείο Α(1,–1).
Αν εργαστούμε, τώρα, όπως και στο ερώτημα (i) βρίσκουμε ότι:
ii) Οι ευθείες ε1
, ε2
τέμνονται στο σημείο Α(23,–9), το οποίο δεν ανήκει στην ε3
,
αφού οι συντεταγμένες του δεν την επαληθεύουν. Επομένως, οι ε1
, ε2
, ε3
δεν
διέρχονται από το ίδιο σημείο. Επίσης, οι ευθείες ε1
, ε3
τέμνονται στο Β(1,2)
και οι ε3
, ε2
στο Γ(–2,1). Άρα, οι ε1
, ε2
και ε3
σχηματίζουν τρίγωνο.
iii) Επειδή
ε
ε
1
2
2 0
4 2 3
2 0
2
3
2
:
:
x y
x y
x y
x y
+ =
+ =



⇔
+ =
+ =




, το σύστημα είναι αδύνατο και άρα
οι ευθείες ε1
, ε2
είναι παράλληλες.
Οι ευθείες ε1
, ε3
τέμνονται στο Α(–1,2), ενώ οι ευθείες ε2
, ε3
τέμνονται στο
Β
1
2
1
2
,





 .
iv) Τα συστήματα
ε
ε
1
2
3 9 1
3 0
:
:
x y
x y
+ =
+ =



,
ε
ε
1
3
3 9 1
2 6 5
:
:
x y
x y
+ =
+ =



και
ε
ε
2
3
3 0
2 6 5
:
:
x y
x y
+ =
+ =



είναι αδύνατα.
Επομένως οι ευθείες ε1
, ε2
, ε3
είναι παράλληλες ανά δύο.
22-0182-02.indb 53 26/11/2013 4:08:54 μμ
54
1.7
4. Η ορίζουσα του συστήματος είναι:
D = = −
1 1 1
2 0
2 0
42
β α
γ β
β αγ (1)
i) Αν η εξίσωση έχει δύο ρίζες άνισες, τότε θα ισχύει D = β2
– 4αγ  0 και επομένως,
λόγω της (1), το σύστημα θα έχει μοναδική λύση.
Αν το σύστημα έχει μοναδική λύση, τότε θα είναι D = β2
– 4αγ ≠ 0 που σημαίνει
ότι D  0 ή D  0.
Όταν όμως D  0, η εξίσωση αt2
+ βt + γ = 0 είναι αδύνατη. Άρα δεν ισχύει
το αντίστροφο.
ii) Αν η εξίσωση έχει μια διπλή ρίζα, τότε Δ = β2
– 4αγ = 0 και επομένως το ομογενές
σύστημα έχει άπειρες λύσεις.
5. Οι τρεις ισότητες σχηματίζουν το ομογενές σύστημα:
x y
x y
x y
− − =
− + =
+ − =





γ βω
γ αω
β α ω
0
0
0
.
Επειδή οι x, y, ω δεν είναι όλοι μηδέν, το σύστημα έχει και μη μηδενικές λύσεις.
Επομένως, η ορίζουσα των συντελεστών των αγνώστων είναι ίση με μηδέν. Έχουμε:
⇔ − + − − − + =1 02
α γ γ αβ β αγ β( ) ( )
⇔ − − − − − =1 02 2 2
α γ αβγ αβγ β
⇔ + + + =α β γ αβγ2 2 2
2 1.
6. i) Λύνουμε το σύστημα
x y
x y
+ + =
+ = +



( )λ
λ
1 1
2 1
(1)
των δύο τελευταίων εξισώσεων και εξετάζουμε αν η λύση του (εφόσον βέβαια
υπάρχει) επαληθεύει και την πρώτη εξίσωση του δοθέντος συστήματος.
22-0182-02.indb 54 26/11/2013 4:08:54 μμ
55
1.7
Έχουμε:
D =
+
= − − = −
1 1
1 1
1 1
λ
λ λ
Dx =
+
+
= − − − = − +
1 1
2 1 1
1 2 3 1 2 32λ
λ
λ λ λ λ( )
Dy =
+
= + − =
1 1
1 2 1
2 1 1 2
λ
λ λ.
Επομένως
● Αν ≠λ 0, τότε 0D ≠ και άρα το σύστημα (1) έχει μοναδική λύση την:
xD
D
= =x λ+2 3, y = = −
D
D
y
2 .
Η λύση αυτή είναι λύση του δοθέντος συστήματος, αν και μόνο αν επαληθεύει
και την πρώτη εξίσωση αυτού, δηλαδή αν και μόνο αν ισχύει:
( )( ) ( )λ λ λ λ λ λ λ+ + + − = + ⇔ + + + − = +1 2 3 2 1 2 3 2 3 2 12
⇔ + =2 4 02
λ λ
⇔ ( ) =2 0λ λ+2
, αφού λ ≠ 0.
Επομένως,
α) Αν λ = – 2, τότε το σύστημα έχει μοναδική λύση την (x,y) = (–1, –2), ενώ
β) Αν λ ≠ −0 2, , τότε το σύστημα είναι αδύνατο.
● Αν λ = 0, τότε το σύστημα γράφεται:
x y
x y
x y
x y y x
+ =
+ =
+ =





⇔ + = ⇔ = −
1
1
1
1 1
και άρα έχει άπειρες λύσεις της μορφής
R.
Σχόλιο: Το παραπάνω σύστημα μπορεί να λυθεί και ως εξής:
22-0182-02.indb 55 26/11/2013 4:08:54 μμ
56
1.7
Αν προσθέσουμε κατά μέλη τις δύο πρώτες εξισώσεις βρίσκουμε (λ + 2)x + (λ
+ 2)y = λ + 2.
Επομένως το σύστημα γίνεται
( ) ( )
( )
λ λ λ
λ
λ
+ + + = +
+ + =
+ = +





2 2 2
2 1
2 1
x y
x y
x y
.
● Αν λ ≠ −2, τότε το σύστημα γράφεται:
x y
x y
x y
+ =
+ + =
+ = +





1
1 1
2 1
( )λ
λ
οπότε
— αν 2 1 1λ + ≠ δηλαδή αν λ ≠ 0 , το σύστημα είναι αδύνατο.
— αν 2λ + 1 = 1 δηλαδή αν λ = 0, το σύστημα έχει άπειρο πλήθος λύσεων της
μορφής (1 , ),y y y− ∈R.
● Αν λ = – 2, το σύστημα γράφεται
x y
x y
− =
+ = −



1
3
και έχει μοναδική λύση την
(–1, –2).
ii) Λύνουμε το σύστημα
2x y
x y
− = −
− =



λ
λ
(2)
της 1ης και 3ης εξίσωσης και εξετάζουμε αν η λύση του επαληθεύει και τη 2η
εξίσωση. Έχουμε:
D =
−
−
= − + = − ≠
2 1
1 1
2 1 1 0
Dx =
− −
−
= + =
λ
λ
λ λ λ
1
1
2 και
Dy =
−
= + =
2
1
2 3
λ
λ
λ λ λ .
Επομένως το σύστημα (2) έχει μοναδική λύση του
−xD
x = = λ
D
2 , −
yD
y = = λ
D
3 .
22-0182-02.indb 56 26/11/2013 4:08:54 μμ
57
1.7
Η λύση αυτή είναι λύση και του δοθέντος συστήματος, αν και μόνο αν επαληθεύει
και την 2η εξίσωση, δηλαδή αν και μόνο αν ισχύει:
λ λ λ λ λ( ) ( )− + − + = ⇔ − − + =2 3 5 0 2 3 5 02
⇔ + − =2 3 5 02
λ λ
⇔ =
− ±
λ
3 7
4
−
⇔ λ =
5
2
ή λ = 1.
Επομένως,
α) Αν
−
λ =
5
2
, τότε το σύστημα έχει μοναδική λύση την
( , ) = ,x y 5
15
2






β) Αν λ = 1, τότε το σύστημα έχει μοναδική λύση την
( ) ( 2 3)x y, = ,− − .
γ) Αν , τότε το σύστημα είναι αδύνατο.
7. i) Έχουμε:
ΑX X
x
y
x
y
= ⇔
−
−











 =





λ λ
2 3
1 2
⇔
−
−





 =






2 3
2
x y
x y y
λ
λ
x
⇔
− =
− =



2 3
2
x y x
x y y
λ
λ
⇔
− − =
− + =



( )
( )
2 3 0
2 0
λ
λ
x y
x y
(1)
Επομένως, υπάρχει μη μηδενικός πίνακας Χ που να ικανοποιεί την ΑΧ = λΧ,
αν και μόνο αν το σύστημα (1) έχει και μη μηδενικές λύσεις, που συμβαίνει
αν και μόνο αν
2 3
1 2
0 2 2 3 0
− −
− +
= ⇔ − − + + =
λ
λ
λ λ
( )
( )( )
22-0182-02.indb 57 26/11/2013 4:08:55 μμ
58
ΓΕΝΙΚΕΣ ΑΣΚΗΣΕΙΣ Γ’ ΟΜΑΔΑΣ
⇔ − =λ2
1 0
⇔ λ = 1 ή λ = – 1.
ii) Για λ = 1 το σύστημα (1) γράφεται:
x y
x y
x y x y
− =
− =



⇔ − = ⇔ =
3 0
3 0
3 0 3
και επομένως έχει άπειρες λύσεις της μορφής
, ∈y, y y(3 ) R, οπότε ,
 
∈ 
 
3 y
X = y
y
R.
● Για λ = – 1 το σύστημα (1) γράφεται
3 3 0
0
0
x y
x y
x y x y
− =
− =



⇔ − = ⇔ =
και επομένως έχει άπειρες λύσεις της μορφής
, ∈y, y y( ) R, οπότε ,
 
∈ 
 
y
X = y
y
R.
ΓΕΝΙΚΕΣ ΑΣΚΗΣΕΙΣ (Γ΄ ΟΜΑΔΑΣ)
1. i) Έχουμε:
Α Α( ) ( )x y
x x
x x
y y
y y
=
−





−





συν ηµ
ηµ συν
συν ηµ
ηµ συν
συν
x y x y x y x y
x y x y x y x y
συν συν − ηµ ηµ − συν ηµ − ηµ συν 
=  ηµ + συν ηµ − ηµ ηµ + συν συν 
=
+ − +
+ +





 = +
συν ηµ
ηµ συν
( ) ( )
( ) ( )
( )
x y x y
x y x y
x yΑ .
ii) Από το πρώτο ερώτημα για y = – x, παίρνουμε:
Α(x)Α(–x) = Α(0)
Α(x)Α(–x) = I, άρα (Α(x))–1
= Α(–x)
iii) Έστω Ρν
ο ισχυρισμός που θέλουμε να αποδείξουμε.
● Ο ισχυρισμός αυτός ισχύει, προφανώς, για ν = 1.
● Θα αποδείξουμε τώρα ότι, αν ο Ρν
είναι αληθής, δηλαδή αν ισχύει [Α(x)]ν
= Α(νx), τότε θα είναι αληθής και ο Ρν+1
, δηλαδή ότι θα ισχύει
[Α(x)]ν+1
= Α((ν + 1)x).
22-0182-02.indb 58 26/11/2013 4:08:55 μμ
59
Πράγματι:
[Α(x)]ν+1
= [Α(x)]ν
Α(x) = Α(νx) Α(x)
= Α(νx + x) = Α((ν + 1)x).
Άρα, ο ισχυρισμός Ρν
αληθεύει για κάθε ν ∈*.
2. i) Έχουμε:
Μ Μ Μ2
0 1 0
0 0 1
0 0 0
0 1 0
0 0 1
0 0 0
0 0 1
0 0 0
0 0 0
= ⋅ =




















=










Μ Μ Μ3 2
0 0 1
0 0 0
0 0 0
0 1 0
0 0 1
0 0 0
0 0 0
0 0 0
0 0 0
= ⋅ =




















=










.
Για ν = 3 είναι Μ 3
= .
Για ν  3, είναι Μ ν
= Μ3+ν–3
= Μ 3
Μ ν–3
= ∙Μ ν–3
= .
Άρα Μν
= για κάθε ν ∈, με ν ≥ 3.
ii) ΑΒ Μ Μ Ι Μ Μ Ι= + + − − +( )[ ( ) ]α α α α α2 2
1
= − − + + − − + + − − +α α α α α α α α α α α2 4 2 3 2 2 3 2 2 2
1 1 1( ) ( ) ( )Μ Μ Μ Μ Μ Μ Μ Μ Ι
= − + + − − +α α α α α αΜ Μ Μ Μ Μ Ι2 2 2 2
1( )
= − + + − − + =α α α α α α( ) ( ) .1 12 2
Μ Μ Μ Μ Ι Ι
Άρα ΑΒ = Ι, συνεπώς Β–1
= Α.
3. i) Έχουμε:
J J J2 0 1
1 0
0 1
1 0
= ⋅ =
−





 ⋅
−






=
−
−





 = −





 = −
1 0
0 1
1 0
0 1
I
ii) Αν Α = αΙ + βJ και Β = γI + δJ, τότε
Α + Β = αΙ + βJ + γI + δJ = (α + γ)Ι + (β + δ)J,
δηλαδή
Α + B = xI + yJ, όπου x = α + γ, y = β + δ
ΓΕΝΙΚΕΣ ΑΣΚΗΣΕΙΣ Γ’ ΟΜΑΔΑΣ
22-0182-02.indd 59 28/11/2013 1:14:48 μμ
60
και
Α∙Β = (αI + βJ)∙(γI + δJ) = αΙγΙ + αΙδJ + βJγΙ + βJδJ
= αγΙ2
+ αδΙJ + βγJΙ + βδJ2
= αγΙ + αδJ + βγJ – βδΙ, (αφού J2
= – I)
= (αγ – βδ)Ι + (αδ + βγ)J.
Άρα
ΑB = xI + yJ, όπου x = αγ – βδ, y = αδ + βγ.
iii) Έχουμε α β
α
α
β
β
α β
β α
Ι + =





 +
−





 =
−





J
0
0
0
0
, οπότε ο πίνακας αΙ +
βJ αντιστρέφεται μόνο όταν D =
−
= + ≠
α β
β α
α β2 2
0 .
4. Αν είναι ΟΜ = ρ, τότε λόγω συμμετρίας θα είναι και ΟΜ ′ = ρ. Έχουμε:
x = ρσυνθ
y = ρημθ
′ = −x ρ ϕ θσυν( )2
= +( ) ( )ρ θ ϕ ρ θ ϕσυν συν ηµ ηµ2 2
= +x yσυν ηµ2 2ϕ ϕ
′ = −y ρ ϕ θηµ( )2
= −( ) ( )ρ θ ϕ ρ θ ϕσυν ηµ ηµ συν2 2
= −x yηµ συν2 2ϕ ϕ.
Δηλαδή
′
′





 =
−












x
y
x
y
συν ηµ
ηµ συν
2 2
2 2
ϕ ϕ
ϕ ϕ
.
Άρα, η συμμετρία ως προς άξονα την ευθεία ε είναι γραμμικός μετασχηματισμός
με πίνακα τον Α =
−






συν ηµ
ηµ συν
2 2
2 2
ϕ ϕ
ϕ ϕ
.
ΓΕΝΙΚΕΣ ΑΣΚΗΣΕΙΣ Γ’ ΟΜΑΔΑΣ
22-0182-02.indb 60 26/11/2013 4:08:56 μμ
61
Αν, τώρα, στον πίνακα Α θέσουμε:
● φ = 0, θα πάρουμε τον πίνακα
1 0
0 1−





 του γραμμικού μετασχηματισμού της
συμμετρίας ως προς τον άξονα των x.
● ϕ
π
=
2
, θα πάρουμε τον πίνακα
−





1 0
0 1
του γραμμικού μετασχηματισμού
της συμμετρίας ως προς τον άξονα των y.
● ϕ
π
=
4
, θα πάρουμε τον πίνακα
0 1
1 0





 της συμμετρίας ως προς την ευθεία y = x.
● ϕ
π
=
3
4
, θα πάρουμε τον πίνακα
0 1
1 1
0 1
1 0
−
−





 = −





 της συμμετρίας ως
προς την ευθεία y = – x.
5. Έστω M(x1
,y1
) και M2
(x2
,y2
) δύο σημεία του επιπέδου τα οποία με τον γραμμικό
μετασχηματισμό Τ έχουν την ίδια εικόνα, δηλαδή ισχύει
′
′





 =
′
′






x
y
x
y
1
1
2
2
. Θα δείξουμε
ότι τα σημεία αυτά ταυτίζονται.
Πράγματι, έχουμε:
′
′





 =





 ⇔











 =






x
y
x
y
x
y
x
y
1
1
1
1
1
1
2α β
γ δ
α β
γ δ 22
1
1
2
2





 ⇔





 =






x
y
x
y
,
αφού ο πίνακας
α β
γ δ





 αντιστρέφεται. Άρα, x1
= x2
και y1
= y2
.
Επομένως ο μετασχηματισμός Τ είναι 1−1.
ii) Λύνουμε την εξίσωση
′
′





 =












x
y
x
y
α β
γ δ
ως προς
x
y





 . Έχουμε διαδοχικά:
α β
γ δ
α β
γ δ
α β
γ δ






′
′





 =


















− −1 1
x
y
x
y
α β
γ δ






′
′





 =






−1
x
y
x
y
x
y
x
y





 =






′
′






−
α β
γ δ
1
.
ΓΕΝΙΚΕΣ ΑΣΚΗΣΕΙΣ Γ’ ΟΜΑΔΑΣ
22-0182-02.indb 61 26/11/2013 4:08:56 μμ
62
Επομένως, ο αντίστροφος μετασχηματισμός του Τ είναι ο μετασχηματισμός
Τ −
−
′
′





 =












1
1
:
x
y
x
y
α β
γ δ
με πίνακα τον αντίστροφο του
α β
γ δ





, δηλαδή τον
πίνακα
1
D
δ β
γ α
−
−





, όπου D = αδ – βγ.
iii)
Γραμμικός
μετασχηματισμός
Πίνακας του
γραμμικού
μετασχηματισμού
Πίνακας του
αντίστροφου γραμμικού
μετασχηματισμού
● Συμμετρία με κέντρο
συμμετρίας το Ο
● Συμμετρία ως προς
τον άξονα x′x
● Συμμετρία ως προς
τον άξονα y′y
● Συμμετρία ως προς
την ευθεία y = x
● Στροφή με κέντρο Ο
και γωνία θ
● Ομοιοθεσία με
κέντρο Ο και λόγο
λ ≠ 0
6. Η ορίζουσα του συστήματος είναι:
2 2
2 2
2 2
1 1 1
0
0
D
α β
α β αβ α β
α β
α β
= = = − = − −αβ(α β).
Επομένως
1 0
0
1
0
0
12
λ
λ
λ
λ
λ





 =












−
−






1 0
0 1
−
−






1 0
0 1
1 0
0 1−





 ( )−
−




 =
−





1
1 0
0 1
1 0
0 1
−





1 0
0 1
( )−
−





 =
−




1
1 0
0 1
1 0
0 1
0 1
1 0





 ( )−
−
−





 =





1
0 1
1 0
0 1
1 0
συν ηµ
ηµ συν
θ θ
θ θ
−





συν ηµ
ηµ συν
θ θ
θ θ−






λ
λ
0
0






ΓΕΝΙΚΕΣ ΑΣΚΗΣΕΙΣ Γ’ ΟΜΑΔΑΣ
22-0182-02.indb 62 26/11/2013 4:08:57 μμ
63
● Αν α β≠ , τότε θα είναι 0D ≠ (αφού α β, ≠ 0 ) και άρα το ομογενές σύστημα
θα έχει μοναδική λύση την (0,0,0).
● Αν α = β, τότε το σύστημα γράφεται:
x y z
x y
x y
x y z
x y
x y
+ + =
+ =
+ =





⇔
+ + =
+ =
+ =





0
0
0
0
0
02 2
α α
α α
, αφού α ≠ 0
⇔
+ + =
+ =



⇔
=
= −



x y z
x y
z
x y
0
0
0
.
Άρα το ομογενές σύστημα έχει άπειρο πλήθος λύσεων της μορφής
( ) R.
7. Η ορίζουσα του συστήματος είναι:
D =
1 1 1
1
12 2
ηµ συν
ηµ συν
α α
α α
= − +
συν
συν
ηµ
ηµ
ηµ συν
ηµ συν
α
α
α
α
α α
α α
1
1
1
12 2 2 2
= + + −συν συν ηµ ηµ ηµ συν ηµ συνα − α − α α α α α α2 2 2 2
= +( ) ( ) ( )συν ηµ συν ηµ ηµ συν συν ηµα − α − α − α α α α − α2 2
= + +( )[ ( ) ]συν ηµ συν ηµ ηµ συνα − α − α α α α1
= −( )[( ) ( )]συν ηµ συν ηµ συνα − α − α α − α1 1
− − −= α α 1 α 1 συνα(συν η )( η )( ).
Επομένως
● Αν ηµα ≠ 1 , συνα ≠ 1 και ηµ συνα α≠ , δηλαδή αν ≠
π π
α 0, ,
4 2
, τότε 0D ≠
και άρα το ομογενές σύστημα έχει μοναδική λύση την (0,0,0).
● Αν
π
α =
2
, τότε το σύστημα γράφεται:
x y
x
x
y
x
+ + =
+ =
+ =





⇔
=
= −



ω
ω
ω
ω
0
0
0
0
ΓΕΝΙΚΕΣ ΑΣΚΗΣΕΙΣ Γ’ ΟΜΑΔΑΣ
22-0182-02.indb 63 26/11/2013 4:08:57 μμ
64
και άρα έχει άπειρες λύσεις της μορφής
( ,0, ), .
● Αν α =0, τότε το σύστημα γράφεται:
x y
y
y
x
y
+ + =
+ =
+ =





⇔
=
= −



ω
ω
ω
ω
0
0
0
0
και άρα έχει άπειρες λύσεις της μορφής
R
● Τέλος αν
π
α =
4
, τότε το σύστημα γράφεται:
x y
x y
x y
x y
x y
x
+ + =
+ + =
+ + =









⇔
+ + =
+ + =
+
ω
ω
ω
ω
ω
0
2
2
2
2
0
1
2
1
2
0
0
2 2 2 0
yy + =




 2 0ω
⇔
+ + =
+ + =
+ + =





x y
x y
x y
ω
ω
ω
0
2 0
2 0
.
Αν αφαιρέσουμε κατά μέλη τις δύο πρώτες εξισώσεις, βρίσκουμε ω = 0, οπότε x
+ y = 0 και άρα x = – y. Επομένως, το σύστημα έχει άπειρο πλήθος λύσεων της
μορφής ( ) R.
8. Παίρνουμε τις ευθείες ε1
, ε2
και ε3
ανά δύο και σχηματίζουμε τα συστήματα:
ε
ε κ
1
2
1:
:
x y
x y
+ =
+ =



,
ε
ε κ
1
3
1
1
:
:
x y
x y
+ =
+ =



και
ε κ
ε κ
2
3 1
:
:
x y
x y
+ =
+ =



.
Τα συστήματα αυτά έχουν ορίζουσες:
1 1
1 1
= 0 ,
1 1
1κ
= 1−−κκ και
1 1
1κ
= 1−−κκ
ΓΕΝΙΚΕΣ ΑΣΚΗΣΕΙΣ Γ’ ΟΜΑΔΑΣ
22-0182-02.indb 64 26/11/2013 4:08:58 μμ
65
αντιστοίχως. Διακρίνουμε τώρα δύο περιπτώσεις:
● Αν κ = 1, τότε τα συστήματα γράφονται:
ε
ε
1
2
1
1
:
:
x y
x y
+ =
+ =



,
ε
ε
1
3
1
1
:
:
x y
x y
+ =
+ =



και
ε
ε
2
3
1
1
:
:
x y
x y
+ =
+ =



.
Επομένως, οι τρεις ευθείες συμπίπτουν και η εξίσωσή τους είναι x + y = 1.
●Αν κ ≠ 1, τότε το πρώτο σύστημα είναι αδύνατο, ενώ τα άλλα δύο έχουν ακριβώς
μια λύση.Αυτό σημαίνει ότι οι ευθείες ε1
, ε2
είναι παράλληλες και η ε3
τις τέμνει.
9. Η ορίζουσα του ομογενούς συστήματος
λ ω
λω
y
y
− =
+ =



0
0
της 2ης και 3ης εξίσωσης
είναι ίση με
λ
λ
λ
−
= + ≠
1
1
1 02
. Επομένως, το σύστημα αυτό έχει μοναδική
λύση την (y,ω) = (0,0).
Αν αντικαταστήσουμε τη λύση αυτή στην πρώτη εξίσωση, έχουμε:
( )λ
ω
− =
=
=





1 0
0
0
x
y (1)
Διακρίνουμε τώρα δύο περιπτώσεις:
● Αν λ ≠ 1 , τότε η εξίσωση (1) έχει μοναδική λύση την x = 0 και επομένως το
σύστημα έχει τη μοναδική λύση (x,y,ω) = (0,0,0).
●Αν λ = 1, τότε η εξίσωση (1) αληθεύει για κάθε x ∈R και επομένως το σύστημα
έχει άπειρες λύσεις της μορφής
∈( 0 0) R.
10. Έχουμε
ΑX X
x
y
x
y
x y
x y
x
y
= ⇔
−
−











 =





 ⇔
−
−





 =

λ
α
α
λ
α
α
λ
λ
3
1
3





⇔
− =
− =



⇔
− − =
− + =



3 3 0
1 0
x y x
x y y
x y
x y
α λ
α λ
λ α
α λ
( )
( ) .
(1)
Επειδή ( , ) (0,0)x y ≠ , το ομογενές σύστημα (1) έχει και μη μηδενικές λύσεις.
Επομένως θα ισχύει:
ΓΕΝΙΚΕΣ ΑΣΚΗΣΕΙΣ Γ’ ΟΜΑΔΑΣ
22-0182-02.indb 65 26/11/2013 4:08:58 μμ
66
D =
− −
− +
= ⇔ − − + + = ⇔ − + − =
3
1
0 3 1 0 2 3 02 2 2λ α
α λ
λ λ α λ λ α
( )
( )( ) .
Άρα ο πραγματικός αριθμός λ είναι ρίζα της εξίσωσης
t2
– 2t + (α2
– 3) = 0.
Επομένως, θα ισχύει ∆ ≥ 0. Όμως Δ = 4 – 4(α2
– 3), οπότε
∆ ≥ ⇔ − − ≥0 4 4 3 02
( )α
⇔ − + ≥1 3 02
α
⇔ ≤α2
4
⇔ − ≤ ≤2 2α .
11. i) Έχουμε
D = = − = ≠
2 3
1 2
4 3 1 0
Dx =
+
+
= + − + = +
5 4 3
3 2 2
10 8 9 6 2
λ
λ
λ λ λ( ) ( ) και
Dy =
+
+
= + − + =
2 5 4
1 3 2
6 4 5 4
λ
λ
λ λ λ( ) ( ) .
Επομένως, το σύστημα έχει μοναδική λύση την
xD
x = = λ+
D
2,
yD
y = = λ
D
(2)
ii) Οι εξισώσεις
2t2
+3t – (5λ + 4) = 0 και t2
+ 2t – (3λ + 2) = 0
έχουν κοινή ρίζα, αν και μόνο αν υπάρχει ρ ∈R τέτοιος, ώστε να ισχύει:
2 3 5 4 0
2 3 2 0
2 3 5 4
2 3 2
2
2
2
2
ρ ρ λ
ρ ρ λ
ρ ρ λ
ρ ρ λ
+ − + =
+ − + =




⇔
+ = +
+ = +


( )
( )


που συμβαίνει, αν και μόνο αν το ζεύγος (ρ2
, ρ) είναι η μοναδική λύση του
συστήματος (Σ), δηλαδή, αν και μόνο αν ισχύει
ΓΕΝΙΚΕΣ ΑΣΚΗΣΕΙΣ Γ’ ΟΜΑΔΑΣ
22-0182-02.indb 66 26/11/2013 4:08:58 μμ
67
ρ λ
ρ λ
λ λ
ρ λ
2 2
2 2 0= +
=



⇔
− − =
=



⇔
= −
= −



λ
ρ
1
1
ή
λ
ρ
=
=



2
2
.
Επομένως, οι εξισώσεις έχουν κοινή ρίζα όταν λ = – 1 (η κοινή ρίζα είναι η ρ
= – 1) ή λ = 2 (η κοινή ρίζα είναι η ρ = 2).
β´ τρόπος: Αν ρ κοινή ρίζα των εξισώσεων, τότε από την πρώτη εξίσωση
έχουμε:
3 3 4
5
2
ρ ρ
λ
+ −
= και από τη δεύτερη
ρ ρ
λ
2
2 2
3
+ −
= .
Επομένως
2 3 4
5
2 2
3
2 2
ρ ρ ρ ρ+ −
=
+ −
απ’όπου προκύπτουν ως κοινές ρίζες
οι ρ1
= – 1, ρ2
= 2 και οι αντίστοιχες τιμές του λ, οι λ1
= – 1 και λ2
= 2.
ΓΕΝΙΚΕΣ ΑΣΚΗΣΕΙΣ Γ’ ΟΜΑΔΑΣ
22-0182-02.indb 67 26/11/2013 4:08:58 μμ
22-0182-02.indb 68 26/11/2013 4:08:58 μμ
69
ΚΕΦΑΛΑΙΟ 2
ΜΙΓΑΔΙΚΟΙ ΑΡΙΘΜΟΙ
2.1 και 2.2 Α΄ ΟΜΑΔΑΣ
1. Έχουμε z = (2λ + 3) + (6 – λ)i, οπότε:
α) Ο z είναι πραγματικός, αν και μόνο αν 6 – λ = 0, δηλαδή λ = 6
β) Ο z είναι φανταστικός, αν και μόνο αν 2λ + 3 = 0, δηλαδή λ = −
3
2
.
2. α) Είναι:
( ) ( ) ( , ) ( , )x y x y i i
x y
x y
x y+ + − = − ⇔
+ =
− = −



⇔ =3
3
1
1 2
β) Είναι:
3 6 3 2
3 6 2
3 1
2 2
2
2
x x x i i
x x
x
+ − + − = + ⇔
+ − =
− =




( ) (1)
Όμως:
x x x2 2
3 1 4 2− = ⇔ = ⇔ = ή x = – 2.
Άρα x = – 2, αφού από τις λύσεις αυτές μόνο η x = – 2 επαληθεύει και την (1).
γ) Είναι:
9 27 3 2
3 2 9
27
9 54
3
27
− = + − ⇔
+ =
=



⇔
=
−
=




i x y yi
x y
y
x
y
( )
⇔
=
−
=




⇔ = −
x
y
x y
45
3
27
15 27( , ) ( , ).
22-0182-02.indb 69 26/11/2013 4:08:59 μμ
70
2.1 και 2.2
3.
4. α) Είναι z = 0 + yi. Άρα, οι εικόνες του z είναι τα σημεία M(0, y), δηλαδή τα
σημεία του άξονα y′y.
β) Είναι z = x + 0i. Άρα, οι εικόνες του z είναι τα σημεία Μ(x,0), δηλαδή τα
σημεία του άξονα x′x.
γ) Είναι z = x + xi.Άρα, οι εικόνες του z είναι τα σημεία Μ(x, x), δηλαδή τα σημεία
της ευθείας y = x, που είναι διχοτόμος της 1ης και 3ης γωνίας των αξόνων.
5. α) (– 4 + 6i) + (7 – 2i) = (– 4 + 7) + (6 – 2)i = 3 + 4i
β) (3 – 2i) – (6 + 4i) = (3 – 6) + (–2 – 4)i = – 3 – 6i
γ) (3 + 4i) + (– 8 – 7i) + (5 + 3i) = (3 – 8 + 5) + (4 – 7 + 3)i = 0 + 0i = 0
δ) (3 + 2i)(4 + 5i) = 3∙4+3∙5i + 4∙2i + 2∙5i2
= 12 – 10 +15i +8i = 2 + 23i
ε) 3i(6 + i) = 3∙6i + 3i2
= – 3 + 18i
στ) (4 + 3i)(4 – 3i) = 42
– (3i)2
= 16 – 9∙i2
= 16 – 9(–1) = 16 + 9 = 25
ζ) i(3 + i)(2 – i) = i(6 – 3i + 2i – i2
) = i(6 + 1 – i) = 7i – i2
= 1 + 7i.
6. α)
1
1
1 1
1 1
1
1
1
1 1
1
2
1
22
−
=
+
− +
=
+
−
=
+
+
= +
i
i
i i
i
i
i
i
( )
( )( )
β) i6
= i4
∙i2
= 1(– 1) = – 1 = – 1 + 0i
γ) i2
+ 2i + 1 = – 1 + 2i + 1 = 0 + 2i
δ) 1 3 1 2 3 3 1 3 2 3 2 2 3
2
2
+( ) = + + ⋅ = − + = − +i i i i i
ε)
3
2
3 2
2 2
6 5
2
5 5
4 1
5 1
5
2
2 2
+
−
=
+ ⋅ +
− +
=
+ +
−
=
+
+
=
+
=
i
i
i i
i i
i i
i
i i( ) ( )
( )( )
( )
11+ i
22-0182-02.indb 70 26/11/2013 4:08:59 μμ
71
2.1 και 2.2
στ)
6 2
1 2
6 2 1 2
1 2 1 2
6 2 7 2
1 2
6 2 7 22
2
−
+
=
− ⋅ −
+ ⋅ −
=
+ −
−
=
− −i
i
i i
i i
i i
i
i( ) ( )
( ) ( ) 11 2
4
3
7
3
2
+
= − i .
7. α) Είναι:
( ) ( )3 2 9 12 42 2
− − + = − ⇔ − + − − = −i x iy x yi i i x yi x yi
⇔ − − − = ⇔ − − =9 4 12 5 2 12 0x i x x i( )
Αυτή όμως είναι αδύνατη, αφού το − ≠12 0.
β) Είναι:
1
1
1 1 2
1 1 2
1
2
+
−





 =
− +
− −
= −
i
i
i
i
. Άρα η σχέση γράφεται:
− +
+
= + ⇔
+
= +1
1
1
1
2
x iy
i
x iy
i
⇔ + =
+
x yi
i
1
2
⇔ + =
−
x yi
i2
5
⇔ =x
2
5
και y =
−1
5
.
γ) Είναι:
( )( ) ( ) ( )( ) ( )3 2 2 2 2 2 1 3 2 2 2 2 1 2− − − − + − ⇔ − − − − = − +i x iy x iy i i x iy x iy i
⇔ − − = − −( )( ) ( )1 2 2 1 2i x iy i
⇔ − = −2 1x iy
⇔ = −x
1
2
και y = 0.
8. α) i6
+ i16
+ i26
+ i36
+ i46
+ i56
= i2
+ i0
+ i2
+ i0
+ i2
+ i0
= 0.
β)
1 1 1 1 1 1 1 1 1 1 2
211 41 75 1023 3 1 3 3
i i i i i i i i i i i
i− + − = − + − =
−
− =
−
= .
9. α) Για z = – 5 + 7i είναι z i= − −5 7
β) Για z = – 4 – 9i είναι z i= − +4 9
γ) Για z = 4i είναι z i= −4
δ) Για z = 11 είναι z =11
22-0182-02.indb 71 26/11/2013 4:08:59 μμ
72
ε) Για z = – i είναι z i=
στ) Για z = 0 είναι z = 0.
10. Αν M(x,y) είναι η εικόνα στο μιγαδικό
επίπεδο του μιγαδικού z = x + yi, τότε
η εικόνα του z x yi= − είναι το σημείο
Μ1
(x,–y), του – z = – x –yi είναι το σημείο
M2
(–x, –y) και, τέλος, του − = − +z x yi
είναι το σημείο Μ3
(–x,y). Έτσι, μπορούμε
να πούμε ότι:
Ο z προκύπτει από τον z με συμμετρία
ως προς τον άξονα x′x.
Ο –z προκύπτει από τον z με συμμετρία ως προς κέντρο το Ο(0,0) και τέλος:
Ο −z προκύπτει από τον z με συμμετρία ως προς τον άξονα y′y.
11. Έχουμε: z z
i
i
i
i
i
i
i
i
1 2
5 9
7 4
5 9
7 4
5 9
7 4
5 9
7 4
+ =
−
+
+
+
−
=
−
+
+
−
+





 που είναι πραγματικός
αριθμός ως άθροισμα δύο συζυγών μιγαδικών αριθμών.
Ομοίως ο z1
– z2
θα είναι φανταστικός ως διαφορά δύο συζυγών μιγαδικών
αριθμών.
12. Αν z = x + yi τότε:
α) z z i x yi x yi i yi i yi i y− = ⇔ + − + = ⇔ = ⇔ = ⇔ =6 6 2 6 3 3.
Άρα, οι εικόνες των μιγαδικών είναι τα σημεία της οριζόντιας ευθείας με
εξίσωση y = 3.
β)	 z z x yi x yi2 2 2 2
= ⇔ + = −( ) ( )
⇔ + − − =( ) ( )x yi x yi2 2
0
⇔ + + − + − + =( )( )x yi x yi x yi x yi 0
⇔ ⋅ =2 2 0x yi
⇔ =x 0 ή y = 0.
Άρα, οι εικόνες των μιγαδικών είναι τα σημεία των δύο αξόνων y′y και x′x.
2.1 και 2.2
22-0182-02.indb 72 26/11/2013 4:09:00 μμ
73
2.1 και 2.2
γ) 	 z z x yi x yi2 2 2 2
= − ⇔ − = − +( ) ( )
⇔ + − = − + +x yi xyi x y i xyi2 2 2 2 2
2 2( ) ( )
⇔ − − = − + −x y xyi x y xyi2 2 2 2
2 2
⇔ − =2 02 2
( )x y
⇔ = ±y x .
Άρα, οι εικόνες των μιγαδικών είναι τα σημεία των διχοτόμων των τεσσάρων
τεταρτημορίων.
δ) 	 z z x yi x yi= − ⇔ + = − −2 2 ( )
⇔ + = − +x yi x yi( )2
⇔
= −
=



x x
y y
2
1,x y⇔ = ∈R
⇔ = +z yi1 .
Άρα, οι εικόνες των μιγαδικών είναι τα σημεία της κατακόρυφης ευθείας x = 1.
13. α) x x x x2
3 2 0
3 9 8
2
3 1
2
2− + = ⇔ =
± −
=
±
⇔ = ή x = 1.
β) x x x
i i
i2
2 3 0
2 8
2
2 1 2
2
1 2− + = ⇔ =
±
=
±
= ±
( )
γ) x
x
x x x x x
i
+ = ⇔ + = ⇔ − + = ⇔ =
±1
1 1 1 0
1 3
2
2 2
.
14. Αφού οι συντελεστές της εξίσωσης 2x2
+ βx + γ = 0 είναι πραγματικοί αριθμοί
και μία ρίζα της είναι η 3 + 2i, η άλλη θα είναι η 3 – 2i, οπότε θα ισχύει:
x x
x x
1 2
1 2
2
2
6
2
13
2
12
26
+ = −
=






⇔
= −
=






⇔
= −
=



β
γ
β
γ
β
γ
.
22-0182-02.indb 73 26/11/2013 4:09:00 μμ
74
2.1 και 2.2
2.1 και 2.2 Β΄ ΟΜΑΔΑΣ
1. Έχουμε: z
i
i
i i
i i
i
=
+
+
=
+ −
+ −
=
+ + −
+
α β
γ δ
α β γ δ
γ δ γ δ
αγ βδ βγ αδ
γ δ
( )( )
( )( )
( ) ( )
2 2
. Άρα:
0 0 0.z
α β
βγ αδ αδ βγ
γ δ
∈ ⇔ − = ⇔ − = ⇔ =R
2. Έχουμε z
i i2 1 3 2 3
4
1 3
2
=
− −
=
− −
, οπότε:
z z
i i i i2 1 3
2
1 3
2
1 3 1 3
2
2
2
1− =
− −
−
−
=
− − − +
=
−
= − .
Άρα:
1 1
1
12
z z−
=
−
= − .
3. Είναι ( )1 1 1 2 22
+ = − + =i i i, οπότε
( ) ( ) ( )1 1 2 2 2 220 2 10 10 10 10 10 2 10
+ = +( ) = = = = −i i i i i
και ( ) ( ) ( )1 1 1 220 20 20 10
− = + = + = −i i i .
Άρα: ( ) ( )1 1 020 20
+ − − =i i .
4. Έχουμε Α = + = +−
i i i
i
ν ν ν
ν
1
. Επομένως:
● Αν ν = 4κ, τότε iν
= 1, οπότε Α = 1 + 1 = 2
● Αν ν = 4κ + 1, τότε iν
= i, οπότε Α = + = − =i
i
i i
1
0
● Αν ν = 4κ + 2, τότε iν
= – 1, οπότε Α = – 1 – 1 = – 2
● Αν ν = 4κ + 3, τότε iν
= – i, οπότε Α = − +
−
= − + =i
i
i i
1
0.
22-0182-02.indb 74 26/11/2013 4:09:00 μμ
75
2.1 και 2.2
5. α) Αν z = x + yi τότε έχουμε:
z z x yi x yi= ⇔ − = +2 2
( ) 		 ⇔ − = + +x yi x yi xyi2 2
2( )
⇔ − = − +x yi x y xyi2 2
2 	 ⇔ − − + + =( ) ( )x y x x yi2 2
2 1 0
⇔
+ =
− − =



( )2 1 0
02 2
x y
x y x
			
2 2
2 1 0 ή = 0
0
x y
x y x
+ =
⇔ 
− − =
(1)
	
				
(2)
● Αν 2x + 1 = 0, δηλαδή αν x = −
1
2
, τότε η (2) γράφεται:
1
4
1
2
0
3
4
3
2
2 2
− + = ⇔ = ⇔ = ±y y y .
Άρα: z i= − +
1
2
3
2
ή z i= − −
1
2
3
2
.
● Αν y = 0, τότε η (2) γράφεται:
x x x x x2
0 1 0 0− = ⇔ − = ⇔ =( ) ή x = 1.
Άρα: z = 0 ή z = 1.
β) Αν z = x + yi, έχουμε:
z z x yi x yi x yi x x yi x yi yi= ⇔ − = + ⇔ − = + + +3 3 3 2 2 3
3 3( ) ( ) ( )
⇔ − = + − −x yi x x yi xy y i3 2 2 3
3 3
⇔ − = − + −x yi x xy x y yi( ) ( )3 2 2 2
3 3
⇔
− =
− = −




⇔
− − =
− + =




x xy x
x y y y
x x y
y x y
3 2
2 2
2 2
2 2
3
3
3 1 0
3 1 0( )
( )
( )
2 2
2 2
0 ή 3 1 0
(3 1) 0 (2)
(1)x x y
y x y
 = − − =
⇔ 
− + =
	
● Αν x = 0, τότε η (2) γράφεται:
y y y( )1 0 02
− = ⇔ = ή y = ±1.
Άρα: z = 0 ή z = i ή z = – i.
● Αν x2
= 3y2
+ l, τότε η (2) γράφεται:
22-0182-02.indb 75 26/11/2013 4:09:01 μμ
76
2.1 και 2.2
y y y y y y[ ( ) ] ( )3 3 1 1 8 4 0 02 2 2
+ − + ⇔ + = ⇔ = .
Άρα x2
= 1, οπότε x = 1 ή x = – 1 και επομένως z = 1 ή z = – 1.
6. Αν z = x + yi, τότε:
z
z
z
z
x yi
x yi
x yi
x yi
x yi x yi
x yi
+ =
+
−
+
−
+
=
+ + −
−
( ) ( )
( )
2 2
2 2
=
+ + + + −
+
=
−
+
x yi xyi x yi xyi
x y
x y
x y
2 2 2 2
2 2
2 2
2 2
2 2 2( ) ( ) ( )
.
Έτσι, αρκεί να αποδείξουμε ότι − ≤
−
+
≤2
2
2
2 2
2 2
( )x y
x y
. Πράγματι:
− ≤
−
+
≤ ⇔ − ≤
−
+
≤2
2
2 1 1
2 2
2 2
2 2
2 2
( )x y
x y
x y
x y
⇔ − + ≤ − ≤ +( )x y x y x y2 2 2 2 2 2
⇔
− − ≤ −
− ≤ +




x y x y
x y x y
2 2 2 2
2 2 2 2
⇔
≤
≤




0 2
0 2
2
2
x
y
που ισχύουν και οι δύο. Άρα ισχύει και η αρχική διπλή ανισότητα.
7. α΄ τρόπος:
Είναι (α + βi)2
= α2
– β2
+ 2αβi =z και (β – αi)2
= β2
– α2
– 2αβi = – z. Άρα
( ) ( ) ( ) ( ) ( )α β β α α β β α+ + − = +( ) + −( ) = + − = − =i i i i z z z z10 10 2 5 2 5 5 5 5 5
0.
β΄ τρόπος:
Είναι β – αi = – i(α + βi). Επομένως:
( ) ( ) ( ) ( ) ( ) ( )α β β α α β α β α β α β+ + − = + + + = + − + =i i i i i i i10 10 10 10 10 10 10
0.
8. α) Έχουμε:
22-0182-02.indb 76 26/11/2013 4:09:01 μμ
77
2.1 και 2.2
●
● z z x yi x yi x x z= − ⇔ + = − + ⇔ = ⇔ = ⇔2 0 0 φανταστικός
β)Αρκεί να δείξουμε ότι u u= και v v= − . Επειδή z
z
1
1
1
= και z
z
2
2
1
= θα είναι:
● u
z z
z z
z z
z z
z z
z z
z z
z z
z z
z
=
+
+
=
+
+
=
+
+
=
+
+
1 2
1 2
1 2
1 2
2 1
1 2
1 2
1 2
1 2
1
1 1
1
1 1 1 1 11 2z
u= .
● v
z z
z z
z z
z z
z z
z z
z z
z z
z z
=
−
+
=
−
+
=
−
+
=
− −1
1 2
1 2
1 2
2 1
1 2
1 2
1 2
1 22
1
1 1
1
1 1 1
( )
11 1 2+
= −
z z
v .
9. α) Έστω z = x + yi. Τότε
1
2 2 2 2
z
x
x y
y
x y
i=
+
−
+
. Επομένως:
Re Re( )z
z
z x
x
x y
x+





 = ⇔ +
+
=
1
5 52 2
⇔
+
−





 = ⇔ =x
x y
x
1
4 0 02 2
ή
1
42 2
x y+
=
⇔ =x 0 ή x y2 2
2
1
2
+ =





 .
Άρα, ο γεωμετρικός τόπος είναι ο άξονας y′y με εξαίρεση το σημείο Ο(0,0) και
ο κύκλος με κέντρο Ο(0,0) και ακτίνα ρ =
1
2
.
β) Έχουμε:
Im Im( )z
z
z y
y
x y
y+





 = − ⇔ −
+
= −
1
3 32 2
⇔ −
+
=4 02 2
y
y
x y
⇔ −
+





 =y
x y
4
1
02 2
22-0182-02.indb 77 26/11/2013 4:09:02 μμ
78
2.3
⇔ =y 0 ή
1
42 2
x y+
=
⇔ =y 0 ή x y2 2
2
1
2
+ =





 .
Άρα, ο γεωμετρικός τόπος είναι ο άξονας x′x με εξαίρεση το σημείο Ο(0,0) και
ο κύκλος με κέντρο Ο(0,0) και ακτίνα ρ =
1
2
.
2.3 Α΄ ΟΜΑΔΑΣ
1. Έχουμε:
• 1 1 1 2 12 2
+ = + = = −i i , αφού z z=
• 3 4 3 4 25 5 3 42 2
+ = + = = = −i i
• − = + − = =5 0 5 25 52 2
i ( )
• − =4 4 ,
1
1
1
1
1
+
−
=
+
−
=
i
i
i
i
, αφού 1 1+ = −i i
• ( ) ( )1 1 1 1 2 2 2 2 2 82 4 2 4 2 4
2 3
− ⋅ + = − ⋅ + = ⋅ = ⋅ = =i i i i
• ( ) ( ) ( )2 1 2 2 1 2 2 1 1 2 5 5 5 52 2 2 2
2
− ⋅ + = − ⋅ + = + − ⋅ + = ⋅ = =i i i i
•
3
4 3
3
4 3
3 1
4 3
10
25
10
5
2 2
2 2
+
−
=
+
−
=
+
+ −
= =
i
i
i
i ( )
.
2. Έχουμε
• ( )1 1 2 22 2 2
+ = + = =i i
•
1
1
1
1
1
1
1 1
2 2 2
2+
−





 =
+
−
=
+
−






= =
i
i
i
i
i
i
•
1
1
1
1
1
1
1 1
2 2 2
2−
+





 =
−
+
=
−
+






= =
i
i
i
i
i
i
•
λ µ
λ µ
λ µ
λ µ
λ µ
λ µ
+
−





 =
+
−
=
+
−






= =
i
i
i
i
i
i
2 2 2
2
1 1.
22-0182-02.indb 78 26/11/2013 4:09:02 μμ
79
2.3
3. α) Έχουμε
z z z z zz z z z z2 2 2 2 2
0= ⇔ = ⇔ = ⇔ − =( )
⇔ =z 0 ή z z= z⇔ ∈R
β) α΄ τρόπος:
Αν z z− =1 , τότε ο z θα είναι μη αρνητικός πραγματικός, αφού τέτοιος είναι
και ο z −1. Επομένως θα είναι z = x, x ≥ 0, οπότε θα έχουμε:
z z x x− = ⇔ − =1 1
⇔ − =x x1 ή x x− = −1
⇔ =x
1
2
.
Άρα, z =
1
2
.
β΄ τρόπος:
Αν z = x + yi, τότε:
z z x yi x yi x y x yi− = ⇔ − + = + ⇔ − + = +1 1 1 2 2
( ) ( )
⇔
− + =
=




⇔
− =
=




⇔
=
=




( )x y x
y
x x
y
x
y
1
0
1
0
1
2
0
2 2
.
Άρα, z =
1
2
.
γ) α΄ τρόπος:
Αν z i z+ = 2 , τότε ο 2z θα είναι μη αρνητικός πραγματικός. Επομένως θα
είναι z = x, x ≥ 0, οπότε θα έχουμε:
z i z x i x x x x x+ = ⇔ + = ⇔ + = ⇔ + =2 2 1 2 1 42 2 2
⇔ = ⇔ = ⇔ =3 1
1
3
3
3
2 2
x x x , αφού x ≥ 0
Άρα, z =
3
3
.
β΄ τρόπος:
Όπως ο β΄ τρόπος της περίπτωσης 3β).
22-0182-02.indb 79 26/11/2013 4:09:02 μμ
80
2.3
4. α) Αν z =1, τότε ο z θα απέχει από το Ο(0,0) απόσταση ίση με 1. Άρα, ο z θα
βρίσκεται σε κύκλο κέντρου Ο και ακτίνας ρ = 1, ο οποίος έχει εξίσωση x2
+
y2
= 1.
β) Αν z i− =1, ο z θα απέχει από τον μιγαδικό i (δηλαδή από το σημείο Κ(0,1))
απόσταση σταθερή ίση με 1. Άρα, ο z θα βρίσκεται σε κύκλο κέντρου Κ(0,1)
και ακτίνας ρ = 1, ο οποίος έχει εξίσωση: x2
+ (y – 1)2
= 1.
γ) Ομοίως, αν z i+ + =1 2 3 , δηλαδή αν z i− − − =( )1 2 3, τότε ο z θα απέχει
από τον μιγαδικό – 1 – 2i απόσταση ίση με 3. Άρα ο z θα βρίσκεται σε κύκλο
κέντρου Κ(–1, –2) και ακτίνας ρ = 3 ο οποίος έχει εξίσωση (x + 1)2
+ (y + 2)2
= 9.
δ) Αν 1 2 z , τότε ο z θα βρίσκεται μεταξύ των κύκλων με κέντρο το Ο(0,0)
και ακτίνες ρ1
= 1 και ρ2
= 2.
ε) Αν z ≥ 2 , τότε ο z θα βρίσκεται στο εξωτερικό του κύκλου κέντρου Ο(0,0)
και ακτίνας ρ = 2 ή πάνω στον κύκλο αυτό.
5. α) Έχουμε
z z i z z i+ = − ⇔ − − = −1 2 1 2( ) .
Άρα, οι αποστάσεις του μιγαδικού z από τους μιγαδικούς – 1 + 0i και 0 + 2i,
δηλαδή από τα σημεία Α(–1,0) και Β(0,2) είναι ίσες. Επομένως ο z θα ανήκει
στη μεσοκάθετο του τμήματος ΑΒ.
β) Έχουμε
z i z z i z−  + ⇔ −  − −1 1( ) .
Επομένως, η απόσταση του μιγαδικού z από τον i, είναι μεγαλύτερη από την
απόστασή του από τον μιγαδικό – 1 + 0i. Άρα ο z θα βρίσκεται στο ημιεπίπεδο
που ορίζεται από τη μεσοκάθετο του ΑΒ και από το σημείο Β, όπου Α και Β
τα σημεία με συντεταγμένες (0,1) και (–1,0) αντιστοίχως.
6. Έχουμε z
xi
x i
=
+
+
1
, άρα z
xi
x i
xi
x i
x
x
=
+
+
=
+
+
=
+
+
=
1 1 1
1
1
2
2
. Αφού z =1, η εικόνα
Μ του z θα βρίσκεται στον κύκλο με κέντρο Ο και ακτίνα ρ = 1.
22-0182-02.indb 80 26/11/2013 4:09:03 μμ
81
2.3
7. Από την ισότητα z i− =4 2 προκύπτει ότι η απόσταση
του Μ(z) από το σημείο Κ(0,4) είναι σταθερή και ίση με
2. Επομένως το Μ ανήκει σε κύκλο με κέντρο Κ(0,4)
και ακτίνα ρ = 2.
Σύμφωνα με την εφαρμογή 2 (σελ. 199), ο μιγαδικός
με το ελάχιστο μέτρο είναι ο z1
= 2i και ο μιγαδικός με
το μέγιστο μέτρο είναι ο z2
= 6i.
8. Είναι:
w z w z w− = ⇔ − = ⇔ − =1 2 1 2 1 2.
Αρα, οι εικόνες του w ανήκουν σε κύκλο με κέντρο το σημείο Κ(1,0) και ακτίνα
ρ = 2.
9. α΄ τρόπος:
Έστω z1
= x1
+ y1
i και z2
= x2
+ y2
i. Τότε:
z1
+ z2
= (x1
+ x2
) + (y1
+ y2
)i και z1
– z2
= (x1
– x2
) + (y1
– y2
)i.
Άρα:
z z z z x x y y x x y y1 2
2
1 2
2
1 2
2
1 2
2
1 2
2
1 2
2
+ + − = + + + + − + −( ) ( ) ( ) ( )
= + + + = +2 2 2 21
2
1
2
2
2
2
2
1
2
2
2
( ) ( )x y x y z z .
β΄ τρόπος:
Έχουμε:
z z z z z z z z z z z z1 2
2
1 2
2
1 2 1 2 1 2 1 2+ + − = + + + − −( )( ) ( )( )
= + + + + − − +z z z z z z z z z z z z z z z z1 1 1 2 2 1 2 2 1 1 1 2 2 1 2 2
= +2 21 1 2 2z z z z
= +2 21
2
2
2
z z .
22-0182-02.indb 81 26/11/2013 4:09:03 μμ
82
2.3
Άρα:
2 2 2 2
z z z x y x y≥ + ⇔ + ≥ +Re( ) Im( ) ( )
⇔ + ≥ + +2 22 2 2 2
( )x y x y x y
⇔ + ≥x y x y2 2
2
⇔ + − ≥x y x y
2 2
2 0
⇔ −( ) ≥x y
2
0,
που ισχύει.
2. Έχουμε τις ισοδυναμίες: w φανταστικός ⇔ = −w w
⇔
−
+
= −
−
+
z
z
z
z
1
1
1
1
⇔ − + = − − +( )( ) ( )( )z z z z1 1 1 1
⇔ + − − = − − + +zz z z zz z z1 1
⇔ =2 2zz ⇔ =zz 1
⇔ =z
2
1 ⇔ =z 1.
3. Έχουμε τις ισοδυναμίες:
⇔ + = +z
z
z
z
1 1
⇔ + = +z z z zz z2 2
⇔ − − − =zz z z z z( ) ( ) 0
⇔ − − =( )( )zz z z1 0
⇔ =zz 1 ή z z=
⇔ =z 1 ή z ∈R.
4. Έχουμε τις ισοδυναμίες: w φανταστικός ⇔ = −w w
⇔
−
− +
=
− +
+
z i
iz
z i
iz
α
α
α
α
( )
2.3 Β΄ ΟΜΑΔΑΣ
1. Αν z = x + yi, τότε:
2 2 22 2 2 2
z x y x y= ⋅ + = +( ) και Re( ) Im( )z z x y+ = + .
22-0182-02.indb 82 26/11/2013 4:09:06 μμ
83
2.3
⇔ + + − = − − −izz z z i izz z z iα α α α α α2 2
⇔ = −2 2α αz z
⇔ = −z z ⇔ z φανταστικός
5. Αν z = x + yi, επειδή η εικόνα του z ανήκει στον κύκλο κέντρου Ο(0,0) και ακτίνας
1, θα είναι z =1 ή, ισοδύναμα, x2
+ y2
= 1. Επομένως, θα έχουμε:
w
z i
iz
z i
iz
x y i
y xi
=
−
+
=
−
+
=
+ −
− + +
2
2
2
2
2 2 1
2
( )
( )
=
+ −
− +
=
+ − +
+ − +
4 2 1
2
4 4 4 1
4 4
2 2
2 2
2 2
2 2
x y
y x
x y y
y y x
( )
( )
=
+ − +
+ − +
=
⋅ − +
− +
=
4 4 1
4 4
4 1 4 1
1 4 4
1
2 2
2 2
( )
( )
x y y
x y y
y
y
.
6. Έχουμε:
2 1 2 2 1 2
2 2
z z z z− = − ⇔ − = −
⇔ − − = − −( )( ) ( )( )2 1 2 1 2 2z z z z
⇔ − − + = − − +4 2 2 1 2 2 4zz z z zz z z
⇔ =3 3zz ⇔ =zz 1
⇔ = ⇔ =z z
2
1 1.
Άρα, η εικόνα του z ανήκει στο μοναδιαίο κύκλο.
7. Έχουμε:
Α = + + + − −( )( ) ( )( )1 1 1 1z z z z
= + + + + − − +1 1z z zz z z zz
= +2 1( )zz
= +( )2 1
2
z = ⋅ =2 2 4.
Αν Μ, Κ και Λ είναι οι εικόνες των μιγαδικών
z, – 1 και 1, αντιστοίχως, τότε θα είναι:
1
2 2
+ =z ΜΚ , 1
2 2
− =z ΜΛ και 4 = ΚΛ2
.
Επομένως, η ισότητα 1 1 4
2 2
+ + − =z z , που
αποδείξαμε, γράφεται
ΜΚ2
+ ΜΛ2
= ΚΛ2
,
22-0182-02.indb 83 26/11/2013 4:09:10 μμ
84
2.3
που σημαίνει ότι το τρίγωνο ΜΚΛ είναι ορθογώνιο στο Μ.Αυτό ήταν αναμενόμενο,
αφού το Μ είναι σημείο του μοναδιαίου κύκλου και η ΚΛ διάμετρος αυτού.
8. ● Αν z = x + yi, τότε θα έχουμε:
z z i x yi x y i+ = + ⇔ + + = + +1 4 1 4( ) ( )
⇔ + + = + +( ) ( )x y x y1 42 2 2 2
⇔ + = +2 1 8 16x y
⇔ = −y x
1
4
15
8
.
Άρα, ο ζητούμενος γεωμετρικός τόπος
είναι η ευθεία ε: y x= −
1
4
15
8
.
● Το ζητούμενο σημείο είναι το ίχνος της καθέτου από την αρχή Ο στην ε. Η
κάθετος αυτή έχει εξίσωση y = – 4x και επομένως οι συντεταγμένες του σημείου
τομής της με την ε βρίσκεται από τη λύση του συστήματος
y x
y x
= −
= −




4
1
4
15
8
, που
είναι το ζεύγος
15
34
60
34
,−





 .
9. Έστω z1
= x1
+ y1
i και z2
= x2
+ y2
i. Επειδή το σημείο Μ1
κινείται στον κύκλο x2
+ y2
= 42
θα ισχύει
x y1
2
1
2
16+ = . (1)
Επομένως, η ισότητα z z
z
2 1
1
4
= + γράφεται διαδοχικά:
x y i x y i
x y i
2 2 1 1
1 1
4
+ = + +
+
x y i x y i
x y i
x y
2 2 1 1
1 1
1
2
1
2
4
+ = + +
−
+
( )
x y i x y i
x y i
2 2 1 1
1 14
16
+ = + +
−( )
(λόγω της (1))
x y i x y i
x y
i2 2 1 1
1 1
4 4
+ = + + −
x y i
x y i
2 2
1 15
4
3
4
+ = + .
22-0182-02.indb 84 26/11/2013 4:09:12 μμ
85
2.4
Επομένως, x
x
2
15
4
= και y
y
2
13
4
= , οπότε
x
x
1
24
5
= και y
y
1
24
3
= (2)
Αντικαθιστούμε τις τιμές αυτές των x1
και y1
στην (1) και έχουμε:
4
5
4
3
16
16
25
16
9
16
25 9
12
2
2
2
2
2
2
2
2
2
2
2
x y x y x y




 +





 = ⇔ + = ⇔ + = .
Άρα, το σημείο Μ2
κινείται στην έλλειψη με μεγάλο άξονα 2α = 10 και εστίες
E′(–4,0), E(4,0).
10. α) Έχουμε z z zz z
z
= ⇔ = ⇔ = ⇔ =1 1 1
12
β) Από τις ισότητες z z z z1 2 3 1= = = = =... κ έχουμε
z
z
1
1
1
= , z
z
2
2
1
= , z
z
3
3
1
= , …, z
z
κ
κ
=
1
.
Άρα
1 1 1
1 2
1 2
z z z
z z z+ + + = + + +... ...
κ
κ
= + + +z z z1 2 ... κ
= + + +z z z1 2 ... κ (αφού z z= ).
2.4 Α΄ ΟΜΑΔΑΣ
1. Έχουμε
α) ρ = + ( ) = =1 3 4 22
2
και
συν
ηµ
θ
θ
=
=






1
2
3
2
.
Άρα ένα όρισμα είναι το θ
π
=
3
. Επομένως:
1 3 2
3 3
+ = +





i iσυν ηµ
π π
22-0182-02.indb 85 26/11/2013 4:09:15 μμ
86
2.4
β) ρ = + −( ) = =1 3 4 22
2
και
συν
ηµ
θ
θ
=
= −






1
2
3
2
.
Άρα ένα όρισμα είναι το θ
π
= −
3
. Επομένως:
1 3 2
3 3
− = −





 + −











i iσυν ηµ
π π
.
γ) ρ = − + −( ) = =( )1 3 4 22
2
και
συν
ηµ
θ
θ
= −
= −






1
2
3
2
.
Άρα ένα όρισμα είναι το θ π
π π
= + =
3
4
3
. Επομένως:
− − = +





1 3 2
3 3
i iσυν ηµ
4 4π π
.
δ) ρ = − + ( ) =( )1 3 22
2
και
συν
ηµ
θ
θ
=
−
=






1
2
3
2
.
Άρα ένα όρισμα είναι το θ π
π π
= − =
3
2
3
. Επομένως:
ε) Είναι: 4 = 4∙1 = (συν0 + iημ0).
στ) Είναι: – 4 = 4(συνπ + iημπ).
2. α) 4 15 15 6 30 30 24 45 45( ) ( ) ( )συν ηµ συν ηµ συν ηµ     
+ ⋅ + = +i i i
= +





 = +24
2
2
2
2
12 2 12 2
i
i
22-0182-02.indd 86 28/11/2013 2:04:33 μμ
87
2.4
β) 5
8 8
2
3
8
3
8
10
2 2
συν ηµ συν ηµ συν ηµ
π π π π π π
+





⋅ +





 = +





i i i  = + =10 0 1 10( )i i
γ) συν ηµ συν ηµ συν ηµ
2
10
2
10
3
10
3
10
1 1
5
10
π π π π π
+





⋅ +





 = ⋅ +i i i
55
10
π





= + = + ⋅ =συν ηµ
π π
2 2
0 1i i i .
3. Έχουμε:
α)
25 160 160
5 100 100
5 60 60 5
1
2
( )
( )
( )
συν ηµ
συν ηµ
συν ηµ
 
 
 +
+
= + =
i
i
i ++





 = +
i
i
3
2
5
2
5 3
2
β)
6
5
6
5
6
3 3
6
5
6 3
5
6 3
συν ηµ
συν ηµ
συν ηµ
π π
π π
π π π π
+






+
= −





 + −
i
i
i












= +





 = ⋅ + ⋅ ⋅ =6
2 2
6 0 6 1 6συν ηµ
π π
i i i
γ)
7 130 130
14 20 20
1
2
150
( )
( ( ) ( ))
( ( )
συν ηµ
συν ηµ
συν ηµ
 
 
+
− + −
= +
i
i
i (( ))150
= − +





 = − +
1
2
3
2
1
2
3
4
1
4
i i.
4. Από το θεώρημα de Moivre έχουμε:
α) ( ( )) ( ( ) ( ))2 20 20 2 3 20 3 203 3
συν ηµ συν ηµ   
+ = ⋅ + ⋅i i
= + = +





 = +8 60 60 8
1
2
3
2
4 4 3( )συν ηµ 
i i i
β) 3
5
4
5
4
3 8
5
4
8
5
4
8
8
συν ηµ συν ηµ
π π π π
+











 = ⋅





 + ⋅





i i 






= ⋅ + ⋅( ) = + ⋅ =3 5 2 5 2 3 1 0 38 8 8
συν ηµ( ) ( ) ( )π πi i
γ) συν ηµ συν ηµ−





 + −











 = − + − =
π π
π π
4 4
4 4 1
16
i i( ) ( ) .
22-0182-02.indb 87 26/11/2013 4:09:20 μμ
88
2.4
5. Έχουμε
1
2
2
2
2
2 4 4
+
= + = +
i
i iσυν ηµ
π π
. Άρα:
1
2 4 4
3
2
3
2
6 6
+




 = +





 = −





 + −




− −
i
i iσυν ηµ συν ηµ
π π π π

 = − − =i i( )1 .
6. Αν z
i
=
+1 3
2
, τότε z i= +συν ηµ
π π
3 3
. Άρα:
z i2000
2000
3
2000
3
=





 +





συν ηµ
π π
= ⋅ +





 + ⋅ +





συν ηµ333 2
2
3
333 2
2
3
π
π
π
π
i
=





 +





 =
−
+ =
− +
συν ηµ
2
3
2
3
1
2
3
2
1 3
2
π π
i
i i
7. Έχουμε z i i1 3 2
6 6
= + = +





συν ηµ
π π
, οπότε z i1 2
6 6
ν ν νπ νπ
= +





συν ηµ .
Άρα:
z z z z z z1 2 1 1 1 1
1
2 2
6
2
6
ν ν ν ν ν ν ν ννπ νπ
+ = + = + = ⋅ = +
συν συν .
8. Έστω z i= +ρ ϕ ϕ( )συν ηµ . Επειδή i i= +συν ηµ
π π
2 2
, η διαίρεση του μιγαδικού
z με το i ισοδυναμεί με στροφή της διανυσματικής ακτίνας του z κατά γωνία −
π
2
.
9. Έχουμε:
z
w
i
i
i i
i i
i=
+
+
=
+( ) −
+ −
=
+
+
−1 3
1
1 3 1
1 1
3 1
2
3 1
2
( )
( )( )
. (1)
Όμως, z i= +





2
3 3
συν ηµ
π π
και w i= +





2
4 4
συν ηµ
π π
. Επομένως:
z
w
i
i
i=
+






+






= +




2
3 3
2
4 4
2
12 12
συν ηµ
συν ηµ
συν ηµ
π π
π π
π π

 = +2
12
2
12
συν ηµ
π π
i (2)
22-0182-02.indb 88 26/11/2013 4:09:24 μμ
89
2.4
Άρα, λόγω των (1) και (2), έχουμε:
2
12
3 1
2
2
12
3 1
2
συν
ηµ
π
π
=
+
=
−







, οπότε
συν
ηµ
π
π
12
3 1
2 2
2 3 1
4
12
3 1
2 2
2 3 1
4
=
+
=
+( )
=
−
=
−( )







10. Αν z = x + yi, τότε:
z z x y xyi x yi2 2 2
2= ⇔ − + = −
⇔
− =
= −



⇔
− − =
+ =



x y x
xy y
x y x
y x
2 2 2 2
2
0
2 1 0( )
2 2
20
0
1
00 ή
2
x y x
x x
yy x
 − − =
 − =
⇔ ⇔ 
== = − 

ή
y
x
2 3
4
1
2
=
= −






⇔
=
=



≠z x
y
0 1
0
ή
x
y
= −
=






1
2
3
2
ή
x
y
= −
= −






1
2
3
2
Άρα, έχουμε τους μιγαδικούς z1
= 1, z i2
1
2
3
2
= − + και z i3
1
2
3
2
= − − .
Για τον z1
έχουμε:
z1 1= και Argz1
= 0
Για τον z2
έχουμε:
z2 1= και Argz2
2
3
=
π
Τέλος, για τον z3
έχουμε:
z3 1= και Argz3
4
3
=
π
,
αφού z z2 3= .
22-0182-02.indb 89 26/11/2013 4:09:27 μμ
90
2.4
2.4 Β΄ ΟΜΑΔΑΣ
1. α) Ο μιγαδικός w
i
i
i
i
=
+ +
+ −





 =
+ +
+ −
1
1
1
1
συν ηµ
συν ηµ
συν ηµ
συν ηµ
θ θ
θ θ
θ θ
θ θ
ν ν
( )
( ))ν
ως πηλίκο δύο
συζυγών μιγαδικών θα έχει μέτρο 1. Για την εύρεση ενός ορίσματος του w
θεωρούμε το μιγαδικό w
i
i
1
1
1
=
+ +
+ −
συν ηµ
συν ηµ
θ θ
θ θ
και έχουμε
w
i
i i
1
2
1
1 1
=
+ +
+ − + +
( )
( )( )
συν ηµ
συν ηµ συν ηµ
θ θ
θ θ θ θ
=
+ − + +
+ +
( ) ( )
( )
1 2 1
1
2 2
2 2
συν ηµ ηµ συν
συν ηµ
θ θ θ θ
θ θ
i
=
+ + − + +
+ + +
1 2 2 1
1 2
2 2
2 2
συν συν ηµ ηµ συν
συν συν ηµ
θ θ θ θ θ
θ θ θ
i ( )
=
+ + +
+
2 2 2 1
2 2
2
συν συν ηµ συν
συν
θ θ θ θ
θ
i ( )
=
+ + +
+
2 1 2 1
2 1
συν συν ηµ συν
συν
θ θ θ θ
θ
( ) ( )
( )
i
=
+ +
+
= +
2 1
2 1
( )( )
( )
συν συν ηµ
συν
συν ηµ
θ θ θ
θ
θ θ
i
i .
Επομένως, έχουμε
w w i i= = + = +1
ν ν
θ θ νθ νθ( )συν ηµ συν ηµ .
Άρα, το μέτρο του w είναι 1 και ένα όρισμά του είναι το νθ.
β) Έχουμε:
2 2 2
2 2 2
1
2
2
2
2
1
2
2
2
2
1100
100
+ +
+ −





 =
+ +
+ −












=
+
i
i
i
i
σσυν ηµ
συν ηµ
α
π π
π π
4 4
1
4 4
100
+
+ −










=
i
i
( )
= + = + = −συν ηµ συν ηµ
100
4
100
4
25 25 1
π π
π πi i .
22-0182-02.indb 90 26/11/2013 4:09:29 μμ
91
2.4
2. α) Είναι
1 2
4 4
+ = +





i iσυν ηµ
π π
και 1 2
4 4
− = −





i iσυν ηµ
π π
.
Επομένως
( ) ( )1 1 2
4 4
2
4 4
+ = − ⇔ +





 = +





i i i iν ν ν ννπ νπ −νπ −νπ
συν ηµ συν ηµ 
⇔ −
−
= ∈
νπ νπ
κπ κ
4 4
2 , 
⇔ = ∈ν κ κ4 ,  .
β) Έχουμε
f
i i
i( )
( )
ν
π π π
ν ν ν
=
+




 +
−




 = +





 + −
1
2
1
2 4 4 4
α
συν ηµ συν




+ −











 =iηµ συν
π νπ
ν
4
2
4
,
οπότε
f f( )
( )
( )ν
ν π
π
νπ νπ
ν+ =
+
= +





 = − = −4 2
4
4
2
4
2
4
συν συν συν .
Άρα f(ν + 4) + f(ν) = 0.
3. Αν ΟΜ1 και ΟΜ 2 είναι οι διανυσματικές ακτίνες των εικόνων των μιγαδικών
z1
και z2
αντιστοίχως, τότε έχουμε:
z z z z1 2 1 2 1 2 1 2+ = + ⇔ + = +ΟΜ ΟΜ ΟΜ ΟΜ
⇔ ↑↑ΟΜ ΟΜ1 2 (βλ. Μαθηματικά β´ Λυκείου
κατεύθυνσης, άσκηση 15 σελ. 48)
⇔ =Argz Argz1 2 .
4. Έστω z = x + yi. Τότε:
α) z i x y i− = + −( )1 , οπότε
Arg z i
x
y
x
x
y
x
x
y x
( )− = ⇔

−
=




⇔

−
=





⇔

= +


π
π
6
0
1
6
0
1 3
3
0
3
3
1εϕ



.
Άρα, ο ζητούμενος γεωμετρικός τόπος είναι η ημιευθεία y x= +
3
3
1, x  0.
22-0182-02.indb 91 26/11/2013 4:09:32 μμ
92
2.4
β) z + 1 = x + yi, οπότε
Arg z
y
y
x
y x
y
( )+ = ⇔

+
=




⇔
= +




1
4
0
1 4
1
0
π
π
εϕ
.
Άρα, ο ζητούμενος γεωμετρικός τόπος είναι η ημιευθεία y = x + 1, x  –1.
γ)
z
z i
x yi
x y i
x y y
x y
x
x y
i
−
=
+
+ −
=
+ −
+ −
+
+ −( )
( )
( ) ( )1
1
1 1
2
2 2 2 2
, οπότε
Arg
z
z i
x y y
x
x y
x
−





 = ⇔
+ − =




⇔
+ −





 =





π
2
0
0
1
2
1
2
2 2 2
2 2





 0
.
Άρα, ο ζητούμενος γεωμετρικός τόπος είναι
τα σημεία του ημικυκλίου
x y x2
2 2
1
2
1
2
0+ −





 =





 , .
5. Είναι: z i z i+ − ≤ ⇔ − − + ≤2 5 2 2 5 2( ) . (1)
Άρα, η (1) παριστάνει τον κυκλικό δίσκο
που ορίζει ο κύκλος C με κέντρο Κ(–2,5)
και ακτίνα ρ = 2.
Έστω ΟΜ1
και ΟΜ2
οι εφαπτόμενες του
κύκλου C από την αρχή των αξόνων. Τότε
από όλα τα διανύσματα ΟΜ , όπου Μ
σημείο του κυκλικού δίσκου, τη μικρότερη
γωνία με τον άξονα x′x σχηματίζει το ΟΜ1,
και τη μεγαλύτερη το ΟΜ 2. Επομένως, από
όλους τους μιγαδικούς z που ικανοποιούν
την (1) το μικρότερο βασικό όρισμα το έχει ο
μιγαδικός z1
που απεικονίζεται στο Μ1
και το
μεγαλύτερο ο μιγαδικός z2
που απεικονίζεται
22-0182-02.indb 92 26/11/2013 4:09:33 μμ
93
2.4
στο Μ2
. Επειδή ο y′y εφάπτεται του κύκλου C στο Μ1
θα είναι z1
= 5i. Για τον
προσδιορισμό του z2
εργαζόμαστε ως εξής:
Η ΟΜ2
έχει εξίσωση της μορφής y = λx, λ ∈R και, επειδή εφάπτεται του C, θα
πρέπει το σύστημα
( )
( ) ( )
Σ
y x
x y
=
+ + − =



λ
2 5 42 2
να έχει διπλή λύση. Είναι όμως:
( )
( ) ( ) ( ) ( )
Σ
y x
x x
y x
x x
=
+ + − =



⇔
=
+ − − + =



λ
λ
λ
λ λ2 5 4 1 2 5 2 25 02 2 2 2
	
(1)	
								
(2)
Επομένως, πρέπει η διακρίνουσα της (2) να είναι ίση με μηδέν, δηλαδή πρέπει
4 5 2 4 25 1 0 10 21 0
21
20
2 2
( ) ( )λ λ λ λ− − ⋅ + = ⇔ − − = ⇔ = −
Στην περίπτωση αυτή το σύστημα έχει διπλή λύση την ( , ) ,x y = −






100
29
105
29
.
Αρα, z i2
100
29
105
29
= − + .
6. Είναι z iν
νθ νθ= +συν ηµ και z i−
= +ν
νθ νθσυν(− ηµ(−) ). Άρα:
z zν ν
νθ+ =−
2συν
z z iν ν
νθ− =−
2 ηµ .
7. α) Είναι
w i z i z= −( )⋅ = − ⋅ = + −( )⋅ = =3 3 3 1 1 4 22 2
( ) .
Άρα, ο γεωμετρικός τόπος των εικόνων του w είναι ο κύκλος κέντρου Ο(0,0)
και ακτίνας ρ = 2.
β) Επειδή w = 2 και Argw =
π
4
, έχουμε
w i i i= +





 = +





 = +2
4 4
2
2
2
2
2
2 2συν ηµ
π π
22-0182-02.indb 93 26/11/2013 4:09:36 μμ
94
2.4
8. Πρέπει
2
1
1
1
3
2
2
2
κ
κ
κ
κ
π+
−
+
= εϕ (1) και Im( )z =
+

2
1
02
κ
κ
. (2)
Όμως, η (1) γράφεται:
2
1
3 2 3 3 3 2 3 0 32
2 2κ
κ
κ κ κ κ κ
−
= ⇔ = − ⇔ + − = ⇔ = − ή κ =
3
3
,
οπότε, λόγω της (2), έχουμε κ =
3
3
. Άρα:
z i i=
−






+






+
+






=
−
+
+
2
2 2
1
3
3
1
3
3
2
3
3
1
3
3
1
1
3
1
1
3
2
33
3
1
1
3
1
2
3
2+
= + i .
9. Για να είναι f x( ) ≥ 0 για κάθε x ∈ R πρέπει και αρκεί να ισχύει ∆ ≤ 0. Όμως:
∆ ≤ ⇔ −( ) − ⋅ +( ) +( )≤0 2 4 1 1 1 01 2
2
1
2
2
2
z z z z
⇔ − ≤ +( ) +( )z z z z1 2
2
1
2
2
2
1 1
⇔ − − ≤ + +( )( ) ( )( )z z z z z z z z1 2 1 2 1 1 2 21 1
⇔ − − ≤ + + +( )( )z z z z z z z z z z z z1 2 1 2 2 2 1 1 1 2 1 21
⇔ − − + ≤ + + +z z z z z z z z z z z z z z z z1 1 1 2 2 1 2 2 2 2 1 1 1 2 1 21
⇔ + + + ≥ ⇔ + + + ≥1 0 1 1 01 2 1 2 1 2 1 2 1 2 1 2 1 2z z z z z z z z z z z z z z( ) ( )
⇔ + + ≥ ⇔ + + ≥( )( ) ( )( )1 1 0 1 1 01 2 1 2 1 2 1 2z z z z z z z z
⇔ + ≥1 01 2
2
z z , που ισχύει.
22-0182-02.indb 94 26/11/2013 4:09:39 μμ
95
2.5
2.5 Α΄ ΟΜΑΔΑΣ
1. α) Οι λύσεις της εξίσωσης είναι οι μιγαδικοί
z iκ
κπ κπ
= +συν ηµ
2
3
2
3
, κ = 0, 1, 2,
δηλαδή οι z0
= 1, z i1
1
2
3
2
= − + ,
.
β) Οι λύσεις της εξίσωσης είναι οι μιγαδικοί
z iκ
κπ κπ
= +συν ηµ
2
4
2
4
, κ = 0, 1, 2, 3,
δηλαδή οι z0 1= , z i1 = , z2 1= − , z i3 = − .
γ) Οι λύσεις της εξίσωσης είναι οι μιγαδικοί
z iκ
κπ κπ
= +συν ηµ
2
6
2
6
, κ = 0, 1, 2, 3, 4, 5,
δηλαδή οι
z0 1= , z i1
1
2
3
2
= + , z i2
1
2
3
2
= − + ,
z3 1= − , z i4
1
2
3
2
= − − , z i5
1
2
3
2
= − .
22-0182-02.indb 95 26/11/2013 4:09:41 μμ
96
2.5
2. α) Έχουμε z i z i3 3 3
2
3
2
= − ⇔ = +συν ηµ
π π
.
Άρα, οι λύσεις της εξίσωσης είναι οι μιγαδικοί
z iκ
κπ
π
κπ
π
=
+










+
+










συν ηµ
2
3
2
3
2
3
2
3
, κ = 0, 1, 2
δηλαδή οι z i i0
2 2
= + =συν ηµ
π π
z i i i1
7
6
7
6 6 6
3
2
1
2
=





 +





 = − − = − −συν ηµ συν ηµ
π π π π
και z i i i2
11
6
11
6 6 6
3
2
1
2
=





 +





 = − = −συν ηµ συν ηµ
π π π π
.
β) Έχουμε:
z i z i4 4
16
4
3
4
3
16
2
4
3
4
2
4
3
4
= +





 ⇔ =
+
+
+





συν ηµ συν ηµ
π π
κπ
π
κπ
π






⇔ =
+




 +
+










z i2
3 2
6
3 2
6
συν ηµ
κπ π κπ π
, κ = 0, 1, 2, 3
γ) z i z i5 5
243
5
6
5
6
243
2
5
6
5
2
5
6
5
= +





 ⇔ =
+
+
+



συν ηµ συν ηµ
π π
κπ
π
κπ
π







⇔ =
+




 +
+










z i3
2 5
30
2 5
30
συν ηµ
κπ π κπ π
,
κ = 0, 1, 2, 3, 4.
3. α) Έχουμε,
2 1
2
2
2
2
2 4 4
( )+
= + = +
i
i iσυν ηµ
π π
.
Επομένως, οι ρίζες της εξίσωσης είναι οι μιγαδικοί
22-0182-02.indb 96 26/11/2013 4:09:44 μμ
97
2.5
z i iκ συν ηµ συν η=
+
+
+










=
+




 +1
2
4
3
2
4
3
8
12
3
κπ
π
κπ
π
κπ π
µµ
8
12
κπ π+




 ,
κ = 0, 1, 2, δηλαδή οι z i0
12 12
=





 +





συν ηµ
π π
z i i1
3
4
3
4
2
2
2
2
=





 +





 = − +συν ηµ
π π
και z i i2
17
12
17
12
5
12
5
12
=





 +





 = − −συν ηµ συν ηµ
π π π π
.
β) Έχουμε
1 3
2
1
2
3
2
5
3
5
3
−
= − = +
i
i iσυν ηµ
π π
. Επομένως, οι ρίζες της εξί-
σωσης είναι οι μιγαδικοί
z iκ συν ηµ=
+










+
+










2
5
3
4
2
5
3
4
κπ
π
κπ
π
, κ = 0, 1, 2, 3.
γ) Έχουμε z i6
64= +( )συν ηµπ π . Επομένως, οι ρίζες της εξίσωσης είναι οι
μιγαδικοί
z iκ συν ηµ=
+




 +
+










64
2
6
2
6
6 κπ π κπ π
, κ = 0, 1, 2, 3, 4, 5.
4. α) Έχουμε z z z z z z3 2 3 2
3 4 8 3 4 8 0+ + = ⇔ + + − = . Με σχήμα Horner βρίσκου-
με ότι μια ρίζα είναι η z = 1 και η εξίσωση γράφεται:
( )( )z z z z− + + = ⇔ =1 4 8 0 12
ή z
i
i=
− ±
= − ±
4 4
2
2 2 .
β) Για την z z4 2
5 4 0+ + = , που είναι διτετράγωνη, θέτουμε z2
= w και έχουμε:
w w w w2
5 4 0
5 9
2
4+ + = ⇔ =
− ±
⇔ = − ή w = – 1.
22-0182-02.indb 97 26/11/2013 4:09:46 μμ
98
2.5
● Αν w = – 4,τότε z2
= – 4, οπότε z = 2i ή z = –2i
● Αν w = –1, τότε z2
= –1, οπότε z = i ή z = – i.
5. Η εξίσωση 3x3
– 10x2
+ 7x + 10 = 0 έχει πραγματικούς συντελεστές και, αφού έχει
ως ρίζα τον 2 + i, θα έχει και τον συζυγή του 2 – i. Έτσι το α′ μέλος θα έχει ως
παράγοντα το γινόμενο (x – 2 – i)(x – 2 + i) = x2
– 4x + 5. Εκτελούμε τη διαίρεση
και βρίσκουμε πηλίκο 3x + 2 και υπόλοιπο 0. Άρα η εξίσωση γράφεται:
( )( )3 2 4 5 0 3 2 02
x x x x+ − + = ⇔ + = ή x x2
4 5 0− + =
⇔ = −x
2
3
ή x i= ±2 .
6. Επειδή w3
= 1, είναι 1
1
1
02
3
+ + =
−
−
=w w
w
w
, οπότε l + w2
= – w και l + w = – w2
.
Έτσι, έχουμε:
( )( ) ( )( )1 1 2 2 4 42 2 2 3
− + + − = − − = =w w w w w w w , αφού w3
= l.
7. Είναι:
1 0
1
1
0
1 0
1
1
1
2 3 4 5
6 6 6
+ + + + + = ⇔
−
−
= ⇔
− =
≠



⇔
=
≠



x x x x x
x
x
x
x
x
x
.
Άρα οι ρίζες της εξίσωσης είναι οι μιγαδικοί:
x iκ συν ηµ= +
2
6
2
6
κπ κπ
, κ = 1, 2, 3, 4, 5,
αφού, για κ = 0, έχουμε x0
= 1, που εξαιρείται.
8. Έχουμε: z z z z z z3 2 2
3 3 9 0 3 3 3 0+ + + = ⇔ + + + =( ) ( )
⇔ + + = ⇔ + =( )( )z z z3 3 0 3 02
ή z2
3 0+ =
⇔ = −z 3 ή z i= ± 3.
Παρατηρούμε ότι οι εικόνες Α(–3,0), Β( , )0 3 , Γ ( , )0 3− των ριζών –3, i 3 και
3−i είναι κορυφές ισοπλεύρου τριγώνου, αφού ΑΒ = ΒΓ = ΓΑ= 2 3.
22-0182-02.indb 98 26/11/2013 4:09:49 μμ
99
2.5
2.5 Β΄ ΟΜΑΔΑΣ
1. α) Έχουμε z i z i3 3
1 2
4 4
= − ⇔ = −





 + −











συν ηµ
π π
⇔ =
−










+
−

















z i2
2
4
3
2
4
3
6
συν ηµ
κπ
π
κπ
π



, κ = 0, 1, 2.
β) Η εξίσωση γράφεται ισοδύναμα
( ) ( )( )z i z− = − +1 1 13 3
(1)
και επειδή δεν έχει ρίζα τον αριθμό z = – 1, παίρνει τη μορφή
z
z
i
−
+





 = −
1
1
1
3
. (2)
Θέτουμε
z
z
w
−
+
=
1
1
, (3)
οπότε η (2) γράφεται
w i3
1= − .
Έτσι, λόγω της (α), έχουμε
w i=
−
+
−










2
2
4
3
2
4
3
6
συν ηµ
κπ
π
κπ
π
, κ = 0, 1, 2. (4)
Όμως, λόγω της (3), είναι
z
z
w z zw w
−
+
= ⇔ − = +
1
1
1
⇔ − = +z w w( )1 1
⇔ =
+
−
z
w
w
1
1
, αφού
(4)
1w ≠ .
Ετσι, η εξίσωση έχει ως λύσεις τους αριθμούς:
22-0182-02.indb 99 26/11/2013 4:09:52 μμ
100
2.5
z
w
w
κ
κ
κ
=
+
−
1
1
, όπου w iκ
κπ
π
κπ
π
=
−
+
−










2
2
4
3
2
4
3
6
συν ηµ , κ = 0, 1, 2.
2. α΄ τρόπος: Η εξίσωση z6
+ 2z5
+ 2z4
+ 2z3
+ z2
+ (z + 1)2
= 0 γράφεται διαδοχικά
z6
+ 2z5
+ 2z4
+ 2z3
+ 2z2
+ 2z + 1 = 0
z6
+ 2(z5
+ z4
+ z3
+ z2
+ z + 1) – 1 = 0
z
z
z
6
6
2
1
1
1 0+
−
−
− =
(αφού ο z = 1 δεν είναι ρίζα της εξίσωσης)
z7
+ z6
– z – 1 = 0, 1z ≠
z6
(z + 1) – (z + 1) = 0, 1z ≠
(z + 1)(z6
– 1) = 0, 1z ≠ .
Επομένως, z = – 1 ή (z6
= 1, με 1z ≠ ). Για 1z ≠ , έχουμε:
z z z6 3 3
1 0 1 1 0− = ⇔ − + =( )( )
⇔ − + + + − + =( )( )( )( )z z z z z z1 1 1 1 02 2
⇔ + + =z z2
1 0 ή z + 1 = 0 ή z2
– z + 1 = 0
⇔ =
− ±
z
i1 3
2
ή z = – 1 ή z
i
=
±1 3
2
Επομένως, οι ρίζες είναι οι:
– 1 (διπλή),
− ±1 3
2
i
και
1 3
2
± i
.
β΄ τρόπος:
Μια προφανής ρίζα είναι η z = − l. Έτσι η εξίσωση, σύμφωνα με το σχήμα Horner,
γράφεται:
( )( )z z z z z z z+ + + + + + = ⇔ + =1 1 0 1 05 4 3 2
ή z z z z z5 4 3 2
1 0+ + + + + =
⇔ + =z 1 0 ή
z
z
6
1
1
0
−
−
=
⇔ = −z 1 ή ( z6
1= με 1z ≠ )
22-0182-02.indb 100 26/11/2013 4:09:55 μμ
101
2.5
⇔ = −z 1 ή z i= +συν ηµ
2
6
2
6
κπ κπ
, κ = 1, 2, 3, 4, 5
⇔ = −z 1 (διπλή) ή z
i
=
±1 3
2
ή z
i
=
− ±1 3
2
.
3. Έχουμε:
z z i z z7 7
1 0 1+ = ⇔ = − = + ⇔ =συν ηµπ π κ, κ = 0, 1, 2, 3, 4, 5, 6,
όπου z iκ
π κπ π κπ
=
+
+
+




συν ηµ
2
7
2
7
.
Επομένως
z i0
7 7
= +συν ηµ
π π
, z z4 2= ,
z i1
3
7
3
7
= +συν ηµ
π π
, z z5 1= ,
z i2
5
7
5
7
= +συν ηµ
π π
, z z6 0= .
z i3 1= + = −συν ηµπ π ,
Το πολυώνυμο z7
+ 1 γράφεται
z z z z z z z z7 6 5 4 3 2
1 1 1+ = + − + − + − +( )( ) (1)
Όμως
z z z z z z z z z z z z z z z7
0 1 2 3 4 5 61+ = − − − − − − −( )( )( )( )( )( )( )
= − − − + − − −( )( )( )( )( )( )( )z z z z z z z z z z z z z0 1 2 2 1 01
= + ⋅ − − ⋅ − − ⋅ − −( ) [( )( )] [( )( )] [( )( )]z z z z z z z z z z z z z1 0 0 1 1 2 2 (2)
Από τις ισότητες (1) και (2) έχουμε:
z z z z z z z z z z z z z z z z z z6 5 4 3 2
0 0 1 1 21− + − + − + = − − − − − −[( )( )][( )( )][( )( 22 )] .
Καθένας από τους τρεις παράγοντες του δευτέρου μέλους είναι τριώνυμο δευτέρου
βαθμού με πραγματικούς συντελεστές. Πράγματι, ο παράγοντας ( )( )z z z z− −0 0
γράφεται
22-0182-02.indb 101 26/11/2013 4:09:58 μμ
102
2.5
( )( ) ( )z z z z z z z z z z− − = − + +0 0
2
0 0 0 0
= − +z z2
2
7
1συν
π
.
Ομοίως ( )( ) ( )z z z z z z z z z z− − = − + +1 1
2
1 1 1 1
= − +z z2
2
3
7
1συν
π
και ( )( ) ( )z z z z z z z z z z− − = − + +2 2
2
2 2 2 2
= − +z z2
2
5
7
1συν
π
.
4. Έχουμε
( ) ( ) ( ) ( )( )z z z z z z z z z2 2 3 2 2 2 2 2
1 0 1 1 0 1 1 0+ + + = ⇔ + + + = ⇔ + + + =
⇔ + =z2
1 0 ή z z2
1 0+ + =
⇔ + =z2
1 0 ή ( z3
1= , με 1z ≠ )
⇔ = ±z i ή z = ω ή z = ω,
όπου ω
π π
= +συν ηµ
2
3
2
3
i , αφού 1z ≠ .
Θέτουμε, τώρα, καθεμιά από τις ρίζες αυτές στην εξίσωση z16
+ 2z14
+ 1 = 0 και
ελέγχουμε αν την επαληθεύουν ή όχι. Έτσι:
● Για z = i είναι:
z16
+ 2z14
+ 1 = i16
+ 2i14
+ 1 = 1 – 2 + 1 = 0.
Άρα, ο μιγαδικός i είναι ρίζα και της εξίσωσης z16
+ 2z14
+ 1 = 0. Επειδή η εξίσωση
αυτή έχει πραγματικούς συντελεστές, ο συζυγής του i, δηλαδή ο – i θα είναι και
αυτός ρίζα της. Άρα, οι αριθμοί i και – i είναι κοινές ρίζες των εξισώσεων.
● Για z = ω, επειδή ω3
= l, είναι:
ω ω ω ω ω ω16 14 15 12 2
2 1 2 1+ + = ⋅ + ⋅ +
= + + = + + + = + = ≠ω ω ω ω ω ω ω2 1 1 0 02 2 2 2 2
( )
Άρα, η ω δεν είναι κοινή ρίζα των εξισώσεων, οπότε και η συζυγής της δεν μπορεί
να είναι κοινή ρίζα αυτών.
22-0182-02.indb 102 26/11/2013 4:10:01 μμ
103
2.5
Τελικά, οι δύο εξισώσεις έχουν δύο ρίζες κοινές, τους μιγαδικούς i και – i.
5. α΄ τρόπος:
Η εξίσωση: z z7 3
1⋅ = γράφεται ισοδύναμα
z z z z z z z4 3 4 2 3
4 6
1 1 1( )⋅ = ⇔ ( ) = ⇔ = . (1)
Επομένως:
z z z z z z zz zz4 6 4 6 10 2 3
1 1 1 1 1 1= ⇔ = ⇔ = ⇔ = ⇔ = ⇔ =( ) .
Άρα η (1) γράφεται:
z zz z z4 3 4
1 1 1( ) = ⇔ = ⇔ = ± ή z i= ± .
β΄ τρόπος:
Έστω z i= +ρ θ θ( )συν ηµ η τριγωνομετρική μορφή του z. Τότε η εξίσωση
γράφεται
ρ θ θ ρ θ θ ρ θ θ7 3 10
1 1( ) ) ) )συν7 ηµ7 συν(−3 ηµ(−3 (συν4 ηµ4+ ⋅ +( ) = ⇔ + =i i i
⇔ =ρ 1 και 4 2θ κπ= , κ ∈
⇔ =ρ 1 και θ
κπ
=
2
, κ ∈.
Άρα, οι ρίζες είναι
z0 1= , z i i1
2 2
= + =συν ηµ
π π
,
z i2 1= + = −συν ηµπ π και z i i3
3
2
3
2
= + = −συν ηµ
π π
.
6. Έστω ξ μία πραγματική ρίζα της εξίσωσης. Τότε ( ) ( )1 1+ = −ξ ξν ν
i p i , οπότε
p
i
i
=
+
−
( )
( )
1
1
ξ
ξ
ν
ν
. Άρα p
i
i
i
i
i
i
i
i
=
+
−
=
+
−





 =
+
−
=
+
−






( )
( )
1
1
1
1
1
1
1
1
ξ
ξ
ξ
ξ
ξ
ξ
ξ
ξ
ν
ν
ν ν

= =
ν
ν
1 1.
7. α) Είναι:
x x1 2
2
1
2+ =
− −
=
( )
και x x1 2
4
1
4= = .
22-0182-02.indb 103 26/11/2013 4:10:05 μμ
104
2.5
Άρα,
x x x x x x1
2
2
2
1 2
2
1 2
2
2 2 2 4 4+ = + − = − ⋅ = −( ) και x x x x1
2
2
2
1 2
2
16= =( )
β) Αφού η εξίσωση x2
+ px + q = 0 έχει ρίζες τις ρ1 1
2
= x και ρ2 2
2
= x θα ισχύει:
p x x= − + = − + =( ) ( )ρ ρ1 2 1
2
2
2
4 και q x x= = =ρ ρ1 2 1
2
2
2
16.
8. α) Η εξίσωση συν συν συν2 2 2
2 5 4 0θ θ θ⋅ − ⋅ + − =z z ( ) είναι β′ βαθμού ως
προς z και έχει διακρίνουσα:
∆ θ θ θ= − − −( ) ( )2 4 5 42 2 2
συν συν συν
= − + = − +4 1 5 4 4 4 42 2 2 2
συν συν συν συνθ θ θ θ( ) ( )
2 2 2
16 (1 4 ) (4 η ) 0θ θ θ θ= − συν − συν = − συν  .
Έτσι έχουμε:
z
i i
i1 2 2
2 4
2
1 2 1
2, =
±
=
±
= ±
συν ηµ συν
συν
ηµ
συν συν
εϕ
θ θ θ
θ
θ
θ θ
θ.
β) Οι εικόνες των λύσεων, καθώς το θ μεταβάλλεται στο −






π π
2 2
, , είναι
τα σημεία με συνισταμένες ( , ) ,x y = ±






1
2
συν
εϕ
θ
θ . Έτσι, θα έχουμε:
x
y
=
= ±






1
2
συν
ηµ
συν
θ
θ
θ
, οπότε
x
y
2
2
2
2
2
1
4
=
=






συν
ηµ
συν
θ
θ
θ
και άρα
x
y
2
2
2 2
2
1
4
=
=






συν
ηµ
συν
θ
θ
θ
Επομένως
x y2
2
2
2
2
2
2
2
1 2
1
1− =
−
= =
ηµ
συν
συν
συν
θ
θ
θ
θ
. Άρα, οι εικόνες των λύσεων της
εξίσωσης κινούνται στην υπερβολή
x y2
2
2
2
1 2
1− = .
22-0182-02.indb 104 26/11/2013 4:10:08 μμ
105
9. Έχουμε
x x x x x x9 5 4 5 4 4
1 0 1 1 0− + − = ⇔ − + − =( )
⇔ − + =( )( )x x4 5
1 1 0
4
1 0⇔ − =x (1) ή x5
1 0+ = (2)
Όμως: x x x x4 2 2 2
1 0 1 1 0 1− = ⇔ − + = ⇔ =( )( ) ή 2
1 1= − ⇔ = ±x x ή x i= ±
και x x x i5 5 5
1 0 1+ = ⇔ = − ⇔ = +συν ηµπ π
⇔ =
+
+
+
x iσυν ηµ
2
5
2
5
κπ π κπ π
, κ = 0, 1, 2, 3, 4.
ΓΕΝΙΚΕΣ ΑΣΚΗΣΕΙΣ (Γ΄ ΟΜΑΔΑΣ)
1. α) Έχουμε
f
z
z z
z z
−





 =
− −





 −





 +






−





 + −






1
1
1
1
1
1 1
==
− +
⋅
−
− −
( ) ( )1 1
1 1
z
z
z
z
z z
=
−
− ⋅ +
− +
=
− +
+
=
( ) ( )
( )
( )( )
( )
z z
zz
z z
zz
z z
z z
f z
1 1
1 1
.
β) Έχουμε:
f z
zz z z
z z
x y yi
x
x y
x
y
x
i( ) =
+ − −
+
=
+ + −
=
+ −
+
1 2 1
2
1
2
2 2 2 2 2 2 2 2
α β β
α
α β
α
β
α
.
Έτσι:
Re( ( ))f z x y x y
x y
= ⇔ + − = ⇔ + = ⇔






+





0 1 0 1
1 1
2 2 2 2 2 2 2 2
2
2
2
α β α β
α β 
=2
1.
Άρα τα σημεία Μ(x,y) βρίσκονται στην έλλειψη
x y2
2
2
2
1 1
1
α β






+






= .
ΓΕΝΙΚΕΣ ΑΣΚΗΣΕΙΣ Γ’ ΟΜΑΔΑΣ
22-0182-02.indb 105 26/11/2013 4:10:11 μμ
106
2. Αν z = x + yi, τότε η ισότητα w w= 1 γράφεται διαδοχικά
z zi i− = −
1
α
α
x yi x yi i i+ − + = −( )
1
α
α
( ) ( )x y x y i i+ − − = −
1
α
α
Επομένως
x y
x y
+ =
− =




1
α
α
και με πολλαπλασιασμό κατά μέλη έχουμε x y2 2
1− =
που είναι εξίσωση ισοσκελούς υπερβολής.
3. α) Αν z = x + yi, τότε θα έχουμε
x
y
x
y
y x y x
= +
= −



⇔
= −
= −



⇔ = − − ⇔ = −
λ
λ
λ
λ
2
3 1
2
3 1
3 2 1 3 7( ) .
Άρα, ο γεωμετρικός τόπος των εικόνων του z είναι η ευθεία y = 3x – 7.
β) Έχουμε:
w z i w i= + + ⇔ = + +1 3 3( )λ λ .
Άρα, αν w = x + yi, τότε θα ισχύει:
x
y
x
y
y x y x
= +
=



⇔
= −
=



⇔ = − ⇔ = −
λ
λ
λ
λ
3
3
3
3
3 3 3 9( ) .
Επομένως, ο γεωμετρικός τόπος των εικόνων του w είναι η ευθεία y = 3x – 9.
γ) Το πλησιέστερο σημείο της ευθείας ε : y = 3x – 7 από το σημείο Ο(0,0) είναι
το ίχνος της κάθετης η προς την ε από το Ο(0,0). Επειδή λ λε η⋅ = −1, έχουμε
λη = −
1
3
. Άρα, η ευθεία η έχει εξίσωση y x= −
1
3
. Έτσι, το ζητούμενο σημείο
θα είναι το σημείο τομής των ε και η. Επιλύοντας το σύστημα
y x
y x
= −
= −




3 7
1
3
βρίσκουμε ότι οι συντεταγμένες του σημείου αυτού είναι ( , ) ,x y = −






21
10
7
10
.
ΓΕΝΙΚΕΣ ΑΣΚΗΣΕΙΣ Γ’ ΟΜΑΔΑΣ
22-0182-02.indb 106 26/11/2013 4:10:14 μμ
107
Άρα, το πλησιέστερο σημείο της ε προς το Ο θα είναι το Α
21
10
7
10
,−





 .
4. α) Αν z = x + yi, τότε
2 1 2 1 2 1z z i x yi x y i+  + ⇔ + +  + +( ) ( )
⇔ + +  + +( ) ( ) ( )2 1 2 12 2 2 2
x y x y
⇔ + + + − − − − 4 4 1 4 2 1 02 2 2 2
x x y x y y
⇔ + + − 3 4 3 2 02 2
x x y y
⇔ + +














+ − +

















x x y y2
2
2
2
2
2
3
2
3
2
1
3
1
3
2
3


 +






2 2
1
3
⇔ +





 + −





 





x y
2
3
1
3
5
3
2 2 2
.
Άρα, οι εικόνες των μιγαδικών z που
ικανοποιούν την ανίσωση είναι τα εσωτερικά
σημεία του κυκλικού δίσκου με κέντρο
Κ −






2
3
1
3
, και ακτίνα ρ =
5
3
.
β) Αν z = x + yi, τότε έχουμε
z z x yi x− = + ⇔ − + = +1 1 1 1Re( ) ( )
⇔ − + = +( )x y x1 12 2
⇔
− + = +
+ ≥



( ) ( )x y x
x
1 1
1 0
2 2 2
⇔
=
+ ≥



⇔ =
y x
x
y x
2
24
1 0
4 .
Άρα, οι εικόνες των μιγαδικών που ικανοποιούν την εξίσωση είναι τα σημεία
της παραβολής y2
= 4x.
ΓΕΝΙΚΕΣ ΑΣΚΗΣΕΙΣ Γ’ ΟΜΑΔΑΣ
22-0182-02.indb 107 26/11/2013 4:10:16 μμ
108
5. Αν zv
= xv
+ iyv
, ν = 1, 2, ..., κ, τότε
z z z x x x i y y y1 2 1 2 1 2+ + + = + + + + + + +... ( ... ) ( ... )κ κ κ
Επομένως, αν υποθέσουμε ότι z z z1 2 0+ + + =... κ , τότε θα έχουμε
x x x1 2 0+ + + =... κ και y y y1 2 0+ + + =... κ .	 (1)
Εφόσον, όμως, οι εικόνες των μιγαδικών z1
,
z2
, ..., zκ
βρίσκονται στο ίδιο ημιεπίπεδο της
ευθείας y = λx, x ∈Rκαι δεν ανήκουν σ’αυτήν,
θα ισχύει
(yv
 λxν
για κάθε ν) ή (yv
 λxν
για κάθε ν),
οπότε θα έχουμε
y y y x x x1 2 1 2+ + +  + + +... ( ... )κ κλ ή
y y y x x x1 2 1 2+ + +  + + +... ( ... )κ κλ .
Έτσι, λόγω της (1), θα ισχύει 0  λ∙0 ή 0  λ∙0, που είναι άτοπο.
6. Από την ισότητα, ( )1− =z zν ν
, αν z = x + yi, έχουμε:
( )1 1− = ⇔ − =z z z zν ν ν ν
⇔ − =1 z z
⇔ − − = +( )1 x yi x yi
⇔ − + = +( )1 2 2 2 2
x y x y
⇔ − =1 2 0x
⇔ =x
1
2
.
Άρα, κάθε λύση της εξίσωσης ανήκει στην ευθεία x =
1
2
.
7. α) Αφού το τριώνυμο f(x)=αx2
+ βx + γ μεα β γ, , ∈Rκαι α ≠ 0 δεν έχει πραγματικές
ρίζες, ως γνωστόν, οι τιμές του για κάθε x∈R θα είναι ομόσημες του α. Έτσι
οι f(κ), f(λ) θα είναι ομόσημοι του α, άρα και μεταξύ τους, οπότε f(κ)∙f(λ) 
0, δηλαδή
ΓΕΝΙΚΕΣ ΑΣΚΗΣΕΙΣ Γ’ ΟΜΑΔΑΣ
22-0182-02.indb 108 26/11/2013 4:10:19 μμ
109
(ακ2
+ βκ + γ)(αλ2
+ βλ + γ)  0.
β) Επειδή z z2 1= , έχουμε:
( )( ) ( )( )α β γ α β γ α β γ α β γz z z z z z z z1
2
1 2
2
2 1
2
1 1
2
1+ + + + = + + + +
= + + + +( )( )α β γ α β γz z z z1
2
1 1
2
1
= + + α β γz z1
2
1
2
0,
αφού ο z1
δεν είναι ρίζα του αz2
+ βz + γ.
8. Οι ρίζες της εξίσωσης zv
= 1 είναι οι:
z iκ
κπ
ν
κπ
ν
= +συν ηµ
2 2
, κ = 0, 1, 2, ..., ν–1.
Επομένως η σχέση 1 + z1
+ z2
+ ... + zν–1
= 0 γράφεται
1
2 4 2 1 2 4 2
+ + + +
−




+ + + +συν συν συν ηµ ηµ ηµ
π
ν
π
ν
ν π
ν
π
ν
π
ν
...
( )
...i
(( )ν π
ν
−




 =
1
0.
Άρα
ηµ ηµ ηµ
2 4 2 1
0
π
ν
π
ν
ν π
ν
+ + +
−
=...
( )
και
συν συν συν
2 4 2 1
1
π
ν
π
ν
ν π
ν
+ + +
−
= −...
( )
.
ΓΕΝΙΚΕΣ ΑΣΚΗΣΕΙΣ Γ’ ΟΜΑΔΑΣ
22-0182-02.indb 109 26/11/2013 4:10:21 μμ
22-0182-02.indb 110 26/11/2013 4:10:21 μμ
Β΄ ΜΕΡΟΣ
ΑΝΑΛΥΣΗ
22-0182-02.indb 111 26/11/2013 4:10:21 μμ
22-0182-02.indb 112 26/11/2013 4:10:21 μμ
113
ΚΕΦΑΛΑΙΟ 1
ΟΡΙΟ – ΣΥΝΕΧΕΙΑ ΣΥΝΑΡΤΗΣΗΣ
1.1 και 1.2 Α΄ ΟΜΑΔΑΣ
1. i) Η συνάρτηση f ορίζεται, όταν x2
– 3x + 2 ≠ 0.
Το τριώνυμο x2
– 3x + 2 έχει ρίζες: x = 1 ή x = 2.
Επομένως το πεδίο ορισμού της f είναι το σύνολο A = R – {1,2}.
ii) Η συνάρτηση f ορίζεται, όταν x − ≥1 0 και 2 0− ≥x , δηλαδή όταν x ≥1 και
2x ≤ . Επομένως το πεδίο ορισμού της f είναι το σύνολο A =[1,2].
iii) Η συνάρτηση f ορίζεται, όταν 1 02
− ≥x και x ≠ 0.
Η ανίσωση 1 02
− ≥x αληθεύει, όταν 2
1x ≤ , δηλαδή όταν − ≤ ≤1 1x .
Επομένως το πεδίο ορισμού της f είναι το σύνολο − ∪Α = [ 1,0) (0,1].
iv) Η συνάρτηση f ορίζεται, όταν 1 0 1 0−  ⇔  ⇔ e e xx x
. Άρα το πεδίο
ορισμού της f είναι το σύνολο −∞Α = ( ,0).
2. i) Η γραφική παράσταση της συνάρτησης f βρίσκεται πάνω από τον άξονα
των x για εκείνα τα x ∈R για τα οποία ισχύει
f x x x( )  ⇔ − + 0 4 3 02
⇔ ∈ −∞x ( ,1) ή x ∈ +∞(3, )
ii) Ομοίως έχουμε:
1
1
0 1 1 0
+
−
 ⇔ + −  ⇔ −
x
x
x x( )( ) 1   1x .
iii) Ομοίως είναι e e e ex x x
−  ⇔  ⇔  ⇔1 0 1 0
x  0.
3. i) Η γραφική παράσταση της f βρίσκεται πάνω από τη γραφική παράσταση
της g για εκείνα τα x ∈R για τα οποία ισχύει
f x g x x x x x x x x( ) ( ) ( ) ⇔ + +  + ⇔ +  ⇔ +  ⇔3 3 2
2 1 1 0 1 0 x  0.
ii) Ομοίως:
f x g x x x x x x x x x( ) ( ) ( ) ⇔ + −  + − ⇔ −  ⇔ −  ⇔3 2 3 2 2
2 2 0 1 0 x  1.
22-0182-02.indb 113 26/11/2013 4:10:24 μμ
114
1.1 και 1.2
4. α) Α(45) = 2,89∙45+ 70,64 = 200,69 cm
β) Γ(45) = 2,75∙45+71,48 = 195,23 cm.
5. Το τετράγωνο έχει περίμετρο x, οπότε η πλευρά του είναι
x
4
και το εμβαδό του
x2
16
.
Το ισόπλευρο τρίγωνο έχει περίμετρο 20 – x, οπότε η πλευρά του είναι
20
3
− x
και το εμβαδό του
3
4
20
3
2
−





x
.
Επομένως Ε = Ετετρ + Ετριγ =
x
x
2
2
16
+
3
36
(20 )− με x ∈( , )0 20 .
6. i) Είναι
f x
x
x
x
x
( )
,
,
= + =





1
0 0
2 0
.
Η γραφική παράσταση της f φαίνεται στο
διπλανό σχήμα.
Το σύνολο των τιμών της f είναι το f(A) =
{0,2}
ii) Είναι
f x x x
x x
x x
( )
,
,
= =
− 
≥




2
2
0
0
.
Η γραφική παράσταση της f φαίνεται στο
διπλανό σχήμα. Το σύνολο των τιμών της
f είναι το f(Α) = R.
iii) H γραφική παράσταση της f δίνεται
στο διπλανό σχήμα. Το σύνολο των
τιμών της f είναι το ∞f Α( ) = [2,+ ).
22-0182-02.indb 114 26/11/2013 4:10:26 μμ
115
1.1 και 1.2
iv) Είναι
f x
x x
x x
( )
ln ,
ln ,
=
−  
≤



0 1
1
.
Η γραφική παράσταση της f δίνεται στο
διπλανό σχήμα.
Το σύνολο των τιμών της f είναι το
0 ∞f Α( ) = [ ,+ ).
7. i) Η συνάρτηση f έχει πεδίο ορισμού το σύνολο A = R, ενώ η g το Β = +∞[ , )0 .
Είναι Α ≠ Β και επομένως οι συναρτήσεις f και g δεν είναι ίσες.
Για κάθε x ≥ 0 έχουμε
f x x x x g x( ) ( )= = = ( ) =2
2
.
Άρα οι συναρτήσεις f, g είναι ίσες στο διάστημα [ , )0 +∞ .
ii) Οι συναρτήσεις f, g έχουν πεδίο ορισμού το R*. Για κάθε x ∈ *R έχουμε:
f x
x
x x
x x
x x
x
x
g x( ) ( )=
−
+
=
−( ) +( )
+( )
=
−
=
2
2
1 1 1
1
1
.
Επομένως f = g.
iii) Η συνάρτηση f έχει πεδίο ορισμού το Α = ∪ +∞[ , ) ( , )0 1 1 . Για κάθε x ∈ Α, έχουμε
f x
x
x
x x
x x
x x
x
x( )
( ) ( )
=
−
−
=
− +( )
−( ) +( )
=
− +( )
−
= +
1
1
1 1
1 1
1 1
1
1.
Η συνάρτηση g έχει πεδίο ορισμού το Β = +∞[ , )0 . Επομένως οι συναρτήσεις f
και g έχουν διαφορετικά πεδία ορισμού, οπότε δεν είναι ίσες. Είναι όμως f(x)
= g(x) για κάθε x ∈ ∪ +∞[ , ) ( , )0 1 1 . Άρα οι f, g είναι ίσες στο [0,1) (1,+ )∪ ∞ .
8. Η συνάρτηση f ορίζεται στο Α = *R , ενώ η g στο Β = R – {1}. Επομένως, για
κάθε x ∈ −{ , }0 1R έχουμε:
( )( ) ( ) ( )
( )
f g x f x g x
x
x
x
x
x x
x x
+ = + =
+
+
−
=
− +
−
=
−
1
1
1
1
2 2
1
(1 )x x
( )( ) ( ) ( )
( )
f g x f x g x
x
x
x
x
x x
x x
− = − =
+
−
−
=
− −
−
=
−
−
1
1
1
1
2 2
1 2
(1 )
2
x
x x
22-0182-02.indb 115 26/11/2013 4:10:29 μμ
116
1.1 και 1.2
( )( ) ( ) ( )f g x f x g x
x
x
x
x
⋅ = =
+
⋅
−
=
+
−
1
1
1
1
x
x
f
g
x
f x
g x
x
x
x
x





 = =
+
−
=
−
( )
( )
( )
1
1
1 2
2
x
x
,
αφού για κάθε x ∈ −{ , }0 1R είναι g(x) ≠ 0.
9. Οι δύο συναρτήσεις έχουν κοινό πεδίο ορισμού το Α = +∞( , )0 , οπότε για κάθε
x ∈ Α έχουμε:
( )( ) ( ) ( )f g x f x g x+ = + = 2 x
( )( ) ( ) ( )f g x f x g x− = − =
2
x
( )( ) ( ) ( )f g x f x g x⋅ = = −x
x
x
x
1
=
12
−−
,
ενώ, για κάθε x ∈ ′Α με ( ) 0g x ≠ , δηλαδή με x ≠ l ισχύει:
f
g
x
f x
g x
x
x
x
x





 = =
+
−
=
−
( )
( )
( )
1
1
x
x
+1
1
.
10. i) Η f έχει πεδίο ορισμού το σύνολο Df
= R, ενώ η g το Dg = +∞[ , )0 . Για να
ορίζεται η παράσταση g(f(x)) πρέπει
( x Df∈ και f x Dg( )∈ ) ⇔ (x ∈ R και x2
0≥ ) ⇔ x ∈ R.
Επομένως, η g f ορίζεται για κάθε x ∈ R και έχει τύπο:
( )( ) ( ( )) ( )g f x g f x g x x x= = = =2 2
.
ii) Η f έχει πεδίο ορισμού το σύνολο Df
= R, ενώ η g το Dg
= [–1,1].
Για να ορίζεται η παράσταση g(f(x)) πρέπει:
(x Df∈ και f x Dg( )∈ ) ⇔ (x ∈ R και f x( ) [ , ]∈ −1 1 )
⇔ ηµx ∈ −[ , ]1 1 ⇔ x ∈ R.
22-0182-02.indb 116 26/11/2013 4:10:33 μμ
117
1.1 και 1.2
Επομένως, η g f ορίζεται για κάθε x ∈ R και έχει τύπο
iii) Ομοίως η f έχει πεδίο ορισμού το σύνολο Df
= R και η g το
R .
Για να ορίζεται η παράσταση g( f(x)) πρέπει:
( x Df∈ και f x Dg( )∈ ) ⇔ (x ∈ R και
π
κπ
π
4 2
≠ + , κ ∈ ) ⇔ x ∈ R.
Επομένως, η g f ορίζεται για κάθε x ∈ R και έχει τύπο
( )( ) ( ( ))g f x g f x g = =





 = =
π π
4 4
εϕ 1.
11. Η f έχει πεδίο ορισμού το Df
= R και η g το Dg = +∞[ , )2 . Για να ορίζεται η
παράσταση g(f(x)) πρέπει:
(x Df∈ και ( )x Dg
2
1+ ∈ ) ⇔ (x ∈ R και x2
1 2+ ≥ )
⇔ − ≥x2
1 0
⇔ ≥x 1 ή x ≤ −1
⇔ ∈ −∞ − ∪ +∞ =x ( , ] [ , )1 1 1Α .
Επομένως, η g f έχει πεδίο ορισμού το σύνολο Α1
, και τύπο:
( )( ) ( ( )) ( )g f x g f x g x = = + = −2
1 x2
1.
Για να ορίζεται η παράσταση f(g(x)) πρέπει
( x Dg∈ και g x Df( )∈ ) ⇔ ( x ≥ 2 και x − ∈2 R) ⇔ x ∈ +∞ =[ , )2 1Β .
Επομένως, η f g έχει πεδίο ορισμού το σύνολο Β1
και τύπο
( )( ) ( ( ))f g x f g x f x x x = = −( )= −( ) + = − + = −2 2 1 2 1
2
x 1 .
22-0182-02.indb 117 26/11/2013 4:10:37 μμ
118
1.1 και 1.2
12.i) Η συνάρτηση f(x) = ημ(x2
+ 1) είναι σύνθεση της h(x) = x2
+ 1 με τη g(x) = ημx.
ii) Η συνάρτηση f(x) = 2ημ2
3x + 1 είναι σύνθεση των συναρτήσεων h(x) = 3x,
g(x) = ημx και φ(x) = 2x2
+ 1.
iii) Η συνάρτηση f(x) = ln(e2x
– 1) είναι σύνθεση των συναρτήσεων h(x) = 2x,
g(x) = ex
– l και φ(x) = lnx.
iv) Η συνάρτηση f(x) = ημ2
3x είναι σύνθεση των συναρτήσεων h(x) = 3x, g(x)
= ημx και φ(x) = x2
.
1.1 και 2.2 Β΄ ΟΜΑΔΑΣ
1. i) Η ευθεία που διέρχεται από τα σημεία Α(1,0) και Β(0,1) έχει συντελεστή
κατεύθυνσης λ =
−
= −
1
1
1, οπότε η εξίσωσή της είναι:
y x y x− = − − ⇔ = − +0 1 1 1( )( ) .
Η ευθεία που διέρχεται από τα σημεία Γ(2,0) και Δ(l,1) έχει συντελεστή
κατεύθυνσης λ =
−
=
−
= −
1
1 2
1
1
1, οπότε η εξίσωσή της είναι:
y x y x− = − − ⇔ = − +0 1 2 2( )( ) .
Επομένως το σχήμα μας είναι η γραφική παράσταση της συνάρτησης
f x
x x
x x
( ) =
+1, 0  1
+ 2, 1  2
− ≤
− ≤



ii) H ευθεία που διέρχεται από τα σημεία Ο(0,0) και A(1,2) έχει λ = 2 και εξίσωση
y = 2x.
Η ευθεία που διέρχεται από τα σημεία A(1,2) και Β(2,0) έχει λ =
−
= −
2
1
2 και
εξίσωση y x y x− = − − ⇔ = − +0 2 2 2 4( ) .
Επομένως το σχήμα μας είναι η γραφική παράσταση της συνάρτησης
f x
x x
x x
( ) =
2 , 0 1
2 + 4, 1 2
≤ ≤
−  ≤



iii) Ομοίως έχουμε
f x
x
x
( ) =
1, [0,1) [2,3)
0, [1,2) [3,4)
∈ ∪
∈ ∪



.
22-0182-02.indb 118 26/11/2013 4:10:38 μμ
119
1.1 και 1.2
2. Το εμβαδόν των δύο βάσεων είναι 2πx2
, ενώ το εμβαδόν της παράπλευρης
επιφάνειας είναι 2πxh, όπου h το ύψος του κυλίνδρου. Έχουμε V x h= =π 628,
οπότε h
x x
=
628 200
2 2
π
 και το εμβαδόν της παράπλευρης επιφάνειας γίνεται:
2
200 400
2
π
π
x
x x
= . Επομένως, το κόστος Κ(x) είναι:
Κ ( ) ,x x
x
x
x
= ⋅ + ⋅ = +2 4
400
1 25 8
5002 2
π
π
π
π
με x  0.
Το εμβαδόν των βάσεων του κουτιού είναι π∙52
∙2 = 50π, ενώ το κόστος τους είναι
50∙π∙4 = 200π (δραχμ.).
Το εμβαδόν της παράπλευρης επιφάνειας είναι 2π∙5∙8 = 80π, ενώ το κόστος της
είναι 80π∙1,25 = 100π.
Επομένως το συνολικό κόστος είναι 300 942π ≅ λεπτά = 9,42 ευρώ.
3. ● Αν 0 1 ≤x , τότε:
Τα τρίγωνα ΑΜΝ και ΑBE είναι όμοια, οπότε
x x
( )
( )
( )
( )
ΑΒ
ΜΝ
ΒΕ
ΜΝ
= ⇔ =
1 2
⇔ =( )ΜΝ 2x.
Επομένως, το εμβαδόν του γραμμοσκιασμένου
χωρίου, δίνεται από τον τύπο
Ε ΜΝ( ) ( )x x x x x= ⋅ = ⋅ =
1
2
1
2
2 2
,
με 0 1 ≤x .
● Αν 1 3x≤ ≤ , τότε το εμβαδόν του γραμ-
μοσκιασμένου χωρίου είναι ίσο με
Ε ( ) ( )x x= ⋅ + −
1
2
1 2 1 2
= + − = −1 2 2 2 1x x , με 1 3 ≤x .
Άρα
x x
x x
( ) =
, 0  1
2 1, 1  3
2
≤
− ≤



Ε
22-0182-02.indb 119 26/11/2013 4:10:41 μμ
120
1.1 και 1.2
4. Από τα όμοια τρίγωνα ΑΒΓ και ΑΝΜ, έχουμε:
ΒΓ
ΜΝ
Α∆
ΑΕ ΜΝ
ΜΝ= ⇔ =
−
⇔ − =
10 5
5
2 5
x
x( ) .
Επομένως,
Ε Ε ΜΝ ΚΝ= = ⋅ = − = −( ) ( )x x x2 5 2 +102
x x, 0  x  5 και
P P x x x= = + = ⋅ − + ⋅ = −( ) ( )2 2 2 2 5 2ΜΝ ΚΝ 20 2x, 0  x  5.
5. i) ● Αν x  −1, τότε
f x
x x
x( ) =
− − − +
= −
1 1
2
● Αν − ≤ 1 1x , τότε
f x
x x
( ) =
+ − +
=
1 1
2
1
● Αν 1 x≤ , τότε
f x
x x
x( ) =
+ + −
=
1 1
2
.
Άρα
f x
x x
x
x x
( ) =
,  1
1, 1  1
, 1
− −
− ≤
≥





.
Η γραφική παράσταση της f δίνεται στο
διπλανό σχήμα.
Από τη γραφική παράσταση της f
φαίνεται ότι το σύνολο τιμών της f
είναι το σύνολο ∞[1,+ ).
ii) Έχουμε
f x
x x
x
( )
, [ , ]
, ( , ]
=
∈
∈



ηµ 0
0 2
π
π π
.
Η γραφική παράσταση της f δίνεται
στο διπλανό σχήμα. Το σύνολο τιμών
της f είναι το [0,1].
22-0182-02.indb 120 26/11/2013 4:10:43 μμ
121
1.1 και 1.2
6. i) Έχουμε: f(g(x)) = x2
+ 2x + 2, δηλαδή f (x + l) = x2
+ 2x + 2. Αν θέσουμε ω =
x + 1 ή, ισοδύναμα, x = ω – 1, τότε
f ( ) ( ) ( )ω ω ω ω ω ω ω= − + − + = − + + − + = +1 2 1 2 2 1 2 2 2 12 2 2
.
Επομένως f(x) = x2
+ 1.
ii) f g x x( ( )) = +1 2
, δηλαδή f x x( )− = +2 2
1 . Θέτουμε ω = – x2
, οπότε
f ( )ω ω= −1 , ω ≤ 0. Επομένως μια από τις ζητούμενες συναρτήσεις είναι
η f x x( ) = −1 , x ≤ 0.
iii) g f x f x f x x( ( )) ( ) ( )= ⇔ − = ⇔ − =συν συν συνx x1 12 2 2
⇔ = −f x x2 2
1( ) συν
⇔ = ⇔ =f x x f x x2 2
( ) ( )ηµ ηµ .
Μια τέτοια συνάρτηση είναι π.χ. η συνάρτηση , ή η συνάρτηση
f(x) = ημx ή η συνάρτηση f(x) = – ημx κ.τ.λ.
7. Οι συναρτήσεις f και g ορίζονται στο R.
— Για να ορίζεται η παράσταση f(g(x)) πρέπει:
(x ∈ R και g x( )∈R) ⇔ x ∈ R.
— Επομένως ορίζεται η ( )( )f g x και είναι
( )( ) ( ( )) ( 2) 2 1f g x f g x f x xα α= = + = + + = αx + 3.
— Για να ορίζεται η παράσταση g(f(x)) πρέπει: (x ∈ R και f x( )∈R) ⇔ x ∈ R.
Επομένως ορίζεται η ( )( )g f x και είναι
( )( ) ( ( )) ( 1) ( 1) 2g f x g f x g x xα= = + = + + = αx α+ ( + 2).
Θέλουμε να είναι f g g f = , που ισχύει μόνο όταν
(αx + 3 = αx + α + 2, για κάθε x ∈ R) 2 3α⇔ + = ⇔ α = 1.
8. Η συνάρτηση f ορίζεται στο Df
= R{α}, ενώ η g στο Dg = +∞[ , )0 .
α) Για να ορίζεται η f( f(x)) θα πρέπει:
( x Df∈ και f x Df( )∈ ) ⇔ ( x ≠ α και
α β
α
α
x
x
+
−
≠ )
( )2
και .fx a x Dβ α⇔ ≠ ≠ − ⇔ ∈
22-0182-02.indb 121 26/11/2013 4:10:48 μμ
122
1.1 και 1.2
Επομένως, η f f έχει πεδίο ορισμού το R{α} και τύπο
f f x
x
x
x
x
x x
x x
x
( ( ))
( )
=
+
−
+
+
−
−
=
+ + −
+ − +
=
+
α
α β
α
β
α β
α
α
α αβ β αβ
α β α α
α β2
2
2
αα β2
+
= x.
β) Για να ορίζεται η g(g(x)) θα πρέπει:
(x Dg∈ και x x Dg− + ∈2 1 ) ⇔ (x ≥ 0 και x x− + ≥2 1 0)
⇔ (x ≥ 0 και x −( ) ≥1 0
2
)
⇔ x ≥ 0 ⇔ ∈x Dg .
Επομένως η g g έχει πεδίο ορισμού το [ , )0 +∞ και τύπο
g g x g x x x( ( )) ( )= −( ) = −( ) −





 = − −( ) =1 1 1 1 1
2 2
2
2
= − −( ) = −( ) =1 1
2 2
x x x , αφού 0 1x≤ ≤ .
9. i) Έχουμε:
Ν ( )t t t t t t t t= +( ) + +



= + + +( ) = + +( )10 2 4 4 10 2 8 20 10 2 9 20
2
.
ii) Έχουμε:
10 2 9 20 120 2 9 20 12t t t t+ +( ) = ⇔ + +( ) =
⇔ + +( )=2 9 20 144t t
⇔ + + =t t9 20 72
⇔ + − =t t9 52 0
⇔ =t 4 ή ( t = −13, απορ.) ⇔ =t 16 .
Επομένως μετά από 16 χρόνια τα αυτοκίνητα θα είναι 120.000.
22-0182-02.indb 122 26/11/2013 4:10:52 μμ
123
1.3
1.3 Α΄ ΟΜΑΔΑΣ
1. i) Η συνάρτηση f x x( ) = −1 έχει πεδίο ορισμού το ∆ = −∞( , ]1 . Έστω x x1 2, ∈∆
με x x1 2 . Τότε έχουμε διαδοχικά:
−  −x x1 2
1 11 2−  −x x
1 11 2−  −x x
f x f x( ) ( )1 2 .
Άρα η f είναι γνησίως φθίνουσα στο ( , ]−∞ 1 .
ii) Η συνάρτηση f x x( ) ln( )= − −2 2 1 έχει πεδίο ορισμού το ∆ = +∞( , )2 . Έστω
x x1 2, ∈∆ με x x1 2 . Τότε έχουμε διαδοχικά:
x x1 22 2−  −
ln( ) ln( )x x1 22 2−  −
ln( ) ln( )x x1 22 1 2 1− −  − −
f x f x( ) ( )1 2 .
Άρα η f είναι γνησίως αύξουσα στο ( , )2 +∞ .
iii) Η συνάρτηση f x e x
( ) = +−
3 11
έχει πεδίο ορισμού το R. Έστω 1 2,x x ∈R με
x x1 2 . Τότε έχουμε διαδοχικά:
−  −x x1 2
1 11 2−  −x x
e ex x1 11 2− −

3 31 11 2
e ex x− −

3 1 3 11 11 2
e ex x− −
+  +
f x f x( ) ( )1 2 .
Άρα η f είναι γνησίως φθίνουσα στο R.
iv) H συνάρτηση f x x( ) ( )= − −1 12
έχει πεδίο ορισμού το ∆ = −∞( , ]1 . Έστω
x x1 2, ∈∆ με x x1 2 . Τότε έχουμε διαδοχικά:
22-0182-02.indb 123 26/11/2013 4:10:57 μμ
124
1.3
x x1 21 1 0−  − ≤
( ) ( )x x1
2
2
2
1 1−  −
( ) ( )x x1
2
2
2
1 1 1 1− −  − −
f x f x( ) ( )1 2 .
Άρα η f είναι γνησίως φθίνουσα στο ( , ]−∞ 1 .
2. i) Η f έχει πεδίο ορισμού το R.
Έστω x x1 2, ∈R με f x f x( ) ( )1 2= . Τότε έχουμε διαδοχικά:
3 2 3 21 2x x− = −
3 31 2x x=
x x1 2= .
Άρα η f είναι 1−1 στο R.
Για να βρούμε την αντίστροφη της f , θέτουμε y = f(x) και λύνουμε ως προς
x. Έχουμε, λοιπόν:
f x y x y x y x
y
( ) = ⇔ − = ⇔ = + ⇔ =
+
3 2 3 2
2
3
.
Επομένως f y
y−
=
+1 2
3
( ) , οπότε η αντίστροφη της f είναι η συνάρτηση
f x
x−
=
+1 2
3
( ) .
ii) Η συνάρτηση f(x) = x2
+ 1, δεν έχει αντίστροφη, γιατί δεν είναι 1–1, αφού
f(1) = f(–1), με 1 ≠ –1.
iii) Έχουμε f(1) = f(2) = 1 με 1 ≠ 2. Άρα η f δεν είναι 1–1 στο R. Συνεπώς δεν
έχει αντίστροφη.
iv) Η συνάρτηση f x x( ) = −13
έχει πεδίο ορισμού το ∆ = −∞( , ]1 .
Έστω x x1 2, ∈∆ με f x f x( ) ( )1 2= . Τότε, έχουμε διαδοχικά:
1 11
3
2
3− = −x x
1 11 2− = −x x
− = −x x1 2
x x1 2= .
22-0182-02.indb 124 26/11/2013 4:11:01 μμ
125
1.3
Άρα η f είναι 1–1 στο R.
Για να βρούμε την αντίστροφη θέτουμε y = f(x) και λύνουμε ως προς x. Έτσι
έχουμε:
f x y x y( ) = ⇔ − =13
⇔ − =1 3
x y , y ≥ 0
⇔ = −x y1 3
, y ≥ 0.
Επομένως f y y−
= −1 3
1( ) , y ≥ 0, οπότε η αντίστροφη της f είναι η f x x−
= −1 3
1( ) ,
x ≥ 0.
v) Η συνάρτηση f(x) = ln(l – x) έχει πεδίο ορισμού το ( , )−∞ =1 ∆.
Έστω x x1 2, ∈∆ με f x f x( ) ( )1 2= . Τότε έχουμε διαδοχικά
ln( ) ln( )1 11 2− = −x x
1 11 2− = −x x
− = −x x1 2
x x1 2= .
Άρα η f είναι 1–1 στο Δ.
Για να βρούμε την αντίστροφη της f θέτουμε y = f(x) και λύνουμε ως προς
x. Έτσι έχουμε:
f x y x y x e x ey y
( ) ln( )= ⇔ − = ⇔ − = ⇔ = −1 1 1
Επομένως f y e yy−
= − ∈1
1( ) , R, οπότε η αντίστροφη της f είναι η
f x e xx−
= − ∈1
1( ) , R.
vi) Η συνάρτηση f(x) = e–x
+ 1 έχει πεδίο ορισμού το R.
Έστω x x1 2, ∈R με f x f x( ) ( )1 2= . Τότε έχουμε διαδοχικά:
e ex x− −
+ = +1 2
1 1
e ex x− −
=1 2
x x1 2=
Άρα η f είναι 1–1 στο R.
22-0182-02.indb 125 26/11/2013 4:11:05 μμ
126
1.3
Για να βρούμε την αντίστροφη της f θέτουμε y = f(x) και λύνουμε ως προς
x. Έχουμε λοιπόν:
f x y e yx
( ) = ⇔ + =−
1
⇔ − = −
y e x
1
⇔ − = −ln( )y x1 , y  1
⇔ = − −x yln( )1 , y  1
Επομένως f y y−
= − −1
1( ) ln( ), y  1, οπότε η αντίστροφη της f είναι η
f x x−
= − −1
1( ) ln( ), x  1.
vii) Η συνάρτηση f x
e
e
x
x
( ) =
−
+
1
1
έχει πεδίο ορισμού το R.
Έστω x x1 2, ∈R με f x f x( ) ( )1 2= . Τότε έχουμε διαδοχικά:
e
e
e
e
x
x
x
x
1
1
2
2
1
1
1
1
−
+
=
−
+
e e e e e ex x x x x x x x1 2 2 1 1 2 1 2
1 1+ +
− + − = − + −
2 21 2
e ex x
=
x x1 2= .
Άρα η f είναι 1–1 στο R.
Για να βρούμε την αντίστροφη της f θέτουμε y = f(x), οπότε έχουμε:
f x y
e
e
y
x
x
( ) = ⇔
−
+
=
1
1
⇔ − = +e ye yx x
1
⇔ − = +e ye yx x
1
⇔ − = +e y yx
( )1 1
⇔ =
+
−
e
y
y
x 1
1
, με
1
1
0
+
−

y
y
.
⇔ =
+
−
x
y
y
ln
1
1
, με −  1 1y .
22-0182-02.indb 126 26/11/2013 4:11:09 μμ
127
1.3
Επομένως f y
y
y
−
=
+
−
1 1
1
( ) ln , y ∈ −( , )1 1 , οπότε η αντίστροφη της f είναι η
f x
x
x
−
=
+
−
1 1
1
( ) ln , x ∈ −( , )1 1 .
viii) Η f δεν είναι 1–1, γιατί f(0) = f(2) = 0 με 2 ≠ 0. Άρα η f δεν αντιστρέφεται.
3. Οι συναρτήσεις f, φ και ψ αντιστρέφονται,
αφού οι παράλληλες προς τον άξονα των x
τέμνουν τις γραφικές τους παραστάσεις το πολύ
σ’ένα σημείο.Αντίθετα η g δεν αντιστρέφεται.
Οι γραφικές παραστάσεις των αντίστροφων
των παραπάνω συναρτήσεων φαίνονται στα
σχήματα.
4. i) Η f είναι γνησίως αύξουσα στο Δ, οπότε για κάθε x x1 2, ∈∆ με x x1 2 έχουμε
διαδοχικά:
f x f x( ) ( )1 2
−  −f x f x( ) ( )1 2
( )( ) ( )( )−  −f x f x1 2 .
Επομένως η – f είναι γνησίως φθίνουσα στο Δ.
ii) Έστω x x1 2, ∈∆ με x x1 2 . Επειδή οι f, g είναι γνησίως αύξουσες στο Δ θα
ισχύει
f x f x( ) ( )1 2 και g x g x( ) ( )1 2 ,
22-0182-02.indb 127 26/11/2013 4:11:11 μμ
128
1.4
οπότε θα έχουμε
f x g x f x g x( ) ( ) ( ) ( )1 1 2 2+  + ,
ή, ισοδύναμα,
( )( ) ( )( )f g x f g x+  +1 2 .
Άρα, η f + g είναι γνησίως αύξουσα στο Δ.
iii) Έστω x x1 2, ∈∆ με x x1 2 . Επειδή οι f, g είναι γνησίως αύξουσες στο Δ, θα
ισχύει
f x f x( ) ( )1 2 και g x g x( ) ( )1 2
και επειδή, επιπλέον, είναι f x( )1 0≥ και g x( )1 0≥ , θα έχουμε
f x g x f x g x( ) ( ) ( ) ( )1 1 2 2 ,
οπότε
( )( ) ( )( )fg x fg x1 2 .
Άρα η fg είναι γνησίως αύξουσα στο Δ.
1.4 Α΄ ΟΜΑΔΑΣ
1. Από τα σχήματα βρίσκουμε ότι:
i) lim ( )
x
f x
→
=
3
0 και f ( )3 2=
ii) lim ( )
x
f x
→
=
2
2 και f ( )2 4=
iii) ● lim ( )
x
f x
→ −
=
1
2 και lim ( )
x
f x
→ +
=
1
1, οπότε η f δεν έχει όριο στο 1, ενώ είναι
f(1) = 1.
● lim ( )
x
f x
→ −
=
2
0 και lim ( )
x
f x
→ +
=
2
1, οπότε η f δεν έχει όριο στο 2.
Επιπλέον, η f δεν ορίζεται στο 2.
iv) ● lim ( )
x
f x
→ −
=
1
0 και lim ( )
x
f x
→ +
=
1
1, οπότε η f δεν έχει όριο στο 1, ενώ είναι
f ( )1 1= .
● lim ( )
x
f x
→ −
=
2
1 και lim ( )
x
f x
→ +
=
2
2 , οπότε η f δεν έχει όριο στο 2, ενώ είναι
f(2) = 2.
● lim ( ) lim ( )
x x
f x f x
→ →
= =−3 3
2 , ενώ η f δεν ορίζεται στο 3.
22-0182-02.indb 128 26/11/2013 4:11:16 μμ
129
1.4
2. i) Η συνάρτηση f έχει πεδίο ορισμού το R – {2}
και γράφεται
f x
x x
x
x( )
( )( )
=
− −
−
= −
2 3
2
3.
Από τη γραφική παράσταση της f (διπλανό
σχήμα) βρίσκουμε: lim ( )
x
f x
→
= −
2
1.
ii) Ομοίως από τη γραφική παράσταση της
f (διπλανό σχήμα) βρίσκουμε: lim ( )
x
f x
→
=
1
1
iii) Ομοίως από τη γραφική παράσταση της
f (διπλανό σχήμα) βρίσκουμε
lim ( )
x
f x
→ −
=
1
1 και lim ( )
x
f x
→ +
=
1
0, οπότε, η
f δεν έχει όριο στο x0
= 1.
iv) H συνάρτηση f στο πεδίο ορισμού της
R – {0} γράφεται
f x x
x
x
x x
x x
( )
,
,
= + =
+ 
− 



1 0
1 0
οπότε από τη γραφική παράσταση της f Cf
(διπλανό σχήμα) βρίσκουμε:
lim ( )
x
f x
→ −
= −
0
1 και lim ( )
x
f x
→ +
=
0
1.
Επομένως, η f δεν έχει όριο στο x0
= 0.
22-0182-02.indb 129 26/11/2013 4:11:18 μμ
130
1.4
3. i) H f στο πεδίο ορισμού της R – {–1,1} γράφεται:
f x
x x x
x
x x
x
x( )
( ) ( ) ( )( )
=
− + −
−
=
− +
−
= +
2 2
2
2
2
1 3 1
1
1 3
1
3.
Από τη γραφική παράσταση της f που
φαίνεται στο διπλανό σχήμα βρίσκουμε:
lim ( )
x
f x
→−
=
1
2 και lim ( )
x
f x
→
=
1
4.
ii) Η f στο πεδίο ορισμού της R−






1
3
γράφεται:
f x
x x
x
x x
x
( )
( ) ( ) ( )
=
+ −
−
=
+ −
−
1 3 1
3 1
1 3 1
3 1
2
,
οπότε
f x
x x
x x
( )
( ),
,
=
− + 
+ 






1
1
3
1
1
3
αν
αν
Από τη γραφική παράσταση της f που
φαίνεται στο διπλανό σχήμα βρίσκουμε:
lim ( )
x
f x
→
−
= −
1
3
4
3
και lim ( )
x
f x
→
+
=
1
3
4
3
.
Επομένως, η f δεν έχει όριο στο x0
1
3
= .
4. i) Είναι αληθής, αφού lim ( ) lim ( )
x x
f x f x
→− →−
= =+2 2
2.
ii) Δεν είναι αληθής, αφού lim ( )
x
f x
→ +
=
1
2.
iii) Δεν είναι αληθής, αφού lim ( )
x
f x
→ −
=
1
1 και lim ( )
x
f x
→ +
=
1
2 , που σημαίνει ότι η
f δεν έχει όριο στο x0
= 1.
22-0182-02.indb 130 26/11/2013 4:11:21 μμ
131
1.5
iv) Αληθής, αφού lim ( ) lim ( )
x x
f x f x
→ →− +
= =
2 2
3.
ν) Δεν είναι αληθής, αφού lim ( )
x
f x
→
=
3
3.
vi) Αληθής, αφού lim ( ) lim ( )
x x
f x f x
→ →− +
= =
4 4
3.
5. Το lim ( )
x x
f x
→ 0
υπάρχει, αν και μόνο αν
lim ( ) lim ( )
x x x x
f x f x
→ →− +
= ⇔ − = ⇔ =
0 0
2
6 3λ λ λ ή λ = −2.
1.5 Α΄ ΟΜΑΔΑΣ
1. i) Έχουμε lim( )
x
x x x
→
− − + = − ⋅ − ⋅ + =
0
5 3 5 3
4 2 5 0 4 0 2 0 5 5
ii) lim( )
x
x x x
→
− + − = − ⋅ + − = −
1
10 3 10 3
2 1 1 2 1 1 1 1
iii) lim( ) lim( )
x x
x x x x
→− →−
+ + = + +



=
1
8 20
1
8
20
20
2 3 2 3 2
iv) lim ( ) lim( ) lim ( )
x x x
x x x x x x
→ → →
− − −


 = − − − = − ⋅ =
3
3 2
3
3
3
2 3
5 2 3 5 2 3 2 0 00
v) lim
lim( )
lim( )x
x
x
x x
x
x x
x→
→
→
+ −
+
=
+ −
+
=
−
= −
1
4
1
4
1
2 5
3
2 5
3
2
4
1
2
vi) lim
lim
lim( )x
x
x
x x x
x x
x x x
x x→
→
→
− + −
+ +
=
− + −( )
+ +
= =
0
2
2
0
2
0
2
3 2
1
3 2
1
2
1
2
vii) lim ( ) lim( )
x x
x x
→ →
+ = + = =
1
23
1
2
3
23 3
2 2 3 9.
viii) lim
lim
lim( )x
x
x
x x
x x
x x
x x→
→
→
+ + −
+ +
=
+ + −( )
+ +
= =
1
2
2
1
2
1
2
2 2
4 3
2 2
4 3
0
8
0.
2. Έχουμε:
i) lim ( ) lim[ ( ( )) ]
x x
g x f x
→ →
= − = ⋅ − =
2 2
2 2
3 5 3 4 5 43.
ii) lim ( )
lim ( )
lim( ( ))x
x
x
g x
f x
f x→
→
→
=
−
+
=
−
+
=
2
2
2
2
2 11
1
3
16 1
3
17
.
22-0182-02.indb 131 26/11/2013 4:11:25 μμ
132
1.5
iii) lim ( ) lim( ( ) )lim( ( ) ) ( )( )
x x x
g x f x f x
→ → →
= + − = + − =
2 2 2
2 3 4 2 4 3 6 .
3. i) Για x = 2 μηδενίζονται και οι δύο όροι του κλάσματος. Για x ≠ 2 έχουμε:
f x
x
x
x x
x x x
x x
x x
( )
( )( )
( )( )
( )( )
=
−
−
=
− +
− + +
=
+ +
+
4
3
2 2
2
2
2
16
8
4 4
2 2 4
2 4
2 ++ 4
Επομένως,
lim ( ) lim
( )( )
x x
f x
x x
x x→ →
=
+ +
+ +
=
⋅
=
2 2
2
2
2 4
2 4
4 8
12
8
3
.
ii) Ομοίως για x ≠ 1 έχουμε:
f x
x x
x
x x
x x
x
x
( )
( )( )
( )( )
=
− +
−
=
− −
− +
=
−
+
2 3 1
1
2 1 1
1 1
2 1
1
2
2
οπότε
lim ( ) lim
x x
f x
x
x→ →
=
−
+
=
1 1
2 1
1
1
2
.
iii) Ομοίως για x ≠ 1έχουμε:
f x x
x
x
x x x
x
x
( ) =
−
−
=
−
−





 +






=
+
=
+
1
1
1
1
1
1
1
1
1
1
1
1
1 1
2
.
Επομένως,
lim ( ) lim
x x
f x
x
x→ →
=
+
=
1 1 1
1
2
.
iv) Ομοίως για x ≠ 0 έχουμε:
f x
x
x
x x x
x
( )
( ) ( )[( ) ( ) ]
=
+ −
=
+ − + + + ⋅ +3 27 3 3 3 3 3 93 2
= + + + +( ) ( )x x3 3 3 92
.
Επομένως,
lim ( ) lim[( ) ( ) ]
x x
f x x x
→ →
= + + + + =
0 0
2
3 3 3 9 27 .
4. Έχουμε:
i) lim lim lim lim
x x x x
x
x
x
x
x
x x→ → → →
−
−
=
−
−( )
=
−
+( ) −( )
=
9 9 2
2 9 9
3
9
3
3
3
3 3
1
3++
=
x
1
6
22-0182-02.indb 132 26/11/2013 4:11:27 μμ
133
1.5
ii) lim lim lim
(
x x x
x
x
x x
x x
→ → →
− −
=
− −( ) + −( )
+ −( )
=
−
0
2
2 0
2 2
2 2 0
1 1 1 1 1 1
1 1
1 1−−
+ −( )
x
x x
2
2 2
1 1
)
=
+ −
=
→
lim
x
x0 2
1
1 1
1
2
iii) lim lim
x x
x
x
x x x
x x
→ →
+ −
+ −
=
+ −( ) + +( ) + +( )
+ +( ) +
2 2 2
2
2 2
2 2
5 3
2 2 2 2 5 3
5 3 5 −−( ) + +( )3 2 2x
=
− + +( )
− + +( )→
lim
( )
( )x
x x
x x2
2
2
2 5 3
4 2 2
=
+ +
+ + +( )
= =
→
lim
( )x
x
x x2
2
5 3
2 2 2
6
16
3
8
iv) lim lim
( )( )
lim
( )
x x x
x
x x
x
x x
x
x x
→ → →
−
− +
=
−( )
− −
=
−
− ( ) −
4 2 4 4 2
2
5 4
2
1 4
2
1 222



=
−
− +( ) −( )→
lim
( )x
x
x x x4
2
1 2 2
=
− +( )
=
→
lim
( )x
x x4
1
1 2
1
12
.
5. i) Για x  1 είναι f x x( ) = 2
, οπότε lim ( )
x
f x
→ −
=
1
1.
Για x  1 είναι f(x) = 5x, οπότε lim ( )
x
f x
→ +
=
1
5.
Επομένως δεν υπάρχει όριο της f στο 1.
ii) Για x  – 1 είναι f x x( ) = −2 , οπότε lim ( )
x
f x
→− −
=
1
2.
Για x  – 1 είναι f x x( ) = +2
1, οπότε lim ( )
x
f x
→− +
=
1
2.
Επομένως lim ( )
x
f x
→−
=
1
2.
22-0182-02.indb 133 26/11/2013 4:11:31 μμ
134
1.5
6. Έχουμε:
i) lim lim
x xx
x
x→ →
= = ⋅ =
0 0
3
3
3
3
3 1 3
ηµ ηµx
ii) lim lim lim lim
x x x x
x
x x x x x→ → → →
= ⋅





 = ⋅ =
0 0 0 0
1 1
1
εϕ ηµ
συν
ηµ
συν
x x
⋅⋅ =1 1
iii) lim lim lim
x x x
x
x
x
→ → →
= ⋅





 =
0 0 0
4
2
4
2
1
4
2
4
4εϕ
ηµ
ηµ
ηµ συν
ηµ
ηµ
x
x x
x
22
2
1
4
2
1
1
1
1
2
x x
x
⋅










= ⋅ ⋅ =
συν
iv) lim lim lim
x x x
x
x x x→ → →
−




 = −





 = − = − =
0 0 0
1 1 1 1 0
ηµ ηµ ηµx x x
v) lim lim lim
x x xx x x x→ → →+
= ⋅
+
= ⋅ =
0 3 0 0 2
1
1
1 1 1
ηµ ηµx x
vi) lim lim
x x
x
x x
x→ →
+ −
=
+ +( )
+ −0 0
5
5 4 2
5 5 4 2
5 4 4
ηµ ηµx
= ⋅ + +( )= ⋅ =
→ →
lim lim
x x
x
x
x
0 0
5
5
5 4 2 1 4 4
ηµ
.
7. i) Έχουμε,
lim lim lim
( )(
x x x
x
x
x
x
x x
→ → →+
=
−
+
=
− +
π π π
ηµ
συν
συν
συν
συν συν2 2
1
1
1
1 1 ))
( )
lim( )
1
1 2
+
= − =
→συν
συν
x
x
x π
.
ii) Έχουμε,
lim lim lim
x x x
x
x
x
x x
x
x→ → →
−
= = =
0
2
0
2
0
1
2 2 2
0
συν
ηµ
ηµ
ηµ συν
ηµ
συν
iii) Έχουμε,
lim lim lim
x x x
x
x
x
x x x→ → →
= = =
0 0 02 2
1
2
1
2
ηµ
ηµ
ηµ
ηµ συν συν
.
8. i) Είναι, lim( )
x
x
→
− =
0
2
1 1 και lim( )
x
x
→
+ =
0
2
1 1, οπότε από το θεώρημα της παρεμβολής
είναι lim ( )
x
f x
→
=
0
1.
ii) Ομοίως, lim( )
x
x
→
− =
0
4
1 1 και lim
x x→
=
0 2
1
1
συν
, οπότε lim ( )
x
f x
→
=
0
1.
22-0182-02.indb 134 26/11/2013 4:11:35 μμ
135
1.5
9. Είναι:
lim ( ) lim ( ) lim ( )
x x x
f x f x f x
→ → →
= ⇔ = =− +3 3 3
10 10
⇔ + = + =
→ →− +
lim( ) lim( )
x x
x x
3 3
2 3 10α β α β
⇔ + = + =6 3 3 10α β α β
⇔
+ =
+ =



6 10
3 3 10
α β
α β
⇔ =α
4
3
και β = 2.
1.5 Β΄ ΟΜΑΔΑΣ
1. i) Για x = 2 μηδενίζονται και οι δύο όροι του κλάσματος. Με το σχήμα του Horner
βρίσκουμε x x x x x x3 2 2
2 2 1− − − = − + +( )( ), οπότε
lim lim
( )( )
( )( )
lim
x x x
x x x
x
x x x
x x x→ →
− − −
−
=
− + +
− + +
=
2
3 2
3 2
2
2
2
8
2 1
2 2 4 →→
+ +
+ +
=
2
2
2
1
2 4
7
12
x x
x x
ii) lim
( )
lim lim
( )
x x x
x x
x
x x x
x
x x
→
+
→
+
→
− + +
−
=
− − +
−
=
− −
1
1
1
1
1
1
1 1
1ν ν ν
ν ν ν ν νν ( )x
x
−
−
1
1
=
− + + + + −
−→
− −
lim
( )[ ( ... ) ]
x
x x x x x
x1
1 2
1 1
1
ν ν
ν
= + + + + − = − =
→
− −
lim[ ( ... ) ]
x
x x x x
1
1 2
1 0ν ν
ν ν ν
iii) Θέτουμε x t= , οπότε
lim lim lim
( )( )
( )(x t t
x
x x x
t
t t
t t
t t→ → →
−
+ −
=
−
+ −
=
− +
− +1 1
2
3 1 2
1
2
1
2
1 1
1 tt + 2)
(Σχήμα Horner)
=
+
+ +
= =
→
lim
t
t
t t1 2
1
2
2
4
1
2
.
2. i) Έχουμε:
f x
x x
x
x
x
x
x
( )
( ) ,
,
=
+ +
+
=
+
+
=
−  −
 −



2 2
10 25
5
5
5
1 5
1 5
αν
αν
,
22-0182-02.indb 135 26/11/2013 4:11:38 μμ
136
1.5
οπότε
lim ( )
x
f x
→− −
= −
5
1 και lim ( )
x
f x
→− +
=
5
1.
Επομένως δεν υπάρχει όριο της f στο 5.
ii) Για x  5 είναι:
f x
x x x
x
x x x
x
x x
x
x( )
( )
=
− + − −
−
=
− − + − +
−
=
−
−
=
5 4 5
5
5 4 5
5
5
5
2 2 2
.
Επομένως lim ( ) lim
x x
f x x
→ →− −
= =
5 5
5.
iii) Για x  5 είναι:
f x
x x x
x
x x x
x
x x
x
x( ) =
− + − −
−
=
− + − −
−
=
− −
−
= +
5 4 5
5
5 4 5
5
3 10
5
2
2 2 2
Επομένως lim ( ) lim( )
x x
f x x
→ →+ +
= + =
5 5
2 7.
iv) Θέτουμε x t= , οπότε έχουμε
lim lim lim
( )( )
x t t
x x
x
t t
t
t t t t
t→ → →
−
−
=
−
−
=
− + +
−1
2
1
4
1
2
1 1
1 1
1
= + + =
→
lim ( )
t
t t t
1
2
1 3.
3. i) Είναι α
θ
=
1
συν
και β θ
θ
θ
= =εϕ
ηµ
συν
, οπότε
lim( ) lim lim
θ
π
θ
π
θ
π
α β
θ
θ
θ
θ
θ→ → →
− = −





 =
−
2 2 2
1 1
συν
ηµ
συν
ηµ
συν
=
−
+
=
+
=
→ →
lim
( )
lim
θ
π
θ
π
θ
θ θ
θ
θ
2
2
2
1
1 1
0
ηµ
συν ηµ
συν
ηµ
.
ii) lim( ) lim( )
θ
π
θ
π
α β
→ →
− = =
2
2 2
2
1 1
iii) lim lim( )
θ
π
θ
π
β
α
θ
→ →
= =
2 2
1ηµ .
4. i) Θέτουμε g x f x x( ) ( )= + −4 2 4 , οπότε f x g x x( ) ( )= + −
1
4
1
2
. Επειδή
lim ( )
x
g x
→
= −
1
10 , έχουμε
22-0182-02.indb 136 26/11/2013 4:11:42 μμ
137
1.6
lim ( ) lim ( ) ( )
x x
f x g x x
→ →
= + −





 = − + − = −
1 1
1
4
1
2
1
4
10 1
1
2
2.
ii) Θέτουμε g x
f x
x
( )
( )
=
−1
, οπότε f x x g x( ) ( ) ( )= −1 , 1≠x .
Επειδή lim ( )
x
g x
→
=
1
1, έχουμε
lim ( ) lim( ) lim ( )
x x x
f x x g x
→ → →
= − ⋅ = ⋅ =
1 1 1
1 0 1 0.
1.6 Α΄ ΟΜΑΔΑΣ
1. i) Επειδή lim( )
x
x x
→
+ =
0
4 2
3 0 και x x4 2
3 0+  για x ≠ 0, είναι lim
x x x→ +
= +∞
0 4 2
1
3
.
Επειδή, επιπλέον, lim( )
x
x
→
+ =
0
5 5, έχουμε
lim lim ( )
x x
x
x x
x
x x→ →
+
+
= + ⋅
+





 = +∞
0 4 2 0 4 2
5
3
5
1
3
ii) Επειδή lim ( )
x
x
→
− =
1
4
4 1 0και 4 1 04
( )x −  κοντά στο 1, είναι lim
( )x x→ −
= +∞
1 4
1
1
.
Επειδή, επιπλέον, lim( )
x
x
→
− = − 
1
2 3 1 0, έχουμε
lim
( )
lim ( )
( )x x
x
x
x
x→ →
−
−
= − ⋅
−





 = −∞
1 4 1 4
2 3
4 1
2 3
1
4 1
.
iii) Η f στο πεδίο ορισμού της R – {0} γράφεται
f x x
x
x
( )
,
,
,=






2
0
0 0
αν
αν
οπότε έχουμε
lim ( ) lim
x x
f x
x→ →− −
= = −∞
0 0
2
, ενώ lim ( )
x
f x
→ +
=
0
0 .
Επομένως δεν υπάρχει όριο της f στο x0
= 0.
2. i) Η f στο πεδίο ορισμού της R – {–1,1} γράφεται:
f x
x x
x
x
x
x
( )
( )
.=
−
−
−
=
+ −
−
=
−
−
3
1
4
1
3 1 4
1
3 1
12 2 2
Επειδή x0
= 1 περιοριζόμαστε στο υποσύνολο ( , ) ( , )0 1 1∪ +∞ του πεδίου ορισμού
της f .
22-0182-02.indb 137 26/11/2013 4:11:46 μμ
138
1.6
●Αν x ∈( , )0 1 έχουμε 1 02
− x και lim( )
x
x
→ −
− =
1
2
1 0, οπότε lim
x x→ −
−
= +∞
1
2
1
1
.
Επιπλέον είναι lim( )
x
x
→ −
− = 
1
3 1 2 0 , οπότε έχουμε
lim lim ( )
x x
x
x
x
x→ →− −
−
−
= − ⋅
−





 = +∞
1
2
1
2
3 1
1
3 1
1
1
.
●Αν x ∈ +∞( , )1 έχουμε 1 02
− x και lim( )
x
x
→ +
− =
1
2
1 0, οπότε lim
x x→ +
−
= −∞
1
2
1
1
.
Επιπλέον είναι lim( )
x
x
→ +
− = 
1
3 1 2 0, οπότε
lim lim ( )
x x
x
x
x
x→ →+ +
−
−
= − ⋅
−





 = −∞
1
2
1
2
3 1
1
3 1
1
1
.
Επομένως, δεν υπάρχει όριο της f στο x0
= 1.
ii) Η f στο πεδίο ορισμού της R – {0} γράφεται:
f x
x x
x
x
x x
x
x
( )
,
,
=
+ −
−

+ −







2
2
2
2
3 2
0
3 2
0
● Αν x  0 έχουμε − x2
0, lim( )
x
x
→ −
− =
0
2
0 και lim( )
x
x x
→ −
+ − = − 
0
2
3 2 2 0 ,
οπότε lim
x x→ −
−
= −∞
0
2
1
και άρα
lim ( ) lim ( )
x x
f x x x
x→ →− −
= + − ⋅
−





 = +∞
0 0
2
2
3 2
1
.
● Αν x  0 έχουμε x2
 0, lim
x
x
→ +
=
0
2
0 και lim( )
x
x x
→ +
+ − = − 
0
2
3 2 2 0 , οπότε
lim
x x→ +
= +∞
0
2
1
και άρα
lim ( ) lim ( )
x x
f x x x
x→ →+ +
= + − ⋅





 = −∞
0 0
2
2
3 2
1
.
Επομένως, δεν υπάρχει όριο της f στο x0
= 0.
iii) Η f στο πεδίο ορισμού της R – {0} γράφεται:
f x x
x
x
x
x
x
x
( ) = +





 =
+




 =
+2
3
2
3
3
3
1
1 1 1
.
●Αν x  0 έχουμε x  0, lim
x
x
→ −
=
0
0 και lim( )
x
x
→ −
+ = 
0
3
1 1 0, οπότε lim
x x→ −
= −∞
0
1
και άρα
22-0182-02.indb 138 26/11/2013 4:11:51 μμ
139
1.6
lim ( ) lim ( )
x x
f x x
x→ →− −
= + ⋅





 = −∞
0 0
3
1
1
.
●Αν x  0 έχουμε x  0, lim
x
x
→ +
=
0
0 και lim( )
x
x
→ +
+ = 
0
3
1 1 0, οπότε lim
x x→ +
= +∞
0
1
και άρα
lim ( ) lim ( )
x x
f x x
x→ →+ +
= + ⋅





 = +∞
0 0
3
1
1
.
Επομένως, δεν υπάρχει όριο της f στο x0
= 0.
1.6 Β΄ ΟΜΑΔΑΣ
1. Έχουμε:
f x
x x x x x x x
( ) =
−
− − +
=
−
−( )− −( )
9
2 4 8
9
2 4 2
=
−
− −( )
=
−( )
⋅
−
+
9
4 2
1
2
9
2
2
( )x x x x
.
Το πεδίο ορισμού της f είναι το σύνολο Α = ∪ +∞[ , ) ( , )0 4 4 .
Για x ∈ Α είναι x −( ) 2 0
2
και lim
x
x
→
−( ) =
4
2
2 0, οπότε lim
x
x→
−( )
= +∞
4
1
2
.
Επιπλέον είναι lim
x
x→
−
+
= −
4
9
2
9
4
, οπότε
lim ( ) lim
x x
f x
x x→ →
=
−( )
⋅
−
+










= −∞
4 4 2
1
2
9
2
.
2. i) Έχουμε lim
x
x
→
−
=
π
2
0συν και συνx  0 για x ∈





0
2
,
π
, οπότε lim
x x→
−
= +∞
π
2
1
συν
.
Επιπλέον είναι lim ( )
x
x
→
−
=
π
2
1ηµ , οπότε
lim ( ) lim
x x
x x
x→ →
− −
= ⋅





 = +∞
π π
2 2
1
εϕ ηµ
συν
.
Ομοίως, lim )
x
x
→
+
=
π
2
0(συν και συνx  0 για x ∈






π
π
2
, , οπότε lim
x x→
+
= −∞
π
2
1
συν
.
Επιπλέον είναι lim ( )
x
x
→
+
=
π
2
1ηµ , οπότε
22-0182-02.indd 139 5/3/2014 9:56:30 πµ
140
1.6
lim ( ) lim
x x
x x
x→ →
+ +
= ⋅





 = −∞
π π
2 2
1
εϕ ηµ
συν
.
Επομένως, η f(x) = εφx δεν έχει όριο στο
2
π
.
ii) Έχουμε lim( )
x
x
→ +
=
0
0ηµ και ημx  0 για x ∈





0
2
,
π
, οπότε lim
x→ +
= +∞
0
1
ηµx
.
Επιπλέον είναι lim
x
x
→ +
( ) =
0
1συν , οπότε
lim lim
x x
x x
x→ →+ +
= ⋅





 = +∞
0 0
1
σϕ συν
ηµ
.
Ομοίως, lim( )
x
x
→ −
=
0
0ηµ και ημx  0 για x ∈ −






π
2
0, , οπότε lim
x→ −
= −∞
0
1
ηµx
.
Επιπλέον είναι lim
x
x
→ −
( ) =
0
1συν , οπότε
lim( ) lim
x x
x x
→ →− −
= ⋅





 = −∞
0 0
1
σϕ συν
ηµx
.
Επομένως, η f(x) = σφx δεν έχει όριο στο 0.
3. Έχουμε
lim( )
x
x
→
− =
1
2
1 0 και lim[( ) ]
x
x x
→
− + − = −
1
2
1 2 2λ λ .
— Αν λ – 2  0 δηλαδή αν λ  2, τότε lim ( )
x
f x
→ +
= +∞
1
και lim ( )
x
f x
→ −
= −∞
1
, οπότε
δεν υπάρχει όριο της f στο 1.
— Αν λ – 2  0 δηλαδή αν λ  2, τότε lim ( )
x
f x
→ +
= −∞
1
και lim ( )
x
f x
→ −
= +∞
1
, οπότε
δεν υπάρχει όριο της f στο 1.
— Αν λ = 2, τότε f x
x x
x
x x
x x
x
x
( )
( )( )
( )( )
=
+ −
−
=
− +
− +
=
+
+
2
2
2
1
1 2
1 1
2
1
, με 1≠x , οπότε
lim ( )
x
f x
→
= ∈
1
3
2
R.
Επομένως το lim ( )
x
f x
→1
υπάρχει στο R μόνο αν λ = 2.
Ομοίως, έχουμε:
lim
x
x
→
=
0
0 και lim( )
x
x x
→
+ + =
0
2
2 µ µ.
— Αν μ  0, τότε lim ( )
x
g x
→ +
= +∞
0
και lim ( )
x
g x
→ −
= −∞
0
, οπότε δεν υπάρχει όριο
της g στο 0.
22-0182-02.indb 140 26/11/2013 4:12:01 μμ
141
1.7
— Αν μ  0, τότε lim ( )
x
g x
→ +
= −∞
0
και lim ( )
x
g x
→ −
= +∞
0
, οπότε δεν υπάρχει όριο
της g στο 0.
— Αν μ = 0, τότε g x
x x
x
x( ) =
+
= +
2
2
2 με 0x ≠ , οπότε lim ( )
x
g x
→
= ∈
0
2 R.
Επομένως, το lim ( )
x
g x
→0
υπάρχει στο R μόνο αν μ = 0.
4. i) Θέτουμε g x
x
f x
( )
( )
=
− 4
. Επειδή lim ( )
x
g x
→
= +∞
1
, είναι g(x) ≠ 0 κοντά στο 1.
Επομένως
f x
x
g x
( )
( )
=
− 4
, κοντά στο 1.
Επειδή lim( )
x
x
→
− = − 
1
4 3 0 και lim ( )
x
g x
→
= +∞
1
έχουμε:
lim ( ) lim
( )
lim ( )
( )x x x
f x
x
g x
x
g x→ → →
=
−
= −





 =
1 1 1
4
4
1
0.
ii) Θέτουμε g x
f x
x
( )
( )
=
+ 2
, οπότε f(x) = (x + 2)g(x) κοντά στο 1. Επειδή
lim( )
x
x
→
+ = 
1
2 3 0 και lim ( )
x
g x
→
= −∞
1
, έχουμε:
lim ( ) lim[( ) ( )]
x x
f x x g x
→ →
= + = −∞
1 1
2
iii) Θέτουμε g(x) = f(x)(3x2
– 2), οπότε f x
g x
x
( )
( )
=
−3 22
κοντά στο 1.
Επειδή lim ( )
x
g x
→
= +∞
1
και lim
x x→ −
= 
1 2
1
3 2
1 0, έχουμε:
lim ( ) lim ( )
x x
f x g x
x→ →
= ⋅
−





 = +∞
1 1 2
1
3 2
.
1.7 Α΄ ΟΜΑΔΑΣ
1. i) lim ( ) lim ( ) lim
x x x
x x x x
→+∞ →+∞ →+∞
− + − = − = − = −∞10 2 5 10 103 3 3
ii) lim ( ) lim ( ) lim
x x x
x x x x
→−∞ →−∞ →−∞
− + = = = −∞5 2 1 5 53 3 3
iii) lim lim
x xx x→−∞ →−∞+
= =
5
8
5
03 3
iv) lim lim lim
x x x
x x x
x x
x
x
x
→+∞ →+∞ →+∞
− + −
− +
= = = +∞
4 3
3
4
3
5 2 1
3 2
22-0182-02.indb 141 26/11/2013 4:12:05 μμ
142
1.7
v) lim lim
x x
x x
x x
x
x→+∞ →+∞
+ −
− +
=





 =
2 1
4 2
2
4
1
2
3
3 2
3
3
vi) lim lim lim
x x x
x
x x
x
x x→+∞ →+∞ →+∞
+
+ +
= = =
2
3
1
010 10 9
vii) lim lim
( )( )
lim
x x x
x
x x
x x x
x x→+∞ →+∞+
−
+





 =
+ − −
+ +
=2
2 2
2
1
5
2
2 5 5
1 2 →→+∞
− + −
+ + +
4 2 5
2 2
2
3 2
x x
x x x
=
−
=
−
=
→+∞ →+∞
lim lim
x x
x
x x
4 4
0
2
3
viii) lim lim lim
x x x
x
x
x
x
x x
x x
x
→+∞ →+∞ →+∞
+
−
+
+





 =
+ +
+
=
2 2 2
2
5 3
2
2 2 10
2
2 22
2
2
x
= .
2. i) Επειδή Δ = 4 – 4∙4∙3  0 το πεδίο ορισμού της f x x x( ) = − +4 2 32
είναι το
R. Περιοριζόμαστε στο διάστημα ( , )0 +∞ όπου η f γράφεται:
f x x x x
x x
x
x x
x
x x
( ) = − + = − +





 = − + = − +4 2 3 4
2 3
4
2 3
4
2 32 2
2 2 2
.
Επομένως
lim ( ) lim
x x
f x x
x x→+∞ →+∞
= − +





 = +∞4
2 3
2
.
ii) Οι ρίζες του τριωνύμου x2
+ 10x + 9 είναι –9 και –1, οπότε το πεδίο ορισμού
της f x x x( ) = + +2
10 9 είναι Α = −∞ − ∪ − +∞( , ] [ , )9 1 . Περιοριζόμαστε στο
διάστημα ( , ]−∞ −9 όπου η f γράφεται:
f x x x x
x x
( ) = + + + +






2 2
2
10 9 1
10 9
= + + = − + +x
x x
x
x x
1
10 9
1
10 9
2 2
.
Επομένως
lim ( ) lim
x x
f x x
x x→−∞ →−∞
= − + +





 = +∞1
10 9
2
.
iii) Το πεδίο ορισμού της f x x x x( ) = + + − +2 2
1 3 2 είναι Α = −∞ ∪ +∞( , ] [ , )1 2 .
Περιοριζόμαστε στο διάστημα [ , )2 +∞ όπου η f γράφεται:
22-0182-02.indb 142 26/11/2013 4:12:09 μμ
143
1.7
f x x
x
x
x x
x
x x x
( ) = + + − + = + + − +





1
1
1
3 2
1
1
1
3 2
2 2 2 2
.
Επομένως
lim ( ) lim
x x
f x x
x x x→+∞ →+∞
= + + − +














= +∞1
1
1
3 2
2 2
.
iv) To πεδίο ορισμού είναι το σύνολο Α = −∞ ∪ +∞( , ] [ , )ρ ρ1 2 , όπου ρ1
, ρ2
οι ρίζες
της εξίσωσης (x + α)(x + β) = 0, που είναι οι αριθμοί – α, – β.Άρα, η f ορίζεται
σε διάστημα της μορφής ( , )−∞ γ με γ  0. Περιοριζόμαστε στο διάστημα αυτό,
οπότε έχουμε:
f x x x x x
x x
x( ) ( )= + + + − = +
+
+ −2
2
1α β αβ
α β αβ
= − +
+
+ +





x
x x
1 12
α β αβ
.
Επομένως
lim ( ) lim .
x x
f x x
x x→−∞ →−∞
= − +
+
+ +














= +∞1 12
α β αβ
v) Το πεδίο ορισμού της f x x x x( ) = − − − +2 1 4 4 32
είναι το R. Περιοριζόμαστε
στο διάστημα ( , )0 +∞ , οπότε η f(x) γράφεται:
f x
x x x
x x x x x x
( )
( ) ( )
=
− − − +
− + − +
=
−
− + − +
2 1 4 4 3
2 1 4 4 3
2
2 1 4 4 3
2 2
2 2
=
−
− − − +
=
−
− − − +






2
2 1 4
4 3
2
2
1
4
4 3
2 2
x x
x x
x
x x x
.
Επομένως
lim ( ) lim lim
x x x
f x
x
x x x
→+∞ →+∞ →+∞
=






−
− − − +
1 2
2
1
4
4 3
2
= ⋅
−
− − − +
=0
2
2 0 4 0 0
0.
22-0182-02.indb 143 26/11/2013 4:12:12 μμ
144
1.7
3. i) Το πεδίο ορισμού της f x
x
x
( ) =
+2
1
είναι το R*. Περιοριζόμαστε στο
διάστημα ( , )0 +∞ , οπότε
f x
x
x
x
x
x
x
x
x
x x
( ) =
+






=
+
=
+
= +
2
2 2 2
2
1
1
1
1
1
1
1
1
.
Επομένως lim ( ) .
x
f x
→+∞
=1
ii) To πεδίο ορισμού της f x x x( ) = + −2
1 είναι το R. Περιοριζόμαστε στο
διάστημα ( , )0 +∞ , οπότε
f x
x x x x
x x
x x
x
x
x
( ) =
+ −( ) + +( )
+ +
=
+ −
+





 +
2 2
2
2 2
2
2
1 1
1
1
1
1
=
+ +
=
+ +






1
1
1
1
1
1
12 2
x
x
x x
x
.
Επομένως lim ( ) .
x
f x
→+∞
= 0
iii) Το πεδίο ορισμού της f x
x
x
( ) =
+2
1
είναι το R*. Περιοριζόμαστε στο διάστη-
μα ( , )−∞ 0 , οπότε
f x
x
x
x
x
x
x x
( ) .=
+






=
− +
= − +
2
2 2
2
1
1
1
1
1
1
Επομένως lim ( ) .
x
f x
→−∞
= −1
iv) Το πεδίο ορισμού της f x x x( ) = + +2
1 είναι το R. Περιοριζόμαστε στο
διάστημα ( , )−∞ 0 , οπότε
f x
x x x x
x x
x
x
x
( ) =
+ +( ) + −( )
+ −
=
+





 −
2 2
2
2
2
1 1
1
1
1
1
22-0182-02.indb 144 26/11/2013 4:12:15 μμ
145
1.7
=
− + −
=
− + +






1
1
1
1
1
1
12 2
x
x
x x
x
.
Επομένως lim ( ) .
x
f x
→−∞
= 0
ν) Το πεδίο ορισμού της f x
x x
x x
( ) =
− +
− −
2
2
1
1
είναι Α = −∞ − ∪ +∞( , ) ( , )1 1 .
Περιοριζόμαστε στο διάστημα ( , )1 +∞ , οπότε
f x
x x x x x x
x x x x x x
( )
( )
=
− +( ) + +( ) + −( )
− −( ) + −( ) + +( )
=
−2 2 2
2 2 2
1 1 1
1 1 1
1 xx x
x x
+ −( )
⋅ + +( )
2
2
1
1 1
= −
+ −
+ +
= −
+ −






+ +






= −
+ −x x
x
x x
x
x
x
x
x
1
1
1
1
1 1
1
1 1
1
1 12
2
2
2
11
1 1
1
2
2
x
x
+ +
.
Επομένως,
lim ( ) lim .
x x
f x x
x
→+∞ →+∞
= −
+ −
+ +












= −
+
+
= −
1 1
1
1 1
1
1 1
1 1
1
2
2
vi) To πεδίο ορισμού της f x x x x x( ) = + + −2 2
2 2 είναι το R . Περιοριζόμαστε
στο διάστημα ( , )0 +∞ , οπότε
f x x x x x x
x x x x x x
x x x
( ) = + + −( )=
+ + −( ) + + +( )
+ + +( )
2
2 2
2
2 2
2 2 2 2
2 2
=
+
+ + +
=
+






+ + +






=
+
+ +
x
x
x x x
x
x
x
x
x x
x x
x
2 2
2 2
2
2
1
2 2
1
2
2
1
22
2
22
12
x
+
.
Επομένως, lim ( )
x
f x
→+∞
= +∞.
22-0182-02.indb 145 26/11/2013 4:12:18 μμ
146
1.7
1.7 Β΄ ΟΜΑΔΑΣ
1.i) Περιοριζόμαστε στο διάστημα ( , )−∞ 0 , οπότε
f x x
x
x x
x
x x
x
( ) .= + + = − + + = − + −





1
1
1
1
1
1
2 2 2
µ µ µ
Επειδή
lim ( )
x
x
→−∞
− = +∞ και lim ,
x x→−∞
+ −





 = −1
1
12
µ µ έχουμε τις εξής περιπτώσεις:
— Αν 1 – μ  0 δηλαδή μ  1, τότε lim ( )
x
f x
→−∞
= +∞
— Αν 1 – μ  0 δηλαδή μ  1, τότε lim ( )
x
f x
→−∞
= −∞
— Αν μ = 1, τότε f x x x( ) = + +2
1 , οπότε
lim ( ) lim lim
x x x
f x x x
x x x x
x x→−∞ →−∞ →−∞
= + +( )=
+ +( ) + −( )
+ −
2
2 2
2
1
1 1
1
=
+ −
=
− + −
→−∞ →−∞
lim lim
x x
x x x
x
x
1
1
1
1
12
2
=
− + +






=
−
⋅
+ +










→−∞ →−∞
lim
( )
lim
x x
x
x
x
x
1
1
1
1
1 1
1
1
12 2


= ⋅ =0
1
2
0.
ii) Έστω f x
x x
x x
( )
( )
=
− + +
− +
µ
µ
1 2 3
5 6
3 2
2
— Αν μ = 1, τότε f x
x
x x
( ) =
+
− +
2 3
5 6
2
2
, οπότε
lim ( ) lim lim
x x x
f x
x
x x
x
x→+∞ →+∞ →+∞
=
+
− +
= =
2 3
5 6
2
2
2
2
2
2
— Αν μ = 0, τότε f x
x x
x
( ) =
− + +
− +
3 2
2 3
5 6
, οπότε
lim lim lim
x x x
x x
x
x
x
x
→+∞ →+∞ →+∞
− + +
− +
=
−
−
= = +∞
3 2 3 2
2 3
5 6 5 5
.
22-0182-02.indb 146 26/11/2013 4:12:22 μμ
147
1.7
— Αν μ ≠ 0, 1, τότε
lim ( ) lim
( )
x x
f x
x
x→+∞ →+∞
=
−µ
µ
1 3
2
=
−
=
+∞ ∈ −∞ ∪ +∞
−∞ ∈


→+∞
lim
( ) , ( , ) ( , )
, ( , )
.
x
x
µ
µ
1 0 1
0 1
αν
αν
µ
µ
2. Περιοριζόμαστε στο ( , )0 +∞ , οπότε:
f x x x x x
x x
x x
x x
( ) = + + − = + +





 − = + + −






2 2
2 2
5 10 1
5 10
1
5 10
λ λ λ .
Επειδή
lim
x
x
→+∞
= +∞ και lim
x x x→+∞
+ + −





 = −1
5 10
12
λ λ.
Έχουμε τις εξής περιπτώσεις:
— Αν 1 – λ  0 δηλαδή λ  1, τότε lim ( )
x
f x
→+∞
= +∞
— Αν 1 – λ  0 δηλαδή λ  1, τότε lim ( )
x
f x
→+∞
= −∞
— Αν τέλος λ = 1, τότε:
f x x x x
x
x x x
( ) = + + − =
+
+ + +
2
2
5 10
5 10
5 10
=
+






+ + +






=
+
+ + +
x
x
x
x x
x
x x
5
10
1
5 10
1
5
10
1
5 10
12 2
.
οπότε
lim ( )
x
f x
→+∞
=
+
+
= ∈
5 0
1 1
5
2
R.
Ώστε το lim ( )
x
f x
→+∞
υπάρχει στο R μόνο αν λ = 1.
3. Είναι
f x
x
x
x
x x x x
x
( ) =
+
+
− + =
+ − + − +
+
2 2 2
1
1
1
1
α β
α β α β
=
− + − + +
+
( ) ( )1 1
1
2
α β α βx x
x
— Αν α ≠ 1, τότε
lim ( ) lim
( )
lim ( )
,
,x x x
f x
x
x
x
→+∞ →+∞ →+∞
=
−
= − =
+∞ 
−∞ 
1
1
1
1
2
α
α
α
α
αν
αν



.
22-0182-02.indb 147 26/11/2013 4:12:25 μμ
148
1.7
— Αν α = 1 και α ≠ β, τότε
lim ( ) lim
( )
x x
f x
x
x→+∞ →+∞
=
−
= − ≠
β α
β α 0 .
— Αν α = β = 1, τότε lim ( ) lim .
x x
f x
x→+∞ →+∞
=
+
+
=
1 1
1
0
Ώστε
lim ( ) .
x
f x
→+∞
= ⇔ = =0 1α β
4. i) To πεδίο ορισμού της f x
x x x
x x
( ) =
− +
− +
2
2
5
3 2
είναι το R – {1, 2}. Περιοριζόμαστε
στο διάστημα ( , )−∞ 0 , οπότε
f x
x x x
x x
x x
x x
( ) .=
− +
− +
=
−
− +
2
2
2
2
5
3 2
4
3 2
Επομένως
lim ( ) lim
x x
f x
x
x→−∞ →−∞
= =
2
2
1
ii) To πεδίο ορισμού της f x
x x
x x
( ) =
+ + −
+ +
2
2
1 5
4 3
είναι το R. Περιοριζόμαστε στο
( , )−∞ 0 , οπότε
f x
x
x
x
x x
x
x
x
x
x x
x
( ) =
+ + −
+ +
=
− + + −
− +
1
1
5
4
3
1
1
5
4
3
2
2
2
2
=
− + − +






− + −






=
+ − +
+ −
x
x x
x
x
x x
x
1
1 5
1
4
3 1
1
1 5
1
4
3 1
2
2
2
2
.
Επομένως
lim ( ) lim
x x
f x x x
x
→−∞ →−∞
=
+ − +
+ −
1
1 5
1
4
3 1
2
2
=
+
−
=
−
=
+( ) = +
1 1
3 1
2
3 1
2 3 1
2
3 1.
22-0182-02.indb 148 26/11/2013 4:12:28 μμ
149
1.8
iii) Περιοριζόμαστε στο διάστημα ( , )1 +∞ , οπότε
f x
x x
x
x x
x
x( )
( )
.=
−
−
=
−
−
=
2
1
1
1
Επομένως
lim ( ) lim .
x x
f x x
→+∞ →+∞
= = +∞
1.8 Α΄ ΟΜΑΔΑΣ
1. i) Η f δεν είναι συνεχής στο x0
= 1, αφού
2 1
1 1
= ≠ = −
→ →− +
lim ( ) lim ( )
x x
f x f x
Στα υπόλοιπα σημεία του πεδίου ορισμού της, όπως φαίνεται από το σχήμα,
η f είναι συνεχής.
ii) Η f δεν είναι συνεχής στο 1, αφού lim ( ) ( ) .
x
f x f
→
= ≠ =
1
2 1 3 Στα υπόλοιπα
σημεία του πεδίου ορισμού της, όπως φαίνεται από το σχήμα, η f είναι συνεχής.
2. i) Είναι: lim ( ) lim( )
x x
f x x
→ →− −
= + =
2 2
2
4 8, lim ( ) lim
x x
f x x
→ →+ +
= =
2 2
3
8 και f ( ) ,2 8= οπότε
lim ( ) ( )
x
f x f
→
=
2
2 .
Επομένως η f είναι συνεχής στο x0
= 2.
ii) Είναι:
lim ( ) lim( ) ,
x x
f x x
→ →− −
= + =
1 1
2
1 2 lim ( ) lim
x x
f x x
→ →+ +
= + =
1 1
3 2 και f ( ) ,1 2= οπότε
lim ( ) ( ).
x
f x f
→
=
1
1
Επομένως η f είναι συνεχής στο 1.
iii) Για x ≠ – 2 ισχύει f x
x x
x
x x
x
x( )
( )( )
( ),=
+ −
+
=
− +
+
= −
2
2
2
1 2
2
1
οπότε
lim ( ) lim( ) ( ).
x x
f x x f
→− →−
= − = − = −
2 2
1 3 2
Επομένως η f είναι συνεχής στο x0
= – 2.
3. i) Η f(x) γράφεται f x
x
x
x x
x
x
( )
,
,
,
.=
 −
− ≤ ≤









2
1
2 1 1
2
1
2
22-0182-02.indb 149 26/11/2013 4:12:32 μμ
150
1.8
Στο διάστημα (–1,1) η f είναι συνεχής ως πολυωνυμική συνάρτηση ενώ στα
διαστήματα ( , )−∞ −1 και ( , )1 +∞ η f είναι συνεχής ως ρητή συνάρτηση.
Στο x0
= – 1 έχουμε:
lim ( ) lim ,
x x
f x
x→− →−− −
= = −
1 1
2
2 lim ( ) lim
x x
f x x
→− →−+ +
= =
1 1
2
2 2 και f ( ) .− =1 2
Επομένως η f δεν είναι συνεχής στο
– 1. Στο x = 1 έχουμε:
lim ( ) lim ,
x x
f x x
→ →− −
= =
1 1
2
2 2
lim ( ) lim
x x
f x
x→ →+ +
= =
1 1
2
2 και f ( ) .1 2=
Επομενως η f δεν είναι συνεχής στο 1.
Η γραφική παράσταση της f φαίνεται
στο διπλανό σχήμα.
ii) Για x ≠ 2 έχουμε
f x
x x
x
x x
x
x( )
( )( )
,=
− +
−
=
− −
−
= −
2
5 6
2
2 3
2
3
οπότε η f είναι συνεχής σε καθένα από τα
διαστήματα ( , )−∞ 2 και ( , )2 +∞ , ως πολυ-
ωνυμική συνάρτηση.
Για x = 2 ισχύει
lim ( ) lim( ) ( ) ,
x x
f x x f
→ →
= − = − ≠ =
2 2
3 1 2 5
οπότε η f δεν είναι συνεχής στο x = 2. Η
γραφική παράσταση της f φαίνεται στο
διπλανό σχήμα.
iii) Στο διάστημα ( , )−∞ 1 η f είναι συνεχής ως
πολυωνυμική. Στο διάστημα ( , )1 +∞ η f είναι
συνεχής ως λογαριθμική.
Στο x0
= 1 έχουμε:
lim ( ) lim ,
x x
f x x
→ →− −
= =
1 1
1
lim ( ) lim ln
x x
f x x
→ →+ +
= ( ) =
1 1
0 και f ( ) .1 0=
Επομένως η f δεν είναι συνεχής στο x0
= 1.
Η γραφική παράσταση της f φαίνεται στο διπλανό σχήμα.
22-0182-02.indb 150 26/11/2013 4:12:35 μμ
151
1.8
iv) Στο διάστημα ( , )−∞ 0 η f έχει τύπο f (x) = ex
και είναι συνεχής.
Στο διάστημα ( , )0 +∞ η f έχει τύπο f x x( ) = − +2
1 και είναι συνεχής ως
πολυωνυμική.
Στο x0
= 0 έχουμε:
lim ( ) lim ,
x x
x
f x e
→ →− −
= =
0 0
1
lim ( ) lim( )
x x
f x x
→ →+ +
= − + =
0 0
2
1 1
και f (0) = 1.
Επομένως η f είναι συνεχής στο x0
= 0.
Η γραφική παράσταση της f φαίνεται
στο διπλανό σχήμα.
4. i) Στο διάστημα ( , )−∞ 1 η f είναι συνεχής ως πολυωνυμική. Στο διάστημα ( , )1 +∞
η f είναι συνεχής ως πηλίκο συνεχών συναρτήσεων.
Στο x0
= 1 έχουμε:
lim ( ) lim( ) ,
x x
f x x
→ →− −
= − = −
1 1
2
2 3 1
lim ( ) lim lim
( )
lim
x x x x
f x
x
x
x x
x
x
→ → → →+ + + +
=
−
−
=
− +( )
−
= +(1 1 1 1
1
1
1 1
1
1))= 2
και f ( ) .1 1= −
Επομένως η f δεν είναι συνεχής στο x0
= 1.
ii) Στο διάστημα ( , )−∞ 0 η f είναι συνεχής ως πηλίκο συνεχών συναρτήσεων.
Στο διάστημα ( , )0 +∞ η f είναι συνεχής.
Στο x0
= 0 έχουμε:
lim ( ) lim ,
x x
f x
x
x→ →− −
= =
0 0
1
ηµ
lim ( ) lim
x x
f x x
→ →+ +
= =
0 0
1συν και f (0) = 1.
Επομένως η f είναι συνεχής και στο x0
= 0.
5. i) H f είναι συνεχής ως σύνθεση των συνεχών συναρτήσεων y = ημu και u = συνx.
ii) H f είναι συνεχής ως σύνθεση των συνεχών συναρτήσεων y = lnu και u =
x2
+ x +1.
22-0182-02.indb 151 26/11/2013 4:12:38 μμ
152
1.8
iii) H f είναι συνεχής ως σύνθεση των συνεχών συναρτήσεων y = ημu και
u
x
=
+
1
12
.
iv) H f είναι συνεχής ως σύνθεση των συνεχών συναρτήσεων y = eu
και u = ημx.
ν) Η f είναι συνεχής ως σύνθεση των συνεχών συναρτήσεων y = lnu και u = lnx.
6. Η συνάρτηση f x x x( ) = − +ηµ 1 είναι συνεχής στο [0,π] και ισχύει
f f( ) ( ) ( ) ,1 1 1 0π π= −  δηλαδή πληρεί τις συνθήκες του θεωρήματος του
Bolzano. Επομένως, η εξίσωση f(x) = 0, δηλαδή η εξίσωση ημx – x + 1 = 0, έχει
μια, τουλάχιστον, ρίζα στο (0,π).
7. i) Παρατηρούμε ότι: f(0) = – 1 και f(1) = 1,
οπότε η f(x) = x3
+ x – l στο [0,1] πληρεί τις συνθήκες του θεωρήματος του
Bolzano. Επομένως, η εξίσωση f(x) = 0, δηλαδή η εξίσωση x3
+ x – 1 = 0 , έχει
μια, τουλάχιστον, ρίζα στο (0,1). Άρα, ένας από τους ζητούμενους ακεραίους
είναι ο α = 0.
ii) Ομοίως, ένας από τους ζητούμενους ακέραιους είναι ο α = – 1
iii) Ομοίως, ο α = – 1
iv) Ομοίως, ο α = 1.
8. Θεωρούμε τη συνάρτηση
f x x x x x x x( ) ( )( ) ( )( ) ( )( ).= − − + − − + − −α µ ν β λ ν γ λ µ
Η f είναι συνεχής στο [λ, μ] και ισχύει f f( ) ( ) ,λ µ  0 αφού
f ( ) ( )( )λ α λ µ λ ν= − −  0 και ( ) ( )( ) 0.f βµ µ λ µ ν= − − 
Επομένως, σύμφωνα με το θεώρημα του Bolzano υπάρχει ένα, τουλάχιστον,
x1 ∈( , )λ µ τέτοιο, ώστε f(x1
) = 0.
Ανάλογα βρίσκουμε ότι υπάρχει ένα, τουλάχιστον, x2 ∈( , )µ ν τέτοιο ώστε f(x2
) = 0.
Επειδή η f είναι δευτεροβάθμιο τριώνυμο, δεν έχει άλλες ρίζες.
9. i) Έχουμε:
f x x x x x x x x x( ) ( ) ( ) ( )( )= + − − = + − + = + −3 2 2 2
2 2 2 2 2 1
= + + −( )( )( ),x x x2 1 1
οπότε
f x x( ) = ⇔ = −0 2 ή x = – 1 ή x = 1.
22-0182-02.indb 152 26/11/2013 4:12:40 μμ
153
1.8
Ο παρακάτω πίνακας δείχνει το πρόσημο της f σε κάθε διάστημα.
Διάστημα ( , )−∞ −2 ( , )− −2 1 ( , )−1 1 ( , )1 +∞
Επιλεγμένος
αριθμός x0
– 3 −
3
2
0 2
f(x) – 8 – 2 12
Πρόσημο της f – + – +
ii) Έχουμε f x x x x x x( ) ( ) ( )( ),= − = − +2 2 2
9 3 3 οπότε
f x x( ) = ⇔ =0 0 (διπλή) ή x = 3 ή x = – 3.
Ο παρακάτω πίνακας δείχνει το πρόσημο της f σε κάθε διάστημα.
Διάστημα ( , )−∞ −3 ( , )−3 0 ( , )0 3 ( , )3 +∞
Επιλεγμένος
αριθμός x0
– 4 – 1 1 4
f (x0
) 112 – 8 – 8 112
Πρόσημο της f + – – +
iii) Έχουμε:
εϕx x= ⇔ = −3
2
3
π
ή x =
π
3
, αφού x ∈ −( , ).π π
Ο παρακάτω πίνακας δίνει το πρόσημo της f σε κάθε διάστημα.
Διάστημα
Επιλεγμένος
αριθμός x0
0
f (x0
) − −1 3 2 − 3 2 − −1 3
Πρόσημοτης f – + – + –
5
8
− −





π
π
,
2
3
− −






2
3 2
π π
, −






π π
2 3
,
π π
3 2
,






π
π
2
,






−
3
4
π
−
7
12
π 5
12
π 3
4
π
22-0182-02.indd 153 28/11/2013 2:10:13 μμ
154
1.8
iv) Υπολογίζουμε τις ρίζες της f(x) = 0 στο [0,2π] έχουμε
ηµ συν ηµ συνx x x x+ = ⇔ = −0
⇔ = −εϕx 1
⇔ =x
3
4
π
ή x =
7
4
π
.
Ο παρακάτω πίνακας δίνει το πρόσημο της f(x) = ημx + συνx σε κάθε διάστημα:
Διάστημα
Επιλεγμένος
αριθμός x0
0 π 2π
f(x0
) 1 – 1 1
Πρόσημο της f + – +
10.i) Η συνάρτηση f(x) = lnx – l είναι γνησίως αύξουσα και συνεχής στο [1,e].
Επομένως το σύνολο τιμών της είναι το διάστημα [f(1), f(e)] = [–1,0].
ii) Η συνάρτηση f(x) = – x + 2 είναι γνησίως φθίνουσα και συνεχής στο (0,2).
Επομένως, το σύνολο τιμών της είναι το διάστημα (0,2), αφού lim ( )
x
f x
→
=
2
0
και lim ( ) .
x
f x
→
=
0
2
iii) Η συνάρτηση f(x) = 2ημx + 1 είναι γνησίως αύξουσα και συνεχής στο 0
6
, .
π





(Αφού η συνάρτηση του g(x) = ημx είναι γνησίως αύξουσα στο πρώτο
τεταρτημόριο). Επομένως, το σύνολο τιμών της είναι το διάστημα [1,2), αφού
f(0) = 1 και lim ( ) .
x
f x
→
=
π
6
2
iv) H συνάρτηση f(x) = ex
+ 1 είναι γνησίως αύξουσα και συνεχής στο ( , ].−∞ 0
Επομένως, το σύνολο τιμών της είναι το διάστημα (1,2], αφού lim ( )
x
f x
→+∞
=1
και f(0) = 2.
0
3
4
,
π





3
4
7
4
π π
,






7
4
2
π
π,






22-0182-02.indb 154 26/11/2013 4:12:47 μμ
155
1.8
1.8 Β΄ ΟΜΑΔΑΣ
1. Η f είναι συνεχής στο x0
= 2, αν και μόνο αν
lim ( ) lim ( ) ( ) lim( ) lim( )
x x x x
f x f x f x x
→ → → →− + − +
= = ⇔ − = + =
2 2 2
2 2
2
2 5κ κ 44 2
−κ
⇔ − = +4 2 52
κ κ
⇔ + + =κ κ2
2 1 0
⇔ = −κ 1.
2. Η f είναι συνεχής στο x0
= 1, αν και μόνο αν
lim ( ) lim ( ) ( ) lim( ) lim(
x x x x
f x f x f x x
→ → → →− + − +
= = ⇔ + − =
1 1 1
2 2
1
1 12α β α xx + =β) 5
⇔ + − = + =α β α β2
12 5.
Από την επίλυση του τελευταίου συστήματος βρίσκουμε
(α = 4, β = 1) ή (α = – 3, β = 8).
3. i) Η συνάρτηση f είναι συνεχής στο x0
= 0. Συνεπώς,
f f x
x
x
x
x xx x x x
( ) lim ( ) lim lim
( )
lim0
1 1
10 0 0
2
= =
−
=
−
+
=
→ → → →
συν συν
συν 00
2
1
−
+
ηµ
συν
x
x x( )
= −






+





 = ⋅ ⋅ =
→
lim ( ) .
x
x
x
x x0
1
1
0 1
1
2
0ηµ
ηµ
συν
ii) Επειδή η g είναι συνεχής στο 0 θα ισχύει g g x g x
x x
( ) lim ( ) lim ( ).0
0 0
= =
→ →+ −
Επομένως, αρκεί να υπολογίσουμε το lim ( )
x
g x
→ +
0
.
Για x  0 έχουμε διαδοχικά:
xg x x x( ) − ≤ηµ 2
− ≤ − ≤x xg x x x2 2
( ) ηµ
− + ≤ ≤ +x x xg x x x2 2
ηµ ηµ( )
− + ≤ ≤ +x
x
x
g x x
x
x
ηµ ηµ
( ) .
Αλλά
lim
x
x
x
x→ +
− +





 =
0
1
ηµ
και lim ,
x
x
x
x→ +
+





 =
0
1
ηµ
22-0182-02.indb 155 26/11/2013 4:12:50 μμ
156
1.8
οπότε, από το θεώρημα παρεμβολής, είναι lim ( ) .
x
g x
→ +
=
0
1 Επομένως g(0) = 1.
4. Θεωρούμε τη συνάρτηση
φ(x) = f(x) – g(x).
Η φ είναι συνεχής στο [0,1] και ισχύει φ(0)φ(1)  0, αφού
ϕ( ) ( ) ( )0 0 0 0= − f g και ϕ( ) ( ) ( )1 1 1 0= − f g
Επομένως, σύμφωνα με το θεώρημα του Bolzano, θα υπάρχει ένα, τουλάχιστον,
ξ ∈( , )0 1 τέτοιο, ώστε φ(ξ) = 0, οπότε f(ξ) = g(ξ).
5. α) Στο ανοικτό διάστημα (1,2) η εξίσωση γράφεται ισοδύναμα
( )( ) ( )( ) .x x x x4 6
1 2 1 1 0+ − + + − =
Επομένως, έχουμε να δείξουμε ότι η συνάρτηση
f x x x x x( ) ( )( ) ( )( )= + − + + −4 6
1 2 1 1
έχει μια, τουλάχιστον, ρίζα στο (1,2). Πράγματι
• Η f είναι συνεχής στο [1,2] και
• Ισχύει f(1) f(2) = (–2)(65)  0.
Επομένως, σύμφωνα με το Θεώρημα του Bolzano, η f έχει μία, τουλάχιστον,
ρίζα στο (1,2).
β) Στο ανοιχτό διάστημα (1,2) η εξίσωση γράφεται ισοδύναμα
( ) ( )lnx e x xx
− + − =2 1 0
Επομένως, έχουμε να δείξουμε ότι η συνάρτηση
f x x e x xx
( ) ( ) ( )ln= − + −2 1
έχει μια, τουλάχιστον, ρίζα στο (1,2). Πράγματι
● Η f είναι συνεχής στο [1,2] και
● Ισχύει f(1) f(2) = (– e) ln2  0.
Επομένως, σύμφωνα με το Θεώρημα του Bolzano, η f έχει μία, τουλάχιστον,
ρίζα στο (1,2).
6. i) Αναζητούμε λύση της εξίσωσης f(x) = g(x) στο σύνολο ( , ) ( , ).−∞ ∪ +∞0 0
Επειδή όμως f(x) = ex
 0 για κάθε x ∈ *R και g x
x
( ) = 
1
0 με x  0, ενώ
g x
x
( ) = 
1
0 με x  0, η εξίσωση, f(x) = g(x), αν έχει κάποια λύση, αυτή θα
ανήκει στο ( , ).0 +∞
22-0182-02.indb 156 26/11/2013 4:12:53 μμ
157
1.8
Συνεπώς, αναζητούμε λύση της f(x) = g(x) στο ( , )0 +∞ ή, ισοδύναμα, της
εξίσωσης f(x) – g(x) = 0 στο ( , ).0 +∞
Θεωρούμε τη συνάρτηση ϕ( ) ( ) ( ) ,x f x g x e
x
x
= − = −
1
x ∈ +∞( , ).0 Η συνάρ-
τηση αυτή είναι:
● συνεχής στο ( , ).0 +∞
● γνησίως αύξουσα στο ( , ).0 +∞ Πράγματι, έστω x x1 2 0, ( , )∈ +∞ με x1
 x2
. Τότε:
e e
x x
x x1 2
1 1
1 2







, οπότε
e e
x x
x x1 2
1 1
1 2

−  −





, και αρα e
x
e
x
x x1 2
1 1
1 2
−  − ,δηλαδή φ(x1
)  φ(x2
).
Επομένως, το σύνολο τιμών της φ είναι το διάστημα ( , )−∞ +∞ =R, αφού
lim ( )
x
x
→ +
= −∞
0
ϕ και lim ( ) .
x
x
→+∞
= +∞ϕ Άρα η φ έχει μια, τουλάχιστον, ρίζα στο
( , ).0 +∞ Επειδή, όμως, η φ γνησίως αύξουσα στο ( , ),0 +∞ η ρίζα αυτή είναι
μοναδική.
Άρα, η εξίσωση f(x) = g(x) στο ( , )0 +∞ έχει ακριβώς μια ρίζα.
ii) Αναζητούμε λύση της εξίσωσης f(x) = g(x) στο ( , )0 +∞ ή, ισοδύναμα, της
εξίσωσης ln x
x
=
1
στο ( , ).0 +∞
Θεωρούμε τη συνάρτηση ϕ( ) ln ,x x
x
= −
1
x ∈ +∞( , ).0 Η συνάρτηση αυτή:
● Είναι συνεχής στο ( , ).0 +∞
● Είναι γνησίως αύξουσα στο ( , ).0 +∞
Πράγματι
Έστω x x1 2 0, ( , )∈ +∞ με x1
 x2
. Τότε:
ln ln
,
x x
x x
1 2
1 2
1 1







οπότε
ln ln
,
x x
x x
1 2
1 2
1 1

−  −





και άρα ln ln ,x
x
x
x
1
1
2
2
1 1
−  − δηλαδή
φ(x1
)  φ(x2
).
Επομένως, το σύνολο τιμών της φ είναι το διάστημα ( , )−∞ +∞ = R, αφού
lim ( )
x
x
→ +
= −∞
0
ϕ και lim ( ) .
x
x
→+∞
= +∞ϕ Άρα η φ έχει μια, τουλάχιστον, ρίζα στο
( , ).0 +∞ Επειδή, επιπλέον, η φ είναι γνησίως αύξουσα, η ρίζα αυτή είναι μοναδική.
Άρα η εξίσωση f(x) = g(x) στο ( , )0 +∞ έχει ακριβώς μια ρίζα.
22-0182-02.indb 157 26/11/2013 4:12:58 μμ
158
1.8
7.i) Για κάθε x ∈ −[ , ]1 1 έχουμε
f x x2 2
1( ) = − (1)
α) Η εξίσωση f(x) = 0 στο [–1,1] γράφεται ισοδύναμα:
f x f x x x( ) ( )
( )
= ⇔ = ⇔ − = ⇔ = −0 0 1 0 12
1
2
ή x = 1.
Επομένως, λύσεις της f(x) = 0 στο [–1,1] είναι μόνο οι –1 και 1.
β) Η f στο (–1,1) είναι συνεχής και δεν μηδενίζεται σ’ αυτό. Επομένως, στο
(–1,1) η f διατηρεί πρόσημο.
●Αν f(x)  0 στο (–1,1), τότε από τη σχέση (1) προκύπτει ότι f x x( ) = −1 2
και επειδή f f( ) ( ) ,− = =1 1 0 έχουμε
f x x( ) ,= −1 2
x ∈ −[ , ]1 1
●Αν f(x)  0 στο (–1,1), τότε από τη σχέση (1) προκύπτει ότι f x x( ) = − −1 2
και επειδή f f( ) ( ) ,− = =1 1 0 έχουμε
f x x( ) = − −1 2
, x ∈ −[ , ]1 1
Η γραφική παράσταση της f σε κάθε
περίπτωση φαίνεται στο διπλανό σχήμα.
ii) α) Έχουμε f x f x x x( ) ( ) .= ⇔ = ⇔ = ⇔ =0 0 0 02 2
Επομένως, η εξίσωση f(x) = 0 έχει στο R μοναδική ρίζα την x = 0.
β) Η συνάρτηση f στο ( , )−∞ 0 είναι συνεχής και δε μηδενίζεται σ’αυτό. Επο-
μένως η f διατηρεί σταθερό πρόσημο στο ( , )−∞ 0 . Έτσι:
— αν f(x)  0 στο ( , )−∞ 0 , τότε στο διάστημα αυτό είναι
f x x2 2
( ) ,= ⇔ f x x( ) == αφού x  0, ενώ
— αν f(x)  0 στο ( , )−∞ 0 , τότε στο διάστημα αυτό είναι
f x x2 2
( ) ,= ⇔ =f x x( ) −− αφού x  0.
Επειδή, επιπλέον f(0) = 0, έχουμε
f(x) = x, για κάθε x ∈ −∞( , ]0 ή
f(x) = – x, για κάθε x ∈ −∞( , ]0 .
22-0182-02.indb 158 26/11/2013 4:13:03 μμ
159
1.8
Ομοίως, έχουμε
f(x) = x, για κάθε x ∈ +∞[ , )0 ή
f(x) = – x, για κάθε x ∈ +∞[ , )0 .
Συνδυάζοντας τα παραπάνω, η f έχει έναν από τους παρακάτω τύπους:
α) f(x) = x, x∈R,
β) f(x) = – x, x∈R
γ) f x
x x
x x
( )
,
,
=
− 
≥



0
0
ή, πιο απλά, f x x( ) =
δ) f x
x x
x x
( )
,
,
=

− ≥



0
0
ή, πιο απλά, f x x( ) = − .
Η γραφική παράσταση της f φαίνεται σε κάθε περίπτωση στα παρακάτω
σχήματα (α), (β), (γ), (δ) αντιστοίχως.
22-0182-02.indb 159 26/11/2013 4:13:04 μμ
160
1.8
8. i) Η εξίσωση της διαγωνίου ΟΒ είναι η
y x y x− =
−
−
− ⇔ =0
1 0
1 0
0( ) .
Ομοίως η εξίσωση της διαγωνίου ΑΓ είναι η
y x y x− =
−
−
− ⇔ = − +0
1 0
0 1
1 1( ) .
ii) Η συνάρτηση f είναι συνεχής στο [0,1] και η γραφική της παράσταση βρίσκεται
ολόκληρη μέσα στο τετράγωνο. Επομένως, το σύνολο τιμών της είναι υποσύνολο
του [0,1]. Είναι δηλαδή 0 ( ) 1f x≤ ≤ για κάθε x ∈[ , ].0 1
● Θα αποδείξουμε, πρώτα, ότι η Cf
τέμνει τη διαγώνιο y = x.Αρκεί να δείξουμε
ότι η εξίσωση f(x) = x έχει μια, τουλάχιστον, ρίζα στον [0,1].
Θεωρούμε τη συνάρτηση φ(x) = f(x) – x η οποία είναι συνεχής στο [–1,1] και
ισχύει φ(0) = f(0) ≥ 0 και φ(1) = f(1) – 1 ≤ 0.
— Αν φ(0) = 0, τότε f(0) = 0, οπότε η εξίσωση f(x) = x έχει ως ρίζα τον x = 0
και η Cf
τέμνει την ΟΒ στο Ο(0,0).
— Αν φ(1) = 0 , τότε f(1) = 1, οπότε η εξίσωση f(x) = x έχει ως ρίζα τον x =
1 και η Cf
τέμνει την ΟΒ στο Α(1,1).
— Αν φ(0)∙φ(1)  0, τότε, σύμφωνα με το θεώρημα του Bolzano, υπάρχει ένα,
τουλάχιστον, x0 0 1∈( , ) τέτοιο, ώστε φ(x0
) = 0, οπότε f(x0
) = x0
και η Cf
τέμνει
την ΟΒ στο σημείο Ρ(x0
,x0
).
Επομένως σε κάθε περίπτωση η Cf
τέμνει την ΟΒ.
● Για την άλλη διαγώνιο εργαζόμαστε ομοίως.
9. i) Έστω Μ(x, f(x)) τυχαίο σημείο της Cf
. Τότε
d d x x x f x y= = − + −( ) ( ) ( ( ) )0
2
0
2
με x ∈[ , ].α β
ii) Η συνάρτηση d είναι συνεχής στο [α, β] ως ρίζα αθροίσματος συνεχών
συναρτήσεων. Επομένως, σύμφωνα με το θεώρημα μέγιστης και ελάχιστης
τιμής, θα υπάρχει κάποιο x1 ∈[ , ]α β για το οποίο η d θα πάρει τη μέγιστη τιμή
της και κάποιο x2 ∈[ , ]α β για το οποίο η d θα πάρει την ελάχιστη τιμή της.
22-0182-02.indb 160 26/11/2013 4:13:06 μμ
161
ΚΕΦΑΛΑΙΟ 2
ΔΙΑΦΟΡΙΚΟΣ ΛΟΓΙΣΜΟΣ
2.1 Α΄ ΟΜΑΔΑΣ
1. i) Για x ≠ 0 έχουμε:
f x f
x
x
x
x
x
x
( ) ( )
,
−
−
=
+ −
= =
0
0
1 12 2
οπότε
lim
( ) ( )
lim .
x x
f x f
x
x
→ →
−
−
= =
0 0
0
0
0
Επομένως f′(0) = 0 .
ii) Για x ∈ −* { }1R έχουμε:
f x f
x
x
x
x
x x
x
x
( ) ( )
( )
( )
,
−
−
=
−
−
=
−
−
=
− +1
1
1
1
1
1
1
12 2
2 2
οπότε
lim
( ) ( )
lim
( )
x x
f x f
x
x
x→ →
−
−
=
− +
= −
1 1 2
1
1
1
2
Επομένως f′(1) = – 2.
iii) Για x ≠ 0 έχουμε:
f x f
x
x
x
x
x
x
( ) ( )
,
−
−
= = ⋅
0
1
2
ηµ ηµ
ηµ
οπότε
lim
( ) ( )
lim lim lim
x x x x
f x f
x
x
x
x
x
x→ → → →
−
−
= ⋅





 = ⋅
0 0 0 0
0
1
ηµ
ηµ
ηµ
ηµµx = ⋅ =1 0 0.
Επομένως f′(0) = 0.
2. i) Για x ≠ 0 έχουμε:
f x f
x
x x
x
x
( ) ( )
,
−
−
=
−
=
0
0
0
22-0182-02.indb 161 26/11/2013 4:13:08 μμ
162
2.1
οπότε
lim
( ) ( )
lim .
x x
f x f
x
x
→ →
−
−
= =
0 0
0
0
0
Επομένως έχουμε f′(0) = 0.
ii) ● Για x  1 έχουμε:
f x f
x
x
x
( ) ( )
,
−
−
=
− −
−
=
1
1
1 0
1
1
οπότε
lim
( ) ( )
lim( )
x x
f x f
x→ →+ +
−
−
= =
1 1
1
1
1 1
● Για x  1 έχουμε:
f x f
x
x
x
( ) ( ) ( )
,
−
−
=
− − −
−
= −
1
1
1 0
1
1
οπότε
lim
( ) ( )
lim( ) .
x x
f x f
x→ →− −
−
−
= − = −
1 1
1
1
1 1
Επειδή lim
( ) ( )
lim
( ) ( )
,
x x
f x f
x
f x f
x→ →− +
−
−
≠
−
−1 1
1
1
1
1
η f δεν παραγωγίζεται στο
σημείο x0
= 1.
iii) Για κάθε x ∈ ∪( , ) ( , )0 1 1 3 έχουμε:
f x f
x
x x
x
x x
x
x
( ) ( ) ( )( )
,
−
−
=
− + −
−
=
− − −
−
= − +
1
1
3 2
1
1 2
1
2
2
οπότε
lim
( ) ( )
lim( ) .
x x
f x f
x
x
→ →
−
−
= − + =
1 1
1
1
2 1
Επομένως f′(1) = 1.
iv) ● Για x  0 έχουμε:
f x f
x
x x
x
x x
x
x
( ) ( ) ( )
,
−
−
=
+ + −
=
+
= +
0
0
1 1 1
1
2
οπότε
lim
( ) ( )
lim( ) .
x x
f x f
x
x
→ →− −
−
−
= + =
0 0
0
0
1 1
22-0182-02.indb 162 26/11/2013 4:13:11 μμ
163
2.1
● Για x  0 έχουμε:
f x f
x
x
x
( ) ( )
,
−
−
=
+ −
=
0
0
1 1
1
οπότε
lim
( ) ( )
lim( ) .
x x
f x f
x→ →+ +
−
−
= =
0 0
0
0
1 1
Επειδή lim
( ) ( )
lim
( ) ( )
x x
f x f
x
f x f
x→ →− +
−
−
= =
−
−0 0
0
0
1
0
0
, η f είναι παραγωγίσιμη στο
x = 0, με f′(0) = 1.
3. Για κάθε x από το πεδίο ορισμού της f με x ≠ 0 έχουμε:
g x g
x
xf x f
x
xf x
x
f x
( ) ( ) ( ) ( ) ( )
( ),
−
−
=
−
= =
0
0
0 0
οπότε
lim
( ) ( )
lim ( ) ( ),
x x
g x g
x
f x f
→ →
−
−
= =
0 0
0
0
0
αφού η f είναι συνεχής στο σημείο x0
= 0.
Επομένως η g παραγωγίζεται στο 0 με g′(0) = f(0).
4. i) Έχουμε:
lim ( ) lim( ) ,
x x
f x x
→ →− −
= + =
0 0
2
1 1 lim ( ) lim
x x
f x x
→ →+ +
= =
0 0
3
0 και f(0) = 0.
Επειδή lim ( ) lim ( ),
x x
f x f x
→ →− +
≠
0 0
το όριο της f στο 0 δεν υπάρχει. Επομένως η
f δεν είναι συνεχής στο 0. Αφού όμως η f δεν είναι συνεχής στο 0, δεν είναι
ούτε παραγωγίσιμη σ’ αυτό.
ii) Έχουμε:
lim ( ) lim
x x
f x x
→ →
= − +( ) =
1 1
1 1 1 και f(1) = 1.
Επομένως η f είναι συνεχής στο x0
= 1.
— Για x  1 έχουμε:
f x f
x
x
x
( ) ( ) ( )
,
−
−
=
− − + −
−
= −
1
1
1 1 1
1
1
οπότε
lim
( ) ( )
.
x
f x f
x→ −
−
−
= −
1
1
1
1
22-0182-02.indb 163 26/11/2013 4:13:13 μμ
164
2.1
— Για x  1 έχουμε:
f x f
x
x
x
( ) ( )
,
−
−
=
− + −
−
=
1
1
1 1 1
1
1
οπότε
lim
( ) ( )
.
x
f x f
x→ +
−
−
=
1
1
1
1
Επειδή lim
( ) ( )
lim
( ) ( )
,
x x
f x f
x
f x f
x→ →− +
−
−
≠
−
−1 1
1
1
1
1
η f δεν παραγωγιζεται στο x0
= 1.
5. ● Από την άσκηση 1 έχουμε:
i) f x x( ) ,= +2
1 f ( )0 1= και ′ =f ( ) .0 0 Επομένως η εξίσωση της εφαπτομένης
της Cf
στο σημείο (0,1) είναι:
y x y− = ⋅ − ⇔ =1 0 0 1( ) .
ii) f x
x
( ) ,=
1
2
f(1) = 1 και f′(1) = – 2. Επομένως η εξίσωση της εφαπτομένης
της Cf
στο σημείο (1,1) είναι:
y x y x− = − − ⇔ = − +1 2 1 2 3( ) .
iii) f(x) = ημ2
x, f(0) = 0 και f′(0) = 0. Επομένως η εξίσωση της εφαπτομένης της
Cf
στο σημείο (0,0) είναι:
y x y− = ⋅ − ⇔ =0 0 0 0( ) .
● Από την άσκηση 2 έχουμε:
i) f x x x( ) ,= f(0) = 0 και f′(0) = 0. Επομένως η εξίσωση της εφαπτομένης
στο σημείο (0,0) είναι:
y x y− = ⋅ − ⇔ =0 0 0 0( )
ii) f x x( ) ,= −1 f(1) = 0 και lim
( ) ( )
x
f x f
x→
−
−1
1
1
δεν υπάρχει. Επομένως δεν ορίζεται
εφαπτομένη της Cf
στο σημείο (1,0).
iii) f x x x( ) ,= −2
3 f(1) = 2 και f′(1) = 1. Επομένως η εξίσωση της εφαπτομένης
της Cf
στο σημείο (1,2) είναι:
y x y x− = − ⇔ = +2 1 1 1( )
iv) f x
x x x
x x
( )
,
,
,=
+ + 
+ ≥



2
1 0
1 0
f(0) = 1 και f′(0) = 1.
22-0182-02.indb 164 26/11/2013 4:13:17 μμ
165
2.1
Επομένως η εξίσωση της εφαπτομένης της Cf
στο σημείο (0,1) είναι:
y x y x− = − ⇔ = +1 1 0 1( ) .
2.1 Β΄ ΟΜΑΔΑΣ
1. Για κάθε x ≠ 0 έχουμε:
f x f
x
x x x
x
x x
x
x
( ) ( )
,
−
−
=
− + −
=
− +( ) = − +
0
0
2 2 1
1
ηµ ηµ
ηµ
οπότε
lim
( ) ( )
lim ,
x x
f x f
x
x
→ →
−
−
= − +( ) = −
0 0
0
0
1 1ηµ αφού lim .
x
x
→
( ) =
0
0ηµ
Επομένως, f′(0) = – 1.
2. i) Για h = 0 έχουμε f(1) = 2.
ii) Για κάθε h∈ *R έχουμε:
f h f
h
h h h
h
h h h
h
h h
( ) ( ) ( )
,
1 1 3 3 2 2 3 3
3 3
3 2 2
2+ −
=
+ + + −
=
+ +
= + +
οπότε
lim
( ) ( )
lim( ) .
h h
f h f
h
h h
→ →
+ −
= + + =
0 0
21 1
3 3 3
Επομένως f′(1) = 3 .
3. ● Για x  0 έχουμε:
f x f
x
x
x
x
x x x
( ) ( )
( )
,
−
−
= −
−
=
− +
−
=
−
0
0
1
1
1
1 1
1
1
1
οπότε
lim
( ) ( )
lim .
x x
f x f
x x→ →
−
=
−
=
0 0
0 1
1
1
● Για x  0 έχουμε:
f x f
x
x
x
x
x
( ) ( )
,
−
−
=
+ −
=
0
0
1 1ηµ ηµ
οπότε
lim
( ) ( )
lim .
x x
f x f
x
x
x→ →
−
−
= =
0 0
0
0
1
ηµ
Επομένως f′(0) = 1.
22-0182-02.indb 165 26/11/2013 4:13:20 μμ
166
2.1
Άρα, ορίζεται εφαπτομένη της Cf
στο σημείο Ο(0,1) και έχει συντελεστή διεύθυνσης
λ = f′(0) = 1, οπότε
εϕω ω
π
= ⇔ =1
4
.
4. Για κάθε x ≠ 0 έχουμε:
f x f
x
x
x
x
x
x
x x
( ) ( )
( )
−
−
=
−
−
=
−
=
−
+
0
0
1
0
1 1
12
2
2
συν
συν συν
συν
x
=
+
=





 ⋅
+
ηµ
συν
ηµ
συν
2
2
2
1
1
1
x
x
x
x x( )
,
x
οπότε
lim
( ) ( )
lim
x x
f x f
x
x
x x→ →
−
−
=





 ⋅
+








= ⋅ =
0 0
2
0
0
1
1
1
1
2
ηµ
συν
11
2
.
Επομένως, ′ =f ( ) .0
1
2
5. Για κάθε x∈R γνωρίζουμε ότι:
( ) ( )x f x x x+ ≤ ≤ + +1 12
(1)
i) Για x = 0, από την (1) έχουμε:
1 (0) 1,f≤ ≤ οπότε f(0) = 1.
Η (1) γράφεται ισοδύναμα:
x f x x x x f x f x x≤ − ≤ + ⇔ ≤ − ≤ +( ) ( ) ( ) ( )1 0 12
(2)
ii) ● Για x  0, από τη (2) έχουμε:
1
0
0
1≥
−
−
≥ +
f x f
x
x
( ) ( )
. (3)
● Για x  0, από τη (2) έχουμε
1
0
1≤
−
≤ +
f x f
x
x
( ) ( )
(4)
iii) Από τη σχέση (3) επειδή lim lim( ),
x x
x
→ →− −
= = +
0 0
1 1 1 σύμφωνα με το κριτήριο
παρεμβολής έχουμε
lim
( ) ( )
.
x
f x f
x→ −
−
−
=
0
0
0
1
Από τη σχέση (4) επειδή lim lim( ) ,
x x
x
→ →+ +
= + =
0 0
1 1 1 σύμφωνα με το κριτήριο
παρεμβολής έχουμε
22-0182-02.indb 166 26/11/2013 4:13:23 μμ
167
2.1
lim
( ) ( )
.
x
f x f
x→ +
−
−
=
0
0
0
1
Επομένως f′(0) = 1.
6. Για κάθε x ∈R γνωρίζουμε ότι ισχύει:
ηµ ηµ2 4 2 4
x x xf x x x− ≤ ≤ +( ) (1)
i) Επειδή η f είναι συνεχής στο 0 θα ισχύει
f f x f x
x x
( ) lim ( ) lim ( )0
0 0
= =
→ →+ −
Επομένως, αρκεί να υπολογίσουμε το lim ( )
x
f x
→ +
0
.
Για x  0, από την (1), έχουμε
ηµ ηµ2 4 2 4
x
x
x
x
f x
x
x
x
x
− ≤ ≤ +( )
ή, ισοδύναμα,
ηµ
ηµ
ηµ
ηµ
x
x
x x f x
x
x
x x⋅ − ≤ ≤ ⋅ +3 3
( ) .
Επειδή lim
x
x
x
x x
→ +
⋅ −





 = ⋅ − =
0
3
1 0 0 0
ηµ
ηµ και
lim ,
x
x
x
x x
→ +
⋅ +





 = ⋅ + =
0
3
1 0 0 0
ηµ
ηµ
έχουμε lim ( ) .
x
f x
→ +
=
0
0 Άρα f(0) = 0.
ii) ● Για x ≠ 0, από την (1), έχουμε
ηµ ηµ2
2
4
2
2
2
4
2
x
x
x
x
f x
x
x
x
x
x
− ≤ ≤ +
( )
ή, ισοδύναμα,
ηµ ηµx
x
x
f x f
x
x
x
x





 − ≤
−
≤





 +
2
2
2
20( ) ( )
.
Επειδή
lim
x
x
x
x
→





 −








= − =
0
2
2 2
1 0 1
ηµ
και lim ,
x
x
x
x
→





 +








= + =
0
2
2
1 0 1
ηµ
έχουμε lim
( ) ( )
.
x
f x f
x→
−
=
0
0
1 (2)
Άρα f′(0) = 1.
22-0182-02.indb 167 26/11/2013 4:13:26 μμ
168
2.1
7. i) Αφού η f είναι συνεχής στο 0 ισχύει
lim ( ) ( ).
x
f x f
→
=
0
0
Αλλά lim ( ) lim
( )
lim
( )
lim .
x x x x
f x
f x
x
x
f x
x
x
→ → → →
= ⋅





 = ⋅ = ⋅ =
0 0 0 0
4 0 0
Επομένως, f(0) = 0.
ii) Είναι
′ =
−
−
= =
→ →
f
f x f
x
f x
xx x
( ) lim
( ) ( )
lim
( )
,0
0
0
4
0 0
λόγω της υπόθεσης.
8. i) Επειδή η f είναι παραγωγίσιμη στο x0
ισχύει
′ =
+ −
→
f x
f x h f x
hx
( ) lim
( ) ( )
.0
0
0 0
Για h ≠ 0 είναι
f x h f x
h
f x h f x
h
( ) ( ) ( ( )) ( )
.0 0 0 0− −
= −
+ − −
−
Επομένως
lim
( ) ( )
lim
( ( )) ( )
.
h h
f x h f x
h
f x h f x
h→ →
− −
= −
+ − −
−0
0 0
0
0 0
= −
+ − −
−− →
lim
( ( )) ( )
h
f x h f x
h0
0 0
= −
+ −
→
lim
( ) ( )
k
f x k f x
k0
0 0
(θέσαμε k h= − )
ii) Για h ≠ 0 είναι
f x h f x h
h
f x h f x f x h f x
h
( ) ( ) ( ) ( ) ( ) ( )0 0 0 0 0 0+ − −
=
+ − − − +
=
+ −
−
− −f x h f x
h
f x h f x
h
( ) ( ) ( ) ( )
,0 0 0 0
οπότε
lim
( ) ( )
lim
( ) ( )
lim
( )
h h h
f x h f x h
h
f x h f x
h
f x h
→ → →
+ − −
=
+ −
−
− −
0
0 0
0
0 0
0
0 ff x
h
( )0
= ′ − − ′f x f x( ) ( ( ))0 0
= ′2 0f x( ).
(Σύμφωνα με το ερώτημα i) lim
( ) ( )
( )).
h
f x h f x
h
f x
→
− −
= − ′
0
0 0
0
22-0182-02.indb 168 26/11/2013 4:13:30 μμ
169
2.1
9. i) Από την αρχή του άξονα κίνησης ξεκίνησε το κινητό Β.
ii) Μόνο προς τα δεξιά κινήθηκε το κινητό Γ, αφού η συνάρτηση θέσης του είναι
γνησίως αύξουσα.
iii) Τη χρονική στιγμή t = 2 sec το κινητό Β άλλαξε φορά κίνησης, γιατί τότε η
συνάρτηση θέσης από γνησίως φθίνουσα γίνεται γνησίως αύξουσα.
Τη στιγμή t = 4 sec άλλαξε φορά κίνησης το κινητό Α, αφού η συνάρτηση
θέσης του από γνησίως φθίνουσα γίνεται γνησίως αύξουσα. Τέλος τη χρονική
στιγμή t = 5 sec άλλαξε φορά κίνησης το κινητό Β, αφού τη συνάρτηση θέσης
του από γνησίως αύξουσα γίνεται γνησίως φθίνουσα.
iv) Στο χρονικό διάστημα [0,4] το κινητό Α κινήθηκε μόνο αριστερά, αφού η
συνάρτηση θέσης του είναι γνησίως φθίνουσα.
ν) Πιο κοντά στην αρχή των αξόνων τερμάτισε το κινητό Β.
Όλα τα παραπάνω φαίνονται καλύτερα, αν προβάλλουμε τις γραφικές
παραστάσεις των συναρτήσεων θέσης στον άξονα κίνησης:
vi) Το κινητό Α διάνυσε το μεγαλύτερο διάστημα, αφού:
— Το Α κινητό διαγράφει διάστημα ίσο με Μ1
Μ2
+ Μ2
Μ3
—Το Β κινητό διαγράφει διάστημα ίσο με Μ4
Μ5
+ Μ5
Μ6
+ Μ6
Μ7
—Το Γ κινητό διαγράφει διάστημα ίσο με Μ8
Μ9
.
22-0182-02.indb 169 26/11/2013 4:13:30 μμ
170
2.2
2.2 Α΄ ΟΜΑΔΑΣ
1. i) Για κάθε x ∈R ισχύει f ′ (x) = 4x3
, οπότε f ′ (–1) = – 4.
ii) Για κάθε x ∈ +∞( , )0 ισχύει
′ =f x
x
( ) ,
1
2
οπότε ′ = =f ( ) .9
1
2 9
1
6
iii) Για κάθε x ∈R ισχύει f ′ (x) = – ημx, οπότε ′





 = − = −f
π π
6 6
1
2
ηµ .
iv) Για κάθε x ∈ +∞( , )0 ισχύει ′ =f x
x
( ) ,
1
οπότε ′ =f e
e
( ) .
1
v) Για κάθε x ∈R ισχύει f ′ (x) = ex
, οπότε f ′ (ln2) = eln2
= 2.
2. i) ● Για κάθε x  1 ισχύει f ′ (x) = 2x.
● Για κάθε x  1 ισχύει ′ =f x
x
( ) .
1
2
Εξετάζουμε αν η f παραγωγίζεται στο σημείο x0
= 1.
— Για x  1 έχουμε:
f x f
x
x
x
x
( ) ( )
,
−
−
=
−
−
= +
1
1
1
1
1
2
οπότε
lim
( ) ( )
lim( ) .
x x
f x f
x
x
→ →− −
−
−
= + =
1 1
1
1
1 2
— Για x  1 έχουμε:
f x f
x
x
x
x
x x x
( ) ( )
( )
,
−
−
=
−
−
=
−
− +( )
=
+
1
1
1
1
1
1 1
1
1
οπότε
lim
( ) ( )
lim .
x x
f x f
x x→ →+ +
−
−
=
+
=
1 1
1
1
1
1
1
2
Επομένως η f δεν παραγωγίζεται στο x0
= 1.
Άρα ′ =







f x
x x
x
x
( )
,
,
.
2 1
1
2
1
22-0182-02.indb 170 26/11/2013 4:13:33 μμ
171
2.2
ii) ● Για κάθε x  0 ισχύει f ′ (x) = συνx.
● Για κάθε x  0 ισχύει f ′ (x) = 1.
● Εξετάζουμε αν η f παραγωγίζεται στο σημείο x0
= 0.
— Για x  0 έχουμε:
f x f
x
x
x
x
x
( ) ( )
,
−
−
=
−
=
0
0
0ηµ ηµ
οπότε
lim
( ) ( )
lim .
x x
f x f
x
x
x→ →− −
−
= =
0 0
0
1
ηµ
— Για x  0 έχουμε:
f x f
x
x
x
( ) ( )
,
−
−
=
−
=
0
0
0
1
οπότε
lim
( ) ( )
.
x
f x f
x→ +
−
=
0
0
1
Επομένως f ′ (0) = 1.
Άρα ′ =

≥



f x
x x
x
( )
,
,
.
συν 0
1 0
iii) ● Για κάθε x  2 ισχύει f ′ (x) = 3x2
.
● Για κάθε x  2 ισχύει f ′ (x) = 4x3
.
● Εξετάζουμε αν η f παραγωγίζεται στο σημείο x0
= 2. Επειδή
lim ( ) lim
x x
f x x
→ →− −
= =
2 2
3
8 και lim ( ) lim ,
x x
f x x
→ →+ +
= =
2 2
4
16
η f δεν είναι συνεχής στο x0
= 2.
Επομένως η f δεν παραγωγίζεται στο x0
= 2.
Άρα ′ =






f x
x x
x x
( )
,
,
.
3 2
4 2
2
3
iv) ● Για κάθε x 
2
3
ισχύει f ′ (x) = 2x.
● Για κάθε x 
2
3
ισχύει f ′ (x) = 3x2
.
● Εξετάζουμε αν η f παραγωγίζεται στο σημείο x0
2
3
= .
22-0182-02.indb 171 26/11/2013 4:13:36 μμ
172
2.2
Παρατηρούμε ότι:
lim ( )
x
f x f
→
−
= =





2
3
4
9
2
3
και lim ( ) .
x
f x f
→
+
= ≠





2
3
8
27
2
3
Δηλαδή η f δεν είναι συνεχής στο x0
2
3
= .
Άρα η f δεν παραγωγίζεται στο σημείο x0
2
3
= .
Επομένως, ′ =








f x
x x
x x
( )
,
,
.
2
2
3
3
2
3
2
3. Έστω ότι υπάρχουν δύο σημεία, τα Μ1 1 1
2
( , )x x και Μ 2 2 2
2
( , )x x με 1 2 ,x x≠ στα
οποία οι εφαπτομένες της Cf
είναι παράλληλες. Τότε, επειδή η f παραγωγίζεται
στο πεδίο ορισμού της, θα πρέπει f′(x1
) = f′(x2
), οπότε 2x1
= 2x2
και άρα x1
= x2
,
που είναι άτοπο, αφού x1
≠ x2
.
Άρα, δεν υπάρχουν διαφορετικές εφαπτομένες της Cf
που να είναι παράλληλες.
Για τη γραφική παράσταση της f(x) = x3
δεν συμβαίνει το ίδιο. Πράγματι, για να
υπάρχουν δύο τουλάχιστον σημεία αυτής, τα Μ1 1 1
3
( , ),x x Μ 2 2 2
3
( , )x x στα οποία
οι εφαπτόμενες είναι παράλληλες, αρκεί να ισχύει:
′ = ′
≠



⇔
=
≠




f x f x
x x
x x
x x
( ) ( )1 2
1 2
1
2
2
2
1 2
3 3
⇔
=
≠




x x
x x
1
2
2
2
1 2
⇔ = − ≠x x1 2 0.
Επομένως, στα σημεία Μ1 1 1
3
( , ),x x Μ 2 1 1
3
( , )− −x x με x1
≠ 0 οι εφαπτομένες
είναι παράλληλες.
4. ● Στο διάστημα (–2,0) η κλίση της f είναι σταθερή και ίση με
2 0
0 2
2
2
1
−
− −
= =
( )
.
● Στο (0,2) η f έχει κλίση ίση με
− −
−
= −
2 2
2 0
2.
22-0182-02.indb 172 26/11/2013 4:13:39 μμ
173
2.2
● Στο (2,4) η κλίση της είναι 0.
● Στο (4,6) η κλίση της είναι ίση με
4 2
6 4
6
2
3
+
−
= = .
● Στο (6,9) η κλίση της f είναι ίση με
0 4
9 6
4
3
−
−
= − .
Επομένως, ′ =
∈ −
− ∈
∈
∈
− ∈



f x
x
x
x
x
x
( )
, ( , )
, ( , )
, ( , )
, ( , )
, ( , )
1 2 0
2 0 2
0 2 4
3 4 6
4
3
6 9








.
Η γραφική παράσταση της συνάρτησης f′ φαίνεται στο παρακάτω σχήμα
5. Στο διάστημα [0,2) είναι f′(x) = 2. Άρα,
στο διάστημα αυτό η f παριστάνει ένα
ευθύγραμμο τμήμα με κλίση 2, δηλαδή
παράλληλο στην ευθεία y = 2x. Στο διάστημα
(2,4) είναι f′(x) = – 1.Άρα, στο διάστημα αυτό
η f παριστάνει ένα ευθύγραμμο τμήμα με
κλίση – 1, δηλαδή παράλληλο στην ευθεία y
= – x. Τέλος, στο διάστημα (4,8] είναι f′(x) =
1. Άρα, στο διάστημα αυτό η f παριστάνει ένα ευθύγραμμο τμήμα με κλίση 1,
δηλαδή παράλληλο στην ευθεία y = x.
Λαμβάνοντας υπόψη τα παραπάνω, την υπόθεση ότι η Cf
ξεκινάει από το Ο(0,0)
και ότι η f είναι συνεχής στα σημεία 2 και 4, παίρνουμε τη γραφική παράσταση
του διπλανού σχήματος.
22-0182-02.indb 173 26/11/2013 4:13:40 μμ
174
2.2
2.2 B΄ ΟΜΑΔΑΣ
1. Αρχικά θα πρέπει η f να είναι συνεχής στο x0
= π.
Έχουμε:
lim ( ) lim ,
x x
f x x
→ →− −
= =
π π
ηµ 0
lim ( ) lim ( )
x x
f x x
→ →+ +
= + = +
π π
α β απ β και f ( ) .π απ β= +
Άρα θα πρέπει
απ β β απ+ = ⇔ = −0 (1)
Έτσι η f γίνεται:
f x
x x
x x
( )
,
,
.=

− ≥



ηµ π
α απ π
Για να είναι η f παραγωγίσιμη στο x0
= π, αρκεί:
lim
( ) ( )
lim
( ) ( )
x x
f x f
x
f x f
x→ →− +
−
−
=
−
−π π
π
π
π
π
— Για x  π έχουμε:
f x f
x
x
x
( ) ( )
,
−
−
=
−
−
π
π π
ηµ 0
οπότε
lim
( ) ( )
lim lim
( )
( )
.
x x x
f x f
x
x
x
x
x→ → →− − −
−
−
=
−
=
−
− −
= −
π π π
π
π π
π
π
ηµ ηµ
1
— Για x  π έχουμε:
f x f
x
x
x
( ) ( )
,
−
−
=
−
−
=
π
π
α απ
π
α
οπότε
lim
( ) ( )
.
x
f x f
x→ +
−
−
=
π
π
π
α
Άρα α = – 1, οπότε από την (1) έχουμε β = π.
22-0182-02.indb 174 26/11/2013 4:13:42 μμ
175
2.2
2. Για κάθε ξ ∈ +∞( , )0 έχουμε ′ =f ( ) .ξ
ξ
1
2
Η εξίσωση της εφαπτομένης της Cf
στο σημείο Α(ξ, f(ξ)) είναι:
y x y x− = − ⇔ = +ξ
ξ
ξ
ξ
ξ1
2
1
2 2
( ) .
Η ευθεία αυτή διέρχεται από το σημείο Β(–ξ,0), αφού
1
2 2 2 2
0
ξ
ξ
ξ ξ ξ
( ) .− + =
−
+ =
3. Για κάθε x ∈ *R ισχύει f′(x) = 3x2
, οπότε f′(α) = 3α2
.
Η εξίσωση της εφαπτομένης της Cf
στο σημείο Μ(α,α3
) είναι:
y x y x− = − ⇔ = −α α α α α3 2 2 3
3 3 2( ) .
Λύνουμε το σύστημα
y x
y x
=
= −




3
2 3
3 2α α
Έχουμε:
y x
y x
y x
x x
y x
x x
=
= −




⇔
=
− + =




⇔
=
− −
3
2 3
3
3 2 3
3
2 2
3 2 3 2 0 2α α α α α α( ) 22
0( )x − =



 α
3 3
2 2
ή 2( )( 2 ) 0
y x y x
x xx x x α αα α α
 =  =
⇔ ⇔ 
= = −− + − = 
⇔
=
=



= −
= −



y
x
y
x
α
α
α
α
3 3
8
2
.ή
Επομένως η εφαπτομένη της Cf
στο σημείο Μ(α,α3
) έχει και άλλο κοινό σημείο
με την Cf
το Ν ( , ).− −2 8 3
α α Είναι
′ − = − = = ⋅ = ⋅ ′f f( ) ( ) ( ).2 3 2 12 4 3 42 2 2
α α α α α
22-0182-02.indb 175 26/11/2013 4:13:45 μμ
176
2.2
4. i) Είναι
′ =
−
−→
f
f x f
xx
( ) lim
( ) ( )
ξ
ξ
ξξ
=
−
−
=
−
= −
→ →
lim lim
x x
x
x xξ ξ
ξ
ξ ξ ξ
1 1
1 1
2
Επομένως η εξίσωση της εφαπτομένης ε είναι
y x− = − −
1 1
2
ξ ξ
ξ( ).
Για y = 0 είναι
− = − − ⇔ = − ⇔ =
1 1
22
ξ ξ
ξ ξ ξ ξ( ) .x x x
Άρα η ε τέμνει τον x′x στο σημείο Α(2ξ,0).
Για x = 0 είναι
y y− = − − ⇔ =
1 1
0
2
2
ξ ξ
ξ
ξ
( ) .
Άρα η ε τέμνει τον y′y στο Β 0
2
, .
ξ






Επομένως, οι συντεταγμένες του μέσου του ΑΒ είναι
2 0
2
ξ
ξ
+
= και
0
2
2
1
+
=
ξ
ξ
.
Άρα, το μέσο του ΑΒ είναι το σημείο Μ ξ
ξ
, .
1





ii) Το εμβαδόν του τριγώνου OΑΒ είναι
Ε ΟΑ ΟΒ= = ⋅ = ⋅ =
1
2
1
2
2
2 1
2
2
2
2( )( ) ξ
ξ
ξ
ξ
τ.μ.
22-0182-02.indb 176 26/11/2013 4:13:47 μμ
177
2.3
2.3 A΄ ΟΜΑΔΑΣ
1. i) ′ = − +f x x x( ) 7 4 66 3
ii) ′ = +f x x
x
( ) 6
12
iii) ′ = − + −f x x x x( ) 3 2
1
iv) ′ = − −f x x x( ) ηµ συν3
2. i) ′ = − + − = − + − = − −f x x x x x x x x x( ) ( )2 3 1 2 6 1 3 6 12 2 2 2
ii) ′ = + = +f x e x e x e x xx x x
( ) ( )ηµ συν ηµ συν
iii) ′ =
− + − −
+
=
− + + −
+
=
−
f x
x x x x
x
x x x
x
x
( )
( ) ( )
( )
( )
( ) (
2 1 2 1
1
2 1 1
1
42 2
2 2
2 2
2 2
11 2 2
+ x )
iv) ′ =
− + + +
+
f x
x x x x x x
x
( )
( )( ) ( )
( )
συν ηµ συν ηµ ηµ συν
συν
1
1 2
=
− + − ⋅ + + ⋅
+
συν ηµ συν ηµ συν ηµ ηµ συν
συν
x x x x x x x x
x
2 2
2
1( )
=
− +
+
1
1 2
ηµ συν
συν
x x
x( )
v) ′ = + −f x x x x x x x x x x( ) 2 2 2
ηµ συν συν συν ηµ ηµ
= + −x x x x xηµ συν ηµ2 2 2 2
( )
= + = +x x x x x x x xηµ συν ηµ συν2 2 2 22
( ).
3. i) ′ =
−
=
−






f x
e x e
x
x
e x
x
x
x x x
( )
ln
(ln )
ln
(ln )
1 1
2 2
ii) ′ = − =
−
⋅
=
−
= −f x
x x
x x
x x
x
x x
( )
1 1 2 4
2 2
2 2
2 2 2 2
συν ηµ
ηµ συν
ηµ συν
συν
ηµ συν
σσυν
ηµ
2
22
x
x
22-0182-02.indb 177 26/11/2013 4:13:51 μμ
178
2.3
iii) ′ =
−
=
−
=
−
f x
xe xe
e
e x x
e
x x
e
x x
x
x
x x
( )
( )συν ηµ συν ηµ συν ηµ
2 2
iv) Έχουμε:
f x
x x
x
x
x
( )
( ) ( )
,=
− − +
−
=
−
−
1 1
1
4
1
2 2
2 2
οπότε
′ =
− − +
−
=
+
−
f x
x x
x
x
x
( )
( )
( )
( )
( )
.
4 1 8
1
4 1
1
2 2
2 2
2
2 2
4. i) ● Για κάθε x  0 ισχύει f′(x) = 4x + 3
● Για κάθε x  0 ισχύει ′ = ⋅ + = +f x
x x
( ) .12
1
2
6
6
6
● Εξετάζουμε αν η f παραγωγίζεται στο x0
= 0.
— Για x  0 έχουμε:
f x f
x
x x
x
x
( ) ( )
,
−
−
=
+
= +
0
0
2 3
2 3
2
οπότε
lim
( ) ( )
lim( )
x x
f x f
x
x
→ →− −
−
= + =
0 0
0
2 3 3
— Για x  0 έχουμε:
f x f
x
x x
x x
( ) ( )
,
−
−
=
+
= +
0
0
12 6 12
6
οπότε
lim
( ) ( )
lim .
x x
f x f
x x→ →+ +
−
= +





 = +∞
0 0
0 12
6
Επομένως η f δεν παραγωγίζεται στο x0
= 0.
Άρα ′ =
+ 
+





 





f x
x x
x
x
( )
,
,
.
4 3 0
6
1
1 0
ii) ● Για κάθε x  0 ισχύει f′(x) = 2x + συνx
22-0182-02.indb 178 26/11/2013 4:13:53 μμ
179
2.3
● Για κάθε x  0 ισχύει f′(x) = 1.
● Εξετάζουμε αν η f παραγωγίζεται στο x0
= 0.
— Για x  0 έχουμε:
f x f
x
x x
x
x
x
x
( ) ( )
,
−
−
=
+
= +
0
0
2
ηµ ηµ
οπότε
lim
( ) ( )
lim .
x x
f x f
x
x
x
x→ →
−
−
= +





 =
0 0
0
0
1
ηµ
— Για x  0 έχουμε:
f x f
x
x
x
( ) ( )
,
−
−
= =
0
0
1 οπότε
lim
( ) ( )
lim .
x x
f x f
x→ →+ +
−
−
= =
0 0
0
0
1 1
Επομένως f′(0) = 1.
Έτσι ′ =
+ ≤




f x
x x x
x
( )
,
,
.
2 0
1 0
συν
5. Θα πρέπει να βρούμε εκείνα τα σημεία (x, f(x)) της Cf
για τα οποία ισχύει f′(x) = 0.
i) Για x ≠ 0 έχουμε:
′ = − =
−
f x
x
x
x
( ) ,1
4 4
2
2
2
οπότε
′ = ⇔ − = ⇔ = −f x x x( ) 0 4 0 22
ή x = 2.
Επομένως τα ζητούμενα σημεία είναι (–2, –4) και (2,4).
ii) Έχουμε:
′ =
−
=
−
=
−
f x
e xe
e
e x
e
x
e
x x
x
x
x x
( )
( )
,2 2
1 1
οπότε
′ = ⇔ − = ⇔ =f x x x( ) .0 1 0 1
22-0182-02.indd 179 28/11/2013 1:18:13 μμ
180
2.3
Επομένως το ζητούμενο σημείο είναι το 1
1
, .
e






iii) Έχουμε:
′ =
− −
=
−
f x
x x
x
x
x
( ) ,
2 1 12 2
2
2
2
οπότε
′ = ⇔ − = ⇔ = −f x x x( ) 0 1 0 12
ή x = 1.
Επομένως τα ζητούμενα σημεία είναι τα (–1, –2) και (1,2).
6. ● Για κάθε x ≠ 1 ισχύει:
′ =
− − +
−
=
−
−
f x
x x
x x
( )
( ) ( )
( ) ( )
2 1 2 1
1
4
12 2
● Για κάθε x ∈ ∪ +∞[ , ) ( , )0 1 1 είναι
g x
x x
x
x
x
( )
( )
,=
+( ) + −( )
−
=
+
−
1 1
1
2 1
1
2 2
οπότε ′ =
−
−
g x
x
( )
( )
.
4
1 2
Δεν ισχύει η ισότητα των f′, g′, αφού αυτές έχουν διαφορετικά πεδία ορισμού.
7. ● Για κάθε x ∈ R ισχύει f′(x) = 2x, οπότε f′(1) = 2.
● Για κάθε x ≠ 0 ισχύει ′ = −g x
x
( ) ,
1
2 2
οπότε ′ = −g ( ) .1
1
2
Επειδή ′ ⋅ ′ = ⋅ −





 = −f g( ) ( ) ,1 1 2
1
2
1 οι εφαπτόμενες των γραφικών παραστάσεων
των συναρτήσεων f και g στο κοινό τους σημείο (1,1) είναι κάθετες.
8. Παρατηρούμε ότι το σημείο Α(0,1), για κάθε α ∈ *R , βρίσκεται πάνω στην Cf
.
Για κάθε x ∈ −{ }αR έχουμε:
′ =
+ − +
+
=
−
+
f x
x x
x x
( )
( ) ( )
( ) ( )
,
α α α α
α
α α
α2
2
2
οπότε
′ =
−
=
−
f ( ) .0
12
2
α α
α
α
α
22-0182-02.indb 180 26/11/2013 4:13:59 μμ
181
2.3
Επομένως
′ = ⇔
−
= ⇔ − = ⇔ =f ( ) .0
1
2
1 1
2
2 2 2
α
α
α α α
9. i) Τα σημεία της Cf
στα οποία η εφαπτομένη είναι παράλληλη προς την ευθεία y
= 9x + l είναι αυτά για τα οποία ισχύει f′(x) = 9. Αλλά f′(x) = 3x2
– 3, οπότε
3 3 9 3 12 4 22 2 2
x x x x− = ⇔ = ⇔ = ⇔ = − ή x = 2.
Επομένως, τα σημεία είναι (–2,3) και (2,7).
ii) Τα σημεία της Cf
στα οποία η εφαπτομένη είναι κάθετη προς την ευθεία y
= – x είναι αυτά για τα οποία ισχύει: ′ ⋅ − = −f x( ) ( )1 1 ή ισοδύναμα:
( )( )− − = − ⇔ − = ⇔ = ⇔ =
−
1 3 3 1 3 3 1
4
3
2 3
3
2 2 2
x x x x ή x =
2 3
3
.
Επομένως τα σημεία είναι
2 3
3
10 3 45
9
,
− +




 και
− +





2 3
3
10 3 45
9
, .
10. Η εφαπτομένη της Cf
στο τυχαίο σημείο M0
(x0
, f(x0
)) αυτής έχει εξίσωση:
y f x f x x x y x x x x− = ′ − ⇔ − = −( ) ( )( ) ( )0 0 0 0
2
0 02
⇔ = −y x x x2 0 0
2
. (1)
Για να περνάει η ε από το σημείο Α(0,–1), αρκεί να ισχύει
− = ⋅ − ⇔ = ⇔ =1 2 0 1 10 0
2
0
2
0x x x x ή x0 1= − .
Επομένως οι ζητούμενες εφαπτόμενες προκύπτουν από την (1), αν θέσουμε x0
= 1 και x0
= – 1. Άρα, είναι οι ευθείες y = 2x – l και y = – 2x – 1.
11. Η γραφική παράσταση της f διέρχεται από τα σημεία Α(1,2) και Ο(0,0), οπότε
f
f
( )
( )
1 2
0 0
2
0
=
=



⇔
+ + =
=



α β γ
γ
(1)
Για κάθε x ∈R ισχύει f′(x) = 2αx + β.
22-0182-02.indb 181 26/11/2013 4:14:01 μμ
182
2.3
Επειδή η Cf
εφάπτεται της ευθείας y = x στο σημείο Ο(0,0) θα είναι:
′ = ⇔ =f ( ) .0 1 1β (2)
Από τις (1) και (2) προκύπτει ότι α = 1, β = 1 και γ = 0.
12. i) Έχουμε
′ = + ′ = − + ⋅ + ′− − −
f x x x x x x x( ) (( ) ) ( ) ( )3 4 2 3 4 3 44 3 2 4 3 2 1 4 3
= −
+
⋅ +
2
3 4
12 124 3 3
3 2
( )
( )
x x
x x
=
− +
+
24 1
3 47 3
( )
( )
.
x
x x
ii) Για x ∈ +∞( , )1 έχουμε
′ = − ′ = − − ′ =
⋅ −
−
f x x x x
x
( ) (( ) ) ( ) ( ) ./
1
2
3
1 1
2
3 1
2 3
2
3
1
3
iii) Είναι
′ =
+





⋅
+






′
f x
x x
( ) συν
1
1
1
12 2
=
+






−
+
συν
1
1
2
12 2 2
x
x
x( )
.
iv) Έχουμε
′ =
−
⋅ −






′
f x
x
x x
x( )
1
1
1
=
−
⋅ − −





 =
− +
−
x
x x
x x
x x1
1
1
1
12 2
2
2 2
( )
( )
=
− +
−
=
+
−
( )
( ) ( )
.
1
1
1
1
2
2
2
2
x
x x
x
x x
v) Είναι ′ = ⋅ − ′ = ⋅ −− −
f x e x e xx x
( ) ( ) ( ).
2 2
2
2
22-0182-02.indb 182 26/11/2013 4:14:04 μμ
183
2.3
13.i) Για κάθε x  – 1 ισχύει
′ = ′ + + +( )′
f x x x x x( ) ( )2 2 2 3
1 1
= + + ⋅
+
= + +
+
2 1
3
2 1
2 1
3
2 1
3 2
2
3
3
4
3
x x x
x
x
x x
x
x
,
οπότε
′ = ⋅ + +
⋅
+
= + =f ( ) .2 2 2 1 8
3 2
2 1 8
12
48
6
20
4
ii) Για κάθε x  0 ισχύει
′ = ⋅ + ⋅ = +
− − − −
f x x x x x( ) ( ) ( ) ( ) ( ) ,
1
3
2 2
2
3
2 2
2
3
2
4
3
2
2
3
1
3
2
3
1
3
οπότε
′ = + = + =
− −
f ( ) .4
2
3
8
4
3
8
1
6
2
3
5
6
2
3
1
3
iii) Για κάθε x ∈R ισχύει
′ = + ⋅ ⋅f x x x x x x( ) ( ) ( ) ( )3 32 3 3 2
ηµ ηµ συνπ π π π
= +3 2 3 2
x x x x x[ηµ ηµ συν( ) ( ) ( )],π π π π
οπότε
′





 = + ⋅ ⋅





 = ⋅ +





 =f
1
6
3
36
1
8 6
1
4
3
2
1
12
1
8
3
48
1
12
6π π ++





3
48
π
iv) Για κάθε x ≠ 2 ισχύει:
′ =
− + +
−
=
− + +
−
=
− + +
−
f x
x x x
x
x x x
x
x x
x
( )
( )
( ) ( ) ( )
,
2 2 2
2
4 2 2
2
4 2
2
2
2
2 2
2
2
2
οπότε
′ =
− + +
=f ( ) .3
9 12 2
1
5
22-0182-02.indb 183 26/11/2013 4:14:07 μμ
184
2.3
14. i) Για x  0 έχουμε f x e ex x x
( ) ,ln ln ln
= =
2
οπότε
′ = ⋅ ′f x e xx
( ) (ln )ln2
2
= ⋅ ⋅





e x
x
xln
ln
2
2
1
= ⋅x
x
xxln
ln2
1
= ⋅−
2 1
x xxln
ln
ii) Είναι f x e x
( ) ,( )ln
= −5 3 2
οπότε
′ = ⋅ − ′−
f x e xx
( ) (( )ln )( )ln5 3 2
5 3 2
= ⋅ = ⋅− −
e x x( )ln
ln ln .5 3 2 5 3
5 2 2 5 2
iii) Για x  1 ισχύει f x ex x
( ) ,ln(ln )
= οπότε
′ = ⋅ ′f x e x xx x
( ) ( ln(ln ))ln(ln )
= ⋅ + ⋅ ⋅





e x x
x x
x xln(ln )
ln(ln )
ln
1 1
= ⋅ +





(ln ) ln(ln )
ln
.x x
x
x 1
iv) Έχουμε
′ = ⋅ ′ = ⋅ + ′f x x e e x ex x x
( ) ( ) ( )ηµ συν ηµσυν συν συν
x
= ⋅ + ⋅ ⋅ ′συν ηµ συνσυν συν
x e x e xx x
( )
= −e x xxσυν
συν ηµ( ).2
15. Είναι
′ = ′ = ⋅ =f x x x x x( ) ( )ηµ ηµ συν ηµ2
2 2
και
′′ = ⋅f x x( ) .συν2 2
22-0182-02.indb 184 26/11/2013 4:14:11 μμ
185
2.3
Άρα
′′ + = +f x f x x x( ) ( )4 2 2 4 2
συν ηµ
= − +2 1 2 42 2
( )ηµ ηµx x
= − +2 4 42 2
ηµ ηµx x
= 2.
2.3 B΄ ΟΜΑΔΑΣ
1. Οι γραφικές παραστάσεις των f, g έχουν ένα κοινό σημείο, αν και μόνο αν υπάρχει
x0
τέτοιο ώστε
f x g x
x
x x x x x( ) ( )0 0
0
0
2
0 0
3
0
2
0
1
1 1 0= ⇔ = − + ⇔ − + − =
⇔ − + = ⇔ =( )( ) .x x x0 0
2
01 1 0 1
Επομένως, το σημείο (1,1) είναι το μόνο κοινό σημείο των Cf
και Cg
.
Για κάθε x ∈ *R ισχύει:
′ = −f x
x
( )
1
2
και ′ = −g x x( ) ,2 1
οπότε
′ = −f ( )1 1 και g′(l) = 1
και επομένως ισχύει
′ ′ = −f g( ) ( ) .1 1 1
Επομένως οι εφαπτομένες των Cf
και Cg
στο σημείο (1,1) είναι κάθετες.
2. Λύνουμε το σύστημα
y x
y x
y x
x x
y x
x x
= −
=



⇔
= −
− + =



⇔
= −
− + =



3 2 3 2
3 2 0
3 2
1 2 03 3 2
( ) ( )
3 2 1 2
ή .
1 ή 2 1 8
y x x x
x x y y
= − = = −  
⇔ ⇔  
= = − = = −  
Επομένως, η ευθεία y = 3x – 2 τέμνει την Cf
στα σημεία (1,1) και (–2, –8).
Για κάθε x ∈R ισχύει:
f′(x) = 3x2
, οπότε f′(1) = 3 και f′(–2) = 12.
22-0182-02.indb 185 26/11/2013 4:14:14 μμ
186
2.3
Άρα η ευθεία y = 3x – 2 εφάπτεται της Cf
στο σημείο (1,1).
3. Οι γραφικές παραστάσεις των f και g έχουν κοινή εφαπτομένη στο x0
= 1 αν και
μόνο αν f(1) = g(l) και f′(l) = g′(l).
Για κάθε x ∈ *R ισχύει:
f′(x) = 2αx + β και ′ = −g x
x
( )
1
2
οπότε
f′(1) = 2α + β και g′(l) = – l.
Επομένως
f g
f g
( ) ( )
( ) ( )
1 1
1 1
2 1
2 1
1
2 1
=
′ = ′



⇔
+ + =
+ = −



⇔
+ = −
+ = −



α β
α β
α β
α β
⇔
=
= −



α
β
0
1
.
4. Η εξίσωση της εφαπτομένης της Cf
στο σημείο Α(0,1) είναι:
y f x y x− = ′ − ⇔ = +1 0 0 1( )( ) , αφού f′(0) = 1.
Η ευθεία y = x + 1 θα εφάπτεται στη γραφική παράσταση της g, αν και μόνο αν
υπάρχει x0
, τέτοιο, ώστε
g x x
g x
x x x
x
x x( )
( )
0 0
0
0
2
0 0
0
0
2
0
1
1
1
2 1 1
2 1= +
′ =



⇔
− − = +
− − =




⇔
+ + = 00
1
1
0
0
x
x
= −




⇔ = − .
Επομένως, η y = x + l εφάπτεται στη Cg
στο σημείο (–1,0).
5. Το ζητούμενο πολυώνυμο είναι της μορφής f x x x x( ) ,= + + +α β γ δ3 2
α β γ δ, , , ∈R και α ≠ 0.
Για κάθε x ∈R ισχύει:
′ = + +f x x x( ) ,3 22
α β γ ′′ = +f x x( ) 6 2α β και f x( )
( ) .3
6= α
Έχουμε: f
f
f
f
( )
( )
( )
( )( )
0 4
1 2
2 4
1 6
4
3 2 2
12 2
3
=
′ − =
′′ =
=







⇔
=
− + =
+ =
δ
α β γ
α β 44
6 6
4
9
4
1α
δ
γ
β
α=







⇔
=
= −
= −
=







.
22-0182-02.indb 186 26/11/2013 4:14:17 μμ
187
2.3
Επομένως
f x x x x( ) .= − − +3 2
4 9 4
6. Έστω ότι υπάρχει πολυώνυμο β′ βαθμού f x x x( ) = + +α β γ2
που ικανοποιεί
τις υποθέσεις της άσκησης. Τότε θα είναι
f(0) = 1 και f′(0) = 1 και f(1) = 2 και f′(1) = 3.
Όμως, f′(x) = 2αx + β. Επομένως, θα ισχύει
γ = 1 και β = 1 και α + β + γ = 2 και 2α + β = 3.
Αυτό, όμως, είναι άτοπο αφού από τις τρεις πρώτες εξισώσεις προκύπτει ότι α =
0, β = 1 και γ = 1, που δεν επαληθεύουν την τελευταία.
7. i) Για x ≠ α είναι
xf x f
x
xf x xf xf f
x
( ) ( ) ( ) ( ) ( ) ( )−
−
=
− + −
−
α α
α
α α α α
α
=
−
−
+
−
−
=
−
−
+
x f x f
x
f x
x
x
f x f
x
f
( ( ) ( )) ( )( ) ( ) ( )
( ).
α
α
α α
α
α
α
α
Επειδή η f παραγωγίζεται στο x0
= α , υπάρχει το
lim
( ) ( )
( ).
x
f x f
x
f
→
−
−
= ′
α
α
α
α
Άρα lim
( ) ( )
lim
( ) ( )
( ) (
x x
xf x f
x
x
f x f
x
f f
→ →
−
−
=
−
−





 + = ⋅ ′
α α
α α
α
α
α
α α α)) ( ).+ f α
ii) Για x ≠ α είναι
e f x e f
x
e f x e f e f e f
x
x x x x
( ) ( ) ( ) ( ) ( ) ( )−
−
=
− + −
−
α α
α
α
α α α
α
=
−
−
+
−
−
e
f x f
x
f
e e
x
x
x
( ) ( )
( ) .
α
α
α
α
α
Επειδή η συνάρτηση h(x) = ex
είναι παραγωγίσιμη στο x0
= α ισχύει
lim ( ) .
x
x
e e
x
h e
→
−
−
= ′ =
α
α
α
α
α
22-0182-02.indb 187 26/11/2013 4:14:20 μμ
188
2.3
Επομένως,
lim
( ) ( )
lim
( ) ( )
( )lim
x
x a
x
x
x
x
e f x e f
x
e
f x f
x
f
e e
→ → →
−
−
=
−
−
+
−
α α α
α
α
α
α
α
αα
αx −
= ′ + = ′ +e f f e e f fα α α
α α α α( ) ( ) ( ( ) ( )).
8. Τα σημεία της Cf
στα οποία η εφαπτομένη είναι παράλληλη προς τον άξονα των
x είναι αυτά για τα οποία ισχύει f′(x) = 0 με x ∈[ , ].0 2π
Αλλά ′ = − ⋅ = −f x x x x x x( ) ,2 2 4 2 2 2 2συν ηµ συν συν ηµ οπότε
′ = ⇔ − = ⇔ =f x x x x( ) 0 2 2 2 2 0 2 1συν ηµ εϕ
⇔ = + ⇔ = +2
4 2 8
x xκπ
π κπ π
.
Επειδή x ∈[ , ]0 2π έχουμε:
0
2 8
2
1
8 2
15
8
≤ + ≤ ⇔ − ≤ ≤
κπ π
π
κ
⇔ − ≤ ≤ ⇔ =
1
4
15
4
0 1 2 3κ κ , , , , αφού κ ∈.
Για τις τιμές αυτές του κ βρίσκουμε ότι:
x =
π
8
ή x =
5
8
π
ή x =
9
8
π
ή x =
13
8
π
.
9. i) ● Για x ≠ 0 έχουμε
f x x
x x
x x
( )
( ) ,
,
.
/
/
/
= =
− 
≥




2 3
2 3
2 3
0
0
αν
αν
Επομένως
— Αν x  0, τότε
′ = − ′ = − − =
−
−
−
f x x x
x
( ) (( ) ) ( ) ./ /2 3 1 3
3
2
3
2
3
— Αν x  0, τότε
′ = ′ = =−
f x x x
x
( ) ( ) ./ /2 3 1 3
3
2
3
2
3
22-0182-02.indb 188 26/11/2013 4:14:21 μμ
189
2.3
● Για x0
= 0 είναι
f x f
x
x
x
( ) ( )
,
−
−
=
0
0
23
Επομένως
— Όταν x  0, έχουμε
f x f
x
x x
x x
x
x x x
( ) ( )−
=
⋅
=
⋅
=
0 123 3
3 3 3
οπότε
lim
( ) ( )
lim
x x
f x f
x x→ →+ +
−
−
= = +∞
0 0 3
0
0
1
— Όταν x  0 έχουμε
f x f
x
x x
x x
x
x x x
( ) ( ) ( )−
=
−
⋅ −
=
−
⋅ −
=
−
−
0 123 3
3
33
3 3
οπότε
lim
( ) ( )
lim .
x x
f x f
x x→ →− −
−
=
−
−
= −∞
0 0 3
0 1
Επομένως η f x x( ) = 23
δεν παραγωγίζεται στο 0. Επειδή η f είναι συνεχής
στο 0, η εξίσωση της εφαπτομένης της Cf
στο Ο(0,0) είναι η x = 0.
ii) Είναι
f x x
x x
x x
( )
( ) ,
,
.
/
/
/
= =
− 





4 3
4 3
4 3
0
0
Επομένως
— Αν x  0, τότε
′ = =f x x x( ) ./4
3
4
3
1 3 3
— Αν x  0, τότε
′ = − ′ =
−
−f x x x( ) (( ) ) ( )/ /4 3 1 34
3
=
−
−
4
3
3
x.
22-0182-02.indb 189 26/11/2013 4:14:22 μμ
190
2.3
● Στο x0 = 0 έχουμε
f x f
x
x
x
x
x
( ) ( )
.
−
−
=
−
=
0
0
043 43
Επομένως:
— Αν x  0 είναι
f x f
x
x x
x
x x
x
x
( ) ( )−
=
⋅
= =
0 33 3
3
οπότε
lim
( ) ( )
lim .
x x
f x f
x
x
→ →+ +
−
= =
0 0
30
0
— Αν x  0 είναι
f x f
x
x x
x
x x
x
x
( ) ( ) ( ) ( )−
=
− ⋅ −
=
− ⋅ −
= − −
0
33 3
3
οπότε
lim
( ) ( )
lim .
x x
f x f
x
x
→ →− −
−
= − − =
0 0
30
0
Επομένως ′ =f ( ) .0 0
Η εξίσωση της εφαπτομένης της Cf
στο σημείο της Ο(0,0) είναι η y = 0.
10. Επειδή η συνάρτηση f παραγωγίζεται στο R είναι
′ = ′ + + ⋅ +g x f x x x( ) ( ) ( ),2
1 2 1 οπότε ′ = ′ =g f( ) ( ) .0 1 1
Επίσης έχουμε g f f( ) ( ) ( ) .0 0 0 1 1 1 1= + + − = −
Άρα, η εξίσωση της εφαπτομένης της Cf
στο σημείο της Α(1, f(1)) είναι η
y f f x y x f− = ′ − ⇔ = − +( ) ( )( ) ( ),1 1 1 1 1 (1)
ενώ η εξίσωση της εφαπτομένης της Cg
στο σημείο της Β(0, g(0)) είναι η
y g g x y f x− = ′ − ⇔ − + = ⋅( ) ( )( ) ( )0 0 0 1 1 1
⇔ = + −y x f ( ) .1 1 (2)
Από (1) και (2) προκύπτει ότι η y = x + f(1) – 1 είναι κοινή εφαπτομένη των
Cf
, Cg
στα Α, Β αντιστοίχως.
22-0182-02.indb 190 26/11/2013 4:14:24 μμ
191
2.4
11. i) Έχουμε διαδοχικά
( ( )) ( )f x e xx
ηµ συν′ = ′
′ ⋅ = + −f x x e x e xx x
( ) ( )ηµ συν συν ηµ
′ ⋅ = −f x x e x xx
( ) ( ).ηµ συν συν ηµ
Επομένως
′ = −f e( ) ( ),ηµ συν συν ηµ0 0 0 00
οπότε
′ =f ( ) .0 1
ii) Είναι
f e( )ηµ συν0 00
= οπότε f(0) = 1.
Άρα, η εξίσωση της εφαπτομένης ε της Cf
στο
σημείο της Α(0,1) είναι
ε : ( )y x y x− = − ⇔ = +1 1 0 1
Η εφαπτομένη ε τέμνει τους άξονες στα σημεία
Α(0,1) και B(–1,0) και ισχύει (OΑ) = (OB) =
1. Επομένως το τρίγωνο OΑΒ είναι ισοσκελές.
2.4 Α΄ ΟΜΑΔΑΣ
1. Επειδή E(t) = 4πr
2
(t) και r(t) = 4 – t
2
έχουμε:
● ′ = ⋅ ′Ε ( ) ( ) ( )t r t r t8π
= ⋅ − ⋅ − = − −8 4 2 16 42 2
π π( ) ( ) ( ).t t t t
Άρα
′ = − − = −Ε ( ) ( )1 16 4 1 48π π cm
2
/s.
● Επειδή
V t r t( ) ( ),=
4
3
3
π
22-0182-02.indb 191 26/11/2013 4:14:24 μμ
192
2.4
έχουμε
′ = ⋅ ′ = − −V t r t r t t t( ) ( ) ( ) ( ) ( )4 4 4 22 2 2
π π
= − −8 4 2 2
πt t( ) .
Άρα
′ = − ⋅ − = −V ( ) ( )1 8 1 4 1 722 2
π π cm
3
/s.
2. Επειδή
V t r t( ) ( )=
4
3
3
π έχουμε
′ = ′V t r t r t( ) ( ) ( )4 2
π και για t t= 0
′ = ′V t r t r t( ) ( ) ( ).0
2
0 04π
Είναι όμως V′(t­0
) = 100 cm
3
/s και r(t0
) = 9 cm οπότε έχουμε
100 4 92
0= ⋅ ′π r t( ).
Επομένως
′ =
⋅
=
⋅
r t( )0
100
4 81
25
81π π
cm/s.
3. Έχουμε
′ = ′ − ′P x x x( ) ( ) ( )Π Κ
= − + −420 40 6002
x x
= − + −x x2
40 180.
Είναι Ρ′(x)  0 για όλα τα x μεταξύ των ριζών του τριωνύμου − + −x x2
40 180 ,
δηλαδή x ∈ − +( , ).20 220 20 220
4. i) Έστω x(t), y(t) οι συναρτήσεις θέσεων των πλοίων Π1
, Π2
αντιστοίχως. Τότε
υ1 15= ′ =x t( ) και υ2 20= ′ =y t( )
οπότε 		 x(t) = 15t και y(t) = 20t,
αφού τα πλοία Π1
, Π2
αναχωρούν συγχρόνως από το λιμάνι.
22-0182-02.indb 192 26/11/2013 4:14:25 μμ
193
2.4
ii) Από το ορθογώνιο τρίγωνο ΛΠ1
Π2
έχουμε
d t x t y t t t2 2 2 2 2
15 20( ) ( ) ( ) ( ) ( )= + = +
= + =225 400 6252 2 2
t t t .
Άρα d(t) = 25t, οπότε ο ρυθμός μεταβολής της απόστασης d είναι σταθερός
και ισούται με
′ =d t( ) 25 Km/h.
5. Έστω Μ x t x t( ), ( )
1
4
2




 σημείο της παραβολής, τη χρονική στιγμή t με t ≥ 0. Τότε:
′ =






′
⇔ ′ = ′x t x t x t x t x t( ) ( ) ( ) ( ) ( )
1
4
1
4
22
⇔ =1
1
2
x t( ) (αφού x′(t)  0 για κάθε t ≥ 0).
Άρα x(t) = 2, οπότε y t( ) .= ⋅ =
1
4
2 12
Έτσι το σημείο είναι το Μ(2,1).
2.4 Β΄ ΟΜΑΔΑΣ
1. Έστω r = r(t) η ακτίνα της σφαίρας, ως συνάρτηση του χρόνου t. Τότε είναι:
V t r t( ) ( ),=
4
3
3
π
οπότε
′ = ⋅ ⋅ ′ = ⋅ ⋅ ′V t r t r t r t r t( ) ( ) ( ) ( ) ( ).
4
3
3 42 2
π π (1)
Είναι όμως
Ε ( ) ( ),t r t= ⋅4 2
π
οπότε
′ = ⋅ ′ ⇔ ′ =
⋅
⋅ ′Ε ( ) ( ) ( ) ( )
( )
( ).t r t r t r t
r t
E t8
1
8
π
π
Ο τύπος (1) γίνεται
′ = ⋅ ⋅ ′ = ⋅ ⋅ ′V t t
r t
t r t t( ) ( )
( )
( ) ( ) ( ).4
1
8
1
2
2
π
π
r Ε Ε
22-0182-02.indb 193 26/11/2013 4:14:27 μμ
194
2.4
Επομένως
′ = ⋅ ⋅ =V t( )0
1
2
85 10 425 cm
3
/s.
2. Έχουμε:
T T x x x= = =( ) ( ) ln ,ΟΑΒ
1
2
αφού x  1.
Επειδή το x είναι συνάρτηση του χρόνου t, έχουμε
T t x t x t( ) ( )ln ( ),=
1
2
οπότε
′ = ′ + ′T t x t x t x t
x t
x t( ) ( )ln ( ) ( )
( )
( )
1
2
1
2
1
= ′ +
1
2
1x t x t( )(ln ( ) ).
Επομένως τη χρονική στιγμή t0
που είναι x(t0
) = 5, έχουμε
′ = ′ + =T t x t x t( ) ( )(ln ( ) )0 0 0
1
2
1
= + = +
1
2
4 5 1 2 5 1(ln ) (ln ) cm
2
/s.
3. Τα τρίγωνα ΓΔΕ και ΓΒΑ είναι όμοια.		
Επομένως
y s
y s y s
5 20
5
20
1
4
= ⇔ = ⇔ = .
Επειδή τα y και s είναι συναρτήσεις του χρόνου
t, είναι
y t s t( ) ( ).=
1
4
Επομένως
′ = ′ =y t s t( ) ( )
1
4
3
4
m/s.
22-0182-02.indb 194 26/11/2013 4:14:28 μμ
195
2.4
4. Η γωνία θ είναι συνάρτηση του χρόνου t.Από το ορθογώνιο τρίγωνο ΟΑΠ έχουμε
εϕθ( )
( )
.t
h t
=
100
Παραγωγίζοντας την ισότητα έχουμε διαδοχικά
(εϕθ( ))
( )
t
h t
′ =






′
100
1 1
1002
συν θ
θ
( )
( ) ( )
t
t h t⋅ ′ = ⋅ ′
′ = ′ ⋅θ θ( ) ( ) ( ),t h t t
1
100
2
συν
οπότε
′ = ⋅ ′ ⋅θ θ( ) ( ) ( ).t h t t0 0
2
0
1
100
συν (1)
Όμως, τη χρονική στιγμή t0
που το μπαλόνι βρίσκεται σε ύψος 100 m ισχύει:
′ =h t( )0 50 και συν συνθ( ) .t0 45
2
2
= =
Επομένως
′ = ⋅ ⋅ =θ ( )t0
1
100
50
2
4
1
4
rad/min.
5. Από την ομοιότητα των τριγώνων ΦΟΣ και ΚΠΣ έχουμε
1 6
8
,
.=
+
s
x s
(1)
Τα x, s είναι συναρτήσεις του χρόνου t και ισχύει, x′(t) = 0,8 m/s ενώ s′(t) είναι
ο ρυθμός μεταβολής του ίσκιου της γυναίκας.
Από την (1) έχουμε:
0 2 0 2 0 8 0 2
1
4
, , ( ) , , ( ) ( ).=
+
⇔ = + ⇔ = ⇔ =
s
x s
s x s s x s t x t
Επομένως
′ = ′ = ′s t x t x t( ) ( ) , ( )
1
4
0 25
Άρα
′ = ⋅ =s t( ) , , ,0 25 0 8 0 2 m/s.
22-0182-02.indb 195 26/11/2013 4:14:29 μμ
196
2.4
6. Ο προβολέας του περιπολικού φωτίζει κατά τη διεύθυνση της εφαπτομένης της
Cf
, καθώς αυτό κινείται κατά μήκος της καμπύλης.
Βρίσκουμε την εξίσωση της εφαπτομένης της Cf
  στο σημείο της Α α α, .−






1
3
3
Είναι ′ = −






′
= −f x x x( )
1
3
3 2
οπότε ′ = −f ( ) .α α2
Επομένως, η εφαπτομένη AM
έχει εξίσωση:
y x+ = − −
1
3
3 2
α α α( ).
Για y = 0, έχουμε
1
3
2
3
2
3
3 2 3 2 3
α α α α α α= − + ⇔ = ⇔ =x x x .
Άρα, το σημείο Μ έχει τετμημένη x t t( ) ( ).=
2
3
α Επομένως,
′ = ′ = −x t t t( ) ( ) ( )
2
3
2
3
α α
και τη χρονική στιγμή t0
, που είναι, α(t0
) = – 3, έχουμε
7. Τα μεγέθη x, y, θ είναι συναρτήσεις του χρόνου t και ισχύει:
υΑ = ′y t( ) και υΒ = =x t( ) ,0 1 m/s.
Τη χρονική στιγμή t0
που η κορυφή της σκάλας απέχει από το δάπεδο 2,5 m είναι
y(t0
) = 2,5 και x t y t( ) ( ) ,0
2 2
03 2 75= − = m.
i) Έχουμε x t t( ) ( ),= 3συνθ οπότε ′ = − ⋅ ′x t t t( ) ( ) ( )3ηµθ θ και άρα
′ = − ⋅ ′θ
θ
( )
( )
( ).t
t
x t
1
3ηµ
Επομένως
′ = − ⋅ ′ = −
⋅
⋅ = −θ
θ
( )
( )
( )
,
,t
t
x t0
0
0
1
3
1
3
2 5
3
0 1
1
25ηµ
rad/s.
22-0182-02-b.indd 196 28/11/2013 2:06:47 μμ
197
2.4
ii) Από το ορθογώνιο τρίγωνο ΟΑΒ έχουμε x t y t2 2
9( ) ( ) ,+ = οπότε
2 2 0x t x t y t y t y t
x t
y t
x t( ) ( ) ( ) ( ) ( )
( )
( )
( ).′ + ′ = ⇔ ′ = − ⋅ ′
Άρα,
′ =
−
⋅ ′y t
x t
y t
x t( )
( )
( )
( ),0
0
0
0
οπότε
′ = − ⋅ = −y t( )
,
,
,
0
2 75
2 5
1
10
2 75
25
m/sec.
8. Έστω x = x(t) και y = y(t) οι συντεταγμένες του κινητού, τη χρονική στιγμή t. Τη
χρονική στιγμή t0
που το κινητό βρίσκεται στη θέση
1
2
3
2
,





 , έχουμε
x t( )0
1
2
= και y t( ) .0
3
2
=
Επίσης έχουμε:
′ = −y t( )0 3 μονάδες/sec.
Επειδή το κινητό κινείται στον κύκλο x
2
+ y
2
= 1, είναι
x2
(t) + y
2
(t) = 1,
οπότε έχουμε διαδοχικά
( ( )) ( ( )) ( ) ( ) ( ) ( )x t y t x t x t y t y t2 2
0 2 2 0′ + ′ = ⇔ ′ + ′ =
⇔ ′ + ′ =x t x t y t y t( ) ( ) ( ) ( ) .0 0 0 0 0
Επομένως
′ = − ⋅ ′ = −
−
=x t
y t
x t
y t( )
( )
( )
( )
( ) /
/
0
0
0
0
3 3 2
1 2
3 3 μονάδες/sec.
22-0182-02.indb 197 26/11/2013 4:14:31 μμ
198
2.5
2.5 Α΄ ΟΜΑΔΑΣ
1. i) H f x x x( ) = − +2
2 1 είναι
● συνεχής στο [0,2] ως πολυωνυμική,
● παραγωγίσιμη στο (0,2) με ′ = −f x x( ) 2 2 και
● ισχύει f(0) = f(2) = 1.
Επομένως, ισχύουν οι προϋποθέσεις του Θ. Rolle, οπότε υπάρχει ένα τουλάχιστον
ξ ∈( , )0 2 τέτοιο, ώστε
′ = ⇔ − = ⇔ =f ( ) .ξ ξ ξ0 2 2 0 1
ii) H f(x) = ημ3x είναι:
● συνεχής στο 0
2
3
, ,
π




 ως σύνθεση συνεχών συναρτήσεων,
● παραγωγίσιμη στο 0
2
3
, ,
π




 με f′(x) = 3συν3x και
● ισχύει f f( ) .0
2
3
0=





 =
π
Επομένως, ισχύουν οι προϋποθέσεις του Θ. Rolle, οπότε υπάρχει ένα τουλάχιστον
ξ
π
∈





0
2
3
, τέτοιο, ώστε
′ = ⇔ =f ( )ξ ξ0 3 3 0συν
⇔ =συν3 0ξ
⇔ =3
2
ξ
π
ή 3
3
2
ξ
π
= , αφού 0  3ξ  2π
⇔ =ξ
π
6
ή ξ
π
=
2
.
iii) Η f(x) = 1 + συν2x είναι
● συνεχής στο [0, π],
● παραγωγίσιμη στο (0, π) με f′(x) = – 2ημ2x και
● ισχύει f(0) = f(π) = 2.
Επομένως, ισχύουν οι προϋποθέσεις του Θ. Rolle, οπότε υπάρχει ένα τουλάχιστον
ξ π∈( , )0 τέτοιο, ώστε
22-0182-02.indb 198 26/11/2013 4:14:32 μμ
199
2.5
′ = ⇔ − =f ( )ξ ξ0 2 2 0ηµ
⇔ =ηµ2 0ξ
⇔ =2ξ π, αφού 0  2ξ  2π
⇔ =ξ
π
2
.
iv) Η συνάρτηση f x x( ) = είναι συνεχής στο [–1,1], ως απόλυτη τιμή συνεχούς
συνάρτησης.
Η f, όμως, δεν είναι παραγωγίσιμη στο x0 = 0, αφού
lim
( ) ( )
lim
x x
f x f
x
x
x→ →+ +
−
−
= =
0 0
0
0
1 και
lim
( ) ( )
lim .
x x
f x f
x
x
x→ →− −
−
−
=
−
= −
0 0
0
0
1
Επομένως η f δεν παραγωγίζεται στο (–1,1).
Άρα δεν ισχύουν οι προϋποθέσεις του Θ. Rolle.
2. i) H f(x) = x
2
+ 2x είναι
● συνεχής στο [0,4], ως πολυωνυμική
● παραγωγίσιμη στο (0,4) με ′ = − +f x x( ) .2 2
Επομένως, ισχύουν οι υποθέσεις του Θ.Μ.Τ., οπότε υπάρχει ένα τουλάχιστον
ξ ∈( , )0 4 τέτοιο, ώστε
′ =
−
−
⇔ + =f
f f
( )
( ) ( )
ξ ξ
4 0
4 0
2 2
24
4
⇔ + =2 2 6ξ
⇔ =ξ 2
ii) Η f(x) = 3ημ2x είναι
● συνεχής στο 0
2
, ,
π




 ως σύνθεση συνεχών συναρτήσεων,
● παραγωγίσιμη στο 0
2
,
π




 με f′(x) = 6συν2x.
Επομένως, ικανοποιούνται οι υποθέσεις του Θ.Μ.Τ., οπότε υπάρχει ένα
τουλάχιστον, ξ
π
∈





0
2
, τέτοιο, ώστε
22-0182-02.indb 199 26/11/2013 4:14:33 μμ
200
2.5
′ =





 −
−
⇔ =f
f f
( )
( )
ξ
π
π
ξ
2
0
2
0
6 2 0συν
⇔ =συν2 0ξ
⇔ =2
2
ξ
π
, αφού 2 0ξ π∈( , )
⇔ =ξ
π
4
.
iii) ● Εξετάζουμε τη συνέχεια της f στο [–3,2]
— Για x ∈ − −[ , )3 1 η f είναι συνεχής, ως πολυωνυμική.
— Για x ∈ −( , ]1 2 η f είναι συνεχής, ως πολυωνυμική.
— Στο x0 = – 1 έχουμε
lim ( ) lim ( )
x x
f x x
→− →−− −
= + =
1 1
2 2 0
lim ( ) lim ( )
x x
f x x x
→− →−+ +
= − =
1 1
3
0 και f ( ) ,− =1 0
οπότε η f είναι συνεχής στο – 1.
Επομένως, η f είναι συνεχής στο [–3,2].
● Εξετάζουμε τώρα την παραγωγισιμότητα της f στο (–3,2).
— Η f είναι παραγωγίσιμη στο (–3,–1), με f′(x) = 2.
— Η f είναι παραγωγίσιμη στο (–1,2), με f′(x) = 3x
2
– 1.
— Έχουμε
lim
( ) ( )
lim
x x
f x f
x
x
x→− →−− −
− −
+
=
+
+
=
1 1
1
1
2 2
1
2 και
lim
( ) ( )
lim lim ( ) .
x x x
f x f
x
x x
x
x x
→− →− →−+ + +
− −
+
=
−
+
= − =
1 1
3
1
1
1 1
1 2
Άρα, f′(–1) = 2.
Επομένως, η f είναι παραγωγίσιμη στο (–3,2) με
′ =
∈ − −
− ∈ −



f x
x
x x
( )
, ( , ]
, ( , )
.
2 3 1
3 1 1 22
22-0182-02.indb 200 26/11/2013 4:14:34 μμ
201
2.5
Άρα ικανοποιούνται οι υποθέσεις του Θ.Μ.Τ., οπότε υπάρχει ξ ∈ −( , )3 2 τέτοιο,
ώστε
′ =
− −
− −
⇔ ′ =
− −
− −
⇔ ′ =f
f f
f f( )
( ) ( )
( )
( )
( )
( )
( ) .ξ ξ ξ
2 3
2 3
6 4
2 3
2
Η τελευταία ισχύει για κάθε ξ ∈ − −( , ],3 1 ενώ για ξ ∈ −( , )1 2 έχουμε:
3 1 2 3 3 1 12 2 2
ξ ξ ξ ξ− = ⇔ = ⇔ = ⇔ = .
3. ● Η συνάρτηση f(x) = e
x
είναι συνεχής στο [α, β] και παραγωγίσιμη στο (α, β) με
f′(x) = e
x
. Επομένως σύμφωνα με το Θεώρημα Μέσης Τιμής υπάρχει x0 ∈( , )α β
τέτοιο, ώστε
′ =
−
−
⇔ =
−
−
f x
f f
e
e ex
( )
( ) ( )
.0
0
β α
β α β α
β α
(1)
Επειδή α  x0
 β και η συνάρτηση y = e
x
είναι γνησίως αύξουσα ισχύει e e exα β
 0
.
Άρα, λόγω της (1), είναι
e
e e
eα
β α
β
β α

−
−
 .
● Η συνάρτηση g(x) = lnx είναι συνεχής στο [α, β] με 0  α  β και παραγωγίσιμη
στο (α, β) με ′ =f x
x
( ) .
1
Επομένως, σύμφωνα με το Θ.Μ.Τ. υπάρχει x0 ∈( , )α β
τέτοιο, ώστε
′ =
−
−
=
−
−
⇔ =
−
−
f x
f f
x
( )
( ) ( ) ln ln ln ln
.0
0
1β α
β α
β α
β α
β α
β α
(1)
Επειδή 0  α  x0
 β, είναι
1 1 1
0β α
 
x
, οπότε, λόγω της (1), έχουμε
1 1
β
β α
β α α

−
−

ln ln
.
22-0182-02.indb 201 26/11/2013 4:14:35 μμ
202
2.5
2.5 Β΄ ΟΜΑΔΑΣ
1. i) ● Η συνάρτηση f είναι συνεχής στο διάστημα [–1,0] ως πολυωνυμική. Είναι
f(–1) = 1 + 20 – 25 + 1 + 1 = – 2 και f(0) = 1
Δηλαδή
f(–1) f(0) = – 2  0.
Επομένως, σύμφωνα με το θεώρημα Bolzano υπάρχει ένα τουλάχιστον
x1 1 0∈ −( , ) τέτοιο, ώστε f(x1
) = 0.
● Η συνάρτηση f είναι συνεχής στο [0,1] και f(0) = 1, f(1) = 1 – 20 – 25 – 1
+ 1= – 44.
Δηλαδή,
f(0) f(1) = – 44  0.
Επομένως, σύμφωνα με το θεώρημα Bolzano, υπάρχει ένα τουλάχιστον x2 1 0∈( , )
τέτοιο, ώστε f(x2
) = 0.
ii) H συνάρτηση f ικανοποιεί τις υποθέσεις του θεωρήματος Rolle στο
[ , ] [ , ],x x1 2 1 1⊆ − με x1 1 0∈ −( , ) και x2 0 1∈( , ), αφού
● είναι συνεχής στο [x1
, x2
] ως πολυωνυμική
● είναι παραγωγίσιμη στο (x1
, x2
) με
′ = − − −f x x x x( ) 4 60 50 13 2
και
● ισχύει f x f x( ) ( ).1 20= =
Άρα υπάρχει ξ ∈ ⊆ −( , ) ( , ),x x1 2 1 1 τέτοιο, ώστε ′ =f ( )ξ 0 ή, ισοδύναμα,
4 60 50 1 03 2
ξ ξ ξ− − − = .
Επομένως, η εξίσωση 4 60 50 1 03 2
x x x− − − = έχει μια τουλάχιστον ρίζα στο
(–1,1).
2. i) Η συνάρτηση f ικανοποιεί τις υποθέσεις του θεωρήματος Rolle στο [0,1], αφού
● είναι συνεχής στο [0,1] ως γινόμενο συνεχών
● είναι παραγωγίσιμη στο (0,1) με ′ = + −f x x x x( ) ( )ηµ συν1 και
● f(0) = (0 – 1)ημ0 = 0, f(1) = 0∙ημ1 = 0.
22-0182-02-b.indd 202 5/3/2014 10:05:54 πµ
203
2.5
Άρα, υπάρχει ξ ∈( , ),0 1 τέτοιο, ώστε f′(ξ) = 0, δηλαδή η εξίσωση f′(x) = 0
έχει μια τουλάχιστον ρίζα στο (0,1).
ii) Η εξίσωση εφx = 1 – x στο (0,1) γράφεται ισοδύναμα
ηµ
συν
ηµ συν ηµ συν
x
x
x x x x x x x f x= − ⇔ = − ⇔ + − = ⇔ ′ =1 1 1 0 0( ) ( ) ( )
και σύμφωνα με το ερώτημα i) έχει τουλάχιστον μία ρίζα στο (0,1). Επομένως,
η εξίσωση εφx = 1 – x έχει μια τουλάχιστον ρίζα στο (0,1).
Σημ.: To ii) μπορεί να αποδειχθεί και με το Θ. Bolzano ανεξάρτητα από το
i) ερώτημα.
3. Η εξίσωση f(x) = x γράφεται ισοδύναμα f(x) – x = 0. Θέτουμε g(x) = f(x) – x,
x ∈Rκαι υποθέτουμε ότι η εξίσωση g(x) = 0 έχει δύο πραγματικές ρίζες x1
, x2
στο R.
Η συνάρτηση g ικανοποιεί τις υποθέσεις του θεωρήματος Rolle στο διάστημα
[x1
, x2
] αφού
● είναι συνεχής στο [x1
, x2
] ως άθροισμα συνεχών. (Η f είναι συνεχής στο R ως
παραγωγίσιμη στο R).
● είναι παραγωγίσιμη στο (x1
, x2
) με g′(x) = f′(x) – 1 και
● g(x1
) = 0 = g(x2
).
Επομένως, υπάρχει ξ ∈( ),x x1 2 , τέτοιο, ώστε
′ = ⇔ ′ − = ⇔ ′ =g f f( ) ( ) ( ) ,ξ ξ ξ0 1 0 1
που είναι άτοπο, αφού f′(x) ≠ 1 για κάθε x ∈ .R Άρα η εξίσωση g(x) = 0, ή
ισοδύναμα η εξίσωση f(x) = x έχει το πολύ μια πραγματική ρίζα.
ii) Κατ’ αρχάς η εξίσωση ηµ
x
x
2
= έχει ρίζα το 0, αφού ηµ
0
2
0= .
Έστω f x
x
( ) .= ηµ
2
Τότε
′ = ≠f x
x
( )
1
2 2
1συν για κάθε x ∈R (αφού συν
x
2
2≠ ).
Άρα σύμφωνα με το i) ερώτημα η εξίσωση f(x) = x, δηλαδή η εξίσωση ηµ
x
x
2
= ,
έχει το πολύ μια πραγματική ρίζα. Αφού, όμως, έχει ρίζα το 0, η ρίζα αυτή θα
είναι μοναδική.
22-0182-02-b.indd 203 28/11/2013 1:19:36 μμ
204
2.5
4. i) Έχουμε
x
x
x x x x
1
1
2
2 1 2 12
2 2
+
≤ ⇔ ≤ + ⇔ ≤ +
⇔ − + ≥ ⇔ −( ) ≥x x x2 2
2 1 0 1 0, που ισχύει.
ii) ● Για α = β ισχύει η ισότητα
● Για α ≠ β, η f στο διάστημα με άκρα τα α, β ικανοποιεί τις υποθέσεις του
Θ.Μ.Τ. Άρα υπάρχει ξ α β∈( , ) τέτοιο, ώστε
′ =
−
−
⇔ − = ′ −f
f f
f f f( )
( ) ( )
( ) ( ) ( )( )ξ
β α
β α
β α ξ β α
⇔ − =
+
−f f( ) ( ) ( ).β α
ξ
ξ
β α
1 2
Επομένως,
f f( ) ( ) ,β α
ξ
ξ
β α β α− =
+
− ≤ −
1
1
22
λόγω του i).
5. Η f ικανοποιεί τις συνθήκες του Θ.Μ.Τ. στο διάστημα [0,4], οπότε υπάρχει
ξ ∈( , )0 4 τέτοιο, ώστε
′ =
−
−
=
−
f
f f f
( )
( ) ( ) ( )
.ξ
4 0
4 0
4 1
4
Αλλά, από υπόθεση έχουμε 2 5≤ ′ ≤f x( ) για κάθε x ∈( , ),0 4 οπότε
2
4 1
4
5 8 4 1 20 9 4 21≤
−
≤ ⇔ ≤ − ≤ ⇔ ≤ ≤
f
f f
( )
( ) ( ) .
6. ● Η συνάρτηση f ικανοποιεί τις υποθέσεις του Θ.Μ.Τ. στο διάστημα [–1,0], αφού
είναι συνεχής στο [–1,0] και παραγωγίσιμη στο (–1,0) με ′ ≤f x( ) .1
Επομένως, υπάρχει ένα τουλάχιστον ξ1 1 0∈ −( , ), τέτοιο ώστε
′ =
− −
+
=
− −
= +f
f f f
f( )
( ) ( ) ( ) ( )
( ) .ξ1
0 1
0 1
0 1
1
0 1 (1)
● Η συνάρτηση f ικανοποιεί τις υποθέσεις του Θ.Μ.Τ. στο διάστημα [0,1], αφού
είναι συνεχής στο [0,1] και παραγωγίσιμη στο (0,1).
Επομένως, υπάρχει ένα τουλάχιστον ξ2 0 1∈( , ) τέτοιο, ώστε
22-0182-02.indb 204 26/11/2013 4:14:43 μμ
205
2.6
′ =
−
−
=
−
= −f
f f f
f( )
( ) ( ) ( )
( ).ξ2
1 0
1 0
1 0
1
1 0 (2)
Επειδή ′ ≤f x( ) 1 για κάθε x ∈ −( , )1 1 θα ισχύει
′ ≤
′ ≤



⇔
+ ≤
− ≤



⇔
≤
≥



f
f
f
f
f
f
( )
( )
( )
( )
( )
( )
ξ
ξ
1
2
1
1
0 1 1
1 0 1
0 0
0 0
Άρα f (0) = 0.
7. Κατ’αρχάς f(0) = g(0) = 1 και f(1) = g(l) = 2. Επομένως οι γραφικές παραστάσεις
των f , g έχουν κοινά τα σημεία Α και Β. Ας υποθέσουμε ότι αυτές έχουν και
τρίτο κοινό σημείο Γ και ας ονομάσουμε ρ1
 ρ2
 ρ3
τις τετμημένες των τριών
σημείων. Τότε, θα ισχύει:
f g( ) ( ),ρ ρ1 1= f g( ) ( )ρ ρ2 2= και f g( ) ( ).ρ ρ3 3=
Θεωρούμε, τώρα, τη συνάρτηση
ϕ( ) ( ) ( ) .x f x g x x xx
= − = + − −2 2 12
Για τη συνάρτηση φ ισχύουν οι υποθέσεις του Θ. Rolle στα διαστήματα [ρ1
, ρ2
]
και [ρ2
, ρ3
], αφού είναι παραγωγίσιμη στο R με ′ = + −ϕ ( ) lnx xx
2 2 2 2 και ισχύει
ϕ ρ ϕ ρ ϕ ρ( ) ( ) ( ) .1 2 3 0= = =
Άρα, υπάρχουν ξ ρ ρ1 1 2∈( , ) και ξ ρ ρ2 2 3∈( , ) τέτοια, ώστε φ′(ξ1
) = 0 και φ′(ξ2
) = 0.
Επειδή, επιπλέον, η φ′ είναι παραγωγίσιμη στο [ξ1
, ξ2
], για τη συνάρτηση φ′ ισχύουν
οι υποθέσεις του Θ. Rolle. Άρα υπάρχει ξ ξ ξ∈( , )1 2 τέτοιο, ώστε ′′ =ϕ ξ( ) .0 Αυτό
όμως είναι άτοπο, αφού ′′ = + ϕ ( ) lnx x
2 2 2 02
για κάθε x.
Άρα, η εξίσωση φ(x) = 0 έχει ακριβώς δύο ρίζες, τους αριθμούς 0 και 1.
2.6 Α΄ ΟΜΑΔΑΣ
1. Για κάθε x ∈ R έχουμε
′ = ′ + ′ϕ ( ) ( ) ( ) ( ) ( )x f x f x g x g x2 2
= − =2 2 0f x g x g x f x( ) ( ) ( ) ( ) .
Επομένως, φ(x) = c.
2. i) Για κάθε x ∈ R είναι
22-0182-02-b.indd 205 5/3/2014 10:07:24 πµ
206
2.6
′ = + = + f x x x( ) ( ) .3 3 3 1 02 2
Άρα η f είναι γνησίως αύξουσα στο R.
ii) Για κάθε x ∈ R είναι: ′ = − − = − −f x x x x x( ) ( ).6 6 12 6 22 2
Οι ρίζες του τριωνύμου x x2
2− − είναι 2 και –1, οπότε το πρόσημο της f′
και η μονοτονία της f φαίνονται στον παρακάτω πίνακα.
x −∞ –1 2 +∞
f′(x) + 0 – 0 +
f(x)
Άρα η f είναι:
— γνησίως αύξουσα στο ( , ],−∞ −1 αφού είναι συνεχής στο ( , ]−∞ −1 και ισχύει
′ f x( ) ,0 στο ( , ).−∞ −1
— γνησίως φθίνουσα στο [ , ]−1 2 , αφού είναι συνεχής στο [ , ]−1 2 και ισχύει
′ f x( ) ,0 στο ( , ),−1 2 και
— γνησίως αύξουσα στο [ , )2 +∞ , αφού είναι συνεχής στο [ , )2 +∞ και ισχύει
′ f x( ) ,0 στο ( , )2 +∞ .
iii) Για κάθε x ∈ R ισχύει
′ =
+ −
+
=
−
+
f x
x x
x
x
x
( )
( ) ( )
.
2 2
2 2
2
2 2
1 2
1
1
1
Οι ρίζες της ′ =f x( ) 0 είναι –1 και 1, το πρόσημο της f′ και η μονοτονία της
f φαίνονται στον παρακάτω πίνακα.
x −∞ –1 1 +∞
f′(x) – 0 + 0 –
f(x)
Άρα η f είναι γνησίως φθίνουσα στα διαστήματα ( , ],−∞ −1 [ , )1 +∞ και
γνησίως αύξουσα στο διάστημα [–1,1].
22-0182-02.indb 206 26/11/2013 4:14:50 μμ
207
2.6
3. i) — Για κάθε x  1 η f είναι συνεχής, ως πολυωνυμική
— Ομοίως για κάθε x  1
— Για x = 1 έχουμε:
lim ( ) lim( ) ,
x x
f x x
→ →−
= − =
1 1
2
4 3 lim ( ) lim( )
x x
f x x
→ →+
= + =
1 1
2 3 και f(1) = 3,
οπότε η f είναι συνεχής στο 1.
Άρα η f συνεχής στο R.
Η συνάρτηση f παραγωγίζεται στο R–{1} με
′ =
− 




f x
x x
x
( )
,
,
.
2 1
1 1
Η ′ =f x( ) 0 έχει ακριβώς μια ρίζα την x = 0. Το πρόσημο της f′ και η μονοτονία
της f φαίνονται στον παρακάτω πίνακα.
x −∞ 0 1 +∞
f′(x) + 0 – +
f(x)
Δηλαδή η f είναι:
● γνησίως αύξουσα στα διαστήματα ( , ]−∞ 0 και [ , )1 +∞ και
● γνησίως φθίνουσα στο [0,1].
ii) H συνάρτηση f γράφεται:
f x
x x
x x
x x
( )
, ( , ]
, ( , )
, [ , )
=
− ∈ −∞ −
− ∈ −
− ∈ +∞





2
2
2
1 1
1 1 1
1 1
● Η f είναι συνεχής στο R, ως απόλυτη τιμή συνεχούς συνάρτησης.
● Για x ≠ ±1 έχουμε
′ =
∈ −∞ −
− ∈ −
∈ +∞





f x
x x
x x
x x
( )
, ( , )
, ( , )
, ( , )
.
2 1
2 1 1
2 1
Η f′(x) = 0 έχει ακριβώς μια ρίζα την x = 0. Το πρόσημο της f′ και η μονοτονία
της φαίνονται στον παρακάτω πίνακα.
22-0182-02.indb 207 26/11/2013 4:14:52 μμ
208
2.6
x −∞ –1 0 1 +∞
f′(x) – + 0 – +
f(x)
Δηλαδή η f είναι:
● γνησίως φθίνουσα στα διαστήματα ( , ],−∞ −1 [0,1] και
● γνησίως αύξουσα στα διαστήματα [–1,0], [ , ).1 +∞
4. i) Για κάθε x ∈ R είναι ′ =
−
=
−
f x
e xe
e
x
e
x x
x x
( ) .2
1
Η f′(x) = 0 έχει μια μόνο ρίζα την x = 1. Το πρόσημο της f′ και η μονοτονία
της f φαίνονται στον παρακάτω πίνακα.
x −∞ 1 +∞
f′(x) + 0 –
f(x)
Δηλαδή η f είναι
● γνησίως αύξουσα στο ( , ]−∞ 1 και
● γνησίως φθίνουσα στο [ , ).1 +∞
ii) Για κάθε x  0 είναι ′ = − =
−
f x
x
x
x
( ) .
1
1
1
Έχουμε ′ = ⇔ =f x x( ) .0 1 Το πρόσημο της f′ και η μονοτονία της f φαίνονται
στον παρακάτω πίνακα.
x 0 1 +∞
f′(x) + 0 –
f(x)
Δηλαδή η f είναι
● γνησίως αύξουσα στο (0,1] και
● γνησίως φθίνουσα στο [ , ).1 +∞
22-0182-02.indb 208 26/11/2013 4:14:54 μμ
209
2.6
iii) Η συνάρτηση f γράφεται
f x
x x
x
( )
,
,
.=
≤ ≤
 ≤



2 0
0 2
ηµ π
π π
Επομένως έχουμε να μελετήσουμε τη μονοτονία της f στο [0,π].
● Η f είναι συνεχής στο [0,π]
● Για κάθε x ∈( , )0 π είναι ′ =f x x( ) 2συν
Η f′ μηδενίζεται στο (0,π) για x =
π
2
. Το πρόσημο της f′ στο [0,π] φαίνεται
στον παρακάτω πίνακα.
x 0
2
π
π
f′(x) + 0 –
f(x)
Δηλαδή η f είναι
● γνησίως αύξουσα στο 0
2
, ,
π





● γνησίως φθίνουσα στο
π
π
2
,





 και
● σταθερή με τιμή μηδέν στο [π,2π].
5. i) ● Για κάθε x ∈ R είναι ′ = + = + f x x x( ) ( ) .5 5 5 1 04 4
Επομένως η f είναι γνησίως αύξουσα στο R.
● Η συνάρτηση g είναι συνεχής στο [ , )0 +∞ και παραγωγίσιμη στο ( , )0 +∞ , με
′ = ⋅ + = + g x
x x
( ) 2
1
2
1
1
1 0 για κάθε x ∈ +∞( , ).0
Επομένως η g είναι γνησίως αύξουσα στο [ , ).0 +∞
ii) Έχουμε:
● lim ( ) lim ( )
x x
f x x
→−∞ →−∞
= = −∞5
και lim ( ) lim .
x x
f x x
→+∞ →+∞
= = +∞5
Επομένως η f , ως συνεχής και γνησίως αύξουσα στο R, θα έχει σύνολο τιμών
το διάστημα ( , ),−∞ +∞ δηλαδή το R.
22-0182-02-b.indd 209 28/11/2013 2:07:27 μμ
210
2.6
● Έχουμε:
g(0) = – 3 και lim ( ) lim .
x x
g x x x
→+∞ →+∞
= + −( )= +∞2 3
Άρα το σύνολο τιμών της g, για τον ίδιο λόγο όπως πριν, είναι το διάστημα
[ , ).− +∞3
iii) Οι εξισώσεις γράφονται f(x) = 0 και g(x) = 0 αντιστοίχως και έχουν προφανή
ρίζα την x = 1. Επειδή οι συναρτήσεις f και g είναι γνησίως μονότονες, η
x = 1 είναι μοναδική κοινή ρίζα τους.
6. i) Για κάθε x  – 1 ισχύει ′ = +
+
f x e
x
x
( ) .
1
1
0 Επομένως η f είναι γνησίως
αύξουσα στο ( , ).− +∞1
ii) Η εξίσωση e xx
= − +1 1ln( ) γράφεται ισοδύναμα:
e x f xx
− + + = ⇔ =1 1 0 0ln( ) ( ) .
Προφανώς f(0) = 0. Επειδή η f είναι γνησίως αύξουσα στο πεδίο ορισμού
της και ισχύει f(0) = 0, η τιμή x = 0 είναι η μόνη ρίζα της εξίσωσης f(x) = 0.
2.6 Β΄ ΟΜΑΔΑΣ
1. Έστω x0 ∈ R. Τότε, λόγω της υπόθεσης, για κάθε 0x x≠ έχουμε
f x f x x x
f x f x
x x
x x( ) ( )
( ) ( )
− ≤ − ⇔
−
−
≤ −0 0
2 0
0
0
⇔ − − ≤
−
−
≤ −x x
f x f x
x x
x x0
0
0
0
( ) ( )
.
Αλλά
lim lim .
x x x x
x x x x
→ →
− −( ) = − =
0 0
0 0 0
Επομένως, σύμφωνα με το κριτήριο παρεμβολής θα είναι:
lim
( ) ( )
x x
f x f x
x x→
−
−
=
0
0
0
0 ή ′ =f x( ) .0 0
Άρα ′ =f x( ) ,0 0 για κάθε x0 ∈ R που σημαίνει ότι η f σταθερή στο R.
22-0182-02.indb 210 26/11/2013 4:15:00 μμ
211
2.6
2. i) Η f είναι συνεχής στο [–1,1] ως πολυωνυμική και ισχύει
′ = − = − f x x x( ) ( )3 3 3 1 02 2
για κάθε x ∈ −( , ).1 1
Άρα η f είναι γνησίως φθίνουσα στο [–1,1].
ii) Επειδή η f είναι συνεχής και γνησίως φθίνουσα στο [–1,1], το σύνολο τιμών
της είναι το [f(1), f(–1)] = [α – 2,α + 2].
iii) Η συνάρτηση f x x x( ) = − +3
3 α είναι συνεχής στο [–1,1] και το σύνολο
τιμών της [α – 2,α + 2] περιέχει το 0, αφού – 2  α  2. Επομένως, υπάρχει ένα
τουλάχιστον x0 1 1∈ −( , ) τέτοιο, ώστε f(x0
) = 0. Αυτό όμως είναι μοναδικό,
αφού η f είναι γνησίως φθίνουσα στο (–1,1).
3. Η ταχύτητα του κινητού είναι
υ( ) ( ) ,t x t t t t= ′ = − + −4 24 36 163 2
ενώ η επιτάχυνσή του είναι
α( ) ( ) ( ).t x t t t t t= ′′ = − + = − +12 48 36 12 4 32 2
i) Η ταχύτητα του κινητού με τη βοήθεια του σχήματος Horner γράφεται
υ( ) ( ) ( )t t t= − −4 1 42
και μηδενίζεται τις χρονικές στιγμές t = 1 και t = 4.
Για να απαντήσουμε στα ερωτήματα της άσκησης αρκεί να μελετήσουμε το
πρόσημο της ταχύτητας υ( ) ( )t x t= ′ στο διάστημα [0,5].
Οι ρίζες της ′ =x t( ) 0 είναι 1 και 4, ενώ το πρόσημο της ′x t( ) φαίνεται στον
πίνακα
t 0 1 4 5
– 0 – 0 +
ii) Άρα στο διάστημα (0,4) το κινητό κινείται προς τα αριστερά, ενώ στο διάστημα
(4,5) κινείται προς τα δεξιά.
iii) Τo πρόσημο της συνάρτησης α( ) ( )t x t= ′′ φαίνεται στον πίνακα
t 0 1 3 5
a(t) + 0 – 0 +
Επομένως στα διαστήματα [0,1] και [3,5] η ταχύτητά του αυξάνεται, ενώ στο διάστημα
[1,3] μειώνεται.
′x t( )
22-0182-02.indb 211 26/11/2013 4:15:03 μμ
212
2.6
4. Η συνάρτηση V παραγωγίζεται για t  0 με
′ = −
+






′
= −
+
V t
t
t
t
t
( )
( ) ( )
50
25
2
100
2
0
2
2 3
Άρα η συνάρτηση V είναι γνησίως φθίνουσα στο [ , )0 +∞ , που σημαίνει ότι το
προϊόν συνεχώς υποτιμάται. Επειδή
V(0) = 50 και lim ( ) lim
( )t t
V t
t
t→+∞ →+∞
= −
+





50
25
2
2
2
= −
+ +
= − =
→+∞
50
25
4 2
50 25 25
2
2
lim ,
t
t
t t
το σύνολο τιμών της V είναι το διάστημα (25,50].
Άρα, η τιμή του προϊόντος δεν μπορεί να γίνει μικρότερη από το μισό της αρχικής
του τιμής.
5. i) H συνάρτηση f έχει πεδίο ορισμού το
Α = −∞ − ∪ − ∪ +∞( , ) ( , ) ( , ),1 1 1 1
είναι συνεχής, ως ρητή, και παραγωγίσιμη στο Α με
′ =
− ′ − − − ′ −
−
f x
x x x x x x
x
( )
( ) ( ) ( ) ( )
( )
3 2 2 3
2 2
9 1 1 9
1
=
( )( ) ( )
( )
3 9 1 2 9
1
2 2 3
2 2
x x x x x
x
− − − −
−
=
+ +
−
=
+
−

x x
x
x
x
4 2
2 2
2 2
2 2
6 9
1
3
1
0
( )
( )
( )
.
Η μονοτονία της f φαίνεται στον πίνακα
x −∞ –1 1 +∞
f′(x) + + +
f(x)
−∞
+∞
−∞
+∞
−∞
+∞
Δηλαδή, η f είναι γνησίως αύξουσα σε καθένα από τα διαστήματα ( , ),−∞ −1
( , )−1 1 και ( , )1 +∞ . Είναι
● lim ( ) lim lim
x x x
f x
x x
x
x
x→+∞ →+∞ →+∞
=
−
−
= = +∞
3
2
3
2
9
1
22-0182-02.indb 212 26/11/2013 4:15:06 μμ
213
2.6
● lim ( ) lim
x x
f x
x
x→−∞ →−∞
= = −∞
3
2
● lim ( ) lim
( )( )x x
f x
x x
x x→− →−− −
=
−
− +
= +∞
1 1
3
9
1 1
● lim ( )
x
f x
→− +
= −∞
1
, lim ( )
x
f x
→ −
= +∞
1
και lim ( ) .
x
f x
→ +
= −∞
1
Επομένως το σύνολο τιμών της f σε καθένα από τα διαστήματα του π ορισμού
της είναι το R.
ii) Οι αριθμοί –1 και 1 προφανώς δεν είναι ρίζες της εξίσωσης x x x3 2
9 0− − + =α α .
Επομένως, θα αναζητήσουμε ρίζες αυτής στα διαστήματα ( , ),−∞ −1 ( , )−1 1 και
( , )1 +∞ . Στα διαστήματα αυτά έχουμε
x x x x x x3 2 3 2
9 0 9− − + = ⇔ − = −α α α α
⇔
−
−
=
x x
x
3
2
9
1
α
⇔ =f x( ) .α
Επειδή η συνάρτηση f σε καθένα των διαστημάτων ( , ),−∞ −1 ( , )−1 1 και
( , )1 +∞ είναι γνησίως αύξουσα και έχει σύνολο τιμών το R, η εξίσωση f(x) =
α, έχει ακριβώς τρεις πραγματικές ρίζες, από μια σε καθένα από τα διαστήματα
του πεδίου ορισμού της f.
6. Για κάθε x ∈ R είναι ′ = + +f x x x( ) .3 6 12
α
Η f′ είναι δευτεροβάθμιο τριώνυμο με Δ = 36 – 12α = 12(3 – α).
● Για α = 3 , η f′ έχει διπλή ρίζα την −
1
3
.
Επειδή η f είναι συνεχής για x = −
1
3
και ισχύει f′(x)  0 για κάθε x ≠ −
1
3
, η f
είναι γνησίως αύξουσα για κάθε x ∈ R.
● Για α  3 η f′έχει δύο ρίζες πραγματικές και άνισες και άρα αλλάζει πρόσημο
στο R. Επομένως, για α  3 η f δεν είναι γνησίως αύξουσα στο R.
● Για α  3 η f′ δεν έχει ρίζες στο R και επειδή α  0 θα ισχύει f′(x)  0 για κάθε
x ∈ R. Επομένως, για α  3 η f είναι γνησίως αύξουσα στο R.
Άρα η f είναι γνησίως αύξουσα στο R μόνο όταν α ≥ 3.
22-0182-02.indb 213 26/11/2013 4:15:10 μμ
214
2.6
7. i) Έχουμε
′ = − ′ = − + =f x x x x x x x x x x( ) ( ) .ηµ συν συν συν ηµ ηµ
Για x ∈





0
2
,
π
είναι f′(x)  0 και αφού η f είναι συνεχής στο 0
2
,
π




 θα
είναι γνησίως αύξουσα στο διάστημα αυτό.
ii) Επειδή η f είναι γνησίως αύξουσα στο 0
2
,
π




 , για κάθε x, με 0
2
 x
π
θα
είναι f(0)  f(x), δηλαδή ημx – xσυνx  0.
iii) Για κάθε x ∈





0
2
,
π
ισχύει
′ =
⋅ −
f x
x x x
x
( )
συν ηµ
2
0 (λόγω της ii),
οπότε η f είναι γνησίως φθίνουσα στο διάστημα 0
2
, .
π





8. i) Η f είναι συνεχής στο 0
2
, ,
π




 ως άθροισμα συνεχών και για κάθε x ∈





0
2
,
π
ισχύει:
′ = + − =
− +
f x x
x
x x
x
( ) 2
1
3
2 3 1
2
3 2
2
συν
συν
συν συν
συν
=
− − +
=
− − −2 2 1 2 1 13 2 2
2
2 2
2
συν συν συν
συν
συν συν συν
συν
x x x
x
x x x
x
( ) ( )
=
− − −
=
− +

( )( ) ( ) ( )
.
συν συν συν
συν
συν συν
συν
x x x
x
x x
x
1 2 1 1 2 1
0
2
2
2
2
Επομένως η f είναι γνησίως αύξουσα στο 0
2
, .
π





ii) Επειδή η f είναι γνησίως αύξουσα στο 0
2
, ,
π




 για κάθε 0
2
≤ x
π
ισχύει
(0) ( ).f f x≤ Αλλά f(0) = 0, οπότε για κάθε x ∈





0
2
,
π
ισχύει:
0 2 3 2 3≤ + − ⇔ + ≥ηµ εϕ ηµ εϕx x x x x x.
22-0182-02.indb 214 26/11/2013 4:15:14 μμ
215
2.7
2.7 Α΄ ΟΜΑΔΑΣ
1. Επειδή η  f  είναι παραγωγίσιμη στο R, τα τοπικά ακρότατα θα αναζητηθούν
μεταξύ των ριζών της εξίσωσης  f′(x) = 0, δηλαδή των 1, 2 και 3. Το πρόσημο
της  f′, η μονοτονία και τα ακρότατα της  f φαίνονται στον παρακάτω πίνακα.
x −∞                1               2               3              +∞
f′(x) + 0 – 0 – 0 +
f(x)
                  Τ.Μ.                      
Τ.Ε.
Δηλαδή η  f ,
● στο x = 1 παρουσιάζει τοπικό μέγιστο και
● στο x = 3 παρουσιάζει τοπικό ελάχιστο.
2. α) i) Για κάθε x ∈ R είναι ′ = − + = −f x x x x( ) ( ) .3 6 3 3 12 2
Η  f(x) = 0 έχει ακρι-
βώς μια ρίζα την x = l. Το πρόσημο της  f′, η μονοτονία της  f  και τα όριά
της στο −∞ και +∞ φαίνονται στον παρακάτω πίνακα.
x −∞       1         +∞
f′(x) + 0 +
f(x)
−∞
+∞
Άρα η  f είναι γνησίως αύξουσα στο R.
ii) Για κάθε x ∈ R είναι ′ = −g x x( ) .3 32
Οι ρίζες της g′(x) = 0 είναι –1 και 1. Το πρόσημο της g′, η μονοτονία της g,
τα ακρότατα και τα όριά της στο −∞, +∞ φαίνονται στον παρακάτω πίνακα.
x −∞                    –1                      1                       +∞
g′(x) + 0 – 0 +
g(x)
4
0
−∞
T.M.
T.E.
+∞
Δηλαδή η g παρουσιάζει:
22-0182-02-b.indd 215 28/11/2013 1:20:33 μμ
216
2.7
● στο x = – 1 τοπικό μέγιστο το g(–l) = 4 και
● στο x = 1 τοπικό ελάχιστο το g(l) = 0.
iii) Για κάθε x ∈ R είναι ′ = − = −h x x x x x( ) ( ).6 6 6 12
Οι ρίζες της είναι 0 και 1. Το πρόσημο της h′, η μονοτονία και τα ακρότατα
της h καθώς και τα όριά της στο −∞ και +∞ φαίνονται στον παρακάτω πίνακα.
x −∞ 0 1 +∞
h′(x) + 0 – 0 +
h(x)
−∞
–1
Τ.Μ.
–2
T.E.
+∞
Δηλαδή η h παρουσιάζει:
● στο x = 0 τοπικό μέγιστο, το h(0) = – 1 και
● στο x = 1 τοπικό ελάχιστο, στο h(1) = – 2.
β) i) Επειδή η f x x x x( ) = − + +3 2
3 3 1 είναι συνεχής και γνησίως αύξουσα στο
R και
lim ( ) lim ( ) ,
x x
f x x
→−∞ →−∞
= = −∞3
lim ( ) lim ( ) ,
x x
f x x
→+∞ →+∞
= = +∞3
το σύνολο τιμών της f είναι το διάστημα ( , ),−∞ +∞ δηλαδή το R. Επομένως θα
υπάρχει x ∈ R τέτοιο, ώστε f(x) = 0, δηλαδή η εξίσωση x x x3 2
3 3 1 0− + + =
θα έχει μια τουλάχιστον πραγματική ρίζα. Αυτή είναι μοναδική αφού η f
είναι γνησίως αύξουσα στο R.
ii) Η συνάρτηση g x x x( ) .= − +3
3 2
● Στο ( , ]−∞ −1 είναι συνεχής και γνησίως αύξουσα και επειδή
lim ( ) lim ( )
x x
g x x
→−∞ →−∞
= = −∞3
και g(–l) = 4, το σύνολο τιμών της στο διάστημα
αυτό είναι το ( , ].−∞ 4 Άρα στο ( , ]−∞ −1 η εξίσωση x x3
3 2 0− + = έχει
ακριβώς μια ρίζα.
● Στο [–1,1] είναι συνεχής και γνησίως φθίνουσα. Άρα το σύνολο τιμών της
στο διάστημα αυτό είναι το [g(l), g(–l)] = [0,4], οπότε στο διάστημα [–1,1]
η εξίσωση x x3
3 2 0− + = έχει ακριβώς μια ρίζα την x = 1.
● Στο [ , )1 +∞ είναι συνεχής και γνησίως αύξουσα και επειδή
lim ( ) lim ( )
x x
g x x
→+∞ →+∞
= = +∞3
και g(l) = 0, το σύνολο τιμών της στο διάστημα
22-0182-02.indb 216 26/11/2013 4:15:19 μμ
217
2.7
αυτό είναι το [ , ).0 +∞ Άρα στο[ , )1 +∞ η εξίσωση x x3
3 2 0− + = έχει ακριβώς
μια ρίζα την x = 1 που βρήκαμε και πριν.
Επομένως, η εξίσωση έχει στο R δύο άνισες ρίζες.
iii) Αν εργαστούμε για τη συνάρτηση h x x x( ) ,= − −2 3 13 2
όπως και για τις
συναρτήσεις f και g, βρίσκουμε ότι η εξίσωση 2 3 1 03 2
x x− − = έχει μια
ακριβώς λύση στο R που βρίσκεται στο διάστημα [ , )1 +∞ .
3. i) Για x  1 η f είναι συνεχής ως πολυωνυμική.
Για x  1 η f είναι συνεχής ως σύνθεση συνεχών συναρτήσεων.
Για x = 1 έχουμε
lim ( ) lim ,
x x
f x x
→ →−
= =
1 1
2
1 lim ( ) lim
x x
x
f x e
→ →
−
+
= =
1 1
1
1 και f(1) = 1.
Επομένως η f είναι συνεχής στο R.
Έχουμε:
′ =

− 



−
f x
x x
e xx
( )
,
,
.
2 1
11
Η f′ μηδενίζεται στο 0. Το πρόσημο της f′, η μονοτονία και τα ακρότατα της
f φαίνονται στον παρακάτω πίνακα.
x −∞ 0 1 +∞
f′(x) – 0 + –
f(x) 0
T.E.
1
T.M.
Δηλαδή η f παρουσιάζει
● στο x = 0 τοπικό ελάχιστο το f(0) = 0 και
● στο x = 1 τοπικό μέγιστο το f(1) = 1.
ii) — Για x  1 η g είναι συνεχής ως πολυωνυμική
— Για x  1 η g είναι επίσης συνεχής.
— Για x = 1 έχουμε:
lim ( ) lim( )
x x
g x x x
→ →− −
= − + =
1 1
2
2 3 0
lim ( ) lim( )
x x
g x x x
→ →+ +
= + + =
1 1
2
4 1 0 και g(1) = 0.
22-0182-02.indb 217 26/11/2013 4:15:22 μμ
218
2.7
Επομένως η g είναι συνεχής σ’ όλο το R.
Έχουμε:
′ =
− 
− 



g x
x x
x x
( )
,
,
.
2 2 1
2 4 1
Η g′ μηδενίζεται στο 2. Το πρόσημο της g′, η μονοτονία και τα ακρότατα της
g φαίνονται στον παρακάτω πίνακα.
x −∞ 1 2 +∞
g′(x) – – 0 +
g(x) –1
min
Δηλαδή η g παρουσιάζει στον x = 2 ελάχιστο το g(2) = – 1.
4. i) Για κάθε x ∈ R είναι ′ = −f x ex
( ) .1
Έχουμε
′ = ⇔ = ⇔ =f x e xx
( ) .0 1 0
Το πρόσημο της f ′ , η μονοτονία και τα ακρότατα της f φαίνονται στον
παρακάτω πίνακα.
x −∞ 0 +∞
f′(x) – 0 +
f(x) 1
min
Δηλαδή η f παρουσιάζει στο x = 0 ελάχιστο το f(0) = 1.
ii) Για x  0 έχουμε f x x ex x x
( ) .ln
= =
Επομένως
′ = ′ = +f x e x x x xx x x
( ) ( ln ) (ln ).ln
1
Έχουμε:
′ = ⇔ + = ⇔ = − ⇔ =f x x x x x
e
x
( ) (ln ) ln .0 1 0 1
1
Το πρόσημο της f′, η μονοτονία και τα ακρότατα της f φαίνονται στον πα-
ρακάτω πίνακα.
22-0182-02-b.indd 218 28/11/2013 1:21:24 μμ
219
2.7
x 0 +∞
f′(x) – 0 +
f(x)
min
Δηλαδή η f παρουσιάζει στο x
e
=
1
ελάχιστο το f
e e
e1 1
1





 =





 .
5. Η συνάρτηση f παραγωγίζεται στο R με ′ = + −f x x x( ) .3 2 32
α β Για να παρου-
σιάζει η f ακρότατα στα x1 = – 1 και x2 = 1, πρέπει:
′ − =
′ =



⇔
− − =
+ − =



⇔
− =
=



⇔
=f
f
( )
( )
1 0
1 0
3 2 3 0
3 2 3 0
6 6 0
4 0
1α β
α β
α
β
α
ββ =


 0
(Προσθέσαμε και αφαιρέσαμε κατά μέλη τις εξισώσεις).
Για τις τιμές αυτές των α, β η f γράφεται f x x x( ) = − +3
3 1 και έχει παράγωγο
′ = −f x x( ) .3 32
Το πρόσημο της f′, η μονοτονία και τα ακρότατα της f φαίνονται
στον παρακάτω πίνακα.
x −∞ –1 1 +∞
f′(x) + 0 – 0 +
f(x)
3
T.M. –1
T.E.
Δηλαδή για α = 1 και β = 0 η f παρουσιάζει στο x1 = –1 τοπικό μέγιστο το f (–1)
= 3 και στο x2 = 1 τοπικό ελάχιστο το f(1) = – 1.
6. Έστω x, m οι διαστάσεις σε m του ορθογωνίου οικοπέδου με εμβαδόν Ε = 400
m
2
. Τότε xy = 400, οπότε y
x
=
400
.
Επομένως, η περίμετρος P = 2x + 2y, ως συνάρτηση του x, δίνεται από τον τύπο
P x x
x
x
x
( ) ,= + = +





2 2
400
2
400
x  0.
Για κάθε x  0 έχουμε:
′ = −





 =
−




P x
x
x
x
( ) 2 1
400
2
400
2
2
2
1
1
e
e





1
e
400 m
2
x
y
22-0182-02.indb 219 26/11/2013 4:15:27 μμ
220
2.7
οπότε
′ = ⇔ − = ⇔ =P x x x( ) .0 400 0 202
Το πρόσημο της Ρ′, η μονοτονία και τα ακρότατα της Ρ φαίνονται στον παρακάτω
πίνακα.
x 0 20 +∞
P′(x) – 0 +
P(x) 80
min
Δηλαδή η Ρ παρουσιάζει στο x = 20 ελάχιστο το Ρ(2) = 80.
Επομένως το οικόπεδο χρειάζεται τη μικρότερη περίφραξη όταν x = 20. Από την
ισότητα y
x
=
400
για x = 20 έχουμε και y = 20, που σημαίνει ότι το οικόπεδο
είναι τετράγωνο.
7. Έστω x, y οι διαστάσεις σε m του οικοπέδου με περίμετρο 80 m. Τότε είναι 2x +
2y = 80, οπότε y = 40 – x.
Το εμβαδόν E = xy, ως συνάρτηση του x, δίνεται από τον τύπο Ε(x) = x(40 – x)
με 0  x  40.
Για κάθε x ∈( , )0 40 είναι ′ = −Ε ( )x x40 2 οπότε
′ = ⇔ =Ε ( ) .x x0 20
Το πρόσημο της Ε′, η μονοτονία και τα ακρότατα της Ε φαίνονται στον παρακάτω
πίνακα.
x 0 20 40
Ε′(x) + 0 –
Ε(x)
400
max
Δηλαδή, το εμβαδόν γίνεται μέγιστο όταν x = 20.
Από τη σχέση y = 40 – x για x = 20 έχουμε y = 20, οπότε το οικόπεδο είναι
τετράγωνο.
8. Ο ρυθμός μεταβολής της μείωσης της θερμοκρασίας ως προς τη δόση του φαρμάκου
είναι h x T x x x( ) ( ) .= ′ = −2
3
4
2
Για κάθε x ∈( , )0 3 είναι ′ = −h x
x
( ) 2
6
4
, οπότε
x
y
22-0182-02.indb 220 26/11/2013 4:15:29 μμ
221
2.7
′ = ⇔ − = ⇔ =h x
x
x( ) .0 2
6
4
0
4
3
Το πρόσημο της h′, η μονοτονία και τα ακρότατα της h φαίνονται στον παρακάτω
πίνακα.
x 0 3
h′(x) + 0 –
h(x)
max
Δηλαδή, ο ρυθμός μεταβολής της μείωσης της θερμοκρασίας ως προς τη δόση
x του φαρμάκου γίνεται μέγιστος όταν x =
4
3
mgr.
9. i) Τα ορθογώνια τρίγωνα ΒΕΖ, ΓΖΗ, ΔΗΘ και ΑΘΕ είναι ίσα. Επομένως ΓΖ =
x, οπότε ΒΖ = 2 – x.
Από το ορθογώνιο τρίγωνο ΕΒΖ έχουμε:
( ) ( )EZ x x x x2 2 2 2
2 2 4 4= + − = − +
ii) Το εμβαδόν Ε(x) του τεγραγώνου ΕΖΗΘ δίνεται από την ισότητα
Ε ΕΖ( ) ( ) ,x x x= = − +2 2
2 4 4 x ∈( , ).0 2
Μελετάμε τη συνάρτηση Ε ως προς τα ακρότατα.
Για κάθε x ∈( , )0 2 είναι ′ = − = −Ε ( ) ( ),x x x4 4 4 1 οπότε
′ = ⇔ =Ε ( ) .x x0 1
Το πρόσημο της Ε′, η μονοτονία και τα ακρότατα της Ε φαίνονται στον παρακάτω
πίνακα.
x 0 1 2
Ε′(x) – 0 +
Ε(x) 2
min
Δηλαδή η Ε παρουσιάζει στο x = 1 ελάχιστο το Ε(1) = 2. Επομένως το εμβαδόν
του ΕΖΗΘ γίνεται ελάχιστο όταν x = 1, δηλαδή όταν τα Ε, Ζ, Η, Θ είναι μέσα
των πλευρών του ΑΒΓΔ.
10. Το κέρδος του εργοστασίου είναι:
4
3
4
3
22-0182-02.indb 221 26/11/2013 4:15:31 μμ
222
2.7
P x x x x x x x x( ) ( ) ( )= − = − − + − −Ε Κ 420 2
1
3
20 600 10002 3 2
= − + − −
1
3
18 180 10003 2
x x x , με x ∈[ , ].0 105
Για κάθε x ∈[ , ]0 105 ισχύει ′ = − + −P x x x( ) ,2
36 180 οπότε ′ = ⇔ =P x x( ) 0 6
ή x = 30.
Το πρόσημο της Ρ′, η μονοτονία και τα ακρότατα της Ρ φαίνονται στον παρακάτω
πίνακα.
x 0 6 30 105
P′(x) – 0 + 0 –
P(x)
–1000
Τ.Μ.
Τ.Ε.
800
Τ.Μ.
Τ.Ε.
Επομένως το εργοστάσιο παρουσιάζει μέγιστο κέρδος, όταν έχει ημερήσια
παραγωγή 30 μονάδες.
2.7 Β΄ ΟΜΑΔΑΣ
1. i) Είναι ′ = −f x x( ) .2 1συν Η εξίσωση της f′(x) = 0 στο διάστημα [0,π] έχει ρίζα
το .
3
π
Η μονοτονία και τα ακρότατα της f φαίνονται στον πίνακα.
x 0 π
f′(x) + 0 –
f(x)
3 max 3 – π
Δηλαδή, η f είναι γνησίως αύξουσα στο 0
3
, ,
π




 γνησίως φθίνουσα στο
π
π
3
,






και παρουσιάζει:
● τοπικό μέγιστο για x =
π
3
, το f
π π
3
3 3 9
3





 =
+ −
● τοπικό ελάχιστο για x = 0, το f(0) = 3
● ελάχιστο για x = π, το f(π) = 3– π.
3 3 9
3
+ −π
/ 3π
22-0182-02-b.indd 222 28/11/2013 1:21:59 μμ
223
2.7
ii) H εξίσωση ηµx x= −
1
2
3
2
γράφεται ισοδύναμα
2 3 2 3 0 0ηµ ηµx x x x f x= − ⇔ − + = ⇔ =( ) .
Από τον παραπάνω πίνακα φαίνεται ότι
— Για x ∈





0
3
,
π
το σύνολο τιμών της f είναι το διάστημα 3
3 3 9
3
, ,
+ −





π
στο οποίο δεν περιέχεται το 0.
— Για x ∈






π
π
3
, ,το σύνολο τιμών της f είναι το διάστημα 3
3 3 9
3
−
+ −




π
π
, ,
στο οποίο περιέχεται το 0. Άρα η εξίσωση f(x) = 0 έχει μια ρίζα στο διάστημα
π
π π
3
0, ( , )





 ⊆ η οποία είναι και η μοναδική, αφού η f είναι γνησίως φθίνουσα
στο
π
π
3
, .






2. i) Είναι ′ = + f x
x
( ) ,
1
1 0 για κάθε x ∈ +∞( , ).0 Επομένως, η f είναι γνησίως
αύξουσα στο πεδίο ορισμού της. Μια προφανής ρίζα της f είναι το x = 1, η οποία
είναι και μοναδική, στο διάστημα ( , )0 +∞ , αφού η f είναι γνησίως αύξουσα.
Επειδή f(1) = 0, λόγω της μονοτονίας της f, έχουμε
f(x)  0, για x ∈( , )0 1 και f(x)  0, για x ∈ +∞( , ).1
ii) Είναι
′ = + + − = + − =ϕ ( ) ln (ln ) ( ),x x x x x f x2 2 2 4 2 1 2 x ∈ +∞( , ).0
Το πρόσημο της φ′ (όπως προκύπτει από i)), η μονοτονία και τα ακρότατα της
φ φαίνονται στον παρακάτω πίνακα.
x 0 1 +∞
φ′(x) – 0 +
φ(x) 0
min
22-0182-02.indb 223 26/11/2013 4:15:37 μμ
224
2.7
Άρα, η φ παρουσιάζει ελάχιστο για x = 1, το φ(1) = 0.
iii) Για να βρούμε τα κοινά σημεία των Cf
και Cg
λύνουμε την εξίσωση g(x) =
h(x). Έχουμε
g x h x x x x x( ) ( ) ln= ⇔ = − + −
1
2
2
3
2
2
⇔ + − + =2 4 3 02
x x x xln
⇔ =ϕ( ) .x 0
Η τελευταία όπως προκύπτει από το ii) έχει μοναδική ρίζα το x = 1. Άρα οι
Cf
, Cg
έχουν ένα μόνο κοινό σημείο το Α(1,0).
Επειδή g′(x) = lnx + l και h′(x) = – x + 2, είναι g′(l) = l και h′(1) = 1. Άρα οι
Cf
, Cg
έχουν κοινή εφαπτομένη στο κοινό τους σημείο Α.
3. i) α) Αρκεί να δείξουμε ότι e
x
– x – l  0, για κάθε x.
Θεωρούμε τη συνάρτηση f(x) = e
x
– x – l, x ∈ R.
Είναι f′(x) = e
x
– 1, οπότε
′ = ⇔ = ⇔ =f x e xx
( ) .0 1 0
Η μονοτονία και τα ακρότατα της f φαίνονται στον πίνακα.
x −∞ 0 +∞
f′(x) – 0 +
f(x)
0
min
Στο διάστημα [ , )0 +∞ η f είναι γνησίως αύξουσα. Άρα, για x  0 ισχύει
f(x)  f(0), οπότε e
x
– x – l  0.
β) Αρκεί να δείξουμε ότι e x xx
− − − 
1
2
1 02
.
Θεωρούμε τη συνάρτηση g x e x xx
( ) ,= − − −
1
2
12
x ∈ R, η οποία είναι
συνεχής στο [ , )0 +∞ και παραγωγίσιμη στο ( , )0 +∞ με g′(x) = e
x
– x – l  0,
για x ∈ +∞( , )0 ((α) ερώτημα). Άρα η g είναι γνησίως αύξουσα στο [ , )0 +∞
και επομένως για x  0 ισχύει
22-0182-02-b.indd 224 5/3/2014 10:09:27 πµ
225
2.7
g(x)  g(0) οπότε e x xx
− − − 
1
2
1 02
.
ii) α) Αρκεί να δείξουμε ότι συνx x+ − 
1
2
1 02
.
Θεωρούμε τη συνάρτηση f x x x( ) ,= + −συν
1
2
12
x ∈ R η οποία είναι
παραγωγίσιμη στο R με f′(x) = – ημx + x.
Επειδή για x ≠ 0 είναι ηµx x , έχουμε −  x x xηµ , οπότε για x  0
ισχύει ημx  x και άρα – ημx + x  0.
Επομένως,
f′(x)  0 για κάθε x  0,
οπότε η f είναι γνησίως αύξουσα στο [ , )0 +∞ .
Επομένως, για x  0 ισχύει f(x)  f(0) = 0.
Άρα
συνx x+ − 
1
2
1 02
για κάθε x  0.
β) Αρκεί να δείξουμε ότι ηµx x x+ − 
1
6
03
. Θεωρούμε τη συνάρτηση
g x x x x( ) ,= + −ηµ
1
6
3
x ∈ R.
Έχουμε ′ = + − =g x x x f x( ) ( )συν
1
2
12
(ερώτημα α).
Όμως f(x)  0 για κάθε x  0, οπότε g′(x)  0 για κάθε x  0. Επομένως η
g είναι γνησίως αύξουσα, στο [ , )0 +∞ , οπότε για x  0 ισχύει g(x)  g(0)
ή, ισοδύναμα,
ηµx x x+ − 
1
6
03
.
iii) α) Αρκεί να δείξουμε ( ) .1 1 0+ − − x xν
ν Θεωρούμε τη συνάρτηση,
f x x x( ) ( ) ,= + − −1 1ν
ν x ≥ 0.
Έχουμε
′ = + − = + − − −
f x x x( ) ( ) [( ) ] ,ν ν νν ν
1 1 1 01 1
αφού 1 + x  1, για x  0.
22-0182-02.indb 225 26/11/2013 4:15:43 μμ
226
2.7
Επομένως, η f είναι γνησίως αύξουσα στο [ , )0 +∞ , αφού η f είναι και
συνεχής στο 0.
Άρα, για x  0 ισχύει f(x)  f(0) ή, ισοδύναμα, ( ) ,1 1 0+ − − x xν
ν αφού
f(0) = (1+0)
ν
– 1 – ν∙0 = 0.
β) Αρκεί να δείξουμε ότι:
( )
( )
.1 1
1
2
02
+ − − −
−
x x xν
ν
ν ν
Θεωρούμε τη συνάρτηση
g x x x x( ) ( )
( )
,= + − − −
−
1 1
1
2
2ν
ν
ν ν
x ≥ 0.
Έχουμε
′ = + − −
−
⋅−
g x x x( ) ( )
( )
ν ν
ν νν
1
1
2
21
= + − − −−
ν ν ν νν
( ) ( )1 11
x x
= + − − − −
ν νν
[( ) ( ) ] ,1 1 1 01
x x λόγω της α).
Επομένως είναι g′(x)  0, για x ∈ +∞( , )0 και επειδή η g είναι συνεχής στο
0, η g θα είναι γνησίως αύξουσα στο [ , )0 +∞ . Άρα για x  0 ισχύει g(x) 
g(0) ή, ισοδύναμα,
( )
( )
.1 1
1
2
02
+ − − −
−
x x xν
ν
ν ν
4. Επειδή η f παραγωγίζεται σ’όλο το R, τα ακρότατα αυτής θα αναζητηθούν μόνο
μεταξύ των ριζών της f′(x) = 0. Για κάθε x ∈ R έχουμε:
6 6 6 6 1 1 02 2 2 2
( ( )) ( ) ( ) ( )[( ( )) ] .f x f x f x x f x f x x′ + ′ = + ⇔ ′ + = + 
Επομένως η εξίσωση f′(x) = 0 είναι αδύνατη στο R. Άρα η f δεν έχει ακρότατα.
5. Έστω α, β οι τετμημένες των κοινών σημείων των Cf
και Cg
.
Θεωρούμε τη συνάρτηση h(x) = f(x) – g(x) με x ∈[ , ],α β η οποία παριστάνει την
κατακόρυφη απόσταση των Cf
και Cg
.
Το σημείο ξ είναι εσωτερικό σημείο του [α,β]. Σ’αυτό η h παραγωγίζεται και έχει
μέγιστο. Επομένως, σύμφωνα με το θεώρημα του Fermat θα είναι:
22-0182-02.indb 226 26/11/2013 4:15:46 μμ
227
2.7
′ = ⇔ ′ − ′ = ⇔ ′ = ′h f g f g( ) ( ) ( ) ( ) ( ).ξ ξ ξ ξ ξ0 0
Άρα στα σημεία Α(ξ, f(ξ)), Β(ξ, g(ξ)) οι εφαπτομένες των Cf
και Cg
αντιστοίχως
είναι παράλληλες.
6. Η συνάρτηση f είναι παραγωγίσιμη στο R με
′ = − − − + − ⋅ − − + − −f x x x x x x x x x( ) ( )( ) ( ) ( ) ( )( ) ( ) ( )2 2 22 2 2 2 2 2
α β γ α β γ α β (( ).x −γ
Προφανώς
′ = ′ = ′ =f f f( ) ( ) ( ) .α β γ 0 (1)
Η συνάρτηση f ικανοποιεί τις υποθέσεις του θεωρήματος Rolle στα διαστήματα
[α,β] και [β,γ], αφού
● είναι συνεχής σ’ αυτά ως πολυωνυμική,
● παραγωγίσιμη στα (α,β) και (β,γ) και
● f f f( ) ( ) ( ) .α β γ= = = 0
Επομένως, υπάρχουν ξ α β1 ∈( , ) και ξ β γ2 ∈( , ) τέτοια, ώστε ′ =f ( )ξ1 0 και
′ =f ( ) .ξ2 0 Από (1) και (2) προκύπτει ότι η f′ έχει πέντε τουλάχιστον ρίζες τις
α  ξ1
 β  ξ2
 γ. Επειδή η συνάρτηση f είναι πολυωνυμική έκτου βαθμού, η
παράγωγός της είναι πέμπτου βαθμού. Άρα η εξίσωση f′(x) = 0 δεν έχει άλλες,
εκτός από τις α, ξ1
, β, ξ2
, γ ρίζες στο R.
Το πρόσημο της f′, η μονοτονία και τα ακρότατα της f φαίνονται στον πίνακα.
x −∞ α ξ1
β ξ2
γ +∞
f′(x) – 0 + 0 – 0 + 0 – 0 +
f(x)
Τ.Ε.
Τ.Μ.
Τ.Ε.
Τ.Μ.
Τ.Ε.
Άρα η f έχει τρία τοπικά ελάχιστα τα f(α), f(β) και f(γ) και δύο τοπικά μέγιστα
τα f(ξ1
) και f(ξ2
).
7. i) Έχουμε 3x + 4y = 4, οπότε
y
x
=
−4 3
4
.
22-0182-02-b.indd 227 28/11/2013 1:24:36 μμ
228
2.7
Έτσι έχουμε:
Ε Ε Ε( )x
x
y= + = +1 2
2
23
4
= +
−





x x2 2
3
4
4 3
4
= +
− +x x x2 2
3
4
16 24 9
16
= +( ) − +



1
16
9 4 3 24 162
x x .
ii) Για κάθε x ∈





0
4
3
, ισχύει ′ = +( ) −



Ε ( ) ,x x
1
16
2 9 4 3 24 οπότε
′ = ⇔ =
+
=
−( )
−
=
−( ) =Ε ( ) .x x x0
12
9 4 3
12 9 4 3
81 48
4 9 4 3
11
1
Το πρόσημο της Ε′, η μονοτονία και τα ακρότατα της Ε φαίνονται στον
παρακάτω πίνακα.
x 0 x1
Ε′(x) – 0 +
Ε(x)
Ε(x1
)
Δηλαδή, το εμβαδόν του σχήματος γίνεται ελάχιστο όταν η πλευρά του
ισοπλεύρου τριγώνου είναι x = −( )≅
4
11
9 4 3 0 75, m.
8. i) Έστω Μ(x, f(x)) το ζητούμενο σημείο της Cf
.
Έχουμε
( ) ( ( )) .ΜΑ 2
2
2
2
9
2
9
2
= −





 + = −





 +x f x x x
Η απόσταση ΜΑ γίνεται ελάχιστη, όταν γίνει
ελάχιστο το τετράγωνό της, δηλαδή όταν πάρει
την ελάχιστη τιμή της η συνάρτηση
g x x x( ) ,= −





 +
9
2
2
x ∈ +∞[ , ).0
4
3
22-0182-02.indb 228 26/11/2013 4:15:51 μμ
229
2.7
Για κάθε x ∈ +∞[ , )0 ισχύει ′ = −





 + = −g x x x( ) ,2
9
2
1 2 8 οπότε
′ = ⇔ =g x x( ) .0 4
Το πρόσημο της g′, η μονοτονία και τα ακρότατα της g φαίνονται στον παρακάτω
πίνακα.
x 0 4 +∞
g′(x) – 0 +
g(x)
Δηλαδή η g παρουσιάζει στο x = 4 ελάχιστο το g( ) .4
17
4
= Επομένως η
ποσότητα (AM)
2
και άρα η (AM) γίνεται ελάχιστη όταν x = 4.Άρα το ζητούμενο
σημείο είναι το Μ(4,2).
ii) Για κάθε x  0 ισχύει ′ =f x
x
( ) ,
1
2
οπότε ο συντελεστής διεύθυνσης της
εφαπτομένης ε στο σημείο Μ(4,2) είναι λε = ′ =f ( ) .4
1
4
Ο συντελεστής
διεύθυνσης της AM είναι:
λΑΜ =
−
−
=
−
= −
2 0
4
9
2
2
1
2
4.
Επομένως, λ λε ⋅ = − = −ΑΜ
1
4
4 1( ) , που σημαίνει ότι η εφαπτομένη ε είναι
κάθετη στην AM.
9. Έστω (AΒ) = 2x και (ΒΓ) = y οι διαστάσεις του
ορθογωνίου ΑΒΓΔ. Τότε η περίμετρος του στίβου
θα είναι ίση με 2πx + 2y και επομένως θα ισχύει
2 2 400 200π πx y y x+ = ⇔ = − .
Το εμβαδόν του ορθογωνίου AΒΓΔ είναι
Ε ( ) ( ) .x x y x x x x= ⋅ = − = − +2 2 200 2 4002
π π
17
4
22-0182-02.indb 229 26/11/2013 4:15:54 μμ
230
2.7
Για κάθε x ∈





0
200
,
π
είναι Ε′(x) = – 4πx + 400, οπότε
′ = ⇔ =Ε ( ) .x x0
100
π
Το πρόσημο της Ε′, η μονοτονία και τα ακρότατα της Ε φαίνονται στον παρακάτω
πίνακα.
x 0 +∞
Ε′(x) + 0 –
Ε(x)
max
Δηλαδή η Ε παρουσιάζει στο x =
100
π
μέγιστο το Ε
100 20 000
π π





 =
.
.
Επομένως, το ορθογώνιο τμήμα του στίβου γίνεται μέγιστο, όταν οι διαστάσεις
του είναι:
( )ΑΒ = ⋅ =2
100 200
π π
m και ( )ΒΓ = − ⋅ =200
100
100π
π
m.
10. Έστω x(x  100) ο αριθμός των ατόμων που θα δηλώσουν συμμετοχή. Τότε, το
ποσό που θα πληρώσει κάθε άτομο προκύπτει αν από τα 1000 ευρώ αφαιρέσουμε
το ποσό της έκπτωσης, το οποίο ανέρχεται σε (x – 100) 5 ευρώ, δηλαδή κάθε
άτομο θα πληρώσει:
1000 100 5 1000 5 500 1500 5− − = − + = −( )x x x ευρώ.
Επομένως, τα έσοδα της εταιρείας από τη συμμετοχή των x ατόμων θα είναι:
Ε ( ) ( ) .x x x x x= − = − +1500 5 5 15002
Για κάθε x  100 έχουμε ′ = − +Ε ( ) ,x x10 1500 οπότε ′ = ⇔ =Ε ( ) .x x0 150 Το
πρόσημο της Ε′ φαίνεται στον παρακάτω πίνακα, από τον οποίο προσδιορίζουμε
τα διαστήματα μονοτονίας της Ε και τα ακρότατα αυτής.
x 100 150 +∞
Ε′(x) + 0 –
Ε(x)
112.500
max
100
π
22-0182-02.indb 230 26/11/2013 4:15:56 μμ
231
2.7
Δηλαδή, η Ε παρουσιάζει στο x0
= 150 μέγιστη τιμή την Ε(150) = 112.500.
Επομένως, πρέπει να δηλώσουν 150 άτομα συμμετοχή στην κρουαζιέρα για να
έχουμε τα περισσότερα έσοδα.
11. Έχουμε r t1 0 05′ =( ) , , οπότε r t t1 0 05′ = ′( ) ( , ) και άρα r t t c1 10 05( ) , .= + Όμως
r1
(0) = 3, οπότε r t t1 0 05 3( ) , .= + Ομοίως r t t2 0 04 5( ) , .= +
i) Το εμβαδόν δακτυλίου θα μηδενιστεί όταν
r t r t t t t t1 2 3 0 05 5 0 04 0 01 2 200( ) ( ) , , , .= ⇔ + = + ⇔ = ⇔ =
Άρα, ύστερα από 200 s το εμβαδόν του δακτυλίου θα μηδενιστεί.
ii) Το εμβαδόν του κυκλικού δακτυλίου, ως συνάρτηση του χρόνου t, είναι
Ε ( ) ( ) ( )t r t r t= −π π2
2
1
2
= + − +π π( , ) ( , ) .5 0 04 3 0 052 2
t t
Έχουμε
′ = + ⋅ − + ⋅Ε ( ) ( , ) , ( , ) ,t t t2 5 0 04 0 04 2 3 0 05 0 05π π
= + − −2 0 20 0 0016 0 15 0 0025π ( , , , , )t t
= −2 0 05 0 0009π ( , , ).t
Είναι
′ = ⇔ ≈Ε ( ) ,t t0 55 6 s.
Το πρόσημο της Ε′, η μονοτονία και τα ακρότατα της Ε φαίνονται στον πίνακα.
t 0 55,6
Ε′(t) + 0 –
Ε(t)
max
Άρα, τη χρονική στιγμή 55,6t ≈ s το εμβαδόν του κυκλικού δακτυλίου θα
μεγιστοποιηθεί.
12. i) Η κάθετη διατομή ΑΒΓΔ είναι σχήματος τραπεζίου.
Από το τρίγωνο ΗΒΓ έχουμε
ΗΒ = 2ημθ και ΗΓ = 2συνθ.
Επειδή το τραπέζιο είναι ισοσκελές, ισχύει
22-0182-02-b.indd 231 28/11/2013 1:27:08 μμ
232
2.7
ΔΘ = ΓΗ = 2συνθ και ΔΓ = 2 + 2 συνθ + 2συνθ = 2 + 4 συνθ.
Το εμβαδόν του τραπεζίου ΑΒΓΔ είναι
E =
+
⋅ =
+ +
⋅
ΑΒ Γ∆
ΗΒ
2
2 2 4
2
2
συν
ηµ
θ
θ
= +( )4 4συν ηµθ θ
= +4 1ηµ συνθ θ( ).
ii) Θεωρούμε τη συνάρτηση
Ε ( ) ( ),θ θ θ= +4 1ηµ συν θ
π
∈





0
2
, .
Είναι
′ = + + −Ε ( ) ( ) ( )θ θ θ θ θ4 1 4συν συν ηµ ηµ
= − +4 4 42 2
συν ηµ συνθ θ θ
= − − +4 4 1 42 2
συν συν συνθ θ θ( )
= + −8 4 42
συν συνθ θ
= + −4 2 12
( ).συν συνθ θ
Έχουμε
′ = ⇔ + − =Ε ( )θ θ θ0 2 1 02
συν συν
⇔ =συνθ
1
2
ή συνθ = −1
⇔ =θ
π
3
, επειδή θ
π
∈





0
2
, .
Το πρόσημο της Ε′ καθώς η μονοτονία και τα ακρότατα της Ε φαίνονται στον
πίνακα.
θ 0 π/3 π
Ε′(θ) + 0 –
Ε(θ)
max
Επομένως, όταν θ
π
=
3
το εμβαδόν γίνεται μέγιστο, που σημαίνει ότι τότε το
κανάλι θα μεταφέρει τη μέγιστη ποσότητα νερού.
22-0182-02.indb 232 26/11/2013 4:16:02 μμ
233
2.7
13. i) Έστω t1
ο χρόνος που χρειάζεται ο κολυμβητής για να κολυμπήσει από το
Κ στο Μ και t2
ο χρόνος που χρειάζεται για να περπατήσει από το Μ στο Σ.
Έχουμε
t
KM x
1
1
2 2
100
3
= =
+( )
υ
και t
x
2
2
300
5
= =
−( )
.
ΜΣ
υ
Επομένως, ο συνολικός χρόνος για να διανύσει τη διαδρομή ΚΜΣ είναι
Τ ( ) .x
x x
=
+
+
−2 2
100
3
300
5
ii) Θεωρούμε τη συνάρτηση
Τ ( ) ,x
x x
=
+
+
−2 2
100
3
300
5
x ∈( , ).0 300
Είναι
′ = ⋅
+
−Τ ( ) .x
x
x
1
3 100
1
52 2
Οι ρίζες της Τ′(x) = 0 είναι το 75.
Το πρόσημο της Τ′ η μονοτονία και τα ακρότατα της Τ φαίνονται στον παρακάτω
πίνακα.
x 0 75 300
Τ′(x) – 0 +
Τ(x) Τ(75)
min
Δηλαδή, η συνάρτηση Τ παρουσιάζει ελάχιστο για x = 75 ft.
Άρα, όταν x = 75ft, τότε ο κολυμβητής χρειάζεται το λιγότερο δυνατό χρόνο
για να φθάσει στο σπίτι του.
14. Έστω ρ1
η πυκνότητα του καπνού που εκπέμπει το εργοστάσιο Ε1
και ρ2
η
πυκνότητα του καπνού που εκπέμπει το εργοστάσιο Ε2
.
Έχουμε
ρ1 2
( )x k
P
x
= και ρ2 2
8
12
( )
( )
,x k
P
x
=
−
k ∈R.
22-0182-02-b.indd 233 28/11/2013 1:27:36 μμ
234
2.7
Η πυκνότητα του καπνού στη θέση Σ είναι
ρ ρ ρ( ) ( ) ( )x x x= +1 2
= +
−
k
P
x
k
P
x2 2
8
12( )
= +
−





kP
x x
1 8
122 2
( )
.
Η συνάρτηση
ρ( )
( )
,x kP
x x
= +
−






1 8
122 2
x ∈( , )0 12
είναι παραγωγίσιμη με
′ = − +
−
−





ρ ( )
( )
( )
x kP
x
x
x
x
2 16 12
124 4
= − +
−





kP
x x
2 16
123 3
( )
.
Έχουμε
′ = ⇔
−
+
−
=ρ ( )
( )
x
x x
0
2 16
12
03 3
⇔ − − =16 2 12 03 3
x x( )
⇔ − − =( ) ( )2 12 03 3
x x
⇔ − − =2 12 0x x( )
⇔ = ⇔ =3 12 4x x .
Το πρόσημο της ρ′, η μονοτονία και τα ακρότατα της ρ φαίνονται στον παρακάτω
πίνακα.
x 0 4 12
ρ′(x) – 0 +
ρ(x)
min
Δηλαδή, η πυκνότητα ρ γίνεται ελάχιστη, όταν x = 4.
Άρα, ο εργολάβος για να έχει τη λιγότερη ρύπανση πρέπει να χτίσει το σπίτι του σε
απόσταση 4 km από το εργοστάσιο Ε1
.
22-0182-02-b.indd 234 28/11/2013 1:28:21 μμ
235
2.8
2.8 Α΄ ΟΜΑΔΑΣ
1. i) Για κάθε x ∈R ισχύει
′ = −f x x x( ) 15 204 3
και ′′ = − = −f x x x x x( ) ( ),60 60 60 13 2 2
οπότε
′′ = ⇔ =f x x( ) 0 0 (διπλή) ή x = 1.
Το πρόσημο της f ″ φαίνεται στον παρακάτω πίνακα.
x −∞ 0 1 +∞
f ″(x) – 0 – 0 +
f(x)
Σ.Κ.
Δηλαδή η f είναι κοίλη στο ( , ]−∞ 0 και στο [0,1] και κυρτή στο [ , )1 +∞ .
● Το σημείο 1 είναι θέση σημείου καμπής. Επομένως το σημείο Α(1,0) είναι
σημείο καμπής της Cf
.
ii) Για κάθε x ∈ *R ισχύει:
′ =
− −
=
−
g x
x x x
x
x
x
( )
( )6 3 3 2 6 34 2 2
6
2
4
και
′′ =
− − −
=
−
g x
x x x
x
x
x
( )
( ) ( )
,
6 4 6 3 6 45 3 2
8
2
5
οπότε
′′ = ⇔ = −g x x( ) 0 2 ή x = 2.
Το πρόσημο της g″ φαίνεται στον παρακάτω πίνακα.
x −∞ –2 0 2 +∞
g″(x) – 0 + – 0 +
g(x)
Σ.Κ. Σ.Κ.
Δηλαδή, η g στρέφει τα κοίλα προς τα άνω στα διαστήματα [–2,0) και [ , ),2 +∞
ενώ προς τα κάτω στα διαστήματα ( , ]−∞ −2 και (0,2]. Επειδή η g″ μηδενίζεται
στα σημεία –2, 2 και εκατέρωθεν αλλάζει πρόσημο τα σημεία Α −
−




2
5
4
, και
22-0182-02.indb 235 26/11/2013 4:16:11 μμ
236
2.8
Β 2
5
4
,





 είναι σημεία καμπής της Cg
.
2. i) Για κάθε x ∈R ισχύει
′ = −− −
f x e xex x
( ) 1 1
και ′′ = −−
f x e xx
( ) ( ),1
2
οπότε
′′ = ⇔ =f x x( ) .0 2
Το πρόσημο της f ″ φαίνεται στον παρακάτω πίνακα.
x −∞ 2 +∞
f ″(x) – 0 +
f(x)
Δηλαδή, η f στρέφει τα κοίλα προς τα κάτω στο ( , ]−∞ 2 και προς τα άνω
στο [ , )2 +∞ .
Επειδή η f ″ μηδενίζεται στο σημείο 2 και εκατέρωθεν αλλάζει πρόσημο, το
σημείο Α 2
2
,
e




 είναι σημείο καμπής της Cf
.
ii) Για κάθε x ∈ +∞( , )0 ισχύει:
′ = − + = −g x x x x x x( ) ( ln ) (ln )2 2 5 2 4 2
και
′′ = − + = −g x x x( ) (ln ) (ln ),4 2 4 4 1
οπότε
′′ = ⇔ = ⇔ =g x x x e( ) ln .0 1
Το πρόσημο της g″ φαίνεται στον παρακάτω πίνακα.
x 0 e +∞
g″(x) – 0 +
g(x) −3 2
e
2
e
Σ.Κ.
Σ.Κ.
22-0182-02.indb 236 26/11/2013 4:16:14 μμ
237
2.8
Δηλαδή, η g στρέφει τα κοίλα προς τα κάτω στο διάστημα (0,e] και προς τα άνω
στο [ , )e +∞ . Επειδή η g″ μηδενίζεται στο σημείο e και εκατέρωθεν αλλάζει
πρόσημο, το σημείο A(e,–3e2
) είναι σημείο καμπής της Cg
.
iii) — Για κάθε x  0 ισχύει h′(x) = – 6x.
— Για κάθε x  0 ισχύει h′(x) = – 3x
2
+ 6x
— Στο x = 0 έχουμε:
lim
( ) ( )
lim
x x
h x h
x
x
x→ →− −
−
=
− + −
=
0 0
2
0 3 1 1
0 και
lim
( ) ( )
lim lim( ( )) .
x x x
h x h
x
x x
x
x x
→ → →+ + +
−
=
− + + −
= − =
0 0
3 2
0
0 3 1 1
3 0
Επομένως, η h παραγωγίζεται στο x = 0 με h′(0) = 0. Άρα
′ =
− 
− + ≥



h x
x x
x x x
( )
,
,
.
6 0
3 6 02
Για x ≠ 0 έχουμε ′′ =
− 
− + 



h x
x
x x
( )
,
,
,
6 0
6 6 0
οπότε
′′ = ⇔ =h x x( ) .0 1
Το πρόσημο της h″ φαίνεται στον παρακάτω πίνακα.
x −∞ 0 1 +∞
h″(x) – + 0 –
h(x)
1
Σ.Κ.
3
Σ.Κ.
Δηλαδή, η h στρέφει τα κοίλα προς τα κάτω στα διαστήματα ( , ]−∞ 0 και[ , )1 +∞
και προς τα άνω στο [0,1].
Επειδή το 0 είναι εσωτερικό σημείο του πεδίου ορισμού της h και h′(0) = 0, η
Ch
έχει εφαπτομένη στο σημείο (0,1) και επειδή η h″ εκατέρωθεν του 0 αλλάζει
πρόσημο, το σημείο Α(0,1) είναι σημείο καμπής της Ch
.
Επειδή η h″ μηδενίζεται στο 1 και εκατέρωθεν αυτού αλλάζει πρόσημο, το
σημείο Β(1,3) είναι σημείο καμπής της Ch
.
22-0182-02-b.indd 237 5/3/2014 10:10:25 πµ
238
2.8
3. i) Για κάθε x ∈R ισχύει ′ = − −
f x xe x
( ) 2
2
και
′′ = − − ′ = −− − −
f x e x e e xx x x
( ) ( ) ( ),2 2 2 2 1
2 2 2
2
οπότε
′′ = ⇔ =f x x( ) 0
2
2
ή x =
− 2
2
.
Το πρόσημο της f ″ φαίνεται στον παρακάτω πίνακα.
x −∞ +∞
f ″(x) + 0 – 0 +
f(x)
Σ.Κ. Σ.Κ.
Δηλαδή, η f στρέφει τα κοίλα προς τα άνω σε καθένα από τα διαστήματα
−∞ −





,
2
2
και
2
2
, ,+∞





 ενώ στρέφει τα κοίλα προς τα κάτω στο διάστημα
−






2
2
2
2
, .
Επειδή η f″ μηδενίζεται στα σημεία −
2
2
,
2
2
και εκατέρωθεν αυτών αλλάζει
πρόσημο, τα σημεία Α −






−2
2
1
2
, ,e Β
2
2
1
2
,e
−




 είναι σημεία καμπής της Cf
.
ii) Για κάθε x ∈ −






π π
2 2
, ισχύει ′ =g x
x
( )
1
2
συν
και
′′ = −
−
=g x
x x
x
x
x
( )
( )
,
2 2
4 3
συν ηµ
συν
ηµ
συν
οπότε
′′ = ⇔ = ⇔ =g x x x( ) .0 0 0ηµ
Το πρόσημο της g″ φαίνεται στον παρακάτω πίνακα.
x –π/2 0 π/2
g″(x) – 0 +
g(x)
Σ.Κ.
−
2
2
2
2
22-0182-02.indb 238 26/11/2013 4:16:20 μμ
239
2.8
Δηλαδή, η g στρέφει τα κοίλα προς τα κάτω στο −






π
2
0, , ενω στρέφει τα
κοίλα προς τα άνω στο 0
2
, .
π




 Επειδή η g″ μηδενίζεται στο σημείο 0 και
εκατέρωθεν αυτού αλλάζει πρόσημο, το σημείο Ο(0,0) είναι σημείο καμπής
της Cg
.
iii) Είναι h x
x x
x x
( )
,
,
.=
≥
− 




2
2
0
0
Η συνάρτηση h είναι συνεχής στο R ως γινόμενο συνεχών.
Έχουμε:
′ =

− 



h x
x x
x x
( )
,
,
2 0
2 0
και ′′ =

− 



h x
x
x
( )
,
,
.
2 0
2 0
Για x0
= 0 είναι
lim
( ) ( )
lim ,
x x
h x h
x
x
x→ →+ +
−
=
−
=
0 0
2
0 0
0
lim
( ) ( )
lim .
x x
h x h
x
x
x→ →− −
−
=
−
=
0 0
2
0
0
Άρα h′(0) = 0.
Από το πρόσημο της h″ προκύπτει ότι η h είναι κυρτή στο [ , ),0 +∞ κοίλη στο
( , ]−∞ 0 και το σημείο Ο(0,0) είναι σημείο καμπής.
iv) Η συνάρτηση φ είναι συνεχής στο R ως σύνθεση συνεχών.
Έχουμε
ϕ( )
,
,
,x
x x
x x
=
≥
− 




0
0
′ =

−
−








ϕ ( )
,
,
x
x
x
x
x
1
2
0
1
2
0
και ′′ =
−

−








ϕ ( )
,
,
.x
x x
x
x x
x
1
4
0
1
4
0
Η παράγωγος της φ στο σημείο 0 θα αναζητηθεί με τη βοήθεια του ορισμού.
22-0182-02.indb 239 26/11/2013 4:16:23 μμ
240
2.8
— Για x  0, είναι lim
( ) ( )
lim lim .
x x x
x
x
x
x x→ → →+ + +
−
−
= = = +∞
0 0 0
0
0
1ϕ ϕ
— Για x  0, είναι lim
( ) ( )
lim lim .
x x x
x
x
x
x x→ → →− − −
−
−
=
−
=
−
−
= −∞
0 0 0
0
0
1ϕ ϕ
Άρα, η φ δεν παραγωγίζεται στο 0. Όμως η Cφ
δέχεται εφαπτομένη στο
Ο(0,φ(0)), την κατακόρυφη x = 0.
Το πρόσημο της φ″, καθώς τα κοίλα και τα κυρτά της φ φαίνονται στον πίνακα.
x −∞ 0 +∞
φ″(x) – –
φ(x)
0
Άρα το σημείο Ο(0,0) δεν είναι σημείο καμπής της Cφ
, αφού εκατέρωθεν του
0 η φ″ δεν αλλάζει πρόσημο.
v) Η συνάρτηση ψ για x  0 και για x  0 είναι συνεχής ως σύνθεση συνεχών.
Ισχύει
lim ( ) lim ,
x x
x x
→ →− −
= − −( )=
0 0
0ψ
lim ( ) lim
x x
x x
→ →+ +
= =
0 0
0ψ και ψ(0) = 0.
Άρα η ψ είναι συνεχής και στο 0.
Έχουμε
′ =
−









ψ ( )
,
,
x
x
x
x
x
1
2
0
1
2
0
και ′′ =
−
−

− 







ψ ( )
,
,
.x
x x
x
x x
x
1
4
0
1
4
0
Στο x0 = 0 έχουμε
lim
( ) ( )
lim lim
x x x
x
x
x
x x→ → →+ + +
−
= = = +∞
0 0 0
0 1ψ ψ
και
lim
( ) ( )
lim lim .
x x x
x
x
x
x x→ → →− − −
−
=
− −
=
−
= +∞
0 0 0
0 1ψ ψ
22-0182-02.indb 240 26/11/2013 4:16:26 μμ
241
2.8
Επομένως η ψ δεν παραγωγίζεται στο 0.
Επειδή η ψ είναι συνεχής στο 0, η Cψ
δέχεται εφαπτομένη στο σημείο της
Ο(0,0) την κατακόρυφη ευθεία x = 0.
Το πρόσημο της ψ″ φαίνεται στον πίνακα.
x −∞ 0 +∞
ψ″(x) + ‒
ψ(x) 0
Σ.Κ.
Δηλαδή, η ψ είναι κυρτή στο ( , ]−∞ 0 και κοίλη στο [ , ).0 +∞
Επειδή εκατέρωθεν του 0 η ψ″ αλλάζει πρόσημο και η Cψ
δέχεται εφαπτομένη
στο σημείο Ο(0,0), το σημείο αυτό είναι σημείο καμπής της Cψ
.
4. ● Η f στο [–1,1] είναι συνεχής ως παραγωγίσιμη σ’ αυτό και ισχύει ′ f x( ) 0
για κάθε x ∈( , ).1 1 Επομένως, η f είναι γνησίως αύξουσα στο [–1,1]. Ομοίως
η f είναι γνησίως φθίνουσα στο [1,4], γνησίως αύξουσα στο [4,8] και γνησίως
φθίνουσα στο [8,10].
● Η f στο [–1,0] είναι συνεχής και η f′είναι γνησίως αύξουσα στο (–1,0).
Επομένως η f στρέφει τα κοίλα προς τα άνω στο [–1,0]. Ομοίως η f στρέφει
— τα κοίλα προς τα κάτω στο [0,2]
— τα κοίλα προς τα άνω στο [2,5]
— τα κοίλα προς τα κάτω στο [5,6]
— τα κοίλα προς τα άνω στο [6,7] και
— τα κοίλα προς τα κάτω στο [7,10].
Πιθανές θέσεις τοπικών ακροτάτων είναι τα σημεία 1, 4, 6, 8 που είναι εσωτερικά
σημεία του πεδίου ορισμού της f και στα οποία μηδενίζεται η f′, καθώς και
τα σημεία –1, 10 που είναι άκρα του πεδίου ορισμού της f.
Οι αριθμοί 1, 8 είναι θέσεις τοπικών μεγίστων, ενώ οι αριθμοί –1, 4, 10 είναι
θέσεις τοπικών ελαχίστων. Ο αριθμός 6 δεν είναι θέση τοπικού ακροτάτου
αφού η f′ δεν αλλάζει πρόσημο εκατέρωθεν αυτού.
22-0182-02.indb 241 26/11/2013 4:16:27 μμ
242
2.8
● Τέλος, τα σημεία 0, 2, 5, 6, 7 είναι θέσεις σημείων καμπής.
5. i) Επειδή η συνάρτηση S είναι γνησίως φθίνουσα στο [0,t2
], το κινητό για
t ∈[ , ]0 2t κινείται κατά την αρνητική φορά. Επειδή η S είναι γνησίως αύξουσα
στο [ , ),t2 +∞ το κινητό για t t≥ 2 κινείται κατά τη θετική φορά.
ii) Είναι γνωστό ότι η ταχύτητα του κινητού είναι υ( ) ( )t S t= ′ και ότι τις χρονικές
στιγμές h′ η C παρουσιάζει καμπή.
Από το σχήμα προκύπτει ότι:
— Στο διάστημα [0,t1
] η S στρέφει τα κοίλα κάτω και άρα η ′ =S t t( ) ( )υ είναι
γνησίως φθίνουσα σ’ αυτό. Δηλαδή η ταχύτητα στο [0,t1
] μειώνεται.
— Στο διάστημα [t1
,t3
] η S στρέφει τα κοίλα πάνω και άρα η ′ =S t t( ) ( )υ είναι
γνησίως αύξουσα σ’ αυτό. Δηλαδή η ταχύτητα στο [t1
,t3
] αυξάνεται.
— Ομοίως προκύπτει ότι η ταχύτητα στο [ , )t3 +∞ μειώνεται.
t 0 t1
t3 +∞
υ(t)
Δηλαδή, η ταχύτητα του κινητού αυξάνεται στο διάστημα [t1
,t3
] και στα
διαστήματα [0,t1
] και [ , )t3 +∞ μειώνεται.
2.8 Β΄ ΟΜΑΔΑΣ
1. Για κάθε x ∈R ισχύει:
′ =
+ −
+
=
−
+
f x
x x
x
x
x
( )
( ) ( )
2 2
2 2
2
2 2
1 2
1
1
1
και
′ =
− + − + ⋅ −
+
=
−
+
f x
x x x x x
x
x x
x
( )
( ) ( ) ( )
( )
( )
( )
,
2 1 2 1 2 1
1
2 3
1
2 2 2 2
2 4
2
2 3
οπότε
′′ = ⇔ =f x x( ) 0 0 ή x = − 3 ή x = 3.
Το πρόσημο της f ″ φαίνεται στον παρακάτω πίνακα.
22-0182-02.indb 242 26/11/2013 4:16:30 μμ
243
2.8
x −∞ − 3 0 3 +∞
f ″(x) – 0 + 0 – 0 +
f(x) −
3
4
Σ.Κ.
0
Σ.Κ.
3
4
Σ.Κ.
Επειδή η f ″ μηδενίζεται στα − 3, 0 και 3 και εκατέρωθεν αυτών αλλάζει
πρόσημο, τα σημεία Α − −





3
3
4
, , Β(0,0) και Γ 3
3
4
,





 είναι σημεία καμπής
της Cf
.
Επειδή τα σημεία Α και Γ έχουν αντίθετες συντεταγμένες θα είναι συμμετρικά
ως προς την αρχή των αξόνων που είναι το σημείο Β.
2. Για κάθε x ∈R ισχύει:
′ = −−
f x e xx
( ) 2 2α
και ′′ = − = −− −
f x e ex x
( ) ( ),2 2 2 1α α
οπότε
′′ = ⇔ = ⇔ =−
f x e xx
( ) .0 1α
α
Το πρόσημο της f ″ φαίνεται στον παρακάτω πίνακα.
x −∞ α +∞
f ″(x) – 0 +
f(x) 2 – α
2
Σ.Κ.
Επειδή η f ″ μηδενίζεται στο σημείο α και εκατέρωθεν αυτού αλλάζει πρόσημο,
το σημείο Α( , ),α α2 2
− α ∈ R είναι σημείο καμπής της Cf
. Το σημείο αυτό
βρίσκεται στην παραβολή y x= − +2
2, αφού 2 22 2
− = − +α α .
3. Για κάθε x ∈R ισχύει:
′ = − + +f x x x x( ) 4 6 12 23 2
α και
′′ = − + = − +f x x x x x( ) ( ).12 12 12 12 12 2
α α
Παρατηρούμε ότι η f ″ είναι δευτεροβάθμιο τριώνυμο με Δ = α
2
– 4  0 , αφού
α ∈ −( , ).2 2 Επομένως, f ″(x)  0 για κάθε x ∈R.
22-0182-02.indb 243 26/11/2013 4:16:34 μμ
244
2.8
Άρα η f στρέφει τα κοίλα προς τα άνω σ’ όλο το R.
4. i) Για κάθε x ∈R ισχύει
′ = − = −f x x x x x( ) ( ),3 6 3 22
οπότε
′ = ⇔ =f x x( ) 0 0 ή x = 2
και
′′ = − = −f x x x( ) ( ),6 6 6 1
οπότε
′′ = ⇔ =f x x( ) .0 1
Το πρόσημο των f′ και f ″, τα τοπικά ακρότατα και τα σημεία καμπής φαίνονται
στον παρακάτω πίνακα.
x −∞ 0 1 2 +∞
f′(x) + 0 – – 0 +
f ″(x) – – 0 + +
f(x)
2
T.M. 0
Σ.Κ.
–2
T.E.
Δηλαδή, η f παρουσιάζει:
● στο σημείο 0 τοπικό μέγιστο το f(0) = 2 και
● στο σημείο 2 τοπικό ελάχιστο το f(2) = – 2.
Επειδή η f ″ μηδενίζεται στο 1 και εκατέρωθεν αυτού αλλάζει πρόσημο το
σημείο Γ(1,0) είναι σημείο καμπής της Cf
.
ii) Για να δείξουμε ότι τα σημεία Α, Β, Γ είναι συνευθειακά, αρκεί να δείξουμε
ότι λΑΒ
= λΑΓ
.
Έχουμε:
λΑΒ =
− −
−
= −
2 2
2 0
2 και λΑΓ =
−
−
= −
0 2
1 0
2.
Άρα λΑΒ
= λΑΓ
.
5. Είναι:
2 2 2 0f x f x f x x( ) ( ) ( )′ − ′ + =
22-0182-02.indb 244 26/11/2013 4:16:36 μμ
245
2.9
οπότε έχουμε διαδοχικά
f x f x f x x( ) ( ) ( )′ − ′ + = 0
′ ′ + ′′ − ′′ + =f x f x f x f x f x( ) ( ) ( ) ( ) ( ) 1 0
( ( )) ( )( ( ) ) .′ + ′′ − + =f x f x f x2
1 1 0
Έστω ότι το σημείο x0
είναι θέση σημείου καμπής. Τότε ισχύει
f ″(x0
) = 0, οπότε
( ( )) ( )( ( ) )′ + ′′ − + =f x f x f x0
2
0 0 1 1 0 ή ισοδύναμα ( ( ))′ + =f x0
2
1 0
που είναι άτοπο.
Άρα η f δεν έχει σημεία καμπής.
2.9 Α΄ ΟΜΑΔΑΣ
1. i) Είναι
lim ( ) lim
x x
f x
x→ →− −
=
−
= −∞
2 2
1
2
και lim ( ) lim ,
x x
f x
x→ →+ +
=
−
= +∞
2 2
1
2
οπότε η ευθεία x = 2 είναι κατακόρυφη ασύμπτωτη της Cf
.
ii) Είναι:
lim ( ) lim
x x
f x x
→− →−
+ +
=
π π
εϕ
2 2
= ⋅





 = −∞
→−
+
lim ,
x
x
xπ
ηµ
συν
2
1
αφού
lim
x x→−
+
= +∞
π συν
2
1
και lim .
x
x
→−
+
= −
π
ηµ
2
1
Άρα η x = −
π
2
είναι κατακόρυφη ασύμπτωτη της Cf
.
Ομοίως
lim ( ) lim lim
x x x
f x x x
x→ → →
− − −
= = ⋅





 = +∞
π π π
2 2 2
1
εϕ ηµ
συν
,
αφού
lim
x x→
−
= +∞
π
2
1
συν
και lim .
x
x
→
−
=
π
2
1ηµ
22-0182-02.indb 245 26/11/2013 4:16:40 μμ
246
2.9
Άρα η x =
π
2
είναι κατακόρυφη ασύμπτωτη της Cf
.
iii) Είναι:
lim ( ) lim lim
( )( )
lim(
x x x x
f x
x x
x
x x
x
x
→ → → →
=
− +
−
=
− −
−
= −
1 1
2
1 1
3 2
1
1 2
1
2)) .= −1
Επομένως, η ευθεία x = l δεν είναι κατακόρυφη ασύμπτωτη της Cf
.
iv) Είναι
lim ( ) lim
x x
f x x
→ →− −
= =
0 0
0 και lim ( ) lim .
x x
f x
x→ →+ +
= = +∞
0 0
1
Επομένως, η ευθεία x = 0 είναι κατακόρυφη ασύμπτωτη της Cf
.
2. i) Έχουμε:
● lim ( ) lim lim ,
x x x
f x
x x
x
x
x→+∞ →+∞ →+∞
=
+ +
+
= =
2
2
2
2
1
1
1 οπότε η ευθεία y = 1 είναι οριζόντια
ασύμπτωτη της Cf
στο +∞.
● lim ( ) lim ,
x x
f x
x x
x→−∞ →−∞
=
+ +
+
=
2
2
1
1
1 οπότε η ευθεία y = 1 είναι οριζόντια ασύ-
μπτωτη της Cf
και στο −∞.
ii) Έχουμε:
● lim ( ) lim lim lim
x x x x
f x x x
x x
x
x
→+∞ →+∞ →+∞ →+∞
= + −( )=
+ +
=
+ +
2
2
2
1
1
1
1
1
1
11






= ⋅
+ +




















=
→+∞
lim ,
x x
x
1 1
1
1
1
0
2
οπότε η ευθεία y = 0 είναι οριζόντια ασύμπτωτη της Cf
στο +∞.
● lim ( ) lim lim
x x x
f x x
x
x x
x→−∞ →−∞ →−∞
= +





 −








= − + +2
2 2
1
1
1
1
11














= +∞,
οπότε η Cf
δεν έχει οριζόντια ασύμπτωτη στο −∞.
22-0182-02.indb 246 26/11/2013 4:16:44 μμ
247
2.9
3. i) Η συνάρτηση f έχει πεδίο ορισμού το ( , ) ( , ).−∞ ∪ +∞1 1
Πλάγιες - οριζόντιες ασύμπτωτες
● Η ασύμπτωτη της Cf
στο −∞ είναι της μορφής y = λx + β, όπου
λ = =
− −
−
= =
→−∞ →−∞ →−∞
lim
( )
lim lim
x x x
f x
x
x x
x x
x
x
2
2
2
2
2
1 και
β λ= − =
− −
−
−





 =
−
−
=
→−∞ →−∞ →−∞
lim ( ( ) ) lim lim
x x x
f x x
x x
x
x
x
2
2
1
2
1
0..
Δηλαδή, είναι η ευθεία y = x.
Ομοίως βρίσκουμε ότι η ευθεία y = x είναι ασύμπτωτη της Cf
και στο +∞.
Κατακόρυφες ασύμπτωτες
Είναι:
lim ( ) lim
x x
f x
x x
x→ →− −
=
− −
−
= +∞
1 1
2
2
1
και lim ( ) lim ,
x x
f x
x x
x→ →+ +
=
− −
−
= −∞
1 1
2
2
1
οπότε η ευθεία x = 1 είναι κατακόρυφη ασύμπτωτη της Cf
.
ii) H f έχει πεδίο ορισμού το ( , ) ( , ).−∞ ∪ +∞2 2
● Πλάγιες - οριζόντιες ασύμπτωτες
Η ασύμπτωτη της Cf
στο −∞ είναι της μορφής y = λx + β, όπου
λ = =
−
−
=
→−∞ →−∞
lim
( )
lim
x x
f x
x
x
x x
2
2
3
2
1 και
β λ= − =
−
−
−





 =
−
−
=
→−∞ →−∞ →−∞
lim ( ( ) ) lim lim
x x x
f x x
x
x
x
x
x
2
3
2
2 3
2
2..
Δηλαδή, είναι η ευθεία y = x + 2.
Ομοίως, η ευθεία y = x + 2 είναι πλάγια ασύμπτωτη της Cf
και στο +∞.
● Κατακόρυφες ασύμπτωτες
Είναι
22-0182-02.indb 247 26/11/2013 4:16:47 μμ
248
2.9
lim ( ) lim
x x
f x
x
x→ →− −
=
−
−
= −∞
2 2
2
3
2
και
lim ( ) lim ,
x x
f x
x
x→ →+ +
=
−
−
= +∞
2 2
2
3
2
οπότε η ευθεία x = 2 είναι κατακόρυφη ασύμπτωτη της Cf
.
iii) Η f έχει πεδίο ορισμού Α = −∞ − ∪ +∞( , ) [ , ).1 0
● Πλάγιες - οριζόντιες ασύμπτωτες
— Η ασύμπτωτη της Cf
στο −∞ είναι της μορφής y = λx + β, όπου
λ = =
+
=
⋅ +
= −
→−∞ →−∞ →−∞
lim
( )
lim lim
x x x
f x
x
x x
x
x
x
x
2 1
1
1 και
β λ= − = + +( )=
+ −
+ −
=
→−∞ →−∞ →−∞
lim ( ( ) ) lim lim
x x x
f x x x x x
x x x
x x x
2
2 2
2
=
− ⋅ + +






=
−
+ +
= −
→−∞ →−∞
lim lim .
x x
x
x
x x
1
1
1
1
1
1
1
1
2
Δηλαδή είναι η ευθεία y x= − −
1
2
.
Ομοίως βρίσκουμε ότι η ευθεία y x= +
1
2
είναι ασύμπτωτη της Cf
στο +∞.
● Κατακόρυφες ασύμπτωτες
Η Cf
δεν έχει κατακόρυφη ασύμπτωτη, αφού στο –1 και στο 0 είναι συνεχής.
4. i) Επειδή lim( ) ,
x
x
→
=
0
0ηµ limln( )
x
x
→
+ =
0
1 0 και
lim
( )
(ln( ))
lim lim( ) ,
x x x
x
x
x
x
x x
→ → →
′
+ ′
=
+
= + =
0 0 01 1
1
1 1
ηµ συν
συν
έχουμε
lim
ln( )
.
x
x
x→ +
=
0 1
1
ηµ
22-0182-02.indb 248 26/11/2013 4:16:51 μμ
249
2.9
ii) Επειδή lim( ) ,
x
x
→
− =
0
2
1 0συν lim
x
x
→
=
0
4
0 και
lim
( )
( )
lim lim .
x x x
x
x
x x
x
x
x→ → →
− ′
′
=
⋅
= =
0
2
4 0
2
3 0
2
2
1 2
4
1
2
1
2
συν ηµ ηµ
έχουμε:
lim .
x
x
x→
−
=
0
2
4
1 1
2
συν
iii) Επειδή lim( ) ,
x
x x
→
− =
0
0ηµ lim( )
x
x
→
− =
0
1 0συν και
lim
( )
( )
lim lim
( )
(x x x
x x
x
x
x
x
→ → →
− ′
− ′
=
−
=
− ′
0 0 01
1 1ηµ
συν
συν
ηµ
συν
ηµxx
x
xx′
= =
→)
lim
0
0
ηµ
συν
έχουμε:
lim .
x
x x
x→
−
−
=
0 1
0
ηµ
συν
2.9 Β΄ ΟΜΑΔΑΣ
1. i) Αρκεί να δείξουμε ότι
lim ( ( ) ) .
x
f x x
→−∞
+ + =1 0
Πράγματι έχουμε
lim ( ( ) ) lim
x x
f x x x x x
→−∞ →−∞
+ + = + + + +( )1 2 2 12
=
+ + − +
+ + − +
=
− + + − −
→−∞ →−∞
lim
( )
( )
lim
x x
x x x
x x x x
x x
x
2 2
2
2
2 2 1
2 2 1
1
1
2 2
1
=
−
⋅
+ + + +
= ⋅ =
→−∞ →−∞
lim lim .
x xx
x x x
1 1
1
2 2
1
1
0
1
2
0
2
Αρκεί να δείξουμε ότι
lim ( ( ) ( )) .
x
f x x
→+∞
− + =1 0
Πράγματι έχουμε
lim ( ( ) ( )) lim ( )
x x
f x x x x x
→+∞ →+∞
− + = + + − +( )1 2 2 12
22-0182-02.indb 249 26/11/2013 4:16:55 μμ
250
2.9
=
+ + − +
+ + + +
=
+ + + +
→+∞ →+∞
lim
( )
( )
lim
x x
x x x
x x x
x
x x x
2 2
2
2
2 2 1
2 2 1
1
1
2 2
1
1





= ⋅
+ + + +
= ⋅ =
→+∞ →+∞
lim lim .
x xx
x x x
1 1
1
2 2
1
1
0
1
2
0
2
ii) Έχουμε
x x x x x2 2 2
2 2 2 1 1+ +  + + = +( ) .
Επομένως:
— Κοντά στο −∞ είναι
f x x x x x x( ) ( )= + +  + = + = − −2 2
2 2 1 1 1 (αφού x  – 1)
που σημαίνει ότι η Cf
βρίσκεται πάνω από την ασύμπτωτη y = – x – 1
— Κοντά στο +∞ είναι
f x x x x x x( ) ( )= + +  + = + = +2 2
2 2 1 1 1 (αφού x  – 1)
που σημαίνει ότι η Cf
βρίσκεται πάνω από την ασύμπτωτη y = x + 1.
2. i) Η συνάρτηση f έχει πεδίο ορισμού το R.
● Πλάγιες - οριζόντιες ασύμπτωτες
— Επειδή
λ = =
⋅
= = ⋅





→−∞ →−∞ →−∞ →−∞
lim
( )
lim lim lim
x x x x x x x
f x
x
x
x
x
x
2
2 2
1
2
== −∞
αφού
lim lim
x x x
x
→−∞ →−∞
=





 = +∞
1
2
1
2
και lim ,
x
x
→−∞
= −∞
η Cf
δεν έχει πλάγια ασύμπτωτη στο −∞.
— Η ασύμπτωτη της Cf
στο +∞ είναι της μορφής y = λx + β, όπου
λ = =
⋅
= =
′
′
=
→+∞ →+∞ →+∞ →+∞
lim
( )
lim lim lim
( )
( )x x x x x x x
f x
x
x
x
x x2
2 2 2
1
22 2
0x
ln
= και
22-0182-02.indb 250 26/11/2013 4:16:59 μμ
251
2.9
β λ= − = −





 = =
→+∞ →+∞ →+∞
lim ( ( ) ) lim lim
( )
( )
lim
x x x x x
f x x
x x2 2
2
0
2 xx x
x x x x
x
x
→+∞
→+∞ →+∞
=
′
′
= =
2
2 2
2
2 2
2
2 2
02
ln
lim
( )
( ln )
lim
ln
.
Δηλαδή, είναι η ευθεία y = 0.
ii) Η συνάρτηση f έχει πεδίο ορισμού το ( , ).0 +∞
● Πλάγιες - οριζόντιες ασύμπτωτες
Η ασύμπτωτη της Cf
στο +∞ είναι της μορφής y = λx + β, όπου
λ = = =
′
′
=
→+∞ →+∞ →+∞ →+∞
lim
( )
lim
ln
lim
(ln )
( )
lim
x x x x
f x
x
x
x
x
x
x
x2 2
1
2
== =
→+∞
lim
x x
1
2
02
και
β λ= − =





 =
′
′
=
→+∞ →+∞ →+∞
lim ( ( ) ) lim
ln
lim
(ln )
( )
lim
x x x
f x x
x
x
x
x xx x→+∞
=
1
0.
Δηλαδή, είναι η ευθεία y = 0 .
● Κατακόρυφες ασύμπτωτες
Επειδή
lim
ln
lim ln .
x x
x
x x
x
→ →+ +
= ⋅





 = −∞
0 0
1
Η ευθεία x = 0 είναι κατακόρυφη ασύμπτωτη της Cf
.
3. Αρχικά θα πρέπει η f να είναι συνεχής στο x0 = 0, δηλαδή θα πρέπει να ισχύει:
lim ( ) lim ( ) ( ).
x x
f x f x f
→ →− +
= =
0 0
0
Έχουμε
lim ( ) lim( ) ,
x x
f x x
→ →− −
= + =
0 0
ηµ α α lim ( ) lim
x x
x
f x e
→ →+ +
= =
0 0
1β
και f(0) = α.
Επομένως πρέπει να είναι α = 1, δηλαδή η συνάρτηση f θα είναι της μορφής
f x
x x
e xx
( )
,
,
=
+ ≤




ηµ 1 0
0β
(1)
22-0182-02.indb 251 26/11/2013 4:17:02 μμ
252
2.9
Για α ≠ 1 η συνάρτηση δεν είναι συνεχής, άρα δεν είναι παραγωγίσιμη στο x0
= 0.
Εξετάζουμε τώρα, για ποιες τιμές του β η συνάρτηση (1) είναι παραγωγίσιμη
στο x0 = 0.
— Για x  0 έχουμε
f x f
x
x
x
x
x
( ) ( )
,
−
−
=
+ −
=
0
0
1 1ηµ ηµ
οπότε
lim
( ) ( )
lim .
x x
f x f
x
x
x→ →− −
−
−
= =
0 0
0
0
1
ηµ
— Για x  0 έχουμε
f x f
x
e
x
x
( ) ( )
,
−
−
=
−0
0
1β
οπότε
lim
( ) ( )
lim lim
( )
( )
lim
x x
x
x
x
x
f x f
x
e
x
e
x→ → →+ + +
−
−
=
−
=
− ′
′
=
0 0 0
0
0
1 1β β
→→ +
=
0 1
β
β
β
e x
.
Επομένως, η f παραγωγίζεται στο x0
= 0, αν και μόνο αν β = 1 και α = 1.
4. i) — Για 0  x ≠ 1 η f είναι συνεχής ως πηλίκο συνεχών συναρτήσεων.
— Για x = 1 έχουμε
lim
ln
lim
( ln )
( )
lim
ln
x x x
x x
x
x x
x
x
→ → →−
=
′
− ′
=
+
−
= −
1 1 11 1
1
1
1 και f(1) = – 1.
Επομένως η f είναι συνεχής στο πεδίο ορισμού της.
ii) Για 0  x ≠ 1 έχουμε:
f x f
x
x x
x
x
x x x
x
( ) ( )
ln
ln
( )
,
−
−
= −
+
−
=
+ −
− −
1
1
1
1
1
1
1 2
οπότε
lim
( ) ( )
lim
ln
( )
lim
( ln )
x x x
f x f
x
x x x
x
x x x
→ → →
−
−
=
− +
− −
=
− + ′
1 1 2 1
1
1
1
1
1
(( ( ) )− − ′x 1 2
=
− + +
− −
=
− −→ →
lim
ln
( )
lim
ln
( )x x
x
x
x
x1 1
1 1
2 1 2 1
=
′
− − ′
=
−
= −
→ →
lim
(ln )
( ( ))
lim .
x x
x
x
x
1 12 1
1
2
1
2
22-0182-02.indb 252 26/11/2013 4:17:06 μμ
253
2.9
Άρα ′ = −f ( ) .1
1
2
5. i) ● Για x ≠ 1 η f είναι συνεχής ως σύνθεση και πηλίκο συνεχών.
Για x0
= 1 έχουμε
lim ( ) lim
ln( )
x x
f x
x x
x→ →
=
− +
−1 1
2
2 2
1
=
−
− + =
−
− +
=
→ →
lim lim
( )
.
x x
x
x x x
x x1
2
1 2
2 2
2 2
1
2 1
2 2
0
Επειδή f f x
x
( ) lim ( ),1 0
1
= =
→
η f είναι συνεχής στο 1.
● Είναι
lim
( ) ( )
lim
ln( )
x x
f x f
x
x x
x
x→ →
−
−
=
− +
−
−
−1 1
2
1
1
2 2
1
0
1
=
− +
−→
lim
ln( )
( )x
x x
x1
2
2
2 2
1
=
−
− +
−
=
−
− − +
=
→ →
lim
( )
lim
( )
( )( )
.
x x
x
x x
x
x
x x x1
2
1 2
2 2
2 2
2 1
2 1
2 1 2 2
1
Άρα f′(0) = 1.
Επομένως η f είναι συνεχής και παραγωγίσιμη στο 1.
ii) Είναι
lim ( ) lim ,
x x
g x x
→ →− −
= =
1 1
2
1 lim ( ) lim
ln
x x
g x
x
x→ →+ +
= +





 = + =
1 1
1 1 0 1
και g(1) = 1
2
= 1.
Άρα η g είναι συνεχής στο 1.
— Για x  1 έχουμε
lim
( ) ( )
lim lim( ) .
x x x
g x g
x
x
x
x
→ → →− − −
−
−
=
−
−
= + =
1 1
2
1
1
1
1
1
1 2
— Για x  1 έχουμε
22-0182-02.indb 253 26/11/2013 4:17:09 μμ
254
2.9
lim
( ) ( )
lim
ln
lim
ln
( )x x x
g x g
x
x
x
x
x
x x→ → →+ + +
−
−
=
+ −
−
=
−1 1 1
1
1
1 1
1 1
=
− +
=
−
=
→ →+ +
lim lim
( )
.
x x
x
x x x x1 1
1
1
1
2 1
1
Επειδή
lim
( ) ( )
lim
( ) ( )
,
x x
g x g
x
g x g
x→ →− +
−
−
≠
−
−1 1
1
1
1
1
η συνάρτηση g δεν είναι παραγωγίσιμη στο x0
= 1.
6. i) — Επειδή lim( )
x
x
e
→
−
− =
0
1 0 και lim ,
x
x
→
=
0
0 έχουμε
lim lim .
x
x
x
x
e
x
e
→
−
→
−
−
= =
0 0
1
1
1
— Επειδή lim ,
x
x
→
=
0
0 και limln ,
x
x
→
= −∞
0
έχουμε
lim( ln ) lim
ln
x x
x x
x
x
→ →+ +
=
0 0 1
=
−
= − =
→ →+ +
lim lim( ) .
x x
x
x
x
0
2
0
1
1
0
ii) Έχουμε
lim ( ) lim( )ln lim ( ln )
x x
x
x
x
f x e x
e
x
x x
→ →
−
→
−
+ + +
= − =
−
0 0 0
1
1
=
−
⋅ = ⋅ =
→
−
→+ +
lim lim( ln )
x
x
x
e
x
x x
0 0
1
1 0 0
σύμφωνα με το ερώτημα i).
Επειδή f f x
x
( ) lim ( ),0 0
0
= =
→ +
η f είναι συνεχής στο 0.
iii) Είναι
lim
( ) ( )
lim
( )ln
lim lim
x x
x
x
x
x
f x f
x
e x
x
e
x→ →
−
→
−
→+ + +
−
=
− −
=
−
⋅
0 0 0
0 1 0 1
00+
= −∞ln .x
22-0182-02.indb 254 26/11/2013 4:17:14 μμ
255
2.10
Επειδή η συνάρτηση f είναι συνεχής στο 0 και lim
( ) ( )
,
x
f x f
x→ +
−
= −∞
0
0
η Cf
δέχεται εφαπτομένη στο Ο(0,0) την ευθεία με εξίσωση x = 0.
2.10 A΄ ΟΜΑΔΑΣ
1. i) ● Η f έχει πεδίο ορισμού το A = R.
● Η f είναι συνεχής ως πολυωνυμική
● Για κάθε x ∈R ισχύει ′ = − − = − −f x x x x x( ) ( ),3 6 9 3 2 32 2
οπότε
′ = ⇔ =f x x( ) 0 3 ή x = – 1.
Το πρόσημο της f′ δίνεται από τον παρακάτω πίνακα, από τον οποίο
προσδιορίζουμε τα διαστήματα μονοτονίας της f και τα τοπικά ακρότατα αυτής.
x −∞ –1 3 +∞
f′(x) + 0 – 0 +
f(x)
16
T.M. –16
T.E.
Εξάλλου για κάθε x ∈R ισχύει ′′ = −f x x( ) ,6 6 οπότε
′′ = ⇔ =f x x( ) .0 1
Το πρόσημο της f ″ φαίνεται στον παρακάτω πίνακα από τον οποίο
προσδιορίζουμε τα διαστήματα στα οποία η Cf
στρέφει τα κοίλα προς τα
άνω ή προς τα κάτω και τα σημεία καμπής.
x −∞ 1 +∞
f″(x) – 0 +
f(x) 0
Σ.Κ.
● Είναι lim ( ) lim ( ) lim ,
x x x
f x x x x x
→+∞ →+∞ →+∞
= − − + = = +∞3 2 3
3 9 11
lim ( ) lim ( ) lim .
x x x
f x x x x x
→−∞ →−∞ →−∞
= − − + = = −∞3 2 3
3 9 11
Η Cf
δεν έχει ασύμπτωτες στο +∞ και −∞, αφού η f είναι πολυωνυμική
τρίτου βαθμού. Σχηματίζουμε τον πίνακα μεταβολών της f και χαράσσουμε
τη γραφική της παράσταση.
22-0182-02.indb 255 26/11/2013 4:17:17 μμ
256
2.10
x −∞ –1 1 3 +∞
f′(x) + 0 – – 0 +
f ″(x) – – 0 + +
f(x)
16
T.M.
0
Σ.Κ. –16
T.E.
+∞
ii) ● Η f ορίζεται στο Α = −∞ ∪ +∞( , ) ( , )1 1
● Η f είναι συνεχής στο Α, ως ρητή.
● Για κάθε x ∈ Α ισχύει ′ =
−
−
f x
x
( )
( )
,
2
1 2
οπότε
′ ≠f x( ) 0 για κάθε x ∈ Α.
Το πρόσημο της f ′φαίνεται στον παρακάτω πίνακα, από τον οποίο προσ-
διορίζουμε τα διαστήματα μονοτονίας της f .
x −∞ 1 +∞
f′(x) – –
f(x)
Για κάθε x ∈ Α ισχύει ′′ = −
− −
−
=
−
f x
x
x x
( )
( )
( ) ( )
.2
2 1
1
4
14 3
Το πρόσημο της f ″ φαίνεται στον παρακάτω πίνακα, από τον οποίο προσ-
διορίζουμε τα διαστήματα στα οποία η f στρέφει τα κοίλα προς τα άνω ή
προς τα κάτω και τα σημεία καμπής.
x −∞ 1 +∞
f″(x) – +
f(x)
−∞
22-0182-02.indb 256 26/11/2013 4:17:19 μμ
257
2.10
● Είναι lim ( ) lim ,
x x
f x
x
x→−∞ →−∞
=
+
−
=
1
1
1 οπότε η ευθεία y = 1 είναι οριζόντια
ασύμπτωτη της Cf
στο −∞.
Ομοίως lim ( ) ,
x
f x
→+∞
=1 οπότε η y = 1 είναι οριζόντια ασύμπτωτη και στο +∞.
Επίσης lim ( ) lim ,
x x
f x
x
x→ →− −
=
+
−
= −∞
1 1
1
1
lim ( ) ,
x
f x
→ +
= +∞
1
οπότε η ευθεία x = 1 είναι
κατακόρυφη ασύμπτωτη της Cf
.
● Σχηματίζουμε τον πίνακα μεταβολών της f και χαράσσουμε τη γραφική
της παράσταση.
x −∞ 1 +∞
f′(x) – –
f ″(x) – +
f(x)
1 +∞
1
iii) ● Η f ορίζεται στο Α = R.
● Η f είναι συνεχής στο R ως πολυωνυμική.
● Για κάθε x ∈R ισχύει ′ = − = −f x x x x x( ) ( ),4 4 4 13 2
οπότε
′ = ⇔ =f x x( ) 0 0 ή x = – 1 ή x = 1.
Το πρόσημο της f ′ φαίνεται στον παρακάτω πίνακα, από τον οποίο
προσδιορίζουμε τα διαστήματα μονοτονίας και τα τοπικά ακρότατα της f.
x −∞ –1 0 1 +∞
f′(x) – 0 + 0 – 0 +
f(x) –1
T.E.
0
T.Μ.
–1
T.E.
— Για κάθε x ∈R ισχύει ′′ = − = −f x x x( ) ( ),12 4 4 3 12 2
οπότε
′′ = ⇔ =f x x( ) 0
3
3
ή x = −
3
3
.
−∞
22-0182-02.indb 257 26/11/2013 4:17:22 μμ
258
2.10
Το πρόσημο της f ″ φαίνεται στον παρακάτω πίνακα, από τον οποίο
προσδιορίζουμε τα διαστήματα στα οποία η f στρέφει τα κοίλα προς τα άνω
ή προς τα κάτω και τα σημεία καμπής.
x −∞ +∞
f ″(x) + 0 – 0 +
f(x)
−
5
9
Σ.Κ.
−
5
9
Σ.Κ.
● Είναι lim ( ) lim ( ) lim .
x x x
f x x x x
→−∞ →−∞ →−∞
= − = = +∞4 2 4
2
lim ( ) lim .
x x
f x x
→+∞ →+∞
= = +∞4
Η Cf
δεν έχει ασύμπτωτες στο −∞, +∞, αφού είναι πολυωνυμική τετάρτου
βαθμού.
● Σχηματίζουμε τον πίνακα μεταβολών της f και χαράσσουμε τη γραφική
της παράσταση.
x −∞ –1 0 1 +∞
f′(x) – 0 + + 0 – – 0 +
f ″(x) + + 0 – – 0 + +
f(x)
–1
T.E.
−
5
9
Σ.Κ.
−
5
9
Σ.Κ.
–1
T.E.
Σχόλιο
Επειδή για κάθε x ∈R ισχύει
f x x x x x f x( ) ( ) ( ) ( ),− = − − − = − =4 2 4 2
2 2
−
3
3
3
3
+∞ +∞
−
3
3
3
3
0
T.M.
22-0182-02.indb 258 26/11/2013 4:17:25 μμ
259
2.10
η f είναι άρτια, οπότε η γραφική της παράσταση είναι συμμετρική ως προς
τον άξονα των y.
2. i) ● Η f ορίζεται στο A = R*.
● Η f είναι συνεχής στο R*, ως ρητή.
● Για κάθε x ∈ *R ισχύει ′ = − =
−
f x
x
x
x
( ) ,1
1 1
2
2
2
οπότε
′ = ⇔ =f x x( ) 0 1 ή x = – 1.
Το πρόσημο της f ′ φαίνεται στον παρακάτω πίνακα, από τον οποίο
προσδιορίζουμε τα διαστήματα μονοτονίας και τα ακρότατα της f.
x −∞ –1 0 1 +∞
f′(x) + 0 – – 0 +
f(x)
–2
T.Μ.
2
T.Ε.
— Για κάθε x ∈R* ισχύει ′′ =
− −
=f x
x x x
x x
( )
( )
,
2 2 1 23 2
4 3
οπότε
f ″(x) ≠ 0 για κάθε x ∈R*.
Το πρόσημο της f ″ φαίνεται στον παρακάτω πίνακα, από τον οποίο προσ-
διορίζουμε τα διαστήματα στα οποία Cf
στρέφει τα κοίλα προς τα άνω ή
προς τα κάτω.
x −∞ 0 +∞
f ″(x) – +
f(x)
● Πλάγιες - οριζόντιες ασύμπτωτες
Η ασύμπτωτη της Cf
στο −∞ είναι της μορφής y = λx + β, όπου
λ = = +





 =
→−∞ →−∞
lim
( )
lim
x x
f x
x x
1
1
12
και
β λ= − = + −





 = =
→−∞ →−∞ →−∞
lim ( ( ) ) lim lim .
x x x
f x x x
x
x
x
1 1
0
Δηλαδή, είναι η ευθεία y = x.
Ομοίως, αποδεικνύεται ότι η ευθεία y = x είναι ασύμπτωτη της Cf
στο +∞.
22-0182-02.indb 259 26/11/2013 4:17:27 μμ
260
2.10
● Κατακόρυφες ασύμπτωτες
Είναι lim ( ) lim
x x
f x x
x→ →− −
= +





 = −∞
0 0
1
και
lim ( ) lim .
x x
f x x
x→ →+ +
= +





 = +∞
0 0
1
Άρα η ευθεία x = 0 είναι κατακόρυφη ασύμπτωτη της Cf
. Επίσης έχουμε:
lim ( ) lim lim
x x x
f x
x
x
x
→−∞ →−∞ →−∞
=
+




 = = −∞
2
1
και
lim ( ) lim lim .
x x x
f x
x
x
x
→+∞ →+∞ →+∞
=
+
= = +∞
2
1
● Σχηματίζουμε τον πίνακα μεταβολών της f και χαράσσουμε τη γραφική
της παράσταση.
x −∞ – 1 0 1 +∞
f′(x) + 0 – – 0 +
f″(x) – – + +
f(x)
–2
T.Μ. 2
T.Ε.
Σχόλιο
Επειδή για κάθε x ∈R* ισχύει
f x
x
x
x
x
f x( )
( )
( ),− =
− +
−
= −
+
= −
2 2
1 1
+∞ +∞
−∞ −∞
22-0182-02-b.indd 260 28/11/2013 1:30:30 μμ
261
2.10
η f είναι περιττή, οπότε η γραφική της παράσταση είναι συμμετρική ως προς
την αρχή Ο.
ii) ● Η f ορίζεται στο Α = −∞ ∪ +∞( , ) ( , )1 1
● Η f είναι συνεχής στο Α, ως ρητή.
● Για κάθε x ∈ Α ισχύει
′ =
− − − − −
−
=
− +
−
f x
x x x x
x
x x
x
( )
( )( ) ( )
( ) ( )
,
2 1 1 2
1
2 3
1
2
2
2
2
οπότε f′(x)  0 για κάθε x ∈ Α.
Το πρόσημο της f ′ φαίνεται στον παρακάτω πίνακα από τον οποίο προσ-
διορίζουμε τα διαστήματα μονοτονίας και τα ακρότατα της f.
x −∞ 1 +∞
f′(x) + +
f(x)
Για κάθε x ∈ Α ισχύει:
′′ =
− − − − − +
−
=
−
−
f x
x x x x x
x x
( )
( )( ) ( )( )
( ) ( )
,
2 2 1 2 1 2 3
1
4
1
2 2
4 3
οπότε το πρόσημο της f ″ φαίνεται στον παρακάτω πίνακα, από τον οποίο
προσδιορίζουμε τα διαστήματα στα οποία η Cf
στρέφει τα κοίλα προς τα άνω
ή προς τα κάτω.
x −∞ 1 +∞
f″(x) + –
f(x)
● Πλάγιες - οριζόντιες ασύμπτωτες
Η ασύμπτωτη της Cf
στο −∞ είναι της μορφής y = λx + β, όπου
λ = =
− −
−
=
→−∞ →−∞
lim
( )
lim
x x
f x
x
x x
x x
2
2
2
1 και
β λ= − =
− −
−
−





 =
−
−
=
→−∞ →−∞ →−∞
lim ( ( ) ) lim lim
x x x
f x x
x x
x
x
x
2
2
1
2
1
0..
22-0182-02.indb 261 26/11/2013 4:17:32 μμ
262
2.10
Δηλαδή, είναι η ευθεία y = x.
Ομοίως, η y = x είναι ασύμπτωτη της Cf
στο +∞.
● Κατακόρυφες ασύμπτωτες
Είναι lim ( ) lim
x x
f x
x x
x→ →− −
=
− −
−
= +∞
1 1
2
2
1
και
lim ( ) lim .
x x
f x
x x
x→ →+ +
=
− −
−
= −∞
1 1
2
2
1
Άρα, η ευθεία x = 1 είναι κατακόρυφη ασύμπτωτη της Cf
.
Επίσης έχουμε:
lim ( ) lim
x x
f x
x x
x→−∞ →−∞
=
− −
−
= −∞
2
2
1
και lim ( ) .
x
f x
→+∞
= +∞
● Σχηματίζουμε τον πίνακα μεταβολών της f και χαράσσουμε τη γραφική
της παράσταση.
x −∞ 1 +∞
f′(x) + +
f ″(x) + –
f(x)
3. ● Είναι Α = [ – π,π]
● Η f είναι συνεχής στο Α ως άθροισμα συνεχών συναρτήσεων.
● Για κάθε x ∈ Α ισχύει f′(x) = 1+συνx, οπότε
+∞ +∞
−∞ −∞
22-0182-02.indb 262 26/11/2013 4:17:34 μμ
263
ΓΕΝΙΚΕΣ ΑΣΚΗΣΕΙΣ 2ου
ΚΕΦΑΛΑΙΟΥ Γ’ ΟΜΑΔΑΣ
′ = ⇔ = −f x x( ) 0 π ή x = π.
Το πρόσημο της f′ φαίνεται στον παρακάτω πίνακα, από τον οποίο προσδιορίζουμε
τα διαστήματα μονοτονίας της f και τα ακρότατα αυτής.
x – π +π
f′(x) 0 + 0
f(x)
Για κάθε x ∈ Α ισχύει f ″(x) = – ημx, οπότε
′′ = ⇔ = −f x x( ) 0 π ή x = 0 ή x = π.
Το πρόσημο της f ″ φαίνεται στον παρακάτω πίνακα, από τον οποίο
προσδιορίζουμε τα διαστήματα στα οποία η f στρέφει τα κοίλα προς τα άνω
ή προς τα κάτω και τα σημεία καμπής.
x –π 0 π
f″(x) 0 + 0 – 0
f(x) 0
Σ.Κ.
● Είναι f( – π) = – π και f(π) = π
● Σχηματίζουμε τον πίνακα μεταβολών της f και χαράσσουμε τη γραφική
της παράσταση.
x – π 0 π
f′(x) 0 + + 0
f ″(x) 0 + 0 – 0
f(x) –π
min
ΓΕΝΙΚΕΣ ΑΣΚΗΣΕΙΣ 2ου ΚΕΦΑΛΑΙΟΥ Γ΄ ΟΜΑΔΑΣ
1. i) Για κάθε x ∈ +∞( , )0 ισχύει:
′ = −f x
x
( )
1
2
και ′ = −g x x( ) ,2 3
π
max0
Σ.Κ.
22-0182-02.indb 263 26/11/2013 4:17:36 μμ
264
ΓΕΝΙΚΕΣ ΑΣΚΗΣΕΙΣ 2ου
ΚΕΦΑΛΑΙΟΥ Γ’ ΟΜΑΔΑΣ
οπότε
f′(1) = –1 και g′(l) = –1.
Το σημείο Α(1,1) είναι κοινό σημείο των Cf
και Cg
, αφού f(1) = 1 και g(l) = l.
Επειδή ισχύει f′(1) = g′(l), οι εφαπτόμενες των Cf
, Cg
στο (1,1) ταυτίζονται.
ii) Για να βρούμε τη σχετική θέση των Cf
και Cg
βρίσκουμε το πρόσημο της
διαφοράς
ϕ( ) ( ) ( )
( )
.x g x f x x x
x
x
x
= − = − + − =
−2
3
3 3
1 1
Έχουμε: φ(x)  0, για κάθε x ∈( , )0 1
και φ(x)  0 για κάθε x ∈ +∞( , ).1
Επομένως:
— η Cf
είναι πάνω από την Cg
, όταν
x ∈( , )0 1 και
— η Cg
είναι πάνω από την Cf
, όταν
x ∈ +∞( , )1 (σχήμα).
2. Θεωρούμε τη συνάρτηση ϕ( ) ( ) ( ).x f x g x= − Για κάθε x ∈ R ισχύει
′ = ′ − ′ ϕ ( ) ( ) ( ) ,x f x g x 0 οπότε η φ είναι γνησίως αύξουσα στο R. Επομένως:
— Για x  0 θα είναι:
ϕ ϕ( ) ( ) ( ) ( ) ( ) ( ) ( ) ( ),x f x g x f g f x g x ⇔ −  − ⇔ 0 0 0
αφού f(0) = g(0) και
— Για x  0 θα είναι
ϕ ϕ( ) ( ) ( ) ( ) ( ) ( ) ( ) ( ),x f x g x f g f x g x ⇔ −  − ⇔ 0 0 0
αφού f(0) = g(0).
22-0182-02.indb 264 26/11/2013 4:17:38 μμ
265
ΓΕΝΙΚΕΣ ΑΣΚΗΣΕΙΣ 2ου
ΚΕΦΑΛΑΙΟΥ Γ’ ΟΜΑΔΑΣ
3. Από το ορθογώνιο τρίγωνο ΟΒΜ έχουμε:
(ΒΜ) = 1∙ ημθ και (ΟΜ) = 1∙ συνθ.
Είναι όμως (ΒΓ) = 2(ΒΜ) = 2ημθ και
(AM) = (OA) + (ΟΜ) = 1+συνθ
οπότε
Ε Ε= = + = +( ) ( ) ( ).θ θ θ θ θ
1
2
2 1 1ηµ συν ηµ συν
Για κάθε θ π∈( , )0 ισχύει:
Ε′(θ) = συνθ(1 + συνθ) – ημ
2
θ
= συν
2
θ – ημ
2
θ + συνθ
= συν2θ + συνθ,
οπότε
′ = ⇔ = −Ε ( )θ θ θ0 2συν συν
⇔ =συν συν( −2θ θπ )
⇔ = −2θ π θ, αφού θ π∈( , )0
⇔ =θ
π
3
.
Το πρόσημο της Ε′ φαίνεται στον παρακάτω πίνακα ( ′





 Ε
π
6
0 και ′





 Ε
π
2
0),
από τον οποίο προσδιορίζουμε τα διαστήματα μονοτονίας της Ε και τα ακρότατα
αυτής.
θ 0 π/3 π
Ε′(θ) + 0 –
Ε(θ)
Άρα, η μέγιστη τιμή του εμβαδού είναι
3 3
4
και παρουσιάζεται όταν θ
π
=
3
.
3 3
4
max
22-0182-02.indb 265 26/11/2013 4:17:41 μμ
266
ΓΕΝΙΚΕΣ ΑΣΚΗΣΕΙΣ 2ου
ΚΕΦΑΛΑΙΟΥ Γ’ ΟΜΑΔΑΣ
4. Γνωρίζουμε ότι το μήκος τόξου θ rad είναι L r= ⋅θ ενώ το εμβαδόν κυκλικού
τομέα θ rad είναι Ε =
1
2
2
r θ.
Επομένως, η περίμετρος του κυκλικού τομέα είναι:
2 20
20 2
0 10r r
r
r
r+ = ⇔ =
−
 θ θ ,
και το εμβαδόν του είναι:
Ε ( ) ,r r
r
r
r r=
−
= −
1
2
20 2
102 2
r ∈( , ).0 10
Για κάθε r ∈( , )0 10 ισχύει E′(r) = 10 – 2r, οπότε ′ = ⇔ =Ε ( ) .r r0 5
To πρόσημο της E′(r), η μονοτονία και τα ακρότατα της Ε φαίνονται στον
παρακάτω πίνακα.
r 0 5 10
Ε′(r) + 0 –
Ε(r) 25
max
Δηλαδή η Ε παρουσιάζει στο r = 5 μέγιστο το E(r) = 25. Επομένως ο ανθόκηπος
έχει τη μεγαλύτερη δυνατή επιφάνεια, όταν η ακτίνα του κύκλου είναι r = 5 m.
5. i) Από τα ορθογώνια τρίγωνα ΟΑΓ και ΟΔΒ έχουμε:
συνθ = =
( )
( ) ( )
ΟΓ
ΟΑ ΟΑ
1
και ηµθ = =
( )
( ) ( )
Ο∆
ΟΒ ΟΒ
1
οπότε
( )ΟΑ =
1
συνθ
και ( ) ,ΟΒ =
1
ηµθ
0
2
 θ
π
ii) ( ) ( ) ( )ΑΒ ΟΑ ΟΒ= + = +
1 1
ηµ συνθ θ
iii) Θεωρούμε τη συνάρτηση f ( )θ
θ θ
= +
1 1
ηµ συν
η οποία είναι ορισμένη στο
0
2
,
π




 και συνεχής στο διάστημα. Επιπλέον, για κάθε x ∈





0
2
,
π
ισχύει:
22-0182-02.indb 266 26/11/2013 4:17:44 μμ
267
ΓΕΝΙΚΕΣ ΑΣΚΗΣΕΙΣ 2ου
ΚΕΦΑΛΑΙΟΥ Γ’ ΟΜΑΔΑΣ
′ =
−
+ =
−
⋅
f ( ) ,θ
θ
θ
θ
θ
θ θ
θ θ
συν
ηµ
ηµ
συν
ηµ συν
ηµ συν2 2
3 3
2 2
οπότε
′ = ⇔ − = ⇔ = ⇔ =f ( ) ,θ θ θ θ θ θ
π
0 0
4
3 3
ηµ συν ηµ συν
αφού θ
π
∈





0
2
, .
Το πρόσημο της f ′ φαίνεται στον παρακάτω πίνακα, από τον οποίο
προσδιορίζουμε τα διαστήματα μονοτονίας της f και τα ακρότατα αυτής.
θ 0
f′(θ) – 0 +
f(θ)
Δηλαδή, η f στο θ
π
=
4
παρουσιάζει ελάχιστο f
π
4
2 2





 = .
Επομένως, το μεγαλύτερο δυνατό μήκος της σκάλας, που μπορεί, αν μεταφερθεί
οριζόντια να στρίψει στη γωνία, είναι 2 2 2 8m m≅ , .
6. i) ● Η συνάρτηση f έχει πεδίο ορισμού το Α = +∞( , )0
● Η f είναι συνεχής στο Α.
● Για κάθε x  0 ισχύει ′ =
−
f x
x
x
( )
ln
,
1
2
οπότε
′ = ⇔ = ⇔ =f x x x e( ) ln .0 1
Το πρόσημο της f ′ φαίνεται στον παρακάτω πίνακα, από τον οποίο
προσδιορίζουμε τα διαστήματα μονοτονίας και τα τοπικά ακρότατα της f.
x 0 e +∞
f′(x) + 0 –
f(x)
4
π
2
π
1
e
max
2 2
min
22-0182-02.indb 267 26/11/2013 4:17:47 μμ
268
ΓΕΝΙΚΕΣ ΑΣΚΗΣΕΙΣ 2ου
ΚΕΦΑΛΑΙΟΥ Γ’ ΟΜΑΔΑΣ
● Για κάθε x  0 ισχύει ′′ =
− − −
=
−
f x
x x x
x
x
x
( )
( ln ) ln
,
2 1 2 3
4 3
οπότε
′′ = ⇔ = ⇔ =f x x x e( ) ln ./
0
3
2
3 2
Το πρόσημο της f ″ φαίνεται στον παρακάτω πίνακα, από τον οποίο προσδιορί-
ζουμε τα διαστήματα στα οποία η Cf
είναι κυρτή ή κοίλη και τα σημεία καμπής
της.
x 0 e
3/2
+∞
f ″(x) – 0 +
f(x)
● Πλάγιες - οριζόντιες ασύμπτωτες
Η ασύμπτωτη της Cf
στο +∞ είναι της μορφής y = λx + β, όπου
λ = = = =
→+∞






→+∞ →+∞
lim
ln
lim lim
x x x
x
x
x
x x2
0
0
2
1
2
1
2
0 και
β λ= − = = =
→+∞ →+∞ →+∞
lim ( ( ) ) lim
ln
lim .
x x x
f x x
x
x
x
1
1
0
Άρα, η ευθεία y = 0 είναι οριζόντια ασύμπτωτη της Cf
στο +∞.
Επειδή, επιπλέον, lim ( ) lim
ln
lim ln ,
x x x
f x
x
x x
x
→ → →
= = ⋅





 = −∞+ +0 0 0
1
η ευθεία x = 0
είναι κατακόρυφη ασύμπτωτη της Cf
.
● Σχηματίζουμε τον πίνακα μεταβολών της f και χαράσσουμε τη γραφική της
παράσταση.
x 0 e e
3/2
+∞
f′(x) + 0 – –
f ″(x) – – 0 +
f(x)
−∞ 0
1
e
T M. .
3
2 3 2
e /
. .Σ Κ
3
2 3 2
e /
. .Σ Κ
22-0182-02.indb 268 26/11/2013 4:17:50 μμ
269
ΓΕΝΙΚΕΣ ΑΣΚΗΣΕΙΣ 2ου
ΚΕΦΑΛΑΙΟΥ Γ’ ΟΜΑΔΑΣ
ii) Είναι α α α αα α α α+ +
 + ⇔  +1 1
1 1( ) ln ln( )
⇔ +  +( )ln ln( )α α α α1 1
⇔ 
+
+
ln ln( )α
α
α
α
1
1
⇔  +f f( ) ( ).α α 1
Η τελευταία ανισότητα (άρα και η πρώτη) είναι αληθής, αφού e  α  α + 1
και η f είναι γνησίως φθίνουσα στο [ , ).e +∞
iii) Για κάθε x  0 έχουμε:
2 2 2 22 2x x
x x x x= ⇔ = ⇔ =ln ln ln ln
⇔ = ⇔ =
ln ln
( ) ( ).
2
2
2
x
x
f f x
Δηλαδή η εξίσωση 2
x
= x
2
έχει τόσες λύσεις στο ( , ),0 +∞ όσες είναι οι τιμές
του x  0 για τις οποίες η συνάρτηση f παίρνει την τιμή
f ( )
ln
.2
2
2
=
Επειδή 2
2
= 2
2
και 2
4
= 4
2
, η εξίσωση 2
x
= x
2
έχει στο ( , )0 +∞ λύσεις τις x = 2
και x = 4. Θα αποδείξουμε τώρα ότι αυτές είναι μοναδικές. Πράγματι σύμφωνα
με το ερώτημα i):
— η f στο (0,e] είναι γνησίως αύξουσα. Άρα την τιμή f(2) θα την πάρει μια
φορά, για x = 2.
— η f στο [ , )e +∞ είναι γνησίως φθίνουσα. Άρα την τιμή f(4) θα την πάρει
μόνο μια φορά.
22-0182-02.indb 269 26/11/2013 4:17:53 μμ
270
ΓΕΝΙΚΕΣ ΑΣΚΗΣΕΙΣ 2ου
ΚΕΦΑΛΑΙΟΥ Γ’ ΟΜΑΔΑΣ
Επομένως, οι λύσεις της 2
x
= x
2
είναι ακριβώς δύο, οι x1 = 2 και x2
= 4.
7. i) Θεωρούμε τη συνάρτηση f x x x
( ) ,= +α β η οποία ορίζεται στο R και είναι
παραγωγίσιμη σ’ αυτό.
Επειδή f(0) = 2 έχουμε:
f x f( ) ( )≥ 0 για κάθε x ∈ ,R
που σημαίνει ότι η f στο x0
= 0 παρουσιάζει ελάχιστο, οπότε σύμφωνα με το
θεώρημα του Fermat ισχύει f′(0) = 0.
Είναι όμως ′ = +f x x x
( ) ln ln ,α α β β οπότε
′ = ⇔ + = ⇔ = ⇔ =f ( ) ln ln ln( ) .0 0 0 0 1α β αβ αβ
ii) Για κάθε x ∈R ισχύει. Θεωρούμε, τώρα, τη συνάρτηση f x xx
( ) ,= − −α 1
η οποία ορίζεται στο R και είναι παραγωγίσιμη σ’ αυτό. Επειδή
f ( ) ,0 0 1 00
= − − =α έχουμε
f(x) ≥ f(0) για κάθε x ∈R.
Άρα η f στο x0
= 0 παρουσιάζει ελάχιστο, οπότε σύμφωνα με το θεώρημα του
Fermat, ισχύει f′(0) = 0. Είναι όμως:
′ = −f x x
( ) lnα α 1
οπότε
′ = ⇔ − = ⇔ = ⇔ =f e( ) ln ln .0 0 1 0 10
α α α α
8. i) —Για κάθε x ∈R ισχύει:
f′(x) = e
x
και f ″(x) = e
x
 0 για κάθε x ∈R.
Άρα η f είναι κυρτή στο R.
— Για κάθε x ∈ +∞( , )0 ισχύει:
′ =g x
x
( )
1
και ′′ = − g x
x
( ) .
1
02
Άρα η f είναι κοίλη στο ( , ).0 +∞
ii) Η εξίσωση της εφαπτομένης της Cf
στο σημείο Α(0,1) είναι:
y f x y x y x− = ′ − ⇔ − = ⇔ = +1 0 0 1 1( )( ) ,
22-0182-02.indb 270 26/11/2013 4:17:56 μμ
271
ΓΕΝΙΚΕΣ ΑΣΚΗΣΕΙΣ 2ου
ΚΕΦΑΛΑΙΟΥ Γ’ ΟΜΑΔΑΣ
ενώ της Cg
στο σημείο (1,0) είναι:
y g x y x− = ′ − ⇔ = −0 1 1 1( )( ) .
iii) α) Επειδή η f είναι κυρτή στο R η
εφαπτομένη της Cf
στο σημείο (0,1)
βρίσκεται κάτω από την Cf
.Άρα ισχύει:
e xx
≥ +1 για κάθε x ∈R.
Η ισότητα ισχύει μόνο όταν x = 0.
β) Επειδή η g είναι κοίλη στο ( , )0 +∞ η
εφαπτομένη της Cg
στο σημείο Β(1,0)
βρίσκεται πάνω από την Cg
. Άρα,
ισχύει:
x x− ≥1 ln για κάθε x ∈ +∞( , ).0
Η ισότητα ισχύει όταν x = 1.
iv) Για κάθε x ∈R ισχύει
x x− ≤ +1 1,
οπότε, λόγω του ερωτήματος iii), έχουμε
ln ,x x x ex
≤ −  + 1 1 x  0.
Άρα
ln x  e
x
, για κάθε x  0.
9. i) H συνάρτηση f(x) = e
x
– λx είναι παραγωγίσιμη στο R με ′ = −f x ex
( ) .λ
Είναι
′ = ⇔ − = ⇔ =f x e xx
( ) ln .0 0λ λ
Το πρόσημο της f′, η μονοτονία και τα ακρότατα της f φαίνονται στον πίνακα.
x −∞ lnλ +∞
f′(x) – 0 +
f(x)
min
Επομένως, η f παρουσιάζει ελάχιστη τιμή για x = ln λ την
22-0182-02-b.indd 271 28/11/2013 1:32:31 μμ
272
ΓΕΝΙΚΕΣ ΑΣΚΗΣΕΙΣ 2ου
ΚΕΦΑΛΑΙΟΥ Γ’ ΟΜΑΔΑΣ
f e(ln ) ln ln ( ln ).ln
λ λ λ λ λ λ λ λλ
= − = − = −1
ii) Ισχύουν οι ισοδυναμίες
R R R
⇔ ≥min ( )f x 0
⇔ − ≥λ λ( ln )1 0
⇔ − ≥1 0ln λ
⇔ ≤ln λ 1
⇔ ≤λ e.
Άρα, η μεγαλύτερη τιμή του λ, για την οποία ισχύει e xx
≥ λ για κάθε x ∈R,
είναι η λ = e.
iii) Για να εφάπτεται η ευθεία y = ex της γραφικής παράστασης της g(x) = e
x
,
αρκεί να υπάρχει σημείο x0
τέτοιο, ώστε η εφαπτομένη της Cg
στο Α(x0
,g(x0
))
να ταυτίζεται με την y = ex. Για να ισχύει αυτό, αρκεί
g x e x
g x e
e ex
e e
x
x
x
( )
( )
.
0 0
0
0
0
0
0
1
= ⋅
′ =



⇔
=
=




⇔ =
Επομένως η y = ex εφάπτεται της Cg
στο σημείο Α(l,e).
ε1 0
0 0
: ( ).y e e x xx x
− = − (1)
10. i) Για x ≠ 0 είναι
f x f
x
x
x
x
x
x
( ) ( )
.
−
−
= =
0
0
1
1
2
ηµ
ηµ
Επειδή x
x
xηµ
1
≤ έχουμε
− ≤ ≤x x
x
xηµ
1
.
Όμως
lim lim .
x x
x x
→ →
= −( ) =
0 0
0
22-0182-02.indb 272 26/11/2013 4:18:02 μμ
273
ΓΕΝΙΚΕΣ ΑΣΚΗΣΕΙΣ 2ου
ΚΕΦΑΛΑΙΟΥ Γ’ ΟΜΑΔΑΣ
Άρα
lim .
x
x
x→





 =
0
1
0ηµ
Επομένως f′(0) = 0.
Αφού f(0) = 0 και f′(0) = 0, η ευθεία y = 0 είναι εφαπτόμενη της Cf
στο Ο(0,0).
ii) Τα κοινά σημεία της Cf
και της ευθείας y = 0 προκύπτουν από τη λύση της
εξίσωσης f(x) = 0.
● Για x ≠ 0 είναι
f x x
x x
( ) = ⇔ = ⇔ =0
1
0
1
02
ηµ ηµ
⇔ =
1
x
κπ, κ ∈* ⇔ =x
1
κπ
, κ ∈*. (1)
● Για x = 0 είναι f(0) = 0.
Άρα, τα κοινά σημεία είναι άπειρα το Ο(0,0) και τα υπόλοιπα έχουν τετμημένες
που δίνονται, για τις διάφορες τιμές του κ ∈* από τη σχέση (1). (Είναι
προφανές ότι για μεγάλες κατ’ απόλυτη τιμή του κ, οι τιμές του x είναι πολύ
μικρές και πλησιάζουν το 0).
iii) Αρκεί να δείξουμε ότι
lim ( ( ) )
x
f x x
→+∞
− = 0 και lim ( ( ) )
x
f x x
→−∞
− = 0
● Έχουμε:
lim ( ( ) ) lim
x x
f x x x
x
x
→+∞ →+∞
− = −






2 1
ηµ
= −





→
lim
t t
t
t0 2
1 1
ηµ
=
−
→
lim
t
t t
t0 2
ηµ 0
ή
0
 
µορϕ
 
=
−
→
lim
t
t
t0
1
2
συν 0
ή
0
 
µορϕ
 
=
−
=
→
lim .
t
t
0 2
0
ηµ
22-0182-02.indb 273 26/11/2013 4:18:06 μμ
274
ΓΕΝΙΚΕΣ ΑΣΚΗΣΕΙΣ 2ου
ΚΕΦΑΛΑΙΟΥ Γ’ ΟΜΑΔΑΣ
● Ομοίως, έχουμε
lim ( ( ) ) .
x
f x x
→−∞
− = 0
11. Α. i) H συνάρτηση ψ είναι παραγωγίσιμη στο R με
ψ′(x) = 2φ′(x)φ″(x) + 2φ(x)∙φ′(x)
= 2φ′(x)( φ″(x) + φ(x))
= 2φ′(x)∙0 (από υπόθεση)
= 0.
Επομένως, η ψ είναι σταθερή στο R. Επειδή
ψ ϕ ϕ( ) ( ( )) ( ( )) ,0 0 0 0 0 02 2
= ′ + = + =
είναι
ψ ( ) ,x = 0 x ∈R
ii) Επειδή ψ(x) = 0, είναι ( ( )) ( ( ))′ + =ϕ ϕx x2 2
0 για κάθε x ∈R. Άρα φ′(x) =
0 και φ(x) = 0 για κάθε x ∈R, οπότε
φ(x) = 0, για κάθε x ∈R.
Β. Είναι
′ = ′ −ϕ ( ) ( )x f x xσυν και
′′ = ′′ +ϕ ( ) ( ) .x f x xηµ
Άρα
′′ + = ′′ + + −ϕ ϕ( ) ( ) ( ) ( )x x f x x f x xηµ ηµ
= ′′ +f x f x( ) ( )
= 0 (από υπόθεση)
Επίσης
ϕ( ) ( )0 0 0 0= − =f ηµ
και
′ = ′ − = − =ϕ ( ) ( ) .0 0 0 1 1 0f συν
Επομένως η φ ικανοποιεί τις υποθέσεις (1) του ερωτήματος (Α).
Ομοίως, έχουμε:
′ = ′ +ψ ( ) ( )x g x xηµ
22-0182-02.indb 274 26/11/2013 4:18:09 μμ
275
ΓΕΝΙΚΕΣ ΑΣΚΗΣΕΙΣ 2ου
ΚΕΦΑΛΑΙΟΥ Γ’ ΟΜΑΔΑΣ
και
′′ = ′′ +ψ ( ) ( ) .x g x xσυν
Άρα,
′′ + = ′′ + + −ψ ψ( ) ( ) ( ) ( )x x g x x g x xσυν συν
= ′′ + =g x g x( ) ( ) 0 (από υπόθεση).
Επίσης
ψ ( ) ( )0 0 0 1 1 0= − = − =g συν
′ = ′ + =ψ ( ) ( ) .0 0 0 0g ηµ
Επομένως, η συνάρτηση y ικανοποιεί τις υποθέσεις (1) του ερωτήματος Α.
ii) Αφού οι συναρτήσεις φ, ψ ικανοποιούν τις υποθέσεις (1) του ερωτήματος
Α, σύμφωνα με το ερώτημα (Α), ισχύει φ(x) = 0 και ψ(x) = 0 για κάθε x ∈R,
οπότε f(x) = ημx και g(x) = συνx για κάθε x ∈R.
12. i) Οι συντεταγμένες του σημείου Μ είναι (συνθ,ημθ). Τα διανύσματα
ΡΜ = −( , )συν ηµθ θx και ΡΝ = −( , )1 x θ είναι συγγραμμικά.
Επομένως,
det( , )ΡΜ ΡΝ = ⇔
−
−
=0
1
0
συν ηµθ θ
θ
x
x
⇔ − − − =θ θ θ( ) ( )συν ηµx x1 0
⇔ − = −θ θ θ θ θσυν ηµ ηµx x
⇔ =
−
−
=x x
θ θ θ
θ θ
θ
συν ηµ
ηµ
( ).
ii) Έχουμε
lim ( ) lim
θ θ
θ
θ θ θ
θ θ→ →
=
−
−0 0
x
συν ηµ
ηµ
=
− −
−→
lim
θ
θ θ θ θ
θ0 1
συν ηµ συν
συν
=
−
−→
lim
θ
θ θ
θ0 1
ηµ
συν
=
− −
→
lim
θ
θ θ θ
θ0
ηµ συν
ηµ
22-0182-02.indb 275 26/11/2013 4:18:13 μμ
276
ΓΕΝΙΚΕΣ ΑΣΚΗΣΕΙΣ 2ου
ΚΕΦΑΛΑΙΟΥ Γ’ ΟΜΑΔΑΣ
=
− − +
→
lim
θ
θ θ θ θ
θ0
συν συν ηµ
συν
=
−
= −
2
1
2.
13. A. i) —Το μήκος s του τόξου ΑΠ είναι
s = = =2
2
2πρ
θ
π
θρ θ, οπότε
θ =
s
2
.
—Αν Ο∆ ΑΠ⊥ , από το τρίγωνο ΟΑΔ έχουμε
ηµ
θ
2 2
2
2 4
= = =
Α∆ l l/
οπότε
l = 4
2
ηµ
θ
.
ii) Επειδή ο πεζοπόρος βαδίζει με ταχύτητα υ = 4 km/h, τη χρονική στιγμή t
θα έχει διανύσει διάστημα s = 4t. Αφού θ =
l
2
, είναι
θ = =
4
2
2
t
t και l
t
t= =4
2
2
4ηµ ηµ .
Β. Είναι ′ =l t t( ) ,4συν οπότε:
α) Όταν θ
π
=
2
3
, είναι
t = =
2
3
2 3
π
π
και ′





 = = ⋅ =l
π π
3
4
3
4
1
2
2συν km/h.
β) Όταν θ = π, είναι
t =
π
2
και ′





 = =l
π π
2
4
2
0συν km/h
γ) Όταν θ
π
=
4
3
, είναι
t =
2
3
π
και ′





 = = −l
2
3
4
2
3
2
π π
συν km/h.
22-0182-02.indb 276 26/11/2013 4:18:18 μμ
277
ΓΕΝΙΚΕΣ ΑΣΚΗΣΕΙΣ 2ου
ΚΕΦΑΛΑΙΟΥ Γ’ ΟΜΑΔΑΣ
14. Έστω ότι ο αγρότης θα προσλάβει x εργάτες, και τον επιστάτη και έστω ότι
χρειάζονται t ώρες για να μαζευτούν οι ντομάτες.
Αφού κάθε εργάτης μαζεύει 125 κιλά ντομάτες την ώρα, σε t ώρες οι x εργάτες
θα μαζέψουν όλες τις ντομάτες.
Άρα 125 12500 100
100
xt xt t
x
= ⇔ = ⇔ = . (1)
Αν Κ είναι συνολικό κόστος για την εργασία, τότε έχουμε
Κ = ⋅ + + +6 10 10 1t x t x( ).
Έτσι, λόγω της (1), είναι
Κ ( ) ( )x
x
x
x
x= ⋅ ⋅ + ⋅ + +6
100
10
100
10 1
δηλαδή
Κ ( ) .x
x
x= + + +600
1000
10 10
Η συνάρτηση Κ είναι παραγωγίσιμη για x  0 με
′ = − + =
−
=
−
Κ ( )
( )
.x
x
x
x
x
x
1000
10
10 1000 10 100
2
2
2
2
2
Είναι ′ = ⇔ − = ⇔ =Κ ( ) ,x x x0 100 0 102
αφού x  0.
Το πρόσημο της Κ′, καθώς η μονοτονία και τα ακρότατα της Κ φαίνονται στον
πίνακα.
x 0 10 +∞
Κ′(x) – 0 +
Κ(x) K(10)
min
Άρα, για x = 10 η συνάρτηση έχει ελάχιστο, το
Κ ( ) .10 600
1000
10
10 11 810= + + ⋅ =
Επομένως, ο αγρότης πρέπει να προσλάβει 10 εργάτες. Το μικρότερο δυνατό
κόστος είναι 810 ευρώ, ενώ χρειάζονται t
x
= =
100
10 ώρες για να μαζευτούν
οι ντομάτες.
22-0182-02.indb 277 26/11/2013 4:18:20 μμ
22-0182-02.indb 278 26/11/2013 4:18:20 μμ
279
1. Έχουμε:
i) ( )x x x dx x dx xdx xdx3 3
+ + = + +∫ ∫ ∫ ∫ηµ συν ηµ συν
= − + +
x
x x c
4
4
συν ηµ
ii)
x x
x
dx xdx dx
x
dx
2
1
1
1+ +
= + +∫ ∫ ∫ ∫
= + + +
x
x x c
2
2
ln
iii) 3 3 3
3
2
1
6
5
3
2
3
2
1 5
2
x xdx x dx
x
c x c∫ ∫= =
+
+ = +
+
iv)
x
x
dx x dx xdx dx
3
28
2
2 4
+
+
= + +∫ ∫ ∫ ∫
= + + +
x
x x c
3
2
3
4
v) e
x
x dx e dx
dx
x
xdxx x
− +





 = − +∫ ∫ ∫∫
3
2 3 2συν συν
= − + ′∫ ∫∫e dx
dx
x
x dxx
3
1
2
2( )ηµ
= − + +e x x cx
3
1
2
2ln .ηµ
vi)
1 1 1 1
2 2 2 2
συν ηµ συν ηµx x
dx
x
dx
x
dx−





 = −∫ ∫ ∫
= + +εϕ σϕx x c
ΚΕΦΑΛΑΙΟ 3
ΟΛΟΚΛΗΡΩΤΙΚΟΣ ΛΟΓΙΣΜΟΣ
3.1 Α΄ ΟΜΑΔΑΣ
22-0182-02.indb 279 26/11/2013 4:18:24 μμ
280
3.1
vii)
x
x
dx
x
x
dx dx
dx
x
+
+
=
+ +
+
= +
+∫ ∫ ∫ ∫
3
2
2 1
2
1
2
= + + +x x cln .2
2. Επειδή ′ = +∫ f x dx f x c( ) ( ) , έχουμε διαδοχικά
1
x
dx f x c∫ = +( )
x dx f x c
−
∫ = +
1
2
( )
x
f x c
1
2
1
2
= +( ) ,
f x x c( ) .= −2
Επειδή f(9) = 1, έχουμε 2 9 1− =c , οπότε c = 5. Επομένως
f x x( ) .= −2 5
3. Επειδή ′′ = ′ +∫ f x dx f x c( ) ( ) , έχουμε διαδοχικά:
3dx f x c∫ = ′ +( ) ,
′ = −f x x c( ) .3
Επειδή ′ =f ( )1 6 έχουμε 3 – c = 6, οπότε c = – 3. Επομένως
′ = +f x x( ) .3 3
Επειδή ′ = +∫ f x dx f x c( ) ( ) , έχουμε διαδοχικά:
( ) ( )3 3x dx f x c+ = +∫
f x x x c( ) .= + −
3
2
32
Επειδή f(0) = 4 έχουμε
3
2
0 3 0 41⋅ + ⋅ − =c , οπότε c1 4= − . Επομένως
′ = + +f x x x( ) .
3
2
3 42
4. Έχουμε διαδοχικά:
′′ = ′ +∫ f x dx f x c( ) ( )
22-0182-02.indb 280 26/11/2013 4:18:30 μμ
281
3.1
( ) ( )12 22
x dx f x c+ = ′ +∫
4 23
x x f x c+ = ′ +( ) ,
′ = + −f x x x c( ) .4 23
Επειδή ′ =f ( ) ,1 3 έχουμε 4 + 2 – c = 3, οπότε c = 3. Επομένως
′ = + −f x x x( ) .4 2 33
Επίσης έχουμε διαδοχικά
′ = +∫ f x dx f x c( ) ( ) 1
( ) ( )4 2 33
1x x dx f x c+ − = +∫
x x x f x c4 2
13+ − = +( ) ,
f x x x x c( ) .= + − −4 2
13
Επειδή το Α(1,1) είναι σημείο της γραφικής παράστασης της f, έχουμε:
f c c( ) .1 1 1 1 3 1 21 1= ⇔ + − − = ⇔ = −
Επομένως
f x x x x( ) .= + − +4 2
3 2
5. Επειδή ′ =Ν ( ) ,t e
t
1
20
20
έχουμε διαδοχικά
′ = +∫Ν Ν( ) ( )t dt t c
1
20
20
e dt t ct/
( )∫ = +Ν
e t ct/
( )20
= +Ν
Ν ( ) /
t e ct
= −20
Επομένως, η αύξηση του πληθυσμού στα πρώτα 60 λεπτά, είναι ίση με:
Ν Ν( ) ( ) ( ) ( )/
60 0 1 1960 20 0 3
− = − − − = − ≅e c e c e εκατομ.
6. Αν Κ(x) το κόστος, σε ευρώ, της εβδομαδιαίας παραγωγής x, τότε ′ = +Κ ( ) ,x x x2
5
οπότε έχουμε
′ = +∫Κ Κ( ) ( )x dx x c
ή
( ) ( ) ,x x dx x c2
5+ = +∫ Κ
22-0182-02.indb 281 26/11/2013 4:18:35 μμ
282
3.1
οπότε
Κ ( ) .x
x
x c= + −
3
2
3
5
2
Από τα δεδομένα του προβλήματος έχουμε Κ(0) = 100, οπότε – c = 100 και άρα
c = – 100. Επομένως, η συνάρτηση κόστους της εβδομαδιαίας παραγωγής είναι:
Κ ( ) .x
x x
= + +
3 2
3
5
2
100
7. Έχουμε διαδοχικά:
′ = +∫R t dt R t c( ) ( )
20 10
3
4
2
+ −





 = +∫ t t dt R t c( ) ,
R t t t t c( ) .= + − −20 5
1
4
2 3
Προφανώς R(0) = 0, οπότε c = 0 και άρα R t t t t( ) .= + −20 5
1
4
2 3
Επομένως τα βαρέλια που θα αντληθούν στους πρώτους 8 μήνες είναι:
R( )8 20 8 5 8
1
4
8 160 5 8 2 8 3522 3 2 2
= ⋅ + ⋅ − = + ⋅ − ⋅ = χιλιάδες.
3.1 Β΄ ΟΜΑΔΑΣ
1. Επειδή ′ = − −
T t k e kt
( ) ,α έχουμε διαδοχικά:
′ = +∫T t dt T t c( ) ( )
− = +−
∫ k e dt T t ckt
α ( )
α ( ) ( ) ,e dt T t ckt−
′ = +∫
T t e ckt
( ) .= −−
α
Επειδή Τ(0) + α και T e c ck
( ) ,0 0
= − = −− ⋅
α α έχουμε
T c c T0 0+ = − ⇔ = −α α .
Επομένως
T t e Tkt
( ) .= +−
α 0
22-0182-02.indb 282 26/11/2013 4:18:40 μμ
283
3.1
2. Έχουμε διαδοχικά
′ = +∫P x dx P x c( ) ( )
5 8 2000
, ( )e dx P x c
x
−
∫ = +
5 8 2000 2000
, ( ) ( ) ( )⋅ − ′ = +
−
∫ e dx P x c
x
P x e c
x
( ) . .= − −
−
11 600 2000
Το συνολικό κέρδος που οφείλεται στην αύξηση της επένδυσης από 4.000.000
σε 6.000.000 είναι:
= − =
−





− −
11600 11600
12 3
3
( )e e
e
e
≅ ⋅ =11600 0 086 997 6, , χιλιάδες ευρώ = 997.600 ευρώ
3. Έστω P(t) το κέρδος της εταιρείας στις πρώτες t ημέρες. Τότε
Ρ(t) = Ε(t) – Κ(t),
οπότε
′ = ′ − ′ = + − + = +P t t t t t t( ) ( ) ( ) , , , .Ε Κ 1000 0 3 800 0 6 200 0 9
Έτσι έχουμε διαδοχικά:
′ = +∫P t dt P t c( ) ( )
( , ) ( )200 0 9+ = +∫ t dt P t c
P t t
t
c( ) , .= + +200 0 9
2
2
1
Το συνολικό κέρδος της εταιρείας από την 3
η
έως την 6
η
ημέρα είναι:
P P c c( ) ( ) , ,6 2 200 6 0 9
6
2
200 2 0 9
2
2
2
1
2
1− = ⋅ + + − ⋅ − −
= − =1216 2 401 8 814 4, , , ευρώ.
4. i) Από την ισότητα f ″(x) = g″(x) έχουμε διαδοχικά
′ = ′ +f x g x c( ) ( ) 1
f x g x c x c( ) ( ) .= + +1 2 (1)
22-0182-02.indb 283 26/11/2013 4:18:44 μμ
284
3.2
Για x = 0 είναι f(0) = g(0) + 0 + c2
, οπότε c2 = 0, αφού f(0) = g(0).
Επομένως
f x g x c x( ) ( ) .= + 1 (2)
Για x = l, από την (2), έχουμε f(1) = g(1) + c1
, οπότε c1 = 1, αφού f(1) = g(1)
+ 1. Έτσι από τη (2) προκύπτει
f x g x x( ) ( ) .= +
ii) H f(x) είναι συνεχής στο [α,β] και ισχύει
f g( ) ( )α α α α α= + = + = 0 0
f g( ) ( ) .β β β β β= + = + = 0 0
Άρα, f(α) f(β)  0, οπότε, σύμφωνα με το θεώρημα Bolzano, υπάρχει
τουλάχιστον μία ρίζα στο (α,β).
3.2 Α΄ ΟΜΑΔΑΣ
1. Έχουμε
i) x e dx x e dxx x2 2− −
∫ ∫= − ′( )
= − + = − − ′− − − −
∫ ∫x e xe dx x e x e dxx x x x2 2
2 2 ( )
= − − + = − − − +− − − − − −
∫x e xe e dx x e xe e cx x x x x x2 2
2 2 2 2
= − + + +−
e x x cx
( ) .2
2 2
ii) ( ) ( )( )3 2 1
1
2
3 2 12 2 2 2
x x e dx x x e dxx x
− + = − + ′∫ ∫
= − + − −∫
1
2
3 2 1
1
2
6 22 2 2
( ) ( )x x e x e dxx x
= − + − − ′∫
1
2
3 2 1
1
4
6 22 2 2
( ) ( )( )x x e x e dxx x
= − + − − + ∫
1
2
3 2 1
1
4
6 2
1
4
62 2 2 2
( ) ( )x x e x e e dxx x x
= − + − + + +
1
4
6 4 2 6 2
3
4
2 2 2
e x x x e cx x
( )
= − + +
1
4
6 10 72 2
e x x cx
( )
22-0182-02.indb 284 26/11/2013 4:18:49 μμ
285
3.2
iii) x xdx
x
xdx3
4
4
ln ln∫ ∫=






′
= − ′∫
x
x
x
x dx
4 4
4 4
ln (ln )
= − = − +∫
1
4
1
4
1
4 16
4 3 4
4
x x x dx x x
x
cln ln
iv) 2 2 22 2
x xdx x x dxηµ συν∫ ∫= ′( )
= − + ∫x x x xdx2
2 2 2συν συν
= − + ′∫x x x x dx2
2 2συν ηµ( )
= − + − ∫x x x x xdx2
2 2 2συν ηµ ηµ
= − + + +x x x x x c2
2 2
1
2
2συν ηµ συν
= − +





 + +x x x x c2 1
2
2 2συν ηµ
v) 4 2 2 2x xdx x x dxσυν ηµ∫ ∫= ⋅ ′( )
= − ∫2 2 2 2x x xdxηµ ηµ
= + +2 2 2x x x cηµ συν
vi) ln ( ) lnxdx x xdx∫ ∫= ′
= − = − +∫x x dx x x x cln ln1
vii)
ln
ln ln
lnx
x
dx
x
xdx
x
x
x
dx
x
x x
c2 2
1 1 1 1
∫ ∫ ∫= −






′
= − + = − − +
viii) I e xdx e x e xdxx x x
= = +∫ ∫συν συν ηµ2 2 2 2
= + − ∫e x e x e xdxx x x
συν ηµ συν2 2 2 4 2 .
22-0182-02.indb 285 26/11/2013 4:18:55 μμ
286
3.2
Άρα
I e x x Ix
= + −( )συν ηµ2 2 2 4
5 2 2 2I e x xx
= +( )συν ηµ
I e x x cx
= + +
1
5
2 2 2( ) .συν ηµ
2. i) Θέτουμε u = 3x, οπότε du = 3dx και άρα dx du=
1
3
. Επομένως,
ηµ ηµ συν συν3
1
3
1
3
1
3
3xdx udu u c x c∫ ∫= = − + = − +
ii) Θέτουμε u x x= − +4 16 72
, οπότε du x dx x dx= − = −( ) ( ) .8 16 8 2 Επομένως
( ) ( )4 16 7 2
1
8
1
8 4
2 3 3
4
x x x dx u du
u
c− + − = = +∫ ∫
= − + +
1
32
4 16 72 4
( ) .x x c
iii) Θέτουμε u = x2
+ 6x, οπότε du = (2x + 6)dx = 2(x + 3)dx. Επομένως,
x
x x
dx
du
u
u du
u
c
+
+
= = =
−
+∫ ∫ ∫
−
−
3
6
1
2
1
2
1
2 32 4 4
4
3
( )
= − + =
−
+
+
1
6
1 1
6 63 2 3
u
c
x x
c
( )
.
iv) Θέτουμε u = 2 + x
3
, οπότε du = 3x
2
dx. Επομένως,
x
x
dx
du
u
u du u c x c
2
3
1
2
1
2 3
1
2
2
1
3
1
3
2
3
2
3
2
+
= = = + = + +∫ ∫ ∫
−
( ) .
v) Θέτουμε u = x + l, οπότε du = dx και x = u – 1. Επομένως,
x x dx u udu u du u du+ = − = −∫ ∫ ∫ ∫1 1
3
2
1
2
( )
= − +
2
5
2
3
5
2
3
2
u u c
= −





 +2
1
5
1
3
3
2
u u c
22-0182-02.indb 286 26/11/2013 4:19:00 μμ
287
3.2
= + − +
2
15
1 3 2
3
2
( ) ( ) .x x c
3. i) Θέτουμε u = ex
, οπότε du = e
x
dx. Επομένως,
e e dx udu u c e cx x x
ηµ ηµ συν συν∫ ∫= = − + = − +
ii) Θέτουμε u = e
x
+ 1, οπότε du = e
x
dx. Επομένως,
e
e
dx
du
u
u c e c
x
x
x
+
= = + = + +∫ ∫1
1ln ln( )
iii) Θέτουμε u = ln x, οπότε du
x
dx=
1
. Επομένως,
dx
x x
du
u
u du
u
c
ln
= = = +∫ ∫∫
−
1
2
1
2
1
2
= + = +2 2u c x cln
iv) Θέτουμε u = ln(e
x
+ 1), οπότε du
e
e
dx
x
x
=
+1
. Επομένως,
e
e e
dx
du
u
u c
x
x x
( )ln( )
ln
+ +
= = +∫ ∫1 1
= + +ln ln( )e cx
1
= + +ln(ln( ))e cx
1
αφού ln(e
x
+ 1)  ln1 = 0.
v) Θέτουμε u
x
=
1
, οπότε du
x
dx= −
1
2
. Επομένως,
ηµ
ηµ συν συν
1
1
2
x
x
dx udu u c
x
c






= − = + = +∫ ∫ .
22-0182-02.indb 287 26/11/2013 4:19:04 μμ
288
3.2
3.2 Β΄ ΟΜΑΔΑΣ
1. i) Θέτουμε u x= +1 2
συν , οπότε du = – 2ημxσυνxdx ή du = – ημ2xdx. Επομένως,
ηµ
συν
συν
2
1
12
2x
x
dx
du
u
u c x c
+
= − = − + = − + +∫ ∫ ln ln( )
ii) Θέτουμε u = ln(συνx), οπότε du
x
x
dx xdx= − = −
ηµ
συν
εϕ . Επομένως,
εϕ συν συνx x dx udu
u
c x cln( ) [ln( )]∫ ∫= − = − + = − +
2
2
2
1
2
iii) Θέτουμε u = ημx, οπότε du = συνxdx. Επομένως,
συν ηµ ηµ
xe dx e du e c e cx u u x
∫ ∫= = + = + .
2. i) Θέτουμε u
x
x
=
+3
3
1
, οπότε du
x x x x
x
dx
x
dx=
⋅ − +
=
−3 3 1 32 3 2 3
6 4
( )
. Επομένως,
x
x x
dx udu u du
3
3 4
1
2
1 1 1
3
1
3
+
= − = −∫ ∫ ∫
= −
+
+ = − + = −
+




 +
+
1
3 1
2
1
1
3 3
2
2
9
1
1
2
1
3
2 3
3
3
2u
c
u
c
x
x
c.
ii) Θέτουμε u x= +2
1, οπότε du
x
x
dx
x
x
dx=
+
=
+
2
2 1 12 2
. Επομένως,
x
x
dx du u c x c
2
2
1
1
+
= = + = + +∫ ∫ .
iii) Θέτουμε u = x2
+1, οπότε du = 2xdx, οπότε έχουμε
x x dx udu u uduln( ) ln ( ) ln2
1
1
2
1
2
+ = = ′∫ ∫ ∫
= − ∫
1
2
1
2
u u duln
= − + = + + − + +
1
2
1
2
1
2
1 1
1
2
12 2 2
u u u c x x x cln ( )ln( ) ( ) .
22-0182-02.indb 288 26/11/2013 4:19:09 μμ
289
3.2
3. i) Έχουμε:
x x dx
x
x dx2 2
3
2
3
ln ln∫ ∫=






′
= − ′∫
x
x
x
x
x dx
3
2
3
2
2
3 3
1
ln ( )
= − = − +∫
1
3
2
3 3
2
9
3 2 2
3 2
3
x x x dx
x x
x cln
ln
3
x
ii) Έχουμε
(ln ) ( ) (ln ) (ln ) ln (ln )t dt t t dt t t t t t dt2 2 2
2∫ ∫ ∫= ′ = − ′
= − = − ′∫ ∫t t tdt t t t tdt(ln ) ln (ln ) ( ) ln2 2
2 2
= − + ∫t t t t t
t
dt(ln ) ln2
2 2
1
= − + +t t t t t c(ln ) ln2
2 2
iii) Θέτουμε u = e
x
, οπότε du = e
x
dx. Επομένως
e e dx e e e dx u udux x x x x2
συν συν συν∫ ∫ ∫= =
= ′ = −∫ ∫u u du u u udu( )ηµ ηµ ηµ
= + + = + +u u u c e e e cx x x
ηµ συν ηµ συν .
4. i) Έχουμε
εϕ
ηµ
συν
συν
συν
xdx
x
x
dx
x
x
dx∫ ∫ ∫= = −
′( )
= − +ln συνx c
και
x
x
dx x x dx x x xdx
συν
εϕ εϕ εϕ2∫ ∫ ∫= ′ = −( )
= + +x x x cεϕ συνln .1
ii) Θέτουμε u = ημx, οπότε du = συνxdx. Επομένως,
συν
ηµ ηµ
x
x
dx
du
u u
c
x
c2 2
1 1
∫ ∫= = − + = − + .
22-0182-02-b.indd 289 28/11/2013 2:08:04 μμ
290
3.2
Επίσης έχουμε
1 1
2 2 2
+
= +∫ ∫ ∫
συν
ηµ ηµ
συν
ηµ
x
x
dx
x
dx
x
x
dx
= − − +σϕ
ηµ
x
x
c
1
.
iii) Έχουμε
ηµ ηµ ηµ συν ηµ3 2 2
1xdx x xdx x xdx∫ ∫ ∫= = −( ) .
Θέτουμε u = συνx, οπότε du = – ημxdx. Επομένως,
ηµ3 2 2
1 1xdx u du u du du∫ ∫ ∫ ∫= − − = −( )
= − + = − +
u
u c
x
x c
3 2
3 3
συν
συν .
Επίσης έχουμε
συν συν συν ηµ συν3 2 2
1xdx x xdx x xdx∫ ∫ ∫= = −( ) .
Θέτουμε u = ημx, οπότε du = συνxdx. Επομένως,
συν ηµ
ηµ3 2
3 3
1
3 3
xdx u du u
u
c x
x
c∫ ∫= − = − + = − +( ) .
5. Έχουμε
i) ηµ
συν
συν2 1 2
2
1
2
1
2
2xdx
x
dx x xdx∫ ∫ ∫=
−
= −
= − +
1
2
1
4
2x x cηµ
ii) συν
συν
ηµ2 1 2
2
1
2
1
4
2xdx
x
dx x x c∫ ∫=
+
= + +
iii) ηµ συν ηµ2 2 21
4
2x xdx xdx∫ ∫=
=
−
∫
1
4
1 4
2
συν x
dx
= − ∫
1
8
1
8
4x xdxσυν
= − +
1
8
1
32
4x x cηµ .
22-0182-02.indb 290 26/11/2013 4:19:19 μμ
291
3.2
6. Έχουμε
i) ηµ συν ηµ ηµx xdx x x dx2
1
2
3∫ ∫= − +[ ( ) ]
= − +∫ ∫
1
2
1
2
3ηµ ηµxdx xdx
= − +
1
2
1
6
3συν συνx x c
ii) συν συν συν συν3 5
1
2
2 8x xdx x x dx∫ ∫= +( )
= +∫ ∫
1
2
2
1
2
8συν συνxdx xdx
= + +
1
4
2
1
16
8ηµ ηµx x c
iii) ηµ ηµ συν συν2 4
1
2
2 6x xdx x x dx∫ ∫= −( )
= − +
1
4
2
1
12
6ηµ ηµx x c.
7. i) Έχουμε:
2 3
3 2
3 2
3 2
3 22
2
2
2x
x x
dx
x x
x x
dx x x c
−
− +
=
− + ′
− +
= − + +∫ ∫
( )
ln .
ii) Έχουμε:
3 2
3 2
3 2
1 22
x
x x
x
x x
+
− +
=
+
− −( )( )
, x ∈ −{ , }.1 2R
Αναζητούμε πραγματικούς αριθμούς Α, Β έτσι ώστε:
3 2
1 2 1 2
x
x x x x
+
− −
=
−
+
−( )( )
,
Α Β
για κάθε x ∈ −{ , }.1 2R
Με απαλοιφή παρονομαστών έχουμε τελικά:
(Α + Β)x – (2Α + Β) = 3x + 2, για κάθε x ∈ −{ , }1 2R (1)
Η (1) ισχύει για κάθε x ∈ −{ , },1 2R αν και μόνο αν
Α Β
Α Β
Α
+ =
− − =



⇔ = −
3
2 2
5 και Β = 8.
22-0182-02.indb 291 26/11/2013 4:19:24 μμ
292
3.2
Επομένως
3 2
3 2
5
1
8
22
x
x x
dx
x
dx
x
dx
+
− +
=
−
−
+
−∫ ∫ ∫
= − − + − +5 1 8 2ln ln .x x c
iii) Από τη διαίρεση (x
3
– 2x):(x
2
+ 3x + 2) βρίσκουμε:
x x x x x x3 2
2 3 2 3 5 6− = + + − + +( )( )
οπότε
x x
x x
x
x
x x
3
2 2
2
3 2
3
5 6
3 2
−
+ +
= − +
+
+ +
(1)
Εξάλλου έχουμε:
5 6
3 2
5 6
1 22
x
x x
x
x x
+
− +
=
+
+ +( )( )
.
Αναζητούμε πραγματικούς αριθμούς Α, Β έτσι, ώστε
5 6
1 2 1 2
x
x x x x
+
+ +
=
+
+
+( )( )
Α Β
για κάθε x ∈ − − −{ , }.1 2R
Με απαλοιφή παρονομαστών, έχουμε τελικά
( ) .Α Β Α Β+ + + = +x x2 5 6 (2)
Η (2) ισχύει για κάθε x ∈ − − −{ , },1 2R αν και μόνο αν
Α Β
Α Β
Α
+ =
+ =



⇔ =
5
2 6
1 και Β = 4.
Επομένως λόγω και της (1) έχουμε:
x x
x x
dx x dx
dx
x x
dx
3
2
2
3 2
3
1
4
2
−
+ +
= − +
+
+
+∫ ∫ ∫ ∫( )
= − + + + + +
x
x x x c
2
2
3 1 4 2ln ln .
iv) Έχουμε
2
1 1 12
x x x−
=
−
+
+
Α Β
, για κάθε x ∈ − −{ , }.1 1R
Με απαλοιφή παρονομαστών έχουμε
(Α + Β)x + Α – Β = 2. (1)
22-0182-02.indb 292 26/11/2013 4:19:28 μμ
293
3.3
Η (1) ισχύει για κάθε x ∈ − −{ , },1 1R αν και μόνο αν
Α Β
Α Β
Α
+ =
− =



⇔ =
0
2
1 και Β = – 1.
Επομένως, έχουμε
2
1
1
1
1
1
1 12
x
dx
x
dx
x
dx x x c
−
=
−
−
+
= − − + +∫ ∫ ∫ ln ln .
3.3 Α΄ ΟΜΑΔΑΣ
1. i) Η εξίσωση γράφεται διαδοχικά:
dy
dx
xy= −4 2
dy
y
xdx2
4= −
dy
y
xdx2
4∫ ∫= −
− = − +
1
2 2
1
y
x c
y
x c
=
+
1
2 2
, c ∈R.
ii) Η εξίσωση γράφεται
y
dy
dx
x=
ydy xdx=
ydy xdx∫ ∫=
y x
c
2 2
1
2 2
= +
y x c2 2
12= +
y x c2 2
− = ,
y c x= + 2
, αφού y  0 (c ∈R).
22-0182-02.indb 293 26/11/2013 4:19:32 μμ
294
3.3
iii) Η εξίσωση γράφεται διαδοχικά:
1
2
xy
dy
dx
=
dy
y
xdx= 2
1
2
y
dy xdx∫ ∫=
ln y x c= +2
1
y ex c
= +2
1
y e ec x
= 1
2
y e ec x
= ± 1
2
y cex
=
2
, όπου c ec
= ± 1
.
iv) Η εξίσωση γράφεται διαδοχικά:
dy
dx
e xy
= −
συν
e dy xdxy
= συν
e dy xdxy
∫ ∫= συν
e x cy
= +ηµ
y x c= +ln( ),ηµ c∈ .R
2. i) Μία παράγουσα της α(x) = 2 είναι η Α(x) = 2x. Πολλαπλασιάζουμε και τα δύο
μέλη της εξίσωσης με e
2x
και έχουμε διαδοχικά:
′ + =y e e y ex x x2 2 2
2 3
( )ye ex x2 2
3′ =
( )ye dx e dxx x2 2
3′ =∫ ∫
ye e cx x2 23
2
= +
22-0182-02.indb 294 26/11/2013 4:19:37 μμ
295
3.3
y ce x
= + −3
2
2
, c∈ .R
ii) Μία παράγουσα της α(x) = 2 είναι η A(x) = 2x. Πολλαπλασιάζουμε με e2x
οπότε έχουμε διαδοχικά
′ + =y e ye ex x x2 2
2
( )ye ex x2
′ =
( )ye dx e dxx x2
′ =∫ ∫
ye e cx x2
= +
y e cex x
= +− −2
, c∈ .R
iii) Μία παράγουσα της α(x) = l είναι η A(x) = x. Πολλαπλασιάζουμε με e
x
, οπότε
έχουμε διαδοχικά
′ + = ⋅y e ye e xx x x
2
( )ye e xx x
′ = 2
( )ye dx e xdxx x
′ = ⋅∫ ∫2
ye c xe e dxx x x
+ = − ∫1 2 2
ye xe e cx x x
= − +2 2
y x ce x
= − + −
2 2 , c∈ .R
iv) Μία παράγουσα της α(x) = 2x είναι η A(x) = x
2
. Πολλαπλασιάζουμε ex2
,
οπότε έχουμε διαδοχικά
′ + =y e xe y xex x x2 2 2
2
( )ye xex x2 2
′ =
ye c xe dxx x2 2
1+ = ∫
ye e cx x2 21
2
= +
y ce x
= + −1
2
2
, c∈ .R
22-0182-02.indb 295 26/11/2013 4:19:42 μμ
296
3.3
3. Η εξίσωση γράφεται διαδοχικά:
dy
dx
x y= 2 2 2
dy
y
x dx2
2
2=
y dy x dx−
∫ ∫=2 2
2
− = +
1 2
3
3
1
y
x c
− =
+1 2 3
3
3
1
y
x c
y
x c
=
−
+
3
2 3
.
Επειδή y(0) = – 3, έχουμε
−
= −
3
3
c
, οπότε c = 1. Άρα
y
x
=
−
+
3
2 13
.
4. Η εξίσωση γράφεται y′ + 3y = 2. Μια παράγουσα της α(x) = 3 είναι η Α(x) = 3x,
οπότε έχουμε διαδοχικά
′ + =y e ye ex x x3 3 3
3 2
′ + ′ =y e y e ex x x3 3 3
2( )
( )ye ex x3 3
2′ =
( )ye dx e dxx x3 3
2′ =∫ ∫
ye e cx x3 32
3
= +
y
c
e x
= +
2
3 3
.
Επειδή y( )0
2
3
= έχουμε
2
3
2
3 0
= +
c
e
, οπότε c = 0. Άρα y =
2
3
.
22-0182-02.indb 296 26/11/2013 4:19:46 μμ
297
3.3
5. i) Μια παράγουσα της α( )x
x
=
1
2
συν
είναι η Α(x) = εφx. Πολλαπλασιάζουμε
με e xεϕ
, οπότε έχουμε διαδοχικά:
′ + =y e e
x
y
x
ex x xεϕ εϕ εϕ
συν συν
1 1
2 2
2
1
( )x x
ye e
x
εϕ εϕ
′ =
συν
ye c e
x
dxx xεϕ εϕ
συν
+ = ∫1 2
1
ye c e x dxx xεϕ εϕ
εϕ+ = ′∫1 ( )
ye e cx xεϕ εϕ
= +
y ce x
= + −
1 εϕ
.
Επειδή y(0) = – 3, έχουμε – 3 = 1 + c, οπότε c = – 4. Άρα
y
e x
= −1
4
εϕ
.
ii) Επειδή x  0, είναι x + l  0, οπότε η εξίσωση γράφεται
′+
+
=
+
y
x
y
x
x
1
1
1
1
ln .
Μία παράγουσα της α( )x
x
=
+
1
1
είναι η Α(x) = ln(x + 1). Πολλαπλασιάζουμε
με e xxln( )
,+
= +1
1 οπότε έχουμε διαδοχικά
′⋅ + + =y x y x( ) ln1
( ( )) lny x x+ ′ =1
y x c xdx( ) ln+ + = ∫1 1
y x x x x c( ) ln+ = − +1
y
x x x c
x
=
− +
+
ln
.
1
Επειδή y(1) = 10, έχουμε
− +
=
1
2
10
c
, οπότε c = 21. Επομένως
y
x x x
x
=
− +
+
ln
.
21
1
22-0182-02.indb 297 26/11/2013 4:19:52 μμ
298
3.3
3.3 Β΄ ΟΜΑΔΑΣ
1. Μία παράγουσα της α(t) = 1 είναι η A(t) = t. Πολλαπλασιάζουμε τα μέλη της
εξίσωσης με et
και έχουμε διαδοχικά:
′ + =I t e I t e e tt t t
( ) ( ) ηµ
( ( ) )I t e e tt t
′ = ηµ
I t e c e tdtt t
( ) + = ∫1 ηµ (1)
Εξάλλου έχουμε
e tdt e t e tdtt t t
ηµ ηµ συν∫ ∫= −
= − +


∫e t e t e tdtt t t
ηµ συν ηµ ,
οπότε
2 1e tdt e t t ct t
ηµ ηµ συν∫ = − +( ) .
Άρα
e tdt e t t ct t
ηµ ηµ συν∫ = − +
1
2
( ) ,
οπότε από την (1) προκύπτει ότι
I t e e t t ct t
( ) ( ) .= − +
1
2
ηµ συν
Για t = 0 έχουμε
I e e c( ) ( )0
1
2
0 00 0
= − +ηµ συν
0
1
2
= − + c
c =
1
2
.
Έτσι, τελικά είναι
I t e e t tt t
( ) ( )= − +
1
2
1
2
ηµ συν
I t t t e t
( ) ( ) .= − + −1
2
1
2
ηµ συν
22-0182-02.indb 298 26/11/2013 4:19:56 μμ
299
3.3
2. Η εξίσωση γράφεται διαδοχικά:
ye
dy
dx
ey x2
2
=
ye dy e dxy x2
2
=
Άρα
ye dy e dxy x2
2
∫ ∫=
1
2
1
2
2
2
1e e cy x
= +
e e cy x2
2
12= +
e e cy x2
2
= + , c∈ .R
Επειδή y(2) = 2, έχουμε e
4
= e
4
+ c, οπότε c = 0. Επομένως e ey x2
2
= , οπότε y
2
=
2x και άρα y x= 2 , αφού περνάει από το σημείο Α(2,2).
3. Μία παράγουσα
1
( )x
x
α = − είναι η Α( ) ln .x x= − Πολλαπλασιάζουμε με
e e
x
x x−
= =ln
ln
,
1
1
οπότε έχουμε διαδοχικά
′ − =y
x x
y x
x
1 1 1
2
y
x
⋅






′
=
1
1
y
x
x c⋅ = +
1
y x cx= +2
, c∈ .R
4. Ισχύει y′ = xy, y  0, οπότε έχουμε διαδοχικά:
dy
y
xdx=
dy
y
xdx∫ ∫=
ln ,y
x
c= +
2
1
2
y  0
22-0182-02.indb 299 26/11/2013 4:20:01 μμ
300
3.3
y e
x
c
=
+
2
1
2
y c e
x
= ⋅
2
2
, c ec
= 1
0.
Εξάλλου ισχύει y(0) = 1, οπότε c = 1. Άρα
y e
x
=
2
2
.
5. i) Μία παράγουσα της α(t) = α είναι η A(t) = αt, οπότε έχουμε διαδοχικά
′ + = ⋅−
y e e y e et t t tα α λ α
α β
( ) ( )
ye et tα α λ
β′ = −
ye c e dtt tα α λ
β+ = −
∫1
( )
ye e ct tα α λβ
α λ
=
−
+−( )
y e
c
e
t
t
=
−
+−β
α λ
λ
α
.
Άρα
y t
e
c
et t
( ) ,=
−
+
β
α λ λ α
1
, c∈ .R
ii) Επειδή α  0, λ  0 ισχύει lim
t t
e→+∞
=
1
0λ
και lim ,
t t
c
e→+∞
=α
0 οπότε
lim ( ) .
t
y t
→+∞
= 0
6. Επειδή θ – Τ  0 η εξίσωση γράφεται διαδοχικά:
d
dt
θ
θ
κ
−
= −
Τ
d
t c
θ
θ
κ
−
= − +∫ Τ
1,
ln( )θ κ− = − +Τ t c1
θ κ
− = − +
Τ e t c1
θ κ
( ) ,t T ce t
= + −
c ec
= 1
.
22-0182-02.indb 300 26/11/2013 4:20:06 μμ
301
3.3
Εξάλλου
θ θ θ θ( ) .0 0 0
0
0= ⇔ = + ⋅ ⇔ = −T c e c T
Άρα
θ θ κ
( ) ( ) .t T T e t
= + − −
0
7. i) Έστω Ρ1
(t) ο πληθυσμός της χώρας, αν δεν υπήρχε η μετανάστευση και
P2
(t) ο πληθυσμός που έχει μεταναστεύσει μέχρι τη χρονική στιγμή t. Τότε ο
πληθυσμός της χώρας είναι
P t P t P t( ) ( ) ( )= −1 2
οπότε
′ = ′ − ′P t P t P t( ) ( ) ( ).1 2 (1)
Είναι όμως
P t k P t1
′ = ⋅( ) ( ), k  0,
αφού έχουμε ρυθμό αύξησης του Ρ1
(t) ανάλογο του P(t).
Επίσης είναι P t m2
′ =( ) , οπότε η (1) γράφεται
′ = −P t kP t m( ) ( ) ,
ή ισοδύναμα
′− = −P kP m.
Μία παράγουσα της α(t) = – k είναι η A(t) = – kt. Πολλαπλασιάζουμε με e
–kt
τα μέλη της εξίσωσης, οπότε έχουμε διαδοχικά:
′ − = −− − −
P e ke P mekt kt kt
( )Pe mekt kt− −
′ = −
Pe c m e dtkt kt− −
+ = − ∫1
Pe
m
k
e ckt kt− −
= +
P t
m
k
cekt
( ) .= +
Επειδή P(0) = P0
, έχουμε P
m
k
c0 = + , οπότε c P
m
k
= −0 . Άρα
22-0182-02.indb 301 26/11/2013 4:20:10 μμ
302
3.3
P t
m
k
P
m
k
ekt
( ) ,= + −





0 k  0
iii) Είναι
′ = −P t kP m ekt
( ) ( )0
— αν m  kP0
τότε P′(t)  0, οπότε ο πληθυσμός αυξάνεται.
— αν m  kP0
τότε P′(t)  0, οπότε ο πληθυσμός μειώνεται.
— αν m = kP0
τότε P′(t)  0, οπότε ο πληθυσμός είναι σταθερός.
8. i) Ο όγκος του νερού της δεξαμενής τη χρονική στιγμή t είναι
V t r y t y t( ) ( ) ( ),= =π π2
όπου r = 1m η ακτίνα του κυλίνδρου, οπότε
′ = ′V t y t( ) ( ).π
Εξάλλου έχουμε
− = − ⋅ = −α π π2 0 1 20 0 02 52
gy y y, , .
Έτσι ο νόμος του Torricelli γράφεται
π π′ = −y y0 02 5, ,
ή ισοδύναμα
′ = −y y
5
50
(1)
ii) Προφανώς το y = 0 αποτελεί λύση της (1). Για y  0 η εξίσωση γράφεται
dy
y
dt= −
5
50
,
οπότε έχουμε διαδοχικά:
y dy t c−
∫ =
−
+1 2 5
50
/
2
5
50
1 2
y t c/
=
−
+
y t
c1 2 5
100 2
/
=
−
+
y t
c
=
−
+






5
100 2
2
.
22-0182-02.indb 302 26/11/2013 4:20:14 μμ
303
3.3
Όμως ισχύει y(0) = 36dm, οπότε 36
2
2
=






c
, συνεπώς c = 12. Άρα
y t t( ) = − +






5
100
6
2
iii) H δεξαμενή αδειάζει τελείως, όταν y(t) = 0. Έτσι έχουμε:
y t t t( ) = ⇔ − + = ⇔ = = =0
5
100
6 0
600
5
600
5
5 120 5 sec.
9. Η Ε = 0 αποτελεί μία προφανή λύση της διαφορικής εξίσωσης.
Για Ε  0 η εξίσωση γράφεται διαδοχικά:
d
RC
dt
Ε
Ε
= −
1
ln Ε = − +
1
1
RC
t c
Ε ( )t e
t
RC
c
=
− + 1
Ε ( ) ,t k e
t
RC
= ⋅
−
k ec
= 1
.
Εξάλλου
Ε Ε Ε Ε( ) .t ke k e
t
RC
t
RC
1 0 0 0
1 1
= ⇔ = ⇔ =
−
Άρα
E t E e
t t
RC
( ) .=
−
0
1
10. i) α) Αν αντικαταστήσουμε τις τιμές των R, L και Ε, κανόνας του Kirchhoff
γράφεται
4 12 60,I I′ + =
ή ισοδύναμα
′ = +I I3 15. (1)
Μία παράγουσα της α(t) = 3 είναι η A(t) = 3t. Πολλαπλασιάζουμε τα μέλη
(1) με e
3t
, οπότε έχουμε διαδοχικά:
′ + =I e e I et t t3 3 3
3 15
( )Ie et t3 3
15′ =
22-0182-02.indb 303 26/11/2013 4:20:18 μμ
304
3.3
Ie c e dtt t3
1
3
5 3+ = ∫
Ie e ct t3 3
5= + .
I t
c
e t
( ) .= +5 3
β) Είναι
lim ( ) lim .
t t t
I t
c
e→+∞ →+∞
= +





 =5 53
Από την ισότητα lim ( )
t
I t
→+∞
= 5 συμπεραίνουμε ότι για «μεγάλες» τιμές του t η
ένταση γίνεται σταθερή και η γραφική παράσταση της y = I(t) έχει ασύμπτωτη
την ευθεία y = 5.
ii) Αν Ε = 60ημ3t ο κανόνας του Kirchhoff γράφεται διαδοχικά:
′+ =I I t3 15 3ηµ
′ + =I e e I e tt t t3 3 3
3 15 3ηµ
( )Ie e tt t3 3
15 3′ = ηµ
Ie c e tdtt t3
1
3
5 3 3+ = ∫ ηµ . (2)
Θέτουμε J e tdtt
= ∫3 33
ηµ , οπότε
J e tdt e t e tdtt t t
= ′ = −∫ ∫( )3 3 3
3 3 3 3ηµ ηµ συν
= − ′∫e t e tdtt t3 3
3 3ηµ συν( )
= − +


∫e t e t e tdtt t t3 3 3
3 3 3 3ηµ συν ηµ
= − −e t t Jt3
3 3 3( ) .ηµ συν
Άρα
J e t t ct
= − +
1
4
3 33
1( ) ,ηµ συν c1 ∈ .R
Λόγω της (2) έχουμε
Ie e t t ct t3 35
4
3 3= − +( )ηµ συν
Άρα
I t t t
c
e t
( ) ( ) .= − +
5
4
3 3 3
ηµ συν
22-0182-02.indb 304 26/11/2013 4:20:24 μμ
305
3.4
3.4 Α΄ ΟΜΑΔΑΣ
1. Έχουμε
i) f x dx f x dx( ) ( )
4
3
3
4
11∫ ∫= − = −
ii) f x dx f x dx f x dx f x dx f x dx( ) ( ) ( ) ( ) ( )
4
8
4
1
1
8
1
4
1
8
9 13 4∫ ∫ ∫ ∫ ∫= + = − + = − + =
iii) f x dx f x dx f x dx f x dx( ) ( ) ( ) ( )
1
3
1
4
4
3
3
4
9 9 11 2∫ ∫ ∫ ∫= + = − = − = −
iv) f x dx f x dx f x dx f x dx( ) ( ) ( ) ( )
3
8
3
4
4
1
1
8
∫ ∫ ∫ ∫= + +
= − + = − =∫11 13 24 9 15
1
4
f x dx( ) .
2. Έχουμε
ln (ln ln ) ln ln .
1
1
1 1 1
1t
dt t dt tdt tdt
ε ε ε
ε
∫ ∫ ∫ ∫= − = − =
3. Η ισότητα
x
x
dx
x
dx
k
k
2
21 2
14
1
5
1
3
−
+
−
+
=∫ ∫ γράφεται διαδοχικά:
x
x
dx
x
dx
k k
2
21 21
4
1
5
1
3
−
+
+
+
=∫ ∫
x
x
dx
k
2
21
4 5
1
3
− +
+
=∫
1 3
1
dx
k
∫ =
( )k − =1 3
k = 4.
4. Έχουμε
i) [ ( ) ( )] ( ) ( ) ( )2 6 2 6 2 5 6 2 22
1
3
1
3
1
3
f x g x dx f x dx g x dx− = − = ⋅ − ⋅ − =∫ ∫ ∫
ii) [ ( ) ( )] ( ) ( )2 2
3
1
3
1
3
1
f x g x dx f x dx g x dx− = −∫ ∫ ∫
= − +∫ ∫2
1
3
1
3
f x dx g x dx( ) ( )
= − ⋅ − = −2 5 2 12.
22-0182-02.indb 305 26/11/2013 4:20:30 μμ
306
3.5
3.5 Α΄ ΟΜΑΔΑΣ
1. Έχουμε
i) ( ) [ ] [ ] [ ]3 2 1 2 2 2 0 0 0 62
0
2
3 2
0
2 3 2 3 2
x x dx x x x− + = − + = − + − − + =∫
ii)
x
x
dx
x
x x
dx
dx
x
x dx
e e ee+
=
+
= +∫ ∫ ∫∫
−1 1
31 1
3
2
11
= +
−










= − −






−
[ln ] ln lnx
x
e
x
e
e
e
1
1
22
1
1
1
2
1
2
= − −





 = −1
2 2
1
3
2
e e
iii) ( ) ( ) [ ]συν ηµ ηµ συν ηµ συνx x dx x x dx x x− = + ′ = +∫ ∫2 2 2
0
2
0
2
0
2
π π π
= + − − = − = −ηµ συν ηµ συν
π π
θ
2
2
2
0 2 1 2 1
iv) x
x
dx x
x
dx x dx x dx dx+





 = + +





 = + +∫ ∫ ∫ ∫
−1 1
2 2
2
1
2
2
21
2
2
1
2
2
1
2
1
22
∫
=





 +
−





 + − =





 −





 +
−
x x x
x
3
1
2 1
1
2 3
1
2
1
2
3 1
2 2 1
3
1
2( )
= − − −





 + =
8
3
1
3
1
2
1 2
29
6
.
2. Έχουμε
x x
x
dx
x
x
dx
x x
x
dx
x
x
dx
3
21
2
22
1
3
21
2
21
27
5
2
5
7
5
2
5
+
+
+
+
=
+
+
−
+∫ ∫ ∫ ∫
=
+
+
= =





 = − =∫ ∫
x x
x
dx xdx
x3
21
2
1
2
2
1
2
5
5 2
4
2
1
2
3
2
.
3. Έχουμε:
22-0182-02.indb 306 26/11/2013 4:20:36 μμ
307
3.5
2 2 2
f x f x dx f x f x dx f x dx( ) ( ) ( ) ( ) [( ( )) ]′ = ′ = ′∫ ∫ ∫α
β
α
β
α
β
= = −[( ( )) ] ( ( )) ( ( )) .f x f f2 2 2
α
β
β α
4. Επειδή η γραφική παράσταση της f διέρχεται από τα σημεία (0,0) και (1,1) έχουμε
f(0) = 0 και f(1) = 1. Επομένως σύμφωνα με το θεμελιώδες θεώρημα είναι:
′ = = − = − =∫ f x dx f x f f( ) [ ( )] ( ) ( ) .
0
1
0
1
1 0 1 0 1
5. i) Θέτουμε u = συνx, οπότε, έχουμε:
′ = −( )′
∫F x t dt
x
( ) 1 2
1
συν
= − ⋅ ′ = − ⋅ − = − ⋅1 12 2
συν συν συν ηµ ηµ ηµx x x x x x( ) ( ) .
ii) Η F(x) γράφεται
Έχουμε
= − ⋅ =
−συν συνx
x x
x
x
1
2 2
.
6. i) Έχουμε:
′ =
+ +( )′
+ +
=
+
+
+ +
=
+ +
+
+ +
=f x
x x
x x
x
x
x x
x x
x
x x x
( )
2
2
2
2
2
2
2 2
1
1
1
2
2 1
1
1
1
1
1
++1
ii) Αν χρησιμοποιήσουμε το ερώτημα i) έχουμε:
dx
x
f x dx f x f f
1
1 0
2 0
1
0
1
0
1
+
= ′ = = −∫∫ ( ) [ ( )] ( ) ( )
= +( )− +( )= +( )ln ln ln .1 2 0 1 1 2
22-0182-02.indb 307 26/11/2013 4:20:40 μμ
308
3.5
3.5 Β΄ ΟΜΑΔΑΣ
1. Έχουμε διαδοχικά:
d
dx
tg t dt
d
dx
x x
x
( ) ( )
0
4 6
∫( )= +
xg x x x( ) .= +4 63 5
Επομένως, για x = 1 έχουμε l∙g(l) = 4∙1
3
+ 6∙1
5
, οπότε g(1) = 10.
2. Η f(x) γράφεται:
f x e dt e dt e dt e dtt
x
t
x
t
x
t
x
( ) = + = − +∫ ∫ ∫
+
συν συν συν συν2
0
2
0
1
2
0
2
0
π π π π
++
∫
1
,
οπότε έχουμε:
′ = − + = − ++ +
f x e e e ex x x x
( ) ( ) ( )συν συν συν συν2 2 1 2 2 2π π π π π
= − + =e ex xσυν συν2 2
0π π
.
Αυτό σημαίνει ότι η f είναι σταθερή.
3. Έχουμε:
′ =
−
−
f x
x
ex
( )
2
2
και τον πίνακα
x −∞ 2 +∞
f′(x) – 0 +
f(x) 0
min
Η f είναι γνησίως φθίνουσα στο ( , ]−∞ 2 , γνησίως αύξουσα στο [ , )2 +∞ και
παρουσιάζει ελάχιστο στο x0 = 2, το f(2) = 0.
4. Είναι
′ = ( )′
∫F x x f t dt
x
( ) ( )
0
= +∫ f t dt xf x
x
( ) ( ).
0
5. Έχουμε:
22-0182-02.indb 308 26/11/2013 4:20:44 μμ
309
3.5
′ =
+
+
−
+
F x
x
x
x
( )
1
1
1
1
12
2
2
=
+
−
+
=
1
1
1
1
02 2
x x
.
Αυτό σημαίνει ότι η συνάρτηση F είναι σταθερή.
F(x) = c, x ∈ +∞( , ).0
Είναι όμως, F
t
dt
t
dt( ) .1
1
1
1
1
021
1
21
1
=
+
+
+
=∫ ∫ Επομένως
F(x) = 0, x ∈ +∞( , ).0
6. Έχουμε:
lim lim
h
h
h
h
h
t dt
t dt
h→
+
→
+
⋅ + =
+
∫
∫
0
2
2
2
0
2
2
2
1
5
5 0
ή
0
 
µορϕ 
 
=
+( )′
′→
+
∫
lim
( )h
h
t dt
h0
2
2
2
5
(κανόνας De L’Hospital)
= + +
→
lim ( )
h
h
0
2
5 2
= =9 3.
7. i) Θέτουμε u x= −2
4, οπότε du = 2xdx. Τα νέα όρια ολοκληρώσεως είναι
u1
2
4 4 12= − = και u2
2
6 4 32= − = . Επομένως,
x
x
dx
du
u
u
24
6
12
32
1
2
12
32
4
1
2
1
2 1
2
32 12 4 2 2 3
−
= =










= − = −∫ ∫
ii) Έχουμε
[ ( ) ( )] ( )[ ] .ηµ συν ηµ ηµ συν ηµ συν ηµx x x x x dx x x x dx+ − + = + −∫ ∫0
2
0
2
1
π π
22-0182-02.indb 309 26/11/2013 4:20:49 μμ
310
3.5
Θέτουμε u = συνx + x, οπότε du x dx= − −( ) .ηµ 1 Τα νέα όρια είναι u1 = συν0
+ 0 = 1 και u2
2 2 2
= + =συν
π π π
. Επομένως,
ηµ συν ηµ ηµ( )[ ]x x x dx udu+ − = −∫∫ 1
0
2
0
2
ππ
= = − = −[ ] .συν συν συν συνu 1
2
2
1 1
π
π
8. i) Έχουμε:
x x dx x x dx x x dx2
0
2
2
0
1
2
1
2
1 1 1− −( ) = + − + − +∫ ∫ ∫( ) ( )
= + −





 + − +






x x
x
x x
x
3 2
0
1 3 2
1
2
3 2 3 2
= + − + − + =
1
3
1
2
1
7
3
3
2
1
5
3
ii) Η f είναι συνεχής στο [–π,π] οπότε έχουμε
f x dx xdx xdx
x
x( ) [ ]
− −
−
∫ ∫ ∫= + =





 −
π
π
π
π
π
π
0
0
2 0
0
2
ηµ συν
= − − − = − +
π
π
π2 2
2
0
2
2( ) .συν συν
iii) Το τριώνυμο x x2
3 2− + έχει ρίζες τους αριθμούς 1 και 2 και το πρόσημό του
φαίνεται στον πίνακα:
x −∞ 1 2 +∞
x x2
3 2− + + 0 – 0 +
Επομένως έχουμε:
x x dx x x dx x x dx x x dx2
0
3
2
0
1
2
1
2
2
2
3
3 2 3 2 3 2 3 2− + = − + + − + − + − +∫ ∫ ∫ ∫( ) ( ) ( )
= − +





 + − + −





 + − +





x
x x
x
x x
x
x x
3
2
0
1 3
2
1
2 3
2
3
3
2
2
3
3
2
2
3
3
2
2 
2
3
= − +





 + − + − + −





 + − + − + −





 =
1
3
3
2
2
8
3
6 4
1
3
3
2
27
3
27
2
6
8
3
6 4
111
6
.
22-0182-02.indb 310 26/11/2013 4:20:56 μμ
311
3.5
9. i) Με ολοκλήρωση κατά παράγοντες έχουμε:
ln ln
ln
x
x
dx
x
x
dx x xdx
e e e
1 1 1
2 2 2
2
2
2∫ ∫ ∫= = ( )′
= 


 − ∫2 2
1
1 1
2 2
x x x
x
dx
e e
ln
= − − ∫2 2 1 4
1
2
2
1
2
e e
x
dx
e
ln ln
= − 


 = − − =4 4 4 4 1 4
1
2
e x e e
e
( ) .
ii) Με ολοκλήρωση κατά παράγοντες έχουμε:
xe dx x e dx xe e dxx x x x− − − −
∫ ∫ ∫= − ′ = − +
0
1
0
1
0
1
0
1
( ) [ ]
= − − = − − −





 = − =
−− −
e e
e e e
e
e
x1
0
1 1 1
1 1
2 2
[ ]
iii) Θέτουμε u = 9 + x
2
, οπότε du = 2xdx, u1 = 9 και u2 = 10. Επομένως:
x x dx udu u uduln( ) ln ( ) ln9
1
2
1
2
2
0
1
9
10
9
10
+ = = ′∫ ∫ ∫
=





 − = − − −∫
u u
du
ln ln ln
( )
2
1
2
10 10
2
9 9
2
1
2
10 9
9
10
9
10
= − −5 10
9
2
9
1
2
ln ln .
iv) Με ολοκλήρωση κατά παράγοντες έχουμε:
I e xdx e x dxx x
= = ′∫ ∫συν ηµ2
1
2
2
0
2
0
2
π π
( )
= − ⋅∫
1
2
2
1
2
20
2
0
2
[ ]e x x e dxx x
ηµ ηµ
π π
= + ′∫0
1
4
2
0
2
e x dxx
( )συν
π
=





 − ∫
1
4
2
1
4
2
0
2
0
2
e x e xdxx x
συν συν
π
π
22-0182-02.indb 311 26/11/2013 4:21:01 μμ
312
3.5
= − −
1
4
1
4
0
1
4
2 0
e e I
π
πσυν συν ,
οπότε
5
4
1
4
1
4
1
5
12 2
I e I e= − − ⇔ = − +
π π
( ).
10. Έχουμε:
I J x xdx x xdx x x x dx+ = + = +∫ ∫ ∫ηµ συν ηµ συν2
0
2 2
0
2 2 2
0
2
π π π
( )
= =





 =∫ xdx
x
0
2
2
0
2 2
2 8
π
π
π
.
Επίσης
I J x x x dx x xdx− = − = −∫ ∫( )ηµ συν συν2 2
0
2
0
2
2
π π
= − ′ = − +∫ ∫
1
2
2
1
2
2
1
2
2
0
2
0
2
0
2
x x dx x x xdx( ) [ ]ηµ ηµ ηµ
π π π
= −





 =
1
2 2
0
1
4
2 0
2
π
π
π
ηµ συν[ ]x
= − − = − − − =
1
4
0
1
4
1 1
1
2
( ) ( ) .συν συνπ
Αν λύσουμε το σύστημα
I J
I J
+ =
− =






π 2
8
1
2
βρίσκουμε
I = +
π 2
16
1
4
και J = −
π 2
16
1
4
.
11. Επειδή f ″ συνεχής έχουμε:
f x xdx f x xdx( ) ( ) .ηµ ηµ
0 0
2
π π
∫ ∫+ ′′ = (1)
Όμως είναι:
′′ = ′ − ′ ′∫ ∫f x xdx f x x f x x dx( ) [ ( ) ] ( )( )ηµ ηµ ηµ
0 0 0
π
π
π
22-0182-02.indb 312 26/11/2013 4:21:07 μμ
313
3.6
= − ′∫ f x xdx( )συν
0
π
= − + ′∫[ ( ) ] ( )( )f x x f x x dxσυν συν0 0
π
π
= + − ∫f f f x xdx( ) ( ) ( )π
π
0
0
ηµ
= + − ∫1 0
0
f f x xdx( ) ( )ηµ
π
Έτσι, η σχέση (1) γράφεται
f x xdx f f x xdx( ) ( ) ( ) ,ηµ ηµ
0 0
1 0 2
π π
∫ ∫+ + − =
οπότε f(0) = 1.
12. Επειδή οι f ″ και g″ είναι συνεχείς έχουμε
I f x g x f x g x dx= ′′ − ′′∫ ( ( ) ( ) ( ) ( ))
α
β
= ′′ − ′′∫ ∫f x g x dx f x g x dx( ) ( ) ( ) ( )
α
β
α
β
= ′ − ′ ′ − ′ + ′ ′∫[ ( ) ( )] ( ) ( ) [ ( ) ( )] ( ) ( )f x g x f x g x dx f x g x f x g x dxα
β
α
β
α
β
α
ββ
∫
= ′ − ′ − ′ − ′f g f g f g f g( ) ( ) ( ) ( ) [ ( ) ( ) ( ) ( )]β β α α β β α α
= ′ − ′f g f g( ) ( ) ( ) ( ),β β β β (αφού f (α) = g(α) = 0)
( ) ( ) ( ) ( ),f β g β g β g β′ ′= − (αφού ′ = ′f g( ) ( )β β )
= ′ −g f g( )( ( ) ( )).β β β
3.6 Α΄ ΟΜΑΔΑΣ
1. Έχουμε:
0 1 1 1
0
1
0
1
0
1
0
1
= − = − = −∫ ∫ ∫ ∫( ( ) ) ( ) ( ) ,f x dx f x dx dx f x dx
οπότε
f x dx f x dx f( ) ( ) .
0
1
0
1
1
1
1 0
1 1∫ ∫= ⇔
−
= ⇔ =
2. Έχουμε:
22-0182-02.indb 313 26/11/2013 4:21:12 μμ
314
3.6
0 = − = − = − −∫ ∫ ∫ ∫( ( ) ) ( ) ( ) ( ),f x k dx f x dx kdx f x dx k
α
β
α
β
α
β
α
β
β α
οπότε
f x dx k f x dx k f k( ) ( ) ( ) .
α
β
α
β
β α
β α∫ ∫= − ⇔
−
= ⇔ =
1
3. Έστω η συνάρτηση f(x) = x, x ∈[ , ].α β Τότε η μέση τιμή x του x στο [α,β] είναι:
x f xdx
x
x
= =
−
=
−





 =
−
−





∫
1 1 1
2 2
2 2 2
β α β α β α
β α
α
β
α
β
=
−
−
=
+1
2 2
2 2
β α
β α α β
.
3.6 Β΄ ΟΜΑΔΑΣ
1. Έχουμε:
f x dx=
−
=
−
−
=
+ +
∫
1 1
3 3
2
3 3 2 2
β α β α
β α α αβ β
α
β
και
g
x
dx
x
=
−
=
−
−




 =
−
−





∫
1 1 1 1 1 1 1
2
β α β α β α α βα
β
α
β
=
−
−
=
1 1
β α
β α
αβ αβ
,
οπότε
f g⋅ =
+ +
⋅ =
+ +α αβ β
αβ
α αβ β
αβ
2 2 2 2
3
1
3
.
Έτσι, έχουμε να δείξουμε ότι:
α αβ β
αβ
α αβ β αβ
2 2
2 2
3
1 3
+ +
 ⇔ + + 
⇔ − +  ⇔ − α αβ β α β2 2 2
2 0 0( ) ,
που ισχύει. Επομένως είναι f g⋅ 1.
2. α) Έχουμε:
22-0182-02.indb 314 26/11/2013 4:21:17 μμ
315
3.7
υ υ= = − = −∫ ∫ ∫
1 1
4 40
2 2
0
2 2
0R
r dr
R
P
n
R r dr
P
Rn
R r dr
R R R
( ) ( ) ( )
 
= − −
















P
Rn
R R
r
R
4
0
3
2
3
0

( )
= −






P
Rn
R
R
4 3
3
3

= =
P
Rn
R PR
n4
2
3 6
3 2
 
.
β) Εξάλλου έχουμε:
′ = − =
−
υ ( ) ( )
Pr
,r
P
n
r
n4
2
2
0
 
για κάθε r R∈( , ).0
Όμως η υ υ= ( )r είναι συνεχής στο [0,R], οπότε θα είναι γνησίως φθίνουσα
στο [0,R]. Επομένως η μέγιστη ταχύτητα είναι:
υ υµεγ = =( ) .0
4
2
PR
n
Προφανώς ισχύει υ υµεγ  .
3. Έχουμε
f x dx f( ) ( ).
0
1
1∫ = (1)
Επιπλέον, σύμφωνα με το Θεώρημα Μέσης Τιμής υπάρχει ένα τουλάχιστον
ξ ∈( , )0 1 τέτοιο, ώστε
f x dx f( ) ( ).
0
1
∫ = ξ (2)
Από (1) και (2) προκύπτει ότι f(ξ) = f(1), οπότε στο διάστημα [ξ,1] ισχύουν οι
προϋποθέσεις του θεωρήματος Rolle. Άρα, υπάρχει τουλάχιστον ένα x0 1∈( , )ξ
τέτοιο, ώστε f′(x0
) = 0. Επομένως η Cf
έχει τουλάχιστον μία οριζόντια εφαπτομένη.
3.7 A΄ ΟΜΑΔΑΣ
1. Το τριώνυμο f x x x( ) = − +2
2 3 έχει διακρίνουσα Δ = – 8  0, οπότε ισχύει
f(x)  0 για κάθε x ∈ .R Επομένως το εμβαδόν που ζητάμε είναι:
22-0182-02.indb 315 26/11/2013 4:21:22 μμ
316
3.7
Ε = − + = − +





 = − + =∫ ( )x x dx
x
x x2
0
2
3
2
0
2
2 3
3
3
8
3
4 6
14
3
τετρ. μον.
2. i) Για κάθε x ∈ +∞[ , )0 ισχύει f x x( ) .= ≥3
0 Επομένως το εμβαδόν που ζητάμε
είναι:
Ε = =










= = ( ) =∫ xdx
x
x3
0
27
4
3
0
27
4
3
0
27 3
4 5
4
3
3
4
3
4
27
3
4
[ ] τ.μ.
ii) Για κάθε x ∈





0
3
,
π
ισχύει f x
x
( ) .= 
1
02
συν
Επομένως το εμβαδόν που
ζητάμε είναι
Ε = = = − =∫
1
3
0 320
3
0
3
συν
εϕ εϕ εϕ
x
dx x
π π
π
[ ] τ.μ.
3. Οι τετμημένες των σημείων τομής της Cf
και του άξονα x′x είναι οι ρίζες της
εξίσωσης x
2
– 3x = 0, δηλαδή οι αριθμοί 0 και 3.
Επειδή f(x)  0 για κάθε x ∈[ , ],0 3 έχουμε:
Ε = = −∫ ∫f x dx f x dx( ) ( )
0
3
0
3
= − − = − −





∫ ( )x x dx
x x2
0
3
3 2
0
3
3
3
3
2
= −





 = ⋅ − =
3
2 3
3
2
9
27
3
9
2
2
3
0
3
x
x
τ.μ.
4. Οι τετμημένες των σημείων τομής των γραφικών παραστάσεων Cf
και Cg
είναι
οι ρίζες της εξίσωσης f(x) = g(x), που γράφεται:
f x g x x x x( ) ( )= ⇔ = −3 2
2
⇔ + − =x x x( )2
2 0
⇔ =x 0 ή x = 1 ή x = −2.
y x – 3x2
O 3
3
2
9
4
y
x
=
22-0182-02.indb 316 26/11/2013 4:21:27 μμ
317
3.7
Το πρόσημο της διαφοράς
f x g x x x x x x x( ) ( ) ( )( )− = + − = − +3 2
2 1 2
φαίνεται στον παρακάτω πίνακα:
x −∞ –2 0 1 +∞
f(x) – g(x) – 0 + 0 – 0 +
Επομένως το εμβαδόν που ζητάμε είναι:
Ε = −
−∫ f x g x dx( ) ( )
2
1
= − + −
−∫ ∫( ( ) ( )) ( ( ) ( ))f x g x dx g x f x dx
2
0
0
1
= + − + − −
−∫ ∫( ) ( )x x x dx x x x dx3 2
2
0
2 3
0
1
2 2
= + −





 + − −






−
x x
x x
x x4 3
2
2
0
2
3 4
0
1
4 3 3 4
= − + + + − − = − =4
8
3
4 1
1
3
1
4
10
3
1
4
37
12
τ.μ.
5. Οι τετμημένες των σημείων τομής των γραφικών
παραστάσεων των συναρτήσεων f(x) = 4 – x2
και
g(x) = x – 2 είναι οι ρίζες της εξίσωσης f(x) = g(x),
που γράφεται
f x g x x x( ) ( )= ⇔ − = −4 22
⇔ + − =x x2
6 0
⇔ = −x 3 ή x = 2.
Το πρόσημο της διαφοράς
f x g x x x( ) ( )− = − − +2
6
φαίνεται στον παρακάτω πίνακα.
x −∞ –3 2 +∞
f(x) – g(x) – 0 + 0 –
Επομένως το εμβαδόν που ζητάμε είναι:
22-0182-02.indb 317 26/11/2013 4:21:31 μμ
318
3.7
Ε = −
−∫ f x g x dx( ) ( )
3
2
= − − + = − − +





−
−
∫ ( )x x dx
x x
x2
3
2
3 2
3
2
6
3 2
6
= − − +





 − − −





 = + =
8
3
4
2
12
27
3
9
2
18 20
5
6
125
6
τ.μ.
3.7 Β΄ ΟΜΑΔΑΣ
1. i) Επειδή f′(x) = 6x έχουμε f′(1) = 6, οπότε η εξίσωση της εφαπτομένης στο
Α(1,3) είναι:
ε : ( )y x y x− = − ⇔ = −3 6 1 6 3
ii) Η ε τέμνει τον άξονα x′x στο σημείο
Β
1
2
0, .





 Επομένως, το εμβαδόν που ζητάμε
είναι:
Ε = + = + − +∫ ∫ε ε1 2
2
0
1
2 2
1
2
1
3 3 6 3x dx x x dx( )
= + − +[ ] [ ]x x x x3
0
1
2 3 2
1
2
1
3 3
= + − + − − +





 =
1
8
1 3 3
1
8
3
4
3
2
1
4
τ.μ.
2. Επειδή
lim ( ) lim ( ) ( ),
x x
f x f x f
→ →− +
= =
1 1
1
η συνάρτηση f είναι συνεχής και στο σημείο
1, οπότε αυτή είναι συνεχής σε όλο το R.
Είναι φανερό, επιπλέον, ότι f x( ) ≥ 0 για κάθε
x ∈ −[ , ].1 2 Επομένως το ζητούμενο εμβαδόν
είναι:
22-0182-02.indb 318 26/11/2013 4:21:35 μμ
319
3.7
Ε = = − + +
− −∫ ∫ ∫f x dx x dx xdx( ) ( )
1
2
2
1
1
1
2
3 2
= − +





 +









−
x
x
x3
1
1
3
2
1
2
3
3 2
3
2
= − + − −





 + −( )1
3
3
1
3
3
4
3
2 13
= +4
8
3
2 τ.μ.
3. Οι τετμημένες των σημείων τομής της
Cf
και του άξονα x′x είναι οι ρίζες της
εξίσωσης f(x) = 0, δηλαδή οι αριθμοί 1
και
5
2
. Στο 1
5
2
,





 η f είναι και συνεχής
και ισχύει f x( ) .≥ 0 Επομένως το
ζητούμενο εμβαδόν είναι:
Ε = ∫ f x dx( )
1
5
2
= − + − + − +∫ ∫( ) ( )x x dx x dx2
1
2
2
5
2
4 3 2 5
= − + −





 + − + 
x
x x x x
3
2
1
2
2
2
5
2
3
2 3 5
= − + − − − + −





 + − +





 − − + =
8
3
8 6
1
3
2 3
25
4
25
2
4 10
11
12
( ) τ.μ.
4. Οι τετμημένες των
σημείων τομής των Cf
και Cg
είναι οι ρίζες της
εξίσωσης f(x) = g(x),
που γράφεται
22-0182-02.indb 319 26/11/2013 4:21:39 μμ
320
3.7
f x g x x
x
( ) ( )= ⇔ − =
+
1
1
3
⇔ − =
+
x
x
1
1
9
2
( )
⇔ − + =x x2
7 10 0
⇔ =x 2 ή x = 5.
Εξάλλου, για x ≥ 1 έχουμε:
f x g x x
x
( ) ( )≥ ⇔ − ≥
+




1
1
3
2
⇔ − + ≤x x2
7 10 0
⇔ ≤ ≤2 5x .
Επομένως, το ζητούμενο εμβαδόν είναι:
Ε = − −
+




 = − − +∫ ∫ ∫x
x
dx x dx x dx1
1
3
1
1
3
1
2
5
2
5
2
5
( ) .
Στο 1° ολοκλήρωμα θέτουμε u = x – 1, οπότε du = dx, u1 = 1, u2 = 4 και έτσι έχουμε:
Ε = − +





 =










− + − −


∫ u du
x
x
u1
2
1
4
2
2
5
3
2
1
4
1
3 2 3
2
1
3
25
2
5 2 2



= −( )− +





 =
2
3
4 1
1
3
25
2
1
1
6
3
τ.μ.
5. i) Έχουμε f(e) = l = g(e). Άρα το
σημείο A(e,l) είναι κοινό σημείο
των γραφικών παραστάσεων
Cf
και Cg
των συναρτήσεων f
και g. Επειδή η f είναι γνησίως
φθίνουσα, ενώ η g γνησίως
αύξουσα, οι Cf
και Cg
έχουν
ένα μόνο κοινό σημείο το Α.
Επομένως το ζητούμενο εμβαδόν
Ε(λ) ισούται με
22-0182-02.indb 320 26/11/2013 4:21:43 μμ
321
3.7
Ε ( ) ln .λ
λ
= +∫ ∫xdx
e
x
dx
e
e1
Είναι όμως
ln ( ) lnxdx x xdx
e e
1 1∫ ∫= ′
= − ∫[ ln ]x x dxe
e
1 1
= − − =e e eln ( ) .1 1
Άρα
Ε ( ) ln [ln ]λ
λ
λ
= + = +∫ ∫xdx
e
x
dx e x
e
e e1
1
= + − = + −1 1 1e e e eln ln (ln ).λ λ
ii) Επομένως,
lim ( ) lim [ (ln )]
λ λ
λ λ
→+∞ →+∞
= + −Ε 1 1e
= − + = +∞
→+∞
( ) lim (ln ) .1 e e
λ
λ
6. Η τετμημένη του Α είναι η λύση της
εξίσωσης 3
x
= 3, που είναι ο αριθμός 1.
Η τετμημένη του Β είναι η λύση του
συστήματος
y x
y
=
=


 3
, που είναι ο αρι-
θμός 3.
Το ζητούμενο εμβαδόν είναι ίσο με:
( ) ( )3 3 3
2
3
20
1
1
3
0
1
2
0
1 2
1
3
x x
x dx x dx dx
x
x
x
− + − = −





 + −





∫ ∫ ∫
= − + − − +






1
3
3
1
2
9
9
2
3
1
2
0
1
ln
[ ]x
= − + − = +
1
3
3 1 6
9
2
2
3
3
2ln
[ ]
ln
τ.μ.
22-0182-02.indb 321 26/11/2013 4:21:48 μμ
322
3.7
7. Η τετμημένη του σημείου Α είναι ρίζα
της εξίσωσης
x x x2 2
2 2 1− + = − ,
που είναι ο αριθμός x =
3
2
. Επομένως,
το ζητούμενο εμβαδόν είναι ίσο με:
Ε = − − + − + − +∫ ∫ ∫( ) ( ) ( )x dx x dx x x dx2
0
1
2
1
3
2 2
3
2
2
1 1 2 2
= − −





 + −





 + − +






x
x
x
x
x
x x
3
0
1 3
1
3
2 3
2
3
2
2
3 3 3
2
= − −





 +





 − − +








+ − + −






1
3
1
1
3
3
2
3
2
1
3
1
8
3
4 4
1
3
3
2
3 33 2
3
2
2
3
2
+





 −














=
7
4
τ.μ.
8. i) Οι εξισώσεις των εφαπτομένων ε1
και ε2
της Cf
στα σημεία Ο και Α
αντιστοίχως είναι:
ε1 0 0 0: ( ) ( )( )y f f x− = ′ −
και ε π π π2 : ( ) ( )( )y f f x− = ′ −
Επειδή f′(x) = συνx έχουμε:
f′(0) = 1 και f′(π) = – 1,
οπότε
ε1 : y x= και ε π2 : .y x= − +
ii) Η τετμημένη του σημείου τομής Β των ε1
και ε2
είναι η ρίζα της εξίσωσης x
= – x + π, δηλαδή ο αριθμός x =
π
2
. Επομένως το ζητούμενο εμβαδόν είναι:
22-0182-02.indb 322 26/11/2013 4:21:52 μμ
323
3.7
Ε = − + − + −∫ ∫( ) ( )x x dx x x dxηµ ηµ
0
2
2
π
π
π
π
= +





 +
−
+ +






x
x
x
x x
2
0
2 2
2
2 2
συν συν
π
π
π
π
= + − − + + + − −
π π π
π π
π π π2 2
2
2 2
8 2
0
2 8 2 2
συν συν συν συν
= −
π 2
4
2.
9. α) Έχουμε
′ =f x
x
( ) ,
1
2
x ∈ +∞( , ),0
οπότε ′ =f ( )1
1
2
και η εξίσωση της
εφαπτομένης ε είναι:
y x y x− = − ⇔ = +1
1
2
1
1
2
1
2
( )
Η ε τέμνει τον άξονα x′x στο σημείο με τετμημένη –1. Επομένως το ζητούμενο
εμβαδόν είναι:
Ε = +





 + + −





−∫ ∫
1
2
1
2
1
2
1
21
0
0
1
x dx x x dx
= +





 + + −









−
x
x
x x x2
1
0 2
3
2
0
1
4
1
2 4 2
2
3
= − + + + − =
1
4
1
2
1
4
1
2
2
3
1
3
τ.μ.
β) Εξετάζουμε αρχικά αν υπάρχει ευθεία x = α με α ∈ −[ , ]1 0 η οποία χωρίζει το
χωρίο (Α) του (α) ερωτήματος σε δύο ισοεμβαδικά χωρία. Δηλαδή αν υπάρχει
τιμή του α ∈ −[ , ]1 0 τέτοια, ώστε να ισχύει:
1
2
1
2 2 4 2
1
61
2
1
0
x dx
x x
+





 = ⇔ +





 =
−
−
∫
α Ε
22-0182-02.indb 323 26/11/2013 4:21:58 μμ
324
3.7
⇔ + − + = ⇔ + + =
α α
α α
2
2
4 2
1
4
1
2
1
6
3 6 1 0.
Η τελευταία εξίσωση έχει ρίζες τους αριθμούς α1
3 6
3
=
− +
και α2
3 6
3
=
− −
.
Από αυτούς μόνο ο α1
ανήκει στο διάστημα [–1,0]. Επομένως η ζητούμενη
ευθεία έχει εξίσωση:
x =
− +3 6
3
.
Αν εργαστούμε ανάλογα για α ∈[ , ],0 1 βρίσκουμε ότι δεν υπάρχει άλλη ευθεία
x = α που να χωρίζει το χωρίο Α σε δύο ισοεμβαδικά χωρία. Αυτό, άλλωστε,
ήταν αναμενόμενο.
10. Έχουμε
g x x x( ) ln ln ln ,= − = −1
που σημαίνει ότι η Cg
είναι συμμετρική
της Cf
ως προς τον άξονα x′x.
Η τετμημένη του Α είναι ρίζα της
εξίσωσης ln ln ,
1
2
x
= που είναι ο
αριθμός x =
1
2
. Η τετμημένη του Β
είναι ρίζα της εξίσωσης ln x = ln2,
που είναι ο αριθμός x = 2. Επομένως
το ζητούμενο εμβαδόν είναι:
Ε = −





 + −∫ ∫ln ln (ln ln )2
1
21
2
1
1
2
x
dx x dx
= −





 + + − −∫ ∫ln ln ln ( ) ln2 1
1
2
2 2 11
2
1
1
2
xdx xdx
= + − + − +∫ ∫
1
2
2 1 2 11
2
1
1
2
1
1
2
1
2
ln [ ln ] ln [ ln ]x x dx x x dx
= + − − −





 + − + + −
1
2
2 1 1
1
2
1
2
1
1
2
2 2 2 1 1 2 1ln ln ln ln ln ln
22-0182-02.indb 324 26/11/2013 4:22:02 μμ
325
3.7
= + − − +
1
2
2
1
2
2
1
2
2 1ln ln ln
=
1
2
.
11. i) Έχουμε f(0) = 2 και f′(x) = 2x – 3.
Από τον τύπο ′ = +∫ f x dx f x c( ) ( ) έχουμε διαδοχικά
( ) ( )2 3x dx f x c− = +∫
x x f x c2
3− = +( )
f x x x c( ) .= − −2
3
Είναι όμως,
f c c( ) .0 2 2 2= ⇔ − = ⇔ = −
Επομένως,
f x x x( ) .= − +2
3 2
ii) Οι τετμημένες των σημείων τομής της
Cf
με τον άξονα x′x είναι οι ρίζες της
εξίσωσης x x2
3 2 0− + = δηλαδή x1
= 1 και x2 = 2. Επειδή x x2
3 2 0− +  ,
όταν x ∈( , ),1 2 το ζητούμενο εμβαδόν
είναι:
Ε = − − + = − − +





∫ ( )x x dx
x x
x2
1
2
3 2
1
2
3 2
3
3
2
2
= − − ⋅ + ⋅





 + − +





 =
8
3
3
2
4 2 2
1
3
3
2
2
1
6
τ.μ.
12. i) Η Cf
τέμνει τον άξονα των x στα σημεία Α(1,0) και Β(3,0).
Επειδή ′ = − + ′ = −f x x x x( ) ( ) ,2
4 3 2 4 έχουμε
f′(1) = – 2 και f′(3) = 2.
Επομένως, η εξίσωση της εφαπτομένης στο Α(1,0) είναι:
y f f x y x− = ′ − ⇔ = − +( ) ( )( )1 1 1 2 2
ενώ η εξίσωση της εφαπτομένης στο Β(3,0) είναι:
22-0182-02.indb 325 26/11/2013 4:22:07 μμ
326
ΓΕΝΙΚΕΣ ΑΣΚΗΣΕΙΣ Γ’ ΟΜΑΔΑΣ
y f f x y x− = ′ − ⇔ = −( ) ( )( )3 3 3 2 6
ii) Η τετμημένη του σημείου τομής Γ των εφαπτομένων είναι λύση της εξίσωσης
− + = −2 2 2 6x x δηλαδή ο αριθμός x = 2. Επομένως το σημείο τομής τους
είναι το Γ(2, –2).
Λόγω της συμμετρίας του σχήματος έχουμε:
● ε1
2
1
2
2 4 3= − − +∫ ( )x x dx
= − − +





2
3
2 3
3
2
1
2
x
x x
= − − ⋅ + ⋅ − + −





 =2
8
3
2 4 3 2
1
3
2 3
4
3
και
● ε2
2
1
2
2
1
2
2 4 3 2 2 2 2 1= − + + − = − +∫ ∫( ) ( )x x x dx x x dx
= − +





 = − + − + −





 =2
3
2
8
3
4 2
1
3
1 1
2
3
3
2
1
2
x
x x .
Άρα
ε
ε
1
2
4
3
2
3
2= = .
ΓΕΝΙΚΕΣ ΑΣΚΗΣΕΙΣ Γ΄ ΟΜΑΔΑΣ
1. i) Θέτουμε u = π – x, οπότε du = – dx, u1 = π, u2 = 0. Έτσι έχουμε:
I xf x dx u f u du= = − − −∫ ∫( ) ( ) ( ( ))ηµ ηµ
0
0π
π
π π
= − +∫ ∫π
π π
f u du uf u du( ) ( )ηµ ηµ
0 0
= −∫π
π
f u du I( ) .ηµ
0
Επομένως 2
0
I f u du= ∫π
π
( ) ,ηµ οπότε I f x dx= ∫
π π
2 0
( ) .ηµ
22-0182-02.indb 326 26/11/2013 4:22:12 μμ
327
ΓΕΝΙΚΕΣ ΑΣΚΗΣΕΙΣ Γ’ ΟΜΑΔΑΣ
ii) Σύμφωνα με το ερώτημα (i) έχουμε:
I
x x
x
dx
x
x
dx
x
x
dx1 20 20 203 2 3 2 4
=
+
=
+
=
−∫ ∫ ∫
ηµ
ηµ
ηµ
ηµ
ηµ
συν
π π ππ π
.
Θέτουμε u = συνx, οπότε du = – ημxdx. Επομένως:
I
du
u
du
u
1 21
1
21
1
2 4 2 4
= −
−
=
−
− −
∫ ∫
π π
.
Αναζητούμε α β, ∈R τέτοια, ώστε να ισχύει:
1
4 2 22
u u u−
=
−
+
+
α β
ή,
ισοδύναμα, ( ) ( ) ,α β α β+ + − =u 2 1 για κάθε u ∈ − −{ , }.2 2R
Η τελευταία ισχύει για κάθε u ∈ − −{ , },2 2R αν και μόνο αν
α β
α β
α
+ =
− =



⇔ =
0
2 1
1
4( )
και β = −
1
4
.
Επομένως
I
u
du
u
du1 1
1
1
1
2
1
4
2 2
1
4
2
=
−
+
−
+
− −
∫ ∫
π π
= −  − + 
− −π π
8
2
8
21
1
1
1
ln lnu u
= − − −
π π
8
3 1
8
1 3(ln ln ) (ln ln )
= + =
π π π
8
3
8
3
4
3ln ln ln .
2. i) Αναζητούμε α, β τέτοια ώστε
1
1 1 12
x x x−
=
−
+
+
α β
ή, ισοδύναμα,
1 = + + −( ) ( ),α β α βx για κάθε x ∈ − −{ , }.1 1R
Η τελευταία ισχύει για κάθε x ∈ − −{ , },1 1R αν και μόνο αν
α β
α β
α
+ =
− =



⇔ =
0
1
1
2
και β = −
1
2
.
Έτσι τελικά έχουμε:
dx
x
dx
x
dx
x
x x20
1
2
0
1
2
0
1
2
0
1
2
1
1
2 1
1
2 1
1
2
1
1
2
1
−
=
−
−
+
= −  − +∫ ∫ ∫ ln ln 0
1
2
22-0182-02.indb 327 26/11/2013 4:22:19 μμ
328
ΓΕΝΙΚΕΣ ΑΣΚΗΣΕΙΣ Γ’ ΟΜΑΔΑΣ
= −





 − −






1
2
1
2
1
1
2
3
2
1ln ln ln ln
= −





 = =
1
2
1
2
3
2
1
2
1
2
3
2
1
2
1
3
ln ln ln ln
= = −ln ln .
1
3
3
ii) Έχουμε:
1
13
2
2
3
2
2
3
2
ηµ
ηµ
ηµ
ηµ
συνx
dx
x
x
dx
x
x
dxπ
π
π
π
π
π
∫ ∫ ∫= =
−
.
Θέτουμε u = συνx, οπότε du xdx= −ηµ , u1
3
1
2
= =συν
π
και u2
2
0= =συν
π
.
Επομένως
1
1 1
3
3
2
21
2
0
20
1
2
ηµx
dx
du
u
du
u
π
π
∫ ∫ ∫= −
−
= −
−
= ln (από i)).
3. Για u ≠ –1, –2 αναζητούμε α β, ∈R τέτοιους, ώστε:
1
1 2 1 2( )( )u u u u+ +
=
+
+
+
α β
ή, ισοδύναμα,
1 2 1= + + +α β( ) ( ),u u για κάθε u ≠ –1, –2
( ) ,α β α β+ + + − =u 2 1 0 για κάθε u ≠ –1, –2
Η τελευταία ισχύει για κάθε u ∈ − − −{ , },1 2R αν και μόνο αν
α β
α β
α
β
+ =
+ =






⇔
=
= −



0
2 1
1
1
.
Επομένως
1
1 2 1 2( )( )u u
du
du
u
du
u+ +
=
+
−
+∫ ∫ ∫
= + − + +ln lnu u c1 2
22-0182-02.indb 328 26/11/2013 4:22:24 μμ
329
ΓΕΝΙΚΕΣ ΑΣΚΗΣΕΙΣ Γ’ ΟΜΑΔΑΣ
i) Θέτουμε u = ημx, οπότε du = συνxdx. Επομένως
συν
ηµ ηµ
x
x x
dx
du
u u( )( ) ( )( )+ +
=
+ +∫ ∫1 2 1 2
= + − + +ln lnu u c1 2
= + − + +ln lnηµ ηµx x c1 2
ii) Θέτουμε u = e
x
, οπότε du = e
x
dx. Έτσι έχουμε
e
e e
dx
du
u u
e e c
x
x x
x x
( )( ) ( )( )
ln ln
+ +
=
+ +
= + − + +∫ ∫1 2 1 2
1 2
= + − + +ln( ) ln( ) .e e cx x
1 2
4. i) Έχουμε:
I I
t
t
dt
t
t
dtν ν
ν ν
+ =
+
+
+
+
+ +
∫ ∫1
2 1
20
1
2 3
20
1
1 1
=
+
+
=
+
+
∫ ∫
t t
t
dt t dt
2 1 2
20
1
2 1
0
11
1
ν
ν( )
=
+





 =
+
+
t2 2
0
1
2 2
1
2 2
ν
ν ν
ii) I
t
t
dt
t
t
dt0 20
1
2
20
1
1
1
2
1
1
=
+
=
+ ′
+∫ ∫
( )
( )
= + = − =
1
2
1
1
2
2 1
1
2
22
0
1
[ln( )] (ln ln ) ln .t
Εξάλλου από το ερώτημα i) έχουμε I I0 1
1
2 0 2
1
2
+ =
⋅ +
= , οπότε
I I1 0
1
2
1
2
1
2
2
1
2
1 2= − = − = −ln ( ln ).
Επίσης είναι I I2 1
1
2 1 2
+ =
⋅ +
, οπότε
I I2 1
1
4
1
4
1
2
1
2
2
1
2
2
1
4
= − = − + = −ln ln .
5. Θέτουμε g(x) το 1° μέλος και h(x) το 2° μέλος και έχουμε:
22-0182-02.indb 329 26/11/2013 4:22:30 μμ
330
ΓΕΝΙΚΕΣ ΑΣΚΗΣΕΙΣ Γ’ ΟΜΑΔΑΣ
● ′ = −( )′
∫ ∫g x x f u du uf u du
x x
( ) ( ) ( )
0 0
= + − =∫ ∫f u du xf x xf x f u du
x x
( ) ( ) ( ) ( )
0 0
και
● ′ = ∫h x f t dt
x
( ) ( ) .
0
Δηλαδή ισχύει g′(x) = h′(x) για κάθε x ∈ .R Επομένως, υπάρχει σταθερά c τέτοια
ώστε g(x) = h(x) + c ή, ισοδύναμα,
f u x u du f t dt du c
x ux
( )( ) ( ) ,− = ( ) +∫ ∫∫0 00
για κάθε x ∈ .R
Για x = 0 έχουμε:
f u u du f t dt du c c c
u
( )( ) ( )0 0 0 0
0
0
00
0
− = ( ) + ⇔ = + ⇔ =∫ ∫∫
οπότε έχουμε:
f u x u du f t dt du
x ux
( )( ) ( ) .− = ( )∫ ∫∫0 00
6. i) ● Η συνάρτηση g u u( ) = −2
1 έχει πεδίο ορισμού το σύνολο
Α = −∞ − ∪ +∞( , ] [ , ).1 1
Άρα, για να ορίζεται η f πρέπει τα άκρα 1, t να ανήκουν στο ίδιο διάστημα
του Α. Άρα πρέπει t ∈ +∞[ , ),1 οπότε το πεδίο ορισμού της f είναι το [ , ).1 +∞
Για να ορίζεται, τώρα, η F πρέπει τα άκρα 1, x να ανήκουν στο διάστημα
[ , )1 +∞ που είναι το πεδίο ορισμού της f . Άρα πρέπει x ∈ +∞[ , ),1 οπότε το
πεδίο ορισμού της F είναι το [ , ).1 +∞
ii) ● Έχουμε
′ = = −∫F x f x u du
x
( ) ( ) 2
1
1
οπότε
′′ = ′ = −F x f x x( ) ( ) .2
1
Επειδή F″(x)  0 στο ( , )1 +∞ και F″(1) = 0, η F′ είναι γνησίως αύξουσα στο
[ , ),1 +∞ οπότε:
22-0182-02.indb 330 26/11/2013 4:22:36 μμ
331
ΓΕΝΙΚΕΣ ΑΣΚΗΣΕΙΣ Γ’ ΟΜΑΔΑΣ
● η F είναι κυρτή στο [ , )1 +∞ και
● F′(x)  F′(l) = 0 για κάθε x ∈ +∞( , ).1 Άρα η F είναι γνησίως αύξουσα στο
[ , ).1 +∞
7. i) F x G x e t t dt et
x
x
( ) ( ) ( ) ,+ = + = −∫ συν ηµ2 2
0
1 			 (1)
και
F x G x e t t dtt
x
( ) ( ) ( )− = −∫ συν ηµ2 2
0
= =∫ e tdt xt
x
συν2
0
Κ ( ).
Όμως, είναι
Κ ( ) [ ]x e t e tdtt x t
x
= + ∫συν ηµ2 2 20 0
= − + − ∫e x e t e tdtx t x t
x
συν ηµ συν2 1 2 2 4 20 0
[ ]
= − + −e x e x xx x
συν ηµ2 1 2 2 4Κ ( )
οπότε
5 2 2 2 1Κ ( ) ( ) .x e x xx
= + −συν ηµ
Άρα
Κ ( ) ( ) ( ) ( ) .x F x G x
e
x x
x
= − = + −
5
2 2 2
1
5
συν ηµ (2)
Με πρόσθεση των (1) και (2) κατά μέλη προκύπτει ότι:
2
5
2 2 2
6
5
F x
e
x x e
x
x
( ) ( )= + + −συν ηµ
F x
e
x x
ex x
( ) ( ) .= + + −
10
2 2 2
2
6
10
συν ηµ (3)
Από τις (1) και (3) έχουμε
G x e
e
x x
ex
x x
( ) ( )= − − + − +1
10
2 2 2
2
6
10
συν ηµ
= − + −
e e
x x
x x
2 10
2 2 2
4
10
( )συν ηµ
ii) Επειδή ′ =F t e tt
( ) ,συν2
έχουμε
22-0182-02.indb 331 26/11/2013 4:22:42 μμ
332
ΓΕΝΙΚΕΣ ΑΣΚΗΣΕΙΣ Γ’ ΟΜΑΔΑΣ
I F x
e e e
= = + + − − + −[ ( )] ( ) ( )π
π
π π π
π π π π2
2 2
10
4 2 4
2
6
10 10
2 2 2συν ηµ συν ηµ
eeπ
2
6
10
+
= + − −
e e e e2 2 2
10 2 10 2
π π π π
= −
3
5
1e eπ π
( ).
Επειδή ′ =G t e tt
( ) ,ηµ2
έχουμε
J G x
e e e e
= = − + − + +[ ( )] ( ) ( )π
π
π π π π
π π π π2
2 2
2 10
4 2 4
2 10
2 2 2συν ηµ συν ηµ
= − − + = −
e e e e
e e
2 2
2 10 2 10
2
5
1
π π π π
π π
( ).
8. Οι τετμημένες των σημείων Α και Β είναι
οι ρίζες της εξίσωσης x
2
+1 = 5, δηλαδή οι
αριθμοί x1 = – 2 και x2 = 2. Οι τετμημένες
των Γ και Δ είναι οι ρίζες της εξίσωσης
x
2
+ 1 = α
2
+ 1, δηλαδή οι αριθμοί x1 = – α
και x2 = α.
Το εμβαδόν Ε του χωρίου Ω που
περικλείεται από την ευθεία y = 5 και τη
γραφική παράσταση της y = x2
+ 1 είναι:
Ε = − − = − +





−
−
∫ ( )5 1
3
42
2
2
3
2
2
x dx
x
x
=
−
+ − + =
8
3
8
8
3
8
32
3
.
Το εμβαδόν ε του χωρίου που περικλείεται από την ευθεία y = α2
+ 1 και τη
γραφική παράσταση της y = x
2
+ 1 είναι:
ε α α α α α
α
α
α
α
α
α
= + − − = − = + −





− −
−
∫ ∫( ) ( ) ( )2 2 2 2 2
3
1 1
3
x dx x dx
x
= − +





 = − =2
3 3
2
2
3
4
3
3
3 3
3 3 3
α
α α
α α α .
22-0182-02.indb 332 26/11/2013 4:22:47 μμ
333
ΓΕΝΙΚΕΣ ΑΣΚΗΣΕΙΣ Γ’ ΟΜΑΔΑΣ
Το Ω χωρίζεται από την y = α
2
+ 1σε δύο ισοεμβαδικά χωρία, αν και μόνο αν
ε α α α= ⇔ = ⋅ ⇔ = ⇔ =
Ε
2
4
3
32
3
1
2
4 16 43 3 3
.
9. i) Αν 0  λ  1, τότε
Ε ( )λ
λ λ
= =∫ ∫
−1
2
1
2
1
x
dx x dx
=
−





 = −
−
x 1 1
1
1
1
λ
λ
.
Αν λ  1, τότε
Ε ( ) .λ
λλ λ
λ
= = =
−





 = −∫ ∫
−
−
1
1
1
12
1
2
1
1 1
x
dx x dx
x
Αν λ  1, τότε
Ε ( ) .λ
λ
λ λ
λ
= = =
−




 = −∫ ∫
−1 1
1
1
21
2
1
1x
dx x dx
x
ii) Αν 0  λ  1, τότε
Ε ( ) .λ
λ
λ= ⇔ − = ⇔ =
1
2
1
1
1
2
2
3
Αν λ  1, τότε:
Ε ( )λ
λ
λ= ⇔ − = ⇔ =
1
2
1
1 1
2
2
iii) Έχουμε:
lim ( ) lim lim
λ λ λ
λ
λ λ→ → →
= −





 = −





 = +∞+ +0 0 0
1
1
1
1Ε και
lim ( ) lim .
λ λ
λ
λ→+∞ →+∞
= −





 =Ε 1
1
1
10. i) Ισχύει f(x) – g(x)  0, για κάθε x ∈[ , ],α β οπότε έχουμε διαδοχικά:
( ( ) ( ))f x g x dx− ≥∫α
β
0
f x dx g x dx( ) ( )
α
β
α
β
∫ ∫− ≥ 0
f x dx g x dx( ) ( ) .
α
β
α
β
∫ ∫≥
22-0182-02.indb 333 26/11/2013 4:22:52 μμ
334
ΓΕΝΙΚΕΣ ΑΣΚΗΣΕΙΣ Γ’ ΟΜΑΔΑΣ
ii) Για κάθε x ∈[ , ]α β ισχύει m ≤ f(x) ≤ Μ, οπότε έχουμε διαδοχικά:
mdx f x dx dx
α
β
α
β
α
β
∫ ∫ ∫≤ ≤( ) Μ
m f x dx( ) ( ) ( )β α β α
α
β
− ≤ ≤ −∫ Μ
iii) Είναι:
′ =
−
=
−
f x
x x x
x
x x
x
x
( )
συν ηµ εϕ
συν
2 2
2
0
αφού x – εφx  0 και
x
x
2
0
συν
 για x ∈





0
2
, .
π
Επομένως η f είναι γνησίως φθίνουσα στο 0
2
, .
π





α) Για x ∈






π π
6 3
, ισχύει
π π
6 3
≤ ≤x , οπότε f f x f
π π
6 3





 ≥ ≥





( ) , αφού
η f είναι γνησίως φθίνουσα.
Έτσι,
3 3 3
2π
ηµ
π
≥ ≥
x
x
ή ισοδύναμα,
3 3
2
3
π
ηµ
π
≤ ≤
x
x
.
β) Σύμφωνα με το ερώτημα i) θα ισχύει
3 3
2
3
6
3
6
3
6
3
π π
π
π
π
π
π
π
dx
x
x
dx dx∫ ∫ ∫≤ ≤
ηµ
3 3
2 3 6
3
3 66
3
π
π π
π
π π
π
π
−





 ≤ ≤ −





∫
ηµx
x
dx
3
4
1
26
3
≤ ≤∫
ηµx
x
dxπ
π
.
iv) Είναι
′ = − −
f x xe x
( ) ,2 0
2
για x ∈ +∞( , )0
επειδή η f είναι και συνεχής στο [ , ),0 +∞ η f θα είναι γνησίως φθίνουσα
στο [ , ).0 +∞
22-0182-02.indb 334 26/11/2013 4:22:59 μμ
335
ΓΕΝΙΚΕΣ ΑΣΚΗΣΕΙΣ Γ’ ΟΜΑΔΑΣ
α) Από την ανισότητα e xx
≥ +1 , αν θέσουμε όπου x το – x
2
, προκύπτει
e xx−
≥ −
2
1 2
. (1)
Εξάλλου, επειδή η f είναι γνησίως φθίνουσα στο [ , ),0 +∞ για x ∈[ , ]0 1
θα ισχύει
f x f e x
( ) ( ) .≤ ⇔ ≤−
0 1
2
(2)
Από (1) και (2) προκύπτει ότι
1 12 2
− ≤ ≤−
x e x
, για x ∈[ , ].0 1
β) Από την τελευταία ανισότητα προκύπτει
( )1 12
0
1
0
1
0
12
− ≤ ≤∫ ∫ ∫
−
x dx e dx dxx
2
3
1
2
0
1
≤ ≤−
∫ e dxx
.
22-0182-02.indb 335 26/11/2013 4:23:02 μμ
22-0182-02-b.indd 336 21/2/2014 12:29:37 µµ
Lyseis sxol math_kat

Lyseis sxol math_kat

  • 2.
    ΜΑΘΗΜΑΤΙΚΑ Γ΄ Τάξης Γενικού Λυκείου Θετικήκαι Τεχνολογική Κατεύθυνση ΛΥΣΕΙΣ ΤΩΝ ΑΣΚΗΣΕΩΝ Η συγγραφή και η επιμέλεια του βιβλίου πραγματοποιήθηκε υπό την αιγίδα του Παιδαγωγικού Ινστιτούτου Η συγγραφή και η επιμέλεια του βιβλίου πραγματοποιήθηκε υπό την αιγίδα του Παιδαγωγικού Ινστιτούτου 22-0182-02.indd 1 21/2/2014 12:27:25 µµ
  • 3.
    ΣΤΟΙΧΕΙΑ ΑΡΧΙΚΗΣ ΕΚ∆ΟΣΗΣ ΣΤΟΙΧΕΙΑΕΠΑΝΕΚ∆ΟΣΗΣ Η επανέκδοση του παρόντος βιβλίου πραγματοποιήθηκε από το Ινστιτούτο Τεχνολογίας Υπολογιστών & Εκδόσεων «Διόφαντος» μέσω ψηφιακής μακέτας, η οποία δημιουργή- θηκε με χρηματοδότηση από το ΕΣΠΑ / ΕΠ «Εκπαίδευση & Διά Βίου Μάθηση» / Πράξη «ΣΤΗΡΙΖΩ». Οι αλλαγές που ενσωματώθηκαν στην παρούσα επανέκδοση έγιναν με βάση τις διορθώσεις του Παιδαγωγικού Ινστιτούτου. 22-0182-02.indd 2 21/2/2014 12:27:52 µµ
  • 4.
    ΥΠΟΥΡΓΕΙΟ ΠΑΙΔΕΙΑΣ ΚΑΙΘΡΗΣΚΕΥΜΑΤΩΝ ΠΟΛΙΤΙΣΜΟΥ ΚΑΙ ΑΘΛΗΤΙΣΜΟΥ ΜΑΘΗΜΑΤΙΚΑ Γ΄ Τάξης Γενικού Λυκείου Θετική και Τεχνολογική Κατεύθυνση ΛΥΣΕΙΣ ΤΩΝ ΑΣΚΗΣΕΩΝ Ανδρεαδάκης Στυλιανός Καθηγητής Πανεπιστημίου Αθηνών Κατσαργύρης Βασίλειος Καθηγητής Β/θμιας εκπαίδευσης Μέτης Στέφανος Καθηγητής Β/θμιας εκπαίδευσης Μπρουχούτας Κων/νος Καθηγητής Β/θμιας εκπαίδευσης Παπασταυρίδης Σταύρος Καθηγητής Πανεπιστημίου Αθηνών Πολύζος Γεώργιος Καθηγητής Β/θμιας εκπαίδευσης ΙΝΣΤΙΤΟΥΤΟ ΤΕΧΝΟΛΟΓΙΑΣ ΥΠΟΛΟΓΙΣΤΩΝ ΚΑΙ ΕΚΔΟΣΕΩΝ «ΔΙΟΦΑΝΤΟΣ» 22-0182-02.indb 3 26/11/2013 4:08:42 μμ
  • 5.
    ΓΙΑ ΤΟ ΜΑΘΗΤΗ Τοτεύχος που κρατάς έχει μια ιδιομορφία: σου δίνεται με τη σύσταση ν α μ η τ ο διαβάσεις. τουλάχιστο με την έννοια που διαβάζεις ένα άλλο βιβλίο για να κατανοήσεις το περιεχόμενό του. Πράγματι, οι ασκήσεις που σου δίνει ο καθηγητής σου είναι για να εργαστείς μόνος. Γιατί το να λύσεις μια άσκηση σημαίνει πολλές φορές όχι μόνο ότι έχεις κατανοήσει την αντίστοιχη θεωρητική ύλη αλλά και ότι ξέρεις να τη χρησιμοποιήσεις για να δημιουργείς, να ανακαλύπτεις ή να επιβεβαιώνεις κάτι καινούργιο. Και αυτό έχει ιδιαίτερη σημασία για σένα τον ίδιο.Δεν μπορεί παρά να έχεις και συ τη φιλοδοξία να λύνεις μόνος χωρίς βοήθεια τις ασκήσεις για να νιώθεις τη χαρά αυτής της δημιουργίας, της ανακάλυψης. Πρέπει να ξέρεις ότι όταν δυσκολεύεσαι στη λύση μιας άσκησης, τις πιο πολλές φορές υπάρχει κάποιο κενό στη γνώση της αντίστοιχης θεωρίας. Πήγαινε πίσω λοιπόν στο διδακτικό βιβλίο κάθε φορά που χρειάζεται να εντοπίσεις και να συμπληρώσεις τέτοια κενά. Οπωσδήποτε πριν καταπιαστείς με τη λύση των ασκήσεων πρέπει να αισθάνεσαι κάτοχος της θεωρίας που διδάχτηκες. Εκτός από την κατανόηση της θεωρίας μπορεί να βοηθηθείς στη λύση μιας άσκησης από τα παραδείγματα και τις εφαρμογές που περιέχει το διδακτικό σου βιβλίο. Αν παρ’ όλα αυτά δεν μπορείς να προχωρήσεις, στο τέλος του βιβλίου σου θα βρεις μια σύντομη υπόδειξη που ασφαλώς θα σε διευκολύνει. Στις ελάχιστες περιπτώσεις που έχοντας εξαντλήσει κάθε περιθώριο προσπάθειας δε βρίσκεται η πορεία που οδηγεί στη λύση της άσκησης, τότε και μ ό ν ο τότε μπορείς να καταφύγεις σ’αυτό το τεύχος και μάλιστα για να διαβάσεις εκείνο το τμήμα της λύσης που σου είναι απαραίτητο για να συνεχίσεις μόνος. Ουσιαστικά λοιπόν δεν το ’χεις ανάγκη αυτό το τεύχος. Σου παρέχεται όμως για τους εξής λόγους: α) Για να μπορείς να συγκρίνεις τις λύσεις που εσύ βρήκες. β) Για να σε προφυλάξει από ανεύθυνα «λυσάρια». γ) Για να απαλλάξει τους γονείς σου από αντίστοιχη οικονομική επιβάρυνση. δ) Για να έχεις εσύ και οι συμμαθητές σου την ίδια συλλογή ασκήσεων που είναι έτσι επιλεγμένες, ώστε να εξασφαλίζουν την εμπέδωση της ύλης. ε) Για να εργάζεσαι χωρίς το άγχος να εξασφαλίσεις οπωσδήποτε για κάθε μάθημα τις λύσεις των ασκήσεων. Το τεύχος που κρατάς είναι λοιπόν φίλος. Να του συμπεριφέρεσαι όπως σ’ έναν φίλο που έχει δει πριν από σένα την ταινία που πρόκειται να δεις μη του επιτρέψεις να σου αποκαλύψει την «υπόθεση» πριν δεις και συ το έργο. Μετά μπορείτε, να συζητήσετε. Η σύγκριση των συμπερασμάτων θα είναι ενδιαφέρουσα και προπαντός επωφελής. (Από το Τμήμα Μ.Ε. του Π.Ι.) 22-0182-02.indb 4 26/11/2013 4:08:42 μμ
  • 6.
  • 7.
  • 8.
    7 ΚΕΦΑΛΑΙΟ 1 ΠΙΝΑΚΕΣ -ΓΡΑΜΜΙΚΑ ΣΥΣΤΗΜΑΤΑ 1.1 Α΄ ΟΜΑΔΑΣ 1. i) Ο πίνακας είναι τύπου 3 7× . ii) Το στοιχείο α12 μας πληροφορεί ότι η ομάδα ΝΙΚΗ έχει 6 νίκες, ενώ το στοιχείο α15 μας πληροφορεί ότι η ίδια ομάδα πέτυχε 13 τέρματα. Το στοιχείο α24 μας πληροφορεί ότι η ομάδα ΘΥΕΛΛΑ έχει 3 ισοπαλίες. Τέλος, το στοιχείο α37 μας πληροφορεί ότι η ομάδα ΔΑΦΝΗ έχει 11 βαθμούς. 2. Ο πίνακας A = [αij ] τύπου 4 4× σε ορθογώνια διάταξη είναι: Α =        α α α α α α α α α α α α α α α α 11 12 13 14 21 22 23 24 31 32 33 34 41 42 43 44       . Επειδή αij = −i j , έχουμε α11 1 1 0= − = , α12 1 2 1= − = , α13 1 3 2= − = , α14 1 4 3= − = α21 2 1 1= − = , α22 2 2 0= − = , α23 2 3 1= − = , α24 2 4 2= − = α31 3 1 2= − = , α32 3 2 1= − = , α33 3 3 0= − = , α34 3 4 1= − = α41 4 1 3= − = , α42 4 2 2= − = , α43 4 3 1= − = , α44 4 4 0= − = Επομένως Α =             0 1 2 3 1 0 1 2 2 1 0 1 3 2 1 0 . 22-0182-02.indb 7 26/11/2013 4:08:42 μμ
  • 9.
    8 1.11.11.1 3. i) Ηισότητα ισχύει, αν και μόνο αν 2 1 0 2 2 1 x x x y x y x y − = + = − = + =        . Λύνουμε το σύστημα των δύο πρώτων εξισώσεων και βρίσκουμε ότι x = 1 και y = – 1. Οι τιμές αυτές των x, y επαληθεύουν και τις άλλες δύο εξισώσεις. Επομένως, οι πίνακες είναι ίσοι αν και μόνο αν, x = 1 και y = – 1. ii) Η ισότητα ισχύει, αν και μόνο αν x y y x x y y 2 2 2 1 0 2 + = = − + = =        . Λύνουμε το σύστημα των δύο πρώτων εξισώσεων και βρίσκουμε ότι x y = =    1 0 ή x y = − =    1 0 . Οι τιμές αυτές των x, y δεν επαληθεύουν την τρίτη εξίσωση. Επομένως, δεν υπάρχουν τιμές των x, y για τις οποίες οι πίνακες αυτοί να είναι ίσοι. 4. Ο πίνακας είναι διαγώνιος, αν και μόνο αν 2 2 ln 1 0 (ln 1 ή ln 1) ln 1 (ln 1 ή ln 0)ln ln 0 x x x x x xx x  − = = = − ⇔ ⇔ = ⇔  = =− =  x = e. 5. Η ισότητα ισχύει, αν και μόνο αν 2 2 1 2 1 1 συν2 0 x= x= x= x=  ηµ  ηµ  εϕ  . Η τρίτη εξίσωση εφx = 1 έχει στο [0,2π) λύσεις τις 4 π , 5π 4 . Οι τιμές αυτές του x επαληθεύουν και τις υπόλοιπες. Επομένως, οι πίνακες είναι ίσοι αν και μόνο αν π x = 4 ή π x = 5 4 . 22-0182-02.indd 8 28/11/2013 1:12:10 μμ
  • 10.
    9 1.2 1.2 Α΄ ΟΜΑΔΑΣ 1.Έχουμε i) Α Β+ = −      + −       = −       5 2 1 3 6 3 2 5 11 1 1 8 Α Β− = −      − −       = −      + − − −       = − −5 2 1 3 6 3 2 5 5 2 1 3 6 3 2 5 1 5 33 2−       ii) Α Β+ =       +       =       6 7 8 9 5 6 7 8 5 6 7 8 6 7 8 9 11 13 15 17 11 13 15 17 Α Β− =       −       = − − − −       6 7 8 9 5 6 7 8 5 6 7 8 6 7 8 9 1 1 1 1 1 1 1 1 iii) Α Β+ = + − − − =[ ] [ ] [ ]4 5 6 4 5 6 0 0 0 Α Β− = − − − − =[ ] [ ] [ ]4 5 6 4 5 6 8 10 12 iv) Δεν ορίζονται το άθροισμα και η διαφορά v) Α Β+ =           + − − − − − − − − −           = α β γ ω κ λ µ α β γ ω κ λ µ x y y 1 1 1 x 1 0 00 0 1 0 0 0 1           . 2. Έχουμε Α Α Α Α1 2 3 4 3 2 1 0 3 5 1 2 6 5 1 3 0 2 1 + + + = −      +             + − −       + − 33             =       + −      = −      0 7 2 2 6 7 0 0 6 14 2 2 . 3. Έχουμε 5 2 3 2 2 9 3 1 4 3 3 1 8 5 1 6 7 10 − −           + − −           = −        x y ω  ⇔ 22-0182-02.indb 9 26/11/2013 4:08:42 μμ
  • 11.
    10 1.11.2 ⇔ − − −           = −          83 1 1 1 10 8 5 1 6 7 10 x y ω 5 3 1 1 7 x=6 y ω − =    ⇔ − − ⇔ −   − =  ω x y = 8 = 7 = 8 . 4. Έχουμε i) 5 2 1 3 1 4 1 3 1 2 6 0 5 3 10 5 15 5 20 5 3 6 18 0 15 9−       + −      = −       + −      = − −       13 1 33 5 35 14 ii) 4 3 5 1 1 0 4 1 2 2 4 6 0 2 4 −      − − −       = = −      + − − −       = − −       12 20 4 4 0 16 1 2 3 0 1 2 11 18 1 4 1 18 iii) λ λ λ λ λ λ λ λ λ λ λ λ λ − −       = − −         2 3 2 3 2 2 2 2 2 2 . 5. Έχουμε i) 2 2 3 1 2 1 1 0 Α = −          = −          6 2 4 2 2 0 ii) 2 3 3 2 3 6 2 4 2 2 0 ( ) ( )− = − = − −          = − − − −           Α Α 18 6 12 6 6 0 iii) 5 2 5 2 6 0 2 4 8 6 2 4 2 2 0 Β Α− = −          − −          = −          + − − − −           = − − 10 30 0 10 20 40 6 2 4 2 2 0 16 32 4 8 18 40         22-0182-02.indb 10 26/11/2013 4:08:43 μμ
  • 12.
    11 1.2 iv) 3 1 2 3 3 1 21 1 0 1 2 2 6 0 2 4 8 Α Β− = −          − −          = −          + − − − −           = − −          9 3 6 3 3 0 1 3 0 1 2 4 10 6 6 2 1 4 . 6. i) Η εξίσωση γράφεται διαδοχικά 3 5 1 7 2 14 4 2 5 X + −      = − −       3 14 4 2 5 5 1 7 2 X = − −       − −      3 9 3 9 3 X = − −       X = − −       1 3 9 3 9 3 X = − −       3 1 3 1 ii) Η εξίσωση γράφεται διαδοχικά 6 1 2 3 4 7 5 3 1 2 2−       − = − − −      X − = − − −       − −      7 5 3 1 2 2 6 1 2 3 4 X − = − − −       + − − −      7 15 5 10 10 6 12 18 24 X − = − − −      7 21 7 28 14 X X = − − − −       1 7 21 7 28 14 X = −       3 1 4 2 . 22-0182-02.indb 11 26/11/2013 4:08:43 μμ
  • 13.
    12 1.2 7. Έχουμε συν συν ηµ συν ηµ ηµσυν συν ηµ α α α α α α α α α α −      + −       = ηµ = −        + − συν ηµ συν συν συν ηµ ηµ συν ηµ συν ηµ 2 2 2 2 α α α α α α α α α α α αηµ         = − + − +       συν ηµ ηµ συν ηµ συν συν ηµ συν συν ηµ 2 2 2 2 α α α α α α α α α α α α + ηµ   =       1 0 0 1 , που είναι διαγώνιος πίνακας. 8. Έχουμε 2 5 14 8 21 13 2 5 2 3 14 8 21 13 X − = −      ⇔       − − −       = − Ψ α β γ δ α β γ δ      ⇔       + − −       = −      2 2 2 2 5 10 5 15 14 8 21 13 α β γ δ α β γ δ ⇔ − −       = −      7 8 7 13 14 8 21 13 α β γ δ . 1.2 Β΄ ΟΜΑΔΑΣ 1. Έχουμε i) 1 2 0 1 3 1 1 1 02 2 −       + +      = −      ⇔ x y y x y ⇔ + + + −       = −      x y y x y 1 3 2 1 1 1 1 02 2 ⇔ + + = + = − = − =        ⇔ + = = − = ± = ±        ⇔ x y y x y x y y x y 1 1 3 2 1 1 1 0 0 1 1 1 2 2 xx y = 1 = 1−    22-0182-02.indb 12 26/11/2013 4:08:43 μμ
  • 14.
    13 1.2 ii) x x xy y y 2 2 3 1 2 1 1 0 1 0 0 − + −         + −      =       ⇔ 2 2 3 2 1 0 1 0 00 x x x y y y  − + + −   ⇔ =    +     2 2 3 2 0 ( 2 ή = 1) 1 1 2 ( 0 ή 1)0 x x x x x y x y y y=y y  − + = =   ⇔ + − = ⇔ + = ⇔     = −+ =  x y = 2 = 0 . 2. Η πρώτη εξίσωση γράφεται 3 3 0 0 3 3 0 0 3 3X Y Y X+ =       ⇔ =       − (1) Η δεύτερη εξίσωση λόγω της (1) γράφεται 5 2 4 0 0 4 5 2 3 0 0 3 3 4 0 0 4 X Y X X+ =       ⇔ +       −       =       ⇔ +       − =      5 2 3 0 0 3 6 4 0 0 4 X X ⇔ − =       −      X 4 0 0 4 2 3 0 0 3 ⇔ =      X 2 0 0 2 . Επομένως, λόγω της (1) έχουμε Y =       −       =       + − −       = − −    3 0 0 3 3 2 0 0 2 3 0 0 3 6 0 0 6 3 0 0 3    . 3. Η εξίσωση γράφεται 3 2 1 2 5 3 3 2 5( )X X+ = +       − ⇔ + = + −Β Α Β Χ Β Χ Α Β ⇔ − = − −3 2 5 3X X Α Β Β ⇔ = −2 2 8X Α Β ⇔ = −X Α Β4 . 22-0182-02.indb 13 26/11/2013 4:08:43 μμ
  • 15.
    14 1.2 Επομένως X = − −       − − −         10 2 3 5 1 4 2 1 4 3 4 0 1 1 = − −       + − − −       = − − − −       1 0 2 3 5 1 8 1 3 0 4 4 9 1 5 3 1 3 . 4. Είναι Π Π1 2 30 28 40 25 32 36 38 30 42 23 28 38 + =       +       68 58 82 48 60 74   =     Φωτ. Μηχ. Βιντ. Τηλεορ. υλικά εργασία oπότε 1 2 68 58 82 34 29 411 1 ( ) 48 60 74 24 30 372 2 Π Π     + = =        Φωτ. Μηχ. Βιντ. Τηλεορ. υλικά εργασία Ο τελευταίος πίνακας δίνει για τη βιομηχανία το μέσο κόστος κάθε συσκευής. 5. i) Αν η παραγωγή αυξηθεί κατά 10%, τότε το ημερήσιο επίπεδο παραγωγής θα δίνεται από τον πίνακα Β = 1,1∙Α. Είναι Β Α= ⋅ = ⋅       =1 1 1 1 200 180 140 60 80 40 120 120 220 198 154 66 88 44 132 , , 1132       ii) Για τους δύο πρώτους μήνες το επίπεδο παραγωγής δίνεται από τον πίνακα 2(30Α) = 60Α. Για τους άλλους τρεις μήνες το επίπεδο παραγωγής δίνεται από τον πίνακα 3(30Β) = 90Β. Επομένως, το σύνολο της παραγωγής ανά προϊόν για τους 5 μήνες δίνεται από τον πίνακα 60 90 60 200 180 140 60 80 40 120 120 90 220 198 154 66 88 44 132 Α Β+ =       + 1132       =       31800 28620 22260 9540 12720 6360 19080 19080 . 22-0182-02.indb 14 26/11/2013 4:08:43 μμ
  • 16.
    15 1.3 1.3 Α΄ΟΜΑΔΑΣ 1. Έχουμε i) ΑΒ = [ ]           = ⋅ + ⋅ + ⋅[ ]=3 2 1 2 3 0 3 2 2 3 1 0 [ ]12 ΒΑ =           [ ]= ⋅ ⋅ ⋅ ⋅ ⋅ ⋅ ⋅ ⋅ ⋅          2 3 0 3 2 1 2 3 2 2 2 1 3 3 3 2 3 1 0 3 0 2 0 1 =           6 4 2 9 6 3 0 0 0 ii) ΑΒ = − −             = 4 2 2 1 2 1 4 2 = ⋅ − ⋅ ⋅ − ⋅ − ⋅ + ⋅ − ⋅ + ⋅       =       4 2 2 4 4 1 2 2 2 2 1 4 2 1 1 2 0 0 0 0 ΒΑ =       − −       2 1 4 2 4 2 2 1 = ⋅ − ⋅ − + ⋅ + − − ⋅ +       = − −       2 4 1 2 2 2 1 4 4 2 2 2 4 2 ( ) ( ) 6 3 12 6 iii) ΑΒ = − −           − − −           = − − − 3 0 1 0 4 2 5 3 1 1 5 0 4 1 2 0 1 3 3 14 3 16 2 2 −− −          7 29 9 ΒΑ = − − − −           − −           = − −1 5 0 4 1 2 0 1 3 3 0 1 0 4 2 5 3 1 3 20 11 2 10 −− −           4 15 13 1 iv) ΑΒ = − −       −           = − −       4 2 1 3 1 3 2 1 3 0 1 2 4 7 1 4 13 17 18 17 8 . Δεν ορίζεται το γινόμενο ΒΑ. 2. Έχουμε i) ΑΒ = −                = −          1 1 0 1 2 0 0 1 1 1 0 1 1 1 0 1 0 1 0 2 2 22-0182-02.indb 15 26/11/2013 4:08:43 μμ
  • 17.
    16 1.3 ii) ΑΒ Γ−= −          − −          =   1 1 0 1 0 1 0 2 2 1 1 0 1 0 1 0 2 2 0 0 0 0 0 0 0 0 0         = iii) ΑΒΓ ΑΒ Γ= = −          −          = − −( ) 1 1 0 1 0 1 0 2 2 1 1 0 1 0 1 0 2 2 2 1 1 1 3 22 2 4 6           . 3. Έστω Κ =       60 75 30 60 Ειδ. Ανειδ. και Λ =       50 40 Ειδ. Αποδ. Ανειδ. . Επειδή οι αμοιβές στην α′ εταιρεία είναι 60∙50 + 75∙40 και στη β′ εταιρεία είναι 30∙50 + 60∙40, το σύνολο των αμοιβών των εργατών στις δύο εταιρείες εκφράζεται με τον πίνακα 60 50 75 40 30 50 60 40 60 75 30 60 50 40 ⋅ + ⋅ ⋅ + ⋅       =             = ΚΛ. 4. i) Έχουμε ΑΒ =       − −       =       = 2 3 1 2 2 3 1 2 1 0 0 1 I. Επομένως ο πίνακας Β είναι αντίστροφος του Α. ii) Έχουμε ΑΒ = − − − −           − − − −           1 3 2 2 5 3 3 2 4 14 8 1 17 10 1 19 11 1 = − + − + − − + − − + − + − − + − − − + + 14 51 38 8 30 22 1 3 2 28 85 57 16 50 33 2 5 3 42 34 76 24 220 44 3 2 4− + −           =           = 1 0 0 0 1 0 0 0 1 I. Επομένως ο πίνακας Β είναι αντίστροφος του Α. 22-0182-02.indb 16 26/11/2013 4:08:43 μμ
  • 18.
    17 1.3 5. Ο πίνακαςΑ αντιστρέφεται, αφού D= 2 3 1 2 4 3 1 0= − = ≠ , και έχει αντίστροφο τον Α− = − −       1 2 3 1 2 . Ο πίνακας Β δεν αντιστρέφεται, αφού D = = − = 4 2 2 1 4 4 0. Ο πίνακας Γ αντιστρέφεται, αφού D = = ≠ συν συν συν ηµ θ − θ θ θ θ θ ηµ ηµ + =1 02 2 , και έχει αντίστροφο τον Γ − =       1 συν συν θ θ θ θ ηµ −ηµ . 6. i) Είναι D = − = ≠ ηµ ηµ ηµ + =1 0 α α α α α α συν συν συν2 2 , οπότε ο πίνακας αντιστρέφεται και έχει αντίστροφο τον ηµ ηµ ηµ ηµ α α α α α α α α −      = −       − συν συν συν συν 1 . ii) Η εξίσωση γράφεται διαδοχικά ηµ ηµ ηµ ηµ ηµ ηµ α α α α α α α α α α α συν συν συν συν συν συν−       −      = − X αα α α α α       −       συν συν ηµ −ηµ X = − − −       0 1 2 2 2 ηµ συν ηµ συν α α α α X = − − −       0 1 2 συν ηµ 2α α . 1.3 Β΄ ΟΜΑΔΑΣ 1. i) Έχουμε Α2 = xΑ + yI 1 2 2 4 1 2 2 4 1 2 2 4 1 0 0 1             =       +      x y 5 10 10 20 2 2 4 0 0       =       +       x x x x y y 22-0182-02.indb 17 26/11/2013 4:08:44 μμ
  • 19.
    18 1.3 5 10 10 20 2 24       = + +       x y x x x y . Από την τελευταία ισότητα των πινάκων παίρνουμε το σύστημα x y x x y + = = + =      ⇔    5 2 10 4 20 x y = 5 = 0 . ii) Η ισότητα A2 =xA + yΙ με x = 5 και y = 0 γίνεται: Α2 =5Α. Έτσι έχουμε: Α Α Α ΑΑ Α Α Α3 2 2 5 5 5 5 25 25 1 2 2 4 = ⋅ = = = ⋅ = =       =       25 50 50 100 και Α Α Α ΑΑ Α Α Α4 3 2 25 25 25 5 125= = = = ⋅ = =       125 250 250 500 . 2. Έχουμε: Α Α Α2 2 1 3 1 2 1 3 1 7 3 9 4 = ⋅ = − −       − −       = − −       Α Α Α3 2 7 3 9 4 2 1 3 1 23 10 30 13 = ⋅ = − −       − −       = − −       . Η δοθείσα ισότητα γράφεται: 23 10 30 13 20 10 30 10 0 0 − −       + − −       + − −       = x x 3 0 0 3 − −       = x x x = 3. 3. Έχουμε: 2 1 1 1 0 0 0 0 1 X I β β α α      = ⇔ =            ⇔ +        =       α α β β 2 2 0 1 0 0 1 22-0182-02.indb 18 26/11/2013 4:08:44 μμ
  • 20.
    19 1.3 2 2 1 1 1 1 0ή 1 1 11 α α α α α β α β β β ββ  = = ± = = −   ⇔ + = ⇔ = − ⇔    = − =   = ±=  . Επομένως, οι ζητούμενοι πίνακες είναι οι 1 1 0 1−       και −      1 1 0 1 . 4. i) Έχουμε Α Α Α2 0 1 1 3 2 3 2 2 3 0 1 1 3 2 3 2 2 3 1 0 0 0 1 0= ⋅ = − − −           − − −           = 00 0 1           = I. Ομοίως έχουμε Β2 = Β∙Β = Ι ii) Α Β− = − − −           − − − − −           = − − − 0 1 1 3 2 3 2 2 3 4 3 3 2 1 2 3 3 2 4 4 4 1 11 1 5 5 5−           και Α Β+ = − − −           + − − − −           = − − 0 1 1 3 2 3 2 2 3 4 3 3 2 1 2 3 3 2 4 2 2 5 3 55 1 1 1−           . Επομένως ( )Α Β− = − − − −           ⋅ − − − −           2 4 4 4 1 1 1 5 5 5 4 4 4 1 1 1 5 5 5 = + − − − + + − − − + + − − − + − − + + − − 16 4 20 16 4 20 16 4 20 4 1 5 4 1 5 4 1 5 20 5 25 20 5 25 20 −− +          5 25 =           = 0 0 0 0 0 0 0 0 0 22-0182-02.indb 19 26/11/2013 4:08:44 μμ
  • 21.
    20 1.3 ( )Α Β+= − − −           ⋅ − − −           2 4 2 2 5 3 5 1 1 1 4 2 2 5 3 5 1 1 1 = − − − + + − + − − − + + − + − + − − + − + + 16 10 2 8 6 2 8 10 2 20 15 5 10 9 5 10 15 5 4 5 1 2 3 1 2 5 1           =           =           = 4 0 0 0 4 0 0 0 4 4 1 0 0 0 1 0 0 0 1 4I iii) Είναι Α Β2 2 − = και ( )( )Α Β Α Β+ − = − − −           − − − −           = −4 2 2 5 3 5 1 1 1 4 4 4 1 1 1 5 5 5 88 8 8 2 2 2 10 10 10 − − −           Άρα, Α Β Α Β Α Β2 2 − ≠ + −( )( ). 5. i) Είναι D = − − = − + = ≠ 3 2 2 1 3 4 1 0, οπότε ο Α αντιστρέφεται και έχει αντίστροφο τον Α− = − −      1 1 2 2 3 . ii) Είναι Α Α+ =       =−1 2 0 0 2 2I . Άρα ( ) ( )Α Α+ = =−1 2 2ν ν ν I I , με ν ∈*. 6. i) Έχουμε Α Α Α2 ( ) ( ) ( )x x x x x x x = ⋅ = −      −      συν ηµ ηµ συν συν ηµ ηµ συνx x x x 2 2 2 2 συν συν συν συν x x x x x x x x+ x x x x  συν − ηµ − ηµ − ηµ =   ηµ ηµ − ηµ +συν   = −      = συν ηµ ηµ συν 2 2 2 2 2 x x x x xΑ( ) 22-0182-02.indb 20 26/11/2013 4:08:44 μμ
  • 22.
    21 1.3 Β Β Β2 () ( ) ( )x x x= ⋅ = −       −       ηµ συν συν ηµ ηµ συν συν ηµ x x x x x x x x 2 2 2 2 2 συν 2 συν x x x x x x x x  ηµ −συν ηµ =   − ηµ − συν +ηµ   = − − −       συν ηµ ηµ συν 2 2 2 2 x x x x = − −      = − συν ηµ ηµ συν 2 2 2 2 2 x x x x xΑ( ) ii) Έχουμε Α2 (x) + Β2 (x) = Α(2x) – Α(2x) = . iii) Η εξίσωση γράφεται διαδοχικά: Α2 (x) – Β2 (x) = 2Ι Α(2x) + Α(2x) = 2Ι 2Α(2x) = 2Ι Α(2x) = Ι συν ηµ ηµ συν 2 2 2 2 1 0 0 1 x x x x −      =       . Από την τελευταία ισότητα προκύπτει το σύστημα: 2 1 2 2 2 0 x x x= κπ κ συν = ⇔ = , ∈ ⇔ , ∈ ηµ x = κπ κZ Z. 7. i) Είναι Μ Ν⋅ =                     0 6 0 6 0 2 1 0 9 0 3 1 5 1 2 0 4 5 6 6 7 4 5 , , , , , , , , Ο πίνακας ΜΝ εκφράζει το συνολικό κόστος παραγωγής για κάθε ένα από τα τρία είδη παραγωγής και στα δύο εργοστάσια. 22-0182-02.indb 21 26/11/2013 4:08:44 μμ
  • 23.
    22 1.3 ii) Το κόστοςεργασίας για την παραγωγή μιας καρέκλας στο εργοστάσιο E1 είναι 11,6 ευρώ και το κόστος παραγωγής ενός πάγκου στο εργοστάσιο Ε2 είναι 8,8 ευρώ. 8. Έχουμε Α Α Α2 1 1 3 5 2 6 2 1 3 1 1 3 5 2 6 2 1 3 = ⋅ = − − −           − − −           = − − −           0 0 0 3 3 9 1 1 3 . Α Α Α3 2 1 1 3 5 2 6 2 1 3 = ⋅ = − − −           − − −           0 0 0 3 3 9 1 1 3 =           = 0 0 0 0 0 0 0 0 0 . Αν ν 3, τότε Αν = Α3 ∙Αν–3 = ∙Αν–3 = . Β Β Β2 0 1 1 4 3 4 3 3 4 0 1 1 4 3 4 3 3 4 1 0 0 0 1 0= ⋅ = − − −           − − −           = 00 0 1           = I Β3 = Β2 ∙Β = Ι∙Β = Β. • Αν ν = 2ρ (άρτιος), τότε Βν = Β2ρ = (Β2 )ρ = Ιρ = Ι, ενώ • Αν ν = 2ρ + 1 (περιττός), τότε Βν = Β2ρ+1 = Β2ρ ∙Β = I∙Β = Β. 9. i) Είναι Α( ) ( ) ( ) ( ) − = − − −       = − −      x x x x x x x 1 1 1 1 1 1συν ηµ ηµ συν ηµ ηµ . Για να δείξουμε ότι Α–1 (x) = Α(–x), αρκεί να δείξουμε ότι ισχύει Α(–x) Α(x) = I. Έχουμε Α Α( ) ( )− = − −            x x x x x x x x 1 1 1 1 1 1συν ηµ ηµ συν ηµ ηµ 22-0182-02.indb 22 26/11/2013 4:08:44 μμ
  • 24.
    23 1.3 = − − +         1 10 0 1 2 2 2 συν ηµ ηµx x x =         =       1 0 0 1 0 0 12 2 2 συν συν συνx x x ii) Η ισότητα Α(x) = I γράφεται: Α( )x I x = ⇔       =       1 1 1 1 0 0 1συν ηµ ηµ x x ⇔             =       1 1 1 0 0 1 συν ηµ συν ηµ συν συν x x x x x x ⇔             =       1 1 1 0 0 1 συν εϕ εϕ συν x x x x ⇔ =     ⇔    ⇔ = ∈ 1 1 0 1 0 2συν εϕ συν εϕ x x= x= x= x κπ κ,  . 10.i) Έχουμε Α Α( ) ( )x y x x x y y y y x y =                     = +1 0 1 2 0 0 1 1 0 1 2 0 0 1 12 2 2 ++ + +           2 0 1 2 2 0 0 1 2 xy x y x = + + +           = + 1 0 1 2 0 0 1 2 x y x y x y x y ( ) ( ) ( )Α ii) Ο πίνακας Α(y) είναι αντίστροφος του Α(x), αν και μόνο αν Α Α( ) ( )x y I x y y x= ⇔ + = ⇔ = −0 . iii) Προφανώς Μ Α= =           ( )1 1 1 1 0 1 2 0 0 1 22-0182-02.indb 23 26/11/2013 4:08:45 μμ
  • 25.
    24 1.3 Επομένως − −  − −     Μ Α1 1 1 1 = ( 1) = 0 1 2 0 0 1 . 11. i) Είναι: ● Α ΑΑ2 1 1 1 1 = = + − −       + − −       λ λ λ λ λ λ λ λ = + + − + − + − − − − + +     λ λ λ λ λ λ λ λ λ λ λ λ λ λ 2 2 1 1 1 1 1 1 1 1 ( )( ) ( ) ( ) ( ) ( ) ( )( )    = + − − +         =       = λ λ λ λ 2 2 2 2 1 0 0 1 1 0 0 1 I. ● Α3 = Α2 Α = Α Επομένως — Αν ν = 2λ (άρτιος), τότε Αν = Α2λ = (Α2 )λ = Ι. — Αν ν = 2λ + 1 (περιττός), τότε Αν = Α2λ+1 = Α2λ ∙Α = Α ii) Για λ = 2 έχουμε Α = + − −       = − −       2 1 2 1 2 2 2 3 1 2 . Επειδή το 1993 είναι περιττός, έχουμε Α1993 = Α. Επομένως, η εξίσωση Α1993 1 1 0 1 ⋅ = −      X γράφεται διαδοχικά: ΑX = −       1 1 0 1 X = −       − Α 1 1 1 0 1 X = −      Α 1 1 0 1 (αφού Α–1 = Α) X = − −       −       2 3 1 2 1 1 0 1 X = − −       2 1 1 1 22-0182-02.indb 24 26/11/2013 4:08:46 μμ
  • 26.
    25 1.3 iii) Ι +Α + Α2 + … + Α10 = Ι + Α + Ι + Α + Ι + Α + Ι + Α + Ι + Α + Ι = 6Ι + 5Α 12. i) Είναι D = = − = ≠ 2 1 1 1 2 1 1 0, οπότε ο Α αντιστρέφεται και έχει αντίστροφο τον − −  =  −  Α 1 1 1 1 2 ii) α) Η εξίσωση ΑX= 2 1 1 0 −      γράφεται διαδοχικά: X=Α− −      1 2 1 1 0 X= 1 1 1 2 2 1 1 0 − −       −      X= 1 1 0 1 −      . β) Η εξίσωση 1 0 0 0 X =Α Α       γράφεται διαδοχικά: X =ΑΑ −       1 1 0 0 0 X=Α Α− −      1 11 0 0 0 X= 1 1 1 2 1 0 0 0 1 1 1 2 − −             − −       X= 1 0 1 0 1 1 1 2−       − −       X= 1 1 1 1 − −       22-0182-02.indb 25 26/11/2013 4:08:47 μμ
  • 27.
    26 1.3 γ) Η εξίσωσηΑΧ = Α2 +2Α γράφεται διαδοχικά ΑΧ = Α(Α + 2Ι) Χ = Α–1 Α(Α +2Ι) Χ = Α + 2Ι X =       +       2 1 1 1 2 1 0 0 1 X =       4 1 1 3 . 13. i) Έχουμε Α2 1 2 1 3 3 1 1 2 1 3 3 1 1 4 2 2 3 2 3 2 = −        ⋅ −        = − − −         = − − −         1 2 1 3 3 1 , οπότε Α Α Α3 2 1 2 1 3 3 1 1 2 1 3 3 1 = = − − −         −        = − −       = −       = − 1 4 4 0 0 4 1 0 0 1 I . Γενικά: 3 3 , άρτιοσ ( ) ( ) , περιττόσ I Iν ν ν ν Α Α Ι ν αν = = − =  − αν . ii) Επειδή 1992 = 3∙664 και 1989 = 3∙663 έχουμε Α1992 = (Α3 )664 = (–Ι)664 = Ι και Α1989 = (Α3 )663 = (–Ι)663 = –Ι. Επομένως: x x x I x I2 1992 1989 2 2 2Α Α+ + = ⇔ − + =( ) ( ) ⇔ − − =( )x x I2 2 ⇔ − − =( )x x2 2 0 ⇔ = −x 1 ή x = 2. 22-0182-02.indb 26 26/11/2013 4:08:47 μμ
  • 28.
    27 1.4 1.4 Α΄ ΟΜΑΔΑΣ 1.Οι γραμμικοί μετασχηματισμοί Τ1 , Τ2 και Τ3 έχουν πίνακες τους 1 1 1 1−       , 1 1 1 2       και 1 2 2 4       αντιστοίχως. Έτσι — Οι εικόνες των Α(1,0) και Β(0,1), ως προς τον Τ1 είναι τα σημεία Α′(1,–1) και Β′(1,1) αντιστοίχως, που έχουν συντεταγμένες την πρώτη και δεύτερη στήλη του πίνακα του γραμμικού μετασχηματισμού Τ1 . — Οι εικόνες των Α(1,0) και Β(0,1) ως προς τον Τ2 είναι τα σημεία Α′(1,1) και Β′(1,2) αντιστοίχως. — Οι εικόνες των Α(1,0) και Β(0,1) ως προς τον Τ3 είναι τα σημεία Α′(1,2) και Β′(2,4) αντιστοίχως. 2. i) T x y x y 1 1 1 2 3 : ′ ′       = −            ii) T x y x y 2 1 2 1 1 : ′ ′       = −            3. Είναι: 2 1 1 0 0 0 0 0−             =       και 2 1 1 0 3 4 10 3−             = −       , οπότε η εικόνα του Ο(0,0) είναι το σημείο Ο′(0,0) και του Α(3,4) το σημείο Α′(10,–3). Επομένως ( )ΟΑ = + =3 4 52 2 και ( )′ ′ = + =Ο Α 10 3 1092 2 , οπότε ( ) ( )ΟΑ Ο Α≠ ′ ′ . Άρα, ο Τ δεν είναι ισομετρία. 4. Ο πίνακας του τετραπλεύρου Α′Β′Γ′Δ′ προκύπτει, αν πολλαπλασιάσουμε τον πίνακα 2 1 1 1       του γραμμικού μετασχηματισμού με τον πίνακα 0 1 1 0 0 0 1 1       του τετραγώνου ΑΒΓΔ. Είναι, δηλαδή, ο πίνακας 2 1 1 1 0 1 1 0 0 0 1 1 0 2 3 1 0 1 2 1             =       . 22-0182-02.indb 27 26/11/2013 4:08:48 μμ
  • 29.
    28 1.4 Επομένως, η εικόνατου τετραγώνου ΑΒΓΔ με πίνακα τον 0 1 1 0 0 0 1 1       είναι το τετράπλευρο Α′Β′Γ′Δ′ με πίνακα τον 0 2 3 1 0 1 2 1      . Οι ευθείες Α′Δ′ και Β′Γ′ έχουν συντελεστές διεύθυνσης λ1 = 1 και λ2 2 1 3 2 1= − − = , αντιστοίχως. Είναι δηλαδή λ1 = λ2 , οπότε Α′Δ′//Β′Γ′. Ομοίως, οι Α′Β′ και Δ′Γ′ έχουν συντελεστές λ3 1 2 = και λ4 1 2 1 2 = − − = αντιστοίχως. Είναι δηλαδή λ3 = λ4 , οπότε Α′Β′//Δ′Γ′. Επιπλέον ισχύει λ λ2 3 1 2 1= ≠ − . Επομένως το Α′Β′Γ′Δ′ είναι πλάγιο παραλληλόγραμμο. 5. i) Ισχύει 0 5 1 1 3 2       =             x y . Επομένως, αν πολλαπλασιάσουμε και τα δύο μέλη με τον αντίστροφο του πίνακα 1 1 3 2      , που είναι ο πίνακας − −       2 1 3 1 , έχουμε: 1 1 3 2 0 5 2 1 3 1 0 5 1             =       ⇔ − −             =      − x y x y ⇔ −       =       5 5 x y . Άρα, το πρότυπο του Α′(0,5) είναι το σημείο Α(5,–5). ii) Αρκεί να βρούμε την εξίσωση η οποία επαληθεύεται μόνο από τις συντεταγμένες των εικόνων των σημείων της ευθείας ε. Είναι: ′ ′       =             ⇔       ′ ′       =    − x y x y x y x y 1 1 3 2 1 1 3 2 1    ⇔ − −       ′ ′       =       2 1 3 1 x y x y ⇔ − ′ + ′ = ′ − ′ =    2 3 x y x x y y . 22-0182-02.indb 28 26/11/2013 4:08:48 μμ
  • 30.
    29 1.4 Επομένως, αν τοσημείο M(x,y) ανήκει στην ε, τότε θα ισχύει y = x + 1 3x′ – y′ = – 2x′ + y′ + l 5x′ – 2y′ = 1. Άρα το σημείο M′(x′,y′) θα ανήκει στην ευθεία ε′: 5x – 2y = 1. Αλλά και αντιστρόφως, αν το σημείο M′(x′,y′) ανήκει στην ευθεία ε′: 5x – 2y = 1, τότε το σημείο M(x,y) θα ανήκει στην ευθεία ε: y = x + 1. Συνεπώς, η εικόνα της ευθείας ε: y = x + 1 είναι η ευθεία ε′: 5x – 2y = 1. 6. i) Ο πίνακας Α γράφεται Α = −       − −       −       −               συν ηµ ηµ συν π π π π 6 6 6 6    . Επομένως, ο γραμμικός μετασχηματισμός παριστάνει στροφή με κέντρο την αρχή των αξόνων Ο και γωνία θ π = − 6 . ii) Παριστάνει ομοιοθεσία με κέντρο την αρχή των αξόνων Ο και λόγο λ = 2 0 iii) Παριστάνει το μετασχηματισμό που προκύπτει, αν εφαρμόσουμε πρώτα τη συμμετρία ως προς άξονα την ευθεία y = x και στη συνέχεια τη συμμετρία ως προς την αρχή των αξόνων Ο. iv) Παριστάνει το μετασχηματισμό που προκύπτει, αν εφαρμόσουμε πρώτα την ομοιοθεσία με κέντρο την αρχή των αξόνων Ο και λόγο λ = 2 0 και στη συνέχεια τη συμμετρία ως προς κέντρο την αρχή των αξόνων Ο. v) Παριστάνει το μετασχηματισμό που προκύπτει, αν εφαρμόσουμε πρώτα τη συμμετρία ως προς άξονα την ευθεία y = x και στη συνέχεια τη συμμετρία ως προς άξονα τον άξονα των x. vi) Παριστάνει το μετασχηματισμό που προκύπτει, αν εφαρμόσουμε πρώτα τη συμμετρία ως προς κέντρο την αρχή των αξόνων Ο, στη συνέχεια τη συμμετρία ως προς άξονα τον άξονα των x και τέλος τη συμμετρία ως προς άξονα την ευθεία y = x. 22-0182-02.indb 29 26/11/2013 4:08:48 μμ
  • 31.
    30 1.4 1.4 Β΄ ΟΜΑΔΑΣ 1.i) Είναι ′ = + ′ = +    x x y y x y 2 2 4 , οπότε y′ = 2x′. Άρα, το σημείο M′(x′,y′) ανήκει στην ευθεία y = 2x. Επομένως, όλα τα σημεία M(x,y) του επιπέδου απεικονίζονται σε σημεία της ευθείας y = 2x. ii) Αν M(x,y) είναι ένα πρότυπο του Ο(0,0), τότε θα ισχύει 0 0 1 2 2 4 2 0 2 4 0       =             ⇔ + = + =    x y x y x y ⇔ + =x y2 0 ⇔ = −y x 1 2 . Άρα, τα πρότυπα του Ο(0,0) είναι όλα τα σημεία Μ x x,−       1 2 , y∈R, δηλαδή όλα τα σημεία της ευθείας y x= − 1 2 . iii) Το σημείο Α′(1,1) δεν έχει πρότυπο ως προς το μετασχηματισμό Τ, αφού δεν ανήκει στην ευθεία y = 2x στην οποία απεικονίζονται όλα τα σημεία του επιπέδου. 2. i) Ο μετασχηματισμός Τ δεν είναι ισομετρία αφού π.χ. για τα σημεία Α(1,0) και Β(0,1) και τις εικόνες τους Α′(1,1) και Β′(–1,0) ισχύει 2 5= ≠ ′ ′ =( ) ( )ΑΒ Α Β . ii) Έχουμε Τ : ′ ′       = −            ⇔ ′ ′       = −      x y x y x y x y x 1 1 1 0 ⇔ ′ = − ′ =    x x y y x (1) Το μέσο του ΑΒ είναι το σημείο M(x0 ,y0 ) με x x x 0 1 2 2 = + και y y y 0 1 2 2 = + . Επομένως, η εικόνα του είναι το σημείο ′ ′ ′Μ ( , )x y0 0 με 22-0182-02.indb 30 26/11/2013 4:08:48 μμ
  • 32.
    31 1.4 ′ = −= + − + = − + − = ′ + ′ x x y x x y y x y x y x x 0 0 0 1 2 1 2 1 1 2 2 1 2 2 2 2 2 ( ) ( ) ′ = = + = ′ + ′ y x x x y y 0 0 1 2 1 2 2 2 . Άρα, το ′ ′ ′Μ ( , )x y0 0 είναι το μέσο του Α′Β′. iii) Έχουμε Ε ΟΑ ΟΒΟΑΒ( ) det( , )= = = − 1 2 1 2 1 2 1 2 1 2 1 2 1 2  x x y y x y y x Ε Ο Α Ο ΒΟ Α Β( ) det( , )′ ′ ′ = ′ ′ ′ ′ = − −1 2 1 2 1 1 2 2 1 2   x y x y x x = − − + = − 1 2 1 2 1 2 1 2 1 2 1 2 1 2 1 2x x y x x x x y x y y x . Επομένως Ε ΕΟΑΒ Ο Α Β( ) ( )= ′ ′ ′ . 3. i) Έστω Τ : ′ ′       =             x y x y α β γ δ ο ζητούμενος μετασχηματισμός. Τότε y y y= + x x β γx δ α′ =  ′ + . Επειδή το Α(1,1) απεικονίζεται στο Α′(0,1) και το B(1,–1) στο B′(2,1), έχουμε α β γ δ α β γ δ + = + = − = − =        0 1 2 1 οπότε α = 1, β = – 1, γ = 1 και δ = 0. Επομένως, Τ : ′ ′       = −            x y x y 1 1 1 0 . 22-0182-02.indb 31 26/11/2013 4:08:48 μμ
  • 33.
    32 1.4 Για να βρούμε,τώρα, την εξίσωση της εικόνας της ευθείας ε: y = – 2x, αρκεί να βρούμε την εξίσωση, η οποία επαληθεύεται μόνο από τις συντεταγμένες των εικόνων των σημείων της ευθείας ε. Είναι ′ ′       = −            ⇔ −      ′ ′       =  − x y x y x y x y 1 1 1 0 1 1 1 0 1      ⇔ −       ′ ′       =       ⇔ ′ = − ′+ ′ =    0 1 1 1 x y x y y x x y y . Επομένως το M(x,y) ανήκει στην ε, αν και μόνο αν y x x y y y x= − ⇔ − ′+ ′ = − ′ ⇔ ′ = ′2 2 1 3 . Συνεπώς, η εικόνα της ευθείας y = – 2x είναι η ευθεία y x= 1 3 . ii) Αν εργαστούμε αναλόγως, βρίσκουμε ότι ο μετασχηματισμός που απεικονίζει τα σημεία Α(1,1) και Β(1,–1) στα Α′(6,3) και Β′(2,1) αντιστοίχως, είναι ο Τ : ′ ′       =             x y x y 4 2 2 1 οπότε θα έχουμε ′ = + ′ = +    x x y y x y 4 2 2 . Αν M(x,y) είναι ένα σημείο της ευθείας y = – 2x, τότε θα έχουμε ′ = + − = ′ = + − =    x x x y x x 4 2 2 0 2 2 0 ( ) ( ) . Επομένως, η ευθεία y = – 2x απεικονίζεται στο σημείο Ο(0,0). 22-0182-02.indb 32 26/11/2013 4:08:49 μμ
  • 34.
    33 1.4 4. i) Απότην ισότητα των τριγώνων ΟΒΜ και ΟΑ′Μ′ προκύπτει ότι OB = OΑ′ και ΜΒ = Μ′Α′, οπότε έχουμε ΟΑ′ = ΟΒ και ΟΒ′ = ΟΑ. Επομένως, είναι x′ = – y και y′ = – x οπότε το συμμετρικό του σημείου M(x,y), ως προς την ευθεία y = – x, είναι το σημείο M′(–y, –x). Άρα ′ = − ′ = −    ⇔ ′ = ⋅ − ⋅ ′ = − ⋅ + ⋅    ⇔ ′ ′       = − −   x y y x x x y y x y x y 0 1 1 0 0 1 1 0          x y , οπότε ο ζητούμενος μετασχηματισμός είναι ο Τ : ′ ′       = − −             x y x y 0 1 1 0 που είναι γραμμικός μετασχηματισμός με πίνακα 0 1 1 0 − −       . ii) Από το διπλανό σχήμα έχουμε ′ = ′ =    ⇔ ′ = + ′ = +    x x y x x y y x y0 1 0 0 0 ⇔ ′ ′       =             x y x y 1 0 0 0 . Επομένως, η προβολή πάνω στον άξονα x′x είναι γραμμικός μετασχη- ματισμός με πίνακα 1 0 0 0       . 22-0182-02.indb 33 26/11/2013 4:08:49 μμ
  • 35.
    34 1.4 iii) Από τοδιπλανό σχήμα έχουμε ′ = ′ =    ⇔ ′ = + ′ = +    x y y x x y y x y 0 0 0 0 1 ⇔ ′ ′       =             x y x y 0 0 0 1 . Άρα, η προβολή πάνω στον άξονα y′y είναι γραμμικός μετασχηματισμός με πίνακα 0 0 0 1       . iv) Έστω Μ′(x′,y′) η προβολή του M(x,y) στην ευθεία ε: y = x. Τότε θα ισχύει ′ = ′ ⋅ = −    ⇔ ′ = ′ ′ − ′ − = −    ′ y x y x y y x x MMλ λε 1 1 ⇔ ′ = ′ ′− = − ′    y x y y x x ⇔ ′ = ′ ′− = − ′    y x x y x x ⇔ ′ = + ′ = +       x x y y x y 2 2 ⇔ ′ ′       =                   x y x y 1 2 1 2 1 2 1 2 Άρα, η προβολή πάνω στην ευθεία ε: y = x είναι γραμμικός μετασχηματισμός με πίνακα τον 1 2 1 2 1 2 1 2             =       1 2 1 1 1 1 . 22-0182-02.indb 34 26/11/2013 4:08:49 μμ
  • 36.
    35 1.4 Όπως γνωρίζουμε, οπίνακας της εικόνας ενός πολυγώνου προκύπτει, αν πολλαπλασιάσουμε τον πίνακα του γραμμικού μετασχηματισμού με τον πίνακα του πολυγώνου. Έτσι ο πίνακας της εικόνας του τετραγώνου με πίνακα 0 1 1 0 0 0 1 1       είναι ο: ● 0 0 1 1 0 1 1 0 − − − −       , με τον γραμμ. μετασχηματισμό του (i) ● 0 1 1 0 0 0 0 0       , με τον γραμμ. μετασχηματισμό του (ii) ● 0 0 0 0 0 0 1 1       , με τον γραμμ. μετασχηματισμό του (iii) ● 0 1 2 1 1 2 0 1 2 1 1 2             , με τον γραμμ. μετασχηματισμό του (iv). 5. i) Αρκεί να βρούμε την εξίσωση η οποία επαληθεύεται μόνο από τις συντεταγμένες των εικόνων των σημείων του κύκλου C: x2 + y2 = 1. Έχουμε 0 0 y = y x x x x x x yy y β y α α α β β ′ =′ ′ =        = ⇔ ⇔       ′′ ′        =  Επομένως, το M(x,y) ανήκει στον κύκλο x2 + y2 = 1, αν και μόνο αν ′      + ′      = x y α β 2 2 1 ή, ισοδύναμα, ′( ) + ′( ) = x y 2 2 2 2 1 α β . Αυτό σημαίνει ότι το M(x,y) ανήκει στον κύκλο x2 + y2 = 1, αν και μόνο αν το M′(x′,y′) ανήκει στην έλλειψη x y2 2 2 2 1 α β + = . Συνεπώς, η εικόνα του κύκλου x2 + y2 = 1 είναι η έλλειψη x y2 2 2 2 1 α β + = . 22-0182-02.indb 35 26/11/2013 4:08:49 μμ
  • 37.
    36 1.5 και 1.6 ii)Το τετράγωνο ΟΑΓΒ, που έχει πίνακα τον 0 1 1 0 0 0 1 1       , με τον μετασχηματισμό Τ έχει εικόνα το τετράπλευρο Ο′Α′Γ′Β′ με πίνακα α β α α β β 0 0 0 1 1 0 0 0 1 1 0 0 0 0             =       . Επομένως, (Ο′Α′Γ′Β′) = αβ και επειδή (ΟΑΓΒ) = 1, έχουμε (Ο′Α′Γ′Β′) = αβ(ΟΑΓΒ) 1.5 και 1.6 Α΄ ΟΜΑΔΑΣ 1. i) 2 3 5 1 2 1 1 2 − −                 = −       x y ω ii) 1 1 0 3 2 6 0 1 3 2 12 6 −                     =           x y ω . 2. i) x y x y + + − = − + + + = + − =      2 2 1 2 3 4 2 3 4 3 3 ω ϕ ω ϕ ω ϕx ii) x y x y x y x y − + = − + − = + − = + + =        3 2 2 3 1 3 2 3 4 2 3 1 ω ω ω ω . Οι επαυξημένοι πίνακες αντίστοιχα είναι: 1 2 2 1 2 1 3 4 3 0 4 3 1 2 3 − − −          , 1 1 3 2 3 1 3 1 2 4 2 3 2 1 3 1 − − − −              . 3. i) x y = = − =      3 1 2ω . Άρα το σύστημα έχει μοναδική λύση την ( , , ) ( , , )x y ω = −3 1 2 . 22-0182-02.indb 36 26/11/2013 4:08:49 μμ
  • 38.
    37 1.5 και 1.6 ii) x y x y += − =    ⇔ = − = +    3 3 2 4 3 3 4 2 ω ω ω ω . Άρα το σύστημα έχει άπειρο πλήθος λύσεων της μορφής ( , , ),3 3 4 2− + ∈ω ω ω ω R. iii) x y x y− = = =      ⇔ = + = =      2 3 4 2 3 4 ω ϕ ω ϕ . Άρα το σύστημα έχει άπειρο πλήθος λύσεων της μορφής ( , , , ),2 3 4+ ∈y y y R. 4. i) Σχηματίζουμε τον επαυξημένο πίνακα του συστήματος και έχουμε διαδοχικά 1 1 1 1 1 2 1 1 11 3 0 1 1 1 0 2 0 0 1 3 1 2 2 2 2 1 3 3 12 − −           − − − − → − → − ∼ Γ Γ Γ Γ Γ Γ           →− ∼ Γ Γ2 2 1 2 1 1 0 1 0 0 1 3 1 1 1 2 1 1 0 1 0 0 0 3 11 1 3 3 3 2 − − − −           − − −        → + ∼ Γ Γ Γ   →− ∼ Γ Γ3 3 1 3 1 1 1 0 1 0 0 0 1 1 1 1 1 1 0 0 1 0 0 0 1 0 1 1 1 1 3 1 −           −           → − ∼ ∼ Γ Γ Γ Γ →→ −Γ Γ1 2 1 0 0 0 1 0 0 0 1 1 1 1 −           Ο τελευταίος πίνακας αντιστοιχεί στο σύστημα x y z = = − =      1 1 1 . Επομένως το σύστημα έχει μοναδική λύση την (x,y,z) = (1,–1,1). 22-0182-02.indb 37 26/11/2013 4:08:50 μμ
  • 39.
    38 1.5 και 1.6 ii)Με τον αλγόριθμο του Gauss βρίσκουμε ότι ο ανηγμένος κλιμακωτός πίνακας του συστήματος είναι: 1 0 2 3 0 1 1 3 0 1 3 1 3 0 −                0 0 Επομένως το σύστημα έχει άπειρο πλήθος λύσεων της μορφής −       ∈ 2 3 + 1 3 , 1 3 + 1 3 ,z z z z, R iii)Με τον αλγόριθμο του Gauss βρίσκουμε ότι ο πίνακας του συστήματος είναι ισοδύναμος με τον πίνακα: 1 2 1 0 1 3 5 0 0 0 2 7 5 5 − −             . Επομένως το σύστημα είναι αδύνατο. 5. i) Έχουμε: 1 1 1 2 2 1 1 1 1 2 2 1 2 1 3 1 1 1 2 0 3 3 3 0 2 2 1 3 3 1 2 − − −           − − − → − → − ∼ Γ Γ Γ Γ Γ Γ 11 1 3 2 3 1 2 2 1 3 − −           →− ∼ Γ Γ 1 1 1 2 0 1 1 1 0 1 1 3 2 1 1 1 1 1 2 0 1 1 1 0 0 0 4 2 1 0 3 3 2 −           −        → − ∼ Γ Γ Γ    →− ∼ Γ Γ3 3 1 4 1 1 1 2 0 1 1 1 0 0 0 1 2 1 0 1 1 1 0 0 1 1 0 0 0 0 1 2 1 0 2 2 3 1 1 32           → − → − ∼ Γ Γ Γ Γ Γ Γ           → − ∼ Γ Γ Γ1 1 2 1 0 1 0 0 1 1 0           22-0182-02.indb 38 26/11/2013 4:08:50 μμ
  • 40.
    39 1.5 και 1.6 Οτελευταίος πίνακας αντιστοιχεί στο σύστημα: x y z x y z = + = =      ⇔ = = − =      1 1 0 1 1 0ω ω . Επομένως το σύστημα έχει άπειρο πλήθος λύσεων της μορφής (1, 1–z, z, 0), z ∈R. ii) Με τον αλγόριθμο του Gauss βρίσκουμε ότι ο ανηγμένος κλιμακωτός πίνακας του συστήματος είναι: Επομένως το σύστημα έχει άπειρο πλήθος λύσεων της μορφής z R iii) Με τον αλγόριθμο Gauss βρίσκουμε ότι ο πίνακας του συστήματος είναι ισοδύναμος με τον πίνακα: 1 1 2 1 0 1 7 3 1 0 0 0 0 2 4 3 2 − − −             Επομένως το σύστημα είναι αδύνατο. 6. i) Έχουμε: 1 2 3 4 1 6 3 14 3 4 1 13 2 2 1 3 3 1 4 4 1 3 3− − −               → − → − → − ∼ Γ Γ Γ Γ Γ Γ Γ Γ Γ 11 2 0 10 0 8 0 8 2 5 4 4 2 2 1 10− − − −               →− ∼ Γ Γ 1 0 0 0 2 1 8 8 3 1 2 4 4 1 0 0 0 2 1 0 0 3 3 2 4 4 2 8 8 − −                 → + → − ∼ Γ Γ Γ Γ Γ Γ 33 1 2 0 0 1 1 22                 → − ∼ Γ Γ Γ 22-0182-02.indb 39 26/11/2013 4:08:50 μμ
  • 41.
    40 1.5 και 1.6 1 0 0 0 0 1 0 0 2 1 2 0 0                 Επομένωςτο σύστημα έχει μοναδική λύση την ( , ) = 2, 1 2 x y       . ii) Με τον αλγόριθμο του Gauss βρίσκουμε ότι ο πίνακας του συστήματος είναι ισοδύναμος με τον πίνακα: 1 3 1 0 7 3 0 7 3 0 0 0 1 2 2 2 − − − − − −               . Επομένως το σύστημα είναι αδύνατο. 1.5 και 1.6 Β΄ ΟΜΑΔΑΣ 1. Επειδή το σύστημα έχει ως λύση την (x, y, ω) = (1,–1,1) έχουμε: α β γ α γ β γ α β γ⋅ + − + ⋅ = ⋅ + − − ⋅ = ⋅ − − + ⋅ =      ⇔ − + =1 1 1 0 1 2 1 1 1 3 1 1 1 3 0( ) ( ) ( ) αα γ β γ − = + =      3 0 . Αν προσθέσουμε κατά μέλη τις δύο πρώτες εξισώσεις, βρίσκουμε: 2α – β = 3 (1) Επίσης, αν προσθέσουμε κατά μέλη τη δεύτερη και τρίτη εξίσωση, βρίσκουμε: α + β = 3 (2) Αν τώρα προσθέσουμε κατά μέλη τις (1) και (2), βρίσκουμε ότι: 3 6 2α α= ⇔ = , οπότε β = 1 και γ = – 1. Επομένως, (α, β, γ) = (2,1,–1). 2. Αφού η παραβολή διέρχεται από τα σημεία (1,0), (2,0) και (–1,6), πρέπει οι συντεταγμένες των σημείων αυτών να επαληθεύουν την εξίσωσή της.Άρα, έχουμε το σύστημα: 0 4 + 2β = 0 = 6 α β γ α α β γ + + = + γ     − + . 22-0182-02.indb 40 26/11/2013 4:08:50 μμ
  • 42.
    41 1.5 και 1.6 Μετον αλγόριθμο του Gauss βρίσκουμε ότι ο ανηγμένος κλιμακωτός πίνακας του συστήματος είναι: 1 0 0 0 1 0 0 0 1 1 3 2 −           Επομένως, α = 1, β = – 3, γ = 2 και η εξίσωση της παραβολής είναι y = x2 – 3x + 2. Σχόλιο Το σύστημα αυτό μπορεί να λυθεί και ως εξής: Αφαιρούμε την πρώτη εξίσωση από τις άλλες δύο οπότε προκύπτει το σύστημα 3 0 2 6 α β β + = − =    . Επομένως β = –3 και α = 1. Με αντικατάσταση των τιμών των α, β στην πρώτη εξίσωση βρίσκουμε γ = 2. 3. Οι τρεις ισότητες αποτελούν σύστημα που έχει ως αγνώστους τους ημα, συνβ και εφγ. Σχηματίζουμε τον επαυξημένο πίνακα του συστήματος και έχουμε διαδοχικά: 2 4 2 4 2 1 1 1 1 2 3 3 1 1 2 4 2 2 2 1 1 2 1 1 11 3 3 1 1 1 2 − − − −               − −− − − → ∼ Γ Γ 11 1 2 2 2 1 3 3 1 4 2                 → − → − ∼ Γ Γ Γ Γ Γ Γ 1 0 0 2 10 3 1 2 3 0 1 3 3 5 3 2 1 0 0 2 3 10 1 2 0 3 2 3 − − −− − −                 − − − ↔ ∼ Γ Γ 1 3 2 3 3 5 2 2 1 3 − −                 →− ∼ Γ Γ 1 0 0 2 1 10 1 2 0 3 1 1 2 3 3 5 1 0 0 2 1 0 1 2 0 3 3 3 210 − −− − − −                 − → + ∼ Γ Γ Γ 11 1 2 3 3 3 3 1 3                 → ∼ Γ Γ 22-0182-02.indb 41 26/11/2013 4:08:51 μμ
  • 43.
    42 1.5 και 1.6 1 0 0 2 1 0 1 2 0 1 1 1 2 3 1 0 0 2 1 0 0 0 1 1 1 + 2 2 3 3 11 3 1 2 −                   → + ∼ Γ Γ Γ          → − ∼ Γ Γ Γ1 1 22 1 0 0 0 1 0 0 0 1 3 2 1 2 3                   Επομένως, ηµ συν εϕ α β γ = = =          3 2 1 2 3 και επειδή 0 2 α β γ π , , έχουμε α β γ π = = = 3 . 4. Η εξίσωση ΑΧ = 4Χ γράφεται: 2 2 3 2 2 3 4 1 2 1 4 2 4 2 2 1 2 2 +ω 4 x x x y x y y x y y x y ω ω ω ω ω + +                   = ⇔ + + =                   − −          . Από την ισότητα των πινάκων έχουμε το σύστημα: 2 2 3 4 2 4 2 2 4 2 2 3 0 2 0 2 x y x x y y x y x y x y x + + = + + = − + =      ⇔ − + + = − + = − ω ω ω ω ω ω 22 3 0y − =      ω ⇔ − − = − + =    2 2 3 0 2 0 x y x y ω ω . Αν αφαιρέσουμε κατά μέλη τις εξισώσεις βρίσκουμε ότι x = 4ω, οπότε y = 5 2 ω . Επομένως το σύστημα έχει άπειρο πλήθος λύσεων της μορφής ∈ ω5 2 R. 22-0182-02.indb 42 26/11/2013 4:08:51 μμ
  • 44.
    43 1.5 και 1.6 5.Οι ζητούμενοι πίνακες Χ είναι της μορφής x y z ω       . Επομένως, η εξίσωση ΑΧ = ΧΑ γράφεται διαδοχικά: 1 1 2 2 1 1 2 2 − −       ⋅       =       ⋅ − −       x y z x y zω ω x y z x y z x y x y z z − − − −       = + − − + − −       ω ω ω ω2 2 2 2 2 2 2 2 . Από την τελευταία ισότητα των πινάκων προκύπτει το σύστημα: x x y y z x y x z y z z y x y − = + − = − − − = + − = − −        ⇔ − − = + − ω ω ω ω ω2 2 2 2 2 2 2 2 2 0 3 zz x z y = − − = + =        0 2 3 2 0 2 0 ω ω ⇔ − − = + − = − − =      2 0 3 0 2 3 2 0 y x y z x z ω ω Με τον αλγόριθμο του Gauss βρίσκουμε ότι ο ανηγμένος κλιμακωτός πίνακας του συστήματος είναι: 1 0 3 2 1 0 1 1 2 0 0 0 0 0 0 0 0 − −                   Επομένως, το σύστημα έχει άπειρο πλήθος λύσεων της μορφής 3 2 1 2 ω ω ω ω+ −       ∈z z z, , , , , R. Άρα, οι ζητούμενοι πίνακες είναι της μορφής 3 2 + 1 2 ωω ωω ωω ωω z z z −         ∈, , R. 22-0182-02.indb 43 26/11/2013 4:08:51 μμ
  • 45.
    44 1.5 και 1.6 6.i) Σχηματίζουμε τον επαυξημένο πίνακα του συστήματος και έχουμε διαδοχικά 1 1 1 1 2 4 1 4 10 1 1 1 1 0 1 3 0 3 9 1 1 12 2 α α α α           − −           ∼ ∼ 1 1 1 0 1 3 0 0 0 1 1 3 22 α α α − − +           ● Αν α α2 3 2 0− + ≠ , δηλαδή αν α ≠ 1 και α ≠ 2 , τότε το σύστημα είναι αδύνατο. ● Αν α = 1, τότε ο τελευταίος επαυξημένος πίνακας γράφεται διαδοχικά: 1 1 1 0 1 3 0 0 1 0 00 1 0 2 0 1 3 0 0 0 1 0 0           −          ∼ Επομένως, για α = 1 το σύστημα έχει άπειρο πλήθος λύσεων της μορφής ω ω ω ω . ● Αν α = 2, τότε ο τελευταίος επαυξημένος πίνακας γράφεται διαδοχικά: 1 1 1 0 1 3 0 0 0 1 1 0 1 0 2 0 3 0 0 0 0 11 0           −          ∼ Επομένως, για α = 2 το σύστημα έχει άπειρο πλήθος λύσεων της μορφής ,(2 1 3 , ), R. ii) Σχηματίζουμε τον επαυξημένο πίνακα του συστήματος και έχουμε διαδοχικά: 1 1 1 1 2 3 1 2 6 10 1 1 1 0 1 2 0 1 1 6 4 6λ µ λ µ           − −           ∼ 1 1 1 0 1 2 0 0 3 6 4 10λ µ− −           (1) 22-0182-02.indd 44 28/11/2013 1:13:14 μμ
  • 46.
    45 1.5 και 1.6 ●Αν λ ≠ 3, από τη μορφή (1) του επαυξημένου πίνακα έχουμε διαδοχικά: 1 0 0 1 1 0 1 2 1 6 4 10 3 1 0 0 1 1 0 0 0 1 6 8 3 4 2 8 µ λ λ µ λ λ µ − −             − − − − + ∼ λλ µ λ − − −                3 10 3 ∼ 1 0 0 1 1 0 0 0 1 2 16 3 4 2 8 3 10 3 λ µ λ λ µ λ µ λ + − − − + − − −                   Επομένως, αν λλ ≠ 33 το σύστημα έχει μοναδική λύση την 2 16 3 4 2 8 3 10 3 λ µ λ λ µ λ µ λ + − − − + − − −      , , . ●Αν λ = 3 και µ ≠ 10, τότε από τη μορφή (1) του επαυξημένου πίνακα προκύπτει ότι το σύστημα είναι αδύνατο. ● Αν λ = 3 και μ = 10, τότε το σύστημα είναι συμβιβαστό και από τη μορφή (1) του επαυξημένου πίνακα έχουμε διαδοχικά: 1 1 1 0 1 3 0 0 0 1 1 0 1 0 1 0 1 2 0 0 0 2 4 0           −          ∼ Επομένως, το σύστημα έχει άπειρο πλήθος λύσεων της μορφής R. iii) Αν προσθέσουμε κατά μέλη τις δύο πρώτες εξισώσεις βρίσκουμε 2x + (κ +1)y = κ + 1. Επομένως, το σύστημα είναι ισοδύναμο με το x y x y x y + = + + = + + + =      1 2 1 1 2 1 3 ( ) ( ) κ κ κ . 22-0182-02.indd 45 28/11/2013 1:14:12 μμ
  • 47.
    46 1.7 ● Αν κκ+ ≠ ⇔ ≠1 3 2, το σύστημα είναι αδύνατο. ● Αν κ κ+ = ⇔ =1 3 2, τότε το σύστημα γράφεται: x y x y x y x y x y + = + = + =      ⇔ + = + =    1 2 3 3 2 3 3 1 2 3 3 . Από την επίλυση του τελευταίου συστήματος βρίσκουμε x = 0 και y = 1. Άρα το σύστημα έχει μοναδική λύση την (0,1). 1.7 Α΄ ΟΜΑΔΑΣ 1. i) 30 5 0 0 2 3 0 0 50 30 2 50 3000− = − = −( )( ) ii) e e e e e e e e 2 3 2 3 3 3 1 5 0 0 1 8 1 0= − = − − =( ) iii) ηµ συν συν ηµ ηµ συν συν ηµ ηµ συν θ θ θ θ θ θ θ θ θ θ 2 0 1 0 2 1 12 2 − = − = + = iv) 1 1 1 0 0 1 2 2 2 2 2 2 α β α β α β α β αβ βα αβ β α= = − = −( ) v) 1 1 1 1 0 5 1 0 2 1 1 5 1 2 2 5 10 1log log ( ) log log (log log ) log − = − − = − + = − = − vi) e e e e e e e e 0 1 1 1 1 0 1 1 0 2 2 2 2 = = − = . 22-0182-02.indb 46 26/11/2013 4:08:52 μμ
  • 48.
    47 1.7 2. i) Ηεξίσωση x x x − − = 1 1 1 2 1 0 1 0 γράφεται διαδοχικά: ( )x x x x − − − =1 1 1 2 1 1 1 0 ( )( ) ( )x x x− + − − =1 1 2 1 02 ( )( )x x− + − =1 1 2 02 ( )( )x x− − =1 1 02 ( ) ( )x x− + =1 1 02 , οπότε x = l ή x = – l ii) Η εξίσωση γράφεται διαδοχικά x x x x x x x1 3 1 3 1 1 3 3 0− − = x x x x x x( ) ( ) ( )− − − − − =3 3 3 3 02 − − + − + =2 3 3 3 02 2 x x x x − + =3 3 02 x x2 1= οπότε x = –1 ή x = 1. iii) Η εξίσωση γράφεται διαδοχικά x x x x x x x x x 3 1 3 2 1 0− + = x x x x x x( ) ( ) ( )2 2 2 3 3 2 0− − − + − = x x x x x x3 2 2 3 3 2 2 0− − + + − = x x x3 2 3 2 0− + = x x x( )2 3 2 0− + = , οπότε x = 0, 1, 2. 22-0182-02.indb 47 26/11/2013 4:08:52 μμ
  • 49.
    48 1.7 iv) Η εξίσωσηγράφεται διαδοχικά 1 1 1 1 1 1 1 1 1 1 1 02 2 − − − + = ηµ ηµ ηµ ηµ x x x x 2 02 2 − + − =( ) ( )ηµ ηµ ηµ ηµx x x x+ 2 02 2 − − + − =ηµ ηµ ηµ ηµx x x x 2 2 02 − =ηµ x ηµ2 1x = ηµx =1 ή ηµx = −1 x = +2 2 κπ π ή x = −2 2 κπ π , κ ∈. 3. i) Είναι: D = − − = − = 5 2 1 3 15 2 13. Επειδή 0D ≠ , το σύστημα έχει μοναδική λύση. Βρίσκουμε τις ορίζουσες Dx και Dy . Έχουμε Dx = − − − = − 4 2 7 3 26 και Dy = − − − = − 5 4 1 7 39. Επομένως, x D D x = = − = − 26 13 2, y D D y = = − = − 39 13 3. ii) Έχουμε D = − − = 3 4 4 4 4 4 6 6 0 252. Επειδή 0D ≠ , το σύστημα έχει μοναδική λύση. Υπολογίζουμε τις ορίζουσες Dx , Dy και Dω και βρίσκουμε Dx = 252, Dy = 126 και Dω = 378. Επομένως, x D D x = = = 252 252 1, y D D y = = = 126 252 1 2 , ω ω = = = D D 378 252 3 2 . iii) Είναι D = − = ≠ 2 3 4 1 1 1 7 1 1 46 0. 22-0182-02.indb 48 26/11/2013 4:08:52 μμ
  • 50.
    49 1.7 Το σύστημα είναιομογενές και αφού 0D ≠ έχει μοναδική λύση τη μηδενική (0,0,0). iv) Είναι D = = − = ≠ 2 1 3 2 4 3 1 0 D1 1 1 2 2 0= = και D2 2 1 3 2 1= = . Επομένως, το σύστημα έχει μοναδική λύση την ηµx D D = = =1 0 1 0, συνx D D = = =2 1 1 1. Επειδή x ∈[ , )0 2π οι τιμές του x για τις οποίες συναληθεύουν οι εξισώσεις ημx = 0 και συνx = 1 είναι μόνο η x = 0. 4. i) To σύστημα έχει και μη μηδενικές λύσεις, αν και μόνο αν 2 1 0 1 1 1 3 1 0 2 1 3 1 1 1 1 1 0 − − − − = ⇔ − − − − − − = κ κ κ κ κ κ κ ( ) ⇔ − − + − − − + − =( )( ) ( )2 3 1 1 02 κ κ κ κ ⇔ − − − − − =( )( ) ( )2 3 2 02 κ κ κ κ ⇔ − − − + =( )( )2 3 1 02 κ κ κ ⇔ − − − =( )( )2 2 02 κ κ κ ⇔ κ = 2 ή κ = – 1 ii) Το σύστημα έχει και μη μηδενικές λύσεις, αν και μόνο αν κ κ κ κ κ κ κ 1 1 1 1 1 1 0 1 1 1 02 = ⇔ − − − + − =( ) ( ) ( ) ⇔ − + − − − − =κ κ κ κ κ( )( ) ( ) ( )1 1 1 1 0 ⇔ − + − =( )( )κ κ κ1 2 02 ⇔ =κ 1 ή κ = – 2. 22-0182-02.indb 49 26/11/2013 4:08:53 μμ
  • 51.
    50 1.7 1.7 B΄ ΟΜΑΔΑΣ 1.i)Έχουμε D = = − − − 1 1 1 1 2 2 2 1κ κ κ κ κ( )( ). Επομένως: Όταν ≠κ 1και 2≠κ το σύστημα έχει μοναδική λύση. Υπολογίζουμε τις ορίζουσες Dx , Dy , Dω . Έχουμε Dx = + = 1 1 1 1 1 2 2 2 0κ κ , Dy = + = − 1 1 1 1 1 2 2 2κ κ κ κ κ( ) και Dω κ κ κ κ κ= + = − 1 1 1 1 2 2 2. Άρα, η λύση του συστήματος είναι η τριάδα (x,y,ω) με: x D D x = = − − − = 0 2 1 0 ( )( )κ κ , y D D y = = − − − − = − κ κ κ κ κ κ ( ) ( )( ) 2 2 1 1 , ω κ κ κ κ ω = = − − − − = − D D 2 2 1 1 1( )( ) . ● Όταν κ = 1 το σύστημα γράφεται: x y x y x y + + = + + = + + =      ω ω ω 1 2 2 2 2 το οποίο προφανώς είναι αδύνατο. ● Όταν κ = 2 το σύστημα γράφεται: x y x y x y x y x y + + = + + = + + =      ⇔ + + = + + =    ω ω ω ω ω 1 2 2 3 2 2 2 2 1 2 2 3 . 22-0182-02.indb 50 26/11/2013 4:08:53 μμ
  • 52.
    51 1.7 Σχηματίζουμε τον επαυξημένοπίνακα του συστήματος και έχουμε διαδοχικά: 1 1 1 2 2 1 1 3 1 1 1 0 0 1 1 1 1 1 0 0 0 1 2 1       −       −      ∼ ∼ Επομένως, το σύστημα έχει άπειρο πλήθος λύσεων της μορφής (2 , , 1),− − ∈y y y R. ii) Έχουμε D = − = − + − λ λ λ λ λ λ 1 1 1 3 3 3 1 1( )( ). Επομένως ● Όταν ≠λ 1 και ≠ −λ 1 το σύστημα έχει μοναδική λύση. Υπολογίζουμε τις ορίζουσες Dx , Dy , Dω . Έχουμε: Dx = − − = − + 1 1 1 1 1 1 3 1 4λ λ λ λ λ( )( ) , Dy = − − = − + − λ λ λ λ λ λ λ λ 1 1 1 3 1 2 3 12 ( )( ) και Dω λ λ λ λ λ= − = − − − 1 1 1 1 3 3 1 3 2 1( )( ) x D D x = = − + − + − = + + ( )( ) ( )( ) ( ) 1 4 3 1 1 4 3 1 λ λ λ λ λ λ , y D D y = = − + − − + − = − + + ( )( ) ( )( ) ( ) λ λ λ λ λ λ λ λ 2 2 2 3 1 3 1 1 2 3 3 1 και ω λ λ λ λ λ λ ω = = − − − − + − = − + D D 3 2 1 3 1 1 2 1 ( )( ) ( )( ) . ● Όταν λ = 1, το σύστημα γίνεται: x y x y x y + − = + + = + + =      ω ω ω 1 0 3 3 1 . 22-0182-02.indb 51 26/11/2013 4:08:53 μμ
  • 53.
    52 1.7 Αν αφαιρέσουμε κατάμέλη τις δύο πρώτες εξισώσεις, βρίσκουμε ω = − 1 2 , οπότε το σύστημα είναι ισοδύναμο με την εξίσωση x y+ = 1 2 , που γράφεται x y= − 1 2 . Άρα, το σύστημα έχει άπειρο πλήθος λύσεων της μορφής 1 2 , , 1 2 ,      y y R. • Όταν λ = –1, το σύστημα γίνεται: − + − = − + − = − + − =      x y x y x y ω ω ω 1 2 3 3 1 το οποίο προφανώς είναι αδύνατο. 2. Το σύστημα (y ω) 0 2 0 x x y x y λ λ ω λ ω + + =  + =  + + = γράφεται ισοδύναμα λω 0 2 0 0 x y x y x y λ λ ω λ ω + =+  + − =  + + = . Έχουμε D = − = − + 1 2 1 1 1 3 1 1 λ λ λ λ λ λ( )( ) . Επομένως: ● Αν ≠λ 1 και ≠ −λ 1 το σύστημα έχει μοναδική λύση τη μηδενική (0,0,0). ● Αν λ = 1, το σύστημα γίνεται: x y x y x y x y x y + + = + − = + + =      ⇔ + + = + − =    ω ω ω ω ω 0 2 0 0 0 2 0 . Σχηματίζουμε τον επαυξημένο πίνακα του συστήματος και έχουμε διαδοχικά: 1 1 1 1 2 1 0 0 1 1 1 0 1 2 0 0 1 0 3 0 1 2 0 0−       −       −      ∼ ∼ Επομένως, το σύστημα έχει άπειρο πλήθος λύσεων της μορφής R. ● Αν λ = – 1, το σύστημα γίνεται: x y x y x y x y x y − − = − + − = − + + =      ⇔ − − = − + − =    ω ω ω ω ω 0 2 0 0 0 2 0 . 22-0182-02.indb 52 26/11/2013 4:08:54 μμ
  • 54.
    53 1.7 Με πρόσθεση κατάμέλη βρίσκουμε y = 2ω. Επομένως, το σύστημα έχει άπειρο πλήθος λύσεων της μορφής ∈(3 2 R 3. i) Παίρνουμε τις ευθείς ε1 , ε2 και σχηματίζουμε το σύστημα: ε ε 1 2 2 1 2 1 : : x y x y + = − + =    . Το σύστημα αυτό έχει ορίζουσα 1 2 2 1 3 0= − ≠ και άρα έχει μοναδική λύση την (1,–1), που σημαίνει ότι οι ευθείες ε1 , ε2 τέμνονται στο σημείο Α(1,–1). Επειδή οι συντεταγμένες του σημείου Α επαληθεύουν και την εξίσωση της ε3 , η ευθεία ε3 διέρχεται και αυτή από το Α. Επομένως, οι τρεις ευθείες διέρχονται από το ίδιο σημείο Α(1,–1). Αν εργαστούμε, τώρα, όπως και στο ερώτημα (i) βρίσκουμε ότι: ii) Οι ευθείες ε1 , ε2 τέμνονται στο σημείο Α(23,–9), το οποίο δεν ανήκει στην ε3 , αφού οι συντεταγμένες του δεν την επαληθεύουν. Επομένως, οι ε1 , ε2 , ε3 δεν διέρχονται από το ίδιο σημείο. Επίσης, οι ευθείες ε1 , ε3 τέμνονται στο Β(1,2) και οι ε3 , ε2 στο Γ(–2,1). Άρα, οι ε1 , ε2 και ε3 σχηματίζουν τρίγωνο. iii) Επειδή ε ε 1 2 2 0 4 2 3 2 0 2 3 2 : : x y x y x y x y + = + =    ⇔ + = + =     , το σύστημα είναι αδύνατο και άρα οι ευθείες ε1 , ε2 είναι παράλληλες. Οι ευθείες ε1 , ε3 τέμνονται στο Α(–1,2), ενώ οι ευθείες ε2 , ε3 τέμνονται στο Β 1 2 1 2 ,       . iv) Τα συστήματα ε ε 1 2 3 9 1 3 0 : : x y x y + = + =    , ε ε 1 3 3 9 1 2 6 5 : : x y x y + = + =    και ε ε 2 3 3 0 2 6 5 : : x y x y + = + =    είναι αδύνατα. Επομένως οι ευθείες ε1 , ε2 , ε3 είναι παράλληλες ανά δύο. 22-0182-02.indb 53 26/11/2013 4:08:54 μμ
  • 55.
    54 1.7 4. Η ορίζουσατου συστήματος είναι: D = = − 1 1 1 2 0 2 0 42 β α γ β β αγ (1) i) Αν η εξίσωση έχει δύο ρίζες άνισες, τότε θα ισχύει D = β2 – 4αγ 0 και επομένως, λόγω της (1), το σύστημα θα έχει μοναδική λύση. Αν το σύστημα έχει μοναδική λύση, τότε θα είναι D = β2 – 4αγ ≠ 0 που σημαίνει ότι D 0 ή D 0. Όταν όμως D 0, η εξίσωση αt2 + βt + γ = 0 είναι αδύνατη. Άρα δεν ισχύει το αντίστροφο. ii) Αν η εξίσωση έχει μια διπλή ρίζα, τότε Δ = β2 – 4αγ = 0 και επομένως το ομογενές σύστημα έχει άπειρες λύσεις. 5. Οι τρεις ισότητες σχηματίζουν το ομογενές σύστημα: x y x y x y − − = − + = + − =      γ βω γ αω β α ω 0 0 0 . Επειδή οι x, y, ω δεν είναι όλοι μηδέν, το σύστημα έχει και μη μηδενικές λύσεις. Επομένως, η ορίζουσα των συντελεστών των αγνώστων είναι ίση με μηδέν. Έχουμε: ⇔ − + − − − + =1 02 α γ γ αβ β αγ β( ) ( ) ⇔ − − − − − =1 02 2 2 α γ αβγ αβγ β ⇔ + + + =α β γ αβγ2 2 2 2 1. 6. i) Λύνουμε το σύστημα x y x y + + = + = +    ( )λ λ 1 1 2 1 (1) των δύο τελευταίων εξισώσεων και εξετάζουμε αν η λύση του (εφόσον βέβαια υπάρχει) επαληθεύει και την πρώτη εξίσωση του δοθέντος συστήματος. 22-0182-02.indb 54 26/11/2013 4:08:54 μμ
  • 56.
    55 1.7 Έχουμε: D = + = −− = − 1 1 1 1 1 1 λ λ λ Dx = + + = − − − = − + 1 1 2 1 1 1 2 3 1 2 32λ λ λ λ λ λ( ) Dy = + = + − = 1 1 1 2 1 2 1 1 2 λ λ λ. Επομένως ● Αν ≠λ 0, τότε 0D ≠ και άρα το σύστημα (1) έχει μοναδική λύση την: xD D = =x λ+2 3, y = = − D D y 2 . Η λύση αυτή είναι λύση του δοθέντος συστήματος, αν και μόνο αν επαληθεύει και την πρώτη εξίσωση αυτού, δηλαδή αν και μόνο αν ισχύει: ( )( ) ( )λ λ λ λ λ λ λ+ + + − = + ⇔ + + + − = +1 2 3 2 1 2 3 2 3 2 12 ⇔ + =2 4 02 λ λ ⇔ ( ) =2 0λ λ+2 , αφού λ ≠ 0. Επομένως, α) Αν λ = – 2, τότε το σύστημα έχει μοναδική λύση την (x,y) = (–1, –2), ενώ β) Αν λ ≠ −0 2, , τότε το σύστημα είναι αδύνατο. ● Αν λ = 0, τότε το σύστημα γράφεται: x y x y x y x y y x + = + = + =      ⇔ + = ⇔ = − 1 1 1 1 1 και άρα έχει άπειρες λύσεις της μορφής R. Σχόλιο: Το παραπάνω σύστημα μπορεί να λυθεί και ως εξής: 22-0182-02.indb 55 26/11/2013 4:08:54 μμ
  • 57.
    56 1.7 Αν προσθέσουμε κατάμέλη τις δύο πρώτες εξισώσεις βρίσκουμε (λ + 2)x + (λ + 2)y = λ + 2. Επομένως το σύστημα γίνεται ( ) ( ) ( ) λ λ λ λ λ + + + = + + + = + = +      2 2 2 2 1 2 1 x y x y x y . ● Αν λ ≠ −2, τότε το σύστημα γράφεται: x y x y x y + = + + = + = +      1 1 1 2 1 ( )λ λ οπότε — αν 2 1 1λ + ≠ δηλαδή αν λ ≠ 0 , το σύστημα είναι αδύνατο. — αν 2λ + 1 = 1 δηλαδή αν λ = 0, το σύστημα έχει άπειρο πλήθος λύσεων της μορφής (1 , ),y y y− ∈R. ● Αν λ = – 2, το σύστημα γράφεται x y x y − = + = −    1 3 και έχει μοναδική λύση την (–1, –2). ii) Λύνουμε το σύστημα 2x y x y − = − − =    λ λ (2) της 1ης και 3ης εξίσωσης και εξετάζουμε αν η λύση του επαληθεύει και τη 2η εξίσωση. Έχουμε: D = − − = − + = − ≠ 2 1 1 1 2 1 1 0 Dx = − − − = + = λ λ λ λ λ 1 1 2 και Dy = − = + = 2 1 2 3 λ λ λ λ λ . Επομένως το σύστημα (2) έχει μοναδική λύση του −xD x = = λ D 2 , − yD y = = λ D 3 . 22-0182-02.indb 56 26/11/2013 4:08:54 μμ
  • 58.
    57 1.7 Η λύση αυτήείναι λύση και του δοθέντος συστήματος, αν και μόνο αν επαληθεύει και την 2η εξίσωση, δηλαδή αν και μόνο αν ισχύει: λ λ λ λ λ( ) ( )− + − + = ⇔ − − + =2 3 5 0 2 3 5 02 ⇔ + − =2 3 5 02 λ λ ⇔ = − ± λ 3 7 4 − ⇔ λ = 5 2 ή λ = 1. Επομένως, α) Αν − λ = 5 2 , τότε το σύστημα έχει μοναδική λύση την ( , ) = ,x y 5 15 2       β) Αν λ = 1, τότε το σύστημα έχει μοναδική λύση την ( ) ( 2 3)x y, = ,− − . γ) Αν , τότε το σύστημα είναι αδύνατο. 7. i) Έχουμε: ΑX X x y x y = ⇔ − −             =      λ λ 2 3 1 2 ⇔ − −       =       2 3 2 x y x y y λ λ x ⇔ − = − =    2 3 2 x y x x y y λ λ ⇔ − − = − + =    ( ) ( ) 2 3 0 2 0 λ λ x y x y (1) Επομένως, υπάρχει μη μηδενικός πίνακας Χ που να ικανοποιεί την ΑΧ = λΧ, αν και μόνο αν το σύστημα (1) έχει και μη μηδενικές λύσεις, που συμβαίνει αν και μόνο αν 2 3 1 2 0 2 2 3 0 − − − + = ⇔ − − + + = λ λ λ λ ( ) ( )( ) 22-0182-02.indb 57 26/11/2013 4:08:55 μμ
  • 59.
    58 ΓΕΝΙΚΕΣ ΑΣΚΗΣΕΙΣ Γ’ΟΜΑΔΑΣ ⇔ − =λ2 1 0 ⇔ λ = 1 ή λ = – 1. ii) Για λ = 1 το σύστημα (1) γράφεται: x y x y x y x y − = − =    ⇔ − = ⇔ = 3 0 3 0 3 0 3 και επομένως έχει άπειρες λύσεις της μορφής , ∈y, y y(3 ) R, οπότε ,   ∈    3 y X = y y R. ● Για λ = – 1 το σύστημα (1) γράφεται 3 3 0 0 0 x y x y x y x y − = − =    ⇔ − = ⇔ = και επομένως έχει άπειρες λύσεις της μορφής , ∈y, y y( ) R, οπότε ,   ∈    y X = y y R. ΓΕΝΙΚΕΣ ΑΣΚΗΣΕΙΣ (Γ΄ ΟΜΑΔΑΣ) 1. i) Έχουμε: Α Α( ) ( )x y x x x x y y y y = −      −      συν ηµ ηµ συν συν ηµ ηµ συν συν x y x y x y x y x y x y x y x y συν συν − ηµ ηµ − συν ηµ − ηµ συν  =  ηµ + συν ηµ − ηµ ηµ + συν συν  = + − + + +       = + συν ηµ ηµ συν ( ) ( ) ( ) ( ) ( ) x y x y x y x y x yΑ . ii) Από το πρώτο ερώτημα για y = – x, παίρνουμε: Α(x)Α(–x) = Α(0) Α(x)Α(–x) = I, άρα (Α(x))–1 = Α(–x) iii) Έστω Ρν ο ισχυρισμός που θέλουμε να αποδείξουμε. ● Ο ισχυρισμός αυτός ισχύει, προφανώς, για ν = 1. ● Θα αποδείξουμε τώρα ότι, αν ο Ρν είναι αληθής, δηλαδή αν ισχύει [Α(x)]ν = Α(νx), τότε θα είναι αληθής και ο Ρν+1 , δηλαδή ότι θα ισχύει [Α(x)]ν+1 = Α((ν + 1)x). 22-0182-02.indb 58 26/11/2013 4:08:55 μμ
  • 60.
    59 Πράγματι: [Α(x)]ν+1 = [Α(x)]ν Α(x) =Α(νx) Α(x) = Α(νx + x) = Α((ν + 1)x). Άρα, ο ισχυρισμός Ρν αληθεύει για κάθε ν ∈*. 2. i) Έχουμε: Μ Μ Μ2 0 1 0 0 0 1 0 0 0 0 1 0 0 0 1 0 0 0 0 0 1 0 0 0 0 0 0 = ⋅ =                     =           Μ Μ Μ3 2 0 0 1 0 0 0 0 0 0 0 1 0 0 0 1 0 0 0 0 0 0 0 0 0 0 0 0 = ⋅ =                     =           . Για ν = 3 είναι Μ 3 = . Για ν 3, είναι Μ ν = Μ3+ν–3 = Μ 3 Μ ν–3 = ∙Μ ν–3 = . Άρα Μν = για κάθε ν ∈, με ν ≥ 3. ii) ΑΒ Μ Μ Ι Μ Μ Ι= + + − − +( )[ ( ) ]α α α α α2 2 1 = − − + + − − + + − − +α α α α α α α α α α α2 4 2 3 2 2 3 2 2 2 1 1 1( ) ( ) ( )Μ Μ Μ Μ Μ Μ Μ Μ Ι = − + + − − +α α α α α αΜ Μ Μ Μ Μ Ι2 2 2 2 1( ) = − + + − − + =α α α α α α( ) ( ) .1 12 2 Μ Μ Μ Μ Ι Ι Άρα ΑΒ = Ι, συνεπώς Β–1 = Α. 3. i) Έχουμε: J J J2 0 1 1 0 0 1 1 0 = ⋅ = −       ⋅ −       = − −       = −       = − 1 0 0 1 1 0 0 1 I ii) Αν Α = αΙ + βJ και Β = γI + δJ, τότε Α + Β = αΙ + βJ + γI + δJ = (α + γ)Ι + (β + δ)J, δηλαδή Α + B = xI + yJ, όπου x = α + γ, y = β + δ ΓΕΝΙΚΕΣ ΑΣΚΗΣΕΙΣ Γ’ ΟΜΑΔΑΣ 22-0182-02.indd 59 28/11/2013 1:14:48 μμ
  • 61.
    60 και Α∙Β = (αI+ βJ)∙(γI + δJ) = αΙγΙ + αΙδJ + βJγΙ + βJδJ = αγΙ2 + αδΙJ + βγJΙ + βδJ2 = αγΙ + αδJ + βγJ – βδΙ, (αφού J2 = – I) = (αγ – βδ)Ι + (αδ + βγ)J. Άρα ΑB = xI + yJ, όπου x = αγ – βδ, y = αδ + βγ. iii) Έχουμε α β α α β β α β β α Ι + =       + −       = −      J 0 0 0 0 , οπότε ο πίνακας αΙ + βJ αντιστρέφεται μόνο όταν D = − = + ≠ α β β α α β2 2 0 . 4. Αν είναι ΟΜ = ρ, τότε λόγω συμμετρίας θα είναι και ΟΜ ′ = ρ. Έχουμε: x = ρσυνθ y = ρημθ ′ = −x ρ ϕ θσυν( )2 = +( ) ( )ρ θ ϕ ρ θ ϕσυν συν ηµ ηµ2 2 = +x yσυν ηµ2 2ϕ ϕ ′ = −y ρ ϕ θηµ( )2 = −( ) ( )ρ θ ϕ ρ θ ϕσυν ηµ ηµ συν2 2 = −x yηµ συν2 2ϕ ϕ. Δηλαδή ′ ′       = −             x y x y συν ηµ ηµ συν 2 2 2 2 ϕ ϕ ϕ ϕ . Άρα, η συμμετρία ως προς άξονα την ευθεία ε είναι γραμμικός μετασχηματισμός με πίνακα τον Α = −       συν ηµ ηµ συν 2 2 2 2 ϕ ϕ ϕ ϕ . ΓΕΝΙΚΕΣ ΑΣΚΗΣΕΙΣ Γ’ ΟΜΑΔΑΣ 22-0182-02.indb 60 26/11/2013 4:08:56 μμ
  • 62.
    61 Αν, τώρα, στονπίνακα Α θέσουμε: ● φ = 0, θα πάρουμε τον πίνακα 1 0 0 1−       του γραμμικού μετασχηματισμού της συμμετρίας ως προς τον άξονα των x. ● ϕ π = 2 , θα πάρουμε τον πίνακα −      1 0 0 1 του γραμμικού μετασχηματισμού της συμμετρίας ως προς τον άξονα των y. ● ϕ π = 4 , θα πάρουμε τον πίνακα 0 1 1 0       της συμμετρίας ως προς την ευθεία y = x. ● ϕ π = 3 4 , θα πάρουμε τον πίνακα 0 1 1 1 0 1 1 0 − −       = −       της συμμετρίας ως προς την ευθεία y = – x. 5. Έστω M(x1 ,y1 ) και M2 (x2 ,y2 ) δύο σημεία του επιπέδου τα οποία με τον γραμμικό μετασχηματισμό Τ έχουν την ίδια εικόνα, δηλαδή ισχύει ′ ′       = ′ ′       x y x y 1 1 2 2 . Θα δείξουμε ότι τα σημεία αυτά ταυτίζονται. Πράγματι, έχουμε: ′ ′       =       ⇔             =       x y x y x y x y 1 1 1 1 1 1 2α β γ δ α β γ δ 22 1 1 2 2       ⇔       =       x y x y , αφού ο πίνακας α β γ δ       αντιστρέφεται. Άρα, x1 = x2 και y1 = y2 . Επομένως ο μετασχηματισμός Τ είναι 1−1. ii) Λύνουμε την εξίσωση ′ ′       =             x y x y α β γ δ ως προς x y       . Έχουμε διαδοχικά: α β γ δ α β γ δ α β γ δ       ′ ′       =                   − −1 1 x y x y α β γ δ       ′ ′       =       −1 x y x y x y x y       =       ′ ′       − α β γ δ 1 . ΓΕΝΙΚΕΣ ΑΣΚΗΣΕΙΣ Γ’ ΟΜΑΔΑΣ 22-0182-02.indb 61 26/11/2013 4:08:56 μμ
  • 63.
    62 Επομένως, ο αντίστροφοςμετασχηματισμός του Τ είναι ο μετασχηματισμός Τ − − ′ ′       =             1 1 : x y x y α β γ δ με πίνακα τον αντίστροφο του α β γ δ      , δηλαδή τον πίνακα 1 D δ β γ α − −      , όπου D = αδ – βγ. iii) Γραμμικός μετασχηματισμός Πίνακας του γραμμικού μετασχηματισμού Πίνακας του αντίστροφου γραμμικού μετασχηματισμού ● Συμμετρία με κέντρο συμμετρίας το Ο ● Συμμετρία ως προς τον άξονα x′x ● Συμμετρία ως προς τον άξονα y′y ● Συμμετρία ως προς την ευθεία y = x ● Στροφή με κέντρο Ο και γωνία θ ● Ομοιοθεσία με κέντρο Ο και λόγο λ ≠ 0 6. Η ορίζουσα του συστήματος είναι: 2 2 2 2 2 2 1 1 1 0 0 D α β α β αβ α β α β α β = = = − = − −αβ(α β). Επομένως 1 0 0 1 0 0 12 λ λ λ λ λ       =             − −       1 0 0 1 − −       1 0 0 1 1 0 0 1−       ( )− −      = −      1 1 0 0 1 1 0 0 1 −      1 0 0 1 ( )− −       = −     1 1 0 0 1 1 0 0 1 0 1 1 0       ( )− − −       =      1 0 1 1 0 0 1 1 0 συν ηµ ηµ συν θ θ θ θ −      συν ηµ ηµ συν θ θ θ θ−       λ λ 0 0       ΓΕΝΙΚΕΣ ΑΣΚΗΣΕΙΣ Γ’ ΟΜΑΔΑΣ 22-0182-02.indb 62 26/11/2013 4:08:57 μμ
  • 64.
    63 ● Αν αβ≠ , τότε θα είναι 0D ≠ (αφού α β, ≠ 0 ) και άρα το ομογενές σύστημα θα έχει μοναδική λύση την (0,0,0). ● Αν α = β, τότε το σύστημα γράφεται: x y z x y x y x y z x y x y + + = + = + =      ⇔ + + = + = + =      0 0 0 0 0 02 2 α α α α , αφού α ≠ 0 ⇔ + + = + =    ⇔ = = −    x y z x y z x y 0 0 0 . Άρα το ομογενές σύστημα έχει άπειρο πλήθος λύσεων της μορφής ( ) R. 7. Η ορίζουσα του συστήματος είναι: D = 1 1 1 1 12 2 ηµ συν ηµ συν α α α α = − + συν συν ηµ ηµ ηµ συν ηµ συν α α α α α α α α 1 1 1 12 2 2 2 = + + −συν συν ηµ ηµ ηµ συν ηµ συνα − α − α α α α α α2 2 2 2 = +( ) ( ) ( )συν ηµ συν ηµ ηµ συν συν ηµα − α − α − α α α α − α2 2 = + +( )[ ( ) ]συν ηµ συν ηµ ηµ συνα − α − α α α α1 = −( )[( ) ( )]συν ηµ συν ηµ συνα − α − α α − α1 1 − − −= α α 1 α 1 συνα(συν η )( η )( ). Επομένως ● Αν ηµα ≠ 1 , συνα ≠ 1 και ηµ συνα α≠ , δηλαδή αν ≠ π π α 0, , 4 2 , τότε 0D ≠ και άρα το ομογενές σύστημα έχει μοναδική λύση την (0,0,0). ● Αν π α = 2 , τότε το σύστημα γράφεται: x y x x y x + + = + = + =      ⇔ = = −    ω ω ω ω 0 0 0 0 ΓΕΝΙΚΕΣ ΑΣΚΗΣΕΙΣ Γ’ ΟΜΑΔΑΣ 22-0182-02.indb 63 26/11/2013 4:08:57 μμ
  • 65.
    64 και άρα έχειάπειρες λύσεις της μορφής ( ,0, ), . ● Αν α =0, τότε το σύστημα γράφεται: x y y y x y + + = + = + =      ⇔ = = −    ω ω ω ω 0 0 0 0 και άρα έχει άπειρες λύσεις της μορφής R ● Τέλος αν π α = 4 , τότε το σύστημα γράφεται: x y x y x y x y x y x + + = + + = + + =          ⇔ + + = + + = + ω ω ω ω ω 0 2 2 2 2 0 1 2 1 2 0 0 2 2 2 0 yy + =      2 0ω ⇔ + + = + + = + + =      x y x y x y ω ω ω 0 2 0 2 0 . Αν αφαιρέσουμε κατά μέλη τις δύο πρώτες εξισώσεις, βρίσκουμε ω = 0, οπότε x + y = 0 και άρα x = – y. Επομένως, το σύστημα έχει άπειρο πλήθος λύσεων της μορφής ( ) R. 8. Παίρνουμε τις ευθείες ε1 , ε2 και ε3 ανά δύο και σχηματίζουμε τα συστήματα: ε ε κ 1 2 1: : x y x y + = + =    , ε ε κ 1 3 1 1 : : x y x y + = + =    και ε κ ε κ 2 3 1 : : x y x y + = + =    . Τα συστήματα αυτά έχουν ορίζουσες: 1 1 1 1 = 0 , 1 1 1κ = 1−−κκ και 1 1 1κ = 1−−κκ ΓΕΝΙΚΕΣ ΑΣΚΗΣΕΙΣ Γ’ ΟΜΑΔΑΣ 22-0182-02.indb 64 26/11/2013 4:08:58 μμ
  • 66.
    65 αντιστοίχως. Διακρίνουμε τώραδύο περιπτώσεις: ● Αν κ = 1, τότε τα συστήματα γράφονται: ε ε 1 2 1 1 : : x y x y + = + =    , ε ε 1 3 1 1 : : x y x y + = + =    και ε ε 2 3 1 1 : : x y x y + = + =    . Επομένως, οι τρεις ευθείες συμπίπτουν και η εξίσωσή τους είναι x + y = 1. ●Αν κ ≠ 1, τότε το πρώτο σύστημα είναι αδύνατο, ενώ τα άλλα δύο έχουν ακριβώς μια λύση.Αυτό σημαίνει ότι οι ευθείες ε1 , ε2 είναι παράλληλες και η ε3 τις τέμνει. 9. Η ορίζουσα του ομογενούς συστήματος λ ω λω y y − = + =    0 0 της 2ης και 3ης εξίσωσης είναι ίση με λ λ λ − = + ≠ 1 1 1 02 . Επομένως, το σύστημα αυτό έχει μοναδική λύση την (y,ω) = (0,0). Αν αντικαταστήσουμε τη λύση αυτή στην πρώτη εξίσωση, έχουμε: ( )λ ω − = = =      1 0 0 0 x y (1) Διακρίνουμε τώρα δύο περιπτώσεις: ● Αν λ ≠ 1 , τότε η εξίσωση (1) έχει μοναδική λύση την x = 0 και επομένως το σύστημα έχει τη μοναδική λύση (x,y,ω) = (0,0,0). ●Αν λ = 1, τότε η εξίσωση (1) αληθεύει για κάθε x ∈R και επομένως το σύστημα έχει άπειρες λύσεις της μορφής ∈( 0 0) R. 10. Έχουμε ΑX X x y x y x y x y x y = ⇔ − −             =       ⇔ − −       =  λ α α λ α α λ λ 3 1 3      ⇔ − = − =    ⇔ − − = − + =    3 3 0 1 0 x y x x y y x y x y α λ α λ λ α α λ ( ) ( ) . (1) Επειδή ( , ) (0,0)x y ≠ , το ομογενές σύστημα (1) έχει και μη μηδενικές λύσεις. Επομένως θα ισχύει: ΓΕΝΙΚΕΣ ΑΣΚΗΣΕΙΣ Γ’ ΟΜΑΔΑΣ 22-0182-02.indb 65 26/11/2013 4:08:58 μμ
  • 67.
    66 D = − − −+ = ⇔ − − + + = ⇔ − + − = 3 1 0 3 1 0 2 3 02 2 2λ α α λ λ λ α λ λ α ( ) ( )( ) . Άρα ο πραγματικός αριθμός λ είναι ρίζα της εξίσωσης t2 – 2t + (α2 – 3) = 0. Επομένως, θα ισχύει ∆ ≥ 0. Όμως Δ = 4 – 4(α2 – 3), οπότε ∆ ≥ ⇔ − − ≥0 4 4 3 02 ( )α ⇔ − + ≥1 3 02 α ⇔ ≤α2 4 ⇔ − ≤ ≤2 2α . 11. i) Έχουμε D = = − = ≠ 2 3 1 2 4 3 1 0 Dx = + + = + − + = + 5 4 3 3 2 2 10 8 9 6 2 λ λ λ λ λ( ) ( ) και Dy = + + = + − + = 2 5 4 1 3 2 6 4 5 4 λ λ λ λ λ( ) ( ) . Επομένως, το σύστημα έχει μοναδική λύση την xD x = = λ+ D 2, yD y = = λ D (2) ii) Οι εξισώσεις 2t2 +3t – (5λ + 4) = 0 και t2 + 2t – (3λ + 2) = 0 έχουν κοινή ρίζα, αν και μόνο αν υπάρχει ρ ∈R τέτοιος, ώστε να ισχύει: 2 3 5 4 0 2 3 2 0 2 3 5 4 2 3 2 2 2 2 2 ρ ρ λ ρ ρ λ ρ ρ λ ρ ρ λ + − + = + − + =     ⇔ + = + + = +   ( ) ( )   που συμβαίνει, αν και μόνο αν το ζεύγος (ρ2 , ρ) είναι η μοναδική λύση του συστήματος (Σ), δηλαδή, αν και μόνο αν ισχύει ΓΕΝΙΚΕΣ ΑΣΚΗΣΕΙΣ Γ’ ΟΜΑΔΑΣ 22-0182-02.indb 66 26/11/2013 4:08:58 μμ
  • 68.
    67 ρ λ ρ λ λλ ρ λ 2 2 2 2 0= + =    ⇔ − − = =    ⇔ = − = −    λ ρ 1 1 ή λ ρ = =    2 2 . Επομένως, οι εξισώσεις έχουν κοινή ρίζα όταν λ = – 1 (η κοινή ρίζα είναι η ρ = – 1) ή λ = 2 (η κοινή ρίζα είναι η ρ = 2). β´ τρόπος: Αν ρ κοινή ρίζα των εξισώσεων, τότε από την πρώτη εξίσωση έχουμε: 3 3 4 5 2 ρ ρ λ + − = και από τη δεύτερη ρ ρ λ 2 2 2 3 + − = . Επομένως 2 3 4 5 2 2 3 2 2 ρ ρ ρ ρ+ − = + − απ’όπου προκύπτουν ως κοινές ρίζες οι ρ1 = – 1, ρ2 = 2 και οι αντίστοιχες τιμές του λ, οι λ1 = – 1 και λ2 = 2. ΓΕΝΙΚΕΣ ΑΣΚΗΣΕΙΣ Γ’ ΟΜΑΔΑΣ 22-0182-02.indb 67 26/11/2013 4:08:58 μμ
  • 69.
  • 70.
    69 ΚΕΦΑΛΑΙΟ 2 ΜΙΓΑΔΙΚΟΙ ΑΡΙΘΜΟΙ 2.1και 2.2 Α΄ ΟΜΑΔΑΣ 1. Έχουμε z = (2λ + 3) + (6 – λ)i, οπότε: α) Ο z είναι πραγματικός, αν και μόνο αν 6 – λ = 0, δηλαδή λ = 6 β) Ο z είναι φανταστικός, αν και μόνο αν 2λ + 3 = 0, δηλαδή λ = − 3 2 . 2. α) Είναι: ( ) ( ) ( , ) ( , )x y x y i i x y x y x y+ + − = − ⇔ + = − = −    ⇔ =3 3 1 1 2 β) Είναι: 3 6 3 2 3 6 2 3 1 2 2 2 2 x x x i i x x x + − + − = + ⇔ + − = − =     ( ) (1) Όμως: x x x2 2 3 1 4 2− = ⇔ = ⇔ = ή x = – 2. Άρα x = – 2, αφού από τις λύσεις αυτές μόνο η x = – 2 επαληθεύει και την (1). γ) Είναι: 9 27 3 2 3 2 9 27 9 54 3 27 − = + − ⇔ + = =    ⇔ = − =     i x y yi x y y x y ( ) ⇔ = − =     ⇔ = − x y x y 45 3 27 15 27( , ) ( , ). 22-0182-02.indb 69 26/11/2013 4:08:59 μμ
  • 71.
    70 2.1 και 2.2 3. 4.α) Είναι z = 0 + yi. Άρα, οι εικόνες του z είναι τα σημεία M(0, y), δηλαδή τα σημεία του άξονα y′y. β) Είναι z = x + 0i. Άρα, οι εικόνες του z είναι τα σημεία Μ(x,0), δηλαδή τα σημεία του άξονα x′x. γ) Είναι z = x + xi.Άρα, οι εικόνες του z είναι τα σημεία Μ(x, x), δηλαδή τα σημεία της ευθείας y = x, που είναι διχοτόμος της 1ης και 3ης γωνίας των αξόνων. 5. α) (– 4 + 6i) + (7 – 2i) = (– 4 + 7) + (6 – 2)i = 3 + 4i β) (3 – 2i) – (6 + 4i) = (3 – 6) + (–2 – 4)i = – 3 – 6i γ) (3 + 4i) + (– 8 – 7i) + (5 + 3i) = (3 – 8 + 5) + (4 – 7 + 3)i = 0 + 0i = 0 δ) (3 + 2i)(4 + 5i) = 3∙4+3∙5i + 4∙2i + 2∙5i2 = 12 – 10 +15i +8i = 2 + 23i ε) 3i(6 + i) = 3∙6i + 3i2 = – 3 + 18i στ) (4 + 3i)(4 – 3i) = 42 – (3i)2 = 16 – 9∙i2 = 16 – 9(–1) = 16 + 9 = 25 ζ) i(3 + i)(2 – i) = i(6 – 3i + 2i – i2 ) = i(6 + 1 – i) = 7i – i2 = 1 + 7i. 6. α) 1 1 1 1 1 1 1 1 1 1 1 1 2 1 22 − = + − + = + − = + + = + i i i i i i i i ( ) ( )( ) β) i6 = i4 ∙i2 = 1(– 1) = – 1 = – 1 + 0i γ) i2 + 2i + 1 = – 1 + 2i + 1 = 0 + 2i δ) 1 3 1 2 3 3 1 3 2 3 2 2 3 2 2 +( ) = + + ⋅ = − + = − +i i i i i ε) 3 2 3 2 2 2 6 5 2 5 5 4 1 5 1 5 2 2 2 + − = + ⋅ + − + = + + − = + + = + = i i i i i i i i i i i( ) ( ) ( )( ) ( ) 11+ i 22-0182-02.indb 70 26/11/2013 4:08:59 μμ
  • 72.
    71 2.1 και 2.2 στ) 62 1 2 6 2 1 2 1 2 1 2 6 2 7 2 1 2 6 2 7 22 2 − + = − ⋅ − + ⋅ − = + − − = − −i i i i i i i i i i( ) ( ) ( ) ( ) 11 2 4 3 7 3 2 + = − i . 7. α) Είναι: ( ) ( )3 2 9 12 42 2 − − + = − ⇔ − + − − = −i x iy x yi i i x yi x yi ⇔ − − − = ⇔ − − =9 4 12 5 2 12 0x i x x i( ) Αυτή όμως είναι αδύνατη, αφού το − ≠12 0. β) Είναι: 1 1 1 1 2 1 1 2 1 2 + −       = − + − − = − i i i i . Άρα η σχέση γράφεται: − + + = + ⇔ + = +1 1 1 1 2 x iy i x iy i ⇔ + = + x yi i 1 2 ⇔ + = − x yi i2 5 ⇔ =x 2 5 και y = −1 5 . γ) Είναι: ( )( ) ( ) ( )( ) ( )3 2 2 2 2 2 1 3 2 2 2 2 1 2− − − − + − ⇔ − − − − = − +i x iy x iy i i x iy x iy i ⇔ − − = − −( )( ) ( )1 2 2 1 2i x iy i ⇔ − = −2 1x iy ⇔ = −x 1 2 και y = 0. 8. α) i6 + i16 + i26 + i36 + i46 + i56 = i2 + i0 + i2 + i0 + i2 + i0 = 0. β) 1 1 1 1 1 1 1 1 1 1 2 211 41 75 1023 3 1 3 3 i i i i i i i i i i i i− + − = − + − = − − = − = . 9. α) Για z = – 5 + 7i είναι z i= − −5 7 β) Για z = – 4 – 9i είναι z i= − +4 9 γ) Για z = 4i είναι z i= −4 δ) Για z = 11 είναι z =11 22-0182-02.indb 71 26/11/2013 4:08:59 μμ
  • 73.
    72 ε) Για z= – i είναι z i= στ) Για z = 0 είναι z = 0. 10. Αν M(x,y) είναι η εικόνα στο μιγαδικό επίπεδο του μιγαδικού z = x + yi, τότε η εικόνα του z x yi= − είναι το σημείο Μ1 (x,–y), του – z = – x –yi είναι το σημείο M2 (–x, –y) και, τέλος, του − = − +z x yi είναι το σημείο Μ3 (–x,y). Έτσι, μπορούμε να πούμε ότι: Ο z προκύπτει από τον z με συμμετρία ως προς τον άξονα x′x. Ο –z προκύπτει από τον z με συμμετρία ως προς κέντρο το Ο(0,0) και τέλος: Ο −z προκύπτει από τον z με συμμετρία ως προς τον άξονα y′y. 11. Έχουμε: z z i i i i i i i i 1 2 5 9 7 4 5 9 7 4 5 9 7 4 5 9 7 4 + = − + + + − = − + + − +       που είναι πραγματικός αριθμός ως άθροισμα δύο συζυγών μιγαδικών αριθμών. Ομοίως ο z1 – z2 θα είναι φανταστικός ως διαφορά δύο συζυγών μιγαδικών αριθμών. 12. Αν z = x + yi τότε: α) z z i x yi x yi i yi i yi i y− = ⇔ + − + = ⇔ = ⇔ = ⇔ =6 6 2 6 3 3. Άρα, οι εικόνες των μιγαδικών είναι τα σημεία της οριζόντιας ευθείας με εξίσωση y = 3. β) z z x yi x yi2 2 2 2 = ⇔ + = −( ) ( ) ⇔ + − − =( ) ( )x yi x yi2 2 0 ⇔ + + − + − + =( )( )x yi x yi x yi x yi 0 ⇔ ⋅ =2 2 0x yi ⇔ =x 0 ή y = 0. Άρα, οι εικόνες των μιγαδικών είναι τα σημεία των δύο αξόνων y′y και x′x. 2.1 και 2.2 22-0182-02.indb 72 26/11/2013 4:09:00 μμ
  • 74.
    73 2.1 και 2.2 γ) z z x yi x yi2 2 2 2 = − ⇔ − = − +( ) ( ) ⇔ + − = − + +x yi xyi x y i xyi2 2 2 2 2 2 2( ) ( ) ⇔ − − = − + −x y xyi x y xyi2 2 2 2 2 2 ⇔ − =2 02 2 ( )x y ⇔ = ±y x . Άρα, οι εικόνες των μιγαδικών είναι τα σημεία των διχοτόμων των τεσσάρων τεταρτημορίων. δ) z z x yi x yi= − ⇔ + = − −2 2 ( ) ⇔ + = − +x yi x yi( )2 ⇔ = − =    x x y y 2 1,x y⇔ = ∈R ⇔ = +z yi1 . Άρα, οι εικόνες των μιγαδικών είναι τα σημεία της κατακόρυφης ευθείας x = 1. 13. α) x x x x2 3 2 0 3 9 8 2 3 1 2 2− + = ⇔ = ± − = ± ⇔ = ή x = 1. β) x x x i i i2 2 3 0 2 8 2 2 1 2 2 1 2− + = ⇔ = ± = ± = ± ( ) γ) x x x x x x x i + = ⇔ + = ⇔ − + = ⇔ = ±1 1 1 1 0 1 3 2 2 2 . 14. Αφού οι συντελεστές της εξίσωσης 2x2 + βx + γ = 0 είναι πραγματικοί αριθμοί και μία ρίζα της είναι η 3 + 2i, η άλλη θα είναι η 3 – 2i, οπότε θα ισχύει: x x x x 1 2 1 2 2 2 6 2 13 2 12 26 + = − =       ⇔ = − =       ⇔ = − =    β γ β γ β γ . 22-0182-02.indb 73 26/11/2013 4:09:00 μμ
  • 75.
    74 2.1 και 2.2 2.1και 2.2 Β΄ ΟΜΑΔΑΣ 1. Έχουμε: z i i i i i i i = + + = + − + − = + + − + α β γ δ α β γ δ γ δ γ δ αγ βδ βγ αδ γ δ ( )( ) ( )( ) ( ) ( ) 2 2 . Άρα: 0 0 0.z α β βγ αδ αδ βγ γ δ ∈ ⇔ − = ⇔ − = ⇔ =R 2. Έχουμε z i i2 1 3 2 3 4 1 3 2 = − − = − − , οπότε: z z i i i i2 1 3 2 1 3 2 1 3 1 3 2 2 2 1− = − − − − = − − − + = − = − . Άρα: 1 1 1 12 z z− = − = − . 3. Είναι ( )1 1 1 2 22 + = − + =i i i, οπότε ( ) ( ) ( )1 1 2 2 2 220 2 10 10 10 10 10 2 10 + = +( ) = = = = −i i i i i και ( ) ( ) ( )1 1 1 220 20 20 10 − = + = + = −i i i . Άρα: ( ) ( )1 1 020 20 + − − =i i . 4. Έχουμε Α = + = +− i i i i ν ν ν ν 1 . Επομένως: ● Αν ν = 4κ, τότε iν = 1, οπότε Α = 1 + 1 = 2 ● Αν ν = 4κ + 1, τότε iν = i, οπότε Α = + = − =i i i i 1 0 ● Αν ν = 4κ + 2, τότε iν = – 1, οπότε Α = – 1 – 1 = – 2 ● Αν ν = 4κ + 3, τότε iν = – i, οπότε Α = − + − = − + =i i i i 1 0. 22-0182-02.indb 74 26/11/2013 4:09:00 μμ
  • 76.
    75 2.1 και 2.2 5.α) Αν z = x + yi τότε έχουμε: z z x yi x yi= ⇔ − = +2 2 ( ) ⇔ − = + +x yi x yi xyi2 2 2( ) ⇔ − = − +x yi x y xyi2 2 2 ⇔ − − + + =( ) ( )x y x x yi2 2 2 1 0 ⇔ + = − − =    ( )2 1 0 02 2 x y x y x 2 2 2 1 0 ή = 0 0 x y x y x + = ⇔  − − = (1) (2) ● Αν 2x + 1 = 0, δηλαδή αν x = − 1 2 , τότε η (2) γράφεται: 1 4 1 2 0 3 4 3 2 2 2 − + = ⇔ = ⇔ = ±y y y . Άρα: z i= − + 1 2 3 2 ή z i= − − 1 2 3 2 . ● Αν y = 0, τότε η (2) γράφεται: x x x x x2 0 1 0 0− = ⇔ − = ⇔ =( ) ή x = 1. Άρα: z = 0 ή z = 1. β) Αν z = x + yi, έχουμε: z z x yi x yi x yi x x yi x yi yi= ⇔ − = + ⇔ − = + + +3 3 3 2 2 3 3 3( ) ( ) ( ) ⇔ − = + − −x yi x x yi xy y i3 2 2 3 3 3 ⇔ − = − + −x yi x xy x y yi( ) ( )3 2 2 2 3 3 ⇔ − = − = −     ⇔ − − = − + =     x xy x x y y y x x y y x y 3 2 2 2 2 2 2 2 3 3 3 1 0 3 1 0( ) ( ) ( ) 2 2 2 2 0 ή 3 1 0 (3 1) 0 (2) (1)x x y y x y  = − − = ⇔  − + = ● Αν x = 0, τότε η (2) γράφεται: y y y( )1 0 02 − = ⇔ = ή y = ±1. Άρα: z = 0 ή z = i ή z = – i. ● Αν x2 = 3y2 + l, τότε η (2) γράφεται: 22-0182-02.indb 75 26/11/2013 4:09:01 μμ
  • 77.
    76 2.1 και 2.2 yy y y y y[ ( ) ] ( )3 3 1 1 8 4 0 02 2 2 + − + ⇔ + = ⇔ = . Άρα x2 = 1, οπότε x = 1 ή x = – 1 και επομένως z = 1 ή z = – 1. 6. Αν z = x + yi, τότε: z z z z x yi x yi x yi x yi x yi x yi x yi + = + − + − + = + + − − ( ) ( ) ( ) 2 2 2 2 = + + + + − + = − + x yi xyi x yi xyi x y x y x y 2 2 2 2 2 2 2 2 2 2 2 2 2( ) ( ) ( ) . Έτσι, αρκεί να αποδείξουμε ότι − ≤ − + ≤2 2 2 2 2 2 2 ( )x y x y . Πράγματι: − ≤ − + ≤ ⇔ − ≤ − + ≤2 2 2 1 1 2 2 2 2 2 2 2 2 ( )x y x y x y x y ⇔ − + ≤ − ≤ +( )x y x y x y2 2 2 2 2 2 ⇔ − − ≤ − − ≤ +     x y x y x y x y 2 2 2 2 2 2 2 2 ⇔ ≤ ≤     0 2 0 2 2 2 x y που ισχύουν και οι δύο. Άρα ισχύει και η αρχική διπλή ανισότητα. 7. α΄ τρόπος: Είναι (α + βi)2 = α2 – β2 + 2αβi =z και (β – αi)2 = β2 – α2 – 2αβi = – z. Άρα ( ) ( ) ( ) ( ) ( )α β β α α β β α+ + − = +( ) + −( ) = + − = − =i i i i z z z z10 10 2 5 2 5 5 5 5 5 0. β΄ τρόπος: Είναι β – αi = – i(α + βi). Επομένως: ( ) ( ) ( ) ( ) ( ) ( )α β β α α β α β α β α β+ + − = + + + = + − + =i i i i i i i10 10 10 10 10 10 10 0. 8. α) Έχουμε: 22-0182-02.indb 76 26/11/2013 4:09:01 μμ
  • 78.
    77 2.1 και 2.2 ● ●z z x yi x yi x x z= − ⇔ + = − + ⇔ = ⇔ = ⇔2 0 0 φανταστικός β)Αρκεί να δείξουμε ότι u u= και v v= − . Επειδή z z 1 1 1 = και z z 2 2 1 = θα είναι: ● u z z z z z z z z z z z z z z z z z z z = + + = + + = + + = + + 1 2 1 2 1 2 1 2 2 1 1 2 1 2 1 2 1 2 1 1 1 1 1 1 1 1 11 2z u= . ● v z z z z z z z z z z z z z z z z z z = − + = − + = − + = − −1 1 2 1 2 1 2 2 1 1 2 1 2 1 2 1 22 1 1 1 1 1 1 1 ( ) 11 1 2+ = − z z v . 9. α) Έστω z = x + yi. Τότε 1 2 2 2 2 z x x y y x y i= + − + . Επομένως: Re Re( )z z z x x x y x+       = ⇔ + + = 1 5 52 2 ⇔ + −       = ⇔ =x x y x 1 4 0 02 2 ή 1 42 2 x y+ = ⇔ =x 0 ή x y2 2 2 1 2 + =       . Άρα, ο γεωμετρικός τόπος είναι ο άξονας y′y με εξαίρεση το σημείο Ο(0,0) και ο κύκλος με κέντρο Ο(0,0) και ακτίνα ρ = 1 2 . β) Έχουμε: Im Im( )z z z y y x y y+       = − ⇔ − + = − 1 3 32 2 ⇔ − + =4 02 2 y y x y ⇔ − +       =y x y 4 1 02 2 22-0182-02.indb 77 26/11/2013 4:09:02 μμ
  • 79.
    78 2.3 ⇔ =y 0ή 1 42 2 x y+ = ⇔ =y 0 ή x y2 2 2 1 2 + =       . Άρα, ο γεωμετρικός τόπος είναι ο άξονας x′x με εξαίρεση το σημείο Ο(0,0) και ο κύκλος με κέντρο Ο(0,0) και ακτίνα ρ = 1 2 . 2.3 Α΄ ΟΜΑΔΑΣ 1. Έχουμε: • 1 1 1 2 12 2 + = + = = −i i , αφού z z= • 3 4 3 4 25 5 3 42 2 + = + = = = −i i • − = + − = =5 0 5 25 52 2 i ( ) • − =4 4 , 1 1 1 1 1 + − = + − = i i i i , αφού 1 1+ = −i i • ( ) ( )1 1 1 1 2 2 2 2 2 82 4 2 4 2 4 2 3 − ⋅ + = − ⋅ + = ⋅ = ⋅ = =i i i i • ( ) ( ) ( )2 1 2 2 1 2 2 1 1 2 5 5 5 52 2 2 2 2 − ⋅ + = − ⋅ + = + − ⋅ + = ⋅ = =i i i i • 3 4 3 3 4 3 3 1 4 3 10 25 10 5 2 2 2 2 + − = + − = + + − = = i i i i ( ) . 2. Έχουμε • ( )1 1 2 22 2 2 + = + = =i i • 1 1 1 1 1 1 1 1 2 2 2 2+ −       = + − = + −       = = i i i i i i • 1 1 1 1 1 1 1 1 2 2 2 2− +       = − + = − +       = = i i i i i i • λ µ λ µ λ µ λ µ λ µ λ µ + −       = + − = + −       = = i i i i i i 2 2 2 2 1 1. 22-0182-02.indb 78 26/11/2013 4:09:02 μμ
  • 80.
    79 2.3 3. α) Έχουμε zz z z zz z z z z2 2 2 2 2 0= ⇔ = ⇔ = ⇔ − =( ) ⇔ =z 0 ή z z= z⇔ ∈R β) α΄ τρόπος: Αν z z− =1 , τότε ο z θα είναι μη αρνητικός πραγματικός, αφού τέτοιος είναι και ο z −1. Επομένως θα είναι z = x, x ≥ 0, οπότε θα έχουμε: z z x x− = ⇔ − =1 1 ⇔ − =x x1 ή x x− = −1 ⇔ =x 1 2 . Άρα, z = 1 2 . β΄ τρόπος: Αν z = x + yi, τότε: z z x yi x yi x y x yi− = ⇔ − + = + ⇔ − + = +1 1 1 2 2 ( ) ( ) ⇔ − + = =     ⇔ − = =     ⇔ = =     ( )x y x y x x y x y 1 0 1 0 1 2 0 2 2 . Άρα, z = 1 2 . γ) α΄ τρόπος: Αν z i z+ = 2 , τότε ο 2z θα είναι μη αρνητικός πραγματικός. Επομένως θα είναι z = x, x ≥ 0, οπότε θα έχουμε: z i z x i x x x x x+ = ⇔ + = ⇔ + = ⇔ + =2 2 1 2 1 42 2 2 ⇔ = ⇔ = ⇔ =3 1 1 3 3 3 2 2 x x x , αφού x ≥ 0 Άρα, z = 3 3 . β΄ τρόπος: Όπως ο β΄ τρόπος της περίπτωσης 3β). 22-0182-02.indb 79 26/11/2013 4:09:02 μμ
  • 81.
    80 2.3 4. α) Ανz =1, τότε ο z θα απέχει από το Ο(0,0) απόσταση ίση με 1. Άρα, ο z θα βρίσκεται σε κύκλο κέντρου Ο και ακτίνας ρ = 1, ο οποίος έχει εξίσωση x2 + y2 = 1. β) Αν z i− =1, ο z θα απέχει από τον μιγαδικό i (δηλαδή από το σημείο Κ(0,1)) απόσταση σταθερή ίση με 1. Άρα, ο z θα βρίσκεται σε κύκλο κέντρου Κ(0,1) και ακτίνας ρ = 1, ο οποίος έχει εξίσωση: x2 + (y – 1)2 = 1. γ) Ομοίως, αν z i+ + =1 2 3 , δηλαδή αν z i− − − =( )1 2 3, τότε ο z θα απέχει από τον μιγαδικό – 1 – 2i απόσταση ίση με 3. Άρα ο z θα βρίσκεται σε κύκλο κέντρου Κ(–1, –2) και ακτίνας ρ = 3 ο οποίος έχει εξίσωση (x + 1)2 + (y + 2)2 = 9. δ) Αν 1 2 z , τότε ο z θα βρίσκεται μεταξύ των κύκλων με κέντρο το Ο(0,0) και ακτίνες ρ1 = 1 και ρ2 = 2. ε) Αν z ≥ 2 , τότε ο z θα βρίσκεται στο εξωτερικό του κύκλου κέντρου Ο(0,0) και ακτίνας ρ = 2 ή πάνω στον κύκλο αυτό. 5. α) Έχουμε z z i z z i+ = − ⇔ − − = −1 2 1 2( ) . Άρα, οι αποστάσεις του μιγαδικού z από τους μιγαδικούς – 1 + 0i και 0 + 2i, δηλαδή από τα σημεία Α(–1,0) και Β(0,2) είναι ίσες. Επομένως ο z θα ανήκει στη μεσοκάθετο του τμήματος ΑΒ. β) Έχουμε z i z z i z− + ⇔ − − −1 1( ) . Επομένως, η απόσταση του μιγαδικού z από τον i, είναι μεγαλύτερη από την απόστασή του από τον μιγαδικό – 1 + 0i. Άρα ο z θα βρίσκεται στο ημιεπίπεδο που ορίζεται από τη μεσοκάθετο του ΑΒ και από το σημείο Β, όπου Α και Β τα σημεία με συντεταγμένες (0,1) και (–1,0) αντιστοίχως. 6. Έχουμε z xi x i = + + 1 , άρα z xi x i xi x i x x = + + = + + = + + = 1 1 1 1 1 2 2 . Αφού z =1, η εικόνα Μ του z θα βρίσκεται στον κύκλο με κέντρο Ο και ακτίνα ρ = 1. 22-0182-02.indb 80 26/11/2013 4:09:03 μμ
  • 82.
    81 2.3 7. Από τηνισότητα z i− =4 2 προκύπτει ότι η απόσταση του Μ(z) από το σημείο Κ(0,4) είναι σταθερή και ίση με 2. Επομένως το Μ ανήκει σε κύκλο με κέντρο Κ(0,4) και ακτίνα ρ = 2. Σύμφωνα με την εφαρμογή 2 (σελ. 199), ο μιγαδικός με το ελάχιστο μέτρο είναι ο z1 = 2i και ο μιγαδικός με το μέγιστο μέτρο είναι ο z2 = 6i. 8. Είναι: w z w z w− = ⇔ − = ⇔ − =1 2 1 2 1 2. Αρα, οι εικόνες του w ανήκουν σε κύκλο με κέντρο το σημείο Κ(1,0) και ακτίνα ρ = 2. 9. α΄ τρόπος: Έστω z1 = x1 + y1 i και z2 = x2 + y2 i. Τότε: z1 + z2 = (x1 + x2 ) + (y1 + y2 )i και z1 – z2 = (x1 – x2 ) + (y1 – y2 )i. Άρα: z z z z x x y y x x y y1 2 2 1 2 2 1 2 2 1 2 2 1 2 2 1 2 2 + + − = + + + + − + −( ) ( ) ( ) ( ) = + + + = +2 2 2 21 2 1 2 2 2 2 2 1 2 2 2 ( ) ( )x y x y z z . β΄ τρόπος: Έχουμε: z z z z z z z z z z z z1 2 2 1 2 2 1 2 1 2 1 2 1 2+ + − = + + + − −( )( ) ( )( ) = + + + + − − +z z z z z z z z z z z z z z z z1 1 1 2 2 1 2 2 1 1 1 2 2 1 2 2 = +2 21 1 2 2z z z z = +2 21 2 2 2 z z . 22-0182-02.indb 81 26/11/2013 4:09:03 μμ
  • 83.
    82 2.3 Άρα: 2 2 22 z z z x y x y≥ + ⇔ + ≥ +Re( ) Im( ) ( ) ⇔ + ≥ + +2 22 2 2 2 ( )x y x y x y ⇔ + ≥x y x y2 2 2 ⇔ + − ≥x y x y 2 2 2 0 ⇔ −( ) ≥x y 2 0, που ισχύει. 2. Έχουμε τις ισοδυναμίες: w φανταστικός ⇔ = −w w ⇔ − + = − − + z z z z 1 1 1 1 ⇔ − + = − − +( )( ) ( )( )z z z z1 1 1 1 ⇔ + − − = − − + +zz z z zz z z1 1 ⇔ =2 2zz ⇔ =zz 1 ⇔ =z 2 1 ⇔ =z 1. 3. Έχουμε τις ισοδυναμίες: ⇔ + = +z z z z 1 1 ⇔ + = +z z z zz z2 2 ⇔ − − − =zz z z z z( ) ( ) 0 ⇔ − − =( )( )zz z z1 0 ⇔ =zz 1 ή z z= ⇔ =z 1 ή z ∈R. 4. Έχουμε τις ισοδυναμίες: w φανταστικός ⇔ = −w w ⇔ − − + = − + + z i iz z i iz α α α α ( ) 2.3 Β΄ ΟΜΑΔΑΣ 1. Αν z = x + yi, τότε: 2 2 22 2 2 2 z x y x y= ⋅ + = +( ) και Re( ) Im( )z z x y+ = + . 22-0182-02.indb 82 26/11/2013 4:09:06 μμ
  • 84.
    83 2.3 ⇔ + +− = − − −izz z z i izz z z iα α α α α α2 2 ⇔ = −2 2α αz z ⇔ = −z z ⇔ z φανταστικός 5. Αν z = x + yi, επειδή η εικόνα του z ανήκει στον κύκλο κέντρου Ο(0,0) και ακτίνας 1, θα είναι z =1 ή, ισοδύναμα, x2 + y2 = 1. Επομένως, θα έχουμε: w z i iz z i iz x y i y xi = − + = − + = + − − + + 2 2 2 2 2 2 1 2 ( ) ( ) = + − − + = + − + + − + 4 2 1 2 4 4 4 1 4 4 2 2 2 2 2 2 2 2 x y y x x y y y y x ( ) ( ) = + − + + − + = ⋅ − + − + = 4 4 1 4 4 4 1 4 1 1 4 4 1 2 2 2 2 ( ) ( ) x y y x y y y y . 6. Έχουμε: 2 1 2 2 1 2 2 2 z z z z− = − ⇔ − = − ⇔ − − = − −( )( ) ( )( )2 1 2 1 2 2z z z z ⇔ − − + = − − +4 2 2 1 2 2 4zz z z zz z z ⇔ =3 3zz ⇔ =zz 1 ⇔ = ⇔ =z z 2 1 1. Άρα, η εικόνα του z ανήκει στο μοναδιαίο κύκλο. 7. Έχουμε: Α = + + + − −( )( ) ( )( )1 1 1 1z z z z = + + + + − − +1 1z z zz z z zz = +2 1( )zz = +( )2 1 2 z = ⋅ =2 2 4. Αν Μ, Κ και Λ είναι οι εικόνες των μιγαδικών z, – 1 και 1, αντιστοίχως, τότε θα είναι: 1 2 2 + =z ΜΚ , 1 2 2 − =z ΜΛ και 4 = ΚΛ2 . Επομένως, η ισότητα 1 1 4 2 2 + + − =z z , που αποδείξαμε, γράφεται ΜΚ2 + ΜΛ2 = ΚΛ2 , 22-0182-02.indb 83 26/11/2013 4:09:10 μμ
  • 85.
    84 2.3 που σημαίνει ότιτο τρίγωνο ΜΚΛ είναι ορθογώνιο στο Μ.Αυτό ήταν αναμενόμενο, αφού το Μ είναι σημείο του μοναδιαίου κύκλου και η ΚΛ διάμετρος αυτού. 8. ● Αν z = x + yi, τότε θα έχουμε: z z i x yi x y i+ = + ⇔ + + = + +1 4 1 4( ) ( ) ⇔ + + = + +( ) ( )x y x y1 42 2 2 2 ⇔ + = +2 1 8 16x y ⇔ = −y x 1 4 15 8 . Άρα, ο ζητούμενος γεωμετρικός τόπος είναι η ευθεία ε: y x= − 1 4 15 8 . ● Το ζητούμενο σημείο είναι το ίχνος της καθέτου από την αρχή Ο στην ε. Η κάθετος αυτή έχει εξίσωση y = – 4x και επομένως οι συντεταγμένες του σημείου τομής της με την ε βρίσκεται από τη λύση του συστήματος y x y x = − = −     4 1 4 15 8 , που είναι το ζεύγος 15 34 60 34 ,−       . 9. Έστω z1 = x1 + y1 i και z2 = x2 + y2 i. Επειδή το σημείο Μ1 κινείται στον κύκλο x2 + y2 = 42 θα ισχύει x y1 2 1 2 16+ = . (1) Επομένως, η ισότητα z z z 2 1 1 4 = + γράφεται διαδοχικά: x y i x y i x y i 2 2 1 1 1 1 4 + = + + + x y i x y i x y i x y 2 2 1 1 1 1 1 2 1 2 4 + = + + − + ( ) x y i x y i x y i 2 2 1 1 1 14 16 + = + + −( ) (λόγω της (1)) x y i x y i x y i2 2 1 1 1 1 4 4 + = + + − x y i x y i 2 2 1 15 4 3 4 + = + . 22-0182-02.indb 84 26/11/2013 4:09:12 μμ
  • 86.
    85 2.4 Επομένως, x x 2 15 4 = καιy y 2 13 4 = , οπότε x x 1 24 5 = και y y 1 24 3 = (2) Αντικαθιστούμε τις τιμές αυτές των x1 και y1 στην (1) και έχουμε: 4 5 4 3 16 16 25 16 9 16 25 9 12 2 2 2 2 2 2 2 2 2 2 2 x y x y x y      +       = ⇔ + = ⇔ + = . Άρα, το σημείο Μ2 κινείται στην έλλειψη με μεγάλο άξονα 2α = 10 και εστίες E′(–4,0), E(4,0). 10. α) Έχουμε z z zz z z = ⇔ = ⇔ = ⇔ =1 1 1 12 β) Από τις ισότητες z z z z1 2 3 1= = = = =... κ έχουμε z z 1 1 1 = , z z 2 2 1 = , z z 3 3 1 = , …, z z κ κ = 1 . Άρα 1 1 1 1 2 1 2 z z z z z z+ + + = + + +... ... κ κ = + + +z z z1 2 ... κ = + + +z z z1 2 ... κ (αφού z z= ). 2.4 Α΄ ΟΜΑΔΑΣ 1. Έχουμε α) ρ = + ( ) = =1 3 4 22 2 και συν ηµ θ θ = =       1 2 3 2 . Άρα ένα όρισμα είναι το θ π = 3 . Επομένως: 1 3 2 3 3 + = +      i iσυν ηµ π π 22-0182-02.indb 85 26/11/2013 4:09:15 μμ
  • 87.
    86 2.4 β) ρ =+ −( ) = =1 3 4 22 2 και συν ηµ θ θ = = −       1 2 3 2 . Άρα ένα όρισμα είναι το θ π = − 3 . Επομένως: 1 3 2 3 3 − = −       + −            i iσυν ηµ π π . γ) ρ = − + −( ) = =( )1 3 4 22 2 και συν ηµ θ θ = − = −       1 2 3 2 . Άρα ένα όρισμα είναι το θ π π π = + = 3 4 3 . Επομένως: − − = +      1 3 2 3 3 i iσυν ηµ 4 4π π . δ) ρ = − + ( ) =( )1 3 22 2 και συν ηµ θ θ = − =       1 2 3 2 . Άρα ένα όρισμα είναι το θ π π π = − = 3 2 3 . Επομένως: ε) Είναι: 4 = 4∙1 = (συν0 + iημ0). στ) Είναι: – 4 = 4(συνπ + iημπ). 2. α) 4 15 15 6 30 30 24 45 45( ) ( ) ( )συν ηµ συν ηµ συν ηµ      + ⋅ + = +i i i = +       = +24 2 2 2 2 12 2 12 2 i i 22-0182-02.indd 86 28/11/2013 2:04:33 μμ
  • 88.
    87 2.4 β) 5 8 8 2 3 8 3 8 10 22 συν ηµ συν ηµ συν ηµ π π π π π π +      ⋅ +       = +      i i i  = + =10 0 1 10( )i i γ) συν ηµ συν ηµ συν ηµ 2 10 2 10 3 10 3 10 1 1 5 10 π π π π π +      ⋅ +       = ⋅ +i i i 55 10 π      = + = + ⋅ =συν ηµ π π 2 2 0 1i i i . 3. Έχουμε: α) 25 160 160 5 100 100 5 60 60 5 1 2 ( ) ( ) ( ) συν ηµ συν ηµ συν ηµ      + + = + = i i i ++       = + i i 3 2 5 2 5 3 2 β) 6 5 6 5 6 3 3 6 5 6 3 5 6 3 συν ηµ συν ηµ συν ηµ π π π π π π π π +       + = −       + − i i i             = +       = ⋅ + ⋅ ⋅ =6 2 2 6 0 6 1 6συν ηµ π π i i i γ) 7 130 130 14 20 20 1 2 150 ( ) ( ( ) ( )) ( ( ) συν ηµ συν ηµ συν ηµ     + − + − = + i i i (( ))150 = − +       = − + 1 2 3 2 1 2 3 4 1 4 i i. 4. Από το θεώρημα de Moivre έχουμε: α) ( ( )) ( ( ) ( ))2 20 20 2 3 20 3 203 3 συν ηµ συν ηµ    + = ⋅ + ⋅i i = + = +       = +8 60 60 8 1 2 3 2 4 4 3( )συν ηµ  i i i β) 3 5 4 5 4 3 8 5 4 8 5 4 8 8 συν ηµ συν ηµ π π π π +             = ⋅       + ⋅      i i        = ⋅ + ⋅( ) = + ⋅ =3 5 2 5 2 3 1 0 38 8 8 συν ηµ( ) ( ) ( )π πi i γ) συν ηµ συν ηµ−       + −             = − + − = π π π π 4 4 4 4 1 16 i i( ) ( ) . 22-0182-02.indb 87 26/11/2013 4:09:20 μμ
  • 89.
    88 2.4 5. Έχουμε 1 2 2 2 2 2 44 + = + = + i i iσυν ηµ π π . Άρα: 1 2 4 4 3 2 3 2 6 6 +      = +       = −       + −     − − i i iσυν ηµ συν ηµ π π π π   = − − =i i( )1 . 6. Αν z i = +1 3 2 , τότε z i= +συν ηµ π π 3 3 . Άρα: z i2000 2000 3 2000 3 =       +      συν ηµ π π = ⋅ +       + ⋅ +      συν ηµ333 2 2 3 333 2 2 3 π π π π i =       +       = − + = − + συν ηµ 2 3 2 3 1 2 3 2 1 3 2 π π i i i 7. Έχουμε z i i1 3 2 6 6 = + = +      συν ηµ π π , οπότε z i1 2 6 6 ν ν νπ νπ = +      συν ηµ . Άρα: z z z z z z1 2 1 1 1 1 1 2 2 6 2 6 ν ν ν ν ν ν ν ννπ νπ + = + = + = ⋅ = + συν συν . 8. Έστω z i= +ρ ϕ ϕ( )συν ηµ . Επειδή i i= +συν ηµ π π 2 2 , η διαίρεση του μιγαδικού z με το i ισοδυναμεί με στροφή της διανυσματικής ακτίνας του z κατά γωνία − π 2 . 9. Έχουμε: z w i i i i i i i= + + = +( ) − + − = + + −1 3 1 1 3 1 1 1 3 1 2 3 1 2 ( ) ( )( ) . (1) Όμως, z i= +      2 3 3 συν ηµ π π και w i= +      2 4 4 συν ηµ π π . Επομένως: z w i i i= +       +       = +     2 3 3 2 4 4 2 12 12 συν ηµ συν ηµ συν ηµ π π π π π π   = +2 12 2 12 συν ηµ π π i (2) 22-0182-02.indb 88 26/11/2013 4:09:24 μμ
  • 90.
    89 2.4 Άρα, λόγω των(1) και (2), έχουμε: 2 12 3 1 2 2 12 3 1 2 συν ηµ π π = + = −        , οπότε συν ηµ π π 12 3 1 2 2 2 3 1 4 12 3 1 2 2 2 3 1 4 = + = +( ) = − = −( )        10. Αν z = x + yi, τότε: z z x y xyi x yi2 2 2 2= ⇔ − + = − ⇔ − = = −    ⇔ − − = + =    x y x xy y x y x y x 2 2 2 2 2 0 2 1 0( ) 2 2 20 0 1 00 ή 2 x y x x x yy x  − − =  − = ⇔ ⇔  == = −   ή y x 2 3 4 1 2 = = −       ⇔ = =    ≠z x y 0 1 0 ή x y = − =       1 2 3 2 ή x y = − = −       1 2 3 2 Άρα, έχουμε τους μιγαδικούς z1 = 1, z i2 1 2 3 2 = − + και z i3 1 2 3 2 = − − . Για τον z1 έχουμε: z1 1= και Argz1 = 0 Για τον z2 έχουμε: z2 1= και Argz2 2 3 = π Τέλος, για τον z3 έχουμε: z3 1= και Argz3 4 3 = π , αφού z z2 3= . 22-0182-02.indb 89 26/11/2013 4:09:27 μμ
  • 91.
    90 2.4 2.4 Β΄ ΟΜΑΔΑΣ 1.α) Ο μιγαδικός w i i i i = + + + −       = + + + − 1 1 1 1 συν ηµ συν ηµ συν ηµ συν ηµ θ θ θ θ θ θ θ θ ν ν ( ) ( ))ν ως πηλίκο δύο συζυγών μιγαδικών θα έχει μέτρο 1. Για την εύρεση ενός ορίσματος του w θεωρούμε το μιγαδικό w i i 1 1 1 = + + + − συν ηµ συν ηµ θ θ θ θ και έχουμε w i i i 1 2 1 1 1 = + + + − + + ( ) ( )( ) συν ηµ συν ηµ συν ηµ θ θ θ θ θ θ = + − + + + + ( ) ( ) ( ) 1 2 1 1 2 2 2 2 συν ηµ ηµ συν συν ηµ θ θ θ θ θ θ i = + + − + + + + + 1 2 2 1 1 2 2 2 2 2 συν συν ηµ ηµ συν συν συν ηµ θ θ θ θ θ θ θ θ i ( ) = + + + + 2 2 2 1 2 2 2 συν συν ηµ συν συν θ θ θ θ θ i ( ) = + + + + 2 1 2 1 2 1 συν συν ηµ συν συν θ θ θ θ θ ( ) ( ) ( ) i = + + + = + 2 1 2 1 ( )( ) ( ) συν συν ηµ συν συν ηµ θ θ θ θ θ θ i i . Επομένως, έχουμε w w i i= = + = +1 ν ν θ θ νθ νθ( )συν ηµ συν ηµ . Άρα, το μέτρο του w είναι 1 και ένα όρισμά του είναι το νθ. β) Έχουμε: 2 2 2 2 2 2 1 2 2 2 2 1 2 2 2 2 1100 100 + + + −       = + + + −             = + i i i i σσυν ηµ συν ηµ α π π π π 4 4 1 4 4 100 + + −           = i i ( ) = + = + = −συν ηµ συν ηµ 100 4 100 4 25 25 1 π π π πi i . 22-0182-02.indb 90 26/11/2013 4:09:29 μμ
  • 92.
    91 2.4 2. α) Είναι 12 4 4 + = +      i iσυν ηµ π π και 1 2 4 4 − = −      i iσυν ηµ π π . Επομένως ( ) ( )1 1 2 4 4 2 4 4 + = − ⇔ +       = +      i i i iν ν ν ννπ νπ −νπ −νπ συν ηµ συν ηµ  ⇔ − − = ∈ νπ νπ κπ κ 4 4 2 ,  ⇔ = ∈ν κ κ4 ,  . β) Έχουμε f i i i( ) ( ) ν π π π ν ν ν = +      + −      = +       + − 1 2 1 2 4 4 4 α συν ηµ συν     + −             =iηµ συν π νπ ν 4 2 4 , οπότε f f( ) ( ) ( )ν ν π π νπ νπ ν+ = + = +       = − = −4 2 4 4 2 4 2 4 συν συν συν . Άρα f(ν + 4) + f(ν) = 0. 3. Αν ΟΜ1 και ΟΜ 2 είναι οι διανυσματικές ακτίνες των εικόνων των μιγαδικών z1 και z2 αντιστοίχως, τότε έχουμε: z z z z1 2 1 2 1 2 1 2+ = + ⇔ + = +ΟΜ ΟΜ ΟΜ ΟΜ ⇔ ↑↑ΟΜ ΟΜ1 2 (βλ. Μαθηματικά β´ Λυκείου κατεύθυνσης, άσκηση 15 σελ. 48) ⇔ =Argz Argz1 2 . 4. Έστω z = x + yi. Τότε: α) z i x y i− = + −( )1 , οπότε Arg z i x y x x y x x y x ( )− = ⇔ − =     ⇔ − =      ⇔ = +   π π 6 0 1 6 0 1 3 3 0 3 3 1εϕ    . Άρα, ο ζητούμενος γεωμετρικός τόπος είναι η ημιευθεία y x= + 3 3 1, x 0. 22-0182-02.indb 91 26/11/2013 4:09:32 μμ
  • 93.
    92 2.4 β) z +1 = x + yi, οπότε Arg z y y x y x y ( )+ = ⇔ + =     ⇔ = +    1 4 0 1 4 1 0 π π εϕ . Άρα, ο ζητούμενος γεωμετρικός τόπος είναι η ημιευθεία y = x + 1, x –1. γ) z z i x yi x y i x y y x y x x y i − = + + − = + − + − + + −( ) ( ) ( ) ( )1 1 1 1 2 2 2 2 2 , οπότε Arg z z i x y y x x y x −       = ⇔ + − =    ⇔ + −       =      π 2 0 0 1 2 1 2 2 2 2 2 2      0 . Άρα, ο ζητούμενος γεωμετρικός τόπος είναι τα σημεία του ημικυκλίου x y x2 2 2 1 2 1 2 0+ −       =       , . 5. Είναι: z i z i+ − ≤ ⇔ − − + ≤2 5 2 2 5 2( ) . (1) Άρα, η (1) παριστάνει τον κυκλικό δίσκο που ορίζει ο κύκλος C με κέντρο Κ(–2,5) και ακτίνα ρ = 2. Έστω ΟΜ1 και ΟΜ2 οι εφαπτόμενες του κύκλου C από την αρχή των αξόνων. Τότε από όλα τα διανύσματα ΟΜ , όπου Μ σημείο του κυκλικού δίσκου, τη μικρότερη γωνία με τον άξονα x′x σχηματίζει το ΟΜ1, και τη μεγαλύτερη το ΟΜ 2. Επομένως, από όλους τους μιγαδικούς z που ικανοποιούν την (1) το μικρότερο βασικό όρισμα το έχει ο μιγαδικός z1 που απεικονίζεται στο Μ1 και το μεγαλύτερο ο μιγαδικός z2 που απεικονίζεται 22-0182-02.indb 92 26/11/2013 4:09:33 μμ
  • 94.
    93 2.4 στο Μ2 . Επειδήο y′y εφάπτεται του κύκλου C στο Μ1 θα είναι z1 = 5i. Για τον προσδιορισμό του z2 εργαζόμαστε ως εξής: Η ΟΜ2 έχει εξίσωση της μορφής y = λx, λ ∈R και, επειδή εφάπτεται του C, θα πρέπει το σύστημα ( ) ( ) ( ) Σ y x x y = + + − =    λ 2 5 42 2 να έχει διπλή λύση. Είναι όμως: ( ) ( ) ( ) ( ) ( ) Σ y x x x y x x x = + + − =    ⇔ = + − − + =    λ λ λ λ λ2 5 4 1 2 5 2 25 02 2 2 2 (1) (2) Επομένως, πρέπει η διακρίνουσα της (2) να είναι ίση με μηδέν, δηλαδή πρέπει 4 5 2 4 25 1 0 10 21 0 21 20 2 2 ( ) ( )λ λ λ λ− − ⋅ + = ⇔ − − = ⇔ = − Στην περίπτωση αυτή το σύστημα έχει διπλή λύση την ( , ) ,x y = −       100 29 105 29 . Αρα, z i2 100 29 105 29 = − + . 6. Είναι z iν νθ νθ= +συν ηµ και z i− = +ν νθ νθσυν(− ηµ(−) ). Άρα: z zν ν νθ+ =− 2συν z z iν ν νθ− =− 2 ηµ . 7. α) Είναι w i z i z= −( )⋅ = − ⋅ = + −( )⋅ = =3 3 3 1 1 4 22 2 ( ) . Άρα, ο γεωμετρικός τόπος των εικόνων του w είναι ο κύκλος κέντρου Ο(0,0) και ακτίνας ρ = 2. β) Επειδή w = 2 και Argw = π 4 , έχουμε w i i i= +       = +       = +2 4 4 2 2 2 2 2 2 2συν ηµ π π 22-0182-02.indb 93 26/11/2013 4:09:36 μμ
  • 95.
    94 2.4 8. Πρέπει 2 1 1 1 3 2 2 2 κ κ κ κ π+ − + = εϕ(1) και Im( )z = + 2 1 02 κ κ . (2) Όμως, η (1) γράφεται: 2 1 3 2 3 3 3 2 3 0 32 2 2κ κ κ κ κ κ κ − = ⇔ = − ⇔ + − = ⇔ = − ή κ = 3 3 , οπότε, λόγω της (2), έχουμε κ = 3 3 . Άρα: z i i= −       +       + +       = − + + 2 2 2 1 3 3 1 3 3 2 3 3 1 3 3 1 1 3 1 1 3 2 33 3 1 1 3 1 2 3 2+ = + i . 9. Για να είναι f x( ) ≥ 0 για κάθε x ∈ R πρέπει και αρκεί να ισχύει ∆ ≤ 0. Όμως: ∆ ≤ ⇔ −( ) − ⋅ +( ) +( )≤0 2 4 1 1 1 01 2 2 1 2 2 2 z z z z ⇔ − ≤ +( ) +( )z z z z1 2 2 1 2 2 2 1 1 ⇔ − − ≤ + +( )( ) ( )( )z z z z z z z z1 2 1 2 1 1 2 21 1 ⇔ − − ≤ + + +( )( )z z z z z z z z z z z z1 2 1 2 2 2 1 1 1 2 1 21 ⇔ − − + ≤ + + +z z z z z z z z z z z z z z z z1 1 1 2 2 1 2 2 2 2 1 1 1 2 1 21 ⇔ + + + ≥ ⇔ + + + ≥1 0 1 1 01 2 1 2 1 2 1 2 1 2 1 2 1 2z z z z z z z z z z z z z z( ) ( ) ⇔ + + ≥ ⇔ + + ≥( )( ) ( )( )1 1 0 1 1 01 2 1 2 1 2 1 2z z z z z z z z ⇔ + ≥1 01 2 2 z z , που ισχύει. 22-0182-02.indb 94 26/11/2013 4:09:39 μμ
  • 96.
    95 2.5 2.5 Α΄ ΟΜΑΔΑΣ 1.α) Οι λύσεις της εξίσωσης είναι οι μιγαδικοί z iκ κπ κπ = +συν ηµ 2 3 2 3 , κ = 0, 1, 2, δηλαδή οι z0 = 1, z i1 1 2 3 2 = − + , . β) Οι λύσεις της εξίσωσης είναι οι μιγαδικοί z iκ κπ κπ = +συν ηµ 2 4 2 4 , κ = 0, 1, 2, 3, δηλαδή οι z0 1= , z i1 = , z2 1= − , z i3 = − . γ) Οι λύσεις της εξίσωσης είναι οι μιγαδικοί z iκ κπ κπ = +συν ηµ 2 6 2 6 , κ = 0, 1, 2, 3, 4, 5, δηλαδή οι z0 1= , z i1 1 2 3 2 = + , z i2 1 2 3 2 = − + , z3 1= − , z i4 1 2 3 2 = − − , z i5 1 2 3 2 = − . 22-0182-02.indb 95 26/11/2013 4:09:41 μμ
  • 97.
    96 2.5 2. α) Έχουμεz i z i3 3 3 2 3 2 = − ⇔ = +συν ηµ π π . Άρα, οι λύσεις της εξίσωσης είναι οι μιγαδικοί z iκ κπ π κπ π = +           + +           συν ηµ 2 3 2 3 2 3 2 3 , κ = 0, 1, 2 δηλαδή οι z i i0 2 2 = + =συν ηµ π π z i i i1 7 6 7 6 6 6 3 2 1 2 =       +       = − − = − −συν ηµ συν ηµ π π π π και z i i i2 11 6 11 6 6 6 3 2 1 2 =       +       = − = −συν ηµ συν ηµ π π π π . β) Έχουμε: z i z i4 4 16 4 3 4 3 16 2 4 3 4 2 4 3 4 = +       ⇔ = + + +      συν ηµ συν ηµ π π κπ π κπ π       ⇔ = +      + +           z i2 3 2 6 3 2 6 συν ηµ κπ π κπ π , κ = 0, 1, 2, 3 γ) z i z i5 5 243 5 6 5 6 243 2 5 6 5 2 5 6 5 = +       ⇔ = + + +    συν ηµ συν ηµ π π κπ π κπ π        ⇔ = +      + +           z i3 2 5 30 2 5 30 συν ηµ κπ π κπ π , κ = 0, 1, 2, 3, 4. 3. α) Έχουμε, 2 1 2 2 2 2 2 4 4 ( )+ = + = + i i iσυν ηµ π π . Επομένως, οι ρίζες της εξίσωσης είναι οι μιγαδικοί 22-0182-02.indb 96 26/11/2013 4:09:44 μμ
  • 98.
    97 2.5 z i iκσυν ηµ συν η= + + +           = +      +1 2 4 3 2 4 3 8 12 3 κπ π κπ π κπ π µµ 8 12 κπ π+      , κ = 0, 1, 2, δηλαδή οι z i0 12 12 =       +      συν ηµ π π z i i1 3 4 3 4 2 2 2 2 =       +       = − +συν ηµ π π και z i i2 17 12 17 12 5 12 5 12 =       +       = − −συν ηµ συν ηµ π π π π . β) Έχουμε 1 3 2 1 2 3 2 5 3 5 3 − = − = + i i iσυν ηµ π π . Επομένως, οι ρίζες της εξί- σωσης είναι οι μιγαδικοί z iκ συν ηµ= +           + +           2 5 3 4 2 5 3 4 κπ π κπ π , κ = 0, 1, 2, 3. γ) Έχουμε z i6 64= +( )συν ηµπ π . Επομένως, οι ρίζες της εξίσωσης είναι οι μιγαδικοί z iκ συν ηµ= +      + +           64 2 6 2 6 6 κπ π κπ π , κ = 0, 1, 2, 3, 4, 5. 4. α) Έχουμε z z z z z z3 2 3 2 3 4 8 3 4 8 0+ + = ⇔ + + − = . Με σχήμα Horner βρίσκου- με ότι μια ρίζα είναι η z = 1 και η εξίσωση γράφεται: ( )( )z z z z− + + = ⇔ =1 4 8 0 12 ή z i i= − ± = − ± 4 4 2 2 2 . β) Για την z z4 2 5 4 0+ + = , που είναι διτετράγωνη, θέτουμε z2 = w και έχουμε: w w w w2 5 4 0 5 9 2 4+ + = ⇔ = − ± ⇔ = − ή w = – 1. 22-0182-02.indb 97 26/11/2013 4:09:46 μμ
  • 99.
    98 2.5 ● Αν w= – 4,τότε z2 = – 4, οπότε z = 2i ή z = –2i ● Αν w = –1, τότε z2 = –1, οπότε z = i ή z = – i. 5. Η εξίσωση 3x3 – 10x2 + 7x + 10 = 0 έχει πραγματικούς συντελεστές και, αφού έχει ως ρίζα τον 2 + i, θα έχει και τον συζυγή του 2 – i. Έτσι το α′ μέλος θα έχει ως παράγοντα το γινόμενο (x – 2 – i)(x – 2 + i) = x2 – 4x + 5. Εκτελούμε τη διαίρεση και βρίσκουμε πηλίκο 3x + 2 και υπόλοιπο 0. Άρα η εξίσωση γράφεται: ( )( )3 2 4 5 0 3 2 02 x x x x+ − + = ⇔ + = ή x x2 4 5 0− + = ⇔ = −x 2 3 ή x i= ±2 . 6. Επειδή w3 = 1, είναι 1 1 1 02 3 + + = − − =w w w w , οπότε l + w2 = – w και l + w = – w2 . Έτσι, έχουμε: ( )( ) ( )( )1 1 2 2 4 42 2 2 3 − + + − = − − = =w w w w w w w , αφού w3 = l. 7. Είναι: 1 0 1 1 0 1 0 1 1 1 2 3 4 5 6 6 6 + + + + + = ⇔ − − = ⇔ − = ≠    ⇔ = ≠    x x x x x x x x x x x . Άρα οι ρίζες της εξίσωσης είναι οι μιγαδικοί: x iκ συν ηµ= + 2 6 2 6 κπ κπ , κ = 1, 2, 3, 4, 5, αφού, για κ = 0, έχουμε x0 = 1, που εξαιρείται. 8. Έχουμε: z z z z z z3 2 2 3 3 9 0 3 3 3 0+ + + = ⇔ + + + =( ) ( ) ⇔ + + = ⇔ + =( )( )z z z3 3 0 3 02 ή z2 3 0+ = ⇔ = −z 3 ή z i= ± 3. Παρατηρούμε ότι οι εικόνες Α(–3,0), Β( , )0 3 , Γ ( , )0 3− των ριζών –3, i 3 και 3−i είναι κορυφές ισοπλεύρου τριγώνου, αφού ΑΒ = ΒΓ = ΓΑ= 2 3. 22-0182-02.indb 98 26/11/2013 4:09:49 μμ
  • 100.
    99 2.5 2.5 Β΄ ΟΜΑΔΑΣ 1.α) Έχουμε z i z i3 3 1 2 4 4 = − ⇔ = −       + −            συν ηµ π π ⇔ = −           + −                  z i2 2 4 3 2 4 3 6 συν ηµ κπ π κπ π    , κ = 0, 1, 2. β) Η εξίσωση γράφεται ισοδύναμα ( ) ( )( )z i z− = − +1 1 13 3 (1) και επειδή δεν έχει ρίζα τον αριθμό z = – 1, παίρνει τη μορφή z z i − +       = − 1 1 1 3 . (2) Θέτουμε z z w − + = 1 1 , (3) οπότε η (2) γράφεται w i3 1= − . Έτσι, λόγω της (α), έχουμε w i= − + −           2 2 4 3 2 4 3 6 συν ηµ κπ π κπ π , κ = 0, 1, 2. (4) Όμως, λόγω της (3), είναι z z w z zw w − + = ⇔ − = + 1 1 1 ⇔ − = +z w w( )1 1 ⇔ = + − z w w 1 1 , αφού (4) 1w ≠ . Ετσι, η εξίσωση έχει ως λύσεις τους αριθμούς: 22-0182-02.indb 99 26/11/2013 4:09:52 μμ
  • 101.
    100 2.5 z w w κ κ κ = + − 1 1 , όπου wiκ κπ π κπ π = − + −           2 2 4 3 2 4 3 6 συν ηµ , κ = 0, 1, 2. 2. α΄ τρόπος: Η εξίσωση z6 + 2z5 + 2z4 + 2z3 + z2 + (z + 1)2 = 0 γράφεται διαδοχικά z6 + 2z5 + 2z4 + 2z3 + 2z2 + 2z + 1 = 0 z6 + 2(z5 + z4 + z3 + z2 + z + 1) – 1 = 0 z z z 6 6 2 1 1 1 0+ − − − = (αφού ο z = 1 δεν είναι ρίζα της εξίσωσης) z7 + z6 – z – 1 = 0, 1z ≠ z6 (z + 1) – (z + 1) = 0, 1z ≠ (z + 1)(z6 – 1) = 0, 1z ≠ . Επομένως, z = – 1 ή (z6 = 1, με 1z ≠ ). Για 1z ≠ , έχουμε: z z z6 3 3 1 0 1 1 0− = ⇔ − + =( )( ) ⇔ − + + + − + =( )( )( )( )z z z z z z1 1 1 1 02 2 ⇔ + + =z z2 1 0 ή z + 1 = 0 ή z2 – z + 1 = 0 ⇔ = − ± z i1 3 2 ή z = – 1 ή z i = ±1 3 2 Επομένως, οι ρίζες είναι οι: – 1 (διπλή), − ±1 3 2 i και 1 3 2 ± i . β΄ τρόπος: Μια προφανής ρίζα είναι η z = − l. Έτσι η εξίσωση, σύμφωνα με το σχήμα Horner, γράφεται: ( )( )z z z z z z z+ + + + + + = ⇔ + =1 1 0 1 05 4 3 2 ή z z z z z5 4 3 2 1 0+ + + + + = ⇔ + =z 1 0 ή z z 6 1 1 0 − − = ⇔ = −z 1 ή ( z6 1= με 1z ≠ ) 22-0182-02.indb 100 26/11/2013 4:09:55 μμ
  • 102.
    101 2.5 ⇔ = −z1 ή z i= +συν ηµ 2 6 2 6 κπ κπ , κ = 1, 2, 3, 4, 5 ⇔ = −z 1 (διπλή) ή z i = ±1 3 2 ή z i = − ±1 3 2 . 3. Έχουμε: z z i z z7 7 1 0 1+ = ⇔ = − = + ⇔ =συν ηµπ π κ, κ = 0, 1, 2, 3, 4, 5, 6, όπου z iκ π κπ π κπ = + + +     συν ηµ 2 7 2 7 . Επομένως z i0 7 7 = +συν ηµ π π , z z4 2= , z i1 3 7 3 7 = +συν ηµ π π , z z5 1= , z i2 5 7 5 7 = +συν ηµ π π , z z6 0= . z i3 1= + = −συν ηµπ π , Το πολυώνυμο z7 + 1 γράφεται z z z z z z z z7 6 5 4 3 2 1 1 1+ = + − + − + − +( )( ) (1) Όμως z z z z z z z z z z z z z z z7 0 1 2 3 4 5 61+ = − − − − − − −( )( )( )( )( )( )( ) = − − − + − − −( )( )( )( )( )( )( )z z z z z z z z z z z z z0 1 2 2 1 01 = + ⋅ − − ⋅ − − ⋅ − −( ) [( )( )] [( )( )] [( )( )]z z z z z z z z z z z z z1 0 0 1 1 2 2 (2) Από τις ισότητες (1) και (2) έχουμε: z z z z z z z z z z z z z z z z z z6 5 4 3 2 0 0 1 1 21− + − + − + = − − − − − −[( )( )][( )( )][( )( 22 )] . Καθένας από τους τρεις παράγοντες του δευτέρου μέλους είναι τριώνυμο δευτέρου βαθμού με πραγματικούς συντελεστές. Πράγματι, ο παράγοντας ( )( )z z z z− −0 0 γράφεται 22-0182-02.indb 101 26/11/2013 4:09:58 μμ
  • 103.
    102 2.5 ( )( )( )z z z z z z z z z z− − = − + +0 0 2 0 0 0 0 = − +z z2 2 7 1συν π . Ομοίως ( )( ) ( )z z z z z z z z z z− − = − + +1 1 2 1 1 1 1 = − +z z2 2 3 7 1συν π και ( )( ) ( )z z z z z z z z z z− − = − + +2 2 2 2 2 2 2 = − +z z2 2 5 7 1συν π . 4. Έχουμε ( ) ( ) ( ) ( )( )z z z z z z z z z2 2 3 2 2 2 2 2 1 0 1 1 0 1 1 0+ + + = ⇔ + + + = ⇔ + + + = ⇔ + =z2 1 0 ή z z2 1 0+ + = ⇔ + =z2 1 0 ή ( z3 1= , με 1z ≠ ) ⇔ = ±z i ή z = ω ή z = ω, όπου ω π π = +συν ηµ 2 3 2 3 i , αφού 1z ≠ . Θέτουμε, τώρα, καθεμιά από τις ρίζες αυτές στην εξίσωση z16 + 2z14 + 1 = 0 και ελέγχουμε αν την επαληθεύουν ή όχι. Έτσι: ● Για z = i είναι: z16 + 2z14 + 1 = i16 + 2i14 + 1 = 1 – 2 + 1 = 0. Άρα, ο μιγαδικός i είναι ρίζα και της εξίσωσης z16 + 2z14 + 1 = 0. Επειδή η εξίσωση αυτή έχει πραγματικούς συντελεστές, ο συζυγής του i, δηλαδή ο – i θα είναι και αυτός ρίζα της. Άρα, οι αριθμοί i και – i είναι κοινές ρίζες των εξισώσεων. ● Για z = ω, επειδή ω3 = l, είναι: ω ω ω ω ω ω16 14 15 12 2 2 1 2 1+ + = ⋅ + ⋅ + = + + = + + + = + = ≠ω ω ω ω ω ω ω2 1 1 0 02 2 2 2 2 ( ) Άρα, η ω δεν είναι κοινή ρίζα των εξισώσεων, οπότε και η συζυγής της δεν μπορεί να είναι κοινή ρίζα αυτών. 22-0182-02.indb 102 26/11/2013 4:10:01 μμ
  • 104.
    103 2.5 Τελικά, οι δύοεξισώσεις έχουν δύο ρίζες κοινές, τους μιγαδικούς i και – i. 5. α΄ τρόπος: Η εξίσωση: z z7 3 1⋅ = γράφεται ισοδύναμα z z z z z z z4 3 4 2 3 4 6 1 1 1( )⋅ = ⇔ ( ) = ⇔ = . (1) Επομένως: z z z z z z zz zz4 6 4 6 10 2 3 1 1 1 1 1 1= ⇔ = ⇔ = ⇔ = ⇔ = ⇔ =( ) . Άρα η (1) γράφεται: z zz z z4 3 4 1 1 1( ) = ⇔ = ⇔ = ± ή z i= ± . β΄ τρόπος: Έστω z i= +ρ θ θ( )συν ηµ η τριγωνομετρική μορφή του z. Τότε η εξίσωση γράφεται ρ θ θ ρ θ θ ρ θ θ7 3 10 1 1( ) ) ) )συν7 ηµ7 συν(−3 ηµ(−3 (συν4 ηµ4+ ⋅ +( ) = ⇔ + =i i i ⇔ =ρ 1 και 4 2θ κπ= , κ ∈ ⇔ =ρ 1 και θ κπ = 2 , κ ∈. Άρα, οι ρίζες είναι z0 1= , z i i1 2 2 = + =συν ηµ π π , z i2 1= + = −συν ηµπ π και z i i3 3 2 3 2 = + = −συν ηµ π π . 6. Έστω ξ μία πραγματική ρίζα της εξίσωσης. Τότε ( ) ( )1 1+ = −ξ ξν ν i p i , οπότε p i i = + − ( ) ( ) 1 1 ξ ξ ν ν . Άρα p i i i i i i i i = + − = + −       = + − = + −       ( ) ( ) 1 1 1 1 1 1 1 1 ξ ξ ξ ξ ξ ξ ξ ξ ν ν ν ν  = = ν ν 1 1. 7. α) Είναι: x x1 2 2 1 2+ = − − = ( ) και x x1 2 4 1 4= = . 22-0182-02.indb 103 26/11/2013 4:10:05 μμ
  • 105.
    104 2.5 Άρα, x x xx x x1 2 2 2 1 2 2 1 2 2 2 2 2 4 4+ = + − = − ⋅ = −( ) και x x x x1 2 2 2 1 2 2 16= =( ) β) Αφού η εξίσωση x2 + px + q = 0 έχει ρίζες τις ρ1 1 2 = x και ρ2 2 2 = x θα ισχύει: p x x= − + = − + =( ) ( )ρ ρ1 2 1 2 2 2 4 και q x x= = =ρ ρ1 2 1 2 2 2 16. 8. α) Η εξίσωση συν συν συν2 2 2 2 5 4 0θ θ θ⋅ − ⋅ + − =z z ( ) είναι β′ βαθμού ως προς z και έχει διακρίνουσα: ∆ θ θ θ= − − −( ) ( )2 4 5 42 2 2 συν συν συν = − + = − +4 1 5 4 4 4 42 2 2 2 συν συν συν συνθ θ θ θ( ) ( ) 2 2 2 16 (1 4 ) (4 η ) 0θ θ θ θ= − συν − συν = − συν . Έτσι έχουμε: z i i i1 2 2 2 4 2 1 2 1 2, = ± = ± = ± συν ηµ συν συν ηµ συν συν εϕ θ θ θ θ θ θ θ θ. β) Οι εικόνες των λύσεων, καθώς το θ μεταβάλλεται στο −       π π 2 2 , , είναι τα σημεία με συνισταμένες ( , ) ,x y = ±       1 2 συν εϕ θ θ . Έτσι, θα έχουμε: x y = = ±       1 2 συν ηµ συν θ θ θ , οπότε x y 2 2 2 2 2 1 4 = =       συν ηµ συν θ θ θ και άρα x y 2 2 2 2 2 1 4 = =       συν ηµ συν θ θ θ Επομένως x y2 2 2 2 2 2 2 2 1 2 1 1− = − = = ηµ συν συν συν θ θ θ θ . Άρα, οι εικόνες των λύσεων της εξίσωσης κινούνται στην υπερβολή x y2 2 2 2 1 2 1− = . 22-0182-02.indb 104 26/11/2013 4:10:08 μμ
  • 106.
    105 9. Έχουμε x xx x x x9 5 4 5 4 4 1 0 1 1 0− + − = ⇔ − + − =( ) ⇔ − + =( )( )x x4 5 1 1 0 4 1 0⇔ − =x (1) ή x5 1 0+ = (2) Όμως: x x x x4 2 2 2 1 0 1 1 0 1− = ⇔ − + = ⇔ =( )( ) ή 2 1 1= − ⇔ = ±x x ή x i= ± και x x x i5 5 5 1 0 1+ = ⇔ = − ⇔ = +συν ηµπ π ⇔ = + + + x iσυν ηµ 2 5 2 5 κπ π κπ π , κ = 0, 1, 2, 3, 4. ΓΕΝΙΚΕΣ ΑΣΚΗΣΕΙΣ (Γ΄ ΟΜΑΔΑΣ) 1. α) Έχουμε f z z z z z −       = − −       −       +       −       + −       1 1 1 1 1 1 1 == − + ⋅ − − − ( ) ( )1 1 1 1 z z z z z z = − − ⋅ + − + = − + + = ( ) ( ) ( ) ( )( ) ( ) z z zz z z zz z z z z f z 1 1 1 1 . β) Έχουμε: f z zz z z z z x y yi x x y x y x i( ) = + − − + = + + − = + − + 1 2 1 2 1 2 2 2 2 2 2 2 2 2 α β β α α β α β α . Έτσι: Re( ( ))f z x y x y x y = ⇔ + − = ⇔ + = ⇔       +      0 1 0 1 1 1 2 2 2 2 2 2 2 2 2 2 2 α β α β α β  =2 1. Άρα τα σημεία Μ(x,y) βρίσκονται στην έλλειψη x y2 2 2 2 1 1 1 α β       +       = . ΓΕΝΙΚΕΣ ΑΣΚΗΣΕΙΣ Γ’ ΟΜΑΔΑΣ 22-0182-02.indb 105 26/11/2013 4:10:11 μμ
  • 107.
    106 2. Αν z= x + yi, τότε η ισότητα w w= 1 γράφεται διαδοχικά z zi i− = − 1 α α x yi x yi i i+ − + = −( ) 1 α α ( ) ( )x y x y i i+ − − = − 1 α α Επομένως x y x y + = − =     1 α α και με πολλαπλασιασμό κατά μέλη έχουμε x y2 2 1− = που είναι εξίσωση ισοσκελούς υπερβολής. 3. α) Αν z = x + yi, τότε θα έχουμε x y x y y x y x = + = −    ⇔ = − = −    ⇔ = − − ⇔ = − λ λ λ λ 2 3 1 2 3 1 3 2 1 3 7( ) . Άρα, ο γεωμετρικός τόπος των εικόνων του z είναι η ευθεία y = 3x – 7. β) Έχουμε: w z i w i= + + ⇔ = + +1 3 3( )λ λ . Άρα, αν w = x + yi, τότε θα ισχύει: x y x y y x y x = + =    ⇔ = − =    ⇔ = − ⇔ = − λ λ λ λ 3 3 3 3 3 3 3 9( ) . Επομένως, ο γεωμετρικός τόπος των εικόνων του w είναι η ευθεία y = 3x – 9. γ) Το πλησιέστερο σημείο της ευθείας ε : y = 3x – 7 από το σημείο Ο(0,0) είναι το ίχνος της κάθετης η προς την ε από το Ο(0,0). Επειδή λ λε η⋅ = −1, έχουμε λη = − 1 3 . Άρα, η ευθεία η έχει εξίσωση y x= − 1 3 . Έτσι, το ζητούμενο σημείο θα είναι το σημείο τομής των ε και η. Επιλύοντας το σύστημα y x y x = − = −     3 7 1 3 βρίσκουμε ότι οι συντεταγμένες του σημείου αυτού είναι ( , ) ,x y = −       21 10 7 10 . ΓΕΝΙΚΕΣ ΑΣΚΗΣΕΙΣ Γ’ ΟΜΑΔΑΣ 22-0182-02.indb 106 26/11/2013 4:10:14 μμ
  • 108.
    107 Άρα, το πλησιέστεροσημείο της ε προς το Ο θα είναι το Α 21 10 7 10 ,−       . 4. α) Αν z = x + yi, τότε 2 1 2 1 2 1z z i x yi x y i+ + ⇔ + + + +( ) ( ) ⇔ + + + +( ) ( ) ( )2 1 2 12 2 2 2 x y x y ⇔ + + + − − − − 4 4 1 4 2 1 02 2 2 2 x x y x y y ⇔ + + − 3 4 3 2 02 2 x x y y ⇔ + +               + − +                 x x y y2 2 2 2 2 2 3 2 3 2 1 3 1 3 2 3    +       2 2 1 3 ⇔ +       + −            x y 2 3 1 3 5 3 2 2 2 . Άρα, οι εικόνες των μιγαδικών z που ικανοποιούν την ανίσωση είναι τα εσωτερικά σημεία του κυκλικού δίσκου με κέντρο Κ −       2 3 1 3 , και ακτίνα ρ = 5 3 . β) Αν z = x + yi, τότε έχουμε z z x yi x− = + ⇔ − + = +1 1 1 1Re( ) ( ) ⇔ − + = +( )x y x1 12 2 ⇔ − + = + + ≥    ( ) ( )x y x x 1 1 1 0 2 2 2 ⇔ = + ≥    ⇔ = y x x y x 2 24 1 0 4 . Άρα, οι εικόνες των μιγαδικών που ικανοποιούν την εξίσωση είναι τα σημεία της παραβολής y2 = 4x. ΓΕΝΙΚΕΣ ΑΣΚΗΣΕΙΣ Γ’ ΟΜΑΔΑΣ 22-0182-02.indb 107 26/11/2013 4:10:16 μμ
  • 109.
    108 5. Αν zv =xv + iyv , ν = 1, 2, ..., κ, τότε z z z x x x i y y y1 2 1 2 1 2+ + + = + + + + + + +... ( ... ) ( ... )κ κ κ Επομένως, αν υποθέσουμε ότι z z z1 2 0+ + + =... κ , τότε θα έχουμε x x x1 2 0+ + + =... κ και y y y1 2 0+ + + =... κ . (1) Εφόσον, όμως, οι εικόνες των μιγαδικών z1 , z2 , ..., zκ βρίσκονται στο ίδιο ημιεπίπεδο της ευθείας y = λx, x ∈Rκαι δεν ανήκουν σ’αυτήν, θα ισχύει (yv λxν για κάθε ν) ή (yv λxν για κάθε ν), οπότε θα έχουμε y y y x x x1 2 1 2+ + + + + +... ( ... )κ κλ ή y y y x x x1 2 1 2+ + + + + +... ( ... )κ κλ . Έτσι, λόγω της (1), θα ισχύει 0 λ∙0 ή 0 λ∙0, που είναι άτοπο. 6. Από την ισότητα, ( )1− =z zν ν , αν z = x + yi, έχουμε: ( )1 1− = ⇔ − =z z z zν ν ν ν ⇔ − =1 z z ⇔ − − = +( )1 x yi x yi ⇔ − + = +( )1 2 2 2 2 x y x y ⇔ − =1 2 0x ⇔ =x 1 2 . Άρα, κάθε λύση της εξίσωσης ανήκει στην ευθεία x = 1 2 . 7. α) Αφού το τριώνυμο f(x)=αx2 + βx + γ μεα β γ, , ∈Rκαι α ≠ 0 δεν έχει πραγματικές ρίζες, ως γνωστόν, οι τιμές του για κάθε x∈R θα είναι ομόσημες του α. Έτσι οι f(κ), f(λ) θα είναι ομόσημοι του α, άρα και μεταξύ τους, οπότε f(κ)∙f(λ) 0, δηλαδή ΓΕΝΙΚΕΣ ΑΣΚΗΣΕΙΣ Γ’ ΟΜΑΔΑΣ 22-0182-02.indb 108 26/11/2013 4:10:19 μμ
  • 110.
    109 (ακ2 + βκ +γ)(αλ2 + βλ + γ) 0. β) Επειδή z z2 1= , έχουμε: ( )( ) ( )( )α β γ α β γ α β γ α β γz z z z z z z z1 2 1 2 2 2 1 2 1 1 2 1+ + + + = + + + + = + + + +( )( )α β γ α β γz z z z1 2 1 1 2 1 = + + α β γz z1 2 1 2 0, αφού ο z1 δεν είναι ρίζα του αz2 + βz + γ. 8. Οι ρίζες της εξίσωσης zv = 1 είναι οι: z iκ κπ ν κπ ν = +συν ηµ 2 2 , κ = 0, 1, 2, ..., ν–1. Επομένως η σχέση 1 + z1 + z2 + ... + zν–1 = 0 γράφεται 1 2 4 2 1 2 4 2 + + + + −     + + + +συν συν συν ηµ ηµ ηµ π ν π ν ν π ν π ν π ν ... ( ) ...i (( )ν π ν −      = 1 0. Άρα ηµ ηµ ηµ 2 4 2 1 0 π ν π ν ν π ν + + + − =... ( ) και συν συν συν 2 4 2 1 1 π ν π ν ν π ν + + + − = −... ( ) . ΓΕΝΙΚΕΣ ΑΣΚΗΣΕΙΣ Γ’ ΟΜΑΔΑΣ 22-0182-02.indb 109 26/11/2013 4:10:21 μμ
  • 111.
  • 112.
  • 113.
  • 114.
    113 ΚΕΦΑΛΑΙΟ 1 ΟΡΙΟ –ΣΥΝΕΧΕΙΑ ΣΥΝΑΡΤΗΣΗΣ 1.1 και 1.2 Α΄ ΟΜΑΔΑΣ 1. i) Η συνάρτηση f ορίζεται, όταν x2 – 3x + 2 ≠ 0. Το τριώνυμο x2 – 3x + 2 έχει ρίζες: x = 1 ή x = 2. Επομένως το πεδίο ορισμού της f είναι το σύνολο A = R – {1,2}. ii) Η συνάρτηση f ορίζεται, όταν x − ≥1 0 και 2 0− ≥x , δηλαδή όταν x ≥1 και 2x ≤ . Επομένως το πεδίο ορισμού της f είναι το σύνολο A =[1,2]. iii) Η συνάρτηση f ορίζεται, όταν 1 02 − ≥x και x ≠ 0. Η ανίσωση 1 02 − ≥x αληθεύει, όταν 2 1x ≤ , δηλαδή όταν − ≤ ≤1 1x . Επομένως το πεδίο ορισμού της f είναι το σύνολο − ∪Α = [ 1,0) (0,1]. iv) Η συνάρτηση f ορίζεται, όταν 1 0 1 0− ⇔ ⇔ e e xx x . Άρα το πεδίο ορισμού της f είναι το σύνολο −∞Α = ( ,0). 2. i) Η γραφική παράσταση της συνάρτησης f βρίσκεται πάνω από τον άξονα των x για εκείνα τα x ∈R για τα οποία ισχύει f x x x( ) ⇔ − + 0 4 3 02 ⇔ ∈ −∞x ( ,1) ή x ∈ +∞(3, ) ii) Ομοίως έχουμε: 1 1 0 1 1 0 + − ⇔ + − ⇔ − x x x x( )( ) 1 1x . iii) Ομοίως είναι e e e ex x x − ⇔ ⇔ ⇔1 0 1 0 x 0. 3. i) Η γραφική παράσταση της f βρίσκεται πάνω από τη γραφική παράσταση της g για εκείνα τα x ∈R για τα οποία ισχύει f x g x x x x x x x x( ) ( ) ( ) ⇔ + + + ⇔ + ⇔ + ⇔3 3 2 2 1 1 0 1 0 x 0. ii) Ομοίως: f x g x x x x x x x x x( ) ( ) ( ) ⇔ + − + − ⇔ − ⇔ − ⇔3 2 3 2 2 2 2 0 1 0 x 1. 22-0182-02.indb 113 26/11/2013 4:10:24 μμ
  • 115.
    114 1.1 και 1.2 4.α) Α(45) = 2,89∙45+ 70,64 = 200,69 cm β) Γ(45) = 2,75∙45+71,48 = 195,23 cm. 5. Το τετράγωνο έχει περίμετρο x, οπότε η πλευρά του είναι x 4 και το εμβαδό του x2 16 . Το ισόπλευρο τρίγωνο έχει περίμετρο 20 – x, οπότε η πλευρά του είναι 20 3 − x και το εμβαδό του 3 4 20 3 2 −      x . Επομένως Ε = Ετετρ + Ετριγ = x x 2 2 16 + 3 36 (20 )− με x ∈( , )0 20 . 6. i) Είναι f x x x x x ( ) , , = + =    1 0 0 2 0 . Η γραφική παράσταση της f φαίνεται στο διπλανό σχήμα. Το σύνολο των τιμών της f είναι το f(A) = {0,2} ii) Είναι f x x x x x x x ( ) , , = = − ≥     2 2 0 0 . Η γραφική παράσταση της f φαίνεται στο διπλανό σχήμα. Το σύνολο των τιμών της f είναι το f(Α) = R. iii) H γραφική παράσταση της f δίνεται στο διπλανό σχήμα. Το σύνολο των τιμών της f είναι το ∞f Α( ) = [2,+ ). 22-0182-02.indb 114 26/11/2013 4:10:26 μμ
  • 116.
    115 1.1 και 1.2 iv)Είναι f x x x x x ( ) ln , ln , = − ≤    0 1 1 . Η γραφική παράσταση της f δίνεται στο διπλανό σχήμα. Το σύνολο των τιμών της f είναι το 0 ∞f Α( ) = [ ,+ ). 7. i) Η συνάρτηση f έχει πεδίο ορισμού το σύνολο A = R, ενώ η g το Β = +∞[ , )0 . Είναι Α ≠ Β και επομένως οι συναρτήσεις f και g δεν είναι ίσες. Για κάθε x ≥ 0 έχουμε f x x x x g x( ) ( )= = = ( ) =2 2 . Άρα οι συναρτήσεις f, g είναι ίσες στο διάστημα [ , )0 +∞ . ii) Οι συναρτήσεις f, g έχουν πεδίο ορισμού το R*. Για κάθε x ∈ *R έχουμε: f x x x x x x x x x x g x( ) ( )= − + = −( ) +( ) +( ) = − = 2 2 1 1 1 1 1 . Επομένως f = g. iii) Η συνάρτηση f έχει πεδίο ορισμού το Α = ∪ +∞[ , ) ( , )0 1 1 . Για κάθε x ∈ Α, έχουμε f x x x x x x x x x x x( ) ( ) ( ) = − − = − +( ) −( ) +( ) = − +( ) − = + 1 1 1 1 1 1 1 1 1 1. Η συνάρτηση g έχει πεδίο ορισμού το Β = +∞[ , )0 . Επομένως οι συναρτήσεις f και g έχουν διαφορετικά πεδία ορισμού, οπότε δεν είναι ίσες. Είναι όμως f(x) = g(x) για κάθε x ∈ ∪ +∞[ , ) ( , )0 1 1 . Άρα οι f, g είναι ίσες στο [0,1) (1,+ )∪ ∞ . 8. Η συνάρτηση f ορίζεται στο Α = *R , ενώ η g στο Β = R – {1}. Επομένως, για κάθε x ∈ −{ , }0 1R έχουμε: ( )( ) ( ) ( ) ( ) f g x f x g x x x x x x x x x + = + = + + − = − + − = − 1 1 1 1 2 2 1 (1 )x x ( )( ) ( ) ( ) ( ) f g x f x g x x x x x x x x x − = − = + − − = − − − = − − 1 1 1 1 2 2 1 2 (1 ) 2 x x x 22-0182-02.indb 115 26/11/2013 4:10:29 μμ
  • 117.
    116 1.1 και 1.2 ()( ) ( ) ( )f g x f x g x x x x x ⋅ = = + ⋅ − = + − 1 1 1 1 x x f g x f x g x x x x x       = = + − = − ( ) ( ) ( ) 1 1 1 2 2 x x , αφού για κάθε x ∈ −{ , }0 1R είναι g(x) ≠ 0. 9. Οι δύο συναρτήσεις έχουν κοινό πεδίο ορισμού το Α = +∞( , )0 , οπότε για κάθε x ∈ Α έχουμε: ( )( ) ( ) ( )f g x f x g x+ = + = 2 x ( )( ) ( ) ( )f g x f x g x− = − = 2 x ( )( ) ( ) ( )f g x f x g x⋅ = = −x x x x 1 = 12 −− , ενώ, για κάθε x ∈ ′Α με ( ) 0g x ≠ , δηλαδή με x ≠ l ισχύει: f g x f x g x x x x x       = = + − = − ( ) ( ) ( ) 1 1 x x +1 1 . 10. i) Η f έχει πεδίο ορισμού το σύνολο Df = R, ενώ η g το Dg = +∞[ , )0 . Για να ορίζεται η παράσταση g(f(x)) πρέπει ( x Df∈ και f x Dg( )∈ ) ⇔ (x ∈ R και x2 0≥ ) ⇔ x ∈ R. Επομένως, η g f ορίζεται για κάθε x ∈ R και έχει τύπο: ( )( ) ( ( )) ( )g f x g f x g x x x= = = =2 2 . ii) Η f έχει πεδίο ορισμού το σύνολο Df = R, ενώ η g το Dg = [–1,1]. Για να ορίζεται η παράσταση g(f(x)) πρέπει: (x Df∈ και f x Dg( )∈ ) ⇔ (x ∈ R και f x( ) [ , ]∈ −1 1 ) ⇔ ηµx ∈ −[ , ]1 1 ⇔ x ∈ R. 22-0182-02.indb 116 26/11/2013 4:10:33 μμ
  • 118.
    117 1.1 και 1.2 Επομένως,η g f ορίζεται για κάθε x ∈ R και έχει τύπο iii) Ομοίως η f έχει πεδίο ορισμού το σύνολο Df = R και η g το R . Για να ορίζεται η παράσταση g( f(x)) πρέπει: ( x Df∈ και f x Dg( )∈ ) ⇔ (x ∈ R και π κπ π 4 2 ≠ + , κ ∈ ) ⇔ x ∈ R. Επομένως, η g f ορίζεται για κάθε x ∈ R και έχει τύπο ( )( ) ( ( ))g f x g f x g = =       = = π π 4 4 εϕ 1. 11. Η f έχει πεδίο ορισμού το Df = R και η g το Dg = +∞[ , )2 . Για να ορίζεται η παράσταση g(f(x)) πρέπει: (x Df∈ και ( )x Dg 2 1+ ∈ ) ⇔ (x ∈ R και x2 1 2+ ≥ ) ⇔ − ≥x2 1 0 ⇔ ≥x 1 ή x ≤ −1 ⇔ ∈ −∞ − ∪ +∞ =x ( , ] [ , )1 1 1Α . Επομένως, η g f έχει πεδίο ορισμού το σύνολο Α1 , και τύπο: ( )( ) ( ( )) ( )g f x g f x g x = = + = −2 1 x2 1. Για να ορίζεται η παράσταση f(g(x)) πρέπει ( x Dg∈ και g x Df( )∈ ) ⇔ ( x ≥ 2 και x − ∈2 R) ⇔ x ∈ +∞ =[ , )2 1Β . Επομένως, η f g έχει πεδίο ορισμού το σύνολο Β1 και τύπο ( )( ) ( ( ))f g x f g x f x x x = = −( )= −( ) + = − + = −2 2 1 2 1 2 x 1 . 22-0182-02.indb 117 26/11/2013 4:10:37 μμ
  • 119.
    118 1.1 και 1.2 12.i)Η συνάρτηση f(x) = ημ(x2 + 1) είναι σύνθεση της h(x) = x2 + 1 με τη g(x) = ημx. ii) Η συνάρτηση f(x) = 2ημ2 3x + 1 είναι σύνθεση των συναρτήσεων h(x) = 3x, g(x) = ημx και φ(x) = 2x2 + 1. iii) Η συνάρτηση f(x) = ln(e2x – 1) είναι σύνθεση των συναρτήσεων h(x) = 2x, g(x) = ex – l και φ(x) = lnx. iv) Η συνάρτηση f(x) = ημ2 3x είναι σύνθεση των συναρτήσεων h(x) = 3x, g(x) = ημx και φ(x) = x2 . 1.1 και 2.2 Β΄ ΟΜΑΔΑΣ 1. i) Η ευθεία που διέρχεται από τα σημεία Α(1,0) και Β(0,1) έχει συντελεστή κατεύθυνσης λ = − = − 1 1 1, οπότε η εξίσωσή της είναι: y x y x− = − − ⇔ = − +0 1 1 1( )( ) . Η ευθεία που διέρχεται από τα σημεία Γ(2,0) και Δ(l,1) έχει συντελεστή κατεύθυνσης λ = − = − = − 1 1 2 1 1 1, οπότε η εξίσωσή της είναι: y x y x− = − − ⇔ = − +0 1 2 2( )( ) . Επομένως το σχήμα μας είναι η γραφική παράσταση της συνάρτησης f x x x x x ( ) = +1, 0 1 + 2, 1 2 − ≤ − ≤    ii) H ευθεία που διέρχεται από τα σημεία Ο(0,0) και A(1,2) έχει λ = 2 και εξίσωση y = 2x. Η ευθεία που διέρχεται από τα σημεία A(1,2) και Β(2,0) έχει λ = − = − 2 1 2 και εξίσωση y x y x− = − − ⇔ = − +0 2 2 2 4( ) . Επομένως το σχήμα μας είναι η γραφική παράσταση της συνάρτησης f x x x x x ( ) = 2 , 0 1 2 + 4, 1 2 ≤ ≤ − ≤    iii) Ομοίως έχουμε f x x x ( ) = 1, [0,1) [2,3) 0, [1,2) [3,4) ∈ ∪ ∈ ∪    . 22-0182-02.indb 118 26/11/2013 4:10:38 μμ
  • 120.
    119 1.1 και 1.2 2.Το εμβαδόν των δύο βάσεων είναι 2πx2 , ενώ το εμβαδόν της παράπλευρης επιφάνειας είναι 2πxh, όπου h το ύψος του κυλίνδρου. Έχουμε V x h= =π 628, οπότε h x x = 628 200 2 2 π  και το εμβαδόν της παράπλευρης επιφάνειας γίνεται: 2 200 400 2 π π x x x = . Επομένως, το κόστος Κ(x) είναι: Κ ( ) ,x x x x x = ⋅ + ⋅ = +2 4 400 1 25 8 5002 2 π π π π με x 0. Το εμβαδόν των βάσεων του κουτιού είναι π∙52 ∙2 = 50π, ενώ το κόστος τους είναι 50∙π∙4 = 200π (δραχμ.). Το εμβαδόν της παράπλευρης επιφάνειας είναι 2π∙5∙8 = 80π, ενώ το κόστος της είναι 80π∙1,25 = 100π. Επομένως το συνολικό κόστος είναι 300 942π ≅ λεπτά = 9,42 ευρώ. 3. ● Αν 0 1 ≤x , τότε: Τα τρίγωνα ΑΜΝ και ΑBE είναι όμοια, οπότε x x ( ) ( ) ( ) ( ) ΑΒ ΜΝ ΒΕ ΜΝ = ⇔ = 1 2 ⇔ =( )ΜΝ 2x. Επομένως, το εμβαδόν του γραμμοσκιασμένου χωρίου, δίνεται από τον τύπο Ε ΜΝ( ) ( )x x x x x= ⋅ = ⋅ = 1 2 1 2 2 2 , με 0 1 ≤x . ● Αν 1 3x≤ ≤ , τότε το εμβαδόν του γραμ- μοσκιασμένου χωρίου είναι ίσο με Ε ( ) ( )x x= ⋅ + − 1 2 1 2 1 2 = + − = −1 2 2 2 1x x , με 1 3 ≤x . Άρα x x x x ( ) = , 0 1 2 1, 1 3 2 ≤ − ≤    Ε 22-0182-02.indb 119 26/11/2013 4:10:41 μμ
  • 121.
    120 1.1 και 1.2 4.Από τα όμοια τρίγωνα ΑΒΓ και ΑΝΜ, έχουμε: ΒΓ ΜΝ Α∆ ΑΕ ΜΝ ΜΝ= ⇔ = − ⇔ − = 10 5 5 2 5 x x( ) . Επομένως, Ε Ε ΜΝ ΚΝ= = ⋅ = − = −( ) ( )x x x2 5 2 +102 x x, 0 x 5 και P P x x x= = + = ⋅ − + ⋅ = −( ) ( )2 2 2 2 5 2ΜΝ ΚΝ 20 2x, 0 x 5. 5. i) ● Αν x −1, τότε f x x x x( ) = − − − + = − 1 1 2 ● Αν − ≤ 1 1x , τότε f x x x ( ) = + − + = 1 1 2 1 ● Αν 1 x≤ , τότε f x x x x( ) = + + − = 1 1 2 . Άρα f x x x x x x ( ) = , 1 1, 1 1 , 1 − − − ≤ ≥      . Η γραφική παράσταση της f δίνεται στο διπλανό σχήμα. Από τη γραφική παράσταση της f φαίνεται ότι το σύνολο τιμών της f είναι το σύνολο ∞[1,+ ). ii) Έχουμε f x x x x ( ) , [ , ] , ( , ] = ∈ ∈    ηµ 0 0 2 π π π . Η γραφική παράσταση της f δίνεται στο διπλανό σχήμα. Το σύνολο τιμών της f είναι το [0,1]. 22-0182-02.indb 120 26/11/2013 4:10:43 μμ
  • 122.
    121 1.1 και 1.2 6.i) Έχουμε: f(g(x)) = x2 + 2x + 2, δηλαδή f (x + l) = x2 + 2x + 2. Αν θέσουμε ω = x + 1 ή, ισοδύναμα, x = ω – 1, τότε f ( ) ( ) ( )ω ω ω ω ω ω ω= − + − + = − + + − + = +1 2 1 2 2 1 2 2 2 12 2 2 . Επομένως f(x) = x2 + 1. ii) f g x x( ( )) = +1 2 , δηλαδή f x x( )− = +2 2 1 . Θέτουμε ω = – x2 , οπότε f ( )ω ω= −1 , ω ≤ 0. Επομένως μια από τις ζητούμενες συναρτήσεις είναι η f x x( ) = −1 , x ≤ 0. iii) g f x f x f x x( ( )) ( ) ( )= ⇔ − = ⇔ − =συν συν συνx x1 12 2 2 ⇔ = −f x x2 2 1( ) συν ⇔ = ⇔ =f x x f x x2 2 ( ) ( )ηµ ηµ . Μια τέτοια συνάρτηση είναι π.χ. η συνάρτηση , ή η συνάρτηση f(x) = ημx ή η συνάρτηση f(x) = – ημx κ.τ.λ. 7. Οι συναρτήσεις f και g ορίζονται στο R. — Για να ορίζεται η παράσταση f(g(x)) πρέπει: (x ∈ R και g x( )∈R) ⇔ x ∈ R. — Επομένως ορίζεται η ( )( )f g x και είναι ( )( ) ( ( )) ( 2) 2 1f g x f g x f x xα α= = + = + + = αx + 3. — Για να ορίζεται η παράσταση g(f(x)) πρέπει: (x ∈ R και f x( )∈R) ⇔ x ∈ R. Επομένως ορίζεται η ( )( )g f x και είναι ( )( ) ( ( )) ( 1) ( 1) 2g f x g f x g x xα= = + = + + = αx α+ ( + 2). Θέλουμε να είναι f g g f = , που ισχύει μόνο όταν (αx + 3 = αx + α + 2, για κάθε x ∈ R) 2 3α⇔ + = ⇔ α = 1. 8. Η συνάρτηση f ορίζεται στο Df = R{α}, ενώ η g στο Dg = +∞[ , )0 . α) Για να ορίζεται η f( f(x)) θα πρέπει: ( x Df∈ και f x Df( )∈ ) ⇔ ( x ≠ α και α β α α x x + − ≠ ) ( )2 και .fx a x Dβ α⇔ ≠ ≠ − ⇔ ∈ 22-0182-02.indb 121 26/11/2013 4:10:48 μμ
  • 123.
    122 1.1 και 1.2 Επομένως,η f f έχει πεδίο ορισμού το R{α} και τύπο f f x x x x x x x x x x ( ( )) ( ) = + − + + − − = + + − + − + = + α α β α β α β α α α αβ β αβ α β α α α β2 2 2 αα β2 + = x. β) Για να ορίζεται η g(g(x)) θα πρέπει: (x Dg∈ και x x Dg− + ∈2 1 ) ⇔ (x ≥ 0 και x x− + ≥2 1 0) ⇔ (x ≥ 0 και x −( ) ≥1 0 2 ) ⇔ x ≥ 0 ⇔ ∈x Dg . Επομένως η g g έχει πεδίο ορισμού το [ , )0 +∞ και τύπο g g x g x x x( ( )) ( )= −( ) = −( ) −       = − −( ) =1 1 1 1 1 2 2 2 2 = − −( ) = −( ) =1 1 2 2 x x x , αφού 0 1x≤ ≤ . 9. i) Έχουμε: Ν ( )t t t t t t t t= +( ) + +    = + + +( ) = + +( )10 2 4 4 10 2 8 20 10 2 9 20 2 . ii) Έχουμε: 10 2 9 20 120 2 9 20 12t t t t+ +( ) = ⇔ + +( ) = ⇔ + +( )=2 9 20 144t t ⇔ + + =t t9 20 72 ⇔ + − =t t9 52 0 ⇔ =t 4 ή ( t = −13, απορ.) ⇔ =t 16 . Επομένως μετά από 16 χρόνια τα αυτοκίνητα θα είναι 120.000. 22-0182-02.indb 122 26/11/2013 4:10:52 μμ
  • 124.
    123 1.3 1.3 Α΄ ΟΜΑΔΑΣ 1.i) Η συνάρτηση f x x( ) = −1 έχει πεδίο ορισμού το ∆ = −∞( , ]1 . Έστω x x1 2, ∈∆ με x x1 2 . Τότε έχουμε διαδοχικά: − −x x1 2 1 11 2− −x x 1 11 2− −x x f x f x( ) ( )1 2 . Άρα η f είναι γνησίως φθίνουσα στο ( , ]−∞ 1 . ii) Η συνάρτηση f x x( ) ln( )= − −2 2 1 έχει πεδίο ορισμού το ∆ = +∞( , )2 . Έστω x x1 2, ∈∆ με x x1 2 . Τότε έχουμε διαδοχικά: x x1 22 2− − ln( ) ln( )x x1 22 2− − ln( ) ln( )x x1 22 1 2 1− − − − f x f x( ) ( )1 2 . Άρα η f είναι γνησίως αύξουσα στο ( , )2 +∞ . iii) Η συνάρτηση f x e x ( ) = +− 3 11 έχει πεδίο ορισμού το R. Έστω 1 2,x x ∈R με x x1 2 . Τότε έχουμε διαδοχικά: − −x x1 2 1 11 2− −x x e ex x1 11 2− − 3 31 11 2 e ex x− − 3 1 3 11 11 2 e ex x− − + + f x f x( ) ( )1 2 . Άρα η f είναι γνησίως φθίνουσα στο R. iv) H συνάρτηση f x x( ) ( )= − −1 12 έχει πεδίο ορισμού το ∆ = −∞( , ]1 . Έστω x x1 2, ∈∆ με x x1 2 . Τότε έχουμε διαδοχικά: 22-0182-02.indb 123 26/11/2013 4:10:57 μμ
  • 125.
    124 1.3 x x1 211 0− − ≤ ( ) ( )x x1 2 2 2 1 1− − ( ) ( )x x1 2 2 2 1 1 1 1− − − − f x f x( ) ( )1 2 . Άρα η f είναι γνησίως φθίνουσα στο ( , ]−∞ 1 . 2. i) Η f έχει πεδίο ορισμού το R. Έστω x x1 2, ∈R με f x f x( ) ( )1 2= . Τότε έχουμε διαδοχικά: 3 2 3 21 2x x− = − 3 31 2x x= x x1 2= . Άρα η f είναι 1−1 στο R. Για να βρούμε την αντίστροφη της f , θέτουμε y = f(x) και λύνουμε ως προς x. Έχουμε, λοιπόν: f x y x y x y x y ( ) = ⇔ − = ⇔ = + ⇔ = + 3 2 3 2 2 3 . Επομένως f y y− = +1 2 3 ( ) , οπότε η αντίστροφη της f είναι η συνάρτηση f x x− = +1 2 3 ( ) . ii) Η συνάρτηση f(x) = x2 + 1, δεν έχει αντίστροφη, γιατί δεν είναι 1–1, αφού f(1) = f(–1), με 1 ≠ –1. iii) Έχουμε f(1) = f(2) = 1 με 1 ≠ 2. Άρα η f δεν είναι 1–1 στο R. Συνεπώς δεν έχει αντίστροφη. iv) Η συνάρτηση f x x( ) = −13 έχει πεδίο ορισμού το ∆ = −∞( , ]1 . Έστω x x1 2, ∈∆ με f x f x( ) ( )1 2= . Τότε, έχουμε διαδοχικά: 1 11 3 2 3− = −x x 1 11 2− = −x x − = −x x1 2 x x1 2= . 22-0182-02.indb 124 26/11/2013 4:11:01 μμ
  • 126.
    125 1.3 Άρα η fείναι 1–1 στο R. Για να βρούμε την αντίστροφη θέτουμε y = f(x) και λύνουμε ως προς x. Έτσι έχουμε: f x y x y( ) = ⇔ − =13 ⇔ − =1 3 x y , y ≥ 0 ⇔ = −x y1 3 , y ≥ 0. Επομένως f y y− = −1 3 1( ) , y ≥ 0, οπότε η αντίστροφη της f είναι η f x x− = −1 3 1( ) , x ≥ 0. v) Η συνάρτηση f(x) = ln(l – x) έχει πεδίο ορισμού το ( , )−∞ =1 ∆. Έστω x x1 2, ∈∆ με f x f x( ) ( )1 2= . Τότε έχουμε διαδοχικά ln( ) ln( )1 11 2− = −x x 1 11 2− = −x x − = −x x1 2 x x1 2= . Άρα η f είναι 1–1 στο Δ. Για να βρούμε την αντίστροφη της f θέτουμε y = f(x) και λύνουμε ως προς x. Έτσι έχουμε: f x y x y x e x ey y ( ) ln( )= ⇔ − = ⇔ − = ⇔ = −1 1 1 Επομένως f y e yy− = − ∈1 1( ) , R, οπότε η αντίστροφη της f είναι η f x e xx− = − ∈1 1( ) , R. vi) Η συνάρτηση f(x) = e–x + 1 έχει πεδίο ορισμού το R. Έστω x x1 2, ∈R με f x f x( ) ( )1 2= . Τότε έχουμε διαδοχικά: e ex x− − + = +1 2 1 1 e ex x− − =1 2 x x1 2= Άρα η f είναι 1–1 στο R. 22-0182-02.indb 125 26/11/2013 4:11:05 μμ
  • 127.
    126 1.3 Για να βρούμετην αντίστροφη της f θέτουμε y = f(x) και λύνουμε ως προς x. Έχουμε λοιπόν: f x y e yx ( ) = ⇔ + =− 1 ⇔ − = − y e x 1 ⇔ − = −ln( )y x1 , y 1 ⇔ = − −x yln( )1 , y 1 Επομένως f y y− = − −1 1( ) ln( ), y 1, οπότε η αντίστροφη της f είναι η f x x− = − −1 1( ) ln( ), x 1. vii) Η συνάρτηση f x e e x x ( ) = − + 1 1 έχει πεδίο ορισμού το R. Έστω x x1 2, ∈R με f x f x( ) ( )1 2= . Τότε έχουμε διαδοχικά: e e e e x x x x 1 1 2 2 1 1 1 1 − + = − + e e e e e ex x x x x x x x1 2 2 1 1 2 1 2 1 1+ + − + − = − + − 2 21 2 e ex x = x x1 2= . Άρα η f είναι 1–1 στο R. Για να βρούμε την αντίστροφη της f θέτουμε y = f(x), οπότε έχουμε: f x y e e y x x ( ) = ⇔ − + = 1 1 ⇔ − = +e ye yx x 1 ⇔ − = +e ye yx x 1 ⇔ − = +e y yx ( )1 1 ⇔ = + − e y y x 1 1 , με 1 1 0 + − y y . ⇔ = + − x y y ln 1 1 , με − 1 1y . 22-0182-02.indb 126 26/11/2013 4:11:09 μμ
  • 128.
    127 1.3 Επομένως f y y y − = + − 11 1 ( ) ln , y ∈ −( , )1 1 , οπότε η αντίστροφη της f είναι η f x x x − = + − 1 1 1 ( ) ln , x ∈ −( , )1 1 . viii) Η f δεν είναι 1–1, γιατί f(0) = f(2) = 0 με 2 ≠ 0. Άρα η f δεν αντιστρέφεται. 3. Οι συναρτήσεις f, φ και ψ αντιστρέφονται, αφού οι παράλληλες προς τον άξονα των x τέμνουν τις γραφικές τους παραστάσεις το πολύ σ’ένα σημείο.Αντίθετα η g δεν αντιστρέφεται. Οι γραφικές παραστάσεις των αντίστροφων των παραπάνω συναρτήσεων φαίνονται στα σχήματα. 4. i) Η f είναι γνησίως αύξουσα στο Δ, οπότε για κάθε x x1 2, ∈∆ με x x1 2 έχουμε διαδοχικά: f x f x( ) ( )1 2 − −f x f x( ) ( )1 2 ( )( ) ( )( )− −f x f x1 2 . Επομένως η – f είναι γνησίως φθίνουσα στο Δ. ii) Έστω x x1 2, ∈∆ με x x1 2 . Επειδή οι f, g είναι γνησίως αύξουσες στο Δ θα ισχύει f x f x( ) ( )1 2 και g x g x( ) ( )1 2 , 22-0182-02.indb 127 26/11/2013 4:11:11 μμ
  • 129.
    128 1.4 οπότε θα έχουμε fx g x f x g x( ) ( ) ( ) ( )1 1 2 2+ + , ή, ισοδύναμα, ( )( ) ( )( )f g x f g x+ +1 2 . Άρα, η f + g είναι γνησίως αύξουσα στο Δ. iii) Έστω x x1 2, ∈∆ με x x1 2 . Επειδή οι f, g είναι γνησίως αύξουσες στο Δ, θα ισχύει f x f x( ) ( )1 2 και g x g x( ) ( )1 2 και επειδή, επιπλέον, είναι f x( )1 0≥ και g x( )1 0≥ , θα έχουμε f x g x f x g x( ) ( ) ( ) ( )1 1 2 2 , οπότε ( )( ) ( )( )fg x fg x1 2 . Άρα η fg είναι γνησίως αύξουσα στο Δ. 1.4 Α΄ ΟΜΑΔΑΣ 1. Από τα σχήματα βρίσκουμε ότι: i) lim ( ) x f x → = 3 0 και f ( )3 2= ii) lim ( ) x f x → = 2 2 και f ( )2 4= iii) ● lim ( ) x f x → − = 1 2 και lim ( ) x f x → + = 1 1, οπότε η f δεν έχει όριο στο 1, ενώ είναι f(1) = 1. ● lim ( ) x f x → − = 2 0 και lim ( ) x f x → + = 2 1, οπότε η f δεν έχει όριο στο 2. Επιπλέον, η f δεν ορίζεται στο 2. iv) ● lim ( ) x f x → − = 1 0 και lim ( ) x f x → + = 1 1, οπότε η f δεν έχει όριο στο 1, ενώ είναι f ( )1 1= . ● lim ( ) x f x → − = 2 1 και lim ( ) x f x → + = 2 2 , οπότε η f δεν έχει όριο στο 2, ενώ είναι f(2) = 2. ● lim ( ) lim ( ) x x f x f x → → = =−3 3 2 , ενώ η f δεν ορίζεται στο 3. 22-0182-02.indb 128 26/11/2013 4:11:16 μμ
  • 130.
    129 1.4 2. i) Ησυνάρτηση f έχει πεδίο ορισμού το R – {2} και γράφεται f x x x x x( ) ( )( ) = − − − = − 2 3 2 3. Από τη γραφική παράσταση της f (διπλανό σχήμα) βρίσκουμε: lim ( ) x f x → = − 2 1. ii) Ομοίως από τη γραφική παράσταση της f (διπλανό σχήμα) βρίσκουμε: lim ( ) x f x → = 1 1 iii) Ομοίως από τη γραφική παράσταση της f (διπλανό σχήμα) βρίσκουμε lim ( ) x f x → − = 1 1 και lim ( ) x f x → + = 1 0, οπότε, η f δεν έχει όριο στο x0 = 1. iv) H συνάρτηση f στο πεδίο ορισμού της R – {0} γράφεται f x x x x x x x x ( ) , , = + = + −    1 0 1 0 οπότε από τη γραφική παράσταση της f Cf (διπλανό σχήμα) βρίσκουμε: lim ( ) x f x → − = − 0 1 και lim ( ) x f x → + = 0 1. Επομένως, η f δεν έχει όριο στο x0 = 0. 22-0182-02.indb 129 26/11/2013 4:11:18 μμ
  • 131.
    130 1.4 3. i) Hf στο πεδίο ορισμού της R – {–1,1} γράφεται: f x x x x x x x x x( ) ( ) ( ) ( )( ) = − + − − = − + − = + 2 2 2 2 2 1 3 1 1 1 3 1 3. Από τη γραφική παράσταση της f που φαίνεται στο διπλανό σχήμα βρίσκουμε: lim ( ) x f x →− = 1 2 και lim ( ) x f x → = 1 4. ii) Η f στο πεδίο ορισμού της R−       1 3 γράφεται: f x x x x x x x ( ) ( ) ( ) ( ) = + − − = + − − 1 3 1 3 1 1 3 1 3 1 2 , οπότε f x x x x x ( ) ( ), , = − + +       1 1 3 1 1 3 αν αν Από τη γραφική παράσταση της f που φαίνεται στο διπλανό σχήμα βρίσκουμε: lim ( ) x f x → − = − 1 3 4 3 και lim ( ) x f x → + = 1 3 4 3 . Επομένως, η f δεν έχει όριο στο x0 1 3 = . 4. i) Είναι αληθής, αφού lim ( ) lim ( ) x x f x f x →− →− = =+2 2 2. ii) Δεν είναι αληθής, αφού lim ( ) x f x → + = 1 2. iii) Δεν είναι αληθής, αφού lim ( ) x f x → − = 1 1 και lim ( ) x f x → + = 1 2 , που σημαίνει ότι η f δεν έχει όριο στο x0 = 1. 22-0182-02.indb 130 26/11/2013 4:11:21 μμ
  • 132.
    131 1.5 iv) Αληθής, αφούlim ( ) lim ( ) x x f x f x → →− + = = 2 2 3. ν) Δεν είναι αληθής, αφού lim ( ) x f x → = 3 3. vi) Αληθής, αφού lim ( ) lim ( ) x x f x f x → →− + = = 4 4 3. 5. Το lim ( ) x x f x → 0 υπάρχει, αν και μόνο αν lim ( ) lim ( ) x x x x f x f x → →− + = ⇔ − = ⇔ = 0 0 2 6 3λ λ λ ή λ = −2. 1.5 Α΄ ΟΜΑΔΑΣ 1. i) Έχουμε lim( ) x x x x → − − + = − ⋅ − ⋅ + = 0 5 3 5 3 4 2 5 0 4 0 2 0 5 5 ii) lim( ) x x x x → − + − = − ⋅ + − = − 1 10 3 10 3 2 1 1 2 1 1 1 1 iii) lim( ) lim( ) x x x x x x →− →− + + = + +    = 1 8 20 1 8 20 20 2 3 2 3 2 iv) lim ( ) lim( ) lim ( ) x x x x x x x x x → → → − − −    = − − − = − ⋅ = 3 3 2 3 3 3 2 3 5 2 3 5 2 3 2 0 00 v) lim lim( ) lim( )x x x x x x x x x→ → → + − + = + − + = − = − 1 4 1 4 1 2 5 3 2 5 3 2 4 1 2 vi) lim lim lim( )x x x x x x x x x x x x x→ → → − + − + + = − + −( ) + + = = 0 2 2 0 2 0 2 3 2 1 3 2 1 2 1 2 vii) lim ( ) lim( ) x x x x → → + = + = = 1 23 1 2 3 23 3 2 2 3 9. viii) lim lim lim( )x x x x x x x x x x x→ → → + + − + + = + + −( ) + + = = 1 2 2 1 2 1 2 2 2 4 3 2 2 4 3 0 8 0. 2. Έχουμε: i) lim ( ) lim[ ( ( )) ] x x g x f x → → = − = ⋅ − = 2 2 2 2 3 5 3 4 5 43. ii) lim ( ) lim ( ) lim( ( ))x x x g x f x f x→ → → = − + = − + = 2 2 2 2 2 11 1 3 16 1 3 17 . 22-0182-02.indb 131 26/11/2013 4:11:25 μμ
  • 133.
    132 1.5 iii) lim () lim( ( ) )lim( ( ) ) ( )( ) x x x g x f x f x → → → = + − = + − = 2 2 2 2 3 4 2 4 3 6 . 3. i) Για x = 2 μηδενίζονται και οι δύο όροι του κλάσματος. Για x ≠ 2 έχουμε: f x x x x x x x x x x x x ( ) ( )( ) ( )( ) ( )( ) = − − = − + − + + = + + + 4 3 2 2 2 2 2 16 8 4 4 2 2 4 2 4 2 ++ 4 Επομένως, lim ( ) lim ( )( ) x x f x x x x x→ → = + + + + = ⋅ = 2 2 2 2 2 4 2 4 4 8 12 8 3 . ii) Ομοίως για x ≠ 1 έχουμε: f x x x x x x x x x x ( ) ( )( ) ( )( ) = − + − = − − − + = − + 2 3 1 1 2 1 1 1 1 2 1 1 2 2 οπότε lim ( ) lim x x f x x x→ → = − + = 1 1 2 1 1 1 2 . iii) Ομοίως για x ≠ 1έχουμε: f x x x x x x x x x ( ) = − − = − −       +       = + = + 1 1 1 1 1 1 1 1 1 1 1 1 1 1 2 . Επομένως, lim ( ) lim x x f x x x→ → = + = 1 1 1 1 2 . iv) Ομοίως για x ≠ 0 έχουμε: f x x x x x x x ( ) ( ) ( )[( ) ( ) ] = + − = + − + + + ⋅ +3 27 3 3 3 3 3 93 2 = + + + +( ) ( )x x3 3 3 92 . Επομένως, lim ( ) lim[( ) ( ) ] x x f x x x → → = + + + + = 0 0 2 3 3 3 9 27 . 4. Έχουμε: i) lim lim lim lim x x x x x x x x x x x→ → → → − − = − −( ) = − +( ) −( ) = 9 9 2 2 9 9 3 9 3 3 3 3 3 1 3++ = x 1 6 22-0182-02.indb 132 26/11/2013 4:11:27 μμ
  • 134.
    133 1.5 ii) lim limlim ( x x x x x x x x x → → → − − = − −( ) + −( ) + −( ) = − 0 2 2 0 2 2 2 2 0 1 1 1 1 1 1 1 1 1 1−− + −( ) x x x 2 2 2 1 1 ) = + − = → lim x x0 2 1 1 1 1 2 iii) lim lim x x x x x x x x x → → + − + − = + −( ) + +( ) + +( ) + +( ) + 2 2 2 2 2 2 2 2 5 3 2 2 2 2 5 3 5 3 5 −−( ) + +( )3 2 2x = − + +( ) − + +( )→ lim ( ) ( )x x x x x2 2 2 2 5 3 4 2 2 = + + + + +( ) = = → lim ( )x x x x2 2 5 3 2 2 2 6 16 3 8 iv) lim lim ( )( ) lim ( ) x x x x x x x x x x x x → → → − − + = −( ) − − = − − ( ) − 4 2 4 4 2 2 5 4 2 1 4 2 1 222    = − − +( ) −( )→ lim ( )x x x x x4 2 1 2 2 = − +( ) = → lim ( )x x x4 1 1 2 1 12 . 5. i) Για x 1 είναι f x x( ) = 2 , οπότε lim ( ) x f x → − = 1 1. Για x 1 είναι f(x) = 5x, οπότε lim ( ) x f x → + = 1 5. Επομένως δεν υπάρχει όριο της f στο 1. ii) Για x – 1 είναι f x x( ) = −2 , οπότε lim ( ) x f x →− − = 1 2. Για x – 1 είναι f x x( ) = +2 1, οπότε lim ( ) x f x →− + = 1 2. Επομένως lim ( ) x f x →− = 1 2. 22-0182-02.indb 133 26/11/2013 4:11:31 μμ
  • 135.
    134 1.5 6. Έχουμε: i) limlim x xx x x→ → = = ⋅ = 0 0 3 3 3 3 3 1 3 ηµ ηµx ii) lim lim lim lim x x x x x x x x x x→ → → → = ⋅       = ⋅ = 0 0 0 0 1 1 1 εϕ ηµ συν ηµ συν x x ⋅⋅ =1 1 iii) lim lim lim x x x x x x → → → = ⋅       = 0 0 0 4 2 4 2 1 4 2 4 4εϕ ηµ ηµ ηµ συν ηµ ηµ x x x x 22 2 1 4 2 1 1 1 1 2 x x x ⋅           = ⋅ ⋅ = συν iv) lim lim lim x x x x x x x→ → → −      = −       = − = − = 0 0 0 1 1 1 1 0 ηµ ηµ ηµx x x v) lim lim lim x x xx x x x→ → →+ = ⋅ + = ⋅ = 0 3 0 0 2 1 1 1 1 1 ηµ ηµx x vi) lim lim x x x x x x→ → + − = + +( ) + −0 0 5 5 4 2 5 5 4 2 5 4 4 ηµ ηµx = ⋅ + +( )= ⋅ = → → lim lim x x x x x 0 0 5 5 5 4 2 1 4 4 ηµ . 7. i) Έχουμε, lim lim lim ( )( x x x x x x x x x → → →+ = − + = − + π π π ηµ συν συν συν συν συν2 2 1 1 1 1 1 )) ( ) lim( ) 1 1 2 + = − = →συν συν x x x π . ii) Έχουμε, lim lim lim x x x x x x x x x x→ → → − = = = 0 2 0 2 0 1 2 2 2 0 συν ηµ ηµ ηµ συν ηµ συν iii) Έχουμε, lim lim lim x x x x x x x x x→ → → = = = 0 0 02 2 1 2 1 2 ηµ ηµ ηµ ηµ συν συν . 8. i) Είναι, lim( ) x x → − = 0 2 1 1 και lim( ) x x → + = 0 2 1 1, οπότε από το θεώρημα της παρεμβολής είναι lim ( ) x f x → = 0 1. ii) Ομοίως, lim( ) x x → − = 0 4 1 1 και lim x x→ = 0 2 1 1 συν , οπότε lim ( ) x f x → = 0 1. 22-0182-02.indb 134 26/11/2013 4:11:35 μμ
  • 136.
    135 1.5 9. Είναι: lim () lim ( ) lim ( ) x x x f x f x f x → → → = ⇔ = =− +3 3 3 10 10 ⇔ + = + = → →− + lim( ) lim( ) x x x x 3 3 2 3 10α β α β ⇔ + = + =6 3 3 10α β α β ⇔ + = + =    6 10 3 3 10 α β α β ⇔ =α 4 3 και β = 2. 1.5 Β΄ ΟΜΑΔΑΣ 1. i) Για x = 2 μηδενίζονται και οι δύο όροι του κλάσματος. Με το σχήμα του Horner βρίσκουμε x x x x x x3 2 2 2 2 1− − − = − + +( )( ), οπότε lim lim ( )( ) ( )( ) lim x x x x x x x x x x x x x→ → − − − − = − + + − + + = 2 3 2 3 2 2 2 2 8 2 1 2 2 4 →→ + + + + = 2 2 2 1 2 4 7 12 x x x x ii) lim ( ) lim lim ( ) x x x x x x x x x x x x → + → + → − + + − = − − + − = − − 1 1 1 1 1 1 1 1 1ν ν ν ν ν ν ν νν ( )x x − − 1 1 = − + + + + − −→ − − lim ( )[ ( ... ) ] x x x x x x x1 1 2 1 1 1 ν ν ν = + + + + − = − = → − − lim[ ( ... ) ] x x x x x 1 1 2 1 0ν ν ν ν ν iii) Θέτουμε x t= , οπότε lim lim lim ( )( ) ( )(x t t x x x x t t t t t t t→ → → − + − = − + − = − + − +1 1 2 3 1 2 1 2 1 2 1 1 1 tt + 2) (Σχήμα Horner) = + + + = = → lim t t t t1 2 1 2 2 4 1 2 . 2. i) Έχουμε: f x x x x x x x x ( ) ( ) , , = + + + = + + = − − −    2 2 10 25 5 5 5 1 5 1 5 αν αν , 22-0182-02.indb 135 26/11/2013 4:11:38 μμ
  • 137.
    136 1.5 οπότε lim ( ) x fx →− − = − 5 1 και lim ( ) x f x →− + = 5 1. Επομένως δεν υπάρχει όριο της f στο 5. ii) Για x 5 είναι: f x x x x x x x x x x x x x( ) ( ) = − + − − − = − − + − + − = − − = 5 4 5 5 5 4 5 5 5 5 2 2 2 . Επομένως lim ( ) lim x x f x x → →− − = = 5 5 5. iii) Για x 5 είναι: f x x x x x x x x x x x x x( ) = − + − − − = − + − − − = − − − = + 5 4 5 5 5 4 5 5 3 10 5 2 2 2 2 Επομένως lim ( ) lim( ) x x f x x → →+ + = + = 5 5 2 7. iv) Θέτουμε x t= , οπότε έχουμε lim lim lim ( )( ) x t t x x x t t t t t t t t→ → → − − = − − = − + + −1 2 1 4 1 2 1 1 1 1 1 = + + = → lim ( ) t t t t 1 2 1 3. 3. i) Είναι α θ = 1 συν και β θ θ θ = =εϕ ηµ συν , οπότε lim( ) lim lim θ π θ π θ π α β θ θ θ θ θ→ → → − = −       = − 2 2 2 1 1 συν ηµ συν ηµ συν = − + = + = → → lim ( ) lim θ π θ π θ θ θ θ θ 2 2 2 1 1 1 0 ηµ συν ηµ συν ηµ . ii) lim( ) lim( ) θ π θ π α β → → − = = 2 2 2 2 1 1 iii) lim lim( ) θ π θ π β α θ → → = = 2 2 1ηµ . 4. i) Θέτουμε g x f x x( ) ( )= + −4 2 4 , οπότε f x g x x( ) ( )= + − 1 4 1 2 . Επειδή lim ( ) x g x → = − 1 10 , έχουμε 22-0182-02.indb 136 26/11/2013 4:11:42 μμ
  • 138.
    137 1.6 lim ( )lim ( ) ( ) x x f x g x x → → = + −       = − + − = − 1 1 1 4 1 2 1 4 10 1 1 2 2. ii) Θέτουμε g x f x x ( ) ( ) = −1 , οπότε f x x g x( ) ( ) ( )= −1 , 1≠x . Επειδή lim ( ) x g x → = 1 1, έχουμε lim ( ) lim( ) lim ( ) x x x f x x g x → → → = − ⋅ = ⋅ = 1 1 1 1 0 1 0. 1.6 Α΄ ΟΜΑΔΑΣ 1. i) Επειδή lim( ) x x x → + = 0 4 2 3 0 και x x4 2 3 0+ για x ≠ 0, είναι lim x x x→ + = +∞ 0 4 2 1 3 . Επειδή, επιπλέον, lim( ) x x → + = 0 5 5, έχουμε lim lim ( ) x x x x x x x x→ → + + = + ⋅ +       = +∞ 0 4 2 0 4 2 5 3 5 1 3 ii) Επειδή lim ( ) x x → − = 1 4 4 1 0και 4 1 04 ( )x − κοντά στο 1, είναι lim ( )x x→ − = +∞ 1 4 1 1 . Επειδή, επιπλέον, lim( ) x x → − = − 1 2 3 1 0, έχουμε lim ( ) lim ( ) ( )x x x x x x→ → − − = − ⋅ −       = −∞ 1 4 1 4 2 3 4 1 2 3 1 4 1 . iii) Η f στο πεδίο ορισμού της R – {0} γράφεται f x x x x ( ) , , ,=     2 0 0 0 αν αν οπότε έχουμε lim ( ) lim x x f x x→ →− − = = −∞ 0 0 2 , ενώ lim ( ) x f x → + = 0 0 . Επομένως δεν υπάρχει όριο της f στο x0 = 0. 2. i) Η f στο πεδίο ορισμού της R – {–1,1} γράφεται: f x x x x x x x ( ) ( ) .= − − − = + − − = − − 3 1 4 1 3 1 4 1 3 1 12 2 2 Επειδή x0 = 1 περιοριζόμαστε στο υποσύνολο ( , ) ( , )0 1 1∪ +∞ του πεδίου ορισμού της f . 22-0182-02.indb 137 26/11/2013 4:11:46 μμ
  • 139.
    138 1.6 ●Αν x ∈(, )0 1 έχουμε 1 02 − x και lim( ) x x → − − = 1 2 1 0, οπότε lim x x→ − − = +∞ 1 2 1 1 . Επιπλέον είναι lim( ) x x → − − = 1 3 1 2 0 , οπότε έχουμε lim lim ( ) x x x x x x→ →− − − − = − ⋅ −       = +∞ 1 2 1 2 3 1 1 3 1 1 1 . ●Αν x ∈ +∞( , )1 έχουμε 1 02 − x και lim( ) x x → + − = 1 2 1 0, οπότε lim x x→ + − = −∞ 1 2 1 1 . Επιπλέον είναι lim( ) x x → + − = 1 3 1 2 0, οπότε lim lim ( ) x x x x x x→ →+ + − − = − ⋅ −       = −∞ 1 2 1 2 3 1 1 3 1 1 1 . Επομένως, δεν υπάρχει όριο της f στο x0 = 1. ii) Η f στο πεδίο ορισμού της R – {0} γράφεται: f x x x x x x x x x ( ) , , = + − − + −       2 2 2 2 3 2 0 3 2 0 ● Αν x 0 έχουμε − x2 0, lim( ) x x → − − = 0 2 0 και lim( ) x x x → − + − = − 0 2 3 2 2 0 , οπότε lim x x→ − − = −∞ 0 2 1 και άρα lim ( ) lim ( ) x x f x x x x→ →− − = + − ⋅ −       = +∞ 0 0 2 2 3 2 1 . ● Αν x 0 έχουμε x2 0, lim x x → + = 0 2 0 και lim( ) x x x → + + − = − 0 2 3 2 2 0 , οπότε lim x x→ + = +∞ 0 2 1 και άρα lim ( ) lim ( ) x x f x x x x→ →+ + = + − ⋅       = −∞ 0 0 2 2 3 2 1 . Επομένως, δεν υπάρχει όριο της f στο x0 = 0. iii) Η f στο πεδίο ορισμού της R – {0} γράφεται: f x x x x x x x x ( ) = +       = +      = +2 3 2 3 3 3 1 1 1 1 . ●Αν x 0 έχουμε x 0, lim x x → − = 0 0 και lim( ) x x → − + = 0 3 1 1 0, οπότε lim x x→ − = −∞ 0 1 και άρα 22-0182-02.indb 138 26/11/2013 4:11:51 μμ
  • 140.
    139 1.6 lim ( )lim ( ) x x f x x x→ →− − = + ⋅       = −∞ 0 0 3 1 1 . ●Αν x 0 έχουμε x 0, lim x x → + = 0 0 και lim( ) x x → + + = 0 3 1 1 0, οπότε lim x x→ + = +∞ 0 1 και άρα lim ( ) lim ( ) x x f x x x→ →+ + = + ⋅       = +∞ 0 0 3 1 1 . Επομένως, δεν υπάρχει όριο της f στο x0 = 0. 1.6 Β΄ ΟΜΑΔΑΣ 1. Έχουμε: f x x x x x x x x ( ) = − − − + = − −( )− −( ) 9 2 4 8 9 2 4 2 = − − −( ) = −( ) ⋅ − + 9 4 2 1 2 9 2 2 ( )x x x x . Το πεδίο ορισμού της f είναι το σύνολο Α = ∪ +∞[ , ) ( , )0 4 4 . Για x ∈ Α είναι x −( ) 2 0 2 και lim x x → −( ) = 4 2 2 0, οπότε lim x x→ −( ) = +∞ 4 1 2 . Επιπλέον είναι lim x x→ − + = − 4 9 2 9 4 , οπότε lim ( ) lim x x f x x x→ → = −( ) ⋅ − +           = −∞ 4 4 2 1 2 9 2 . 2. i) Έχουμε lim x x → − = π 2 0συν και συνx 0 για x ∈      0 2 , π , οπότε lim x x→ − = +∞ π 2 1 συν . Επιπλέον είναι lim ( ) x x → − = π 2 1ηµ , οπότε lim ( ) lim x x x x x→ → − − = ⋅       = +∞ π π 2 2 1 εϕ ηµ συν . Ομοίως, lim ) x x → + = π 2 0(συν και συνx 0 για x ∈       π π 2 , , οπότε lim x x→ + = −∞ π 2 1 συν . Επιπλέον είναι lim ( ) x x → + = π 2 1ηµ , οπότε 22-0182-02.indd 139 5/3/2014 9:56:30 πµ
  • 141.
    140 1.6 lim ( )lim x x x x x→ → + + = ⋅       = −∞ π π 2 2 1 εϕ ηµ συν . Επομένως, η f(x) = εφx δεν έχει όριο στο 2 π . ii) Έχουμε lim( ) x x → + = 0 0ηµ και ημx 0 για x ∈      0 2 , π , οπότε lim x→ + = +∞ 0 1 ηµx . Επιπλέον είναι lim x x → + ( ) = 0 1συν , οπότε lim lim x x x x x→ →+ + = ⋅       = +∞ 0 0 1 σϕ συν ηµ . Ομοίως, lim( ) x x → − = 0 0ηµ και ημx 0 για x ∈ −       π 2 0, , οπότε lim x→ − = −∞ 0 1 ηµx . Επιπλέον είναι lim x x → − ( ) = 0 1συν , οπότε lim( ) lim x x x x → →− − = ⋅       = −∞ 0 0 1 σϕ συν ηµx . Επομένως, η f(x) = σφx δεν έχει όριο στο 0. 3. Έχουμε lim( ) x x → − = 1 2 1 0 και lim[( ) ] x x x → − + − = − 1 2 1 2 2λ λ . — Αν λ – 2 0 δηλαδή αν λ 2, τότε lim ( ) x f x → + = +∞ 1 και lim ( ) x f x → − = −∞ 1 , οπότε δεν υπάρχει όριο της f στο 1. — Αν λ – 2 0 δηλαδή αν λ 2, τότε lim ( ) x f x → + = −∞ 1 και lim ( ) x f x → − = +∞ 1 , οπότε δεν υπάρχει όριο της f στο 1. — Αν λ = 2, τότε f x x x x x x x x x x ( ) ( )( ) ( )( ) = + − − = − + − + = + + 2 2 2 1 1 2 1 1 2 1 , με 1≠x , οπότε lim ( ) x f x → = ∈ 1 3 2 R. Επομένως το lim ( ) x f x →1 υπάρχει στο R μόνο αν λ = 2. Ομοίως, έχουμε: lim x x → = 0 0 και lim( ) x x x → + + = 0 2 2 µ µ. — Αν μ 0, τότε lim ( ) x g x → + = +∞ 0 και lim ( ) x g x → − = −∞ 0 , οπότε δεν υπάρχει όριο της g στο 0. 22-0182-02.indb 140 26/11/2013 4:12:01 μμ
  • 142.
    141 1.7 — Αν μ 0, τότε lim ( ) x g x → + = −∞ 0 και lim ( ) x g x → − = +∞ 0 , οπότε δεν υπάρχει όριο της g στο 0. — Αν μ = 0, τότε g x x x x x( ) = + = + 2 2 2 με 0x ≠ , οπότε lim ( ) x g x → = ∈ 0 2 R. Επομένως, το lim ( ) x g x →0 υπάρχει στο R μόνο αν μ = 0. 4. i) Θέτουμε g x x f x ( ) ( ) = − 4 . Επειδή lim ( ) x g x → = +∞ 1 , είναι g(x) ≠ 0 κοντά στο 1. Επομένως f x x g x ( ) ( ) = − 4 , κοντά στο 1. Επειδή lim( ) x x → − = − 1 4 3 0 και lim ( ) x g x → = +∞ 1 έχουμε: lim ( ) lim ( ) lim ( ) ( )x x x f x x g x x g x→ → → = − = −       = 1 1 1 4 4 1 0. ii) Θέτουμε g x f x x ( ) ( ) = + 2 , οπότε f(x) = (x + 2)g(x) κοντά στο 1. Επειδή lim( ) x x → + = 1 2 3 0 και lim ( ) x g x → = −∞ 1 , έχουμε: lim ( ) lim[( ) ( )] x x f x x g x → → = + = −∞ 1 1 2 iii) Θέτουμε g(x) = f(x)(3x2 – 2), οπότε f x g x x ( ) ( ) = −3 22 κοντά στο 1. Επειδή lim ( ) x g x → = +∞ 1 και lim x x→ − = 1 2 1 3 2 1 0, έχουμε: lim ( ) lim ( ) x x f x g x x→ → = ⋅ −       = +∞ 1 1 2 1 3 2 . 1.7 Α΄ ΟΜΑΔΑΣ 1. i) lim ( ) lim ( ) lim x x x x x x x →+∞ →+∞ →+∞ − + − = − = − = −∞10 2 5 10 103 3 3 ii) lim ( ) lim ( ) lim x x x x x x x →−∞ →−∞ →−∞ − + = = = −∞5 2 1 5 53 3 3 iii) lim lim x xx x→−∞ →−∞+ = = 5 8 5 03 3 iv) lim lim lim x x x x x x x x x x x →+∞ →+∞ →+∞ − + − − + = = = +∞ 4 3 3 4 3 5 2 1 3 2 22-0182-02.indb 141 26/11/2013 4:12:05 μμ
  • 143.
    142 1.7 v) lim lim xx x x x x x x→+∞ →+∞ + − − + =       = 2 1 4 2 2 4 1 2 3 3 2 3 3 vi) lim lim lim x x x x x x x x x→+∞ →+∞ →+∞ + + + = = = 2 3 1 010 10 9 vii) lim lim ( )( ) lim x x x x x x x x x x x→+∞ →+∞+ − +       = + − − + + =2 2 2 2 1 5 2 2 5 5 1 2 →→+∞ − + − + + + 4 2 5 2 2 2 3 2 x x x x x = − = − = →+∞ →+∞ lim lim x x x x x 4 4 0 2 3 viii) lim lim lim x x x x x x x x x x x x →+∞ →+∞ →+∞ + − + +       = + + + = 2 2 2 2 5 3 2 2 2 10 2 2 22 2 2 x = . 2. i) Επειδή Δ = 4 – 4∙4∙3 0 το πεδίο ορισμού της f x x x( ) = − +4 2 32 είναι το R. Περιοριζόμαστε στο διάστημα ( , )0 +∞ όπου η f γράφεται: f x x x x x x x x x x x x ( ) = − + = − +       = − + = − +4 2 3 4 2 3 4 2 3 4 2 32 2 2 2 2 . Επομένως lim ( ) lim x x f x x x x→+∞ →+∞ = − +       = +∞4 2 3 2 . ii) Οι ρίζες του τριωνύμου x2 + 10x + 9 είναι –9 και –1, οπότε το πεδίο ορισμού της f x x x( ) = + +2 10 9 είναι Α = −∞ − ∪ − +∞( , ] [ , )9 1 . Περιοριζόμαστε στο διάστημα ( , ]−∞ −9 όπου η f γράφεται: f x x x x x x ( ) = + + + +       2 2 2 10 9 1 10 9 = + + = − + +x x x x x x 1 10 9 1 10 9 2 2 . Επομένως lim ( ) lim x x f x x x x→−∞ →−∞ = − + +       = +∞1 10 9 2 . iii) Το πεδίο ορισμού της f x x x x( ) = + + − +2 2 1 3 2 είναι Α = −∞ ∪ +∞( , ] [ , )1 2 . Περιοριζόμαστε στο διάστημα [ , )2 +∞ όπου η f γράφεται: 22-0182-02.indb 142 26/11/2013 4:12:09 μμ
  • 144.
    143 1.7 f x x x x xx x x x x ( ) = + + − + = + + − +      1 1 1 3 2 1 1 1 3 2 2 2 2 2 . Επομένως lim ( ) lim x x f x x x x x→+∞ →+∞ = + + − +               = +∞1 1 1 3 2 2 2 . iv) To πεδίο ορισμού είναι το σύνολο Α = −∞ ∪ +∞( , ] [ , )ρ ρ1 2 , όπου ρ1 , ρ2 οι ρίζες της εξίσωσης (x + α)(x + β) = 0, που είναι οι αριθμοί – α, – β.Άρα, η f ορίζεται σε διάστημα της μορφής ( , )−∞ γ με γ 0. Περιοριζόμαστε στο διάστημα αυτό, οπότε έχουμε: f x x x x x x x x( ) ( )= + + + − = + + + −2 2 1α β αβ α β αβ = − + + + +      x x x 1 12 α β αβ . Επομένως lim ( ) lim . x x f x x x x→−∞ →−∞ = − + + + +               = +∞1 12 α β αβ v) Το πεδίο ορισμού της f x x x x( ) = − − − +2 1 4 4 32 είναι το R. Περιοριζόμαστε στο διάστημα ( , )0 +∞ , οπότε η f(x) γράφεται: f x x x x x x x x x x ( ) ( ) ( ) = − − − + − + − + = − − + − + 2 1 4 4 3 2 1 4 4 3 2 2 1 4 4 3 2 2 2 2 = − − − − + = − − − − +       2 2 1 4 4 3 2 2 1 4 4 3 2 2 x x x x x x x x . Επομένως lim ( ) lim lim x x x f x x x x x →+∞ →+∞ →+∞ =       − − − − + 1 2 2 1 4 4 3 2 = ⋅ − − − − + =0 2 2 0 4 0 0 0. 22-0182-02.indb 143 26/11/2013 4:12:12 μμ
  • 145.
    144 1.7 3. i) Τοπεδίο ορισμού της f x x x ( ) = +2 1 είναι το R*. Περιοριζόμαστε στο διάστημα ( , )0 +∞ , οπότε f x x x x x x x x x x x ( ) = +       = + = + = + 2 2 2 2 2 1 1 1 1 1 1 1 1 . Επομένως lim ( ) . x f x →+∞ =1 ii) To πεδίο ορισμού της f x x x( ) = + −2 1 είναι το R. Περιοριζόμαστε στο διάστημα ( , )0 +∞ , οπότε f x x x x x x x x x x x x ( ) = + −( ) + +( ) + + = + − +       + 2 2 2 2 2 2 2 1 1 1 1 1 1 = + + = + +       1 1 1 1 1 1 12 2 x x x x x . Επομένως lim ( ) . x f x →+∞ = 0 iii) Το πεδίο ορισμού της f x x x ( ) = +2 1 είναι το R*. Περιοριζόμαστε στο διάστη- μα ( , )−∞ 0 , οπότε f x x x x x x x x ( ) .= +       = − + = − + 2 2 2 2 1 1 1 1 1 1 Επομένως lim ( ) . x f x →−∞ = −1 iv) Το πεδίο ορισμού της f x x x( ) = + +2 1 είναι το R. Περιοριζόμαστε στο διάστημα ( , )−∞ 0 , οπότε f x x x x x x x x x x ( ) = + +( ) + −( ) + − = +       − 2 2 2 2 2 1 1 1 1 1 1 22-0182-02.indb 144 26/11/2013 4:12:15 μμ
  • 146.
    145 1.7 = − + − = −+ +       1 1 1 1 1 1 12 2 x x x x x . Επομένως lim ( ) . x f x →−∞ = 0 ν) Το πεδίο ορισμού της f x x x x x ( ) = − + − − 2 2 1 1 είναι Α = −∞ − ∪ +∞( , ) ( , )1 1 . Περιοριζόμαστε στο διάστημα ( , )1 +∞ , οπότε f x x x x x x x x x x x x x ( ) ( ) = − +( ) + +( ) + −( ) − −( ) + −( ) + +( ) = −2 2 2 2 2 2 1 1 1 1 1 1 1 xx x x x + −( ) ⋅ + +( ) 2 2 1 1 1 = − + − + + = − + −       + +       = − + −x x x x x x x x x x 1 1 1 1 1 1 1 1 1 1 1 12 2 2 2 11 1 1 1 2 2 x x + + . Επομένως, lim ( ) lim . x x f x x x →+∞ →+∞ = − + − + +             = − + + = − 1 1 1 1 1 1 1 1 1 1 1 2 2 vi) To πεδίο ορισμού της f x x x x x( ) = + + −2 2 2 2 είναι το R . Περιοριζόμαστε στο διάστημα ( , )0 +∞ , οπότε f x x x x x x x x x x x x x x x ( ) = + + −( )= + + −( ) + + +( ) + + +( ) 2 2 2 2 2 2 2 2 2 2 2 2 = + + + + = +       + + +       = + + + x x x x x x x x x x x x x x 2 2 2 2 2 2 1 2 2 1 2 2 1 22 2 22 12 x + . Επομένως, lim ( ) x f x →+∞ = +∞. 22-0182-02.indb 145 26/11/2013 4:12:18 μμ
  • 147.
    146 1.7 1.7 Β΄ ΟΜΑΔΑΣ 1.i)Περιοριζόμαστε στο διάστημα ( , )−∞ 0 , οπότε f x x x x x x x x x ( ) .= + + = − + + = − + −      1 1 1 1 1 1 2 2 2 µ µ µ Επειδή lim ( ) x x →−∞ − = +∞ και lim , x x→−∞ + −       = −1 1 12 µ µ έχουμε τις εξής περιπτώσεις: — Αν 1 – μ 0 δηλαδή μ 1, τότε lim ( ) x f x →−∞ = +∞ — Αν 1 – μ 0 δηλαδή μ 1, τότε lim ( ) x f x →−∞ = −∞ — Αν μ = 1, τότε f x x x( ) = + +2 1 , οπότε lim ( ) lim lim x x x f x x x x x x x x x→−∞ →−∞ →−∞ = + +( )= + +( ) + −( ) + − 2 2 2 2 1 1 1 1 = + − = − + − →−∞ →−∞ lim lim x x x x x x x 1 1 1 1 12 2 = − + +       = − ⋅ + +           →−∞ →−∞ lim ( ) lim x x x x x x 1 1 1 1 1 1 1 1 12 2   = ⋅ =0 1 2 0. ii) Έστω f x x x x x ( ) ( ) = − + + − + µ µ 1 2 3 5 6 3 2 2 — Αν μ = 1, τότε f x x x x ( ) = + − + 2 3 5 6 2 2 , οπότε lim ( ) lim lim x x x f x x x x x x→+∞ →+∞ →+∞ = + − + = = 2 3 5 6 2 2 2 2 2 2 — Αν μ = 0, τότε f x x x x ( ) = − + + − + 3 2 2 3 5 6 , οπότε lim lim lim x x x x x x x x x →+∞ →+∞ →+∞ − + + − + = − − = = +∞ 3 2 3 2 2 3 5 6 5 5 . 22-0182-02.indb 146 26/11/2013 4:12:22 μμ
  • 148.
    147 1.7 — Αν μ≠ 0, 1, τότε lim ( ) lim ( ) x x f x x x→+∞ →+∞ = −µ µ 1 3 2 = − = +∞ ∈ −∞ ∪ +∞ −∞ ∈   →+∞ lim ( ) , ( , ) ( , ) , ( , ) . x x µ µ 1 0 1 0 1 αν αν µ µ 2. Περιοριζόμαστε στο ( , )0 +∞ , οπότε: f x x x x x x x x x x x ( ) = + + − = + +       − = + + −       2 2 2 2 5 10 1 5 10 1 5 10 λ λ λ . Επειδή lim x x →+∞ = +∞ και lim x x x→+∞ + + −       = −1 5 10 12 λ λ. Έχουμε τις εξής περιπτώσεις: — Αν 1 – λ 0 δηλαδή λ 1, τότε lim ( ) x f x →+∞ = +∞ — Αν 1 – λ 0 δηλαδή λ 1, τότε lim ( ) x f x →+∞ = −∞ — Αν τέλος λ = 1, τότε: f x x x x x x x x ( ) = + + − = + + + + 2 2 5 10 5 10 5 10 = +       + + +       = + + + + x x x x x x x x 5 10 1 5 10 1 5 10 1 5 10 12 2 . οπότε lim ( ) x f x →+∞ = + + = ∈ 5 0 1 1 5 2 R. Ώστε το lim ( ) x f x →+∞ υπάρχει στο R μόνο αν λ = 1. 3. Είναι f x x x x x x x x x ( ) = + + − + = + − + − + + 2 2 2 1 1 1 1 α β α β α β = − + − + + + ( ) ( )1 1 1 2 α β α βx x x — Αν α ≠ 1, τότε lim ( ) lim ( ) lim ( ) , ,x x x f x x x x →+∞ →+∞ →+∞ = − = − = +∞ −∞ 1 1 1 1 2 α α α α αν αν    . 22-0182-02.indb 147 26/11/2013 4:12:25 μμ
  • 149.
    148 1.7 — Αν α= 1 και α ≠ β, τότε lim ( ) lim ( ) x x f x x x→+∞ →+∞ = − = − ≠ β α β α 0 . — Αν α = β = 1, τότε lim ( ) lim . x x f x x→+∞ →+∞ = + + = 1 1 1 0 Ώστε lim ( ) . x f x →+∞ = ⇔ = =0 1α β 4. i) To πεδίο ορισμού της f x x x x x x ( ) = − + − + 2 2 5 3 2 είναι το R – {1, 2}. Περιοριζόμαστε στο διάστημα ( , )−∞ 0 , οπότε f x x x x x x x x x x ( ) .= − + − + = − − + 2 2 2 2 5 3 2 4 3 2 Επομένως lim ( ) lim x x f x x x→−∞ →−∞ = = 2 2 1 ii) To πεδίο ορισμού της f x x x x x ( ) = + + − + + 2 2 1 5 4 3 είναι το R. Περιοριζόμαστε στο ( , )−∞ 0 , οπότε f x x x x x x x x x x x x x ( ) = + + − + + = − + + − − + 1 1 5 4 3 1 1 5 4 3 2 2 2 2 = − + − +       − + −       = + − + + − x x x x x x x x 1 1 5 1 4 3 1 1 1 5 1 4 3 1 2 2 2 2 . Επομένως lim ( ) lim x x f x x x x →−∞ →−∞ = + − + + − 1 1 5 1 4 3 1 2 2 = + − = − = +( ) = + 1 1 3 1 2 3 1 2 3 1 2 3 1. 22-0182-02.indb 148 26/11/2013 4:12:28 μμ
  • 150.
    149 1.8 iii) Περιοριζόμαστε στοδιάστημα ( , )1 +∞ , οπότε f x x x x x x x x( ) ( ) .= − − = − − = 2 1 1 1 Επομένως lim ( ) lim . x x f x x →+∞ →+∞ = = +∞ 1.8 Α΄ ΟΜΑΔΑΣ 1. i) Η f δεν είναι συνεχής στο x0 = 1, αφού 2 1 1 1 = ≠ = − → →− + lim ( ) lim ( ) x x f x f x Στα υπόλοιπα σημεία του πεδίου ορισμού της, όπως φαίνεται από το σχήμα, η f είναι συνεχής. ii) Η f δεν είναι συνεχής στο 1, αφού lim ( ) ( ) . x f x f → = ≠ = 1 2 1 3 Στα υπόλοιπα σημεία του πεδίου ορισμού της, όπως φαίνεται από το σχήμα, η f είναι συνεχής. 2. i) Είναι: lim ( ) lim( ) x x f x x → →− − = + = 2 2 2 4 8, lim ( ) lim x x f x x → →+ + = = 2 2 3 8 και f ( ) ,2 8= οπότε lim ( ) ( ) x f x f → = 2 2 . Επομένως η f είναι συνεχής στο x0 = 2. ii) Είναι: lim ( ) lim( ) , x x f x x → →− − = + = 1 1 2 1 2 lim ( ) lim x x f x x → →+ + = + = 1 1 3 2 και f ( ) ,1 2= οπότε lim ( ) ( ). x f x f → = 1 1 Επομένως η f είναι συνεχής στο 1. iii) Για x ≠ – 2 ισχύει f x x x x x x x x( ) ( )( ) ( ),= + − + = − + + = − 2 2 2 1 2 2 1 οπότε lim ( ) lim( ) ( ). x x f x x f →− →− = − = − = − 2 2 1 3 2 Επομένως η f είναι συνεχής στο x0 = – 2. 3. i) Η f(x) γράφεται f x x x x x x x ( ) , , , .= − − ≤ ≤         2 1 2 1 1 2 1 2 22-0182-02.indb 149 26/11/2013 4:12:32 μμ
  • 151.
    150 1.8 Στο διάστημα (–1,1)η f είναι συνεχής ως πολυωνυμική συνάρτηση ενώ στα διαστήματα ( , )−∞ −1 και ( , )1 +∞ η f είναι συνεχής ως ρητή συνάρτηση. Στο x0 = – 1 έχουμε: lim ( ) lim , x x f x x→− →−− − = = − 1 1 2 2 lim ( ) lim x x f x x →− →−+ + = = 1 1 2 2 2 και f ( ) .− =1 2 Επομένως η f δεν είναι συνεχής στο – 1. Στο x = 1 έχουμε: lim ( ) lim , x x f x x → →− − = = 1 1 2 2 2 lim ( ) lim x x f x x→ →+ + = = 1 1 2 2 και f ( ) .1 2= Επομενως η f δεν είναι συνεχής στο 1. Η γραφική παράσταση της f φαίνεται στο διπλανό σχήμα. ii) Για x ≠ 2 έχουμε f x x x x x x x x( ) ( )( ) ,= − + − = − − − = − 2 5 6 2 2 3 2 3 οπότε η f είναι συνεχής σε καθένα από τα διαστήματα ( , )−∞ 2 και ( , )2 +∞ , ως πολυ- ωνυμική συνάρτηση. Για x = 2 ισχύει lim ( ) lim( ) ( ) , x x f x x f → → = − = − ≠ = 2 2 3 1 2 5 οπότε η f δεν είναι συνεχής στο x = 2. Η γραφική παράσταση της f φαίνεται στο διπλανό σχήμα. iii) Στο διάστημα ( , )−∞ 1 η f είναι συνεχής ως πολυωνυμική. Στο διάστημα ( , )1 +∞ η f είναι συνεχής ως λογαριθμική. Στο x0 = 1 έχουμε: lim ( ) lim , x x f x x → →− − = = 1 1 1 lim ( ) lim ln x x f x x → →+ + = ( ) = 1 1 0 και f ( ) .1 0= Επομένως η f δεν είναι συνεχής στο x0 = 1. Η γραφική παράσταση της f φαίνεται στο διπλανό σχήμα. 22-0182-02.indb 150 26/11/2013 4:12:35 μμ
  • 152.
    151 1.8 iv) Στο διάστημα( , )−∞ 0 η f έχει τύπο f (x) = ex και είναι συνεχής. Στο διάστημα ( , )0 +∞ η f έχει τύπο f x x( ) = − +2 1 και είναι συνεχής ως πολυωνυμική. Στο x0 = 0 έχουμε: lim ( ) lim , x x x f x e → →− − = = 0 0 1 lim ( ) lim( ) x x f x x → →+ + = − + = 0 0 2 1 1 και f (0) = 1. Επομένως η f είναι συνεχής στο x0 = 0. Η γραφική παράσταση της f φαίνεται στο διπλανό σχήμα. 4. i) Στο διάστημα ( , )−∞ 1 η f είναι συνεχής ως πολυωνυμική. Στο διάστημα ( , )1 +∞ η f είναι συνεχής ως πηλίκο συνεχών συναρτήσεων. Στο x0 = 1 έχουμε: lim ( ) lim( ) , x x f x x → →− − = − = − 1 1 2 2 3 1 lim ( ) lim lim ( ) lim x x x x f x x x x x x x → → → →+ + + + = − − = − +( ) − = +(1 1 1 1 1 1 1 1 1 1))= 2 και f ( ) .1 1= − Επομένως η f δεν είναι συνεχής στο x0 = 1. ii) Στο διάστημα ( , )−∞ 0 η f είναι συνεχής ως πηλίκο συνεχών συναρτήσεων. Στο διάστημα ( , )0 +∞ η f είναι συνεχής. Στο x0 = 0 έχουμε: lim ( ) lim , x x f x x x→ →− − = = 0 0 1 ηµ lim ( ) lim x x f x x → →+ + = = 0 0 1συν και f (0) = 1. Επομένως η f είναι συνεχής και στο x0 = 0. 5. i) H f είναι συνεχής ως σύνθεση των συνεχών συναρτήσεων y = ημu και u = συνx. ii) H f είναι συνεχής ως σύνθεση των συνεχών συναρτήσεων y = lnu και u = x2 + x +1. 22-0182-02.indb 151 26/11/2013 4:12:38 μμ
  • 153.
    152 1.8 iii) H fείναι συνεχής ως σύνθεση των συνεχών συναρτήσεων y = ημu και u x = + 1 12 . iv) H f είναι συνεχής ως σύνθεση των συνεχών συναρτήσεων y = eu και u = ημx. ν) Η f είναι συνεχής ως σύνθεση των συνεχών συναρτήσεων y = lnu και u = lnx. 6. Η συνάρτηση f x x x( ) = − +ηµ 1 είναι συνεχής στο [0,π] και ισχύει f f( ) ( ) ( ) ,1 1 1 0π π= − δηλαδή πληρεί τις συνθήκες του θεωρήματος του Bolzano. Επομένως, η εξίσωση f(x) = 0, δηλαδή η εξίσωση ημx – x + 1 = 0, έχει μια, τουλάχιστον, ρίζα στο (0,π). 7. i) Παρατηρούμε ότι: f(0) = – 1 και f(1) = 1, οπότε η f(x) = x3 + x – l στο [0,1] πληρεί τις συνθήκες του θεωρήματος του Bolzano. Επομένως, η εξίσωση f(x) = 0, δηλαδή η εξίσωση x3 + x – 1 = 0 , έχει μια, τουλάχιστον, ρίζα στο (0,1). Άρα, ένας από τους ζητούμενους ακεραίους είναι ο α = 0. ii) Ομοίως, ένας από τους ζητούμενους ακέραιους είναι ο α = – 1 iii) Ομοίως, ο α = – 1 iv) Ομοίως, ο α = 1. 8. Θεωρούμε τη συνάρτηση f x x x x x x x( ) ( )( ) ( )( ) ( )( ).= − − + − − + − −α µ ν β λ ν γ λ µ Η f είναι συνεχής στο [λ, μ] και ισχύει f f( ) ( ) ,λ µ 0 αφού f ( ) ( )( )λ α λ µ λ ν= − − 0 και ( ) ( )( ) 0.f βµ µ λ µ ν= − − Επομένως, σύμφωνα με το θεώρημα του Bolzano υπάρχει ένα, τουλάχιστον, x1 ∈( , )λ µ τέτοιο, ώστε f(x1 ) = 0. Ανάλογα βρίσκουμε ότι υπάρχει ένα, τουλάχιστον, x2 ∈( , )µ ν τέτοιο ώστε f(x2 ) = 0. Επειδή η f είναι δευτεροβάθμιο τριώνυμο, δεν έχει άλλες ρίζες. 9. i) Έχουμε: f x x x x x x x x x( ) ( ) ( ) ( )( )= + − − = + − + = + −3 2 2 2 2 2 2 2 2 1 = + + −( )( )( ),x x x2 1 1 οπότε f x x( ) = ⇔ = −0 2 ή x = – 1 ή x = 1. 22-0182-02.indb 152 26/11/2013 4:12:40 μμ
  • 154.
    153 1.8 Ο παρακάτω πίνακαςδείχνει το πρόσημο της f σε κάθε διάστημα. Διάστημα ( , )−∞ −2 ( , )− −2 1 ( , )−1 1 ( , )1 +∞ Επιλεγμένος αριθμός x0 – 3 − 3 2 0 2 f(x) – 8 – 2 12 Πρόσημο της f – + – + ii) Έχουμε f x x x x x x( ) ( ) ( )( ),= − = − +2 2 2 9 3 3 οπότε f x x( ) = ⇔ =0 0 (διπλή) ή x = 3 ή x = – 3. Ο παρακάτω πίνακας δείχνει το πρόσημο της f σε κάθε διάστημα. Διάστημα ( , )−∞ −3 ( , )−3 0 ( , )0 3 ( , )3 +∞ Επιλεγμένος αριθμός x0 – 4 – 1 1 4 f (x0 ) 112 – 8 – 8 112 Πρόσημο της f + – – + iii) Έχουμε: εϕx x= ⇔ = −3 2 3 π ή x = π 3 , αφού x ∈ −( , ).π π Ο παρακάτω πίνακας δίνει το πρόσημo της f σε κάθε διάστημα. Διάστημα Επιλεγμένος αριθμός x0 0 f (x0 ) − −1 3 2 − 3 2 − −1 3 Πρόσημοτης f – + – + – 5 8 − −      π π , 2 3 − −       2 3 2 π π , −       π π 2 3 , π π 3 2 ,       π π 2 ,       − 3 4 π − 7 12 π 5 12 π 3 4 π 22-0182-02.indd 153 28/11/2013 2:10:13 μμ
  • 155.
    154 1.8 iv) Υπολογίζουμε τιςρίζες της f(x) = 0 στο [0,2π] έχουμε ηµ συν ηµ συνx x x x+ = ⇔ = −0 ⇔ = −εϕx 1 ⇔ =x 3 4 π ή x = 7 4 π . Ο παρακάτω πίνακας δίνει το πρόσημο της f(x) = ημx + συνx σε κάθε διάστημα: Διάστημα Επιλεγμένος αριθμός x0 0 π 2π f(x0 ) 1 – 1 1 Πρόσημο της f + – + 10.i) Η συνάρτηση f(x) = lnx – l είναι γνησίως αύξουσα και συνεχής στο [1,e]. Επομένως το σύνολο τιμών της είναι το διάστημα [f(1), f(e)] = [–1,0]. ii) Η συνάρτηση f(x) = – x + 2 είναι γνησίως φθίνουσα και συνεχής στο (0,2). Επομένως, το σύνολο τιμών της είναι το διάστημα (0,2), αφού lim ( ) x f x → = 2 0 και lim ( ) . x f x → = 0 2 iii) Η συνάρτηση f(x) = 2ημx + 1 είναι γνησίως αύξουσα και συνεχής στο 0 6 , . π      (Αφού η συνάρτηση του g(x) = ημx είναι γνησίως αύξουσα στο πρώτο τεταρτημόριο). Επομένως, το σύνολο τιμών της είναι το διάστημα [1,2), αφού f(0) = 1 και lim ( ) . x f x → = π 6 2 iv) H συνάρτηση f(x) = ex + 1 είναι γνησίως αύξουσα και συνεχής στο ( , ].−∞ 0 Επομένως, το σύνολο τιμών της είναι το διάστημα (1,2], αφού lim ( ) x f x →+∞ =1 και f(0) = 2. 0 3 4 , π      3 4 7 4 π π ,       7 4 2 π π,       22-0182-02.indb 154 26/11/2013 4:12:47 μμ
  • 156.
    155 1.8 1.8 Β΄ ΟΜΑΔΑΣ 1.Η f είναι συνεχής στο x0 = 2, αν και μόνο αν lim ( ) lim ( ) ( ) lim( ) lim( ) x x x x f x f x f x x → → → →− + − + = = ⇔ − = + = 2 2 2 2 2 2 2 5κ κ 44 2 −κ ⇔ − = +4 2 52 κ κ ⇔ + + =κ κ2 2 1 0 ⇔ = −κ 1. 2. Η f είναι συνεχής στο x0 = 1, αν και μόνο αν lim ( ) lim ( ) ( ) lim( ) lim( x x x x f x f x f x x → → → →− + − + = = ⇔ + − = 1 1 1 2 2 1 1 12α β α xx + =β) 5 ⇔ + − = + =α β α β2 12 5. Από την επίλυση του τελευταίου συστήματος βρίσκουμε (α = 4, β = 1) ή (α = – 3, β = 8). 3. i) Η συνάρτηση f είναι συνεχής στο x0 = 0. Συνεπώς, f f x x x x x xx x x x ( ) lim ( ) lim lim ( ) lim0 1 1 10 0 0 2 = = − = − + = → → → → συν συν συν 00 2 1 − + ηµ συν x x x( ) = −       +       = ⋅ ⋅ = → lim ( ) . x x x x x0 1 1 0 1 1 2 0ηµ ηµ συν ii) Επειδή η g είναι συνεχής στο 0 θα ισχύει g g x g x x x ( ) lim ( ) lim ( ).0 0 0 = = → →+ − Επομένως, αρκεί να υπολογίσουμε το lim ( ) x g x → + 0 . Για x 0 έχουμε διαδοχικά: xg x x x( ) − ≤ηµ 2 − ≤ − ≤x xg x x x2 2 ( ) ηµ − + ≤ ≤ +x x xg x x x2 2 ηµ ηµ( ) − + ≤ ≤ +x x x g x x x x ηµ ηµ ( ) . Αλλά lim x x x x→ + − +       = 0 1 ηµ και lim , x x x x→ + +       = 0 1 ηµ 22-0182-02.indb 155 26/11/2013 4:12:50 μμ
  • 157.
    156 1.8 οπότε, από τοθεώρημα παρεμβολής, είναι lim ( ) . x g x → + = 0 1 Επομένως g(0) = 1. 4. Θεωρούμε τη συνάρτηση φ(x) = f(x) – g(x). Η φ είναι συνεχής στο [0,1] και ισχύει φ(0)φ(1) 0, αφού ϕ( ) ( ) ( )0 0 0 0= − f g και ϕ( ) ( ) ( )1 1 1 0= − f g Επομένως, σύμφωνα με το θεώρημα του Bolzano, θα υπάρχει ένα, τουλάχιστον, ξ ∈( , )0 1 τέτοιο, ώστε φ(ξ) = 0, οπότε f(ξ) = g(ξ). 5. α) Στο ανοικτό διάστημα (1,2) η εξίσωση γράφεται ισοδύναμα ( )( ) ( )( ) .x x x x4 6 1 2 1 1 0+ − + + − = Επομένως, έχουμε να δείξουμε ότι η συνάρτηση f x x x x x( ) ( )( ) ( )( )= + − + + −4 6 1 2 1 1 έχει μια, τουλάχιστον, ρίζα στο (1,2). Πράγματι • Η f είναι συνεχής στο [1,2] και • Ισχύει f(1) f(2) = (–2)(65) 0. Επομένως, σύμφωνα με το Θεώρημα του Bolzano, η f έχει μία, τουλάχιστον, ρίζα στο (1,2). β) Στο ανοιχτό διάστημα (1,2) η εξίσωση γράφεται ισοδύναμα ( ) ( )lnx e x xx − + − =2 1 0 Επομένως, έχουμε να δείξουμε ότι η συνάρτηση f x x e x xx ( ) ( ) ( )ln= − + −2 1 έχει μια, τουλάχιστον, ρίζα στο (1,2). Πράγματι ● Η f είναι συνεχής στο [1,2] και ● Ισχύει f(1) f(2) = (– e) ln2 0. Επομένως, σύμφωνα με το Θεώρημα του Bolzano, η f έχει μία, τουλάχιστον, ρίζα στο (1,2). 6. i) Αναζητούμε λύση της εξίσωσης f(x) = g(x) στο σύνολο ( , ) ( , ).−∞ ∪ +∞0 0 Επειδή όμως f(x) = ex 0 για κάθε x ∈ *R και g x x ( ) = 1 0 με x 0, ενώ g x x ( ) = 1 0 με x 0, η εξίσωση, f(x) = g(x), αν έχει κάποια λύση, αυτή θα ανήκει στο ( , ).0 +∞ 22-0182-02.indb 156 26/11/2013 4:12:53 μμ
  • 158.
    157 1.8 Συνεπώς, αναζητούμε λύσητης f(x) = g(x) στο ( , )0 +∞ ή, ισοδύναμα, της εξίσωσης f(x) – g(x) = 0 στο ( , ).0 +∞ Θεωρούμε τη συνάρτηση ϕ( ) ( ) ( ) ,x f x g x e x x = − = − 1 x ∈ +∞( , ).0 Η συνάρ- τηση αυτή είναι: ● συνεχής στο ( , ).0 +∞ ● γνησίως αύξουσα στο ( , ).0 +∞ Πράγματι, έστω x x1 2 0, ( , )∈ +∞ με x1 x2 . Τότε: e e x x x x1 2 1 1 1 2      , οπότε e e x x x x1 2 1 1 1 2 − −      , και αρα e x e x x x1 2 1 1 1 2 − − ,δηλαδή φ(x1 ) φ(x2 ). Επομένως, το σύνολο τιμών της φ είναι το διάστημα ( , )−∞ +∞ =R, αφού lim ( ) x x → + = −∞ 0 ϕ και lim ( ) . x x →+∞ = +∞ϕ Άρα η φ έχει μια, τουλάχιστον, ρίζα στο ( , ).0 +∞ Επειδή, όμως, η φ γνησίως αύξουσα στο ( , ),0 +∞ η ρίζα αυτή είναι μοναδική. Άρα, η εξίσωση f(x) = g(x) στο ( , )0 +∞ έχει ακριβώς μια ρίζα. ii) Αναζητούμε λύση της εξίσωσης f(x) = g(x) στο ( , )0 +∞ ή, ισοδύναμα, της εξίσωσης ln x x = 1 στο ( , ).0 +∞ Θεωρούμε τη συνάρτηση ϕ( ) ln ,x x x = − 1 x ∈ +∞( , ).0 Η συνάρτηση αυτή: ● Είναι συνεχής στο ( , ).0 +∞ ● Είναι γνησίως αύξουσα στο ( , ).0 +∞ Πράγματι Έστω x x1 2 0, ( , )∈ +∞ με x1 x2 . Τότε: ln ln , x x x x 1 2 1 2 1 1      οπότε ln ln , x x x x 1 2 1 2 1 1 − −      και άρα ln ln ,x x x x 1 1 2 2 1 1 − − δηλαδή φ(x1 ) φ(x2 ). Επομένως, το σύνολο τιμών της φ είναι το διάστημα ( , )−∞ +∞ = R, αφού lim ( ) x x → + = −∞ 0 ϕ και lim ( ) . x x →+∞ = +∞ϕ Άρα η φ έχει μια, τουλάχιστον, ρίζα στο ( , ).0 +∞ Επειδή, επιπλέον, η φ είναι γνησίως αύξουσα, η ρίζα αυτή είναι μοναδική. Άρα η εξίσωση f(x) = g(x) στο ( , )0 +∞ έχει ακριβώς μια ρίζα. 22-0182-02.indb 157 26/11/2013 4:12:58 μμ
  • 159.
    158 1.8 7.i) Για κάθεx ∈ −[ , ]1 1 έχουμε f x x2 2 1( ) = − (1) α) Η εξίσωση f(x) = 0 στο [–1,1] γράφεται ισοδύναμα: f x f x x x( ) ( ) ( ) = ⇔ = ⇔ − = ⇔ = −0 0 1 0 12 1 2 ή x = 1. Επομένως, λύσεις της f(x) = 0 στο [–1,1] είναι μόνο οι –1 και 1. β) Η f στο (–1,1) είναι συνεχής και δεν μηδενίζεται σ’ αυτό. Επομένως, στο (–1,1) η f διατηρεί πρόσημο. ●Αν f(x) 0 στο (–1,1), τότε από τη σχέση (1) προκύπτει ότι f x x( ) = −1 2 και επειδή f f( ) ( ) ,− = =1 1 0 έχουμε f x x( ) ,= −1 2 x ∈ −[ , ]1 1 ●Αν f(x) 0 στο (–1,1), τότε από τη σχέση (1) προκύπτει ότι f x x( ) = − −1 2 και επειδή f f( ) ( ) ,− = =1 1 0 έχουμε f x x( ) = − −1 2 , x ∈ −[ , ]1 1 Η γραφική παράσταση της f σε κάθε περίπτωση φαίνεται στο διπλανό σχήμα. ii) α) Έχουμε f x f x x x( ) ( ) .= ⇔ = ⇔ = ⇔ =0 0 0 02 2 Επομένως, η εξίσωση f(x) = 0 έχει στο R μοναδική ρίζα την x = 0. β) Η συνάρτηση f στο ( , )−∞ 0 είναι συνεχής και δε μηδενίζεται σ’αυτό. Επο- μένως η f διατηρεί σταθερό πρόσημο στο ( , )−∞ 0 . Έτσι: — αν f(x) 0 στο ( , )−∞ 0 , τότε στο διάστημα αυτό είναι f x x2 2 ( ) ,= ⇔ f x x( ) == αφού x 0, ενώ — αν f(x) 0 στο ( , )−∞ 0 , τότε στο διάστημα αυτό είναι f x x2 2 ( ) ,= ⇔ =f x x( ) −− αφού x 0. Επειδή, επιπλέον f(0) = 0, έχουμε f(x) = x, για κάθε x ∈ −∞( , ]0 ή f(x) = – x, για κάθε x ∈ −∞( , ]0 . 22-0182-02.indb 158 26/11/2013 4:13:03 μμ
  • 160.
    159 1.8 Ομοίως, έχουμε f(x) =x, για κάθε x ∈ +∞[ , )0 ή f(x) = – x, για κάθε x ∈ +∞[ , )0 . Συνδυάζοντας τα παραπάνω, η f έχει έναν από τους παρακάτω τύπους: α) f(x) = x, x∈R, β) f(x) = – x, x∈R γ) f x x x x x ( ) , , = − ≥    0 0 ή, πιο απλά, f x x( ) = δ) f x x x x x ( ) , , = − ≥    0 0 ή, πιο απλά, f x x( ) = − . Η γραφική παράσταση της f φαίνεται σε κάθε περίπτωση στα παρακάτω σχήματα (α), (β), (γ), (δ) αντιστοίχως. 22-0182-02.indb 159 26/11/2013 4:13:04 μμ
  • 161.
    160 1.8 8. i) Ηεξίσωση της διαγωνίου ΟΒ είναι η y x y x− = − − − ⇔ =0 1 0 1 0 0( ) . Ομοίως η εξίσωση της διαγωνίου ΑΓ είναι η y x y x− = − − − ⇔ = − +0 1 0 0 1 1 1( ) . ii) Η συνάρτηση f είναι συνεχής στο [0,1] και η γραφική της παράσταση βρίσκεται ολόκληρη μέσα στο τετράγωνο. Επομένως, το σύνολο τιμών της είναι υποσύνολο του [0,1]. Είναι δηλαδή 0 ( ) 1f x≤ ≤ για κάθε x ∈[ , ].0 1 ● Θα αποδείξουμε, πρώτα, ότι η Cf τέμνει τη διαγώνιο y = x.Αρκεί να δείξουμε ότι η εξίσωση f(x) = x έχει μια, τουλάχιστον, ρίζα στον [0,1]. Θεωρούμε τη συνάρτηση φ(x) = f(x) – x η οποία είναι συνεχής στο [–1,1] και ισχύει φ(0) = f(0) ≥ 0 και φ(1) = f(1) – 1 ≤ 0. — Αν φ(0) = 0, τότε f(0) = 0, οπότε η εξίσωση f(x) = x έχει ως ρίζα τον x = 0 και η Cf τέμνει την ΟΒ στο Ο(0,0). — Αν φ(1) = 0 , τότε f(1) = 1, οπότε η εξίσωση f(x) = x έχει ως ρίζα τον x = 1 και η Cf τέμνει την ΟΒ στο Α(1,1). — Αν φ(0)∙φ(1) 0, τότε, σύμφωνα με το θεώρημα του Bolzano, υπάρχει ένα, τουλάχιστον, x0 0 1∈( , ) τέτοιο, ώστε φ(x0 ) = 0, οπότε f(x0 ) = x0 και η Cf τέμνει την ΟΒ στο σημείο Ρ(x0 ,x0 ). Επομένως σε κάθε περίπτωση η Cf τέμνει την ΟΒ. ● Για την άλλη διαγώνιο εργαζόμαστε ομοίως. 9. i) Έστω Μ(x, f(x)) τυχαίο σημείο της Cf . Τότε d d x x x f x y= = − + −( ) ( ) ( ( ) )0 2 0 2 με x ∈[ , ].α β ii) Η συνάρτηση d είναι συνεχής στο [α, β] ως ρίζα αθροίσματος συνεχών συναρτήσεων. Επομένως, σύμφωνα με το θεώρημα μέγιστης και ελάχιστης τιμής, θα υπάρχει κάποιο x1 ∈[ , ]α β για το οποίο η d θα πάρει τη μέγιστη τιμή της και κάποιο x2 ∈[ , ]α β για το οποίο η d θα πάρει την ελάχιστη τιμή της. 22-0182-02.indb 160 26/11/2013 4:13:06 μμ
  • 162.
    161 ΚΕΦΑΛΑΙΟ 2 ΔΙΑΦΟΡΙΚΟΣ ΛΟΓΙΣΜΟΣ 2.1Α΄ ΟΜΑΔΑΣ 1. i) Για x ≠ 0 έχουμε: f x f x x x x x x ( ) ( ) , − − = + − = = 0 0 1 12 2 οπότε lim ( ) ( ) lim . x x f x f x x → → − − = = 0 0 0 0 0 Επομένως f′(0) = 0 . ii) Για x ∈ −* { }1R έχουμε: f x f x x x x x x x x ( ) ( ) ( ) ( ) , − − = − − = − − = − +1 1 1 1 1 1 1 12 2 2 2 οπότε lim ( ) ( ) lim ( ) x x f x f x x x→ → − − = − + = − 1 1 2 1 1 1 2 Επομένως f′(1) = – 2. iii) Για x ≠ 0 έχουμε: f x f x x x x x x ( ) ( ) , − − = = ⋅ 0 1 2 ηµ ηµ ηµ οπότε lim ( ) ( ) lim lim lim x x x x f x f x x x x x x→ → → → − − = ⋅       = ⋅ 0 0 0 0 0 1 ηµ ηµ ηµ ηµµx = ⋅ =1 0 0. Επομένως f′(0) = 0. 2. i) Για x ≠ 0 έχουμε: f x f x x x x x ( ) ( ) , − − = − = 0 0 0 22-0182-02.indb 161 26/11/2013 4:13:08 μμ
  • 163.
    162 2.1 οπότε lim ( ) () lim . x x f x f x x → → − − = = 0 0 0 0 0 Επομένως έχουμε f′(0) = 0. ii) ● Για x 1 έχουμε: f x f x x x ( ) ( ) , − − = − − − = 1 1 1 0 1 1 οπότε lim ( ) ( ) lim( ) x x f x f x→ →+ + − − = = 1 1 1 1 1 1 ● Για x 1 έχουμε: f x f x x x ( ) ( ) ( ) , − − = − − − − = − 1 1 1 0 1 1 οπότε lim ( ) ( ) lim( ) . x x f x f x→ →− − − − = − = − 1 1 1 1 1 1 Επειδή lim ( ) ( ) lim ( ) ( ) , x x f x f x f x f x→ →− + − − ≠ − −1 1 1 1 1 1 η f δεν παραγωγίζεται στο σημείο x0 = 1. iii) Για κάθε x ∈ ∪( , ) ( , )0 1 1 3 έχουμε: f x f x x x x x x x x ( ) ( ) ( )( ) , − − = − + − − = − − − − = − + 1 1 3 2 1 1 2 1 2 2 οπότε lim ( ) ( ) lim( ) . x x f x f x x → → − − = − + = 1 1 1 1 2 1 Επομένως f′(1) = 1. iv) ● Για x 0 έχουμε: f x f x x x x x x x x ( ) ( ) ( ) , − − = + + − = + = + 0 0 1 1 1 1 2 οπότε lim ( ) ( ) lim( ) . x x f x f x x → →− − − − = + = 0 0 0 0 1 1 22-0182-02.indb 162 26/11/2013 4:13:11 μμ
  • 164.
    163 2.1 ● Για x 0 έχουμε: f x f x x x ( ) ( ) , − − = + − = 0 0 1 1 1 οπότε lim ( ) ( ) lim( ) . x x f x f x→ →+ + − − = = 0 0 0 0 1 1 Επειδή lim ( ) ( ) lim ( ) ( ) x x f x f x f x f x→ →− + − − = = − −0 0 0 0 1 0 0 , η f είναι παραγωγίσιμη στο x = 0, με f′(0) = 1. 3. Για κάθε x από το πεδίο ορισμού της f με x ≠ 0 έχουμε: g x g x xf x f x xf x x f x ( ) ( ) ( ) ( ) ( ) ( ), − − = − = = 0 0 0 0 οπότε lim ( ) ( ) lim ( ) ( ), x x g x g x f x f → → − − = = 0 0 0 0 0 αφού η f είναι συνεχής στο σημείο x0 = 0. Επομένως η g παραγωγίζεται στο 0 με g′(0) = f(0). 4. i) Έχουμε: lim ( ) lim( ) , x x f x x → →− − = + = 0 0 2 1 1 lim ( ) lim x x f x x → →+ + = = 0 0 3 0 και f(0) = 0. Επειδή lim ( ) lim ( ), x x f x f x → →− + ≠ 0 0 το όριο της f στο 0 δεν υπάρχει. Επομένως η f δεν είναι συνεχής στο 0. Αφού όμως η f δεν είναι συνεχής στο 0, δεν είναι ούτε παραγωγίσιμη σ’ αυτό. ii) Έχουμε: lim ( ) lim x x f x x → → = − +( ) = 1 1 1 1 1 και f(1) = 1. Επομένως η f είναι συνεχής στο x0 = 1. — Για x 1 έχουμε: f x f x x x ( ) ( ) ( ) , − − = − − + − − = − 1 1 1 1 1 1 1 οπότε lim ( ) ( ) . x f x f x→ − − − = − 1 1 1 1 22-0182-02.indb 163 26/11/2013 4:13:13 μμ
  • 165.
    164 2.1 — Για x 1 έχουμε: f x f x x x ( ) ( ) , − − = − + − − = 1 1 1 1 1 1 1 οπότε lim ( ) ( ) . x f x f x→ + − − = 1 1 1 1 Επειδή lim ( ) ( ) lim ( ) ( ) , x x f x f x f x f x→ →− + − − ≠ − −1 1 1 1 1 1 η f δεν παραγωγιζεται στο x0 = 1. 5. ● Από την άσκηση 1 έχουμε: i) f x x( ) ,= +2 1 f ( )0 1= και ′ =f ( ) .0 0 Επομένως η εξίσωση της εφαπτομένης της Cf στο σημείο (0,1) είναι: y x y− = ⋅ − ⇔ =1 0 0 1( ) . ii) f x x ( ) ,= 1 2 f(1) = 1 και f′(1) = – 2. Επομένως η εξίσωση της εφαπτομένης της Cf στο σημείο (1,1) είναι: y x y x− = − − ⇔ = − +1 2 1 2 3( ) . iii) f(x) = ημ2 x, f(0) = 0 και f′(0) = 0. Επομένως η εξίσωση της εφαπτομένης της Cf στο σημείο (0,0) είναι: y x y− = ⋅ − ⇔ =0 0 0 0( ) . ● Από την άσκηση 2 έχουμε: i) f x x x( ) ,= f(0) = 0 και f′(0) = 0. Επομένως η εξίσωση της εφαπτομένης στο σημείο (0,0) είναι: y x y− = ⋅ − ⇔ =0 0 0 0( ) ii) f x x( ) ,= −1 f(1) = 0 και lim ( ) ( ) x f x f x→ − −1 1 1 δεν υπάρχει. Επομένως δεν ορίζεται εφαπτομένη της Cf στο σημείο (1,0). iii) f x x x( ) ,= −2 3 f(1) = 2 και f′(1) = 1. Επομένως η εξίσωση της εφαπτομένης της Cf στο σημείο (1,2) είναι: y x y x− = − ⇔ = +2 1 1 1( ) iv) f x x x x x x ( ) , , ,= + + + ≥    2 1 0 1 0 f(0) = 1 και f′(0) = 1. 22-0182-02.indb 164 26/11/2013 4:13:17 μμ
  • 166.
    165 2.1 Επομένως η εξίσωσητης εφαπτομένης της Cf στο σημείο (0,1) είναι: y x y x− = − ⇔ = +1 1 0 1( ) . 2.1 Β΄ ΟΜΑΔΑΣ 1. Για κάθε x ≠ 0 έχουμε: f x f x x x x x x x x x ( ) ( ) , − − = − + − = − +( ) = − + 0 0 2 2 1 1 ηµ ηµ ηµ οπότε lim ( ) ( ) lim , x x f x f x x → → − − = − +( ) = − 0 0 0 0 1 1ηµ αφού lim . x x → ( ) = 0 0ηµ Επομένως, f′(0) = – 1. 2. i) Για h = 0 έχουμε f(1) = 2. ii) Για κάθε h∈ *R έχουμε: f h f h h h h h h h h h h h ( ) ( ) ( ) , 1 1 3 3 2 2 3 3 3 3 3 2 2 2+ − = + + + − = + + = + + οπότε lim ( ) ( ) lim( ) . h h f h f h h h → → + − = + + = 0 0 21 1 3 3 3 Επομένως f′(1) = 3 . 3. ● Για x 0 έχουμε: f x f x x x x x x x ( ) ( ) ( ) , − − = − − = − + − = − 0 0 1 1 1 1 1 1 1 1 οπότε lim ( ) ( ) lim . x x f x f x x→ → − = − = 0 0 0 1 1 1 ● Για x 0 έχουμε: f x f x x x x x ( ) ( ) , − − = + − = 0 0 1 1ηµ ηµ οπότε lim ( ) ( ) lim . x x f x f x x x→ → − − = = 0 0 0 0 1 ηµ Επομένως f′(0) = 1. 22-0182-02.indb 165 26/11/2013 4:13:20 μμ
  • 167.
    166 2.1 Άρα, ορίζεται εφαπτομένητης Cf στο σημείο Ο(0,1) και έχει συντελεστή διεύθυνσης λ = f′(0) = 1, οπότε εϕω ω π = ⇔ =1 4 . 4. Για κάθε x ≠ 0 έχουμε: f x f x x x x x x x x ( ) ( ) ( ) − − = − − = − = − + 0 0 1 0 1 1 12 2 2 συν συν συν συν x = + =       ⋅ + ηµ συν ηµ συν 2 2 2 1 1 1 x x x x x( ) , x οπότε lim ( ) ( ) lim x x f x f x x x x→ → − − =       ⋅ +         = ⋅ = 0 0 2 0 0 1 1 1 1 2 ηµ συν 11 2 . Επομένως, ′ =f ( ) .0 1 2 5. Για κάθε x∈R γνωρίζουμε ότι: ( ) ( )x f x x x+ ≤ ≤ + +1 12 (1) i) Για x = 0, από την (1) έχουμε: 1 (0) 1,f≤ ≤ οπότε f(0) = 1. Η (1) γράφεται ισοδύναμα: x f x x x x f x f x x≤ − ≤ + ⇔ ≤ − ≤ +( ) ( ) ( ) ( )1 0 12 (2) ii) ● Για x 0, από τη (2) έχουμε: 1 0 0 1≥ − − ≥ + f x f x x ( ) ( ) . (3) ● Για x 0, από τη (2) έχουμε 1 0 1≤ − ≤ + f x f x x ( ) ( ) (4) iii) Από τη σχέση (3) επειδή lim lim( ), x x x → →− − = = + 0 0 1 1 1 σύμφωνα με το κριτήριο παρεμβολής έχουμε lim ( ) ( ) . x f x f x→ − − − = 0 0 0 1 Από τη σχέση (4) επειδή lim lim( ) , x x x → →+ + = + = 0 0 1 1 1 σύμφωνα με το κριτήριο παρεμβολής έχουμε 22-0182-02.indb 166 26/11/2013 4:13:23 μμ
  • 168.
    167 2.1 lim ( ) () . x f x f x→ + − − = 0 0 0 1 Επομένως f′(0) = 1. 6. Για κάθε x ∈R γνωρίζουμε ότι ισχύει: ηµ ηµ2 4 2 4 x x xf x x x− ≤ ≤ +( ) (1) i) Επειδή η f είναι συνεχής στο 0 θα ισχύει f f x f x x x ( ) lim ( ) lim ( )0 0 0 = = → →+ − Επομένως, αρκεί να υπολογίσουμε το lim ( ) x f x → + 0 . Για x 0, από την (1), έχουμε ηµ ηµ2 4 2 4 x x x x f x x x x x − ≤ ≤ +( ) ή, ισοδύναμα, ηµ ηµ ηµ ηµ x x x x f x x x x x⋅ − ≤ ≤ ⋅ +3 3 ( ) . Επειδή lim x x x x x → + ⋅ −       = ⋅ − = 0 3 1 0 0 0 ηµ ηµ και lim , x x x x x → + ⋅ +       = ⋅ + = 0 3 1 0 0 0 ηµ ηµ έχουμε lim ( ) . x f x → + = 0 0 Άρα f(0) = 0. ii) ● Για x ≠ 0, από την (1), έχουμε ηµ ηµ2 2 4 2 2 2 4 2 x x x x f x x x x x x − ≤ ≤ + ( ) ή, ισοδύναμα, ηµ ηµx x x f x f x x x x       − ≤ − ≤       + 2 2 2 20( ) ( ) . Επειδή lim x x x x →       −         = − = 0 2 2 2 1 0 1 ηµ και lim , x x x x →       +         = + = 0 2 2 1 0 1 ηµ έχουμε lim ( ) ( ) . x f x f x→ − = 0 0 1 (2) Άρα f′(0) = 1. 22-0182-02.indb 167 26/11/2013 4:13:26 μμ
  • 169.
    168 2.1 7. i) Αφούη f είναι συνεχής στο 0 ισχύει lim ( ) ( ). x f x f → = 0 0 Αλλά lim ( ) lim ( ) lim ( ) lim . x x x x f x f x x x f x x x → → → → = ⋅       = ⋅ = ⋅ = 0 0 0 0 4 0 0 Επομένως, f(0) = 0. ii) Είναι ′ = − − = = → → f f x f x f x xx x ( ) lim ( ) ( ) lim ( ) ,0 0 0 4 0 0 λόγω της υπόθεσης. 8. i) Επειδή η f είναι παραγωγίσιμη στο x0 ισχύει ′ = + − → f x f x h f x hx ( ) lim ( ) ( ) .0 0 0 0 Για h ≠ 0 είναι f x h f x h f x h f x h ( ) ( ) ( ( )) ( ) .0 0 0 0− − = − + − − − Επομένως lim ( ) ( ) lim ( ( )) ( ) . h h f x h f x h f x h f x h→ → − − = − + − − −0 0 0 0 0 0 = − + − − −− → lim ( ( )) ( ) h f x h f x h0 0 0 = − + − → lim ( ) ( ) k f x k f x k0 0 0 (θέσαμε k h= − ) ii) Για h ≠ 0 είναι f x h f x h h f x h f x f x h f x h ( ) ( ) ( ) ( ) ( ) ( )0 0 0 0 0 0+ − − = + − − − + = + − − − −f x h f x h f x h f x h ( ) ( ) ( ) ( ) ,0 0 0 0 οπότε lim ( ) ( ) lim ( ) ( ) lim ( ) h h h f x h f x h h f x h f x h f x h → → → + − − = + − − − − 0 0 0 0 0 0 0 0 ff x h ( )0 = ′ − − ′f x f x( ) ( ( ))0 0 = ′2 0f x( ). (Σύμφωνα με το ερώτημα i) lim ( ) ( ) ( )). h f x h f x h f x → − − = − ′ 0 0 0 0 22-0182-02.indb 168 26/11/2013 4:13:30 μμ
  • 170.
    169 2.1 9. i) Απότην αρχή του άξονα κίνησης ξεκίνησε το κινητό Β. ii) Μόνο προς τα δεξιά κινήθηκε το κινητό Γ, αφού η συνάρτηση θέσης του είναι γνησίως αύξουσα. iii) Τη χρονική στιγμή t = 2 sec το κινητό Β άλλαξε φορά κίνησης, γιατί τότε η συνάρτηση θέσης από γνησίως φθίνουσα γίνεται γνησίως αύξουσα. Τη στιγμή t = 4 sec άλλαξε φορά κίνησης το κινητό Α, αφού η συνάρτηση θέσης του από γνησίως φθίνουσα γίνεται γνησίως αύξουσα. Τέλος τη χρονική στιγμή t = 5 sec άλλαξε φορά κίνησης το κινητό Β, αφού τη συνάρτηση θέσης του από γνησίως αύξουσα γίνεται γνησίως φθίνουσα. iv) Στο χρονικό διάστημα [0,4] το κινητό Α κινήθηκε μόνο αριστερά, αφού η συνάρτηση θέσης του είναι γνησίως φθίνουσα. ν) Πιο κοντά στην αρχή των αξόνων τερμάτισε το κινητό Β. Όλα τα παραπάνω φαίνονται καλύτερα, αν προβάλλουμε τις γραφικές παραστάσεις των συναρτήσεων θέσης στον άξονα κίνησης: vi) Το κινητό Α διάνυσε το μεγαλύτερο διάστημα, αφού: — Το Α κινητό διαγράφει διάστημα ίσο με Μ1 Μ2 + Μ2 Μ3 —Το Β κινητό διαγράφει διάστημα ίσο με Μ4 Μ5 + Μ5 Μ6 + Μ6 Μ7 —Το Γ κινητό διαγράφει διάστημα ίσο με Μ8 Μ9 . 22-0182-02.indb 169 26/11/2013 4:13:30 μμ
  • 171.
    170 2.2 2.2 Α΄ ΟΜΑΔΑΣ 1.i) Για κάθε x ∈R ισχύει f ′ (x) = 4x3 , οπότε f ′ (–1) = – 4. ii) Για κάθε x ∈ +∞( , )0 ισχύει ′ =f x x ( ) , 1 2 οπότε ′ = =f ( ) .9 1 2 9 1 6 iii) Για κάθε x ∈R ισχύει f ′ (x) = – ημx, οπότε ′       = − = −f π π 6 6 1 2 ηµ . iv) Για κάθε x ∈ +∞( , )0 ισχύει ′ =f x x ( ) , 1 οπότε ′ =f e e ( ) . 1 v) Για κάθε x ∈R ισχύει f ′ (x) = ex , οπότε f ′ (ln2) = eln2 = 2. 2. i) ● Για κάθε x 1 ισχύει f ′ (x) = 2x. ● Για κάθε x 1 ισχύει ′ =f x x ( ) . 1 2 Εξετάζουμε αν η f παραγωγίζεται στο σημείο x0 = 1. — Για x 1 έχουμε: f x f x x x x ( ) ( ) , − − = − − = + 1 1 1 1 1 2 οπότε lim ( ) ( ) lim( ) . x x f x f x x → →− − − − = + = 1 1 1 1 1 2 — Για x 1 έχουμε: f x f x x x x x x x ( ) ( ) ( ) , − − = − − = − − +( ) = + 1 1 1 1 1 1 1 1 1 οπότε lim ( ) ( ) lim . x x f x f x x→ →+ + − − = + = 1 1 1 1 1 1 1 2 Επομένως η f δεν παραγωγίζεται στο x0 = 1. Άρα ′ =      f x x x x x ( ) , , . 2 1 1 2 1 22-0182-02.indb 170 26/11/2013 4:13:33 μμ
  • 172.
    171 2.2 ii) ● Γιακάθε x 0 ισχύει f ′ (x) = συνx. ● Για κάθε x 0 ισχύει f ′ (x) = 1. ● Εξετάζουμε αν η f παραγωγίζεται στο σημείο x0 = 0. — Για x 0 έχουμε: f x f x x x x x ( ) ( ) , − − = − = 0 0 0ηµ ηµ οπότε lim ( ) ( ) lim . x x f x f x x x→ →− − − = = 0 0 0 1 ηµ — Για x 0 έχουμε: f x f x x x ( ) ( ) , − − = − = 0 0 0 1 οπότε lim ( ) ( ) . x f x f x→ + − = 0 0 1 Επομένως f ′ (0) = 1. Άρα ′ = ≥    f x x x x ( ) , , . συν 0 1 0 iii) ● Για κάθε x 2 ισχύει f ′ (x) = 3x2 . ● Για κάθε x 2 ισχύει f ′ (x) = 4x3 . ● Εξετάζουμε αν η f παραγωγίζεται στο σημείο x0 = 2. Επειδή lim ( ) lim x x f x x → →− − = = 2 2 3 8 και lim ( ) lim , x x f x x → →+ + = = 2 2 4 16 η f δεν είναι συνεχής στο x0 = 2. Επομένως η f δεν παραγωγίζεται στο x0 = 2. Άρα ′ =     f x x x x x ( ) , , . 3 2 4 2 2 3 iv) ● Για κάθε x 2 3 ισχύει f ′ (x) = 2x. ● Για κάθε x 2 3 ισχύει f ′ (x) = 3x2 . ● Εξετάζουμε αν η f παραγωγίζεται στο σημείο x0 2 3 = . 22-0182-02.indb 171 26/11/2013 4:13:36 μμ
  • 173.
    172 2.2 Παρατηρούμε ότι: lim () x f x f → − = =      2 3 4 9 2 3 και lim ( ) . x f x f → + = ≠      2 3 8 27 2 3 Δηλαδή η f δεν είναι συνεχής στο x0 2 3 = . Άρα η f δεν παραγωγίζεται στο σημείο x0 2 3 = . Επομένως, ′ =       f x x x x x ( ) , , . 2 2 3 3 2 3 2 3. Έστω ότι υπάρχουν δύο σημεία, τα Μ1 1 1 2 ( , )x x και Μ 2 2 2 2 ( , )x x με 1 2 ,x x≠ στα οποία οι εφαπτομένες της Cf είναι παράλληλες. Τότε, επειδή η f παραγωγίζεται στο πεδίο ορισμού της, θα πρέπει f′(x1 ) = f′(x2 ), οπότε 2x1 = 2x2 και άρα x1 = x2 , που είναι άτοπο, αφού x1 ≠ x2 . Άρα, δεν υπάρχουν διαφορετικές εφαπτομένες της Cf που να είναι παράλληλες. Για τη γραφική παράσταση της f(x) = x3 δεν συμβαίνει το ίδιο. Πράγματι, για να υπάρχουν δύο τουλάχιστον σημεία αυτής, τα Μ1 1 1 3 ( , ),x x Μ 2 2 2 3 ( , )x x στα οποία οι εφαπτόμενες είναι παράλληλες, αρκεί να ισχύει: ′ = ′ ≠    ⇔ = ≠     f x f x x x x x x x ( ) ( )1 2 1 2 1 2 2 2 1 2 3 3 ⇔ = ≠     x x x x 1 2 2 2 1 2 ⇔ = − ≠x x1 2 0. Επομένως, στα σημεία Μ1 1 1 3 ( , ),x x Μ 2 1 1 3 ( , )− −x x με x1 ≠ 0 οι εφαπτομένες είναι παράλληλες. 4. ● Στο διάστημα (–2,0) η κλίση της f είναι σταθερή και ίση με 2 0 0 2 2 2 1 − − − = = ( ) . ● Στο (0,2) η f έχει κλίση ίση με − − − = − 2 2 2 0 2. 22-0182-02.indb 172 26/11/2013 4:13:39 μμ
  • 174.
    173 2.2 ● Στο (2,4)η κλίση της είναι 0. ● Στο (4,6) η κλίση της είναι ίση με 4 2 6 4 6 2 3 + − = = . ● Στο (6,9) η κλίση της f είναι ίση με 0 4 9 6 4 3 − − = − . Επομένως, ′ = ∈ − − ∈ ∈ ∈ − ∈    f x x x x x x ( ) , ( , ) , ( , ) , ( , ) , ( , ) , ( , ) 1 2 0 2 0 2 0 2 4 3 4 6 4 3 6 9         . Η γραφική παράσταση της συνάρτησης f′ φαίνεται στο παρακάτω σχήμα 5. Στο διάστημα [0,2) είναι f′(x) = 2. Άρα, στο διάστημα αυτό η f παριστάνει ένα ευθύγραμμο τμήμα με κλίση 2, δηλαδή παράλληλο στην ευθεία y = 2x. Στο διάστημα (2,4) είναι f′(x) = – 1.Άρα, στο διάστημα αυτό η f παριστάνει ένα ευθύγραμμο τμήμα με κλίση – 1, δηλαδή παράλληλο στην ευθεία y = – x. Τέλος, στο διάστημα (4,8] είναι f′(x) = 1. Άρα, στο διάστημα αυτό η f παριστάνει ένα ευθύγραμμο τμήμα με κλίση 1, δηλαδή παράλληλο στην ευθεία y = x. Λαμβάνοντας υπόψη τα παραπάνω, την υπόθεση ότι η Cf ξεκινάει από το Ο(0,0) και ότι η f είναι συνεχής στα σημεία 2 και 4, παίρνουμε τη γραφική παράσταση του διπλανού σχήματος. 22-0182-02.indb 173 26/11/2013 4:13:40 μμ
  • 175.
    174 2.2 2.2 B΄ ΟΜΑΔΑΣ 1.Αρχικά θα πρέπει η f να είναι συνεχής στο x0 = π. Έχουμε: lim ( ) lim , x x f x x → →− − = = π π ηµ 0 lim ( ) lim ( ) x x f x x → →+ + = + = + π π α β απ β και f ( ) .π απ β= + Άρα θα πρέπει απ β β απ+ = ⇔ = −0 (1) Έτσι η f γίνεται: f x x x x x ( ) , , .= − ≥    ηµ π α απ π Για να είναι η f παραγωγίσιμη στο x0 = π, αρκεί: lim ( ) ( ) lim ( ) ( ) x x f x f x f x f x→ →− + − − = − −π π π π π π — Για x π έχουμε: f x f x x x ( ) ( ) , − − = − − π π π ηµ 0 οπότε lim ( ) ( ) lim lim ( ) ( ) . x x x f x f x x x x x→ → →− − − − − = − = − − − = − π π π π π π π π ηµ ηµ 1 — Για x π έχουμε: f x f x x x ( ) ( ) , − − = − − = π π α απ π α οπότε lim ( ) ( ) . x f x f x→ + − − = π π π α Άρα α = – 1, οπότε από την (1) έχουμε β = π. 22-0182-02.indb 174 26/11/2013 4:13:42 μμ
  • 176.
    175 2.2 2. Για κάθεξ ∈ +∞( , )0 έχουμε ′ =f ( ) .ξ ξ 1 2 Η εξίσωση της εφαπτομένης της Cf στο σημείο Α(ξ, f(ξ)) είναι: y x y x− = − ⇔ = +ξ ξ ξ ξ ξ1 2 1 2 2 ( ) . Η ευθεία αυτή διέρχεται από το σημείο Β(–ξ,0), αφού 1 2 2 2 2 0 ξ ξ ξ ξ ξ ( ) .− + = − + = 3. Για κάθε x ∈ *R ισχύει f′(x) = 3x2 , οπότε f′(α) = 3α2 . Η εξίσωση της εφαπτομένης της Cf στο σημείο Μ(α,α3 ) είναι: y x y x− = − ⇔ = −α α α α α3 2 2 3 3 3 2( ) . Λύνουμε το σύστημα y x y x = = −     3 2 3 3 2α α Έχουμε: y x y x y x x x y x x x = = −     ⇔ = − + =     ⇔ = − − 3 2 3 3 3 2 3 3 2 2 3 2 3 2 0 2α α α α α α( ) 22 0( )x − =     α 3 3 2 2 ή 2( )( 2 ) 0 y x y x x xx x x α αα α α  =  = ⇔ ⇔  = = −− + − =  ⇔ = =    = − = −    y x y x α α α α 3 3 8 2 .ή Επομένως η εφαπτομένη της Cf στο σημείο Μ(α,α3 ) έχει και άλλο κοινό σημείο με την Cf το Ν ( , ).− −2 8 3 α α Είναι ′ − = − = = ⋅ = ⋅ ′f f( ) ( ) ( ).2 3 2 12 4 3 42 2 2 α α α α α 22-0182-02.indb 175 26/11/2013 4:13:45 μμ
  • 177.
    176 2.2 4. i) Είναι ′= − −→ f f x f xx ( ) lim ( ) ( ) ξ ξ ξξ = − − = − = − → → lim lim x x x x xξ ξ ξ ξ ξ ξ 1 1 1 1 2 Επομένως η εξίσωση της εφαπτομένης ε είναι y x− = − − 1 1 2 ξ ξ ξ( ). Για y = 0 είναι − = − − ⇔ = − ⇔ = 1 1 22 ξ ξ ξ ξ ξ ξ( ) .x x x Άρα η ε τέμνει τον x′x στο σημείο Α(2ξ,0). Για x = 0 είναι y y− = − − ⇔ = 1 1 0 2 2 ξ ξ ξ ξ ( ) . Άρα η ε τέμνει τον y′y στο Β 0 2 , . ξ       Επομένως, οι συντεταγμένες του μέσου του ΑΒ είναι 2 0 2 ξ ξ + = και 0 2 2 1 + = ξ ξ . Άρα, το μέσο του ΑΒ είναι το σημείο Μ ξ ξ , . 1      ii) Το εμβαδόν του τριγώνου OΑΒ είναι Ε ΟΑ ΟΒ= = ⋅ = ⋅ = 1 2 1 2 2 2 1 2 2 2 2( )( ) ξ ξ ξ ξ τ.μ. 22-0182-02.indb 176 26/11/2013 4:13:47 μμ
  • 178.
    177 2.3 2.3 A΄ ΟΜΑΔΑΣ 1.i) ′ = − +f x x x( ) 7 4 66 3 ii) ′ = +f x x x ( ) 6 12 iii) ′ = − + −f x x x x( ) 3 2 1 iv) ′ = − −f x x x( ) ηµ συν3 2. i) ′ = − + − = − + − = − −f x x x x x x x x x( ) ( )2 3 1 2 6 1 3 6 12 2 2 2 ii) ′ = + = +f x e x e x e x xx x x ( ) ( )ηµ συν ηµ συν iii) ′ = − + − − + = − + + − + = − f x x x x x x x x x x x ( ) ( ) ( ) ( ) ( ) ( ) ( 2 1 2 1 1 2 1 1 1 42 2 2 2 2 2 2 2 11 2 2 + x ) iv) ′ = − + + + + f x x x x x x x x ( ) ( )( ) ( ) ( ) συν ηµ συν ηµ ηµ συν συν 1 1 2 = − + − ⋅ + + ⋅ + συν ηµ συν ηµ συν ηµ ηµ συν συν x x x x x x x x x 2 2 2 1( ) = − + + 1 1 2 ηµ συν συν x x x( ) v) ′ = + −f x x x x x x x x x x( ) 2 2 2 ηµ συν συν συν ηµ ηµ = + −x x x x xηµ συν ηµ2 2 2 2 ( ) = + = +x x x x x x x xηµ συν ηµ συν2 2 2 22 ( ). 3. i) ′ = − = −       f x e x e x x e x x x x x x ( ) ln (ln ) ln (ln ) 1 1 2 2 ii) ′ = − = − ⋅ = − = −f x x x x x x x x x x ( ) 1 1 2 4 2 2 2 2 2 2 2 2 συν ηµ ηµ συν ηµ συν συν ηµ συν σσυν ηµ 2 22 x x 22-0182-02.indb 177 26/11/2013 4:13:51 μμ
  • 179.
    178 2.3 iii) ′ = − = − = − fx xe xe e e x x e x x e x x x x x x ( ) ( )συν ηµ συν ηµ συν ηµ 2 2 iv) Έχουμε: f x x x x x x ( ) ( ) ( ) ,= − − + − = − − 1 1 1 4 1 2 2 2 2 οπότε ′ = − − + − = + − f x x x x x x ( ) ( ) ( ) ( ) ( ) . 4 1 8 1 4 1 1 2 2 2 2 2 2 2 4. i) ● Για κάθε x 0 ισχύει f′(x) = 4x + 3 ● Για κάθε x 0 ισχύει ′ = ⋅ + = +f x x x ( ) .12 1 2 6 6 6 ● Εξετάζουμε αν η f παραγωγίζεται στο x0 = 0. — Για x 0 έχουμε: f x f x x x x x ( ) ( ) , − − = + = + 0 0 2 3 2 3 2 οπότε lim ( ) ( ) lim( ) x x f x f x x → →− − − = + = 0 0 0 2 3 3 — Για x 0 έχουμε: f x f x x x x x ( ) ( ) , − − = + = + 0 0 12 6 12 6 οπότε lim ( ) ( ) lim . x x f x f x x→ →+ + − = +       = +∞ 0 0 0 12 6 Επομένως η f δεν παραγωγίζεται στο x0 = 0. Άρα ′ = + +            f x x x x x ( ) , , . 4 3 0 6 1 1 0 ii) ● Για κάθε x 0 ισχύει f′(x) = 2x + συνx 22-0182-02.indb 178 26/11/2013 4:13:53 μμ
  • 180.
    179 2.3 ● Για κάθεx 0 ισχύει f′(x) = 1. ● Εξετάζουμε αν η f παραγωγίζεται στο x0 = 0. — Για x 0 έχουμε: f x f x x x x x x x ( ) ( ) , − − = + = + 0 0 2 ηµ ηµ οπότε lim ( ) ( ) lim . x x f x f x x x x→ → − − = +       = 0 0 0 0 1 ηµ — Για x 0 έχουμε: f x f x x x ( ) ( ) , − − = = 0 0 1 οπότε lim ( ) ( ) lim . x x f x f x→ →+ + − − = = 0 0 0 0 1 1 Επομένως f′(0) = 1. Έτσι ′ = + ≤    f x x x x x ( ) , , . 2 0 1 0 συν 5. Θα πρέπει να βρούμε εκείνα τα σημεία (x, f(x)) της Cf για τα οποία ισχύει f′(x) = 0. i) Για x ≠ 0 έχουμε: ′ = − = − f x x x x ( ) ,1 4 4 2 2 2 οπότε ′ = ⇔ − = ⇔ = −f x x x( ) 0 4 0 22 ή x = 2. Επομένως τα ζητούμενα σημεία είναι (–2, –4) και (2,4). ii) Έχουμε: ′ = − = − = − f x e xe e e x e x e x x x x x x ( ) ( ) ,2 2 1 1 οπότε ′ = ⇔ − = ⇔ =f x x x( ) .0 1 0 1 22-0182-02.indd 179 28/11/2013 1:18:13 μμ
  • 181.
    180 2.3 Επομένως το ζητούμενοσημείο είναι το 1 1 , . e       iii) Έχουμε: ′ = − − = − f x x x x x x ( ) , 2 1 12 2 2 2 2 οπότε ′ = ⇔ − = ⇔ = −f x x x( ) 0 1 0 12 ή x = 1. Επομένως τα ζητούμενα σημεία είναι τα (–1, –2) και (1,2). 6. ● Για κάθε x ≠ 1 ισχύει: ′ = − − + − = − − f x x x x x ( ) ( ) ( ) ( ) ( ) 2 1 2 1 1 4 12 2 ● Για κάθε x ∈ ∪ +∞[ , ) ( , )0 1 1 είναι g x x x x x x ( ) ( ) ,= +( ) + −( ) − = + − 1 1 1 2 1 1 2 2 οπότε ′ = − − g x x ( ) ( ) . 4 1 2 Δεν ισχύει η ισότητα των f′, g′, αφού αυτές έχουν διαφορετικά πεδία ορισμού. 7. ● Για κάθε x ∈ R ισχύει f′(x) = 2x, οπότε f′(1) = 2. ● Για κάθε x ≠ 0 ισχύει ′ = −g x x ( ) , 1 2 2 οπότε ′ = −g ( ) .1 1 2 Επειδή ′ ⋅ ′ = ⋅ −       = −f g( ) ( ) ,1 1 2 1 2 1 οι εφαπτόμενες των γραφικών παραστάσεων των συναρτήσεων f και g στο κοινό τους σημείο (1,1) είναι κάθετες. 8. Παρατηρούμε ότι το σημείο Α(0,1), για κάθε α ∈ *R , βρίσκεται πάνω στην Cf . Για κάθε x ∈ −{ }αR έχουμε: ′ = + − + + = − + f x x x x x ( ) ( ) ( ) ( ) ( ) , α α α α α α α α2 2 2 οπότε ′ = − = − f ( ) .0 12 2 α α α α α 22-0182-02.indb 180 26/11/2013 4:13:59 μμ
  • 182.
    181 2.3 Επομένως ′ = ⇔ − =⇔ − = ⇔ =f ( ) .0 1 2 1 1 2 2 2 2 α α α α α 9. i) Τα σημεία της Cf στα οποία η εφαπτομένη είναι παράλληλη προς την ευθεία y = 9x + l είναι αυτά για τα οποία ισχύει f′(x) = 9. Αλλά f′(x) = 3x2 – 3, οπότε 3 3 9 3 12 4 22 2 2 x x x x− = ⇔ = ⇔ = ⇔ = − ή x = 2. Επομένως, τα σημεία είναι (–2,3) και (2,7). ii) Τα σημεία της Cf στα οποία η εφαπτομένη είναι κάθετη προς την ευθεία y = – x είναι αυτά για τα οποία ισχύει: ′ ⋅ − = −f x( ) ( )1 1 ή ισοδύναμα: ( )( )− − = − ⇔ − = ⇔ = ⇔ = − 1 3 3 1 3 3 1 4 3 2 3 3 2 2 2 x x x x ή x = 2 3 3 . Επομένως τα σημεία είναι 2 3 3 10 3 45 9 , − +      και − +      2 3 3 10 3 45 9 , . 10. Η εφαπτομένη της Cf στο τυχαίο σημείο M0 (x0 , f(x0 )) αυτής έχει εξίσωση: y f x f x x x y x x x x− = ′ − ⇔ − = −( ) ( )( ) ( )0 0 0 0 2 0 02 ⇔ = −y x x x2 0 0 2 . (1) Για να περνάει η ε από το σημείο Α(0,–1), αρκεί να ισχύει − = ⋅ − ⇔ = ⇔ =1 2 0 1 10 0 2 0 2 0x x x x ή x0 1= − . Επομένως οι ζητούμενες εφαπτόμενες προκύπτουν από την (1), αν θέσουμε x0 = 1 και x0 = – 1. Άρα, είναι οι ευθείες y = 2x – l και y = – 2x – 1. 11. Η γραφική παράσταση της f διέρχεται από τα σημεία Α(1,2) και Ο(0,0), οπότε f f ( ) ( ) 1 2 0 0 2 0 = =    ⇔ + + = =    α β γ γ (1) Για κάθε x ∈R ισχύει f′(x) = 2αx + β. 22-0182-02.indb 181 26/11/2013 4:14:01 μμ
  • 183.
    182 2.3 Επειδή η Cf εφάπτεταιτης ευθείας y = x στο σημείο Ο(0,0) θα είναι: ′ = ⇔ =f ( ) .0 1 1β (2) Από τις (1) και (2) προκύπτει ότι α = 1, β = 1 και γ = 0. 12. i) Έχουμε ′ = + ′ = − + ⋅ + ′− − − f x x x x x x x( ) (( ) ) ( ) ( )3 4 2 3 4 3 44 3 2 4 3 2 1 4 3 = − + ⋅ + 2 3 4 12 124 3 3 3 2 ( ) ( ) x x x x = − + + 24 1 3 47 3 ( ) ( ) . x x x ii) Για x ∈ +∞( , )1 έχουμε ′ = − ′ = − − ′ = ⋅ − − f x x x x x ( ) (( ) ) ( ) ( ) ./ 1 2 3 1 1 2 3 1 2 3 2 3 1 3 iii) Είναι ′ = +      ⋅ +       ′ f x x x ( ) συν 1 1 1 12 2 = +       − + συν 1 1 2 12 2 2 x x x( ) . iv) Έχουμε ′ = − ⋅ −       ′ f x x x x x( ) 1 1 1 = − ⋅ − −       = − + − x x x x x x x1 1 1 1 12 2 2 2 2 ( ) ( ) = − + − = + − ( ) ( ) ( ) . 1 1 1 1 2 2 2 2 x x x x x x v) Είναι ′ = ⋅ − ′ = ⋅ −− − f x e x e xx x ( ) ( ) ( ). 2 2 2 2 22-0182-02.indb 182 26/11/2013 4:14:04 μμ
  • 184.
    183 2.3 13.i) Για κάθεx – 1 ισχύει ′ = ′ + + +( )′ f x x x x x( ) ( )2 2 2 3 1 1 = + + ⋅ + = + + + 2 1 3 2 1 2 1 3 2 1 3 2 2 3 3 4 3 x x x x x x x x x , οπότε ′ = ⋅ + + ⋅ + = + =f ( ) .2 2 2 1 8 3 2 2 1 8 12 48 6 20 4 ii) Για κάθε x 0 ισχύει ′ = ⋅ + ⋅ = + − − − − f x x x x x( ) ( ) ( ) ( ) ( ) , 1 3 2 2 2 3 2 2 2 3 2 4 3 2 2 3 1 3 2 3 1 3 οπότε ′ = + = + = − − f ( ) .4 2 3 8 4 3 8 1 6 2 3 5 6 2 3 1 3 iii) Για κάθε x ∈R ισχύει ′ = + ⋅ ⋅f x x x x x x( ) ( ) ( ) ( )3 32 3 3 2 ηµ ηµ συνπ π π π = +3 2 3 2 x x x x x[ηµ ηµ συν( ) ( ) ( )],π π π π οπότε ′       = + ⋅ ⋅       = ⋅ +       =f 1 6 3 36 1 8 6 1 4 3 2 1 12 1 8 3 48 1 12 6π π ++      3 48 π iv) Για κάθε x ≠ 2 ισχύει: ′ = − + + − = − + + − = − + + − f x x x x x x x x x x x x ( ) ( ) ( ) ( ) ( ) , 2 2 2 2 4 2 2 2 4 2 2 2 2 2 2 2 2 2 οπότε ′ = − + + =f ( ) .3 9 12 2 1 5 22-0182-02.indb 183 26/11/2013 4:14:07 μμ
  • 185.
    184 2.3 14. i) Γιαx 0 έχουμε f x e ex x x ( ) ,ln ln ln = = 2 οπότε ′ = ⋅ ′f x e xx ( ) (ln )ln2 2 = ⋅ ⋅      e x x xln ln 2 2 1 = ⋅x x xxln ln2 1 = ⋅− 2 1 x xxln ln ii) Είναι f x e x ( ) ,( )ln = −5 3 2 οπότε ′ = ⋅ − ′− f x e xx ( ) (( )ln )( )ln5 3 2 5 3 2 = ⋅ = ⋅− − e x x( )ln ln ln .5 3 2 5 3 5 2 2 5 2 iii) Για x 1 ισχύει f x ex x ( ) ,ln(ln ) = οπότε ′ = ⋅ ′f x e x xx x ( ) ( ln(ln ))ln(ln ) = ⋅ + ⋅ ⋅      e x x x x x xln(ln ) ln(ln ) ln 1 1 = ⋅ +      (ln ) ln(ln ) ln .x x x x 1 iv) Έχουμε ′ = ⋅ ′ = ⋅ + ′f x x e e x ex x x ( ) ( ) ( )ηµ συν ηµσυν συν συν x = ⋅ + ⋅ ⋅ ′συν ηµ συνσυν συν x e x e xx x ( ) = −e x xxσυν συν ηµ( ).2 15. Είναι ′ = ′ = ⋅ =f x x x x x( ) ( )ηµ ηµ συν ηµ2 2 2 και ′′ = ⋅f x x( ) .συν2 2 22-0182-02.indb 184 26/11/2013 4:14:11 μμ
  • 186.
    185 2.3 Άρα ′′ + =+f x f x x x( ) ( )4 2 2 4 2 συν ηµ = − +2 1 2 42 2 ( )ηµ ηµx x = − +2 4 42 2 ηµ ηµx x = 2. 2.3 B΄ ΟΜΑΔΑΣ 1. Οι γραφικές παραστάσεις των f, g έχουν ένα κοινό σημείο, αν και μόνο αν υπάρχει x0 τέτοιο ώστε f x g x x x x x x x( ) ( )0 0 0 0 2 0 0 3 0 2 0 1 1 1 0= ⇔ = − + ⇔ − + − = ⇔ − + = ⇔ =( )( ) .x x x0 0 2 01 1 0 1 Επομένως, το σημείο (1,1) είναι το μόνο κοινό σημείο των Cf και Cg . Για κάθε x ∈ *R ισχύει: ′ = −f x x ( ) 1 2 και ′ = −g x x( ) ,2 1 οπότε ′ = −f ( )1 1 και g′(l) = 1 και επομένως ισχύει ′ ′ = −f g( ) ( ) .1 1 1 Επομένως οι εφαπτομένες των Cf και Cg στο σημείο (1,1) είναι κάθετες. 2. Λύνουμε το σύστημα y x y x y x x x y x x x = − =    ⇔ = − − + =    ⇔ = − − + =    3 2 3 2 3 2 0 3 2 1 2 03 3 2 ( ) ( ) 3 2 1 2 ή . 1 ή 2 1 8 y x x x x x y y = − = = −   ⇔ ⇔   = = − = = −   Επομένως, η ευθεία y = 3x – 2 τέμνει την Cf στα σημεία (1,1) και (–2, –8). Για κάθε x ∈R ισχύει: f′(x) = 3x2 , οπότε f′(1) = 3 και f′(–2) = 12. 22-0182-02.indb 185 26/11/2013 4:14:14 μμ
  • 187.
    186 2.3 Άρα η ευθείαy = 3x – 2 εφάπτεται της Cf στο σημείο (1,1). 3. Οι γραφικές παραστάσεις των f και g έχουν κοινή εφαπτομένη στο x0 = 1 αν και μόνο αν f(1) = g(l) και f′(l) = g′(l). Για κάθε x ∈ *R ισχύει: f′(x) = 2αx + β και ′ = −g x x ( ) 1 2 οπότε f′(1) = 2α + β και g′(l) = – l. Επομένως f g f g ( ) ( ) ( ) ( ) 1 1 1 1 2 1 2 1 1 2 1 = ′ = ′    ⇔ + + = + = −    ⇔ + = − + = −    α β α β α β α β ⇔ = = −    α β 0 1 . 4. Η εξίσωση της εφαπτομένης της Cf στο σημείο Α(0,1) είναι: y f x y x− = ′ − ⇔ = +1 0 0 1( )( ) , αφού f′(0) = 1. Η ευθεία y = x + 1 θα εφάπτεται στη γραφική παράσταση της g, αν και μόνο αν υπάρχει x0 , τέτοιο, ώστε g x x g x x x x x x x( ) ( ) 0 0 0 0 2 0 0 0 0 2 0 1 1 1 2 1 1 2 1= + ′ =    ⇔ − − = + − − =     ⇔ + + = 00 1 1 0 0 x x = −     ⇔ = − . Επομένως, η y = x + l εφάπτεται στη Cg στο σημείο (–1,0). 5. Το ζητούμενο πολυώνυμο είναι της μορφής f x x x x( ) ,= + + +α β γ δ3 2 α β γ δ, , , ∈R και α ≠ 0. Για κάθε x ∈R ισχύει: ′ = + +f x x x( ) ,3 22 α β γ ′′ = +f x x( ) 6 2α β και f x( ) ( ) .3 6= α Έχουμε: f f f f ( ) ( ) ( ) ( )( ) 0 4 1 2 2 4 1 6 4 3 2 2 12 2 3 = ′ − = ′′ = =        ⇔ = − + = + = δ α β γ α β 44 6 6 4 9 4 1α δ γ β α=        ⇔ = = − = − =        . 22-0182-02.indb 186 26/11/2013 4:14:17 μμ
  • 188.
    187 2.3 Επομένως f x xx x( ) .= − − +3 2 4 9 4 6. Έστω ότι υπάρχει πολυώνυμο β′ βαθμού f x x x( ) = + +α β γ2 που ικανοποιεί τις υποθέσεις της άσκησης. Τότε θα είναι f(0) = 1 και f′(0) = 1 και f(1) = 2 και f′(1) = 3. Όμως, f′(x) = 2αx + β. Επομένως, θα ισχύει γ = 1 και β = 1 και α + β + γ = 2 και 2α + β = 3. Αυτό, όμως, είναι άτοπο αφού από τις τρεις πρώτες εξισώσεις προκύπτει ότι α = 0, β = 1 και γ = 1, που δεν επαληθεύουν την τελευταία. 7. i) Για x ≠ α είναι xf x f x xf x xf xf f x ( ) ( ) ( ) ( ) ( ) ( )− − = − + − − α α α α α α α α = − − + − − = − − + x f x f x f x x x f x f x f ( ( ) ( )) ( )( ) ( ) ( ) ( ). α α α α α α α α Επειδή η f παραγωγίζεται στο x0 = α , υπάρχει το lim ( ) ( ) ( ). x f x f x f → − − = ′ α α α α Άρα lim ( ) ( ) lim ( ) ( ) ( ) ( x x xf x f x x f x f x f f → → − − = − −       + = ⋅ ′ α α α α α α α α α α)) ( ).+ f α ii) Για x ≠ α είναι e f x e f x e f x e f e f e f x x x x x ( ) ( ) ( ) ( ) ( ) ( )− − = − + − − α α α α α α α α = − − + − − e f x f x f e e x x x ( ) ( ) ( ) . α α α α α Επειδή η συνάρτηση h(x) = ex είναι παραγωγίσιμη στο x0 = α ισχύει lim ( ) . x x e e x h e → − − = ′ = α α α α α 22-0182-02.indb 187 26/11/2013 4:14:20 μμ
  • 189.
    188 2.3 Επομένως, lim ( ) () lim ( ) ( ) ( )lim x x a x x x x e f x e f x e f x f x f e e → → → − − = − − + − α α α α α α α α αα αx − = ′ + = ′ +e f f e e f fα α α α α α α( ) ( ) ( ( ) ( )). 8. Τα σημεία της Cf στα οποία η εφαπτομένη είναι παράλληλη προς τον άξονα των x είναι αυτά για τα οποία ισχύει f′(x) = 0 με x ∈[ , ].0 2π Αλλά ′ = − ⋅ = −f x x x x x x( ) ,2 2 4 2 2 2 2συν ηµ συν συν ηµ οπότε ′ = ⇔ − = ⇔ =f x x x x( ) 0 2 2 2 2 0 2 1συν ηµ εϕ ⇔ = + ⇔ = +2 4 2 8 x xκπ π κπ π . Επειδή x ∈[ , ]0 2π έχουμε: 0 2 8 2 1 8 2 15 8 ≤ + ≤ ⇔ − ≤ ≤ κπ π π κ ⇔ − ≤ ≤ ⇔ = 1 4 15 4 0 1 2 3κ κ , , , , αφού κ ∈. Για τις τιμές αυτές του κ βρίσκουμε ότι: x = π 8 ή x = 5 8 π ή x = 9 8 π ή x = 13 8 π . 9. i) ● Για x ≠ 0 έχουμε f x x x x x x ( ) ( ) , , . / / / = = − ≥     2 3 2 3 2 3 0 0 αν αν Επομένως — Αν x 0, τότε ′ = − ′ = − − = − − − f x x x x ( ) (( ) ) ( ) ./ /2 3 1 3 3 2 3 2 3 — Αν x 0, τότε ′ = ′ = =− f x x x x ( ) ( ) ./ /2 3 1 3 3 2 3 2 3 22-0182-02.indb 188 26/11/2013 4:14:21 μμ
  • 190.
    189 2.3 ● Για x0 =0 είναι f x f x x x ( ) ( ) , − − = 0 0 23 Επομένως — Όταν x 0, έχουμε f x f x x x x x x x x x ( ) ( )− = ⋅ = ⋅ = 0 123 3 3 3 3 οπότε lim ( ) ( ) lim x x f x f x x→ →+ + − − = = +∞ 0 0 3 0 0 1 — Όταν x 0 έχουμε f x f x x x x x x x x x ( ) ( ) ( )− = − ⋅ − = − ⋅ − = − − 0 123 3 3 33 3 3 οπότε lim ( ) ( ) lim . x x f x f x x→ →− − − = − − = −∞ 0 0 3 0 1 Επομένως η f x x( ) = 23 δεν παραγωγίζεται στο 0. Επειδή η f είναι συνεχής στο 0, η εξίσωση της εφαπτομένης της Cf στο Ο(0,0) είναι η x = 0. ii) Είναι f x x x x x x ( ) ( ) , , . / / / = = −     4 3 4 3 4 3 0 0 Επομένως — Αν x 0, τότε ′ = =f x x x( ) ./4 3 4 3 1 3 3 — Αν x 0, τότε ′ = − ′ = − −f x x x( ) (( ) ) ( )/ /4 3 1 34 3 = − − 4 3 3 x. 22-0182-02.indb 189 26/11/2013 4:14:22 μμ
  • 191.
    190 2.3 ● Στο x0= 0 έχουμε f x f x x x x x ( ) ( ) . − − = − = 0 0 043 43 Επομένως: — Αν x 0 είναι f x f x x x x x x x x ( ) ( )− = ⋅ = = 0 33 3 3 οπότε lim ( ) ( ) lim . x x f x f x x → →+ + − = = 0 0 30 0 — Αν x 0 είναι f x f x x x x x x x x ( ) ( ) ( ) ( )− = − ⋅ − = − ⋅ − = − − 0 33 3 3 οπότε lim ( ) ( ) lim . x x f x f x x → →− − − = − − = 0 0 30 0 Επομένως ′ =f ( ) .0 0 Η εξίσωση της εφαπτομένης της Cf στο σημείο της Ο(0,0) είναι η y = 0. 10. Επειδή η συνάρτηση f παραγωγίζεται στο R είναι ′ = ′ + + ⋅ +g x f x x x( ) ( ) ( ),2 1 2 1 οπότε ′ = ′ =g f( ) ( ) .0 1 1 Επίσης έχουμε g f f( ) ( ) ( ) .0 0 0 1 1 1 1= + + − = − Άρα, η εξίσωση της εφαπτομένης της Cf στο σημείο της Α(1, f(1)) είναι η y f f x y x f− = ′ − ⇔ = − +( ) ( )( ) ( ),1 1 1 1 1 (1) ενώ η εξίσωση της εφαπτομένης της Cg στο σημείο της Β(0, g(0)) είναι η y g g x y f x− = ′ − ⇔ − + = ⋅( ) ( )( ) ( )0 0 0 1 1 1 ⇔ = + −y x f ( ) .1 1 (2) Από (1) και (2) προκύπτει ότι η y = x + f(1) – 1 είναι κοινή εφαπτομένη των Cf , Cg στα Α, Β αντιστοίχως. 22-0182-02.indb 190 26/11/2013 4:14:24 μμ
  • 192.
    191 2.4 11. i) Έχουμεδιαδοχικά ( ( )) ( )f x e xx ηµ συν′ = ′ ′ ⋅ = + −f x x e x e xx x ( ) ( )ηµ συν συν ηµ ′ ⋅ = −f x x e x xx ( ) ( ).ηµ συν συν ηµ Επομένως ′ = −f e( ) ( ),ηµ συν συν ηµ0 0 0 00 οπότε ′ =f ( ) .0 1 ii) Είναι f e( )ηµ συν0 00 = οπότε f(0) = 1. Άρα, η εξίσωση της εφαπτομένης ε της Cf στο σημείο της Α(0,1) είναι ε : ( )y x y x− = − ⇔ = +1 1 0 1 Η εφαπτομένη ε τέμνει τους άξονες στα σημεία Α(0,1) και B(–1,0) και ισχύει (OΑ) = (OB) = 1. Επομένως το τρίγωνο OΑΒ είναι ισοσκελές. 2.4 Α΄ ΟΜΑΔΑΣ 1. Επειδή E(t) = 4πr 2 (t) και r(t) = 4 – t 2 έχουμε: ● ′ = ⋅ ′Ε ( ) ( ) ( )t r t r t8π = ⋅ − ⋅ − = − −8 4 2 16 42 2 π π( ) ( ) ( ).t t t t Άρα ′ = − − = −Ε ( ) ( )1 16 4 1 48π π cm 2 /s. ● Επειδή V t r t( ) ( ),= 4 3 3 π 22-0182-02.indb 191 26/11/2013 4:14:24 μμ
  • 193.
    192 2.4 έχουμε ′ = ⋅′ = − −V t r t r t t t( ) ( ) ( ) ( ) ( )4 4 4 22 2 2 π π = − −8 4 2 2 πt t( ) . Άρα ′ = − ⋅ − = −V ( ) ( )1 8 1 4 1 722 2 π π cm 3 /s. 2. Επειδή V t r t( ) ( )= 4 3 3 π έχουμε ′ = ′V t r t r t( ) ( ) ( )4 2 π και για t t= 0 ′ = ′V t r t r t( ) ( ) ( ).0 2 0 04π Είναι όμως V′(t­0 ) = 100 cm 3 /s και r(t0 ) = 9 cm οπότε έχουμε 100 4 92 0= ⋅ ′π r t( ). Επομένως ′ = ⋅ = ⋅ r t( )0 100 4 81 25 81π π cm/s. 3. Έχουμε ′ = ′ − ′P x x x( ) ( ) ( )Π Κ = − + −420 40 6002 x x = − + −x x2 40 180. Είναι Ρ′(x) 0 για όλα τα x μεταξύ των ριζών του τριωνύμου − + −x x2 40 180 , δηλαδή x ∈ − +( , ).20 220 20 220 4. i) Έστω x(t), y(t) οι συναρτήσεις θέσεων των πλοίων Π1 , Π2 αντιστοίχως. Τότε υ1 15= ′ =x t( ) και υ2 20= ′ =y t( ) οπότε x(t) = 15t και y(t) = 20t, αφού τα πλοία Π1 , Π2 αναχωρούν συγχρόνως από το λιμάνι. 22-0182-02.indb 192 26/11/2013 4:14:25 μμ
  • 194.
    193 2.4 ii) Από τοορθογώνιο τρίγωνο ΛΠ1 Π2 έχουμε d t x t y t t t2 2 2 2 2 15 20( ) ( ) ( ) ( ) ( )= + = + = + =225 400 6252 2 2 t t t . Άρα d(t) = 25t, οπότε ο ρυθμός μεταβολής της απόστασης d είναι σταθερός και ισούται με ′ =d t( ) 25 Km/h. 5. Έστω Μ x t x t( ), ( ) 1 4 2      σημείο της παραβολής, τη χρονική στιγμή t με t ≥ 0. Τότε: ′ =       ′ ⇔ ′ = ′x t x t x t x t x t( ) ( ) ( ) ( ) ( ) 1 4 1 4 22 ⇔ =1 1 2 x t( ) (αφού x′(t) 0 για κάθε t ≥ 0). Άρα x(t) = 2, οπότε y t( ) .= ⋅ = 1 4 2 12 Έτσι το σημείο είναι το Μ(2,1). 2.4 Β΄ ΟΜΑΔΑΣ 1. Έστω r = r(t) η ακτίνα της σφαίρας, ως συνάρτηση του χρόνου t. Τότε είναι: V t r t( ) ( ),= 4 3 3 π οπότε ′ = ⋅ ⋅ ′ = ⋅ ⋅ ′V t r t r t r t r t( ) ( ) ( ) ( ) ( ). 4 3 3 42 2 π π (1) Είναι όμως Ε ( ) ( ),t r t= ⋅4 2 π οπότε ′ = ⋅ ′ ⇔ ′ = ⋅ ⋅ ′Ε ( ) ( ) ( ) ( ) ( ) ( ).t r t r t r t r t E t8 1 8 π π Ο τύπος (1) γίνεται ′ = ⋅ ⋅ ′ = ⋅ ⋅ ′V t t r t t r t t( ) ( ) ( ) ( ) ( ) ( ).4 1 8 1 2 2 π π r Ε Ε 22-0182-02.indb 193 26/11/2013 4:14:27 μμ
  • 195.
    194 2.4 Επομένως ′ = ⋅⋅ =V t( )0 1 2 85 10 425 cm 3 /s. 2. Έχουμε: T T x x x= = =( ) ( ) ln ,ΟΑΒ 1 2 αφού x 1. Επειδή το x είναι συνάρτηση του χρόνου t, έχουμε T t x t x t( ) ( )ln ( ),= 1 2 οπότε ′ = ′ + ′T t x t x t x t x t x t( ) ( )ln ( ) ( ) ( ) ( ) 1 2 1 2 1 = ′ + 1 2 1x t x t( )(ln ( ) ). Επομένως τη χρονική στιγμή t0 που είναι x(t0 ) = 5, έχουμε ′ = ′ + =T t x t x t( ) ( )(ln ( ) )0 0 0 1 2 1 = + = + 1 2 4 5 1 2 5 1(ln ) (ln ) cm 2 /s. 3. Τα τρίγωνα ΓΔΕ και ΓΒΑ είναι όμοια. Επομένως y s y s y s 5 20 5 20 1 4 = ⇔ = ⇔ = . Επειδή τα y και s είναι συναρτήσεις του χρόνου t, είναι y t s t( ) ( ).= 1 4 Επομένως ′ = ′ =y t s t( ) ( ) 1 4 3 4 m/s. 22-0182-02.indb 194 26/11/2013 4:14:28 μμ
  • 196.
    195 2.4 4. Η γωνίαθ είναι συνάρτηση του χρόνου t.Από το ορθογώνιο τρίγωνο ΟΑΠ έχουμε εϕθ( ) ( ) .t h t = 100 Παραγωγίζοντας την ισότητα έχουμε διαδοχικά (εϕθ( )) ( ) t h t ′ =       ′ 100 1 1 1002 συν θ θ ( ) ( ) ( ) t t h t⋅ ′ = ⋅ ′ ′ = ′ ⋅θ θ( ) ( ) ( ),t h t t 1 100 2 συν οπότε ′ = ⋅ ′ ⋅θ θ( ) ( ) ( ).t h t t0 0 2 0 1 100 συν (1) Όμως, τη χρονική στιγμή t0 που το μπαλόνι βρίσκεται σε ύψος 100 m ισχύει: ′ =h t( )0 50 και συν συνθ( ) .t0 45 2 2 = = Επομένως ′ = ⋅ ⋅ =θ ( )t0 1 100 50 2 4 1 4 rad/min. 5. Από την ομοιότητα των τριγώνων ΦΟΣ και ΚΠΣ έχουμε 1 6 8 , .= + s x s (1) Τα x, s είναι συναρτήσεις του χρόνου t και ισχύει, x′(t) = 0,8 m/s ενώ s′(t) είναι ο ρυθμός μεταβολής του ίσκιου της γυναίκας. Από την (1) έχουμε: 0 2 0 2 0 8 0 2 1 4 , , ( ) , , ( ) ( ).= + ⇔ = + ⇔ = ⇔ = s x s s x s s x s t x t Επομένως ′ = ′ = ′s t x t x t( ) ( ) , ( ) 1 4 0 25 Άρα ′ = ⋅ =s t( ) , , ,0 25 0 8 0 2 m/s. 22-0182-02.indb 195 26/11/2013 4:14:29 μμ
  • 197.
    196 2.4 6. Ο προβολέαςτου περιπολικού φωτίζει κατά τη διεύθυνση της εφαπτομένης της Cf , καθώς αυτό κινείται κατά μήκος της καμπύλης. Βρίσκουμε την εξίσωση της εφαπτομένης της Cf στο σημείο της Α α α, .−       1 3 3 Είναι ′ = −       ′ = −f x x x( ) 1 3 3 2 οπότε ′ = −f ( ) .α α2 Επομένως, η εφαπτομένη AM έχει εξίσωση: y x+ = − − 1 3 3 2 α α α( ). Για y = 0, έχουμε 1 3 2 3 2 3 3 2 3 2 3 α α α α α α= − + ⇔ = ⇔ =x x x . Άρα, το σημείο Μ έχει τετμημένη x t t( ) ( ).= 2 3 α Επομένως, ′ = ′ = −x t t t( ) ( ) ( ) 2 3 2 3 α α και τη χρονική στιγμή t0 , που είναι, α(t0 ) = – 3, έχουμε 7. Τα μεγέθη x, y, θ είναι συναρτήσεις του χρόνου t και ισχύει: υΑ = ′y t( ) και υΒ = =x t( ) ,0 1 m/s. Τη χρονική στιγμή t0 που η κορυφή της σκάλας απέχει από το δάπεδο 2,5 m είναι y(t0 ) = 2,5 και x t y t( ) ( ) ,0 2 2 03 2 75= − = m. i) Έχουμε x t t( ) ( ),= 3συνθ οπότε ′ = − ⋅ ′x t t t( ) ( ) ( )3ηµθ θ και άρα ′ = − ⋅ ′θ θ ( ) ( ) ( ).t t x t 1 3ηµ Επομένως ′ = − ⋅ ′ = − ⋅ ⋅ = −θ θ ( ) ( ) ( ) , ,t t x t0 0 0 1 3 1 3 2 5 3 0 1 1 25ηµ rad/s. 22-0182-02-b.indd 196 28/11/2013 2:06:47 μμ
  • 198.
    197 2.4 ii) Από τοορθογώνιο τρίγωνο ΟΑΒ έχουμε x t y t2 2 9( ) ( ) ,+ = οπότε 2 2 0x t x t y t y t y t x t y t x t( ) ( ) ( ) ( ) ( ) ( ) ( ) ( ).′ + ′ = ⇔ ′ = − ⋅ ′ Άρα, ′ = − ⋅ ′y t x t y t x t( ) ( ) ( ) ( ),0 0 0 0 οπότε ′ = − ⋅ = −y t( ) , , , 0 2 75 2 5 1 10 2 75 25 m/sec. 8. Έστω x = x(t) και y = y(t) οι συντεταγμένες του κινητού, τη χρονική στιγμή t. Τη χρονική στιγμή t0 που το κινητό βρίσκεται στη θέση 1 2 3 2 ,       , έχουμε x t( )0 1 2 = και y t( ) .0 3 2 = Επίσης έχουμε: ′ = −y t( )0 3 μονάδες/sec. Επειδή το κινητό κινείται στον κύκλο x 2 + y 2 = 1, είναι x2 (t) + y 2 (t) = 1, οπότε έχουμε διαδοχικά ( ( )) ( ( )) ( ) ( ) ( ) ( )x t y t x t x t y t y t2 2 0 2 2 0′ + ′ = ⇔ ′ + ′ = ⇔ ′ + ′ =x t x t y t y t( ) ( ) ( ) ( ) .0 0 0 0 0 Επομένως ′ = − ⋅ ′ = − − =x t y t x t y t( ) ( ) ( ) ( ) ( ) / / 0 0 0 0 3 3 2 1 2 3 3 μονάδες/sec. 22-0182-02.indb 197 26/11/2013 4:14:31 μμ
  • 199.
    198 2.5 2.5 Α΄ ΟΜΑΔΑΣ 1.i) H f x x x( ) = − +2 2 1 είναι ● συνεχής στο [0,2] ως πολυωνυμική, ● παραγωγίσιμη στο (0,2) με ′ = −f x x( ) 2 2 και ● ισχύει f(0) = f(2) = 1. Επομένως, ισχύουν οι προϋποθέσεις του Θ. Rolle, οπότε υπάρχει ένα τουλάχιστον ξ ∈( , )0 2 τέτοιο, ώστε ′ = ⇔ − = ⇔ =f ( ) .ξ ξ ξ0 2 2 0 1 ii) H f(x) = ημ3x είναι: ● συνεχής στο 0 2 3 , , π      ως σύνθεση συνεχών συναρτήσεων, ● παραγωγίσιμη στο 0 2 3 , , π      με f′(x) = 3συν3x και ● ισχύει f f( ) .0 2 3 0=       = π Επομένως, ισχύουν οι προϋποθέσεις του Θ. Rolle, οπότε υπάρχει ένα τουλάχιστον ξ π ∈      0 2 3 , τέτοιο, ώστε ′ = ⇔ =f ( )ξ ξ0 3 3 0συν ⇔ =συν3 0ξ ⇔ =3 2 ξ π ή 3 3 2 ξ π = , αφού 0 3ξ 2π ⇔ =ξ π 6 ή ξ π = 2 . iii) Η f(x) = 1 + συν2x είναι ● συνεχής στο [0, π], ● παραγωγίσιμη στο (0, π) με f′(x) = – 2ημ2x και ● ισχύει f(0) = f(π) = 2. Επομένως, ισχύουν οι προϋποθέσεις του Θ. Rolle, οπότε υπάρχει ένα τουλάχιστον ξ π∈( , )0 τέτοιο, ώστε 22-0182-02.indb 198 26/11/2013 4:14:32 μμ
  • 200.
    199 2.5 ′ = ⇔− =f ( )ξ ξ0 2 2 0ηµ ⇔ =ηµ2 0ξ ⇔ =2ξ π, αφού 0 2ξ 2π ⇔ =ξ π 2 . iv) Η συνάρτηση f x x( ) = είναι συνεχής στο [–1,1], ως απόλυτη τιμή συνεχούς συνάρτησης. Η f, όμως, δεν είναι παραγωγίσιμη στο x0 = 0, αφού lim ( ) ( ) lim x x f x f x x x→ →+ + − − = = 0 0 0 0 1 και lim ( ) ( ) lim . x x f x f x x x→ →− − − − = − = − 0 0 0 0 1 Επομένως η f δεν παραγωγίζεται στο (–1,1). Άρα δεν ισχύουν οι προϋποθέσεις του Θ. Rolle. 2. i) H f(x) = x 2 + 2x είναι ● συνεχής στο [0,4], ως πολυωνυμική ● παραγωγίσιμη στο (0,4) με ′ = − +f x x( ) .2 2 Επομένως, ισχύουν οι υποθέσεις του Θ.Μ.Τ., οπότε υπάρχει ένα τουλάχιστον ξ ∈( , )0 4 τέτοιο, ώστε ′ = − − ⇔ + =f f f ( ) ( ) ( ) ξ ξ 4 0 4 0 2 2 24 4 ⇔ + =2 2 6ξ ⇔ =ξ 2 ii) Η f(x) = 3ημ2x είναι ● συνεχής στο 0 2 , , π      ως σύνθεση συνεχών συναρτήσεων, ● παραγωγίσιμη στο 0 2 , π      με f′(x) = 6συν2x. Επομένως, ικανοποιούνται οι υποθέσεις του Θ.Μ.Τ., οπότε υπάρχει ένα τουλάχιστον, ξ π ∈      0 2 , τέτοιο, ώστε 22-0182-02.indb 199 26/11/2013 4:14:33 μμ
  • 201.
    200 2.5 ′ =       − − ⇔=f f f ( ) ( ) ξ π π ξ 2 0 2 0 6 2 0συν ⇔ =συν2 0ξ ⇔ =2 2 ξ π , αφού 2 0ξ π∈( , ) ⇔ =ξ π 4 . iii) ● Εξετάζουμε τη συνέχεια της f στο [–3,2] — Για x ∈ − −[ , )3 1 η f είναι συνεχής, ως πολυωνυμική. — Για x ∈ −( , ]1 2 η f είναι συνεχής, ως πολυωνυμική. — Στο x0 = – 1 έχουμε lim ( ) lim ( ) x x f x x →− →−− − = + = 1 1 2 2 0 lim ( ) lim ( ) x x f x x x →− →−+ + = − = 1 1 3 0 και f ( ) ,− =1 0 οπότε η f είναι συνεχής στο – 1. Επομένως, η f είναι συνεχής στο [–3,2]. ● Εξετάζουμε τώρα την παραγωγισιμότητα της f στο (–3,2). — Η f είναι παραγωγίσιμη στο (–3,–1), με f′(x) = 2. — Η f είναι παραγωγίσιμη στο (–1,2), με f′(x) = 3x 2 – 1. — Έχουμε lim ( ) ( ) lim x x f x f x x x→− →−− − − − + = + + = 1 1 1 1 2 2 1 2 και lim ( ) ( ) lim lim ( ) . x x x f x f x x x x x x →− →− →−+ + + − − + = − + = − = 1 1 3 1 1 1 1 1 2 Άρα, f′(–1) = 2. Επομένως, η f είναι παραγωγίσιμη στο (–3,2) με ′ = ∈ − − − ∈ −    f x x x x ( ) , ( , ] , ( , ) . 2 3 1 3 1 1 22 22-0182-02.indb 200 26/11/2013 4:14:34 μμ
  • 202.
    201 2.5 Άρα ικανοποιούνται οιυποθέσεις του Θ.Μ.Τ., οπότε υπάρχει ξ ∈ −( , )3 2 τέτοιο, ώστε ′ = − − − − ⇔ ′ = − − − − ⇔ ′ =f f f f f( ) ( ) ( ) ( ) ( ) ( ) ( ) ( ) .ξ ξ ξ 2 3 2 3 6 4 2 3 2 Η τελευταία ισχύει για κάθε ξ ∈ − −( , ],3 1 ενώ για ξ ∈ −( , )1 2 έχουμε: 3 1 2 3 3 1 12 2 2 ξ ξ ξ ξ− = ⇔ = ⇔ = ⇔ = . 3. ● Η συνάρτηση f(x) = e x είναι συνεχής στο [α, β] και παραγωγίσιμη στο (α, β) με f′(x) = e x . Επομένως σύμφωνα με το Θεώρημα Μέσης Τιμής υπάρχει x0 ∈( , )α β τέτοιο, ώστε ′ = − − ⇔ = − − f x f f e e ex ( ) ( ) ( ) .0 0 β α β α β α β α (1) Επειδή α x0 β και η συνάρτηση y = e x είναι γνησίως αύξουσα ισχύει e e exα β 0 . Άρα, λόγω της (1), είναι e e e eα β α β β α − − . ● Η συνάρτηση g(x) = lnx είναι συνεχής στο [α, β] με 0 α β και παραγωγίσιμη στο (α, β) με ′ =f x x ( ) . 1 Επομένως, σύμφωνα με το Θ.Μ.Τ. υπάρχει x0 ∈( , )α β τέτοιο, ώστε ′ = − − = − − ⇔ = − − f x f f x ( ) ( ) ( ) ln ln ln ln .0 0 1β α β α β α β α β α β α (1) Επειδή 0 α x0 β, είναι 1 1 1 0β α x , οπότε, λόγω της (1), έχουμε 1 1 β β α β α α − − ln ln . 22-0182-02.indb 201 26/11/2013 4:14:35 μμ
  • 203.
    202 2.5 2.5 Β΄ ΟΜΑΔΑΣ 1.i) ● Η συνάρτηση f είναι συνεχής στο διάστημα [–1,0] ως πολυωνυμική. Είναι f(–1) = 1 + 20 – 25 + 1 + 1 = – 2 και f(0) = 1 Δηλαδή f(–1) f(0) = – 2 0. Επομένως, σύμφωνα με το θεώρημα Bolzano υπάρχει ένα τουλάχιστον x1 1 0∈ −( , ) τέτοιο, ώστε f(x1 ) = 0. ● Η συνάρτηση f είναι συνεχής στο [0,1] και f(0) = 1, f(1) = 1 – 20 – 25 – 1 + 1= – 44. Δηλαδή, f(0) f(1) = – 44 0. Επομένως, σύμφωνα με το θεώρημα Bolzano, υπάρχει ένα τουλάχιστον x2 1 0∈( , ) τέτοιο, ώστε f(x2 ) = 0. ii) H συνάρτηση f ικανοποιεί τις υποθέσεις του θεωρήματος Rolle στο [ , ] [ , ],x x1 2 1 1⊆ − με x1 1 0∈ −( , ) και x2 0 1∈( , ), αφού ● είναι συνεχής στο [x1 , x2 ] ως πολυωνυμική ● είναι παραγωγίσιμη στο (x1 , x2 ) με ′ = − − −f x x x x( ) 4 60 50 13 2 και ● ισχύει f x f x( ) ( ).1 20= = Άρα υπάρχει ξ ∈ ⊆ −( , ) ( , ),x x1 2 1 1 τέτοιο, ώστε ′ =f ( )ξ 0 ή, ισοδύναμα, 4 60 50 1 03 2 ξ ξ ξ− − − = . Επομένως, η εξίσωση 4 60 50 1 03 2 x x x− − − = έχει μια τουλάχιστον ρίζα στο (–1,1). 2. i) Η συνάρτηση f ικανοποιεί τις υποθέσεις του θεωρήματος Rolle στο [0,1], αφού ● είναι συνεχής στο [0,1] ως γινόμενο συνεχών ● είναι παραγωγίσιμη στο (0,1) με ′ = + −f x x x x( ) ( )ηµ συν1 και ● f(0) = (0 – 1)ημ0 = 0, f(1) = 0∙ημ1 = 0. 22-0182-02-b.indd 202 5/3/2014 10:05:54 πµ
  • 204.
    203 2.5 Άρα, υπάρχει ξ∈( , ),0 1 τέτοιο, ώστε f′(ξ) = 0, δηλαδή η εξίσωση f′(x) = 0 έχει μια τουλάχιστον ρίζα στο (0,1). ii) Η εξίσωση εφx = 1 – x στο (0,1) γράφεται ισοδύναμα ηµ συν ηµ συν ηµ συν x x x x x x x x x f x= − ⇔ = − ⇔ + − = ⇔ ′ =1 1 1 0 0( ) ( ) ( ) και σύμφωνα με το ερώτημα i) έχει τουλάχιστον μία ρίζα στο (0,1). Επομένως, η εξίσωση εφx = 1 – x έχει μια τουλάχιστον ρίζα στο (0,1). Σημ.: To ii) μπορεί να αποδειχθεί και με το Θ. Bolzano ανεξάρτητα από το i) ερώτημα. 3. Η εξίσωση f(x) = x γράφεται ισοδύναμα f(x) – x = 0. Θέτουμε g(x) = f(x) – x, x ∈Rκαι υποθέτουμε ότι η εξίσωση g(x) = 0 έχει δύο πραγματικές ρίζες x1 , x2 στο R. Η συνάρτηση g ικανοποιεί τις υποθέσεις του θεωρήματος Rolle στο διάστημα [x1 , x2 ] αφού ● είναι συνεχής στο [x1 , x2 ] ως άθροισμα συνεχών. (Η f είναι συνεχής στο R ως παραγωγίσιμη στο R). ● είναι παραγωγίσιμη στο (x1 , x2 ) με g′(x) = f′(x) – 1 και ● g(x1 ) = 0 = g(x2 ). Επομένως, υπάρχει ξ ∈( ),x x1 2 , τέτοιο, ώστε ′ = ⇔ ′ − = ⇔ ′ =g f f( ) ( ) ( ) ,ξ ξ ξ0 1 0 1 που είναι άτοπο, αφού f′(x) ≠ 1 για κάθε x ∈ .R Άρα η εξίσωση g(x) = 0, ή ισοδύναμα η εξίσωση f(x) = x έχει το πολύ μια πραγματική ρίζα. ii) Κατ’ αρχάς η εξίσωση ηµ x x 2 = έχει ρίζα το 0, αφού ηµ 0 2 0= . Έστω f x x ( ) .= ηµ 2 Τότε ′ = ≠f x x ( ) 1 2 2 1συν για κάθε x ∈R (αφού συν x 2 2≠ ). Άρα σύμφωνα με το i) ερώτημα η εξίσωση f(x) = x, δηλαδή η εξίσωση ηµ x x 2 = , έχει το πολύ μια πραγματική ρίζα. Αφού, όμως, έχει ρίζα το 0, η ρίζα αυτή θα είναι μοναδική. 22-0182-02-b.indd 203 28/11/2013 1:19:36 μμ
  • 205.
    204 2.5 4. i) Έχουμε x x xx x x 1 1 2 2 1 2 12 2 2 + ≤ ⇔ ≤ + ⇔ ≤ + ⇔ − + ≥ ⇔ −( ) ≥x x x2 2 2 1 0 1 0, που ισχύει. ii) ● Για α = β ισχύει η ισότητα ● Για α ≠ β, η f στο διάστημα με άκρα τα α, β ικανοποιεί τις υποθέσεις του Θ.Μ.Τ. Άρα υπάρχει ξ α β∈( , ) τέτοιο, ώστε ′ = − − ⇔ − = ′ −f f f f f f( ) ( ) ( ) ( ) ( ) ( )( )ξ β α β α β α ξ β α ⇔ − = + −f f( ) ( ) ( ).β α ξ ξ β α 1 2 Επομένως, f f( ) ( ) ,β α ξ ξ β α β α− = + − ≤ − 1 1 22 λόγω του i). 5. Η f ικανοποιεί τις συνθήκες του Θ.Μ.Τ. στο διάστημα [0,4], οπότε υπάρχει ξ ∈( , )0 4 τέτοιο, ώστε ′ = − − = − f f f f ( ) ( ) ( ) ( ) .ξ 4 0 4 0 4 1 4 Αλλά, από υπόθεση έχουμε 2 5≤ ′ ≤f x( ) για κάθε x ∈( , ),0 4 οπότε 2 4 1 4 5 8 4 1 20 9 4 21≤ − ≤ ⇔ ≤ − ≤ ⇔ ≤ ≤ f f f ( ) ( ) ( ) . 6. ● Η συνάρτηση f ικανοποιεί τις υποθέσεις του Θ.Μ.Τ. στο διάστημα [–1,0], αφού είναι συνεχής στο [–1,0] και παραγωγίσιμη στο (–1,0) με ′ ≤f x( ) .1 Επομένως, υπάρχει ένα τουλάχιστον ξ1 1 0∈ −( , ), τέτοιο ώστε ′ = − − + = − − = +f f f f f( ) ( ) ( ) ( ) ( ) ( ) .ξ1 0 1 0 1 0 1 1 0 1 (1) ● Η συνάρτηση f ικανοποιεί τις υποθέσεις του Θ.Μ.Τ. στο διάστημα [0,1], αφού είναι συνεχής στο [0,1] και παραγωγίσιμη στο (0,1). Επομένως, υπάρχει ένα τουλάχιστον ξ2 0 1∈( , ) τέτοιο, ώστε 22-0182-02.indb 204 26/11/2013 4:14:43 μμ
  • 206.
    205 2.6 ′ = − − = − = −f ff f f( ) ( ) ( ) ( ) ( ).ξ2 1 0 1 0 1 0 1 1 0 (2) Επειδή ′ ≤f x( ) 1 για κάθε x ∈ −( , )1 1 θα ισχύει ′ ≤ ′ ≤    ⇔ + ≤ − ≤    ⇔ ≤ ≥    f f f f f f ( ) ( ) ( ) ( ) ( ) ( ) ξ ξ 1 2 1 1 0 1 1 1 0 1 0 0 0 0 Άρα f (0) = 0. 7. Κατ’αρχάς f(0) = g(0) = 1 και f(1) = g(l) = 2. Επομένως οι γραφικές παραστάσεις των f , g έχουν κοινά τα σημεία Α και Β. Ας υποθέσουμε ότι αυτές έχουν και τρίτο κοινό σημείο Γ και ας ονομάσουμε ρ1 ρ2 ρ3 τις τετμημένες των τριών σημείων. Τότε, θα ισχύει: f g( ) ( ),ρ ρ1 1= f g( ) ( )ρ ρ2 2= και f g( ) ( ).ρ ρ3 3= Θεωρούμε, τώρα, τη συνάρτηση ϕ( ) ( ) ( ) .x f x g x x xx = − = + − −2 2 12 Για τη συνάρτηση φ ισχύουν οι υποθέσεις του Θ. Rolle στα διαστήματα [ρ1 , ρ2 ] και [ρ2 , ρ3 ], αφού είναι παραγωγίσιμη στο R με ′ = + −ϕ ( ) lnx xx 2 2 2 2 και ισχύει ϕ ρ ϕ ρ ϕ ρ( ) ( ) ( ) .1 2 3 0= = = Άρα, υπάρχουν ξ ρ ρ1 1 2∈( , ) και ξ ρ ρ2 2 3∈( , ) τέτοια, ώστε φ′(ξ1 ) = 0 και φ′(ξ2 ) = 0. Επειδή, επιπλέον, η φ′ είναι παραγωγίσιμη στο [ξ1 , ξ2 ], για τη συνάρτηση φ′ ισχύουν οι υποθέσεις του Θ. Rolle. Άρα υπάρχει ξ ξ ξ∈( , )1 2 τέτοιο, ώστε ′′ =ϕ ξ( ) .0 Αυτό όμως είναι άτοπο, αφού ′′ = + ϕ ( ) lnx x 2 2 2 02 για κάθε x. Άρα, η εξίσωση φ(x) = 0 έχει ακριβώς δύο ρίζες, τους αριθμούς 0 και 1. 2.6 Α΄ ΟΜΑΔΑΣ 1. Για κάθε x ∈ R έχουμε ′ = ′ + ′ϕ ( ) ( ) ( ) ( ) ( )x f x f x g x g x2 2 = − =2 2 0f x g x g x f x( ) ( ) ( ) ( ) . Επομένως, φ(x) = c. 2. i) Για κάθε x ∈ R είναι 22-0182-02-b.indd 205 5/3/2014 10:07:24 πµ
  • 207.
    206 2.6 ′ = += + f x x x( ) ( ) .3 3 3 1 02 2 Άρα η f είναι γνησίως αύξουσα στο R. ii) Για κάθε x ∈ R είναι: ′ = − − = − −f x x x x x( ) ( ).6 6 12 6 22 2 Οι ρίζες του τριωνύμου x x2 2− − είναι 2 και –1, οπότε το πρόσημο της f′ και η μονοτονία της f φαίνονται στον παρακάτω πίνακα. x −∞ –1 2 +∞ f′(x) + 0 – 0 + f(x) Άρα η f είναι: — γνησίως αύξουσα στο ( , ],−∞ −1 αφού είναι συνεχής στο ( , ]−∞ −1 και ισχύει ′ f x( ) ,0 στο ( , ).−∞ −1 — γνησίως φθίνουσα στο [ , ]−1 2 , αφού είναι συνεχής στο [ , ]−1 2 και ισχύει ′ f x( ) ,0 στο ( , ),−1 2 και — γνησίως αύξουσα στο [ , )2 +∞ , αφού είναι συνεχής στο [ , )2 +∞ και ισχύει ′ f x( ) ,0 στο ( , )2 +∞ . iii) Για κάθε x ∈ R ισχύει ′ = + − + = − + f x x x x x x ( ) ( ) ( ) . 2 2 2 2 2 2 2 1 2 1 1 1 Οι ρίζες της ′ =f x( ) 0 είναι –1 και 1, το πρόσημο της f′ και η μονοτονία της f φαίνονται στον παρακάτω πίνακα. x −∞ –1 1 +∞ f′(x) – 0 + 0 – f(x) Άρα η f είναι γνησίως φθίνουσα στα διαστήματα ( , ],−∞ −1 [ , )1 +∞ και γνησίως αύξουσα στο διάστημα [–1,1]. 22-0182-02.indb 206 26/11/2013 4:14:50 μμ
  • 208.
    207 2.6 3. i) —Για κάθε x 1 η f είναι συνεχής, ως πολυωνυμική — Ομοίως για κάθε x 1 — Για x = 1 έχουμε: lim ( ) lim( ) , x x f x x → →− = − = 1 1 2 4 3 lim ( ) lim( ) x x f x x → →+ = + = 1 1 2 3 και f(1) = 3, οπότε η f είναι συνεχής στο 1. Άρα η f συνεχής στο R. Η συνάρτηση f παραγωγίζεται στο R–{1} με ′ = −    f x x x x ( ) , , . 2 1 1 1 Η ′ =f x( ) 0 έχει ακριβώς μια ρίζα την x = 0. Το πρόσημο της f′ και η μονοτονία της f φαίνονται στον παρακάτω πίνακα. x −∞ 0 1 +∞ f′(x) + 0 – + f(x) Δηλαδή η f είναι: ● γνησίως αύξουσα στα διαστήματα ( , ]−∞ 0 και [ , )1 +∞ και ● γνησίως φθίνουσα στο [0,1]. ii) H συνάρτηση f γράφεται: f x x x x x x x ( ) , ( , ] , ( , ) , [ , ) = − ∈ −∞ − − ∈ − − ∈ +∞      2 2 2 1 1 1 1 1 1 1 ● Η f είναι συνεχής στο R, ως απόλυτη τιμή συνεχούς συνάρτησης. ● Για x ≠ ±1 έχουμε ′ = ∈ −∞ − − ∈ − ∈ +∞      f x x x x x x x ( ) , ( , ) , ( , ) , ( , ) . 2 1 2 1 1 2 1 Η f′(x) = 0 έχει ακριβώς μια ρίζα την x = 0. Το πρόσημο της f′ και η μονοτονία της φαίνονται στον παρακάτω πίνακα. 22-0182-02.indb 207 26/11/2013 4:14:52 μμ
  • 209.
    208 2.6 x −∞ –10 1 +∞ f′(x) – + 0 – + f(x) Δηλαδή η f είναι: ● γνησίως φθίνουσα στα διαστήματα ( , ],−∞ −1 [0,1] και ● γνησίως αύξουσα στα διαστήματα [–1,0], [ , ).1 +∞ 4. i) Για κάθε x ∈ R είναι ′ = − = − f x e xe e x e x x x x ( ) .2 1 Η f′(x) = 0 έχει μια μόνο ρίζα την x = 1. Το πρόσημο της f′ και η μονοτονία της f φαίνονται στον παρακάτω πίνακα. x −∞ 1 +∞ f′(x) + 0 – f(x) Δηλαδή η f είναι ● γνησίως αύξουσα στο ( , ]−∞ 1 και ● γνησίως φθίνουσα στο [ , ).1 +∞ ii) Για κάθε x 0 είναι ′ = − = − f x x x x ( ) . 1 1 1 Έχουμε ′ = ⇔ =f x x( ) .0 1 Το πρόσημο της f′ και η μονοτονία της f φαίνονται στον παρακάτω πίνακα. x 0 1 +∞ f′(x) + 0 – f(x) Δηλαδή η f είναι ● γνησίως αύξουσα στο (0,1] και ● γνησίως φθίνουσα στο [ , ).1 +∞ 22-0182-02.indb 208 26/11/2013 4:14:54 μμ
  • 210.
    209 2.6 iii) Η συνάρτησηf γράφεται f x x x x ( ) , , .= ≤ ≤ ≤    2 0 0 2 ηµ π π π Επομένως έχουμε να μελετήσουμε τη μονοτονία της f στο [0,π]. ● Η f είναι συνεχής στο [0,π] ● Για κάθε x ∈( , )0 π είναι ′ =f x x( ) 2συν Η f′ μηδενίζεται στο (0,π) για x = π 2 . Το πρόσημο της f′ στο [0,π] φαίνεται στον παρακάτω πίνακα. x 0 2 π π f′(x) + 0 – f(x) Δηλαδή η f είναι ● γνησίως αύξουσα στο 0 2 , , π      ● γνησίως φθίνουσα στο π π 2 ,       και ● σταθερή με τιμή μηδέν στο [π,2π]. 5. i) ● Για κάθε x ∈ R είναι ′ = + = + f x x x( ) ( ) .5 5 5 1 04 4 Επομένως η f είναι γνησίως αύξουσα στο R. ● Η συνάρτηση g είναι συνεχής στο [ , )0 +∞ και παραγωγίσιμη στο ( , )0 +∞ , με ′ = ⋅ + = + g x x x ( ) 2 1 2 1 1 1 0 για κάθε x ∈ +∞( , ).0 Επομένως η g είναι γνησίως αύξουσα στο [ , ).0 +∞ ii) Έχουμε: ● lim ( ) lim ( ) x x f x x →−∞ →−∞ = = −∞5 και lim ( ) lim . x x f x x →+∞ →+∞ = = +∞5 Επομένως η f , ως συνεχής και γνησίως αύξουσα στο R, θα έχει σύνολο τιμών το διάστημα ( , ),−∞ +∞ δηλαδή το R. 22-0182-02-b.indd 209 28/11/2013 2:07:27 μμ
  • 211.
    210 2.6 ● Έχουμε: g(0) =– 3 και lim ( ) lim . x x g x x x →+∞ →+∞ = + −( )= +∞2 3 Άρα το σύνολο τιμών της g, για τον ίδιο λόγο όπως πριν, είναι το διάστημα [ , ).− +∞3 iii) Οι εξισώσεις γράφονται f(x) = 0 και g(x) = 0 αντιστοίχως και έχουν προφανή ρίζα την x = 1. Επειδή οι συναρτήσεις f και g είναι γνησίως μονότονες, η x = 1 είναι μοναδική κοινή ρίζα τους. 6. i) Για κάθε x – 1 ισχύει ′ = + + f x e x x ( ) . 1 1 0 Επομένως η f είναι γνησίως αύξουσα στο ( , ).− +∞1 ii) Η εξίσωση e xx = − +1 1ln( ) γράφεται ισοδύναμα: e x f xx − + + = ⇔ =1 1 0 0ln( ) ( ) . Προφανώς f(0) = 0. Επειδή η f είναι γνησίως αύξουσα στο πεδίο ορισμού της και ισχύει f(0) = 0, η τιμή x = 0 είναι η μόνη ρίζα της εξίσωσης f(x) = 0. 2.6 Β΄ ΟΜΑΔΑΣ 1. Έστω x0 ∈ R. Τότε, λόγω της υπόθεσης, για κάθε 0x x≠ έχουμε f x f x x x f x f x x x x x( ) ( ) ( ) ( ) − ≤ − ⇔ − − ≤ −0 0 2 0 0 0 ⇔ − − ≤ − − ≤ −x x f x f x x x x x0 0 0 0 ( ) ( ) . Αλλά lim lim . x x x x x x x x → → − −( ) = − = 0 0 0 0 0 Επομένως, σύμφωνα με το κριτήριο παρεμβολής θα είναι: lim ( ) ( ) x x f x f x x x→ − − = 0 0 0 0 ή ′ =f x( ) .0 0 Άρα ′ =f x( ) ,0 0 για κάθε x0 ∈ R που σημαίνει ότι η f σταθερή στο R. 22-0182-02.indb 210 26/11/2013 4:15:00 μμ
  • 212.
    211 2.6 2. i) Ηf είναι συνεχής στο [–1,1] ως πολυωνυμική και ισχύει ′ = − = − f x x x( ) ( )3 3 3 1 02 2 για κάθε x ∈ −( , ).1 1 Άρα η f είναι γνησίως φθίνουσα στο [–1,1]. ii) Επειδή η f είναι συνεχής και γνησίως φθίνουσα στο [–1,1], το σύνολο τιμών της είναι το [f(1), f(–1)] = [α – 2,α + 2]. iii) Η συνάρτηση f x x x( ) = − +3 3 α είναι συνεχής στο [–1,1] και το σύνολο τιμών της [α – 2,α + 2] περιέχει το 0, αφού – 2 α 2. Επομένως, υπάρχει ένα τουλάχιστον x0 1 1∈ −( , ) τέτοιο, ώστε f(x0 ) = 0. Αυτό όμως είναι μοναδικό, αφού η f είναι γνησίως φθίνουσα στο (–1,1). 3. Η ταχύτητα του κινητού είναι υ( ) ( ) ,t x t t t t= ′ = − + −4 24 36 163 2 ενώ η επιτάχυνσή του είναι α( ) ( ) ( ).t x t t t t t= ′′ = − + = − +12 48 36 12 4 32 2 i) Η ταχύτητα του κινητού με τη βοήθεια του σχήματος Horner γράφεται υ( ) ( ) ( )t t t= − −4 1 42 και μηδενίζεται τις χρονικές στιγμές t = 1 και t = 4. Για να απαντήσουμε στα ερωτήματα της άσκησης αρκεί να μελετήσουμε το πρόσημο της ταχύτητας υ( ) ( )t x t= ′ στο διάστημα [0,5]. Οι ρίζες της ′ =x t( ) 0 είναι 1 και 4, ενώ το πρόσημο της ′x t( ) φαίνεται στον πίνακα t 0 1 4 5 – 0 – 0 + ii) Άρα στο διάστημα (0,4) το κινητό κινείται προς τα αριστερά, ενώ στο διάστημα (4,5) κινείται προς τα δεξιά. iii) Τo πρόσημο της συνάρτησης α( ) ( )t x t= ′′ φαίνεται στον πίνακα t 0 1 3 5 a(t) + 0 – 0 + Επομένως στα διαστήματα [0,1] και [3,5] η ταχύτητά του αυξάνεται, ενώ στο διάστημα [1,3] μειώνεται. ′x t( ) 22-0182-02.indb 211 26/11/2013 4:15:03 μμ
  • 213.
    212 2.6 4. Η συνάρτησηV παραγωγίζεται για t 0 με ′ = − +       ′ = − + V t t t t t ( ) ( ) ( ) 50 25 2 100 2 0 2 2 3 Άρα η συνάρτηση V είναι γνησίως φθίνουσα στο [ , )0 +∞ , που σημαίνει ότι το προϊόν συνεχώς υποτιμάται. Επειδή V(0) = 50 και lim ( ) lim ( )t t V t t t→+∞ →+∞ = − +      50 25 2 2 2 = − + + = − = →+∞ 50 25 4 2 50 25 25 2 2 lim , t t t t το σύνολο τιμών της V είναι το διάστημα (25,50]. Άρα, η τιμή του προϊόντος δεν μπορεί να γίνει μικρότερη από το μισό της αρχικής του τιμής. 5. i) H συνάρτηση f έχει πεδίο ορισμού το Α = −∞ − ∪ − ∪ +∞( , ) ( , ) ( , ),1 1 1 1 είναι συνεχής, ως ρητή, και παραγωγίσιμη στο Α με ′ = − ′ − − − ′ − − f x x x x x x x x ( ) ( ) ( ) ( ) ( ) ( ) 3 2 2 3 2 2 9 1 1 9 1 = ( )( ) ( ) ( ) 3 9 1 2 9 1 2 2 3 2 2 x x x x x x − − − − − = + + − = + − x x x x x 4 2 2 2 2 2 2 2 6 9 1 3 1 0 ( ) ( ) ( ) . Η μονοτονία της f φαίνεται στον πίνακα x −∞ –1 1 +∞ f′(x) + + + f(x) −∞ +∞ −∞ +∞ −∞ +∞ Δηλαδή, η f είναι γνησίως αύξουσα σε καθένα από τα διαστήματα ( , ),−∞ −1 ( , )−1 1 και ( , )1 +∞ . Είναι ● lim ( ) lim lim x x x f x x x x x x→+∞ →+∞ →+∞ = − − = = +∞ 3 2 3 2 9 1 22-0182-02.indb 212 26/11/2013 4:15:06 μμ
  • 214.
    213 2.6 ● lim () lim x x f x x x→−∞ →−∞ = = −∞ 3 2 ● lim ( ) lim ( )( )x x f x x x x x→− →−− − = − − + = +∞ 1 1 3 9 1 1 ● lim ( ) x f x →− + = −∞ 1 , lim ( ) x f x → − = +∞ 1 και lim ( ) . x f x → + = −∞ 1 Επομένως το σύνολο τιμών της f σε καθένα από τα διαστήματα του π ορισμού της είναι το R. ii) Οι αριθμοί –1 και 1 προφανώς δεν είναι ρίζες της εξίσωσης x x x3 2 9 0− − + =α α . Επομένως, θα αναζητήσουμε ρίζες αυτής στα διαστήματα ( , ),−∞ −1 ( , )−1 1 και ( , )1 +∞ . Στα διαστήματα αυτά έχουμε x x x x x x3 2 3 2 9 0 9− − + = ⇔ − = −α α α α ⇔ − − = x x x 3 2 9 1 α ⇔ =f x( ) .α Επειδή η συνάρτηση f σε καθένα των διαστημάτων ( , ),−∞ −1 ( , )−1 1 και ( , )1 +∞ είναι γνησίως αύξουσα και έχει σύνολο τιμών το R, η εξίσωση f(x) = α, έχει ακριβώς τρεις πραγματικές ρίζες, από μια σε καθένα από τα διαστήματα του πεδίου ορισμού της f. 6. Για κάθε x ∈ R είναι ′ = + +f x x x( ) .3 6 12 α Η f′ είναι δευτεροβάθμιο τριώνυμο με Δ = 36 – 12α = 12(3 – α). ● Για α = 3 , η f′ έχει διπλή ρίζα την − 1 3 . Επειδή η f είναι συνεχής για x = − 1 3 και ισχύει f′(x) 0 για κάθε x ≠ − 1 3 , η f είναι γνησίως αύξουσα για κάθε x ∈ R. ● Για α 3 η f′έχει δύο ρίζες πραγματικές και άνισες και άρα αλλάζει πρόσημο στο R. Επομένως, για α 3 η f δεν είναι γνησίως αύξουσα στο R. ● Για α 3 η f′ δεν έχει ρίζες στο R και επειδή α 0 θα ισχύει f′(x) 0 για κάθε x ∈ R. Επομένως, για α 3 η f είναι γνησίως αύξουσα στο R. Άρα η f είναι γνησίως αύξουσα στο R μόνο όταν α ≥ 3. 22-0182-02.indb 213 26/11/2013 4:15:10 μμ
  • 215.
    214 2.6 7. i) Έχουμε ′= − ′ = − + =f x x x x x x x x x x( ) ( ) .ηµ συν συν συν ηµ ηµ Για x ∈      0 2 , π είναι f′(x) 0 και αφού η f είναι συνεχής στο 0 2 , π      θα είναι γνησίως αύξουσα στο διάστημα αυτό. ii) Επειδή η f είναι γνησίως αύξουσα στο 0 2 , π      , για κάθε x, με 0 2 x π θα είναι f(0) f(x), δηλαδή ημx – xσυνx 0. iii) Για κάθε x ∈      0 2 , π ισχύει ′ = ⋅ − f x x x x x ( ) συν ηµ 2 0 (λόγω της ii), οπότε η f είναι γνησίως φθίνουσα στο διάστημα 0 2 , . π      8. i) Η f είναι συνεχής στο 0 2 , , π      ως άθροισμα συνεχών και για κάθε x ∈      0 2 , π ισχύει: ′ = + − = − + f x x x x x x ( ) 2 1 3 2 3 1 2 3 2 2 συν συν συν συν συν = − − + = − − −2 2 1 2 1 13 2 2 2 2 2 2 συν συν συν συν συν συν συν συν x x x x x x x x ( ) ( ) = − − − = − + ( )( ) ( ) ( ) . συν συν συν συν συν συν συν x x x x x x x 1 2 1 1 2 1 0 2 2 2 2 Επομένως η f είναι γνησίως αύξουσα στο 0 2 , . π      ii) Επειδή η f είναι γνησίως αύξουσα στο 0 2 , , π      για κάθε 0 2 ≤ x π ισχύει (0) ( ).f f x≤ Αλλά f(0) = 0, οπότε για κάθε x ∈      0 2 , π ισχύει: 0 2 3 2 3≤ + − ⇔ + ≥ηµ εϕ ηµ εϕx x x x x x. 22-0182-02.indb 214 26/11/2013 4:15:14 μμ
  • 216.
    215 2.7 2.7 Α΄ ΟΜΑΔΑΣ 1.Επειδή η f είναι παραγωγίσιμη στο R, τα τοπικά ακρότατα θα αναζητηθούν μεταξύ των ριζών της εξίσωσης f′(x) = 0, δηλαδή των 1, 2 και 3. Το πρόσημο της f′, η μονοτονία και τα ακρότατα της f φαίνονται στον παρακάτω πίνακα. x −∞ 1 2 3 +∞ f′(x) + 0 – 0 – 0 + f(x) Τ.Μ. Τ.Ε. Δηλαδή η f , ● στο x = 1 παρουσιάζει τοπικό μέγιστο και ● στο x = 3 παρουσιάζει τοπικό ελάχιστο. 2. α) i) Για κάθε x ∈ R είναι ′ = − + = −f x x x x( ) ( ) .3 6 3 3 12 2 Η f(x) = 0 έχει ακρι- βώς μια ρίζα την x = l. Το πρόσημο της f′, η μονοτονία της f και τα όριά της στο −∞ και +∞ φαίνονται στον παρακάτω πίνακα. x −∞ 1 +∞ f′(x) + 0 + f(x) −∞ +∞ Άρα η f είναι γνησίως αύξουσα στο R. ii) Για κάθε x ∈ R είναι ′ = −g x x( ) .3 32 Οι ρίζες της g′(x) = 0 είναι –1 και 1. Το πρόσημο της g′, η μονοτονία της g, τα ακρότατα και τα όριά της στο −∞, +∞ φαίνονται στον παρακάτω πίνακα. x −∞ –1 1 +∞ g′(x) + 0 – 0 + g(x) 4 0 −∞ T.M. T.E. +∞ Δηλαδή η g παρουσιάζει: 22-0182-02-b.indd 215 28/11/2013 1:20:33 μμ
  • 217.
    216 2.7 ● στο x= – 1 τοπικό μέγιστο το g(–l) = 4 και ● στο x = 1 τοπικό ελάχιστο το g(l) = 0. iii) Για κάθε x ∈ R είναι ′ = − = −h x x x x x( ) ( ).6 6 6 12 Οι ρίζες της είναι 0 και 1. Το πρόσημο της h′, η μονοτονία και τα ακρότατα της h καθώς και τα όριά της στο −∞ και +∞ φαίνονται στον παρακάτω πίνακα. x −∞ 0 1 +∞ h′(x) + 0 – 0 + h(x) −∞ –1 Τ.Μ. –2 T.E. +∞ Δηλαδή η h παρουσιάζει: ● στο x = 0 τοπικό μέγιστο, το h(0) = – 1 και ● στο x = 1 τοπικό ελάχιστο, στο h(1) = – 2. β) i) Επειδή η f x x x x( ) = − + +3 2 3 3 1 είναι συνεχής και γνησίως αύξουσα στο R και lim ( ) lim ( ) , x x f x x →−∞ →−∞ = = −∞3 lim ( ) lim ( ) , x x f x x →+∞ →+∞ = = +∞3 το σύνολο τιμών της f είναι το διάστημα ( , ),−∞ +∞ δηλαδή το R. Επομένως θα υπάρχει x ∈ R τέτοιο, ώστε f(x) = 0, δηλαδή η εξίσωση x x x3 2 3 3 1 0− + + = θα έχει μια τουλάχιστον πραγματική ρίζα. Αυτή είναι μοναδική αφού η f είναι γνησίως αύξουσα στο R. ii) Η συνάρτηση g x x x( ) .= − +3 3 2 ● Στο ( , ]−∞ −1 είναι συνεχής και γνησίως αύξουσα και επειδή lim ( ) lim ( ) x x g x x →−∞ →−∞ = = −∞3 και g(–l) = 4, το σύνολο τιμών της στο διάστημα αυτό είναι το ( , ].−∞ 4 Άρα στο ( , ]−∞ −1 η εξίσωση x x3 3 2 0− + = έχει ακριβώς μια ρίζα. ● Στο [–1,1] είναι συνεχής και γνησίως φθίνουσα. Άρα το σύνολο τιμών της στο διάστημα αυτό είναι το [g(l), g(–l)] = [0,4], οπότε στο διάστημα [–1,1] η εξίσωση x x3 3 2 0− + = έχει ακριβώς μια ρίζα την x = 1. ● Στο [ , )1 +∞ είναι συνεχής και γνησίως αύξουσα και επειδή lim ( ) lim ( ) x x g x x →+∞ →+∞ = = +∞3 και g(l) = 0, το σύνολο τιμών της στο διάστημα 22-0182-02.indb 216 26/11/2013 4:15:19 μμ
  • 218.
    217 2.7 αυτό είναι το[ , ).0 +∞ Άρα στο[ , )1 +∞ η εξίσωση x x3 3 2 0− + = έχει ακριβώς μια ρίζα την x = 1 που βρήκαμε και πριν. Επομένως, η εξίσωση έχει στο R δύο άνισες ρίζες. iii) Αν εργαστούμε για τη συνάρτηση h x x x( ) ,= − −2 3 13 2 όπως και για τις συναρτήσεις f και g, βρίσκουμε ότι η εξίσωση 2 3 1 03 2 x x− − = έχει μια ακριβώς λύση στο R που βρίσκεται στο διάστημα [ , )1 +∞ . 3. i) Για x 1 η f είναι συνεχής ως πολυωνυμική. Για x 1 η f είναι συνεχής ως σύνθεση συνεχών συναρτήσεων. Για x = 1 έχουμε lim ( ) lim , x x f x x → →− = = 1 1 2 1 lim ( ) lim x x x f x e → → − + = = 1 1 1 1 και f(1) = 1. Επομένως η f είναι συνεχής στο R. Έχουμε: ′ = −    − f x x x e xx ( ) , , . 2 1 11 Η f′ μηδενίζεται στο 0. Το πρόσημο της f′, η μονοτονία και τα ακρότατα της f φαίνονται στον παρακάτω πίνακα. x −∞ 0 1 +∞ f′(x) – 0 + – f(x) 0 T.E. 1 T.M. Δηλαδή η f παρουσιάζει ● στο x = 0 τοπικό ελάχιστο το f(0) = 0 και ● στο x = 1 τοπικό μέγιστο το f(1) = 1. ii) — Για x 1 η g είναι συνεχής ως πολυωνυμική — Για x 1 η g είναι επίσης συνεχής. — Για x = 1 έχουμε: lim ( ) lim( ) x x g x x x → →− − = − + = 1 1 2 2 3 0 lim ( ) lim( ) x x g x x x → →+ + = + + = 1 1 2 4 1 0 και g(1) = 0. 22-0182-02.indb 217 26/11/2013 4:15:22 μμ
  • 219.
    218 2.7 Επομένως η gείναι συνεχής σ’ όλο το R. Έχουμε: ′ = − −    g x x x x x ( ) , , . 2 2 1 2 4 1 Η g′ μηδενίζεται στο 2. Το πρόσημο της g′, η μονοτονία και τα ακρότατα της g φαίνονται στον παρακάτω πίνακα. x −∞ 1 2 +∞ g′(x) – – 0 + g(x) –1 min Δηλαδή η g παρουσιάζει στον x = 2 ελάχιστο το g(2) = – 1. 4. i) Για κάθε x ∈ R είναι ′ = −f x ex ( ) .1 Έχουμε ′ = ⇔ = ⇔ =f x e xx ( ) .0 1 0 Το πρόσημο της f ′ , η μονοτονία και τα ακρότατα της f φαίνονται στον παρακάτω πίνακα. x −∞ 0 +∞ f′(x) – 0 + f(x) 1 min Δηλαδή η f παρουσιάζει στο x = 0 ελάχιστο το f(0) = 1. ii) Για x 0 έχουμε f x x ex x x ( ) .ln = = Επομένως ′ = ′ = +f x e x x x xx x x ( ) ( ln ) (ln ).ln 1 Έχουμε: ′ = ⇔ + = ⇔ = − ⇔ =f x x x x x e x ( ) (ln ) ln .0 1 0 1 1 Το πρόσημο της f′, η μονοτονία και τα ακρότατα της f φαίνονται στον πα- ρακάτω πίνακα. 22-0182-02-b.indd 218 28/11/2013 1:21:24 μμ
  • 220.
    219 2.7 x 0 +∞ f′(x)– 0 + f(x) min Δηλαδή η f παρουσιάζει στο x e = 1 ελάχιστο το f e e e1 1 1       =       . 5. Η συνάρτηση f παραγωγίζεται στο R με ′ = + −f x x x( ) .3 2 32 α β Για να παρου- σιάζει η f ακρότατα στα x1 = – 1 και x2 = 1, πρέπει: ′ − = ′ =    ⇔ − − = + − =    ⇔ − = =    ⇔ =f f ( ) ( ) 1 0 1 0 3 2 3 0 3 2 3 0 6 6 0 4 0 1α β α β α β α ββ =    0 (Προσθέσαμε και αφαιρέσαμε κατά μέλη τις εξισώσεις). Για τις τιμές αυτές των α, β η f γράφεται f x x x( ) = − +3 3 1 και έχει παράγωγο ′ = −f x x( ) .3 32 Το πρόσημο της f′, η μονοτονία και τα ακρότατα της f φαίνονται στον παρακάτω πίνακα. x −∞ –1 1 +∞ f′(x) + 0 – 0 + f(x) 3 T.M. –1 T.E. Δηλαδή για α = 1 και β = 0 η f παρουσιάζει στο x1 = –1 τοπικό μέγιστο το f (–1) = 3 και στο x2 = 1 τοπικό ελάχιστο το f(1) = – 1. 6. Έστω x, m οι διαστάσεις σε m του ορθογωνίου οικοπέδου με εμβαδόν Ε = 400 m 2 . Τότε xy = 400, οπότε y x = 400 . Επομένως, η περίμετρος P = 2x + 2y, ως συνάρτηση του x, δίνεται από τον τύπο P x x x x x ( ) ,= + = +      2 2 400 2 400 x 0. Για κάθε x 0 έχουμε: ′ = −       = −     P x x x x ( ) 2 1 400 2 400 2 2 2 1 1 e e      1 e 400 m 2 x y 22-0182-02.indb 219 26/11/2013 4:15:27 μμ
  • 221.
    220 2.7 οπότε ′ = ⇔− = ⇔ =P x x x( ) .0 400 0 202 Το πρόσημο της Ρ′, η μονοτονία και τα ακρότατα της Ρ φαίνονται στον παρακάτω πίνακα. x 0 20 +∞ P′(x) – 0 + P(x) 80 min Δηλαδή η Ρ παρουσιάζει στο x = 20 ελάχιστο το Ρ(2) = 80. Επομένως το οικόπεδο χρειάζεται τη μικρότερη περίφραξη όταν x = 20. Από την ισότητα y x = 400 για x = 20 έχουμε και y = 20, που σημαίνει ότι το οικόπεδο είναι τετράγωνο. 7. Έστω x, y οι διαστάσεις σε m του οικοπέδου με περίμετρο 80 m. Τότε είναι 2x + 2y = 80, οπότε y = 40 – x. Το εμβαδόν E = xy, ως συνάρτηση του x, δίνεται από τον τύπο Ε(x) = x(40 – x) με 0 x 40. Για κάθε x ∈( , )0 40 είναι ′ = −Ε ( )x x40 2 οπότε ′ = ⇔ =Ε ( ) .x x0 20 Το πρόσημο της Ε′, η μονοτονία και τα ακρότατα της Ε φαίνονται στον παρακάτω πίνακα. x 0 20 40 Ε′(x) + 0 – Ε(x) 400 max Δηλαδή, το εμβαδόν γίνεται μέγιστο όταν x = 20. Από τη σχέση y = 40 – x για x = 20 έχουμε y = 20, οπότε το οικόπεδο είναι τετράγωνο. 8. Ο ρυθμός μεταβολής της μείωσης της θερμοκρασίας ως προς τη δόση του φαρμάκου είναι h x T x x x( ) ( ) .= ′ = −2 3 4 2 Για κάθε x ∈( , )0 3 είναι ′ = −h x x ( ) 2 6 4 , οπότε x y 22-0182-02.indb 220 26/11/2013 4:15:29 μμ
  • 222.
    221 2.7 ′ = ⇔− = ⇔ =h x x x( ) .0 2 6 4 0 4 3 Το πρόσημο της h′, η μονοτονία και τα ακρότατα της h φαίνονται στον παρακάτω πίνακα. x 0 3 h′(x) + 0 – h(x) max Δηλαδή, ο ρυθμός μεταβολής της μείωσης της θερμοκρασίας ως προς τη δόση x του φαρμάκου γίνεται μέγιστος όταν x = 4 3 mgr. 9. i) Τα ορθογώνια τρίγωνα ΒΕΖ, ΓΖΗ, ΔΗΘ και ΑΘΕ είναι ίσα. Επομένως ΓΖ = x, οπότε ΒΖ = 2 – x. Από το ορθογώνιο τρίγωνο ΕΒΖ έχουμε: ( ) ( )EZ x x x x2 2 2 2 2 2 4 4= + − = − + ii) Το εμβαδόν Ε(x) του τεγραγώνου ΕΖΗΘ δίνεται από την ισότητα Ε ΕΖ( ) ( ) ,x x x= = − +2 2 2 4 4 x ∈( , ).0 2 Μελετάμε τη συνάρτηση Ε ως προς τα ακρότατα. Για κάθε x ∈( , )0 2 είναι ′ = − = −Ε ( ) ( ),x x x4 4 4 1 οπότε ′ = ⇔ =Ε ( ) .x x0 1 Το πρόσημο της Ε′, η μονοτονία και τα ακρότατα της Ε φαίνονται στον παρακάτω πίνακα. x 0 1 2 Ε′(x) – 0 + Ε(x) 2 min Δηλαδή η Ε παρουσιάζει στο x = 1 ελάχιστο το Ε(1) = 2. Επομένως το εμβαδόν του ΕΖΗΘ γίνεται ελάχιστο όταν x = 1, δηλαδή όταν τα Ε, Ζ, Η, Θ είναι μέσα των πλευρών του ΑΒΓΔ. 10. Το κέρδος του εργοστασίου είναι: 4 3 4 3 22-0182-02.indb 221 26/11/2013 4:15:31 μμ
  • 223.
    222 2.7 P x xx x x x x x( ) ( ) ( )= − = − − + − −Ε Κ 420 2 1 3 20 600 10002 3 2 = − + − − 1 3 18 180 10003 2 x x x , με x ∈[ , ].0 105 Για κάθε x ∈[ , ]0 105 ισχύει ′ = − + −P x x x( ) ,2 36 180 οπότε ′ = ⇔ =P x x( ) 0 6 ή x = 30. Το πρόσημο της Ρ′, η μονοτονία και τα ακρότατα της Ρ φαίνονται στον παρακάτω πίνακα. x 0 6 30 105 P′(x) – 0 + 0 – P(x) –1000 Τ.Μ. Τ.Ε. 800 Τ.Μ. Τ.Ε. Επομένως το εργοστάσιο παρουσιάζει μέγιστο κέρδος, όταν έχει ημερήσια παραγωγή 30 μονάδες. 2.7 Β΄ ΟΜΑΔΑΣ 1. i) Είναι ′ = −f x x( ) .2 1συν Η εξίσωση της f′(x) = 0 στο διάστημα [0,π] έχει ρίζα το . 3 π Η μονοτονία και τα ακρότατα της f φαίνονται στον πίνακα. x 0 π f′(x) + 0 – f(x) 3 max 3 – π Δηλαδή, η f είναι γνησίως αύξουσα στο 0 3 , , π      γνησίως φθίνουσα στο π π 3 ,       και παρουσιάζει: ● τοπικό μέγιστο για x = π 3 , το f π π 3 3 3 9 3       = + − ● τοπικό ελάχιστο για x = 0, το f(0) = 3 ● ελάχιστο για x = π, το f(π) = 3– π. 3 3 9 3 + −π / 3π 22-0182-02-b.indd 222 28/11/2013 1:21:59 μμ
  • 224.
    223 2.7 ii) H εξίσωσηηµx x= − 1 2 3 2 γράφεται ισοδύναμα 2 3 2 3 0 0ηµ ηµx x x x f x= − ⇔ − + = ⇔ =( ) . Από τον παραπάνω πίνακα φαίνεται ότι — Για x ∈      0 3 , π το σύνολο τιμών της f είναι το διάστημα 3 3 3 9 3 , , + −      π στο οποίο δεν περιέχεται το 0. — Για x ∈       π π 3 , ,το σύνολο τιμών της f είναι το διάστημα 3 3 3 9 3 − + −     π π , , στο οποίο περιέχεται το 0. Άρα η εξίσωση f(x) = 0 έχει μια ρίζα στο διάστημα π π π 3 0, ( , )       ⊆ η οποία είναι και η μοναδική, αφού η f είναι γνησίως φθίνουσα στο π π 3 , .       2. i) Είναι ′ = + f x x ( ) , 1 1 0 για κάθε x ∈ +∞( , ).0 Επομένως, η f είναι γνησίως αύξουσα στο πεδίο ορισμού της. Μια προφανής ρίζα της f είναι το x = 1, η οποία είναι και μοναδική, στο διάστημα ( , )0 +∞ , αφού η f είναι γνησίως αύξουσα. Επειδή f(1) = 0, λόγω της μονοτονίας της f, έχουμε f(x) 0, για x ∈( , )0 1 και f(x) 0, για x ∈ +∞( , ).1 ii) Είναι ′ = + + − = + − =ϕ ( ) ln (ln ) ( ),x x x x x f x2 2 2 4 2 1 2 x ∈ +∞( , ).0 Το πρόσημο της φ′ (όπως προκύπτει από i)), η μονοτονία και τα ακρότατα της φ φαίνονται στον παρακάτω πίνακα. x 0 1 +∞ φ′(x) – 0 + φ(x) 0 min 22-0182-02.indb 223 26/11/2013 4:15:37 μμ
  • 225.
    224 2.7 Άρα, η φπαρουσιάζει ελάχιστο για x = 1, το φ(1) = 0. iii) Για να βρούμε τα κοινά σημεία των Cf και Cg λύνουμε την εξίσωση g(x) = h(x). Έχουμε g x h x x x x x( ) ( ) ln= ⇔ = − + − 1 2 2 3 2 2 ⇔ + − + =2 4 3 02 x x x xln ⇔ =ϕ( ) .x 0 Η τελευταία όπως προκύπτει από το ii) έχει μοναδική ρίζα το x = 1. Άρα οι Cf , Cg έχουν ένα μόνο κοινό σημείο το Α(1,0). Επειδή g′(x) = lnx + l και h′(x) = – x + 2, είναι g′(l) = l και h′(1) = 1. Άρα οι Cf , Cg έχουν κοινή εφαπτομένη στο κοινό τους σημείο Α. 3. i) α) Αρκεί να δείξουμε ότι e x – x – l 0, για κάθε x. Θεωρούμε τη συνάρτηση f(x) = e x – x – l, x ∈ R. Είναι f′(x) = e x – 1, οπότε ′ = ⇔ = ⇔ =f x e xx ( ) .0 1 0 Η μονοτονία και τα ακρότατα της f φαίνονται στον πίνακα. x −∞ 0 +∞ f′(x) – 0 + f(x) 0 min Στο διάστημα [ , )0 +∞ η f είναι γνησίως αύξουσα. Άρα, για x 0 ισχύει f(x) f(0), οπότε e x – x – l 0. β) Αρκεί να δείξουμε ότι e x xx − − − 1 2 1 02 . Θεωρούμε τη συνάρτηση g x e x xx ( ) ,= − − − 1 2 12 x ∈ R, η οποία είναι συνεχής στο [ , )0 +∞ και παραγωγίσιμη στο ( , )0 +∞ με g′(x) = e x – x – l 0, για x ∈ +∞( , )0 ((α) ερώτημα). Άρα η g είναι γνησίως αύξουσα στο [ , )0 +∞ και επομένως για x 0 ισχύει 22-0182-02-b.indd 224 5/3/2014 10:09:27 πµ
  • 226.
    225 2.7 g(x) g(0)οπότε e x xx − − − 1 2 1 02 . ii) α) Αρκεί να δείξουμε ότι συνx x+ − 1 2 1 02 . Θεωρούμε τη συνάρτηση f x x x( ) ,= + −συν 1 2 12 x ∈ R η οποία είναι παραγωγίσιμη στο R με f′(x) = – ημx + x. Επειδή για x ≠ 0 είναι ηµx x , έχουμε − x x xηµ , οπότε για x 0 ισχύει ημx x και άρα – ημx + x 0. Επομένως, f′(x) 0 για κάθε x 0, οπότε η f είναι γνησίως αύξουσα στο [ , )0 +∞ . Επομένως, για x 0 ισχύει f(x) f(0) = 0. Άρα συνx x+ − 1 2 1 02 για κάθε x 0. β) Αρκεί να δείξουμε ότι ηµx x x+ − 1 6 03 . Θεωρούμε τη συνάρτηση g x x x x( ) ,= + −ηµ 1 6 3 x ∈ R. Έχουμε ′ = + − =g x x x f x( ) ( )συν 1 2 12 (ερώτημα α). Όμως f(x) 0 για κάθε x 0, οπότε g′(x) 0 για κάθε x 0. Επομένως η g είναι γνησίως αύξουσα, στο [ , )0 +∞ , οπότε για x 0 ισχύει g(x) g(0) ή, ισοδύναμα, ηµx x x+ − 1 6 03 . iii) α) Αρκεί να δείξουμε ( ) .1 1 0+ − − x xν ν Θεωρούμε τη συνάρτηση, f x x x( ) ( ) ,= + − −1 1ν ν x ≥ 0. Έχουμε ′ = + − = + − − − f x x x( ) ( ) [( ) ] ,ν ν νν ν 1 1 1 01 1 αφού 1 + x 1, για x 0. 22-0182-02.indb 225 26/11/2013 4:15:43 μμ
  • 227.
    226 2.7 Επομένως, η fείναι γνησίως αύξουσα στο [ , )0 +∞ , αφού η f είναι και συνεχής στο 0. Άρα, για x 0 ισχύει f(x) f(0) ή, ισοδύναμα, ( ) ,1 1 0+ − − x xν ν αφού f(0) = (1+0) ν – 1 – ν∙0 = 0. β) Αρκεί να δείξουμε ότι: ( ) ( ) .1 1 1 2 02 + − − − − x x xν ν ν ν Θεωρούμε τη συνάρτηση g x x x x( ) ( ) ( ) ,= + − − − − 1 1 1 2 2ν ν ν ν x ≥ 0. Έχουμε ′ = + − − − ⋅− g x x x( ) ( ) ( ) ν ν ν νν 1 1 2 21 = + − − −− ν ν ν νν ( ) ( )1 11 x x = + − − − − ν νν [( ) ( ) ] ,1 1 1 01 x x λόγω της α). Επομένως είναι g′(x) 0, για x ∈ +∞( , )0 και επειδή η g είναι συνεχής στο 0, η g θα είναι γνησίως αύξουσα στο [ , )0 +∞ . Άρα για x 0 ισχύει g(x) g(0) ή, ισοδύναμα, ( ) ( ) .1 1 1 2 02 + − − − − x x xν ν ν ν 4. Επειδή η f παραγωγίζεται σ’όλο το R, τα ακρότατα αυτής θα αναζητηθούν μόνο μεταξύ των ριζών της f′(x) = 0. Για κάθε x ∈ R έχουμε: 6 6 6 6 1 1 02 2 2 2 ( ( )) ( ) ( ) ( )[( ( )) ] .f x f x f x x f x f x x′ + ′ = + ⇔ ′ + = + Επομένως η εξίσωση f′(x) = 0 είναι αδύνατη στο R. Άρα η f δεν έχει ακρότατα. 5. Έστω α, β οι τετμημένες των κοινών σημείων των Cf και Cg . Θεωρούμε τη συνάρτηση h(x) = f(x) – g(x) με x ∈[ , ],α β η οποία παριστάνει την κατακόρυφη απόσταση των Cf και Cg . Το σημείο ξ είναι εσωτερικό σημείο του [α,β]. Σ’αυτό η h παραγωγίζεται και έχει μέγιστο. Επομένως, σύμφωνα με το θεώρημα του Fermat θα είναι: 22-0182-02.indb 226 26/11/2013 4:15:46 μμ
  • 228.
    227 2.7 ′ = ⇔′ − ′ = ⇔ ′ = ′h f g f g( ) ( ) ( ) ( ) ( ).ξ ξ ξ ξ ξ0 0 Άρα στα σημεία Α(ξ, f(ξ)), Β(ξ, g(ξ)) οι εφαπτομένες των Cf και Cg αντιστοίχως είναι παράλληλες. 6. Η συνάρτηση f είναι παραγωγίσιμη στο R με ′ = − − − + − ⋅ − − + − −f x x x x x x x x x( ) ( )( ) ( ) ( ) ( )( ) ( ) ( )2 2 22 2 2 2 2 2 α β γ α β γ α β (( ).x −γ Προφανώς ′ = ′ = ′ =f f f( ) ( ) ( ) .α β γ 0 (1) Η συνάρτηση f ικανοποιεί τις υποθέσεις του θεωρήματος Rolle στα διαστήματα [α,β] και [β,γ], αφού ● είναι συνεχής σ’ αυτά ως πολυωνυμική, ● παραγωγίσιμη στα (α,β) και (β,γ) και ● f f f( ) ( ) ( ) .α β γ= = = 0 Επομένως, υπάρχουν ξ α β1 ∈( , ) και ξ β γ2 ∈( , ) τέτοια, ώστε ′ =f ( )ξ1 0 και ′ =f ( ) .ξ2 0 Από (1) και (2) προκύπτει ότι η f′ έχει πέντε τουλάχιστον ρίζες τις α ξ1 β ξ2 γ. Επειδή η συνάρτηση f είναι πολυωνυμική έκτου βαθμού, η παράγωγός της είναι πέμπτου βαθμού. Άρα η εξίσωση f′(x) = 0 δεν έχει άλλες, εκτός από τις α, ξ1 , β, ξ2 , γ ρίζες στο R. Το πρόσημο της f′, η μονοτονία και τα ακρότατα της f φαίνονται στον πίνακα. x −∞ α ξ1 β ξ2 γ +∞ f′(x) – 0 + 0 – 0 + 0 – 0 + f(x) Τ.Ε. Τ.Μ. Τ.Ε. Τ.Μ. Τ.Ε. Άρα η f έχει τρία τοπικά ελάχιστα τα f(α), f(β) και f(γ) και δύο τοπικά μέγιστα τα f(ξ1 ) και f(ξ2 ). 7. i) Έχουμε 3x + 4y = 4, οπότε y x = −4 3 4 . 22-0182-02-b.indd 227 28/11/2013 1:24:36 μμ
  • 229.
    228 2.7 Έτσι έχουμε: Ε ΕΕ( )x x y= + = +1 2 2 23 4 = + −      x x2 2 3 4 4 3 4 = + − +x x x2 2 3 4 16 24 9 16 = +( ) − +    1 16 9 4 3 24 162 x x . ii) Για κάθε x ∈      0 4 3 , ισχύει ′ = +( ) −    Ε ( ) ,x x 1 16 2 9 4 3 24 οπότε ′ = ⇔ = + = −( ) − = −( ) =Ε ( ) .x x x0 12 9 4 3 12 9 4 3 81 48 4 9 4 3 11 1 Το πρόσημο της Ε′, η μονοτονία και τα ακρότατα της Ε φαίνονται στον παρακάτω πίνακα. x 0 x1 Ε′(x) – 0 + Ε(x) Ε(x1 ) Δηλαδή, το εμβαδόν του σχήματος γίνεται ελάχιστο όταν η πλευρά του ισοπλεύρου τριγώνου είναι x = −( )≅ 4 11 9 4 3 0 75, m. 8. i) Έστω Μ(x, f(x)) το ζητούμενο σημείο της Cf . Έχουμε ( ) ( ( )) .ΜΑ 2 2 2 2 9 2 9 2 = −       + = −       +x f x x x Η απόσταση ΜΑ γίνεται ελάχιστη, όταν γίνει ελάχιστο το τετράγωνό της, δηλαδή όταν πάρει την ελάχιστη τιμή της η συνάρτηση g x x x( ) ,= −       + 9 2 2 x ∈ +∞[ , ).0 4 3 22-0182-02.indb 228 26/11/2013 4:15:51 μμ
  • 230.
    229 2.7 Για κάθε x∈ +∞[ , )0 ισχύει ′ = −       + = −g x x x( ) ,2 9 2 1 2 8 οπότε ′ = ⇔ =g x x( ) .0 4 Το πρόσημο της g′, η μονοτονία και τα ακρότατα της g φαίνονται στον παρακάτω πίνακα. x 0 4 +∞ g′(x) – 0 + g(x) Δηλαδή η g παρουσιάζει στο x = 4 ελάχιστο το g( ) .4 17 4 = Επομένως η ποσότητα (AM) 2 και άρα η (AM) γίνεται ελάχιστη όταν x = 4.Άρα το ζητούμενο σημείο είναι το Μ(4,2). ii) Για κάθε x 0 ισχύει ′ =f x x ( ) , 1 2 οπότε ο συντελεστής διεύθυνσης της εφαπτομένης ε στο σημείο Μ(4,2) είναι λε = ′ =f ( ) .4 1 4 Ο συντελεστής διεύθυνσης της AM είναι: λΑΜ = − − = − = − 2 0 4 9 2 2 1 2 4. Επομένως, λ λε ⋅ = − = −ΑΜ 1 4 4 1( ) , που σημαίνει ότι η εφαπτομένη ε είναι κάθετη στην AM. 9. Έστω (AΒ) = 2x και (ΒΓ) = y οι διαστάσεις του ορθογωνίου ΑΒΓΔ. Τότε η περίμετρος του στίβου θα είναι ίση με 2πx + 2y και επομένως θα ισχύει 2 2 400 200π πx y y x+ = ⇔ = − . Το εμβαδόν του ορθογωνίου AΒΓΔ είναι Ε ( ) ( ) .x x y x x x x= ⋅ = − = − +2 2 200 2 4002 π π 17 4 22-0182-02.indb 229 26/11/2013 4:15:54 μμ
  • 231.
    230 2.7 Για κάθε x∈      0 200 , π είναι Ε′(x) = – 4πx + 400, οπότε ′ = ⇔ =Ε ( ) .x x0 100 π Το πρόσημο της Ε′, η μονοτονία και τα ακρότατα της Ε φαίνονται στον παρακάτω πίνακα. x 0 +∞ Ε′(x) + 0 – Ε(x) max Δηλαδή η Ε παρουσιάζει στο x = 100 π μέγιστο το Ε 100 20 000 π π       = . . Επομένως, το ορθογώνιο τμήμα του στίβου γίνεται μέγιστο, όταν οι διαστάσεις του είναι: ( )ΑΒ = ⋅ =2 100 200 π π m και ( )ΒΓ = − ⋅ =200 100 100π π m. 10. Έστω x(x 100) ο αριθμός των ατόμων που θα δηλώσουν συμμετοχή. Τότε, το ποσό που θα πληρώσει κάθε άτομο προκύπτει αν από τα 1000 ευρώ αφαιρέσουμε το ποσό της έκπτωσης, το οποίο ανέρχεται σε (x – 100) 5 ευρώ, δηλαδή κάθε άτομο θα πληρώσει: 1000 100 5 1000 5 500 1500 5− − = − + = −( )x x x ευρώ. Επομένως, τα έσοδα της εταιρείας από τη συμμετοχή των x ατόμων θα είναι: Ε ( ) ( ) .x x x x x= − = − +1500 5 5 15002 Για κάθε x 100 έχουμε ′ = − +Ε ( ) ,x x10 1500 οπότε ′ = ⇔ =Ε ( ) .x x0 150 Το πρόσημο της Ε′ φαίνεται στον παρακάτω πίνακα, από τον οποίο προσδιορίζουμε τα διαστήματα μονοτονίας της Ε και τα ακρότατα αυτής. x 100 150 +∞ Ε′(x) + 0 – Ε(x) 112.500 max 100 π 22-0182-02.indb 230 26/11/2013 4:15:56 μμ
  • 232.
    231 2.7 Δηλαδή, η Επαρουσιάζει στο x0 = 150 μέγιστη τιμή την Ε(150) = 112.500. Επομένως, πρέπει να δηλώσουν 150 άτομα συμμετοχή στην κρουαζιέρα για να έχουμε τα περισσότερα έσοδα. 11. Έχουμε r t1 0 05′ =( ) , , οπότε r t t1 0 05′ = ′( ) ( , ) και άρα r t t c1 10 05( ) , .= + Όμως r1 (0) = 3, οπότε r t t1 0 05 3( ) , .= + Ομοίως r t t2 0 04 5( ) , .= + i) Το εμβαδόν δακτυλίου θα μηδενιστεί όταν r t r t t t t t1 2 3 0 05 5 0 04 0 01 2 200( ) ( ) , , , .= ⇔ + = + ⇔ = ⇔ = Άρα, ύστερα από 200 s το εμβαδόν του δακτυλίου θα μηδενιστεί. ii) Το εμβαδόν του κυκλικού δακτυλίου, ως συνάρτηση του χρόνου t, είναι Ε ( ) ( ) ( )t r t r t= −π π2 2 1 2 = + − +π π( , ) ( , ) .5 0 04 3 0 052 2 t t Έχουμε ′ = + ⋅ − + ⋅Ε ( ) ( , ) , ( , ) ,t t t2 5 0 04 0 04 2 3 0 05 0 05π π = + − −2 0 20 0 0016 0 15 0 0025π ( , , , , )t t = −2 0 05 0 0009π ( , , ).t Είναι ′ = ⇔ ≈Ε ( ) ,t t0 55 6 s. Το πρόσημο της Ε′, η μονοτονία και τα ακρότατα της Ε φαίνονται στον πίνακα. t 0 55,6 Ε′(t) + 0 – Ε(t) max Άρα, τη χρονική στιγμή 55,6t ≈ s το εμβαδόν του κυκλικού δακτυλίου θα μεγιστοποιηθεί. 12. i) Η κάθετη διατομή ΑΒΓΔ είναι σχήματος τραπεζίου. Από το τρίγωνο ΗΒΓ έχουμε ΗΒ = 2ημθ και ΗΓ = 2συνθ. Επειδή το τραπέζιο είναι ισοσκελές, ισχύει 22-0182-02-b.indd 231 28/11/2013 1:27:08 μμ
  • 233.
    232 2.7 ΔΘ = ΓΗ= 2συνθ και ΔΓ = 2 + 2 συνθ + 2συνθ = 2 + 4 συνθ. Το εμβαδόν του τραπεζίου ΑΒΓΔ είναι E = + ⋅ = + + ⋅ ΑΒ Γ∆ ΗΒ 2 2 2 4 2 2 συν ηµ θ θ = +( )4 4συν ηµθ θ = +4 1ηµ συνθ θ( ). ii) Θεωρούμε τη συνάρτηση Ε ( ) ( ),θ θ θ= +4 1ηµ συν θ π ∈      0 2 , . Είναι ′ = + + −Ε ( ) ( ) ( )θ θ θ θ θ4 1 4συν συν ηµ ηµ = − +4 4 42 2 συν ηµ συνθ θ θ = − − +4 4 1 42 2 συν συν συνθ θ θ( ) = + −8 4 42 συν συνθ θ = + −4 2 12 ( ).συν συνθ θ Έχουμε ′ = ⇔ + − =Ε ( )θ θ θ0 2 1 02 συν συν ⇔ =συνθ 1 2 ή συνθ = −1 ⇔ =θ π 3 , επειδή θ π ∈      0 2 , . Το πρόσημο της Ε′ καθώς η μονοτονία και τα ακρότατα της Ε φαίνονται στον πίνακα. θ 0 π/3 π Ε′(θ) + 0 – Ε(θ) max Επομένως, όταν θ π = 3 το εμβαδόν γίνεται μέγιστο, που σημαίνει ότι τότε το κανάλι θα μεταφέρει τη μέγιστη ποσότητα νερού. 22-0182-02.indb 232 26/11/2013 4:16:02 μμ
  • 234.
    233 2.7 13. i) Έστωt1 ο χρόνος που χρειάζεται ο κολυμβητής για να κολυμπήσει από το Κ στο Μ και t2 ο χρόνος που χρειάζεται για να περπατήσει από το Μ στο Σ. Έχουμε t KM x 1 1 2 2 100 3 = = +( ) υ και t x 2 2 300 5 = = −( ) . ΜΣ υ Επομένως, ο συνολικός χρόνος για να διανύσει τη διαδρομή ΚΜΣ είναι Τ ( ) .x x x = + + −2 2 100 3 300 5 ii) Θεωρούμε τη συνάρτηση Τ ( ) ,x x x = + + −2 2 100 3 300 5 x ∈( , ).0 300 Είναι ′ = ⋅ + −Τ ( ) .x x x 1 3 100 1 52 2 Οι ρίζες της Τ′(x) = 0 είναι το 75. Το πρόσημο της Τ′ η μονοτονία και τα ακρότατα της Τ φαίνονται στον παρακάτω πίνακα. x 0 75 300 Τ′(x) – 0 + Τ(x) Τ(75) min Δηλαδή, η συνάρτηση Τ παρουσιάζει ελάχιστο για x = 75 ft. Άρα, όταν x = 75ft, τότε ο κολυμβητής χρειάζεται το λιγότερο δυνατό χρόνο για να φθάσει στο σπίτι του. 14. Έστω ρ1 η πυκνότητα του καπνού που εκπέμπει το εργοστάσιο Ε1 και ρ2 η πυκνότητα του καπνού που εκπέμπει το εργοστάσιο Ε2 . Έχουμε ρ1 2 ( )x k P x = και ρ2 2 8 12 ( ) ( ) ,x k P x = − k ∈R. 22-0182-02-b.indd 233 28/11/2013 1:27:36 μμ
  • 235.
    234 2.7 Η πυκνότητα τουκαπνού στη θέση Σ είναι ρ ρ ρ( ) ( ) ( )x x x= +1 2 = + − k P x k P x2 2 8 12( ) = + −      kP x x 1 8 122 2 ( ) . Η συνάρτηση ρ( ) ( ) ,x kP x x = + −       1 8 122 2 x ∈( , )0 12 είναι παραγωγίσιμη με ′ = − + − −      ρ ( ) ( ) ( ) x kP x x x x 2 16 12 124 4 = − + −      kP x x 2 16 123 3 ( ) . Έχουμε ′ = ⇔ − + − =ρ ( ) ( ) x x x 0 2 16 12 03 3 ⇔ − − =16 2 12 03 3 x x( ) ⇔ − − =( ) ( )2 12 03 3 x x ⇔ − − =2 12 0x x( ) ⇔ = ⇔ =3 12 4x x . Το πρόσημο της ρ′, η μονοτονία και τα ακρότατα της ρ φαίνονται στον παρακάτω πίνακα. x 0 4 12 ρ′(x) – 0 + ρ(x) min Δηλαδή, η πυκνότητα ρ γίνεται ελάχιστη, όταν x = 4. Άρα, ο εργολάβος για να έχει τη λιγότερη ρύπανση πρέπει να χτίσει το σπίτι του σε απόσταση 4 km από το εργοστάσιο Ε1 . 22-0182-02-b.indd 234 28/11/2013 1:28:21 μμ
  • 236.
    235 2.8 2.8 Α΄ ΟΜΑΔΑΣ 1.i) Για κάθε x ∈R ισχύει ′ = −f x x x( ) 15 204 3 και ′′ = − = −f x x x x x( ) ( ),60 60 60 13 2 2 οπότε ′′ = ⇔ =f x x( ) 0 0 (διπλή) ή x = 1. Το πρόσημο της f ″ φαίνεται στον παρακάτω πίνακα. x −∞ 0 1 +∞ f ″(x) – 0 – 0 + f(x) Σ.Κ. Δηλαδή η f είναι κοίλη στο ( , ]−∞ 0 και στο [0,1] και κυρτή στο [ , )1 +∞ . ● Το σημείο 1 είναι θέση σημείου καμπής. Επομένως το σημείο Α(1,0) είναι σημείο καμπής της Cf . ii) Για κάθε x ∈ *R ισχύει: ′ = − − = − g x x x x x x x ( ) ( )6 3 3 2 6 34 2 2 6 2 4 και ′′ = − − − = − g x x x x x x x ( ) ( ) ( ) , 6 4 6 3 6 45 3 2 8 2 5 οπότε ′′ = ⇔ = −g x x( ) 0 2 ή x = 2. Το πρόσημο της g″ φαίνεται στον παρακάτω πίνακα. x −∞ –2 0 2 +∞ g″(x) – 0 + – 0 + g(x) Σ.Κ. Σ.Κ. Δηλαδή, η g στρέφει τα κοίλα προς τα άνω στα διαστήματα [–2,0) και [ , ),2 +∞ ενώ προς τα κάτω στα διαστήματα ( , ]−∞ −2 και (0,2]. Επειδή η g″ μηδενίζεται στα σημεία –2, 2 και εκατέρωθεν αλλάζει πρόσημο τα σημεία Α − −     2 5 4 , και 22-0182-02.indb 235 26/11/2013 4:16:11 μμ
  • 237.
    236 2.8 Β 2 5 4 ,       είναισημεία καμπής της Cg . 2. i) Για κάθε x ∈R ισχύει ′ = −− − f x e xex x ( ) 1 1 και ′′ = −− f x e xx ( ) ( ),1 2 οπότε ′′ = ⇔ =f x x( ) .0 2 Το πρόσημο της f ″ φαίνεται στον παρακάτω πίνακα. x −∞ 2 +∞ f ″(x) – 0 + f(x) Δηλαδή, η f στρέφει τα κοίλα προς τα κάτω στο ( , ]−∞ 2 και προς τα άνω στο [ , )2 +∞ . Επειδή η f ″ μηδενίζεται στο σημείο 2 και εκατέρωθεν αλλάζει πρόσημο, το σημείο Α 2 2 , e      είναι σημείο καμπής της Cf . ii) Για κάθε x ∈ +∞( , )0 ισχύει: ′ = − + = −g x x x x x x( ) ( ln ) (ln )2 2 5 2 4 2 και ′′ = − + = −g x x x( ) (ln ) (ln ),4 2 4 4 1 οπότε ′′ = ⇔ = ⇔ =g x x x e( ) ln .0 1 Το πρόσημο της g″ φαίνεται στον παρακάτω πίνακα. x 0 e +∞ g″(x) – 0 + g(x) −3 2 e 2 e Σ.Κ. Σ.Κ. 22-0182-02.indb 236 26/11/2013 4:16:14 μμ
  • 238.
    237 2.8 Δηλαδή, η gστρέφει τα κοίλα προς τα κάτω στο διάστημα (0,e] και προς τα άνω στο [ , )e +∞ . Επειδή η g″ μηδενίζεται στο σημείο e και εκατέρωθεν αλλάζει πρόσημο, το σημείο A(e,–3e2 ) είναι σημείο καμπής της Cg . iii) — Για κάθε x 0 ισχύει h′(x) = – 6x. — Για κάθε x 0 ισχύει h′(x) = – 3x 2 + 6x — Στο x = 0 έχουμε: lim ( ) ( ) lim x x h x h x x x→ →− − − = − + − = 0 0 2 0 3 1 1 0 και lim ( ) ( ) lim lim( ( )) . x x x h x h x x x x x x → → →+ + + − = − + + − = − = 0 0 3 2 0 0 3 1 1 3 0 Επομένως, η h παραγωγίζεται στο x = 0 με h′(0) = 0. Άρα ′ = − − + ≥    h x x x x x x ( ) , , . 6 0 3 6 02 Για x ≠ 0 έχουμε ′′ = − − +    h x x x x ( ) , , , 6 0 6 6 0 οπότε ′′ = ⇔ =h x x( ) .0 1 Το πρόσημο της h″ φαίνεται στον παρακάτω πίνακα. x −∞ 0 1 +∞ h″(x) – + 0 – h(x) 1 Σ.Κ. 3 Σ.Κ. Δηλαδή, η h στρέφει τα κοίλα προς τα κάτω στα διαστήματα ( , ]−∞ 0 και[ , )1 +∞ και προς τα άνω στο [0,1]. Επειδή το 0 είναι εσωτερικό σημείο του πεδίου ορισμού της h και h′(0) = 0, η Ch έχει εφαπτομένη στο σημείο (0,1) και επειδή η h″ εκατέρωθεν του 0 αλλάζει πρόσημο, το σημείο Α(0,1) είναι σημείο καμπής της Ch . Επειδή η h″ μηδενίζεται στο 1 και εκατέρωθεν αυτού αλλάζει πρόσημο, το σημείο Β(1,3) είναι σημείο καμπής της Ch . 22-0182-02-b.indd 237 5/3/2014 10:10:25 πµ
  • 239.
    238 2.8 3. i) Γιακάθε x ∈R ισχύει ′ = − − f x xe x ( ) 2 2 και ′′ = − − ′ = −− − − f x e x e e xx x x ( ) ( ) ( ),2 2 2 2 1 2 2 2 2 οπότε ′′ = ⇔ =f x x( ) 0 2 2 ή x = − 2 2 . Το πρόσημο της f ″ φαίνεται στον παρακάτω πίνακα. x −∞ +∞ f ″(x) + 0 – 0 + f(x) Σ.Κ. Σ.Κ. Δηλαδή, η f στρέφει τα κοίλα προς τα άνω σε καθένα από τα διαστήματα −∞ −      , 2 2 και 2 2 , ,+∞       ενώ στρέφει τα κοίλα προς τα κάτω στο διάστημα −       2 2 2 2 , . Επειδή η f″ μηδενίζεται στα σημεία − 2 2 , 2 2 και εκατέρωθεν αυτών αλλάζει πρόσημο, τα σημεία Α −       −2 2 1 2 , ,e Β 2 2 1 2 ,e −      είναι σημεία καμπής της Cf . ii) Για κάθε x ∈ −       π π 2 2 , ισχύει ′ =g x x ( ) 1 2 συν και ′′ = − − =g x x x x x x ( ) ( ) , 2 2 4 3 συν ηµ συν ηµ συν οπότε ′′ = ⇔ = ⇔ =g x x x( ) .0 0 0ηµ Το πρόσημο της g″ φαίνεται στον παρακάτω πίνακα. x –π/2 0 π/2 g″(x) – 0 + g(x) Σ.Κ. − 2 2 2 2 22-0182-02.indb 238 26/11/2013 4:16:20 μμ
  • 240.
    239 2.8 Δηλαδή, η gστρέφει τα κοίλα προς τα κάτω στο −       π 2 0, , ενω στρέφει τα κοίλα προς τα άνω στο 0 2 , . π      Επειδή η g″ μηδενίζεται στο σημείο 0 και εκατέρωθεν αυτού αλλάζει πρόσημο, το σημείο Ο(0,0) είναι σημείο καμπής της Cg . iii) Είναι h x x x x x ( ) , , .= ≥ −     2 2 0 0 Η συνάρτηση h είναι συνεχής στο R ως γινόμενο συνεχών. Έχουμε: ′ = −    h x x x x x ( ) , , 2 0 2 0 και ′′ = −    h x x x ( ) , , . 2 0 2 0 Για x0 = 0 είναι lim ( ) ( ) lim , x x h x h x x x→ →+ + − = − = 0 0 2 0 0 0 lim ( ) ( ) lim . x x h x h x x x→ →− − − = − = 0 0 2 0 0 Άρα h′(0) = 0. Από το πρόσημο της h″ προκύπτει ότι η h είναι κυρτή στο [ , ),0 +∞ κοίλη στο ( , ]−∞ 0 και το σημείο Ο(0,0) είναι σημείο καμπής. iv) Η συνάρτηση φ είναι συνεχής στο R ως σύνθεση συνεχών. Έχουμε ϕ( ) , , ,x x x x x = ≥ −     0 0 ′ = − −        ϕ ( ) , , x x x x x 1 2 0 1 2 0 και ′′ = − −        ϕ ( ) , , .x x x x x x x 1 4 0 1 4 0 Η παράγωγος της φ στο σημείο 0 θα αναζητηθεί με τη βοήθεια του ορισμού. 22-0182-02.indb 239 26/11/2013 4:16:23 μμ
  • 241.
    240 2.8 — Για x 0, είναι lim ( ) ( ) lim lim . x x x x x x x x→ → →+ + + − − = = = +∞ 0 0 0 0 0 1ϕ ϕ — Για x 0, είναι lim ( ) ( ) lim lim . x x x x x x x x→ → →− − − − − = − = − − = −∞ 0 0 0 0 0 1ϕ ϕ Άρα, η φ δεν παραγωγίζεται στο 0. Όμως η Cφ δέχεται εφαπτομένη στο Ο(0,φ(0)), την κατακόρυφη x = 0. Το πρόσημο της φ″, καθώς τα κοίλα και τα κυρτά της φ φαίνονται στον πίνακα. x −∞ 0 +∞ φ″(x) – – φ(x) 0 Άρα το σημείο Ο(0,0) δεν είναι σημείο καμπής της Cφ , αφού εκατέρωθεν του 0 η φ″ δεν αλλάζει πρόσημο. v) Η συνάρτηση ψ για x 0 και για x 0 είναι συνεχής ως σύνθεση συνεχών. Ισχύει lim ( ) lim , x x x x → →− − = − −( )= 0 0 0ψ lim ( ) lim x x x x → →+ + = = 0 0 0ψ και ψ(0) = 0. Άρα η ψ είναι συνεχής και στο 0. Έχουμε ′ = −        ψ ( ) , , x x x x x 1 2 0 1 2 0 και ′′ = − − −        ψ ( ) , , .x x x x x x x 1 4 0 1 4 0 Στο x0 = 0 έχουμε lim ( ) ( ) lim lim x x x x x x x x→ → →+ + + − = = = +∞ 0 0 0 0 1ψ ψ και lim ( ) ( ) lim lim . x x x x x x x x→ → →− − − − = − − = − = +∞ 0 0 0 0 1ψ ψ 22-0182-02.indb 240 26/11/2013 4:16:26 μμ
  • 242.
    241 2.8 Επομένως η ψδεν παραγωγίζεται στο 0. Επειδή η ψ είναι συνεχής στο 0, η Cψ δέχεται εφαπτομένη στο σημείο της Ο(0,0) την κατακόρυφη ευθεία x = 0. Το πρόσημο της ψ″ φαίνεται στον πίνακα. x −∞ 0 +∞ ψ″(x) + ‒ ψ(x) 0 Σ.Κ. Δηλαδή, η ψ είναι κυρτή στο ( , ]−∞ 0 και κοίλη στο [ , ).0 +∞ Επειδή εκατέρωθεν του 0 η ψ″ αλλάζει πρόσημο και η Cψ δέχεται εφαπτομένη στο σημείο Ο(0,0), το σημείο αυτό είναι σημείο καμπής της Cψ . 4. ● Η f στο [–1,1] είναι συνεχής ως παραγωγίσιμη σ’ αυτό και ισχύει ′ f x( ) 0 για κάθε x ∈( , ).1 1 Επομένως, η f είναι γνησίως αύξουσα στο [–1,1]. Ομοίως η f είναι γνησίως φθίνουσα στο [1,4], γνησίως αύξουσα στο [4,8] και γνησίως φθίνουσα στο [8,10]. ● Η f στο [–1,0] είναι συνεχής και η f′είναι γνησίως αύξουσα στο (–1,0). Επομένως η f στρέφει τα κοίλα προς τα άνω στο [–1,0]. Ομοίως η f στρέφει — τα κοίλα προς τα κάτω στο [0,2] — τα κοίλα προς τα άνω στο [2,5] — τα κοίλα προς τα κάτω στο [5,6] — τα κοίλα προς τα άνω στο [6,7] και — τα κοίλα προς τα κάτω στο [7,10]. Πιθανές θέσεις τοπικών ακροτάτων είναι τα σημεία 1, 4, 6, 8 που είναι εσωτερικά σημεία του πεδίου ορισμού της f και στα οποία μηδενίζεται η f′, καθώς και τα σημεία –1, 10 που είναι άκρα του πεδίου ορισμού της f. Οι αριθμοί 1, 8 είναι θέσεις τοπικών μεγίστων, ενώ οι αριθμοί –1, 4, 10 είναι θέσεις τοπικών ελαχίστων. Ο αριθμός 6 δεν είναι θέση τοπικού ακροτάτου αφού η f′ δεν αλλάζει πρόσημο εκατέρωθεν αυτού. 22-0182-02.indb 241 26/11/2013 4:16:27 μμ
  • 243.
    242 2.8 ● Τέλος, τασημεία 0, 2, 5, 6, 7 είναι θέσεις σημείων καμπής. 5. i) Επειδή η συνάρτηση S είναι γνησίως φθίνουσα στο [0,t2 ], το κινητό για t ∈[ , ]0 2t κινείται κατά την αρνητική φορά. Επειδή η S είναι γνησίως αύξουσα στο [ , ),t2 +∞ το κινητό για t t≥ 2 κινείται κατά τη θετική φορά. ii) Είναι γνωστό ότι η ταχύτητα του κινητού είναι υ( ) ( )t S t= ′ και ότι τις χρονικές στιγμές h′ η C παρουσιάζει καμπή. Από το σχήμα προκύπτει ότι: — Στο διάστημα [0,t1 ] η S στρέφει τα κοίλα κάτω και άρα η ′ =S t t( ) ( )υ είναι γνησίως φθίνουσα σ’ αυτό. Δηλαδή η ταχύτητα στο [0,t1 ] μειώνεται. — Στο διάστημα [t1 ,t3 ] η S στρέφει τα κοίλα πάνω και άρα η ′ =S t t( ) ( )υ είναι γνησίως αύξουσα σ’ αυτό. Δηλαδή η ταχύτητα στο [t1 ,t3 ] αυξάνεται. — Ομοίως προκύπτει ότι η ταχύτητα στο [ , )t3 +∞ μειώνεται. t 0 t1 t3 +∞ υ(t) Δηλαδή, η ταχύτητα του κινητού αυξάνεται στο διάστημα [t1 ,t3 ] και στα διαστήματα [0,t1 ] και [ , )t3 +∞ μειώνεται. 2.8 Β΄ ΟΜΑΔΑΣ 1. Για κάθε x ∈R ισχύει: ′ = + − + = − + f x x x x x x ( ) ( ) ( ) 2 2 2 2 2 2 2 1 2 1 1 1 και ′ = − + − + ⋅ − + = − + f x x x x x x x x x x ( ) ( ) ( ) ( ) ( ) ( ) ( ) , 2 1 2 1 2 1 1 2 3 1 2 2 2 2 2 4 2 2 3 οπότε ′′ = ⇔ =f x x( ) 0 0 ή x = − 3 ή x = 3. Το πρόσημο της f ″ φαίνεται στον παρακάτω πίνακα. 22-0182-02.indb 242 26/11/2013 4:16:30 μμ
  • 244.
    243 2.8 x −∞ −3 0 3 +∞ f ″(x) – 0 + 0 – 0 + f(x) − 3 4 Σ.Κ. 0 Σ.Κ. 3 4 Σ.Κ. Επειδή η f ″ μηδενίζεται στα − 3, 0 και 3 και εκατέρωθεν αυτών αλλάζει πρόσημο, τα σημεία Α − −      3 3 4 , , Β(0,0) και Γ 3 3 4 ,       είναι σημεία καμπής της Cf . Επειδή τα σημεία Α και Γ έχουν αντίθετες συντεταγμένες θα είναι συμμετρικά ως προς την αρχή των αξόνων που είναι το σημείο Β. 2. Για κάθε x ∈R ισχύει: ′ = −− f x e xx ( ) 2 2α και ′′ = − = −− − f x e ex x ( ) ( ),2 2 2 1α α οπότε ′′ = ⇔ = ⇔ =− f x e xx ( ) .0 1α α Το πρόσημο της f ″ φαίνεται στον παρακάτω πίνακα. x −∞ α +∞ f ″(x) – 0 + f(x) 2 – α 2 Σ.Κ. Επειδή η f ″ μηδενίζεται στο σημείο α και εκατέρωθεν αυτού αλλάζει πρόσημο, το σημείο Α( , ),α α2 2 − α ∈ R είναι σημείο καμπής της Cf . Το σημείο αυτό βρίσκεται στην παραβολή y x= − +2 2, αφού 2 22 2 − = − +α α . 3. Για κάθε x ∈R ισχύει: ′ = − + +f x x x x( ) 4 6 12 23 2 α και ′′ = − + = − +f x x x x x( ) ( ).12 12 12 12 12 2 α α Παρατηρούμε ότι η f ″ είναι δευτεροβάθμιο τριώνυμο με Δ = α 2 – 4 0 , αφού α ∈ −( , ).2 2 Επομένως, f ″(x) 0 για κάθε x ∈R. 22-0182-02.indb 243 26/11/2013 4:16:34 μμ
  • 245.
    244 2.8 Άρα η fστρέφει τα κοίλα προς τα άνω σ’ όλο το R. 4. i) Για κάθε x ∈R ισχύει ′ = − = −f x x x x x( ) ( ),3 6 3 22 οπότε ′ = ⇔ =f x x( ) 0 0 ή x = 2 και ′′ = − = −f x x x( ) ( ),6 6 6 1 οπότε ′′ = ⇔ =f x x( ) .0 1 Το πρόσημο των f′ και f ″, τα τοπικά ακρότατα και τα σημεία καμπής φαίνονται στον παρακάτω πίνακα. x −∞ 0 1 2 +∞ f′(x) + 0 – – 0 + f ″(x) – – 0 + + f(x) 2 T.M. 0 Σ.Κ. –2 T.E. Δηλαδή, η f παρουσιάζει: ● στο σημείο 0 τοπικό μέγιστο το f(0) = 2 και ● στο σημείο 2 τοπικό ελάχιστο το f(2) = – 2. Επειδή η f ″ μηδενίζεται στο 1 και εκατέρωθεν αυτού αλλάζει πρόσημο το σημείο Γ(1,0) είναι σημείο καμπής της Cf . ii) Για να δείξουμε ότι τα σημεία Α, Β, Γ είναι συνευθειακά, αρκεί να δείξουμε ότι λΑΒ = λΑΓ . Έχουμε: λΑΒ = − − − = − 2 2 2 0 2 και λΑΓ = − − = − 0 2 1 0 2. Άρα λΑΒ = λΑΓ . 5. Είναι: 2 2 2 0f x f x f x x( ) ( ) ( )′ − ′ + = 22-0182-02.indb 244 26/11/2013 4:16:36 μμ
  • 246.
    245 2.9 οπότε έχουμε διαδοχικά fx f x f x x( ) ( ) ( )′ − ′ + = 0 ′ ′ + ′′ − ′′ + =f x f x f x f x f x( ) ( ) ( ) ( ) ( ) 1 0 ( ( )) ( )( ( ) ) .′ + ′′ − + =f x f x f x2 1 1 0 Έστω ότι το σημείο x0 είναι θέση σημείου καμπής. Τότε ισχύει f ″(x0 ) = 0, οπότε ( ( )) ( )( ( ) )′ + ′′ − + =f x f x f x0 2 0 0 1 1 0 ή ισοδύναμα ( ( ))′ + =f x0 2 1 0 που είναι άτοπο. Άρα η f δεν έχει σημεία καμπής. 2.9 Α΄ ΟΜΑΔΑΣ 1. i) Είναι lim ( ) lim x x f x x→ →− − = − = −∞ 2 2 1 2 και lim ( ) lim , x x f x x→ →+ + = − = +∞ 2 2 1 2 οπότε η ευθεία x = 2 είναι κατακόρυφη ασύμπτωτη της Cf . ii) Είναι: lim ( ) lim x x f x x →− →− + + = π π εϕ 2 2 = ⋅       = −∞ →− + lim , x x xπ ηµ συν 2 1 αφού lim x x→− + = +∞ π συν 2 1 και lim . x x →− + = − π ηµ 2 1 Άρα η x = − π 2 είναι κατακόρυφη ασύμπτωτη της Cf . Ομοίως lim ( ) lim lim x x x f x x x x→ → → − − − = = ⋅       = +∞ π π π 2 2 2 1 εϕ ηµ συν , αφού lim x x→ − = +∞ π 2 1 συν και lim . x x → − = π 2 1ηµ 22-0182-02.indb 245 26/11/2013 4:16:40 μμ
  • 247.
    246 2.9 Άρα η x= π 2 είναι κατακόρυφη ασύμπτωτη της Cf . iii) Είναι: lim ( ) lim lim ( )( ) lim( x x x x f x x x x x x x x → → → → = − + − = − − − = − 1 1 2 1 1 3 2 1 1 2 1 2)) .= −1 Επομένως, η ευθεία x = l δεν είναι κατακόρυφη ασύμπτωτη της Cf . iv) Είναι lim ( ) lim x x f x x → →− − = = 0 0 0 και lim ( ) lim . x x f x x→ →+ + = = +∞ 0 0 1 Επομένως, η ευθεία x = 0 είναι κατακόρυφη ασύμπτωτη της Cf . 2. i) Έχουμε: ● lim ( ) lim lim , x x x f x x x x x x→+∞ →+∞ →+∞ = + + + = = 2 2 2 2 1 1 1 οπότε η ευθεία y = 1 είναι οριζόντια ασύμπτωτη της Cf στο +∞. ● lim ( ) lim , x x f x x x x→−∞ →−∞ = + + + = 2 2 1 1 1 οπότε η ευθεία y = 1 είναι οριζόντια ασύ- μπτωτη της Cf και στο −∞. ii) Έχουμε: ● lim ( ) lim lim lim x x x x f x x x x x x x →+∞ →+∞ →+∞ →+∞ = + −( )= + + = + + 2 2 2 1 1 1 1 1 1 11       = ⋅ + +                     = →+∞ lim , x x x 1 1 1 1 1 0 2 οπότε η ευθεία y = 0 είναι οριζόντια ασύμπτωτη της Cf στο +∞. ● lim ( ) lim lim x x x f x x x x x x→−∞ →−∞ →−∞ = +       −         = − + +2 2 2 1 1 1 1 11               = +∞, οπότε η Cf δεν έχει οριζόντια ασύμπτωτη στο −∞. 22-0182-02.indb 246 26/11/2013 4:16:44 μμ
  • 248.
    247 2.9 3. i) Ησυνάρτηση f έχει πεδίο ορισμού το ( , ) ( , ).−∞ ∪ +∞1 1 Πλάγιες - οριζόντιες ασύμπτωτες ● Η ασύμπτωτη της Cf στο −∞ είναι της μορφής y = λx + β, όπου λ = = − − − = = →−∞ →−∞ →−∞ lim ( ) lim lim x x x f x x x x x x x x 2 2 2 2 2 1 και β λ= − = − − − −       = − − = →−∞ →−∞ →−∞ lim ( ( ) ) lim lim x x x f x x x x x x x 2 2 1 2 1 0.. Δηλαδή, είναι η ευθεία y = x. Ομοίως βρίσκουμε ότι η ευθεία y = x είναι ασύμπτωτη της Cf και στο +∞. Κατακόρυφες ασύμπτωτες Είναι: lim ( ) lim x x f x x x x→ →− − = − − − = +∞ 1 1 2 2 1 και lim ( ) lim , x x f x x x x→ →+ + = − − − = −∞ 1 1 2 2 1 οπότε η ευθεία x = 1 είναι κατακόρυφη ασύμπτωτη της Cf . ii) H f έχει πεδίο ορισμού το ( , ) ( , ).−∞ ∪ +∞2 2 ● Πλάγιες - οριζόντιες ασύμπτωτες Η ασύμπτωτη της Cf στο −∞ είναι της μορφής y = λx + β, όπου λ = = − − = →−∞ →−∞ lim ( ) lim x x f x x x x x 2 2 3 2 1 και β λ= − = − − −       = − − = →−∞ →−∞ →−∞ lim ( ( ) ) lim lim x x x f x x x x x x x 2 3 2 2 3 2 2.. Δηλαδή, είναι η ευθεία y = x + 2. Ομοίως, η ευθεία y = x + 2 είναι πλάγια ασύμπτωτη της Cf και στο +∞. ● Κατακόρυφες ασύμπτωτες Είναι 22-0182-02.indb 247 26/11/2013 4:16:47 μμ
  • 249.
    248 2.9 lim ( )lim x x f x x x→ →− − = − − = −∞ 2 2 2 3 2 και lim ( ) lim , x x f x x x→ →+ + = − − = +∞ 2 2 2 3 2 οπότε η ευθεία x = 2 είναι κατακόρυφη ασύμπτωτη της Cf . iii) Η f έχει πεδίο ορισμού Α = −∞ − ∪ +∞( , ) [ , ).1 0 ● Πλάγιες - οριζόντιες ασύμπτωτες — Η ασύμπτωτη της Cf στο −∞ είναι της μορφής y = λx + β, όπου λ = = + = ⋅ + = − →−∞ →−∞ →−∞ lim ( ) lim lim x x x f x x x x x x x x 2 1 1 1 και β λ= − = + +( )= + − + − = →−∞ →−∞ →−∞ lim ( ( ) ) lim lim x x x f x x x x x x x x x x x 2 2 2 2 = − ⋅ + +       = − + + = − →−∞ →−∞ lim lim . x x x x x x 1 1 1 1 1 1 1 1 2 Δηλαδή είναι η ευθεία y x= − − 1 2 . Ομοίως βρίσκουμε ότι η ευθεία y x= + 1 2 είναι ασύμπτωτη της Cf στο +∞. ● Κατακόρυφες ασύμπτωτες Η Cf δεν έχει κατακόρυφη ασύμπτωτη, αφού στο –1 και στο 0 είναι συνεχής. 4. i) Επειδή lim( ) , x x → = 0 0ηµ limln( ) x x → + = 0 1 0 και lim ( ) (ln( )) lim lim( ) , x x x x x x x x x → → → ′ + ′ = + = + = 0 0 01 1 1 1 1 ηµ συν συν έχουμε lim ln( ) . x x x→ + = 0 1 1 ηµ 22-0182-02.indb 248 26/11/2013 4:16:51 μμ
  • 250.
    249 2.9 ii) Επειδή lim() , x x → − = 0 2 1 0συν lim x x → = 0 4 0 και lim ( ) ( ) lim lim . x x x x x x x x x x→ → → − ′ ′ = ⋅ = = 0 2 4 0 2 3 0 2 2 1 2 4 1 2 1 2 συν ηµ ηµ έχουμε: lim . x x x→ − = 0 2 4 1 1 2 συν iii) Επειδή lim( ) , x x x → − = 0 0ηµ lim( ) x x → − = 0 1 0συν και lim ( ) ( ) lim lim ( ) (x x x x x x x x x → → → − ′ − ′ = − = − ′ 0 0 01 1 1ηµ συν συν ηµ συν ηµxx x xx′ = = →) lim 0 0 ηµ συν έχουμε: lim . x x x x→ − − = 0 1 0 ηµ συν 2.9 Β΄ ΟΜΑΔΑΣ 1. i) Αρκεί να δείξουμε ότι lim ( ( ) ) . x f x x →−∞ + + =1 0 Πράγματι έχουμε lim ( ( ) ) lim x x f x x x x x →−∞ →−∞ + + = + + + +( )1 2 2 12 = + + − + + + − + = − + + − − →−∞ →−∞ lim ( ) ( ) lim x x x x x x x x x x x x 2 2 2 2 2 2 1 2 2 1 1 1 2 2 1 = − ⋅ + + + + = ⋅ = →−∞ →−∞ lim lim . x xx x x x 1 1 1 2 2 1 1 0 1 2 0 2 Αρκεί να δείξουμε ότι lim ( ( ) ( )) . x f x x →+∞ − + =1 0 Πράγματι έχουμε lim ( ( ) ( )) lim ( ) x x f x x x x x →+∞ →+∞ − + = + + − +( )1 2 2 12 22-0182-02.indb 249 26/11/2013 4:16:55 μμ
  • 251.
    250 2.9 = + + −+ + + + + = + + + + →+∞ →+∞ lim ( ) ( ) lim x x x x x x x x x x x x 2 2 2 2 2 2 1 2 2 1 1 1 2 2 1 1      = ⋅ + + + + = ⋅ = →+∞ →+∞ lim lim . x xx x x x 1 1 1 2 2 1 1 0 1 2 0 2 ii) Έχουμε x x x x x2 2 2 2 2 2 1 1+ + + + = +( ) . Επομένως: — Κοντά στο −∞ είναι f x x x x x x( ) ( )= + + + = + = − −2 2 2 2 1 1 1 (αφού x – 1) που σημαίνει ότι η Cf βρίσκεται πάνω από την ασύμπτωτη y = – x – 1 — Κοντά στο +∞ είναι f x x x x x x( ) ( )= + + + = + = +2 2 2 2 1 1 1 (αφού x – 1) που σημαίνει ότι η Cf βρίσκεται πάνω από την ασύμπτωτη y = x + 1. 2. i) Η συνάρτηση f έχει πεδίο ορισμού το R. ● Πλάγιες - οριζόντιες ασύμπτωτες — Επειδή λ = = ⋅ = = ⋅      →−∞ →−∞ →−∞ →−∞ lim ( ) lim lim lim x x x x x x x f x x x x x x 2 2 2 1 2 == −∞ αφού lim lim x x x x →−∞ →−∞ =       = +∞ 1 2 1 2 και lim , x x →−∞ = −∞ η Cf δεν έχει πλάγια ασύμπτωτη στο −∞. — Η ασύμπτωτη της Cf στο +∞ είναι της μορφής y = λx + β, όπου λ = = ⋅ = = ′ ′ = →+∞ →+∞ →+∞ →+∞ lim ( ) lim lim lim ( ) ( )x x x x x x x f x x x x x x2 2 2 2 1 22 2 0x ln = και 22-0182-02.indb 250 26/11/2013 4:16:59 μμ
  • 252.
    251 2.9 β λ= −= −       = = →+∞ →+∞ →+∞ lim ( ( ) ) lim lim ( ) ( ) lim x x x x x f x x x x2 2 2 0 2 xx x x x x x x x →+∞ →+∞ →+∞ = ′ ′ = = 2 2 2 2 2 2 2 2 2 02 ln lim ( ) ( ln ) lim ln . Δηλαδή, είναι η ευθεία y = 0. ii) Η συνάρτηση f έχει πεδίο ορισμού το ( , ).0 +∞ ● Πλάγιες - οριζόντιες ασύμπτωτες Η ασύμπτωτη της Cf στο +∞ είναι της μορφής y = λx + β, όπου λ = = = ′ ′ = →+∞ →+∞ →+∞ →+∞ lim ( ) lim ln lim (ln ) ( ) lim x x x x f x x x x x x x x2 2 1 2 == = →+∞ lim x x 1 2 02 και β λ= − =       = ′ ′ = →+∞ →+∞ →+∞ lim ( ( ) ) lim ln lim (ln ) ( ) lim x x x f x x x x x x xx x→+∞ = 1 0. Δηλαδή, είναι η ευθεία y = 0 . ● Κατακόρυφες ασύμπτωτες Επειδή lim ln lim ln . x x x x x x → →+ + = ⋅       = −∞ 0 0 1 Η ευθεία x = 0 είναι κατακόρυφη ασύμπτωτη της Cf . 3. Αρχικά θα πρέπει η f να είναι συνεχής στο x0 = 0, δηλαδή θα πρέπει να ισχύει: lim ( ) lim ( ) ( ). x x f x f x f → →− + = = 0 0 0 Έχουμε lim ( ) lim( ) , x x f x x → →− − = + = 0 0 ηµ α α lim ( ) lim x x x f x e → →+ + = = 0 0 1β και f(0) = α. Επομένως πρέπει να είναι α = 1, δηλαδή η συνάρτηση f θα είναι της μορφής f x x x e xx ( ) , , = + ≤    ηµ 1 0 0β (1) 22-0182-02.indb 251 26/11/2013 4:17:02 μμ
  • 253.
    252 2.9 Για α ≠1 η συνάρτηση δεν είναι συνεχής, άρα δεν είναι παραγωγίσιμη στο x0 = 0. Εξετάζουμε τώρα, για ποιες τιμές του β η συνάρτηση (1) είναι παραγωγίσιμη στο x0 = 0. — Για x 0 έχουμε f x f x x x x x ( ) ( ) , − − = + − = 0 0 1 1ηµ ηµ οπότε lim ( ) ( ) lim . x x f x f x x x→ →− − − − = = 0 0 0 0 1 ηµ — Για x 0 έχουμε f x f x e x x ( ) ( ) , − − = −0 0 1β οπότε lim ( ) ( ) lim lim ( ) ( ) lim x x x x x x f x f x e x e x→ → →+ + + − − = − = − ′ ′ = 0 0 0 0 0 1 1β β →→ + = 0 1 β β β e x . Επομένως, η f παραγωγίζεται στο x0 = 0, αν και μόνο αν β = 1 και α = 1. 4. i) — Για 0 x ≠ 1 η f είναι συνεχής ως πηλίκο συνεχών συναρτήσεων. — Για x = 1 έχουμε lim ln lim ( ln ) ( ) lim ln x x x x x x x x x x → → →− = ′ − ′ = + − = − 1 1 11 1 1 1 1 και f(1) = – 1. Επομένως η f είναι συνεχής στο πεδίο ορισμού της. ii) Για 0 x ≠ 1 έχουμε: f x f x x x x x x x x x ( ) ( ) ln ln ( ) , − − = − + − = + − − − 1 1 1 1 1 1 1 2 οπότε lim ( ) ( ) lim ln ( ) lim ( ln ) x x x f x f x x x x x x x x → → → − − = − + − − = − + ′ 1 1 2 1 1 1 1 1 1 (( ( ) )− − ′x 1 2 = − + + − − = − −→ → lim ln ( ) lim ln ( )x x x x x x1 1 1 1 2 1 2 1 = ′ − − ′ = − = − → → lim (ln ) ( ( )) lim . x x x x x 1 12 1 1 2 1 2 22-0182-02.indb 252 26/11/2013 4:17:06 μμ
  • 254.
    253 2.9 Άρα ′ =−f ( ) .1 1 2 5. i) ● Για x ≠ 1 η f είναι συνεχής ως σύνθεση και πηλίκο συνεχών. Για x0 = 1 έχουμε lim ( ) lim ln( ) x x f x x x x→ → = − + −1 1 2 2 2 1 = − − + = − − + = → → lim lim ( ) . x x x x x x x x1 2 1 2 2 2 2 2 1 2 1 2 2 0 Επειδή f f x x ( ) lim ( ),1 0 1 = = → η f είναι συνεχής στο 1. ● Είναι lim ( ) ( ) lim ln( ) x x f x f x x x x x→ → − − = − + − − −1 1 2 1 1 2 2 1 0 1 = − + −→ lim ln( ) ( )x x x x1 2 2 2 2 1 = − − + − = − − − + = → → lim ( ) lim ( ) ( )( ) . x x x x x x x x x x1 2 1 2 2 2 2 2 2 1 2 1 2 1 2 2 1 Άρα f′(0) = 1. Επομένως η f είναι συνεχής και παραγωγίσιμη στο 1. ii) Είναι lim ( ) lim , x x g x x → →− − = = 1 1 2 1 lim ( ) lim ln x x g x x x→ →+ + = +       = + = 1 1 1 1 0 1 και g(1) = 1 2 = 1. Άρα η g είναι συνεχής στο 1. — Για x 1 έχουμε lim ( ) ( ) lim lim( ) . x x x g x g x x x x → → →− − − − − = − − = + = 1 1 2 1 1 1 1 1 1 2 — Για x 1 έχουμε 22-0182-02.indb 253 26/11/2013 4:17:09 μμ
  • 255.
    254 2.9 lim ( ) () lim ln lim ln ( )x x x g x g x x x x x x x→ → →+ + + − − = + − − = −1 1 1 1 1 1 1 1 1 = − + = − = → →+ + lim lim ( ) . x x x x x x x1 1 1 1 1 2 1 1 Επειδή lim ( ) ( ) lim ( ) ( ) , x x g x g x g x g x→ →− + − − ≠ − −1 1 1 1 1 1 η συνάρτηση g δεν είναι παραγωγίσιμη στο x0 = 1. 6. i) — Επειδή lim( ) x x e → − − = 0 1 0 και lim , x x → = 0 0 έχουμε lim lim . x x x x e x e → − → − − = = 0 0 1 1 1 — Επειδή lim , x x → = 0 0 και limln , x x → = −∞ 0 έχουμε lim( ln ) lim ln x x x x x x → →+ + = 0 0 1 = − = − = → →+ + lim lim( ) . x x x x x 0 2 0 1 1 0 ii) Έχουμε lim ( ) lim( )ln lim ( ln ) x x x x x f x e x e x x x → → − → − + + + = − = − 0 0 0 1 1 = − ⋅ = ⋅ = → − →+ + lim lim( ln ) x x x e x x x 0 0 1 1 0 0 σύμφωνα με το ερώτημα i). Επειδή f f x x ( ) lim ( ),0 0 0 = = → + η f είναι συνεχής στο 0. iii) Είναι lim ( ) ( ) lim ( )ln lim lim x x x x x x f x f x e x x e x→ → − → − →+ + + − = − − = − ⋅ 0 0 0 0 1 0 1 00+ = −∞ln .x 22-0182-02.indb 254 26/11/2013 4:17:14 μμ
  • 256.
    255 2.10 Επειδή η συνάρτησηf είναι συνεχής στο 0 και lim ( ) ( ) , x f x f x→ + − = −∞ 0 0 η Cf δέχεται εφαπτομένη στο Ο(0,0) την ευθεία με εξίσωση x = 0. 2.10 A΄ ΟΜΑΔΑΣ 1. i) ● Η f έχει πεδίο ορισμού το A = R. ● Η f είναι συνεχής ως πολυωνυμική ● Για κάθε x ∈R ισχύει ′ = − − = − −f x x x x x( ) ( ),3 6 9 3 2 32 2 οπότε ′ = ⇔ =f x x( ) 0 3 ή x = – 1. Το πρόσημο της f′ δίνεται από τον παρακάτω πίνακα, από τον οποίο προσδιορίζουμε τα διαστήματα μονοτονίας της f και τα τοπικά ακρότατα αυτής. x −∞ –1 3 +∞ f′(x) + 0 – 0 + f(x) 16 T.M. –16 T.E. Εξάλλου για κάθε x ∈R ισχύει ′′ = −f x x( ) ,6 6 οπότε ′′ = ⇔ =f x x( ) .0 1 Το πρόσημο της f ″ φαίνεται στον παρακάτω πίνακα από τον οποίο προσδιορίζουμε τα διαστήματα στα οποία η Cf στρέφει τα κοίλα προς τα άνω ή προς τα κάτω και τα σημεία καμπής. x −∞ 1 +∞ f″(x) – 0 + f(x) 0 Σ.Κ. ● Είναι lim ( ) lim ( ) lim , x x x f x x x x x →+∞ →+∞ →+∞ = − − + = = +∞3 2 3 3 9 11 lim ( ) lim ( ) lim . x x x f x x x x x →−∞ →−∞ →−∞ = − − + = = −∞3 2 3 3 9 11 Η Cf δεν έχει ασύμπτωτες στο +∞ και −∞, αφού η f είναι πολυωνυμική τρίτου βαθμού. Σχηματίζουμε τον πίνακα μεταβολών της f και χαράσσουμε τη γραφική της παράσταση. 22-0182-02.indb 255 26/11/2013 4:17:17 μμ
  • 257.
    256 2.10 x −∞ –11 3 +∞ f′(x) + 0 – – 0 + f ″(x) – – 0 + + f(x) 16 T.M. 0 Σ.Κ. –16 T.E. +∞ ii) ● Η f ορίζεται στο Α = −∞ ∪ +∞( , ) ( , )1 1 ● Η f είναι συνεχής στο Α, ως ρητή. ● Για κάθε x ∈ Α ισχύει ′ = − − f x x ( ) ( ) , 2 1 2 οπότε ′ ≠f x( ) 0 για κάθε x ∈ Α. Το πρόσημο της f ′φαίνεται στον παρακάτω πίνακα, από τον οποίο προσ- διορίζουμε τα διαστήματα μονοτονίας της f . x −∞ 1 +∞ f′(x) – – f(x) Για κάθε x ∈ Α ισχύει ′′ = − − − − = − f x x x x ( ) ( ) ( ) ( ) .2 2 1 1 4 14 3 Το πρόσημο της f ″ φαίνεται στον παρακάτω πίνακα, από τον οποίο προσ- διορίζουμε τα διαστήματα στα οποία η f στρέφει τα κοίλα προς τα άνω ή προς τα κάτω και τα σημεία καμπής. x −∞ 1 +∞ f″(x) – + f(x) −∞ 22-0182-02.indb 256 26/11/2013 4:17:19 μμ
  • 258.
    257 2.10 ● Είναι lim( ) lim , x x f x x x→−∞ →−∞ = + − = 1 1 1 οπότε η ευθεία y = 1 είναι οριζόντια ασύμπτωτη της Cf στο −∞. Ομοίως lim ( ) , x f x →+∞ =1 οπότε η y = 1 είναι οριζόντια ασύμπτωτη και στο +∞. Επίσης lim ( ) lim , x x f x x x→ →− − = + − = −∞ 1 1 1 1 lim ( ) , x f x → + = +∞ 1 οπότε η ευθεία x = 1 είναι κατακόρυφη ασύμπτωτη της Cf . ● Σχηματίζουμε τον πίνακα μεταβολών της f και χαράσσουμε τη γραφική της παράσταση. x −∞ 1 +∞ f′(x) – – f ″(x) – + f(x) 1 +∞ 1 iii) ● Η f ορίζεται στο Α = R. ● Η f είναι συνεχής στο R ως πολυωνυμική. ● Για κάθε x ∈R ισχύει ′ = − = −f x x x x x( ) ( ),4 4 4 13 2 οπότε ′ = ⇔ =f x x( ) 0 0 ή x = – 1 ή x = 1. Το πρόσημο της f ′ φαίνεται στον παρακάτω πίνακα, από τον οποίο προσδιορίζουμε τα διαστήματα μονοτονίας και τα τοπικά ακρότατα της f. x −∞ –1 0 1 +∞ f′(x) – 0 + 0 – 0 + f(x) –1 T.E. 0 T.Μ. –1 T.E. — Για κάθε x ∈R ισχύει ′′ = − = −f x x x( ) ( ),12 4 4 3 12 2 οπότε ′′ = ⇔ =f x x( ) 0 3 3 ή x = − 3 3 . −∞ 22-0182-02.indb 257 26/11/2013 4:17:22 μμ
  • 259.
    258 2.10 Το πρόσημο τηςf ″ φαίνεται στον παρακάτω πίνακα, από τον οποίο προσδιορίζουμε τα διαστήματα στα οποία η f στρέφει τα κοίλα προς τα άνω ή προς τα κάτω και τα σημεία καμπής. x −∞ +∞ f ″(x) + 0 – 0 + f(x) − 5 9 Σ.Κ. − 5 9 Σ.Κ. ● Είναι lim ( ) lim ( ) lim . x x x f x x x x →−∞ →−∞ →−∞ = − = = +∞4 2 4 2 lim ( ) lim . x x f x x →+∞ →+∞ = = +∞4 Η Cf δεν έχει ασύμπτωτες στο −∞, +∞, αφού είναι πολυωνυμική τετάρτου βαθμού. ● Σχηματίζουμε τον πίνακα μεταβολών της f και χαράσσουμε τη γραφική της παράσταση. x −∞ –1 0 1 +∞ f′(x) – 0 + + 0 – – 0 + f ″(x) + + 0 – – 0 + + f(x) –1 T.E. − 5 9 Σ.Κ. − 5 9 Σ.Κ. –1 T.E. Σχόλιο Επειδή για κάθε x ∈R ισχύει f x x x x x f x( ) ( ) ( ) ( ),− = − − − = − =4 2 4 2 2 2 − 3 3 3 3 +∞ +∞ − 3 3 3 3 0 T.M. 22-0182-02.indb 258 26/11/2013 4:17:25 μμ
  • 260.
    259 2.10 η f είναιάρτια, οπότε η γραφική της παράσταση είναι συμμετρική ως προς τον άξονα των y. 2. i) ● Η f ορίζεται στο A = R*. ● Η f είναι συνεχής στο R*, ως ρητή. ● Για κάθε x ∈ *R ισχύει ′ = − = − f x x x x ( ) ,1 1 1 2 2 2 οπότε ′ = ⇔ =f x x( ) 0 1 ή x = – 1. Το πρόσημο της f ′ φαίνεται στον παρακάτω πίνακα, από τον οποίο προσδιορίζουμε τα διαστήματα μονοτονίας και τα ακρότατα της f. x −∞ –1 0 1 +∞ f′(x) + 0 – – 0 + f(x) –2 T.Μ. 2 T.Ε. — Για κάθε x ∈R* ισχύει ′′ = − − =f x x x x x x ( ) ( ) , 2 2 1 23 2 4 3 οπότε f ″(x) ≠ 0 για κάθε x ∈R*. Το πρόσημο της f ″ φαίνεται στον παρακάτω πίνακα, από τον οποίο προσ- διορίζουμε τα διαστήματα στα οποία Cf στρέφει τα κοίλα προς τα άνω ή προς τα κάτω. x −∞ 0 +∞ f ″(x) – + f(x) ● Πλάγιες - οριζόντιες ασύμπτωτες Η ασύμπτωτη της Cf στο −∞ είναι της μορφής y = λx + β, όπου λ = = +       = →−∞ →−∞ lim ( ) lim x x f x x x 1 1 12 και β λ= − = + −       = = →−∞ →−∞ →−∞ lim ( ( ) ) lim lim . x x x f x x x x x x 1 1 0 Δηλαδή, είναι η ευθεία y = x. Ομοίως, αποδεικνύεται ότι η ευθεία y = x είναι ασύμπτωτη της Cf στο +∞. 22-0182-02.indb 259 26/11/2013 4:17:27 μμ
  • 261.
    260 2.10 ● Κατακόρυφες ασύμπτωτες Είναιlim ( ) lim x x f x x x→ →− − = +       = −∞ 0 0 1 και lim ( ) lim . x x f x x x→ →+ + = +       = +∞ 0 0 1 Άρα η ευθεία x = 0 είναι κατακόρυφη ασύμπτωτη της Cf . Επίσης έχουμε: lim ( ) lim lim x x x f x x x x →−∞ →−∞ →−∞ = +      = = −∞ 2 1 και lim ( ) lim lim . x x x f x x x x →+∞ →+∞ →+∞ = + = = +∞ 2 1 ● Σχηματίζουμε τον πίνακα μεταβολών της f και χαράσσουμε τη γραφική της παράσταση. x −∞ – 1 0 1 +∞ f′(x) + 0 – – 0 + f″(x) – – + + f(x) –2 T.Μ. 2 T.Ε. Σχόλιο Επειδή για κάθε x ∈R* ισχύει f x x x x x f x( ) ( ) ( ),− = − + − = − + = − 2 2 1 1 +∞ +∞ −∞ −∞ 22-0182-02-b.indd 260 28/11/2013 1:30:30 μμ
  • 262.
    261 2.10 η f είναιπεριττή, οπότε η γραφική της παράσταση είναι συμμετρική ως προς την αρχή Ο. ii) ● Η f ορίζεται στο Α = −∞ ∪ +∞( , ) ( , )1 1 ● Η f είναι συνεχής στο Α, ως ρητή. ● Για κάθε x ∈ Α ισχύει ′ = − − − − − − = − + − f x x x x x x x x x ( ) ( )( ) ( ) ( ) ( ) , 2 1 1 2 1 2 3 1 2 2 2 2 οπότε f′(x) 0 για κάθε x ∈ Α. Το πρόσημο της f ′ φαίνεται στον παρακάτω πίνακα από τον οποίο προσ- διορίζουμε τα διαστήματα μονοτονίας και τα ακρότατα της f. x −∞ 1 +∞ f′(x) + + f(x) Για κάθε x ∈ Α ισχύει: ′′ = − − − − − + − = − − f x x x x x x x x ( ) ( )( ) ( )( ) ( ) ( ) , 2 2 1 2 1 2 3 1 4 1 2 2 4 3 οπότε το πρόσημο της f ″ φαίνεται στον παρακάτω πίνακα, από τον οποίο προσδιορίζουμε τα διαστήματα στα οποία η Cf στρέφει τα κοίλα προς τα άνω ή προς τα κάτω. x −∞ 1 +∞ f″(x) + – f(x) ● Πλάγιες - οριζόντιες ασύμπτωτες Η ασύμπτωτη της Cf στο −∞ είναι της μορφής y = λx + β, όπου λ = = − − − = →−∞ →−∞ lim ( ) lim x x f x x x x x x 2 2 2 1 και β λ= − = − − − −       = − − = →−∞ →−∞ →−∞ lim ( ( ) ) lim lim x x x f x x x x x x x 2 2 1 2 1 0.. 22-0182-02.indb 261 26/11/2013 4:17:32 μμ
  • 263.
    262 2.10 Δηλαδή, είναι ηευθεία y = x. Ομοίως, η y = x είναι ασύμπτωτη της Cf στο +∞. ● Κατακόρυφες ασύμπτωτες Είναι lim ( ) lim x x f x x x x→ →− − = − − − = +∞ 1 1 2 2 1 και lim ( ) lim . x x f x x x x→ →+ + = − − − = −∞ 1 1 2 2 1 Άρα, η ευθεία x = 1 είναι κατακόρυφη ασύμπτωτη της Cf . Επίσης έχουμε: lim ( ) lim x x f x x x x→−∞ →−∞ = − − − = −∞ 2 2 1 και lim ( ) . x f x →+∞ = +∞ ● Σχηματίζουμε τον πίνακα μεταβολών της f και χαράσσουμε τη γραφική της παράσταση. x −∞ 1 +∞ f′(x) + + f ″(x) + – f(x) 3. ● Είναι Α = [ – π,π] ● Η f είναι συνεχής στο Α ως άθροισμα συνεχών συναρτήσεων. ● Για κάθε x ∈ Α ισχύει f′(x) = 1+συνx, οπότε +∞ +∞ −∞ −∞ 22-0182-02.indb 262 26/11/2013 4:17:34 μμ
  • 264.
    263 ΓΕΝΙΚΕΣ ΑΣΚΗΣΕΙΣ 2ου ΚΕΦΑΛΑΙΟΥΓ’ ΟΜΑΔΑΣ ′ = ⇔ = −f x x( ) 0 π ή x = π. Το πρόσημο της f′ φαίνεται στον παρακάτω πίνακα, από τον οποίο προσδιορίζουμε τα διαστήματα μονοτονίας της f και τα ακρότατα αυτής. x – π +π f′(x) 0 + 0 f(x) Για κάθε x ∈ Α ισχύει f ″(x) = – ημx, οπότε ′′ = ⇔ = −f x x( ) 0 π ή x = 0 ή x = π. Το πρόσημο της f ″ φαίνεται στον παρακάτω πίνακα, από τον οποίο προσδιορίζουμε τα διαστήματα στα οποία η f στρέφει τα κοίλα προς τα άνω ή προς τα κάτω και τα σημεία καμπής. x –π 0 π f″(x) 0 + 0 – 0 f(x) 0 Σ.Κ. ● Είναι f( – π) = – π και f(π) = π ● Σχηματίζουμε τον πίνακα μεταβολών της f και χαράσσουμε τη γραφική της παράσταση. x – π 0 π f′(x) 0 + + 0 f ″(x) 0 + 0 – 0 f(x) –π min ΓΕΝΙΚΕΣ ΑΣΚΗΣΕΙΣ 2ου ΚΕΦΑΛΑΙΟΥ Γ΄ ΟΜΑΔΑΣ 1. i) Για κάθε x ∈ +∞( , )0 ισχύει: ′ = −f x x ( ) 1 2 και ′ = −g x x( ) ,2 3 π max0 Σ.Κ. 22-0182-02.indb 263 26/11/2013 4:17:36 μμ
  • 265.
    264 ΓΕΝΙΚΕΣ ΑΣΚΗΣΕΙΣ 2ου ΚΕΦΑΛΑΙΟΥΓ’ ΟΜΑΔΑΣ οπότε f′(1) = –1 και g′(l) = –1. Το σημείο Α(1,1) είναι κοινό σημείο των Cf και Cg , αφού f(1) = 1 και g(l) = l. Επειδή ισχύει f′(1) = g′(l), οι εφαπτόμενες των Cf , Cg στο (1,1) ταυτίζονται. ii) Για να βρούμε τη σχετική θέση των Cf και Cg βρίσκουμε το πρόσημο της διαφοράς ϕ( ) ( ) ( ) ( ) .x g x f x x x x x x = − = − + − = −2 3 3 3 1 1 Έχουμε: φ(x) 0, για κάθε x ∈( , )0 1 και φ(x) 0 για κάθε x ∈ +∞( , ).1 Επομένως: — η Cf είναι πάνω από την Cg , όταν x ∈( , )0 1 και — η Cg είναι πάνω από την Cf , όταν x ∈ +∞( , )1 (σχήμα). 2. Θεωρούμε τη συνάρτηση ϕ( ) ( ) ( ).x f x g x= − Για κάθε x ∈ R ισχύει ′ = ′ − ′ ϕ ( ) ( ) ( ) ,x f x g x 0 οπότε η φ είναι γνησίως αύξουσα στο R. Επομένως: — Για x 0 θα είναι: ϕ ϕ( ) ( ) ( ) ( ) ( ) ( ) ( ) ( ),x f x g x f g f x g x ⇔ − − ⇔ 0 0 0 αφού f(0) = g(0) και — Για x 0 θα είναι ϕ ϕ( ) ( ) ( ) ( ) ( ) ( ) ( ) ( ),x f x g x f g f x g x ⇔ − − ⇔ 0 0 0 αφού f(0) = g(0). 22-0182-02.indb 264 26/11/2013 4:17:38 μμ
  • 266.
    265 ΓΕΝΙΚΕΣ ΑΣΚΗΣΕΙΣ 2ου ΚΕΦΑΛΑΙΟΥΓ’ ΟΜΑΔΑΣ 3. Από το ορθογώνιο τρίγωνο ΟΒΜ έχουμε: (ΒΜ) = 1∙ ημθ και (ΟΜ) = 1∙ συνθ. Είναι όμως (ΒΓ) = 2(ΒΜ) = 2ημθ και (AM) = (OA) + (ΟΜ) = 1+συνθ οπότε Ε Ε= = + = +( ) ( ) ( ).θ θ θ θ θ 1 2 2 1 1ηµ συν ηµ συν Για κάθε θ π∈( , )0 ισχύει: Ε′(θ) = συνθ(1 + συνθ) – ημ 2 θ = συν 2 θ – ημ 2 θ + συνθ = συν2θ + συνθ, οπότε ′ = ⇔ = −Ε ( )θ θ θ0 2συν συν ⇔ =συν συν( −2θ θπ ) ⇔ = −2θ π θ, αφού θ π∈( , )0 ⇔ =θ π 3 . Το πρόσημο της Ε′ φαίνεται στον παρακάτω πίνακα ( ′       Ε π 6 0 και ′       Ε π 2 0), από τον οποίο προσδιορίζουμε τα διαστήματα μονοτονίας της Ε και τα ακρότατα αυτής. θ 0 π/3 π Ε′(θ) + 0 – Ε(θ) Άρα, η μέγιστη τιμή του εμβαδού είναι 3 3 4 και παρουσιάζεται όταν θ π = 3 . 3 3 4 max 22-0182-02.indb 265 26/11/2013 4:17:41 μμ
  • 267.
    266 ΓΕΝΙΚΕΣ ΑΣΚΗΣΕΙΣ 2ου ΚΕΦΑΛΑΙΟΥΓ’ ΟΜΑΔΑΣ 4. Γνωρίζουμε ότι το μήκος τόξου θ rad είναι L r= ⋅θ ενώ το εμβαδόν κυκλικού τομέα θ rad είναι Ε = 1 2 2 r θ. Επομένως, η περίμετρος του κυκλικού τομέα είναι: 2 20 20 2 0 10r r r r r+ = ⇔ = − θ θ , και το εμβαδόν του είναι: Ε ( ) ,r r r r r r= − = − 1 2 20 2 102 2 r ∈( , ).0 10 Για κάθε r ∈( , )0 10 ισχύει E′(r) = 10 – 2r, οπότε ′ = ⇔ =Ε ( ) .r r0 5 To πρόσημο της E′(r), η μονοτονία και τα ακρότατα της Ε φαίνονται στον παρακάτω πίνακα. r 0 5 10 Ε′(r) + 0 – Ε(r) 25 max Δηλαδή η Ε παρουσιάζει στο r = 5 μέγιστο το E(r) = 25. Επομένως ο ανθόκηπος έχει τη μεγαλύτερη δυνατή επιφάνεια, όταν η ακτίνα του κύκλου είναι r = 5 m. 5. i) Από τα ορθογώνια τρίγωνα ΟΑΓ και ΟΔΒ έχουμε: συνθ = = ( ) ( ) ( ) ΟΓ ΟΑ ΟΑ 1 και ηµθ = = ( ) ( ) ( ) Ο∆ ΟΒ ΟΒ 1 οπότε ( )ΟΑ = 1 συνθ και ( ) ,ΟΒ = 1 ηµθ 0 2 θ π ii) ( ) ( ) ( )ΑΒ ΟΑ ΟΒ= + = + 1 1 ηµ συνθ θ iii) Θεωρούμε τη συνάρτηση f ( )θ θ θ = + 1 1 ηµ συν η οποία είναι ορισμένη στο 0 2 , π      και συνεχής στο διάστημα. Επιπλέον, για κάθε x ∈      0 2 , π ισχύει: 22-0182-02.indb 266 26/11/2013 4:17:44 μμ
  • 268.
    267 ΓΕΝΙΚΕΣ ΑΣΚΗΣΕΙΣ 2ου ΚΕΦΑΛΑΙΟΥΓ’ ΟΜΑΔΑΣ ′ = − + = − ⋅ f ( ) ,θ θ θ θ θ θ θ θ θ συν ηµ ηµ συν ηµ συν ηµ συν2 2 3 3 2 2 οπότε ′ = ⇔ − = ⇔ = ⇔ =f ( ) ,θ θ θ θ θ θ π 0 0 4 3 3 ηµ συν ηµ συν αφού θ π ∈      0 2 , . Το πρόσημο της f ′ φαίνεται στον παρακάτω πίνακα, από τον οποίο προσδιορίζουμε τα διαστήματα μονοτονίας της f και τα ακρότατα αυτής. θ 0 f′(θ) – 0 + f(θ) Δηλαδή, η f στο θ π = 4 παρουσιάζει ελάχιστο f π 4 2 2       = . Επομένως, το μεγαλύτερο δυνατό μήκος της σκάλας, που μπορεί, αν μεταφερθεί οριζόντια να στρίψει στη γωνία, είναι 2 2 2 8m m≅ , . 6. i) ● Η συνάρτηση f έχει πεδίο ορισμού το Α = +∞( , )0 ● Η f είναι συνεχής στο Α. ● Για κάθε x 0 ισχύει ′ = − f x x x ( ) ln , 1 2 οπότε ′ = ⇔ = ⇔ =f x x x e( ) ln .0 1 Το πρόσημο της f ′ φαίνεται στον παρακάτω πίνακα, από τον οποίο προσδιορίζουμε τα διαστήματα μονοτονίας και τα τοπικά ακρότατα της f. x 0 e +∞ f′(x) + 0 – f(x) 4 π 2 π 1 e max 2 2 min 22-0182-02.indb 267 26/11/2013 4:17:47 μμ
  • 269.
    268 ΓΕΝΙΚΕΣ ΑΣΚΗΣΕΙΣ 2ου ΚΕΦΑΛΑΙΟΥΓ’ ΟΜΑΔΑΣ ● Για κάθε x 0 ισχύει ′′ = − − − = − f x x x x x x x ( ) ( ln ) ln , 2 1 2 3 4 3 οπότε ′′ = ⇔ = ⇔ =f x x x e( ) ln ./ 0 3 2 3 2 Το πρόσημο της f ″ φαίνεται στον παρακάτω πίνακα, από τον οποίο προσδιορί- ζουμε τα διαστήματα στα οποία η Cf είναι κυρτή ή κοίλη και τα σημεία καμπής της. x 0 e 3/2 +∞ f ″(x) – 0 + f(x) ● Πλάγιες - οριζόντιες ασύμπτωτες Η ασύμπτωτη της Cf στο +∞ είναι της μορφής y = λx + β, όπου λ = = = = →+∞       →+∞ →+∞ lim ln lim lim x x x x x x x x2 0 0 2 1 2 1 2 0 και β λ= − = = = →+∞ →+∞ →+∞ lim ( ( ) ) lim ln lim . x x x f x x x x x 1 1 0 Άρα, η ευθεία y = 0 είναι οριζόντια ασύμπτωτη της Cf στο +∞. Επειδή, επιπλέον, lim ( ) lim ln lim ln , x x x f x x x x x → → → = = ⋅       = −∞+ +0 0 0 1 η ευθεία x = 0 είναι κατακόρυφη ασύμπτωτη της Cf . ● Σχηματίζουμε τον πίνακα μεταβολών της f και χαράσσουμε τη γραφική της παράσταση. x 0 e e 3/2 +∞ f′(x) + 0 – – f ″(x) – – 0 + f(x) −∞ 0 1 e T M. . 3 2 3 2 e / . .Σ Κ 3 2 3 2 e / . .Σ Κ 22-0182-02.indb 268 26/11/2013 4:17:50 μμ
  • 270.
    269 ΓΕΝΙΚΕΣ ΑΣΚΗΣΕΙΣ 2ου ΚΕΦΑΛΑΙΟΥΓ’ ΟΜΑΔΑΣ ii) Είναι α α α αα α α α+ + + ⇔ +1 1 1 1( ) ln ln( ) ⇔ + +( )ln ln( )α α α α1 1 ⇔ + + ln ln( )α α α α 1 1 ⇔ +f f( ) ( ).α α 1 Η τελευταία ανισότητα (άρα και η πρώτη) είναι αληθής, αφού e α α + 1 και η f είναι γνησίως φθίνουσα στο [ , ).e +∞ iii) Για κάθε x 0 έχουμε: 2 2 2 22 2x x x x x x= ⇔ = ⇔ =ln ln ln ln ⇔ = ⇔ = ln ln ( ) ( ). 2 2 2 x x f f x Δηλαδή η εξίσωση 2 x = x 2 έχει τόσες λύσεις στο ( , ),0 +∞ όσες είναι οι τιμές του x 0 για τις οποίες η συνάρτηση f παίρνει την τιμή f ( ) ln .2 2 2 = Επειδή 2 2 = 2 2 και 2 4 = 4 2 , η εξίσωση 2 x = x 2 έχει στο ( , )0 +∞ λύσεις τις x = 2 και x = 4. Θα αποδείξουμε τώρα ότι αυτές είναι μοναδικές. Πράγματι σύμφωνα με το ερώτημα i): — η f στο (0,e] είναι γνησίως αύξουσα. Άρα την τιμή f(2) θα την πάρει μια φορά, για x = 2. — η f στο [ , )e +∞ είναι γνησίως φθίνουσα. Άρα την τιμή f(4) θα την πάρει μόνο μια φορά. 22-0182-02.indb 269 26/11/2013 4:17:53 μμ
  • 271.
    270 ΓΕΝΙΚΕΣ ΑΣΚΗΣΕΙΣ 2ου ΚΕΦΑΛΑΙΟΥΓ’ ΟΜΑΔΑΣ Επομένως, οι λύσεις της 2 x = x 2 είναι ακριβώς δύο, οι x1 = 2 και x2 = 4. 7. i) Θεωρούμε τη συνάρτηση f x x x ( ) ,= +α β η οποία ορίζεται στο R και είναι παραγωγίσιμη σ’ αυτό. Επειδή f(0) = 2 έχουμε: f x f( ) ( )≥ 0 για κάθε x ∈ ,R που σημαίνει ότι η f στο x0 = 0 παρουσιάζει ελάχιστο, οπότε σύμφωνα με το θεώρημα του Fermat ισχύει f′(0) = 0. Είναι όμως ′ = +f x x x ( ) ln ln ,α α β β οπότε ′ = ⇔ + = ⇔ = ⇔ =f ( ) ln ln ln( ) .0 0 0 0 1α β αβ αβ ii) Για κάθε x ∈R ισχύει. Θεωρούμε, τώρα, τη συνάρτηση f x xx ( ) ,= − −α 1 η οποία ορίζεται στο R και είναι παραγωγίσιμη σ’ αυτό. Επειδή f ( ) ,0 0 1 00 = − − =α έχουμε f(x) ≥ f(0) για κάθε x ∈R. Άρα η f στο x0 = 0 παρουσιάζει ελάχιστο, οπότε σύμφωνα με το θεώρημα του Fermat, ισχύει f′(0) = 0. Είναι όμως: ′ = −f x x ( ) lnα α 1 οπότε ′ = ⇔ − = ⇔ = ⇔ =f e( ) ln ln .0 0 1 0 10 α α α α 8. i) —Για κάθε x ∈R ισχύει: f′(x) = e x και f ″(x) = e x 0 για κάθε x ∈R. Άρα η f είναι κυρτή στο R. — Για κάθε x ∈ +∞( , )0 ισχύει: ′ =g x x ( ) 1 και ′′ = − g x x ( ) . 1 02 Άρα η f είναι κοίλη στο ( , ).0 +∞ ii) Η εξίσωση της εφαπτομένης της Cf στο σημείο Α(0,1) είναι: y f x y x y x− = ′ − ⇔ − = ⇔ = +1 0 0 1 1( )( ) , 22-0182-02.indb 270 26/11/2013 4:17:56 μμ
  • 272.
    271 ΓΕΝΙΚΕΣ ΑΣΚΗΣΕΙΣ 2ου ΚΕΦΑΛΑΙΟΥΓ’ ΟΜΑΔΑΣ ενώ της Cg στο σημείο (1,0) είναι: y g x y x− = ′ − ⇔ = −0 1 1 1( )( ) . iii) α) Επειδή η f είναι κυρτή στο R η εφαπτομένη της Cf στο σημείο (0,1) βρίσκεται κάτω από την Cf .Άρα ισχύει: e xx ≥ +1 για κάθε x ∈R. Η ισότητα ισχύει μόνο όταν x = 0. β) Επειδή η g είναι κοίλη στο ( , )0 +∞ η εφαπτομένη της Cg στο σημείο Β(1,0) βρίσκεται πάνω από την Cg . Άρα, ισχύει: x x− ≥1 ln για κάθε x ∈ +∞( , ).0 Η ισότητα ισχύει όταν x = 1. iv) Για κάθε x ∈R ισχύει x x− ≤ +1 1, οπότε, λόγω του ερωτήματος iii), έχουμε ln ,x x x ex ≤ − + 1 1 x 0. Άρα ln x e x , για κάθε x 0. 9. i) H συνάρτηση f(x) = e x – λx είναι παραγωγίσιμη στο R με ′ = −f x ex ( ) .λ Είναι ′ = ⇔ − = ⇔ =f x e xx ( ) ln .0 0λ λ Το πρόσημο της f′, η μονοτονία και τα ακρότατα της f φαίνονται στον πίνακα. x −∞ lnλ +∞ f′(x) – 0 + f(x) min Επομένως, η f παρουσιάζει ελάχιστη τιμή για x = ln λ την 22-0182-02-b.indd 271 28/11/2013 1:32:31 μμ
  • 273.
    272 ΓΕΝΙΚΕΣ ΑΣΚΗΣΕΙΣ 2ου ΚΕΦΑΛΑΙΟΥΓ’ ΟΜΑΔΑΣ f e(ln ) ln ln ( ln ).ln λ λ λ λ λ λ λ λλ = − = − = −1 ii) Ισχύουν οι ισοδυναμίες R R R ⇔ ≥min ( )f x 0 ⇔ − ≥λ λ( ln )1 0 ⇔ − ≥1 0ln λ ⇔ ≤ln λ 1 ⇔ ≤λ e. Άρα, η μεγαλύτερη τιμή του λ, για την οποία ισχύει e xx ≥ λ για κάθε x ∈R, είναι η λ = e. iii) Για να εφάπτεται η ευθεία y = ex της γραφικής παράστασης της g(x) = e x , αρκεί να υπάρχει σημείο x0 τέτοιο, ώστε η εφαπτομένη της Cg στο Α(x0 ,g(x0 )) να ταυτίζεται με την y = ex. Για να ισχύει αυτό, αρκεί g x e x g x e e ex e e x x x ( ) ( ) . 0 0 0 0 0 0 0 1 = ⋅ ′ =    ⇔ = =     ⇔ = Επομένως η y = ex εφάπτεται της Cg στο σημείο Α(l,e). ε1 0 0 0 : ( ).y e e x xx x − = − (1) 10. i) Για x ≠ 0 είναι f x f x x x x x x ( ) ( ) . − − = = 0 0 1 1 2 ηµ ηµ Επειδή x x xηµ 1 ≤ έχουμε − ≤ ≤x x x xηµ 1 . Όμως lim lim . x x x x → → = −( ) = 0 0 0 22-0182-02.indb 272 26/11/2013 4:18:02 μμ
  • 274.
    273 ΓΕΝΙΚΕΣ ΑΣΚΗΣΕΙΣ 2ου ΚΕΦΑΛΑΙΟΥΓ’ ΟΜΑΔΑΣ Άρα lim . x x x→       = 0 1 0ηµ Επομένως f′(0) = 0. Αφού f(0) = 0 και f′(0) = 0, η ευθεία y = 0 είναι εφαπτόμενη της Cf στο Ο(0,0). ii) Τα κοινά σημεία της Cf και της ευθείας y = 0 προκύπτουν από τη λύση της εξίσωσης f(x) = 0. ● Για x ≠ 0 είναι f x x x x ( ) = ⇔ = ⇔ =0 1 0 1 02 ηµ ηµ ⇔ = 1 x κπ, κ ∈* ⇔ =x 1 κπ , κ ∈*. (1) ● Για x = 0 είναι f(0) = 0. Άρα, τα κοινά σημεία είναι άπειρα το Ο(0,0) και τα υπόλοιπα έχουν τετμημένες που δίνονται, για τις διάφορες τιμές του κ ∈* από τη σχέση (1). (Είναι προφανές ότι για μεγάλες κατ’ απόλυτη τιμή του κ, οι τιμές του x είναι πολύ μικρές και πλησιάζουν το 0). iii) Αρκεί να δείξουμε ότι lim ( ( ) ) x f x x →+∞ − = 0 και lim ( ( ) ) x f x x →−∞ − = 0 ● Έχουμε: lim ( ( ) ) lim x x f x x x x x →+∞ →+∞ − = −       2 1 ηµ = −      → lim t t t t0 2 1 1 ηµ = − → lim t t t t0 2 ηµ 0 ή 0   µορϕ   = − → lim t t t0 1 2 συν 0 ή 0   µορϕ   = − = → lim . t t 0 2 0 ηµ 22-0182-02.indb 273 26/11/2013 4:18:06 μμ
  • 275.
    274 ΓΕΝΙΚΕΣ ΑΣΚΗΣΕΙΣ 2ου ΚΕΦΑΛΑΙΟΥΓ’ ΟΜΑΔΑΣ ● Ομοίως, έχουμε lim ( ( ) ) . x f x x →−∞ − = 0 11. Α. i) H συνάρτηση ψ είναι παραγωγίσιμη στο R με ψ′(x) = 2φ′(x)φ″(x) + 2φ(x)∙φ′(x) = 2φ′(x)( φ″(x) + φ(x)) = 2φ′(x)∙0 (από υπόθεση) = 0. Επομένως, η ψ είναι σταθερή στο R. Επειδή ψ ϕ ϕ( ) ( ( )) ( ( )) ,0 0 0 0 0 02 2 = ′ + = + = είναι ψ ( ) ,x = 0 x ∈R ii) Επειδή ψ(x) = 0, είναι ( ( )) ( ( ))′ + =ϕ ϕx x2 2 0 για κάθε x ∈R. Άρα φ′(x) = 0 και φ(x) = 0 για κάθε x ∈R, οπότε φ(x) = 0, για κάθε x ∈R. Β. Είναι ′ = ′ −ϕ ( ) ( )x f x xσυν και ′′ = ′′ +ϕ ( ) ( ) .x f x xηµ Άρα ′′ + = ′′ + + −ϕ ϕ( ) ( ) ( ) ( )x x f x x f x xηµ ηµ = ′′ +f x f x( ) ( ) = 0 (από υπόθεση) Επίσης ϕ( ) ( )0 0 0 0= − =f ηµ και ′ = ′ − = − =ϕ ( ) ( ) .0 0 0 1 1 0f συν Επομένως η φ ικανοποιεί τις υποθέσεις (1) του ερωτήματος (Α). Ομοίως, έχουμε: ′ = ′ +ψ ( ) ( )x g x xηµ 22-0182-02.indb 274 26/11/2013 4:18:09 μμ
  • 276.
    275 ΓΕΝΙΚΕΣ ΑΣΚΗΣΕΙΣ 2ου ΚΕΦΑΛΑΙΟΥΓ’ ΟΜΑΔΑΣ και ′′ = ′′ +ψ ( ) ( ) .x g x xσυν Άρα, ′′ + = ′′ + + −ψ ψ( ) ( ) ( ) ( )x x g x x g x xσυν συν = ′′ + =g x g x( ) ( ) 0 (από υπόθεση). Επίσης ψ ( ) ( )0 0 0 1 1 0= − = − =g συν ′ = ′ + =ψ ( ) ( ) .0 0 0 0g ηµ Επομένως, η συνάρτηση y ικανοποιεί τις υποθέσεις (1) του ερωτήματος Α. ii) Αφού οι συναρτήσεις φ, ψ ικανοποιούν τις υποθέσεις (1) του ερωτήματος Α, σύμφωνα με το ερώτημα (Α), ισχύει φ(x) = 0 και ψ(x) = 0 για κάθε x ∈R, οπότε f(x) = ημx και g(x) = συνx για κάθε x ∈R. 12. i) Οι συντεταγμένες του σημείου Μ είναι (συνθ,ημθ). Τα διανύσματα ΡΜ = −( , )συν ηµθ θx και ΡΝ = −( , )1 x θ είναι συγγραμμικά. Επομένως, det( , )ΡΜ ΡΝ = ⇔ − − =0 1 0 συν ηµθ θ θ x x ⇔ − − − =θ θ θ( ) ( )συν ηµx x1 0 ⇔ − = −θ θ θ θ θσυν ηµ ηµx x ⇔ = − − =x x θ θ θ θ θ θ συν ηµ ηµ ( ). ii) Έχουμε lim ( ) lim θ θ θ θ θ θ θ θ→ → = − −0 0 x συν ηµ ηµ = − − −→ lim θ θ θ θ θ θ0 1 συν ηµ συν συν = − −→ lim θ θ θ θ0 1 ηµ συν = − − → lim θ θ θ θ θ0 ηµ συν ηµ 22-0182-02.indb 275 26/11/2013 4:18:13 μμ
  • 277.
    276 ΓΕΝΙΚΕΣ ΑΣΚΗΣΕΙΣ 2ου ΚΕΦΑΛΑΙΟΥΓ’ ΟΜΑΔΑΣ = − − + → lim θ θ θ θ θ θ0 συν συν ηµ συν = − = − 2 1 2. 13. A. i) —Το μήκος s του τόξου ΑΠ είναι s = = =2 2 2πρ θ π θρ θ, οπότε θ = s 2 . —Αν Ο∆ ΑΠ⊥ , από το τρίγωνο ΟΑΔ έχουμε ηµ θ 2 2 2 2 4 = = = Α∆ l l/ οπότε l = 4 2 ηµ θ . ii) Επειδή ο πεζοπόρος βαδίζει με ταχύτητα υ = 4 km/h, τη χρονική στιγμή t θα έχει διανύσει διάστημα s = 4t. Αφού θ = l 2 , είναι θ = = 4 2 2 t t και l t t= =4 2 2 4ηµ ηµ . Β. Είναι ′ =l t t( ) ,4συν οπότε: α) Όταν θ π = 2 3 , είναι t = = 2 3 2 3 π π και ′       = = ⋅ =l π π 3 4 3 4 1 2 2συν km/h. β) Όταν θ = π, είναι t = π 2 και ′       = =l π π 2 4 2 0συν km/h γ) Όταν θ π = 4 3 , είναι t = 2 3 π και ′       = = −l 2 3 4 2 3 2 π π συν km/h. 22-0182-02.indb 276 26/11/2013 4:18:18 μμ
  • 278.
    277 ΓΕΝΙΚΕΣ ΑΣΚΗΣΕΙΣ 2ου ΚΕΦΑΛΑΙΟΥΓ’ ΟΜΑΔΑΣ 14. Έστω ότι ο αγρότης θα προσλάβει x εργάτες, και τον επιστάτη και έστω ότι χρειάζονται t ώρες για να μαζευτούν οι ντομάτες. Αφού κάθε εργάτης μαζεύει 125 κιλά ντομάτες την ώρα, σε t ώρες οι x εργάτες θα μαζέψουν όλες τις ντομάτες. Άρα 125 12500 100 100 xt xt t x = ⇔ = ⇔ = . (1) Αν Κ είναι συνολικό κόστος για την εργασία, τότε έχουμε Κ = ⋅ + + +6 10 10 1t x t x( ). Έτσι, λόγω της (1), είναι Κ ( ) ( )x x x x x= ⋅ ⋅ + ⋅ + +6 100 10 100 10 1 δηλαδή Κ ( ) .x x x= + + +600 1000 10 10 Η συνάρτηση Κ είναι παραγωγίσιμη για x 0 με ′ = − + = − = − Κ ( ) ( ) .x x x x x x 1000 10 10 1000 10 100 2 2 2 2 2 Είναι ′ = ⇔ − = ⇔ =Κ ( ) ,x x x0 100 0 102 αφού x 0. Το πρόσημο της Κ′, καθώς η μονοτονία και τα ακρότατα της Κ φαίνονται στον πίνακα. x 0 10 +∞ Κ′(x) – 0 + Κ(x) K(10) min Άρα, για x = 10 η συνάρτηση έχει ελάχιστο, το Κ ( ) .10 600 1000 10 10 11 810= + + ⋅ = Επομένως, ο αγρότης πρέπει να προσλάβει 10 εργάτες. Το μικρότερο δυνατό κόστος είναι 810 ευρώ, ενώ χρειάζονται t x = = 100 10 ώρες για να μαζευτούν οι ντομάτες. 22-0182-02.indb 277 26/11/2013 4:18:20 μμ
  • 279.
  • 280.
    279 1. Έχουμε: i) ()x x x dx x dx xdx xdx3 3 + + = + +∫ ∫ ∫ ∫ηµ συν ηµ συν = − + + x x x c 4 4 συν ηµ ii) x x x dx xdx dx x dx 2 1 1 1+ + = + +∫ ∫ ∫ ∫ = + + + x x x c 2 2 ln iii) 3 3 3 3 2 1 6 5 3 2 3 2 1 5 2 x xdx x dx x c x c∫ ∫= = + + = + + iv) x x dx x dx xdx dx 3 28 2 2 4 + + = + +∫ ∫ ∫ ∫ = + + + x x x c 3 2 3 4 v) e x x dx e dx dx x xdxx x − +       = − +∫ ∫ ∫∫ 3 2 3 2συν συν = − + ′∫ ∫∫e dx dx x x dxx 3 1 2 2( )ηµ = − + +e x x cx 3 1 2 2ln .ηµ vi) 1 1 1 1 2 2 2 2 συν ηµ συν ηµx x dx x dx x dx−       = −∫ ∫ ∫ = + +εϕ σϕx x c ΚΕΦΑΛΑΙΟ 3 ΟΛΟΚΛΗΡΩΤΙΚΟΣ ΛΟΓΙΣΜΟΣ 3.1 Α΄ ΟΜΑΔΑΣ 22-0182-02.indb 279 26/11/2013 4:18:24 μμ
  • 281.
    280 3.1 vii) x x dx x x dx dx dx x + + = + + + =+ +∫ ∫ ∫ ∫ 3 2 2 1 2 1 2 = + + +x x cln .2 2. Επειδή ′ = +∫ f x dx f x c( ) ( ) , έχουμε διαδοχικά 1 x dx f x c∫ = +( ) x dx f x c − ∫ = + 1 2 ( ) x f x c 1 2 1 2 = +( ) , f x x c( ) .= −2 Επειδή f(9) = 1, έχουμε 2 9 1− =c , οπότε c = 5. Επομένως f x x( ) .= −2 5 3. Επειδή ′′ = ′ +∫ f x dx f x c( ) ( ) , έχουμε διαδοχικά: 3dx f x c∫ = ′ +( ) , ′ = −f x x c( ) .3 Επειδή ′ =f ( )1 6 έχουμε 3 – c = 6, οπότε c = – 3. Επομένως ′ = +f x x( ) .3 3 Επειδή ′ = +∫ f x dx f x c( ) ( ) , έχουμε διαδοχικά: ( ) ( )3 3x dx f x c+ = +∫ f x x x c( ) .= + − 3 2 32 Επειδή f(0) = 4 έχουμε 3 2 0 3 0 41⋅ + ⋅ − =c , οπότε c1 4= − . Επομένως ′ = + +f x x x( ) . 3 2 3 42 4. Έχουμε διαδοχικά: ′′ = ′ +∫ f x dx f x c( ) ( ) 22-0182-02.indb 280 26/11/2013 4:18:30 μμ
  • 282.
    281 3.1 ( ) ()12 22 x dx f x c+ = ′ +∫ 4 23 x x f x c+ = ′ +( ) , ′ = + −f x x x c( ) .4 23 Επειδή ′ =f ( ) ,1 3 έχουμε 4 + 2 – c = 3, οπότε c = 3. Επομένως ′ = + −f x x x( ) .4 2 33 Επίσης έχουμε διαδοχικά ′ = +∫ f x dx f x c( ) ( ) 1 ( ) ( )4 2 33 1x x dx f x c+ − = +∫ x x x f x c4 2 13+ − = +( ) , f x x x x c( ) .= + − −4 2 13 Επειδή το Α(1,1) είναι σημείο της γραφικής παράστασης της f, έχουμε: f c c( ) .1 1 1 1 3 1 21 1= ⇔ + − − = ⇔ = − Επομένως f x x x x( ) .= + − +4 2 3 2 5. Επειδή ′ =Ν ( ) ,t e t 1 20 20 έχουμε διαδοχικά ′ = +∫Ν Ν( ) ( )t dt t c 1 20 20 e dt t ct/ ( )∫ = +Ν e t ct/ ( )20 = +Ν Ν ( ) / t e ct = −20 Επομένως, η αύξηση του πληθυσμού στα πρώτα 60 λεπτά, είναι ίση με: Ν Ν( ) ( ) ( ) ( )/ 60 0 1 1960 20 0 3 − = − − − = − ≅e c e c e εκατομ. 6. Αν Κ(x) το κόστος, σε ευρώ, της εβδομαδιαίας παραγωγής x, τότε ′ = +Κ ( ) ,x x x2 5 οπότε έχουμε ′ = +∫Κ Κ( ) ( )x dx x c ή ( ) ( ) ,x x dx x c2 5+ = +∫ Κ 22-0182-02.indb 281 26/11/2013 4:18:35 μμ
  • 283.
    282 3.1 οπότε Κ ( ).x x x c= + − 3 2 3 5 2 Από τα δεδομένα του προβλήματος έχουμε Κ(0) = 100, οπότε – c = 100 και άρα c = – 100. Επομένως, η συνάρτηση κόστους της εβδομαδιαίας παραγωγής είναι: Κ ( ) .x x x = + + 3 2 3 5 2 100 7. Έχουμε διαδοχικά: ′ = +∫R t dt R t c( ) ( ) 20 10 3 4 2 + −       = +∫ t t dt R t c( ) , R t t t t c( ) .= + − −20 5 1 4 2 3 Προφανώς R(0) = 0, οπότε c = 0 και άρα R t t t t( ) .= + −20 5 1 4 2 3 Επομένως τα βαρέλια που θα αντληθούν στους πρώτους 8 μήνες είναι: R( )8 20 8 5 8 1 4 8 160 5 8 2 8 3522 3 2 2 = ⋅ + ⋅ − = + ⋅ − ⋅ = χιλιάδες. 3.1 Β΄ ΟΜΑΔΑΣ 1. Επειδή ′ = − − T t k e kt ( ) ,α έχουμε διαδοχικά: ′ = +∫T t dt T t c( ) ( ) − = +− ∫ k e dt T t ckt α ( ) α ( ) ( ) ,e dt T t ckt− ′ = +∫ T t e ckt ( ) .= −− α Επειδή Τ(0) + α και T e c ck ( ) ,0 0 = − = −− ⋅ α α έχουμε T c c T0 0+ = − ⇔ = −α α . Επομένως T t e Tkt ( ) .= +− α 0 22-0182-02.indb 282 26/11/2013 4:18:40 μμ
  • 284.
    283 3.1 2. Έχουμε διαδοχικά ′= +∫P x dx P x c( ) ( ) 5 8 2000 , ( )e dx P x c x − ∫ = + 5 8 2000 2000 , ( ) ( ) ( )⋅ − ′ = + − ∫ e dx P x c x P x e c x ( ) . .= − − − 11 600 2000 Το συνολικό κέρδος που οφείλεται στην αύξηση της επένδυσης από 4.000.000 σε 6.000.000 είναι: = − = −      − − 11600 11600 12 3 3 ( )e e e e ≅ ⋅ =11600 0 086 997 6, , χιλιάδες ευρώ = 997.600 ευρώ 3. Έστω P(t) το κέρδος της εταιρείας στις πρώτες t ημέρες. Τότε Ρ(t) = Ε(t) – Κ(t), οπότε ′ = ′ − ′ = + − + = +P t t t t t t( ) ( ) ( ) , , , .Ε Κ 1000 0 3 800 0 6 200 0 9 Έτσι έχουμε διαδοχικά: ′ = +∫P t dt P t c( ) ( ) ( , ) ( )200 0 9+ = +∫ t dt P t c P t t t c( ) , .= + +200 0 9 2 2 1 Το συνολικό κέρδος της εταιρείας από την 3 η έως την 6 η ημέρα είναι: P P c c( ) ( ) , ,6 2 200 6 0 9 6 2 200 2 0 9 2 2 2 1 2 1− = ⋅ + + − ⋅ − − = − =1216 2 401 8 814 4, , , ευρώ. 4. i) Από την ισότητα f ″(x) = g″(x) έχουμε διαδοχικά ′ = ′ +f x g x c( ) ( ) 1 f x g x c x c( ) ( ) .= + +1 2 (1) 22-0182-02.indb 283 26/11/2013 4:18:44 μμ
  • 285.
    284 3.2 Για x =0 είναι f(0) = g(0) + 0 + c2 , οπότε c2 = 0, αφού f(0) = g(0). Επομένως f x g x c x( ) ( ) .= + 1 (2) Για x = l, από την (2), έχουμε f(1) = g(1) + c1 , οπότε c1 = 1, αφού f(1) = g(1) + 1. Έτσι από τη (2) προκύπτει f x g x x( ) ( ) .= + ii) H f(x) είναι συνεχής στο [α,β] και ισχύει f g( ) ( )α α α α α= + = + = 0 0 f g( ) ( ) .β β β β β= + = + = 0 0 Άρα, f(α) f(β) 0, οπότε, σύμφωνα με το θεώρημα Bolzano, υπάρχει τουλάχιστον μία ρίζα στο (α,β). 3.2 Α΄ ΟΜΑΔΑΣ 1. Έχουμε i) x e dx x e dxx x2 2− − ∫ ∫= − ′( ) = − + = − − ′− − − − ∫ ∫x e xe dx x e x e dxx x x x2 2 2 2 ( ) = − − + = − − − +− − − − − − ∫x e xe e dx x e xe e cx x x x x x2 2 2 2 2 2 = − + + +− e x x cx ( ) .2 2 2 ii) ( ) ( )( )3 2 1 1 2 3 2 12 2 2 2 x x e dx x x e dxx x − + = − + ′∫ ∫ = − + − −∫ 1 2 3 2 1 1 2 6 22 2 2 ( ) ( )x x e x e dxx x = − + − − ′∫ 1 2 3 2 1 1 4 6 22 2 2 ( ) ( )( )x x e x e dxx x = − + − − + ∫ 1 2 3 2 1 1 4 6 2 1 4 62 2 2 2 ( ) ( )x x e x e e dxx x x = − + − + + + 1 4 6 4 2 6 2 3 4 2 2 2 e x x x e cx x ( ) = − + + 1 4 6 10 72 2 e x x cx ( ) 22-0182-02.indb 284 26/11/2013 4:18:49 μμ
  • 286.
    285 3.2 iii) x xdx x xdx3 4 4 lnln∫ ∫=       ′ = − ′∫ x x x x dx 4 4 4 4 ln (ln ) = − = − +∫ 1 4 1 4 1 4 16 4 3 4 4 x x x dx x x x cln ln iv) 2 2 22 2 x xdx x x dxηµ συν∫ ∫= ′( ) = − + ∫x x x xdx2 2 2 2συν συν = − + ′∫x x x x dx2 2 2συν ηµ( ) = − + − ∫x x x x xdx2 2 2 2συν ηµ ηµ = − + + +x x x x x c2 2 2 1 2 2συν ηµ συν = − +       + +x x x x c2 1 2 2 2συν ηµ v) 4 2 2 2x xdx x x dxσυν ηµ∫ ∫= ⋅ ′( ) = − ∫2 2 2 2x x xdxηµ ηµ = + +2 2 2x x x cηµ συν vi) ln ( ) lnxdx x xdx∫ ∫= ′ = − = − +∫x x dx x x x cln ln1 vii) ln ln ln lnx x dx x xdx x x x dx x x x c2 2 1 1 1 1 ∫ ∫ ∫= −       ′ = − + = − − + viii) I e xdx e x e xdxx x x = = +∫ ∫συν συν ηµ2 2 2 2 = + − ∫e x e x e xdxx x x συν ηµ συν2 2 2 4 2 . 22-0182-02.indb 285 26/11/2013 4:18:55 μμ
  • 287.
    286 3.2 Άρα I e xx Ix = + −( )συν ηµ2 2 2 4 5 2 2 2I e x xx = +( )συν ηµ I e x x cx = + + 1 5 2 2 2( ) .συν ηµ 2. i) Θέτουμε u = 3x, οπότε du = 3dx και άρα dx du= 1 3 . Επομένως, ηµ ηµ συν συν3 1 3 1 3 1 3 3xdx udu u c x c∫ ∫= = − + = − + ii) Θέτουμε u x x= − +4 16 72 , οπότε du x dx x dx= − = −( ) ( ) .8 16 8 2 Επομένως ( ) ( )4 16 7 2 1 8 1 8 4 2 3 3 4 x x x dx u du u c− + − = = +∫ ∫ = − + + 1 32 4 16 72 4 ( ) .x x c iii) Θέτουμε u = x2 + 6x, οπότε du = (2x + 6)dx = 2(x + 3)dx. Επομένως, x x x dx du u u du u c + + = = = − +∫ ∫ ∫ − − 3 6 1 2 1 2 1 2 32 4 4 4 3 ( ) = − + = − + + 1 6 1 1 6 63 2 3 u c x x c ( ) . iv) Θέτουμε u = 2 + x 3 , οπότε du = 3x 2 dx. Επομένως, x x dx du u u du u c x c 2 3 1 2 1 2 3 1 2 2 1 3 1 3 2 3 2 3 2 + = = = + = + +∫ ∫ ∫ − ( ) . v) Θέτουμε u = x + l, οπότε du = dx και x = u – 1. Επομένως, x x dx u udu u du u du+ = − = −∫ ∫ ∫ ∫1 1 3 2 1 2 ( ) = − + 2 5 2 3 5 2 3 2 u u c = −       +2 1 5 1 3 3 2 u u c 22-0182-02.indb 286 26/11/2013 4:19:00 μμ
  • 288.
    287 3.2 = + −+ 2 15 1 3 2 3 2 ( ) ( ) .x x c 3. i) Θέτουμε u = ex , οπότε du = e x dx. Επομένως, e e dx udu u c e cx x x ηµ ηµ συν συν∫ ∫= = − + = − + ii) Θέτουμε u = e x + 1, οπότε du = e x dx. Επομένως, e e dx du u u c e c x x x + = = + = + +∫ ∫1 1ln ln( ) iii) Θέτουμε u = ln x, οπότε du x dx= 1 . Επομένως, dx x x du u u du u c ln = = = +∫ ∫∫ − 1 2 1 2 1 2 = + = +2 2u c x cln iv) Θέτουμε u = ln(e x + 1), οπότε du e e dx x x = +1 . Επομένως, e e e dx du u u c x x x ( )ln( ) ln + + = = +∫ ∫1 1 = + +ln ln( )e cx 1 = + +ln(ln( ))e cx 1 αφού ln(e x + 1) ln1 = 0. v) Θέτουμε u x = 1 , οπότε du x dx= − 1 2 . Επομένως, ηµ ηµ συν συν 1 1 2 x x dx udu u c x c       = − = + = +∫ ∫ . 22-0182-02.indb 287 26/11/2013 4:19:04 μμ
  • 289.
    288 3.2 3.2 Β΄ ΟΜΑΔΑΣ 1.i) Θέτουμε u x= +1 2 συν , οπότε du = – 2ημxσυνxdx ή du = – ημ2xdx. Επομένως, ηµ συν συν 2 1 12 2x x dx du u u c x c + = − = − + = − + +∫ ∫ ln ln( ) ii) Θέτουμε u = ln(συνx), οπότε du x x dx xdx= − = − ηµ συν εϕ . Επομένως, εϕ συν συνx x dx udu u c x cln( ) [ln( )]∫ ∫= − = − + = − + 2 2 2 1 2 iii) Θέτουμε u = ημx, οπότε du = συνxdx. Επομένως, συν ηµ ηµ xe dx e du e c e cx u u x ∫ ∫= = + = + . 2. i) Θέτουμε u x x = +3 3 1 , οπότε du x x x x x dx x dx= ⋅ − + = −3 3 1 32 3 2 3 6 4 ( ) . Επομένως, x x x dx udu u du 3 3 4 1 2 1 1 1 3 1 3 + = − = −∫ ∫ ∫ = − + + = − + = − +      + + 1 3 1 2 1 1 3 3 2 2 9 1 1 2 1 3 2 3 3 3 2u c u c x x c. ii) Θέτουμε u x= +2 1, οπότε du x x dx x x dx= + = + 2 2 1 12 2 . Επομένως, x x dx du u c x c 2 2 1 1 + = = + = + +∫ ∫ . iii) Θέτουμε u = x2 +1, οπότε du = 2xdx, οπότε έχουμε x x dx udu u uduln( ) ln ( ) ln2 1 1 2 1 2 + = = ′∫ ∫ ∫ = − ∫ 1 2 1 2 u u duln = − + = + + − + + 1 2 1 2 1 2 1 1 1 2 12 2 2 u u u c x x x cln ( )ln( ) ( ) . 22-0182-02.indb 288 26/11/2013 4:19:09 μμ
  • 290.
    289 3.2 3. i) Έχουμε: xx dx x x dx2 2 3 2 3 ln ln∫ ∫=       ′ = − ′∫ x x x x x dx 3 2 3 2 2 3 3 1 ln ( ) = − = − +∫ 1 3 2 3 3 2 9 3 2 2 3 2 3 x x x dx x x x cln ln 3 x ii) Έχουμε (ln ) ( ) (ln ) (ln ) ln (ln )t dt t t dt t t t t t dt2 2 2 2∫ ∫ ∫= ′ = − ′ = − = − ′∫ ∫t t tdt t t t tdt(ln ) ln (ln ) ( ) ln2 2 2 2 = − + ∫t t t t t t dt(ln ) ln2 2 2 1 = − + +t t t t t c(ln ) ln2 2 2 iii) Θέτουμε u = e x , οπότε du = e x dx. Επομένως e e dx e e e dx u udux x x x x2 συν συν συν∫ ∫ ∫= = = ′ = −∫ ∫u u du u u udu( )ηµ ηµ ηµ = + + = + +u u u c e e e cx x x ηµ συν ηµ συν . 4. i) Έχουμε εϕ ηµ συν συν συν xdx x x dx x x dx∫ ∫ ∫= = − ′( ) = − +ln συνx c και x x dx x x dx x x xdx συν εϕ εϕ εϕ2∫ ∫ ∫= ′ = −( ) = + +x x x cεϕ συνln .1 ii) Θέτουμε u = ημx, οπότε du = συνxdx. Επομένως, συν ηµ ηµ x x dx du u u c x c2 2 1 1 ∫ ∫= = − + = − + . 22-0182-02-b.indd 289 28/11/2013 2:08:04 μμ
  • 291.
    290 3.2 Επίσης έχουμε 1 1 22 2 + = +∫ ∫ ∫ συν ηµ ηµ συν ηµ x x dx x dx x x dx = − − +σϕ ηµ x x c 1 . iii) Έχουμε ηµ ηµ ηµ συν ηµ3 2 2 1xdx x xdx x xdx∫ ∫ ∫= = −( ) . Θέτουμε u = συνx, οπότε du = – ημxdx. Επομένως, ηµ3 2 2 1 1xdx u du u du du∫ ∫ ∫ ∫= − − = −( ) = − + = − + u u c x x c 3 2 3 3 συν συν . Επίσης έχουμε συν συν συν ηµ συν3 2 2 1xdx x xdx x xdx∫ ∫ ∫= = −( ) . Θέτουμε u = ημx, οπότε du = συνxdx. Επομένως, συν ηµ ηµ3 2 3 3 1 3 3 xdx u du u u c x x c∫ ∫= − = − + = − +( ) . 5. Έχουμε i) ηµ συν συν2 1 2 2 1 2 1 2 2xdx x dx x xdx∫ ∫ ∫= − = − = − + 1 2 1 4 2x x cηµ ii) συν συν ηµ2 1 2 2 1 2 1 4 2xdx x dx x x c∫ ∫= + = + + iii) ηµ συν ηµ2 2 21 4 2x xdx xdx∫ ∫= = − ∫ 1 4 1 4 2 συν x dx = − ∫ 1 8 1 8 4x xdxσυν = − + 1 8 1 32 4x x cηµ . 22-0182-02.indb 290 26/11/2013 4:19:19 μμ
  • 292.
    291 3.2 6. Έχουμε i) ηµσυν ηµ ηµx xdx x x dx2 1 2 3∫ ∫= − +[ ( ) ] = − +∫ ∫ 1 2 1 2 3ηµ ηµxdx xdx = − + 1 2 1 6 3συν συνx x c ii) συν συν συν συν3 5 1 2 2 8x xdx x x dx∫ ∫= +( ) = +∫ ∫ 1 2 2 1 2 8συν συνxdx xdx = + + 1 4 2 1 16 8ηµ ηµx x c iii) ηµ ηµ συν συν2 4 1 2 2 6x xdx x x dx∫ ∫= −( ) = − + 1 4 2 1 12 6ηµ ηµx x c. 7. i) Έχουμε: 2 3 3 2 3 2 3 2 3 22 2 2 2x x x dx x x x x dx x x c − − + = − + ′ − + = − + +∫ ∫ ( ) ln . ii) Έχουμε: 3 2 3 2 3 2 1 22 x x x x x x + − + = + − −( )( ) , x ∈ −{ , }.1 2R Αναζητούμε πραγματικούς αριθμούς Α, Β έτσι ώστε: 3 2 1 2 1 2 x x x x x + − − = − + −( )( ) , Α Β για κάθε x ∈ −{ , }.1 2R Με απαλοιφή παρονομαστών έχουμε τελικά: (Α + Β)x – (2Α + Β) = 3x + 2, για κάθε x ∈ −{ , }1 2R (1) Η (1) ισχύει για κάθε x ∈ −{ , },1 2R αν και μόνο αν Α Β Α Β Α + = − − =    ⇔ = − 3 2 2 5 και Β = 8. 22-0182-02.indb 291 26/11/2013 4:19:24 μμ
  • 293.
    292 3.2 Επομένως 3 2 3 2 5 1 8 22 x xx dx x dx x dx + − + = − − + −∫ ∫ ∫ = − − + − +5 1 8 2ln ln .x x c iii) Από τη διαίρεση (x 3 – 2x):(x 2 + 3x + 2) βρίσκουμε: x x x x x x3 2 2 3 2 3 5 6− = + + − + +( )( ) οπότε x x x x x x x x 3 2 2 2 3 2 3 5 6 3 2 − + + = − + + + + (1) Εξάλλου έχουμε: 5 6 3 2 5 6 1 22 x x x x x x + − + = + + +( )( ) . Αναζητούμε πραγματικούς αριθμούς Α, Β έτσι, ώστε 5 6 1 2 1 2 x x x x x + + + = + + +( )( ) Α Β για κάθε x ∈ − − −{ , }.1 2R Με απαλοιφή παρονομαστών, έχουμε τελικά ( ) .Α Β Α Β+ + + = +x x2 5 6 (2) Η (2) ισχύει για κάθε x ∈ − − −{ , },1 2R αν και μόνο αν Α Β Α Β Α + = + =    ⇔ = 5 2 6 1 και Β = 4. Επομένως λόγω και της (1) έχουμε: x x x x dx x dx dx x x dx 3 2 2 3 2 3 1 4 2 − + + = − + + + +∫ ∫ ∫ ∫( ) = − + + + + + x x x x c 2 2 3 1 4 2ln ln . iv) Έχουμε 2 1 1 12 x x x− = − + + Α Β , για κάθε x ∈ − −{ , }.1 1R Με απαλοιφή παρονομαστών έχουμε (Α + Β)x + Α – Β = 2. (1) 22-0182-02.indb 292 26/11/2013 4:19:28 μμ
  • 294.
    293 3.3 Η (1) ισχύειγια κάθε x ∈ − −{ , },1 1R αν και μόνο αν Α Β Α Β Α + = − =    ⇔ = 0 2 1 και Β = – 1. Επομένως, έχουμε 2 1 1 1 1 1 1 12 x dx x dx x dx x x c − = − − + = − − + +∫ ∫ ∫ ln ln . 3.3 Α΄ ΟΜΑΔΑΣ 1. i) Η εξίσωση γράφεται διαδοχικά: dy dx xy= −4 2 dy y xdx2 4= − dy y xdx2 4∫ ∫= − − = − + 1 2 2 1 y x c y x c = + 1 2 2 , c ∈R. ii) Η εξίσωση γράφεται y dy dx x= ydy xdx= ydy xdx∫ ∫= y x c 2 2 1 2 2 = + y x c2 2 12= + y x c2 2 − = , y c x= + 2 , αφού y 0 (c ∈R). 22-0182-02.indb 293 26/11/2013 4:19:32 μμ
  • 295.
    294 3.3 iii) Η εξίσωσηγράφεται διαδοχικά: 1 2 xy dy dx = dy y xdx= 2 1 2 y dy xdx∫ ∫= ln y x c= +2 1 y ex c = +2 1 y e ec x = 1 2 y e ec x = ± 1 2 y cex = 2 , όπου c ec = ± 1 . iv) Η εξίσωση γράφεται διαδοχικά: dy dx e xy = − συν e dy xdxy = συν e dy xdxy ∫ ∫= συν e x cy = +ηµ y x c= +ln( ),ηµ c∈ .R 2. i) Μία παράγουσα της α(x) = 2 είναι η Α(x) = 2x. Πολλαπλασιάζουμε και τα δύο μέλη της εξίσωσης με e 2x και έχουμε διαδοχικά: ′ + =y e e y ex x x2 2 2 2 3 ( )ye ex x2 2 3′ = ( )ye dx e dxx x2 2 3′ =∫ ∫ ye e cx x2 23 2 = + 22-0182-02.indb 294 26/11/2013 4:19:37 μμ
  • 296.
    295 3.3 y ce x =+ −3 2 2 , c∈ .R ii) Μία παράγουσα της α(x) = 2 είναι η A(x) = 2x. Πολλαπλασιάζουμε με e2x οπότε έχουμε διαδοχικά ′ + =y e ye ex x x2 2 2 ( )ye ex x2 ′ = ( )ye dx e dxx x2 ′ =∫ ∫ ye e cx x2 = + y e cex x = +− −2 , c∈ .R iii) Μία παράγουσα της α(x) = l είναι η A(x) = x. Πολλαπλασιάζουμε με e x , οπότε έχουμε διαδοχικά ′ + = ⋅y e ye e xx x x 2 ( )ye e xx x ′ = 2 ( )ye dx e xdxx x ′ = ⋅∫ ∫2 ye c xe e dxx x x + = − ∫1 2 2 ye xe e cx x x = − +2 2 y x ce x = − + − 2 2 , c∈ .R iv) Μία παράγουσα της α(x) = 2x είναι η A(x) = x 2 . Πολλαπλασιάζουμε ex2 , οπότε έχουμε διαδοχικά ′ + =y e xe y xex x x2 2 2 2 ( )ye xex x2 2 ′ = ye c xe dxx x2 2 1+ = ∫ ye e cx x2 21 2 = + y ce x = + −1 2 2 , c∈ .R 22-0182-02.indb 295 26/11/2013 4:19:42 μμ
  • 297.
    296 3.3 3. Η εξίσωσηγράφεται διαδοχικά: dy dx x y= 2 2 2 dy y x dx2 2 2= y dy x dx− ∫ ∫=2 2 2 − = + 1 2 3 3 1 y x c − = +1 2 3 3 3 1 y x c y x c = − + 3 2 3 . Επειδή y(0) = – 3, έχουμε − = − 3 3 c , οπότε c = 1. Άρα y x = − + 3 2 13 . 4. Η εξίσωση γράφεται y′ + 3y = 2. Μια παράγουσα της α(x) = 3 είναι η Α(x) = 3x, οπότε έχουμε διαδοχικά ′ + =y e ye ex x x3 3 3 3 2 ′ + ′ =y e y e ex x x3 3 3 2( ) ( )ye ex x3 3 2′ = ( )ye dx e dxx x3 3 2′ =∫ ∫ ye e cx x3 32 3 = + y c e x = + 2 3 3 . Επειδή y( )0 2 3 = έχουμε 2 3 2 3 0 = + c e , οπότε c = 0. Άρα y = 2 3 . 22-0182-02.indb 296 26/11/2013 4:19:46 μμ
  • 298.
    297 3.3 5. i) Μιαπαράγουσα της α( )x x = 1 2 συν είναι η Α(x) = εφx. Πολλαπλασιάζουμε με e xεϕ , οπότε έχουμε διαδοχικά: ′ + =y e e x y x ex x xεϕ εϕ εϕ συν συν 1 1 2 2 2 1 ( )x x ye e x εϕ εϕ ′ = συν ye c e x dxx xεϕ εϕ συν + = ∫1 2 1 ye c e x dxx xεϕ εϕ εϕ+ = ′∫1 ( ) ye e cx xεϕ εϕ = + y ce x = + − 1 εϕ . Επειδή y(0) = – 3, έχουμε – 3 = 1 + c, οπότε c = – 4. Άρα y e x = −1 4 εϕ . ii) Επειδή x 0, είναι x + l 0, οπότε η εξίσωση γράφεται ′+ + = + y x y x x 1 1 1 1 ln . Μία παράγουσα της α( )x x = + 1 1 είναι η Α(x) = ln(x + 1). Πολλαπλασιάζουμε με e xxln( ) ,+ = +1 1 οπότε έχουμε διαδοχικά ′⋅ + + =y x y x( ) ln1 ( ( )) lny x x+ ′ =1 y x c xdx( ) ln+ + = ∫1 1 y x x x x c( ) ln+ = − +1 y x x x c x = − + + ln . 1 Επειδή y(1) = 10, έχουμε − + = 1 2 10 c , οπότε c = 21. Επομένως y x x x x = − + + ln . 21 1 22-0182-02.indb 297 26/11/2013 4:19:52 μμ
  • 299.
    298 3.3 3.3 Β΄ ΟΜΑΔΑΣ 1.Μία παράγουσα της α(t) = 1 είναι η A(t) = t. Πολλαπλασιάζουμε τα μέλη της εξίσωσης με et και έχουμε διαδοχικά: ′ + =I t e I t e e tt t t ( ) ( ) ηµ ( ( ) )I t e e tt t ′ = ηµ I t e c e tdtt t ( ) + = ∫1 ηµ (1) Εξάλλου έχουμε e tdt e t e tdtt t t ηµ ηµ συν∫ ∫= − = − +   ∫e t e t e tdtt t t ηµ συν ηµ , οπότε 2 1e tdt e t t ct t ηµ ηµ συν∫ = − +( ) . Άρα e tdt e t t ct t ηµ ηµ συν∫ = − + 1 2 ( ) , οπότε από την (1) προκύπτει ότι I t e e t t ct t ( ) ( ) .= − + 1 2 ηµ συν Για t = 0 έχουμε I e e c( ) ( )0 1 2 0 00 0 = − +ηµ συν 0 1 2 = − + c c = 1 2 . Έτσι, τελικά είναι I t e e t tt t ( ) ( )= − + 1 2 1 2 ηµ συν I t t t e t ( ) ( ) .= − + −1 2 1 2 ηµ συν 22-0182-02.indb 298 26/11/2013 4:19:56 μμ
  • 300.
    299 3.3 2. Η εξίσωσηγράφεται διαδοχικά: ye dy dx ey x2 2 = ye dy e dxy x2 2 = Άρα ye dy e dxy x2 2 ∫ ∫= 1 2 1 2 2 2 1e e cy x = + e e cy x2 2 12= + e e cy x2 2 = + , c∈ .R Επειδή y(2) = 2, έχουμε e 4 = e 4 + c, οπότε c = 0. Επομένως e ey x2 2 = , οπότε y 2 = 2x και άρα y x= 2 , αφού περνάει από το σημείο Α(2,2). 3. Μία παράγουσα 1 ( )x x α = − είναι η Α( ) ln .x x= − Πολλαπλασιάζουμε με e e x x x− = =ln ln , 1 1 οπότε έχουμε διαδοχικά ′ − =y x x y x x 1 1 1 2 y x ⋅       ′ = 1 1 y x x c⋅ = + 1 y x cx= +2 , c∈ .R 4. Ισχύει y′ = xy, y 0, οπότε έχουμε διαδοχικά: dy y xdx= dy y xdx∫ ∫= ln ,y x c= + 2 1 2 y 0 22-0182-02.indb 299 26/11/2013 4:20:01 μμ
  • 301.
    300 3.3 y e x c = + 2 1 2 y ce x = ⋅ 2 2 , c ec = 1 0. Εξάλλου ισχύει y(0) = 1, οπότε c = 1. Άρα y e x = 2 2 . 5. i) Μία παράγουσα της α(t) = α είναι η A(t) = αt, οπότε έχουμε διαδοχικά ′ + = ⋅− y e e y e et t t tα α λ α α β ( ) ( ) ye et tα α λ β′ = − ye c e dtt tα α λ β+ = − ∫1 ( ) ye e ct tα α λβ α λ = − +−( ) y e c e t t = − +−β α λ λ α . Άρα y t e c et t ( ) ,= − + β α λ λ α 1 , c∈ .R ii) Επειδή α 0, λ 0 ισχύει lim t t e→+∞ = 1 0λ και lim , t t c e→+∞ =α 0 οπότε lim ( ) . t y t →+∞ = 0 6. Επειδή θ – Τ 0 η εξίσωση γράφεται διαδοχικά: d dt θ θ κ − = − Τ d t c θ θ κ − = − +∫ Τ 1, ln( )θ κ− = − +Τ t c1 θ κ − = − + Τ e t c1 θ κ ( ) ,t T ce t = + − c ec = 1 . 22-0182-02.indb 300 26/11/2013 4:20:06 μμ
  • 302.
    301 3.3 Εξάλλου θ θ θθ( ) .0 0 0 0 0= ⇔ = + ⋅ ⇔ = −T c e c T Άρα θ θ κ ( ) ( ) .t T T e t = + − − 0 7. i) Έστω Ρ1 (t) ο πληθυσμός της χώρας, αν δεν υπήρχε η μετανάστευση και P2 (t) ο πληθυσμός που έχει μεταναστεύσει μέχρι τη χρονική στιγμή t. Τότε ο πληθυσμός της χώρας είναι P t P t P t( ) ( ) ( )= −1 2 οπότε ′ = ′ − ′P t P t P t( ) ( ) ( ).1 2 (1) Είναι όμως P t k P t1 ′ = ⋅( ) ( ), k 0, αφού έχουμε ρυθμό αύξησης του Ρ1 (t) ανάλογο του P(t). Επίσης είναι P t m2 ′ =( ) , οπότε η (1) γράφεται ′ = −P t kP t m( ) ( ) , ή ισοδύναμα ′− = −P kP m. Μία παράγουσα της α(t) = – k είναι η A(t) = – kt. Πολλαπλασιάζουμε με e –kt τα μέλη της εξίσωσης, οπότε έχουμε διαδοχικά: ′ − = −− − − P e ke P mekt kt kt ( )Pe mekt kt− − ′ = − Pe c m e dtkt kt− − + = − ∫1 Pe m k e ckt kt− − = + P t m k cekt ( ) .= + Επειδή P(0) = P0 , έχουμε P m k c0 = + , οπότε c P m k = −0 . Άρα 22-0182-02.indb 301 26/11/2013 4:20:10 μμ
  • 303.
    302 3.3 P t m k P m k ekt ( ),= + −      0 k 0 iii) Είναι ′ = −P t kP m ekt ( ) ( )0 — αν m kP0 τότε P′(t) 0, οπότε ο πληθυσμός αυξάνεται. — αν m kP0 τότε P′(t) 0, οπότε ο πληθυσμός μειώνεται. — αν m = kP0 τότε P′(t) 0, οπότε ο πληθυσμός είναι σταθερός. 8. i) Ο όγκος του νερού της δεξαμενής τη χρονική στιγμή t είναι V t r y t y t( ) ( ) ( ),= =π π2 όπου r = 1m η ακτίνα του κυλίνδρου, οπότε ′ = ′V t y t( ) ( ).π Εξάλλου έχουμε − = − ⋅ = −α π π2 0 1 20 0 02 52 gy y y, , . Έτσι ο νόμος του Torricelli γράφεται π π′ = −y y0 02 5, , ή ισοδύναμα ′ = −y y 5 50 (1) ii) Προφανώς το y = 0 αποτελεί λύση της (1). Για y 0 η εξίσωση γράφεται dy y dt= − 5 50 , οπότε έχουμε διαδοχικά: y dy t c− ∫ = − +1 2 5 50 / 2 5 50 1 2 y t c/ = − + y t c1 2 5 100 2 / = − + y t c = − +       5 100 2 2 . 22-0182-02.indb 302 26/11/2013 4:20:14 μμ
  • 304.
    303 3.3 Όμως ισχύει y(0)= 36dm, οπότε 36 2 2 =       c , συνεπώς c = 12. Άρα y t t( ) = − +       5 100 6 2 iii) H δεξαμενή αδειάζει τελείως, όταν y(t) = 0. Έτσι έχουμε: y t t t( ) = ⇔ − + = ⇔ = = =0 5 100 6 0 600 5 600 5 5 120 5 sec. 9. Η Ε = 0 αποτελεί μία προφανή λύση της διαφορικής εξίσωσης. Για Ε 0 η εξίσωση γράφεται διαδοχικά: d RC dt Ε Ε = − 1 ln Ε = − + 1 1 RC t c Ε ( )t e t RC c = − + 1 Ε ( ) ,t k e t RC = ⋅ − k ec = 1 . Εξάλλου Ε Ε Ε Ε( ) .t ke k e t RC t RC 1 0 0 0 1 1 = ⇔ = ⇔ = − Άρα E t E e t t RC ( ) .= − 0 1 10. i) α) Αν αντικαταστήσουμε τις τιμές των R, L και Ε, κανόνας του Kirchhoff γράφεται 4 12 60,I I′ + = ή ισοδύναμα ′ = +I I3 15. (1) Μία παράγουσα της α(t) = 3 είναι η A(t) = 3t. Πολλαπλασιάζουμε τα μέλη (1) με e 3t , οπότε έχουμε διαδοχικά: ′ + =I e e I et t t3 3 3 3 15 ( )Ie et t3 3 15′ = 22-0182-02.indb 303 26/11/2013 4:20:18 μμ
  • 305.
    304 3.3 Ie c edtt t3 1 3 5 3+ = ∫ Ie e ct t3 3 5= + . I t c e t ( ) .= +5 3 β) Είναι lim ( ) lim . t t t I t c e→+∞ →+∞ = +       =5 53 Από την ισότητα lim ( ) t I t →+∞ = 5 συμπεραίνουμε ότι για «μεγάλες» τιμές του t η ένταση γίνεται σταθερή και η γραφική παράσταση της y = I(t) έχει ασύμπτωτη την ευθεία y = 5. ii) Αν Ε = 60ημ3t ο κανόνας του Kirchhoff γράφεται διαδοχικά: ′+ =I I t3 15 3ηµ ′ + =I e e I e tt t t3 3 3 3 15 3ηµ ( )Ie e tt t3 3 15 3′ = ηµ Ie c e tdtt t3 1 3 5 3 3+ = ∫ ηµ . (2) Θέτουμε J e tdtt = ∫3 33 ηµ , οπότε J e tdt e t e tdtt t t = ′ = −∫ ∫( )3 3 3 3 3 3 3ηµ ηµ συν = − ′∫e t e tdtt t3 3 3 3ηµ συν( ) = − +   ∫e t e t e tdtt t t3 3 3 3 3 3 3ηµ συν ηµ = − −e t t Jt3 3 3 3( ) .ηµ συν Άρα J e t t ct = − + 1 4 3 33 1( ) ,ηµ συν c1 ∈ .R Λόγω της (2) έχουμε Ie e t t ct t3 35 4 3 3= − +( )ηµ συν Άρα I t t t c e t ( ) ( ) .= − + 5 4 3 3 3 ηµ συν 22-0182-02.indb 304 26/11/2013 4:20:24 μμ
  • 306.
    305 3.4 3.4 Α΄ ΟΜΑΔΑΣ 1.Έχουμε i) f x dx f x dx( ) ( ) 4 3 3 4 11∫ ∫= − = − ii) f x dx f x dx f x dx f x dx f x dx( ) ( ) ( ) ( ) ( ) 4 8 4 1 1 8 1 4 1 8 9 13 4∫ ∫ ∫ ∫ ∫= + = − + = − + = iii) f x dx f x dx f x dx f x dx( ) ( ) ( ) ( ) 1 3 1 4 4 3 3 4 9 9 11 2∫ ∫ ∫ ∫= + = − = − = − iv) f x dx f x dx f x dx f x dx( ) ( ) ( ) ( ) 3 8 3 4 4 1 1 8 ∫ ∫ ∫ ∫= + + = − + = − =∫11 13 24 9 15 1 4 f x dx( ) . 2. Έχουμε ln (ln ln ) ln ln . 1 1 1 1 1 1t dt t dt tdt tdt ε ε ε ε ∫ ∫ ∫ ∫= − = − = 3. Η ισότητα x x dx x dx k k 2 21 2 14 1 5 1 3 − + − + =∫ ∫ γράφεται διαδοχικά: x x dx x dx k k 2 21 21 4 1 5 1 3 − + + + =∫ ∫ x x dx k 2 21 4 5 1 3 − + + =∫ 1 3 1 dx k ∫ = ( )k − =1 3 k = 4. 4. Έχουμε i) [ ( ) ( )] ( ) ( ) ( )2 6 2 6 2 5 6 2 22 1 3 1 3 1 3 f x g x dx f x dx g x dx− = − = ⋅ − ⋅ − =∫ ∫ ∫ ii) [ ( ) ( )] ( ) ( )2 2 3 1 3 1 3 1 f x g x dx f x dx g x dx− = −∫ ∫ ∫ = − +∫ ∫2 1 3 1 3 f x dx g x dx( ) ( ) = − ⋅ − = −2 5 2 12. 22-0182-02.indb 305 26/11/2013 4:20:30 μμ
  • 307.
    306 3.5 3.5 Α΄ ΟΜΑΔΑΣ 1.Έχουμε i) ( ) [ ] [ ] [ ]3 2 1 2 2 2 0 0 0 62 0 2 3 2 0 2 3 2 3 2 x x dx x x x− + = − + = − + − − + =∫ ii) x x dx x x x dx dx x x dx e e ee+ = + = +∫ ∫ ∫∫ −1 1 31 1 3 2 11 = + −           = − −       − [ln ] ln lnx x e x e e e 1 1 22 1 1 1 2 1 2 = − −       = −1 2 2 1 3 2 e e iii) ( ) ( ) [ ]συν ηµ ηµ συν ηµ συνx x dx x x dx x x− = + ′ = +∫ ∫2 2 2 0 2 0 2 0 2 π π π = + − − = − = −ηµ συν ηµ συν π π θ 2 2 2 0 2 1 2 1 iv) x x dx x x dx x dx x dx dx+       = + +       = + +∫ ∫ ∫ ∫ −1 1 2 2 2 1 2 2 21 2 2 1 2 2 1 2 1 22 ∫ =       + −       + − =       −       + − x x x x 3 1 2 1 1 2 3 1 2 1 2 3 1 2 2 1 3 1 2( ) = − − −       + = 8 3 1 3 1 2 1 2 29 6 . 2. Έχουμε x x x dx x x dx x x x dx x x dx 3 21 2 22 1 3 21 2 21 27 5 2 5 7 5 2 5 + + + + = + + − +∫ ∫ ∫ ∫ = + + = =       = − =∫ ∫ x x x dx xdx x3 21 2 1 2 2 1 2 5 5 2 4 2 1 2 3 2 . 3. Έχουμε: 22-0182-02.indb 306 26/11/2013 4:20:36 μμ
  • 308.
    307 3.5 2 2 2 fx f x dx f x f x dx f x dx( ) ( ) ( ) ( ) [( ( )) ]′ = ′ = ′∫ ∫ ∫α β α β α β = = −[( ( )) ] ( ( )) ( ( )) .f x f f2 2 2 α β β α 4. Επειδή η γραφική παράσταση της f διέρχεται από τα σημεία (0,0) και (1,1) έχουμε f(0) = 0 και f(1) = 1. Επομένως σύμφωνα με το θεμελιώδες θεώρημα είναι: ′ = = − = − =∫ f x dx f x f f( ) [ ( )] ( ) ( ) . 0 1 0 1 1 0 1 0 1 5. i) Θέτουμε u = συνx, οπότε, έχουμε: ′ = −( )′ ∫F x t dt x ( ) 1 2 1 συν = − ⋅ ′ = − ⋅ − = − ⋅1 12 2 συν συν συν ηµ ηµ ηµx x x x x x( ) ( ) . ii) Η F(x) γράφεται Έχουμε = − ⋅ = −συν συνx x x x x 1 2 2 . 6. i) Έχουμε: ′ = + +( )′ + + = + + + + = + + + + + =f x x x x x x x x x x x x x x x ( ) 2 2 2 2 2 2 2 2 1 1 1 2 2 1 1 1 1 1 1 ++1 ii) Αν χρησιμοποιήσουμε το ερώτημα i) έχουμε: dx x f x dx f x f f 1 1 0 2 0 1 0 1 0 1 + = ′ = = −∫∫ ( ) [ ( )] ( ) ( ) = +( )− +( )= +( )ln ln ln .1 2 0 1 1 2 22-0182-02.indb 307 26/11/2013 4:20:40 μμ
  • 309.
    308 3.5 3.5 Β΄ ΟΜΑΔΑΣ 1.Έχουμε διαδοχικά: d dx tg t dt d dx x x x ( ) ( ) 0 4 6 ∫( )= + xg x x x( ) .= +4 63 5 Επομένως, για x = 1 έχουμε l∙g(l) = 4∙1 3 + 6∙1 5 , οπότε g(1) = 10. 2. Η f(x) γράφεται: f x e dt e dt e dt e dtt x t x t x t x ( ) = + = − +∫ ∫ ∫ + συν συν συν συν2 0 2 0 1 2 0 2 0 π π π π ++ ∫ 1 , οπότε έχουμε: ′ = − + = − ++ + f x e e e ex x x x ( ) ( ) ( )συν συν συν συν2 2 1 2 2 2π π π π π = − + =e ex xσυν συν2 2 0π π . Αυτό σημαίνει ότι η f είναι σταθερή. 3. Έχουμε: ′ = − − f x x ex ( ) 2 2 και τον πίνακα x −∞ 2 +∞ f′(x) – 0 + f(x) 0 min Η f είναι γνησίως φθίνουσα στο ( , ]−∞ 2 , γνησίως αύξουσα στο [ , )2 +∞ και παρουσιάζει ελάχιστο στο x0 = 2, το f(2) = 0. 4. Είναι ′ = ( )′ ∫F x x f t dt x ( ) ( ) 0 = +∫ f t dt xf x x ( ) ( ). 0 5. Έχουμε: 22-0182-02.indb 308 26/11/2013 4:20:44 μμ
  • 310.
    309 3.5 ′ = + + − + F x x x x () 1 1 1 1 12 2 2 = + − + = 1 1 1 1 02 2 x x . Αυτό σημαίνει ότι η συνάρτηση F είναι σταθερή. F(x) = c, x ∈ +∞( , ).0 Είναι όμως, F t dt t dt( ) .1 1 1 1 1 021 1 21 1 = + + + =∫ ∫ Επομένως F(x) = 0, x ∈ +∞( , ).0 6. Έχουμε: lim lim h h h h h t dt t dt h→ + → + ⋅ + = + ∫ ∫ 0 2 2 2 0 2 2 2 1 5 5 0 ή 0   µορϕ    = +( )′ ′→ + ∫ lim ( )h h t dt h0 2 2 2 5 (κανόνας De L’Hospital) = + + → lim ( ) h h 0 2 5 2 = =9 3. 7. i) Θέτουμε u x= −2 4, οπότε du = 2xdx. Τα νέα όρια ολοκληρώσεως είναι u1 2 4 4 12= − = και u2 2 6 4 32= − = . Επομένως, x x dx du u u 24 6 12 32 1 2 12 32 4 1 2 1 2 1 2 32 12 4 2 2 3 − = =           = − = −∫ ∫ ii) Έχουμε [ ( ) ( )] ( )[ ] .ηµ συν ηµ ηµ συν ηµ συν ηµx x x x x dx x x x dx+ − + = + −∫ ∫0 2 0 2 1 π π 22-0182-02.indb 309 26/11/2013 4:20:49 μμ
  • 311.
    310 3.5 Θέτουμε u =συνx + x, οπότε du x dx= − −( ) .ηµ 1 Τα νέα όρια είναι u1 = συν0 + 0 = 1 και u2 2 2 2 = + =συν π π π . Επομένως, ηµ συν ηµ ηµ( )[ ]x x x dx udu+ − = −∫∫ 1 0 2 0 2 ππ = = − = −[ ] .συν συν συν συνu 1 2 2 1 1 π π 8. i) Έχουμε: x x dx x x dx x x dx2 0 2 2 0 1 2 1 2 1 1 1− −( ) = + − + − +∫ ∫ ∫( ) ( ) = + −       + − +       x x x x x x 3 2 0 1 3 2 1 2 3 2 3 2 = + − + − + = 1 3 1 2 1 7 3 3 2 1 5 3 ii) Η f είναι συνεχής στο [–π,π] οπότε έχουμε f x dx xdx xdx x x( ) [ ] − − − ∫ ∫ ∫= + =       − π π π π π π 0 0 2 0 0 2 ηµ συν = − − − = − + π π π2 2 2 0 2 2( ) .συν συν iii) Το τριώνυμο x x2 3 2− + έχει ρίζες τους αριθμούς 1 και 2 και το πρόσημό του φαίνεται στον πίνακα: x −∞ 1 2 +∞ x x2 3 2− + + 0 – 0 + Επομένως έχουμε: x x dx x x dx x x dx x x dx2 0 3 2 0 1 2 1 2 2 2 3 3 2 3 2 3 2 3 2− + = − + + − + − + − +∫ ∫ ∫ ∫( ) ( ) ( ) = − +       + − + −       + − +      x x x x x x x x x 3 2 0 1 3 2 1 2 3 2 3 3 2 2 3 3 2 2 3 3 2 2  2 3 = − +       + − + − + −       + − + − + −       = 1 3 3 2 2 8 3 6 4 1 3 3 2 27 3 27 2 6 8 3 6 4 111 6 . 22-0182-02.indb 310 26/11/2013 4:20:56 μμ
  • 312.
    311 3.5 9. i) Μεολοκλήρωση κατά παράγοντες έχουμε: ln ln ln x x dx x x dx x xdx e e e 1 1 1 2 2 2 2 2 2∫ ∫ ∫= = ( )′ =     − ∫2 2 1 1 1 2 2 x x x x dx e e ln = − − ∫2 2 1 4 1 2 2 1 2 e e x dx e ln ln = −     = − − =4 4 4 4 1 4 1 2 e x e e e ( ) . ii) Με ολοκλήρωση κατά παράγοντες έχουμε: xe dx x e dx xe e dxx x x x− − − − ∫ ∫ ∫= − ′ = − + 0 1 0 1 0 1 0 1 ( ) [ ] = − − = − − −       = − = −− − e e e e e e e x1 0 1 1 1 1 1 2 2 [ ] iii) Θέτουμε u = 9 + x 2 , οπότε du = 2xdx, u1 = 9 και u2 = 10. Επομένως: x x dx udu u uduln( ) ln ( ) ln9 1 2 1 2 2 0 1 9 10 9 10 + = = ′∫ ∫ ∫ =       − = − − −∫ u u du ln ln ln ( ) 2 1 2 10 10 2 9 9 2 1 2 10 9 9 10 9 10 = − −5 10 9 2 9 1 2 ln ln . iv) Με ολοκλήρωση κατά παράγοντες έχουμε: I e xdx e x dxx x = = ′∫ ∫συν ηµ2 1 2 2 0 2 0 2 π π ( ) = − ⋅∫ 1 2 2 1 2 20 2 0 2 [ ]e x x e dxx x ηµ ηµ π π = + ′∫0 1 4 2 0 2 e x dxx ( )συν π =       − ∫ 1 4 2 1 4 2 0 2 0 2 e x e xdxx x συν συν π π 22-0182-02.indb 311 26/11/2013 4:21:01 μμ
  • 313.
    312 3.5 = − − 1 4 1 4 0 1 4 20 e e I π πσυν συν , οπότε 5 4 1 4 1 4 1 5 12 2 I e I e= − − ⇔ = − + π π ( ). 10. Έχουμε: I J x xdx x xdx x x x dx+ = + = +∫ ∫ ∫ηµ συν ηµ συν2 0 2 2 0 2 2 2 0 2 π π π ( ) = =       =∫ xdx x 0 2 2 0 2 2 2 8 π π π . Επίσης I J x x x dx x xdx− = − = −∫ ∫( )ηµ συν συν2 2 0 2 0 2 2 π π = − ′ = − +∫ ∫ 1 2 2 1 2 2 1 2 2 0 2 0 2 0 2 x x dx x x xdx( ) [ ]ηµ ηµ ηµ π π π = −       = 1 2 2 0 1 4 2 0 2 π π π ηµ συν[ ]x = − − = − − − = 1 4 0 1 4 1 1 1 2 ( ) ( ) .συν συνπ Αν λύσουμε το σύστημα I J I J + = − =       π 2 8 1 2 βρίσκουμε I = + π 2 16 1 4 και J = − π 2 16 1 4 . 11. Επειδή f ″ συνεχής έχουμε: f x xdx f x xdx( ) ( ) .ηµ ηµ 0 0 2 π π ∫ ∫+ ′′ = (1) Όμως είναι: ′′ = ′ − ′ ′∫ ∫f x xdx f x x f x x dx( ) [ ( ) ] ( )( )ηµ ηµ ηµ 0 0 0 π π π 22-0182-02.indb 312 26/11/2013 4:21:07 μμ
  • 314.
    313 3.6 = − ′∫f x xdx( )συν 0 π = − + ′∫[ ( ) ] ( )( )f x x f x x dxσυν συν0 0 π π = + − ∫f f f x xdx( ) ( ) ( )π π 0 0 ηµ = + − ∫1 0 0 f f x xdx( ) ( )ηµ π Έτσι, η σχέση (1) γράφεται f x xdx f f x xdx( ) ( ) ( ) ,ηµ ηµ 0 0 1 0 2 π π ∫ ∫+ + − = οπότε f(0) = 1. 12. Επειδή οι f ″ και g″ είναι συνεχείς έχουμε I f x g x f x g x dx= ′′ − ′′∫ ( ( ) ( ) ( ) ( )) α β = ′′ − ′′∫ ∫f x g x dx f x g x dx( ) ( ) ( ) ( ) α β α β = ′ − ′ ′ − ′ + ′ ′∫[ ( ) ( )] ( ) ( ) [ ( ) ( )] ( ) ( )f x g x f x g x dx f x g x f x g x dxα β α β α β α ββ ∫ = ′ − ′ − ′ − ′f g f g f g f g( ) ( ) ( ) ( ) [ ( ) ( ) ( ) ( )]β β α α β β α α = ′ − ′f g f g( ) ( ) ( ) ( ),β β β β (αφού f (α) = g(α) = 0) ( ) ( ) ( ) ( ),f β g β g β g β′ ′= − (αφού ′ = ′f g( ) ( )β β ) = ′ −g f g( )( ( ) ( )).β β β 3.6 Α΄ ΟΜΑΔΑΣ 1. Έχουμε: 0 1 1 1 0 1 0 1 0 1 0 1 = − = − = −∫ ∫ ∫ ∫( ( ) ) ( ) ( ) ,f x dx f x dx dx f x dx οπότε f x dx f x dx f( ) ( ) . 0 1 0 1 1 1 1 0 1 1∫ ∫= ⇔ − = ⇔ = 2. Έχουμε: 22-0182-02.indb 313 26/11/2013 4:21:12 μμ
  • 315.
    314 3.6 0 = −= − = − −∫ ∫ ∫ ∫( ( ) ) ( ) ( ) ( ),f x k dx f x dx kdx f x dx k α β α β α β α β β α οπότε f x dx k f x dx k f k( ) ( ) ( ) . α β α β β α β α∫ ∫= − ⇔ − = ⇔ = 1 3. Έστω η συνάρτηση f(x) = x, x ∈[ , ].α β Τότε η μέση τιμή x του x στο [α,β] είναι: x f xdx x x = = − = −       = − −      ∫ 1 1 1 2 2 2 2 2 β α β α β α β α α β α β = − − = +1 2 2 2 2 β α β α α β . 3.6 Β΄ ΟΜΑΔΑΣ 1. Έχουμε: f x dx= − = − − = + + ∫ 1 1 3 3 2 3 3 2 2 β α β α β α α αβ β α β και g x dx x = − = − −      = − −      ∫ 1 1 1 1 1 1 1 2 β α β α β α α βα β α β = − − = 1 1 β α β α αβ αβ , οπότε f g⋅ = + + ⋅ = + +α αβ β αβ α αβ β αβ 2 2 2 2 3 1 3 . Έτσι, έχουμε να δείξουμε ότι: α αβ β αβ α αβ β αβ 2 2 2 2 3 1 3 + + ⇔ + + ⇔ − + ⇔ − α αβ β α β2 2 2 2 0 0( ) , που ισχύει. Επομένως είναι f g⋅ 1. 2. α) Έχουμε: 22-0182-02.indb 314 26/11/2013 4:21:17 μμ
  • 316.
    315 3.7 υ υ= =− = −∫ ∫ ∫ 1 1 4 40 2 2 0 2 2 0R r dr R P n R r dr P Rn R r dr R R R ( ) ( ) ( )   = − −                 P Rn R R r R 4 0 3 2 3 0  ( ) = −       P Rn R R 4 3 3 3  = = P Rn R PR n4 2 3 6 3 2   . β) Εξάλλου έχουμε: ′ = − = − υ ( ) ( ) Pr ,r P n r n4 2 2 0   για κάθε r R∈( , ).0 Όμως η υ υ= ( )r είναι συνεχής στο [0,R], οπότε θα είναι γνησίως φθίνουσα στο [0,R]. Επομένως η μέγιστη ταχύτητα είναι: υ υµεγ = =( ) .0 4 2 PR n Προφανώς ισχύει υ υµεγ . 3. Έχουμε f x dx f( ) ( ). 0 1 1∫ = (1) Επιπλέον, σύμφωνα με το Θεώρημα Μέσης Τιμής υπάρχει ένα τουλάχιστον ξ ∈( , )0 1 τέτοιο, ώστε f x dx f( ) ( ). 0 1 ∫ = ξ (2) Από (1) και (2) προκύπτει ότι f(ξ) = f(1), οπότε στο διάστημα [ξ,1] ισχύουν οι προϋποθέσεις του θεωρήματος Rolle. Άρα, υπάρχει τουλάχιστον ένα x0 1∈( , )ξ τέτοιο, ώστε f′(x0 ) = 0. Επομένως η Cf έχει τουλάχιστον μία οριζόντια εφαπτομένη. 3.7 A΄ ΟΜΑΔΑΣ 1. Το τριώνυμο f x x x( ) = − +2 2 3 έχει διακρίνουσα Δ = – 8 0, οπότε ισχύει f(x) 0 για κάθε x ∈ .R Επομένως το εμβαδόν που ζητάμε είναι: 22-0182-02.indb 315 26/11/2013 4:21:22 μμ
  • 317.
    316 3.7 Ε = −+ = − +       = − + =∫ ( )x x dx x x x2 0 2 3 2 0 2 2 3 3 3 8 3 4 6 14 3 τετρ. μον. 2. i) Για κάθε x ∈ +∞[ , )0 ισχύει f x x( ) .= ≥3 0 Επομένως το εμβαδόν που ζητάμε είναι: Ε = =           = = ( ) =∫ xdx x x3 0 27 4 3 0 27 4 3 0 27 3 4 5 4 3 3 4 3 4 27 3 4 [ ] τ.μ. ii) Για κάθε x ∈      0 3 , π ισχύει f x x ( ) .= 1 02 συν Επομένως το εμβαδόν που ζητάμε είναι Ε = = = − =∫ 1 3 0 320 3 0 3 συν εϕ εϕ εϕ x dx x π π π [ ] τ.μ. 3. Οι τετμημένες των σημείων τομής της Cf και του άξονα x′x είναι οι ρίζες της εξίσωσης x 2 – 3x = 0, δηλαδή οι αριθμοί 0 και 3. Επειδή f(x) 0 για κάθε x ∈[ , ],0 3 έχουμε: Ε = = −∫ ∫f x dx f x dx( ) ( ) 0 3 0 3 = − − = − −      ∫ ( )x x dx x x2 0 3 3 2 0 3 3 3 3 2 = −       = ⋅ − = 3 2 3 3 2 9 27 3 9 2 2 3 0 3 x x τ.μ. 4. Οι τετμημένες των σημείων τομής των γραφικών παραστάσεων Cf και Cg είναι οι ρίζες της εξίσωσης f(x) = g(x), που γράφεται: f x g x x x x( ) ( )= ⇔ = −3 2 2 ⇔ + − =x x x( )2 2 0 ⇔ =x 0 ή x = 1 ή x = −2. y x – 3x2 O 3 3 2 9 4 y x = 22-0182-02.indb 316 26/11/2013 4:21:27 μμ
  • 318.
    317 3.7 Το πρόσημο τηςδιαφοράς f x g x x x x x x x( ) ( ) ( )( )− = + − = − +3 2 2 1 2 φαίνεται στον παρακάτω πίνακα: x −∞ –2 0 1 +∞ f(x) – g(x) – 0 + 0 – 0 + Επομένως το εμβαδόν που ζητάμε είναι: Ε = − −∫ f x g x dx( ) ( ) 2 1 = − + − −∫ ∫( ( ) ( )) ( ( ) ( ))f x g x dx g x f x dx 2 0 0 1 = + − + − − −∫ ∫( ) ( )x x x dx x x x dx3 2 2 0 2 3 0 1 2 2 = + −       + − −       − x x x x x x4 3 2 2 0 2 3 4 0 1 4 3 3 4 = − + + + − − = − =4 8 3 4 1 1 3 1 4 10 3 1 4 37 12 τ.μ. 5. Οι τετμημένες των σημείων τομής των γραφικών παραστάσεων των συναρτήσεων f(x) = 4 – x2 και g(x) = x – 2 είναι οι ρίζες της εξίσωσης f(x) = g(x), που γράφεται f x g x x x( ) ( )= ⇔ − = −4 22 ⇔ + − =x x2 6 0 ⇔ = −x 3 ή x = 2. Το πρόσημο της διαφοράς f x g x x x( ) ( )− = − − +2 6 φαίνεται στον παρακάτω πίνακα. x −∞ –3 2 +∞ f(x) – g(x) – 0 + 0 – Επομένως το εμβαδόν που ζητάμε είναι: 22-0182-02.indb 317 26/11/2013 4:21:31 μμ
  • 319.
    318 3.7 Ε = − −∫f x g x dx( ) ( ) 3 2 = − − + = − − +      − − ∫ ( )x x dx x x x2 3 2 3 2 3 2 6 3 2 6 = − − +       − − −       = + = 8 3 4 2 12 27 3 9 2 18 20 5 6 125 6 τ.μ. 3.7 Β΄ ΟΜΑΔΑΣ 1. i) Επειδή f′(x) = 6x έχουμε f′(1) = 6, οπότε η εξίσωση της εφαπτομένης στο Α(1,3) είναι: ε : ( )y x y x− = − ⇔ = −3 6 1 6 3 ii) Η ε τέμνει τον άξονα x′x στο σημείο Β 1 2 0, .       Επομένως, το εμβαδόν που ζητάμε είναι: Ε = + = + − +∫ ∫ε ε1 2 2 0 1 2 2 1 2 1 3 3 6 3x dx x x dx( ) = + − +[ ] [ ]x x x x3 0 1 2 3 2 1 2 1 3 3 = + − + − − +       = 1 8 1 3 3 1 8 3 4 3 2 1 4 τ.μ. 2. Επειδή lim ( ) lim ( ) ( ), x x f x f x f → →− + = = 1 1 1 η συνάρτηση f είναι συνεχής και στο σημείο 1, οπότε αυτή είναι συνεχής σε όλο το R. Είναι φανερό, επιπλέον, ότι f x( ) ≥ 0 για κάθε x ∈ −[ , ].1 2 Επομένως το ζητούμενο εμβαδόν είναι: 22-0182-02.indb 318 26/11/2013 4:21:35 μμ
  • 320.
    319 3.7 Ε = =− + + − −∫ ∫ ∫f x dx x dx xdx( ) ( ) 1 2 2 1 1 1 2 3 2 = − +       +          − x x x3 1 1 3 2 1 2 3 3 2 3 2 = − + − −       + −( )1 3 3 1 3 3 4 3 2 13 = +4 8 3 2 τ.μ. 3. Οι τετμημένες των σημείων τομής της Cf και του άξονα x′x είναι οι ρίζες της εξίσωσης f(x) = 0, δηλαδή οι αριθμοί 1 και 5 2 . Στο 1 5 2 ,       η f είναι και συνεχής και ισχύει f x( ) .≥ 0 Επομένως το ζητούμενο εμβαδόν είναι: Ε = ∫ f x dx( ) 1 5 2 = − + − + − +∫ ∫( ) ( )x x dx x dx2 1 2 2 5 2 4 3 2 5 = − + −       + − +  x x x x x 3 2 1 2 2 2 5 2 3 2 3 5 = − + − − − + −       + − +       − − + = 8 3 8 6 1 3 2 3 25 4 25 2 4 10 11 12 ( ) τ.μ. 4. Οι τετμημένες των σημείων τομής των Cf και Cg είναι οι ρίζες της εξίσωσης f(x) = g(x), που γράφεται 22-0182-02.indb 319 26/11/2013 4:21:39 μμ
  • 321.
    320 3.7 f x gx x x ( ) ( )= ⇔ − = + 1 1 3 ⇔ − = + x x 1 1 9 2 ( ) ⇔ − + =x x2 7 10 0 ⇔ =x 2 ή x = 5. Εξάλλου, για x ≥ 1 έχουμε: f x g x x x ( ) ( )≥ ⇔ − ≥ +     1 1 3 2 ⇔ − + ≤x x2 7 10 0 ⇔ ≤ ≤2 5x . Επομένως, το ζητούμενο εμβαδόν είναι: Ε = − − +      = − − +∫ ∫ ∫x x dx x dx x dx1 1 3 1 1 3 1 2 5 2 5 2 5 ( ) . Στο 1° ολοκλήρωμα θέτουμε u = x – 1, οπότε du = dx, u1 = 1, u2 = 4 και έτσι έχουμε: Ε = − +       =           − + − −   ∫ u du x x u1 2 1 4 2 2 5 3 2 1 4 1 3 2 3 2 1 3 25 2 5 2 2    = −( )− +       = 2 3 4 1 1 3 25 2 1 1 6 3 τ.μ. 5. i) Έχουμε f(e) = l = g(e). Άρα το σημείο A(e,l) είναι κοινό σημείο των γραφικών παραστάσεων Cf και Cg των συναρτήσεων f και g. Επειδή η f είναι γνησίως φθίνουσα, ενώ η g γνησίως αύξουσα, οι Cf και Cg έχουν ένα μόνο κοινό σημείο το Α. Επομένως το ζητούμενο εμβαδόν Ε(λ) ισούται με 22-0182-02.indb 320 26/11/2013 4:21:43 μμ
  • 322.
    321 3.7 Ε ( )ln .λ λ = +∫ ∫xdx e x dx e e1 Είναι όμως ln ( ) lnxdx x xdx e e 1 1∫ ∫= ′ = − ∫[ ln ]x x dxe e 1 1 = − − =e e eln ( ) .1 1 Άρα Ε ( ) ln [ln ]λ λ λ = + = +∫ ∫xdx e x dx e x e e e1 1 = + − = + −1 1 1e e e eln ln (ln ).λ λ ii) Επομένως, lim ( ) lim [ (ln )] λ λ λ λ →+∞ →+∞ = + −Ε 1 1e = − + = +∞ →+∞ ( ) lim (ln ) .1 e e λ λ 6. Η τετμημένη του Α είναι η λύση της εξίσωσης 3 x = 3, που είναι ο αριθμός 1. Η τετμημένη του Β είναι η λύση του συστήματος y x y = =    3 , που είναι ο αρι- θμός 3. Το ζητούμενο εμβαδόν είναι ίσο με: ( ) ( )3 3 3 2 3 20 1 1 3 0 1 2 0 1 2 1 3 x x x dx x dx dx x x x − + − = −       + −      ∫ ∫ ∫ = − + − − +       1 3 3 1 2 9 9 2 3 1 2 0 1 ln [ ]x = − + − = + 1 3 3 1 6 9 2 2 3 3 2ln [ ] ln τ.μ. 22-0182-02.indb 321 26/11/2013 4:21:48 μμ
  • 323.
    322 3.7 7. Η τετμημένητου σημείου Α είναι ρίζα της εξίσωσης x x x2 2 2 2 1− + = − , που είναι ο αριθμός x = 3 2 . Επομένως, το ζητούμενο εμβαδόν είναι ίσο με: Ε = − − + − + − +∫ ∫ ∫( ) ( ) ( )x dx x dx x x dx2 0 1 2 1 3 2 2 3 2 2 1 1 2 2 = − −       + −       + − +       x x x x x x x 3 0 1 3 1 3 2 3 2 3 2 2 3 3 3 2 = − −       +       − − +         + − + −       1 3 1 1 3 3 2 3 2 1 3 1 8 3 4 4 1 3 3 2 3 33 2 3 2 2 3 2 +       −               = 7 4 τ.μ. 8. i) Οι εξισώσεις των εφαπτομένων ε1 και ε2 της Cf στα σημεία Ο και Α αντιστοίχως είναι: ε1 0 0 0: ( ) ( )( )y f f x− = ′ − και ε π π π2 : ( ) ( )( )y f f x− = ′ − Επειδή f′(x) = συνx έχουμε: f′(0) = 1 και f′(π) = – 1, οπότε ε1 : y x= και ε π2 : .y x= − + ii) Η τετμημένη του σημείου τομής Β των ε1 και ε2 είναι η ρίζα της εξίσωσης x = – x + π, δηλαδή ο αριθμός x = π 2 . Επομένως το ζητούμενο εμβαδόν είναι: 22-0182-02.indb 322 26/11/2013 4:21:52 μμ
  • 324.
    323 3.7 Ε = −+ − + −∫ ∫( ) ( )x x dx x x dxηµ ηµ 0 2 2 π π π π = +       + − + +       x x x x x 2 0 2 2 2 2 2 συν συν π π π π = + − − + + + − − π π π π π π π π2 2 2 2 2 8 2 0 2 8 2 2 συν συν συν συν = − π 2 4 2. 9. α) Έχουμε ′ =f x x ( ) , 1 2 x ∈ +∞( , ),0 οπότε ′ =f ( )1 1 2 και η εξίσωση της εφαπτομένης ε είναι: y x y x− = − ⇔ = +1 1 2 1 1 2 1 2 ( ) Η ε τέμνει τον άξονα x′x στο σημείο με τετμημένη –1. Επομένως το ζητούμενο εμβαδόν είναι: Ε = +       + + −      −∫ ∫ 1 2 1 2 1 2 1 21 0 0 1 x dx x x dx = +       + + −          − x x x x x2 1 0 2 3 2 0 1 4 1 2 4 2 2 3 = − + + + − = 1 4 1 2 1 4 1 2 2 3 1 3 τ.μ. β) Εξετάζουμε αρχικά αν υπάρχει ευθεία x = α με α ∈ −[ , ]1 0 η οποία χωρίζει το χωρίο (Α) του (α) ερωτήματος σε δύο ισοεμβαδικά χωρία. Δηλαδή αν υπάρχει τιμή του α ∈ −[ , ]1 0 τέτοια, ώστε να ισχύει: 1 2 1 2 2 4 2 1 61 2 1 0 x dx x x +       = ⇔ +       = − − ∫ α Ε 22-0182-02.indb 323 26/11/2013 4:21:58 μμ
  • 325.
    324 3.7 ⇔ + −+ = ⇔ + + = α α α α 2 2 4 2 1 4 1 2 1 6 3 6 1 0. Η τελευταία εξίσωση έχει ρίζες τους αριθμούς α1 3 6 3 = − + και α2 3 6 3 = − − . Από αυτούς μόνο ο α1 ανήκει στο διάστημα [–1,0]. Επομένως η ζητούμενη ευθεία έχει εξίσωση: x = − +3 6 3 . Αν εργαστούμε ανάλογα για α ∈[ , ],0 1 βρίσκουμε ότι δεν υπάρχει άλλη ευθεία x = α που να χωρίζει το χωρίο Α σε δύο ισοεμβαδικά χωρία. Αυτό, άλλωστε, ήταν αναμενόμενο. 10. Έχουμε g x x x( ) ln ln ln ,= − = −1 που σημαίνει ότι η Cg είναι συμμετρική της Cf ως προς τον άξονα x′x. Η τετμημένη του Α είναι ρίζα της εξίσωσης ln ln , 1 2 x = που είναι ο αριθμός x = 1 2 . Η τετμημένη του Β είναι ρίζα της εξίσωσης ln x = ln2, που είναι ο αριθμός x = 2. Επομένως το ζητούμενο εμβαδόν είναι: Ε = −       + −∫ ∫ln ln (ln ln )2 1 21 2 1 1 2 x dx x dx = −       + + − −∫ ∫ln ln ln ( ) ln2 1 1 2 2 2 11 2 1 1 2 xdx xdx = + − + − +∫ ∫ 1 2 2 1 2 11 2 1 1 2 1 1 2 1 2 ln [ ln ] ln [ ln ]x x dx x x dx = + − − −       + − + + − 1 2 2 1 1 1 2 1 2 1 1 2 2 2 2 1 1 2 1ln ln ln ln ln ln 22-0182-02.indb 324 26/11/2013 4:22:02 μμ
  • 326.
    325 3.7 = + −− + 1 2 2 1 2 2 1 2 2 1ln ln ln = 1 2 . 11. i) Έχουμε f(0) = 2 και f′(x) = 2x – 3. Από τον τύπο ′ = +∫ f x dx f x c( ) ( ) έχουμε διαδοχικά ( ) ( )2 3x dx f x c− = +∫ x x f x c2 3− = +( ) f x x x c( ) .= − −2 3 Είναι όμως, f c c( ) .0 2 2 2= ⇔ − = ⇔ = − Επομένως, f x x x( ) .= − +2 3 2 ii) Οι τετμημένες των σημείων τομής της Cf με τον άξονα x′x είναι οι ρίζες της εξίσωσης x x2 3 2 0− + = δηλαδή x1 = 1 και x2 = 2. Επειδή x x2 3 2 0− + , όταν x ∈( , ),1 2 το ζητούμενο εμβαδόν είναι: Ε = − − + = − − +      ∫ ( )x x dx x x x2 1 2 3 2 1 2 3 2 3 3 2 2 = − − ⋅ + ⋅       + − +       = 8 3 3 2 4 2 2 1 3 3 2 2 1 6 τ.μ. 12. i) Η Cf τέμνει τον άξονα των x στα σημεία Α(1,0) και Β(3,0). Επειδή ′ = − + ′ = −f x x x x( ) ( ) ,2 4 3 2 4 έχουμε f′(1) = – 2 και f′(3) = 2. Επομένως, η εξίσωση της εφαπτομένης στο Α(1,0) είναι: y f f x y x− = ′ − ⇔ = − +( ) ( )( )1 1 1 2 2 ενώ η εξίσωση της εφαπτομένης στο Β(3,0) είναι: 22-0182-02.indb 325 26/11/2013 4:22:07 μμ
  • 327.
    326 ΓΕΝΙΚΕΣ ΑΣΚΗΣΕΙΣ Γ’ΟΜΑΔΑΣ y f f x y x− = ′ − ⇔ = −( ) ( )( )3 3 3 2 6 ii) Η τετμημένη του σημείου τομής Γ των εφαπτομένων είναι λύση της εξίσωσης − + = −2 2 2 6x x δηλαδή ο αριθμός x = 2. Επομένως το σημείο τομής τους είναι το Γ(2, –2). Λόγω της συμμετρίας του σχήματος έχουμε: ● ε1 2 1 2 2 4 3= − − +∫ ( )x x dx = − − +      2 3 2 3 3 2 1 2 x x x = − − ⋅ + ⋅ − + −       =2 8 3 2 4 3 2 1 3 2 3 4 3 και ● ε2 2 1 2 2 1 2 2 4 3 2 2 2 2 1= − + + − = − +∫ ∫( ) ( )x x x dx x x dx = − +       = − + − + −       =2 3 2 8 3 4 2 1 3 1 1 2 3 3 2 1 2 x x x . Άρα ε ε 1 2 4 3 2 3 2= = . ΓΕΝΙΚΕΣ ΑΣΚΗΣΕΙΣ Γ΄ ΟΜΑΔΑΣ 1. i) Θέτουμε u = π – x, οπότε du = – dx, u1 = π, u2 = 0. Έτσι έχουμε: I xf x dx u f u du= = − − −∫ ∫( ) ( ) ( ( ))ηµ ηµ 0 0π π π π = − +∫ ∫π π π f u du uf u du( ) ( )ηµ ηµ 0 0 = −∫π π f u du I( ) .ηµ 0 Επομένως 2 0 I f u du= ∫π π ( ) ,ηµ οπότε I f x dx= ∫ π π 2 0 ( ) .ηµ 22-0182-02.indb 326 26/11/2013 4:22:12 μμ
  • 328.
    327 ΓΕΝΙΚΕΣ ΑΣΚΗΣΕΙΣ Γ’ΟΜΑΔΑΣ ii) Σύμφωνα με το ερώτημα (i) έχουμε: I x x x dx x x dx x x dx1 20 20 203 2 3 2 4 = + = + = −∫ ∫ ∫ ηµ ηµ ηµ ηµ ηµ συν π π ππ π . Θέτουμε u = συνx, οπότε du = – ημxdx. Επομένως: I du u du u 1 21 1 21 1 2 4 2 4 = − − = − − − ∫ ∫ π π . Αναζητούμε α β, ∈R τέτοια, ώστε να ισχύει: 1 4 2 22 u u u− = − + + α β ή, ισοδύναμα, ( ) ( ) ,α β α β+ + − =u 2 1 για κάθε u ∈ − −{ , }.2 2R Η τελευταία ισχύει για κάθε u ∈ − −{ , },2 2R αν και μόνο αν α β α β α + = − =    ⇔ = 0 2 1 1 4( ) και β = − 1 4 . Επομένως I u du u du1 1 1 1 1 2 1 4 2 2 1 4 2 = − + − + − − ∫ ∫ π π = −  − +  − −π π 8 2 8 21 1 1 1 ln lnu u = − − − π π 8 3 1 8 1 3(ln ln ) (ln ln ) = + = π π π 8 3 8 3 4 3ln ln ln . 2. i) Αναζητούμε α, β τέτοια ώστε 1 1 1 12 x x x− = − + + α β ή, ισοδύναμα, 1 = + + −( ) ( ),α β α βx για κάθε x ∈ − −{ , }.1 1R Η τελευταία ισχύει για κάθε x ∈ − −{ , },1 1R αν και μόνο αν α β α β α + = − =    ⇔ = 0 1 1 2 και β = − 1 2 . Έτσι τελικά έχουμε: dx x dx x dx x x x20 1 2 0 1 2 0 1 2 0 1 2 1 1 2 1 1 2 1 1 2 1 1 2 1 − = − − + = −  − +∫ ∫ ∫ ln ln 0 1 2 22-0182-02.indb 327 26/11/2013 4:22:19 μμ
  • 329.
    328 ΓΕΝΙΚΕΣ ΑΣΚΗΣΕΙΣ Γ’ΟΜΑΔΑΣ = −       − −       1 2 1 2 1 1 2 3 2 1ln ln ln ln = −       = = 1 2 1 2 3 2 1 2 1 2 3 2 1 2 1 3 ln ln ln ln = = −ln ln . 1 3 3 ii) Έχουμε: 1 13 2 2 3 2 2 3 2 ηµ ηµ ηµ ηµ συνx dx x x dx x x dxπ π π π π π ∫ ∫ ∫= = − . Θέτουμε u = συνx, οπότε du xdx= −ηµ , u1 3 1 2 = =συν π και u2 2 0= =συν π . Επομένως 1 1 1 3 3 2 21 2 0 20 1 2 ηµx dx du u du u π π ∫ ∫ ∫= − − = − − = ln (από i)). 3. Για u ≠ –1, –2 αναζητούμε α β, ∈R τέτοιους, ώστε: 1 1 2 1 2( )( )u u u u+ + = + + + α β ή, ισοδύναμα, 1 2 1= + + +α β( ) ( ),u u για κάθε u ≠ –1, –2 ( ) ,α β α β+ + + − =u 2 1 0 για κάθε u ≠ –1, –2 Η τελευταία ισχύει για κάθε u ∈ − − −{ , },1 2R αν και μόνο αν α β α β α β + = + =       ⇔ = = −    0 2 1 1 1 . Επομένως 1 1 2 1 2( )( )u u du du u du u+ + = + − +∫ ∫ ∫ = + − + +ln lnu u c1 2 22-0182-02.indb 328 26/11/2013 4:22:24 μμ
  • 330.
    329 ΓΕΝΙΚΕΣ ΑΣΚΗΣΕΙΣ Γ’ΟΜΑΔΑΣ i) Θέτουμε u = ημx, οπότε du = συνxdx. Επομένως συν ηµ ηµ x x x dx du u u( )( ) ( )( )+ + = + +∫ ∫1 2 1 2 = + − + +ln lnu u c1 2 = + − + +ln lnηµ ηµx x c1 2 ii) Θέτουμε u = e x , οπότε du = e x dx. Έτσι έχουμε e e e dx du u u e e c x x x x x ( )( ) ( )( ) ln ln + + = + + = + − + +∫ ∫1 2 1 2 1 2 = + − + +ln( ) ln( ) .e e cx x 1 2 4. i) Έχουμε: I I t t dt t t dtν ν ν ν + = + + + + + + ∫ ∫1 2 1 20 1 2 3 20 1 1 1 = + + = + + ∫ ∫ t t t dt t dt 2 1 2 20 1 2 1 0 11 1 ν ν( ) = +       = + + t2 2 0 1 2 2 1 2 2 ν ν ν ii) I t t dt t t dt0 20 1 2 20 1 1 1 2 1 1 = + = + ′ +∫ ∫ ( ) ( ) = + = − = 1 2 1 1 2 2 1 1 2 22 0 1 [ln( )] (ln ln ) ln .t Εξάλλου από το ερώτημα i) έχουμε I I0 1 1 2 0 2 1 2 + = ⋅ + = , οπότε I I1 0 1 2 1 2 1 2 2 1 2 1 2= − = − = −ln ( ln ). Επίσης είναι I I2 1 1 2 1 2 + = ⋅ + , οπότε I I2 1 1 4 1 4 1 2 1 2 2 1 2 2 1 4 = − = − + = −ln ln . 5. Θέτουμε g(x) το 1° μέλος και h(x) το 2° μέλος και έχουμε: 22-0182-02.indb 329 26/11/2013 4:22:30 μμ
  • 331.
    330 ΓΕΝΙΚΕΣ ΑΣΚΗΣΕΙΣ Γ’ΟΜΑΔΑΣ ● ′ = −( )′ ∫ ∫g x x f u du uf u du x x ( ) ( ) ( ) 0 0 = + − =∫ ∫f u du xf x xf x f u du x x ( ) ( ) ( ) ( ) 0 0 και ● ′ = ∫h x f t dt x ( ) ( ) . 0 Δηλαδή ισχύει g′(x) = h′(x) για κάθε x ∈ .R Επομένως, υπάρχει σταθερά c τέτοια ώστε g(x) = h(x) + c ή, ισοδύναμα, f u x u du f t dt du c x ux ( )( ) ( ) ,− = ( ) +∫ ∫∫0 00 για κάθε x ∈ .R Για x = 0 έχουμε: f u u du f t dt du c c c u ( )( ) ( )0 0 0 0 0 0 00 0 − = ( ) + ⇔ = + ⇔ =∫ ∫∫ οπότε έχουμε: f u x u du f t dt du x ux ( )( ) ( ) .− = ( )∫ ∫∫0 00 6. i) ● Η συνάρτηση g u u( ) = −2 1 έχει πεδίο ορισμού το σύνολο Α = −∞ − ∪ +∞( , ] [ , ).1 1 Άρα, για να ορίζεται η f πρέπει τα άκρα 1, t να ανήκουν στο ίδιο διάστημα του Α. Άρα πρέπει t ∈ +∞[ , ),1 οπότε το πεδίο ορισμού της f είναι το [ , ).1 +∞ Για να ορίζεται, τώρα, η F πρέπει τα άκρα 1, x να ανήκουν στο διάστημα [ , )1 +∞ που είναι το πεδίο ορισμού της f . Άρα πρέπει x ∈ +∞[ , ),1 οπότε το πεδίο ορισμού της F είναι το [ , ).1 +∞ ii) ● Έχουμε ′ = = −∫F x f x u du x ( ) ( ) 2 1 1 οπότε ′′ = ′ = −F x f x x( ) ( ) .2 1 Επειδή F″(x) 0 στο ( , )1 +∞ και F″(1) = 0, η F′ είναι γνησίως αύξουσα στο [ , ),1 +∞ οπότε: 22-0182-02.indb 330 26/11/2013 4:22:36 μμ
  • 332.
    331 ΓΕΝΙΚΕΣ ΑΣΚΗΣΕΙΣ Γ’ΟΜΑΔΑΣ ● η F είναι κυρτή στο [ , )1 +∞ και ● F′(x) F′(l) = 0 για κάθε x ∈ +∞( , ).1 Άρα η F είναι γνησίως αύξουσα στο [ , ).1 +∞ 7. i) F x G x e t t dt et x x ( ) ( ) ( ) ,+ = + = −∫ συν ηµ2 2 0 1 (1) και F x G x e t t dtt x ( ) ( ) ( )− = −∫ συν ηµ2 2 0 = =∫ e tdt xt x συν2 0 Κ ( ). Όμως, είναι Κ ( ) [ ]x e t e tdtt x t x = + ∫συν ηµ2 2 20 0 = − + − ∫e x e t e tdtx t x t x συν ηµ συν2 1 2 2 4 20 0 [ ] = − + −e x e x xx x συν ηµ2 1 2 2 4Κ ( ) οπότε 5 2 2 2 1Κ ( ) ( ) .x e x xx = + −συν ηµ Άρα Κ ( ) ( ) ( ) ( ) .x F x G x e x x x = − = + − 5 2 2 2 1 5 συν ηµ (2) Με πρόσθεση των (1) και (2) κατά μέλη προκύπτει ότι: 2 5 2 2 2 6 5 F x e x x e x x ( ) ( )= + + −συν ηµ F x e x x ex x ( ) ( ) .= + + − 10 2 2 2 2 6 10 συν ηµ (3) Από τις (1) και (3) έχουμε G x e e x x ex x x ( ) ( )= − − + − +1 10 2 2 2 2 6 10 συν ηµ = − + − e e x x x x 2 10 2 2 2 4 10 ( )συν ηµ ii) Επειδή ′ =F t e tt ( ) ,συν2 έχουμε 22-0182-02.indb 331 26/11/2013 4:22:42 μμ
  • 333.
    332 ΓΕΝΙΚΕΣ ΑΣΚΗΣΕΙΣ Γ’ΟΜΑΔΑΣ I F x e e e = = + + − − + −[ ( )] ( ) ( )π π π π π π π π π2 2 2 10 4 2 4 2 6 10 10 2 2 2συν ηµ συν ηµ eeπ 2 6 10 + = + − − e e e e2 2 2 10 2 10 2 π π π π = − 3 5 1e eπ π ( ). Επειδή ′ =G t e tt ( ) ,ηµ2 έχουμε J G x e e e e = = − + − + +[ ( )] ( ) ( )π π π π π π π π π π2 2 2 2 10 4 2 4 2 10 2 2 2συν ηµ συν ηµ = − − + = − e e e e e e 2 2 2 10 2 10 2 5 1 π π π π π π ( ). 8. Οι τετμημένες των σημείων Α και Β είναι οι ρίζες της εξίσωσης x 2 +1 = 5, δηλαδή οι αριθμοί x1 = – 2 και x2 = 2. Οι τετμημένες των Γ και Δ είναι οι ρίζες της εξίσωσης x 2 + 1 = α 2 + 1, δηλαδή οι αριθμοί x1 = – α και x2 = α. Το εμβαδόν Ε του χωρίου Ω που περικλείεται από την ευθεία y = 5 και τη γραφική παράσταση της y = x2 + 1 είναι: Ε = − − = − +      − − ∫ ( )5 1 3 42 2 2 3 2 2 x dx x x = − + − + = 8 3 8 8 3 8 32 3 . Το εμβαδόν ε του χωρίου που περικλείεται από την ευθεία y = α2 + 1 και τη γραφική παράσταση της y = x 2 + 1 είναι: ε α α α α α α α α α α α = + − − = − = + −      − − − ∫ ∫( ) ( ) ( )2 2 2 2 2 3 1 1 3 x dx x dx x = − +       = − =2 3 3 2 2 3 4 3 3 3 3 3 3 3 α α α α α α . 22-0182-02.indb 332 26/11/2013 4:22:47 μμ
  • 334.
    333 ΓΕΝΙΚΕΣ ΑΣΚΗΣΕΙΣ Γ’ΟΜΑΔΑΣ Το Ω χωρίζεται από την y = α 2 + 1σε δύο ισοεμβαδικά χωρία, αν και μόνο αν ε α α α= ⇔ = ⋅ ⇔ = ⇔ = Ε 2 4 3 32 3 1 2 4 16 43 3 3 . 9. i) Αν 0 λ 1, τότε Ε ( )λ λ λ = =∫ ∫ −1 2 1 2 1 x dx x dx = −       = − − x 1 1 1 1 1 λ λ . Αν λ 1, τότε Ε ( ) .λ λλ λ λ = = = −       = −∫ ∫ − − 1 1 1 12 1 2 1 1 1 x dx x dx x Αν λ 1, τότε Ε ( ) .λ λ λ λ λ = = = −      = −∫ ∫ −1 1 1 1 21 2 1 1x dx x dx x ii) Αν 0 λ 1, τότε Ε ( ) .λ λ λ= ⇔ − = ⇔ = 1 2 1 1 1 2 2 3 Αν λ 1, τότε: Ε ( )λ λ λ= ⇔ − = ⇔ = 1 2 1 1 1 2 2 iii) Έχουμε: lim ( ) lim lim λ λ λ λ λ λ→ → → = −       = −       = +∞+ +0 0 0 1 1 1 1Ε και lim ( ) lim . λ λ λ λ→+∞ →+∞ = −       =Ε 1 1 1 10. i) Ισχύει f(x) – g(x) 0, για κάθε x ∈[ , ],α β οπότε έχουμε διαδοχικά: ( ( ) ( ))f x g x dx− ≥∫α β 0 f x dx g x dx( ) ( ) α β α β ∫ ∫− ≥ 0 f x dx g x dx( ) ( ) . α β α β ∫ ∫≥ 22-0182-02.indb 333 26/11/2013 4:22:52 μμ
  • 335.
    334 ΓΕΝΙΚΕΣ ΑΣΚΗΣΕΙΣ Γ’ΟΜΑΔΑΣ ii) Για κάθε x ∈[ , ]α β ισχύει m ≤ f(x) ≤ Μ, οπότε έχουμε διαδοχικά: mdx f x dx dx α β α β α β ∫ ∫ ∫≤ ≤( ) Μ m f x dx( ) ( ) ( )β α β α α β − ≤ ≤ −∫ Μ iii) Είναι: ′ = − = − f x x x x x x x x x ( ) συν ηµ εϕ συν 2 2 2 0 αφού x – εφx 0 και x x 2 0 συν για x ∈      0 2 , . π Επομένως η f είναι γνησίως φθίνουσα στο 0 2 , . π      α) Για x ∈       π π 6 3 , ισχύει π π 6 3 ≤ ≤x , οπότε f f x f π π 6 3       ≥ ≥      ( ) , αφού η f είναι γνησίως φθίνουσα. Έτσι, 3 3 3 2π ηµ π ≥ ≥ x x ή ισοδύναμα, 3 3 2 3 π ηµ π ≤ ≤ x x . β) Σύμφωνα με το ερώτημα i) θα ισχύει 3 3 2 3 6 3 6 3 6 3 π π π π π π π π dx x x dx dx∫ ∫ ∫≤ ≤ ηµ 3 3 2 3 6 3 3 66 3 π π π π π π π π −       ≤ ≤ −      ∫ ηµx x dx 3 4 1 26 3 ≤ ≤∫ ηµx x dxπ π . iv) Είναι ′ = − − f x xe x ( ) ,2 0 2 για x ∈ +∞( , )0 επειδή η f είναι και συνεχής στο [ , ),0 +∞ η f θα είναι γνησίως φθίνουσα στο [ , ).0 +∞ 22-0182-02.indb 334 26/11/2013 4:22:59 μμ
  • 336.
    335 ΓΕΝΙΚΕΣ ΑΣΚΗΣΕΙΣ Γ’ΟΜΑΔΑΣ α) Από την ανισότητα e xx ≥ +1 , αν θέσουμε όπου x το – x 2 , προκύπτει e xx− ≥ − 2 1 2 . (1) Εξάλλου, επειδή η f είναι γνησίως φθίνουσα στο [ , ),0 +∞ για x ∈[ , ]0 1 θα ισχύει f x f e x ( ) ( ) .≤ ⇔ ≤− 0 1 2 (2) Από (1) και (2) προκύπτει ότι 1 12 2 − ≤ ≤− x e x , για x ∈[ , ].0 1 β) Από την τελευταία ανισότητα προκύπτει ( )1 12 0 1 0 1 0 12 − ≤ ≤∫ ∫ ∫ − x dx e dx dxx 2 3 1 2 0 1 ≤ ≤− ∫ e dxx . 22-0182-02.indb 335 26/11/2013 4:23:02 μμ
  • 337.