Lecture 35: Principal Axes,
Translations, and Eulerian Angles
When Can We Find Principal Axes?
• We can always write down the cubic equation that one
must solve to determine the principal moments
• But if we want to interpret these as physically meaningful
quantities, the roots of that cubic have to be real
– Recall that in general, cubics can have two complex roots
• Fortunately, we’re not in the general case here
• The inertia tensor is both real and symmetric – in
particular, it satisfies:
• Matrices that satisfy this restriction are called Hermitian
• For such matrices, the principal moments can always be
found, and they are always real (see proof in text)
*
ij ij
I I
=
This mathematics will come up again in Quantum Mechanics
Principal Moments ↔ Eigenvalues
Principal Axes ↔ Eigenfunctions
Inertia Tensor Under Translation
• We’ve already seen how the inertia tensor transforms
under a rotation of the coordinate system
• Now we’ll see how it behaves under translation – that is,
keeping the direction of the the coordinate axes fixed, but
changing the origin
• In particular, we’ll compare I for a coordinate system at
the center of mass of an object with that for a different
origin:
x1
x2
x3
O
X1
X2
X3
Q
rCM
O is at the center of
mass; Q can be
anywhere
• In the X reference frame (the one with origin at Q), the
position of any point in the rigid body can be written as:
which means the inertia tensor becomes:
α
α = +
CM
R r
r Position in center-of-
mass frame
( )
( ) ( )( )
( )
( )
(
)
( )
( )
2
, ,
2
, , ,
2
, , , , , ,
2 2
, , , ,
, , , , , , , ,
,
2
, , , ,
2
2
ij ij k i j
k
ij k CM k i CM i j CM j
k
ij k CM k k CM k
k
i j CM i j i CM j CM i CM j
ij CM k k
ij k i j
k
CM k CM
k
I m X X X
m x x x x x x
m x x x x
x x x x x x x x
m x x x
m x x x
x
α α α α
α
α α α α
α
α α α
α
α α α α
α
α α
α
α α
α
δ
δ
δ
δ
δ
= −
= + − + +
= + +
− − − −
=
+ + −
−
( )
, , , , ,
i j i CM j CM i CM j
x x x x x
α α
α
− −
Inertia tensor about the center of mass
• So the inertia tensor about Q is:
• Each term in the second line has a factor that looks like:
• For a general reference frame, this quantity equals the mass of
the system times the position of the ith component of the center
of mass
– But the xi and in the center of mass frame, so all these terms are
zero
• Therefore we have the result (Steiner’s Parallel Axis Theorem):
( )
( )
2
, , , ,
, , , , , ,
2
ij CM ij ij CM k CM i CM j
k
ij CM k k CM i j i CM j
k
I I x x x m
m x x x x x x
α
α
α α α α
α
δ
δ
= + −
+ − −
,i
m x
α α
α
( )
2
, , , ,
ij CM ij ij CM k CM i CM j
k
I I M x x x
δ
= + −
Eulerian Angles
• In analyzing the motion of a rigid body, it is most
convenient to use a reference frame that is fixed to the
body
– For example, a symmetry axis of the body could be the z
axis in this “body frame”
– But that’s usually not an inertial frame
• So we need to define a translation between some inertial
“fixed” frame and the body frame
• Three angles are needed to specify how one coordinate
system is rotated with respect to another (in three
dimensions)
– These angles determine the elements of the rotation matrix λ
λ
λ
λ
• There are many ways the three angles can be specified
• One convenient choice is the Eulerian Angles, in which the
3D rotation is the result of three 1D rotations:
1. Rotate CCW by φ around axis
2. Rotate CCW by θ around axis
3. Rotate CCW by ψ around axis
3 3
x x
′ ′′
=
1
x′
2
x′
φ
θ
1
x
ψ
1 2 3
( , , )
x x x
′ ′ ′
1 2 3
( , , )
x x x
′′ ′′ ′′
1 2 3
( , , )
x x x
′′′ ′′′ ′′′
2
x′′
1
x′′
1
x′
2
x′
3 3
x x
′ ′′
=
2
x′′′
3
x′′′
1 1
x x
′′ ′′′
=
3 3
x x
′′′=
1
x′
3
x′
2
x′
2
x
Line of
nodes
1 2 3
( , , )
x x x
3
x′
1
x′′
3
x′′′
• Note that in each rotation, one axis (from the previous
rotation) is held fixed. That means the rotation matrices
have the form:
• The complete rotation is given by:
• i.e., the elements of λ
λ
λ
λ are obtained by multiplying the three
individual rotation matrices (see Equation 11.99 in the text
for their values)
cos sin 0 1 0 0
sin cos 0 ; 0 cos sin
0 0 1 0 sin cos
cos sin 0
sin cos 0
0 0 1
φ φ
φ φ θ θ
θ θ
ψ ψ
ψ ψ
= − =
−
= −
′ ′
= ≡
x x x
Angular Velocity in the Body Frame
• It’s going to be easiest to find the equations of motion for
the object in the body frame
• In general, we can write:
• To write the components of this vector in the body frame
we need to do some geometry:
= + +
1
x
ψ
3
x
1
x′
3
x′
2
x′
2
x
φ
θ
• is along the x3 direction:
• is in the x1-x2 plane:
• has components in all three
directions:
ψ
= 3
e
2
cos sin
θ ψ θ ψ
= −
1
e e
2 3
sin sin sin cos cos
φ θ ψ φ θ ψ φ θ
= + +
1
e e e
• Adding up these vectors, we find that the components of ω
ω
ω
ω
in the body frame are:
1
2
3
sin sin cos
sin cos sin
cos
ω φ θ ψ θ ψ
ω φ θ ψ θ ψ
ω φ θ ψ
= +
= −
= +
Euler’s Equations for Rigid Body
Motion
• Now that we’ve defined the geometry, we can set up the
Lagrangian for rigid body motion
• To make things easy, we’ll first consider the case where no
external forces act on the body, so:
• In that case, we can put the origin of both the fixed
(meaning inertial) and body frames at the center of mass
• Furthermore, we can cleverly choose the body frame to
coincide with the principal axes of the body, so that:
L T
=
2
1
2
i i
i
I
T ω
=
Principal moment of inertia
associated with the ith axis
• Since the Eulerian angles fully specify the orientation of
the rigid body in the inertial frame, we can take them to be
our generalized coordinates
• The equation of motion for ψ is:
which becomes (using the chain rule):
• One piece that enters everywhere is which is simply:
0
T d T
dt
ψ ψ
∂ ∂
− =
∂ ∂
0
i i
i i
i i
T d T
dt
ω ω
ω ψ ω ψ
∂ ∂
∂ ∂
− =
∂ ∂ ∂ ∂
,
i
T
ω
∂
∂
i i
i
T
I ω
ω
∂
=
∂
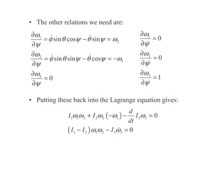
• The other relations we need are:
• Putting these back into the Lagrange equation gives:
1
2
2
1
3
sin cos sin
sin sin cos
0
ω
φ θ ψ θ ψ ω
ψ
ω
φ θ ψ θ ψ ω
ψ
ω
ψ
∂
= − =
∂
∂
= − = −
∂
∂
=
∂
1
2
3
0
0
1
ω
ψ
ω
ψ
ω
ψ
∂
=
∂
∂
=
∂
∂
=
∂
( )
( )
1 1 2 2 2 1 3 3
1 2 1 2 3 3
0
0
d
I I I
dt
I I I
ω ω ω ω ω
ω ω ω
+ − − =
− − =
• The choice of which axis to call x3 was completely
arbitrary
– That means we can find similar relations for the other
components of the angular velocity
( )
( )
( )
1 2 1 2 3 3
3 1 3 1 2 2
2 3 2 3 1 1
0
0
0
I I I
I I I
I I I
ω ω ω
ω ω ω
ω ω ω
− − =
− − =
− − =
Euler’s Equations
for force-free motion

Lecture35.pdf

  • 1.
    Lecture 35: PrincipalAxes, Translations, and Eulerian Angles
  • 2.
    When Can WeFind Principal Axes? • We can always write down the cubic equation that one must solve to determine the principal moments • But if we want to interpret these as physically meaningful quantities, the roots of that cubic have to be real – Recall that in general, cubics can have two complex roots • Fortunately, we’re not in the general case here • The inertia tensor is both real and symmetric – in particular, it satisfies: • Matrices that satisfy this restriction are called Hermitian • For such matrices, the principal moments can always be found, and they are always real (see proof in text) * ij ij I I = This mathematics will come up again in Quantum Mechanics Principal Moments ↔ Eigenvalues Principal Axes ↔ Eigenfunctions
  • 3.
    Inertia Tensor UnderTranslation • We’ve already seen how the inertia tensor transforms under a rotation of the coordinate system • Now we’ll see how it behaves under translation – that is, keeping the direction of the the coordinate axes fixed, but changing the origin • In particular, we’ll compare I for a coordinate system at the center of mass of an object with that for a different origin: x1 x2 x3 O X1 X2 X3 Q rCM O is at the center of mass; Q can be anywhere
  • 4.
    • In theX reference frame (the one with origin at Q), the position of any point in the rigid body can be written as: which means the inertia tensor becomes: α α = + CM R r r Position in center-of- mass frame ( ) ( ) ( )( ) ( ) ( ) ( ) ( ) ( ) 2 , , 2 , , , 2 , , , , , , 2 2 , , , , , , , , , , , , , 2 , , , , 2 2 ij ij k i j k ij k CM k i CM i j CM j k ij k CM k k CM k k i j CM i j i CM j CM i CM j ij CM k k ij k i j k CM k CM k I m X X X m x x x x x x m x x x x x x x x x x x x m x x x m x x x x α α α α α α α α α α α α α α α α α α α α α α α α α δ δ δ δ δ = − = + − + + = + + − − − − = + + − − ( ) , , , , , i j i CM j CM i CM j x x x x x α α α − − Inertia tensor about the center of mass
  • 5.
    • So theinertia tensor about Q is: • Each term in the second line has a factor that looks like: • For a general reference frame, this quantity equals the mass of the system times the position of the ith component of the center of mass – But the xi and in the center of mass frame, so all these terms are zero • Therefore we have the result (Steiner’s Parallel Axis Theorem): ( ) ( ) 2 , , , , , , , , , , 2 ij CM ij ij CM k CM i CM j k ij CM k k CM i j i CM j k I I x x x m m x x x x x x α α α α α α α δ δ = + − + − − ,i m x α α α ( ) 2 , , , , ij CM ij ij CM k CM i CM j k I I M x x x δ = + −
  • 6.
    Eulerian Angles • Inanalyzing the motion of a rigid body, it is most convenient to use a reference frame that is fixed to the body – For example, a symmetry axis of the body could be the z axis in this “body frame” – But that’s usually not an inertial frame • So we need to define a translation between some inertial “fixed” frame and the body frame • Three angles are needed to specify how one coordinate system is rotated with respect to another (in three dimensions) – These angles determine the elements of the rotation matrix λ λ λ λ
  • 7.
    • There aremany ways the three angles can be specified • One convenient choice is the Eulerian Angles, in which the 3D rotation is the result of three 1D rotations: 1. Rotate CCW by φ around axis 2. Rotate CCW by θ around axis 3. Rotate CCW by ψ around axis 3 3 x x ′ ′′ = 1 x′ 2 x′ φ θ 1 x ψ 1 2 3 ( , , ) x x x ′ ′ ′ 1 2 3 ( , , ) x x x ′′ ′′ ′′ 1 2 3 ( , , ) x x x ′′′ ′′′ ′′′ 2 x′′ 1 x′′ 1 x′ 2 x′ 3 3 x x ′ ′′ = 2 x′′′ 3 x′′′ 1 1 x x ′′ ′′′ = 3 3 x x ′′′= 1 x′ 3 x′ 2 x′ 2 x Line of nodes 1 2 3 ( , , ) x x x 3 x′ 1 x′′ 3 x′′′
  • 8.
    • Note thatin each rotation, one axis (from the previous rotation) is held fixed. That means the rotation matrices have the form: • The complete rotation is given by: • i.e., the elements of λ λ λ λ are obtained by multiplying the three individual rotation matrices (see Equation 11.99 in the text for their values) cos sin 0 1 0 0 sin cos 0 ; 0 cos sin 0 0 1 0 sin cos cos sin 0 sin cos 0 0 0 1 φ φ φ φ θ θ θ θ ψ ψ ψ ψ = − = − = − ′ ′ = ≡ x x x
  • 9.
    Angular Velocity inthe Body Frame • It’s going to be easiest to find the equations of motion for the object in the body frame • In general, we can write: • To write the components of this vector in the body frame we need to do some geometry: = + + 1 x ψ 3 x 1 x′ 3 x′ 2 x′ 2 x φ θ • is along the x3 direction: • is in the x1-x2 plane: • has components in all three directions: ψ = 3 e 2 cos sin θ ψ θ ψ = − 1 e e 2 3 sin sin sin cos cos φ θ ψ φ θ ψ φ θ = + + 1 e e e
  • 10.
    • Adding upthese vectors, we find that the components of ω ω ω ω in the body frame are: 1 2 3 sin sin cos sin cos sin cos ω φ θ ψ θ ψ ω φ θ ψ θ ψ ω φ θ ψ = + = − = +
  • 11.
    Euler’s Equations forRigid Body Motion • Now that we’ve defined the geometry, we can set up the Lagrangian for rigid body motion • To make things easy, we’ll first consider the case where no external forces act on the body, so: • In that case, we can put the origin of both the fixed (meaning inertial) and body frames at the center of mass • Furthermore, we can cleverly choose the body frame to coincide with the principal axes of the body, so that: L T = 2 1 2 i i i I T ω = Principal moment of inertia associated with the ith axis
  • 12.
    • Since theEulerian angles fully specify the orientation of the rigid body in the inertial frame, we can take them to be our generalized coordinates • The equation of motion for ψ is: which becomes (using the chain rule): • One piece that enters everywhere is which is simply: 0 T d T dt ψ ψ ∂ ∂ − = ∂ ∂ 0 i i i i i i T d T dt ω ω ω ψ ω ψ ∂ ∂ ∂ ∂ − = ∂ ∂ ∂ ∂ , i T ω ∂ ∂ i i i T I ω ω ∂ = ∂
  • 13.
    • The otherrelations we need are: • Putting these back into the Lagrange equation gives: 1 2 2 1 3 sin cos sin sin sin cos 0 ω φ θ ψ θ ψ ω ψ ω φ θ ψ θ ψ ω ψ ω ψ ∂ = − = ∂ ∂ = − = − ∂ ∂ = ∂ 1 2 3 0 0 1 ω ψ ω ψ ω ψ ∂ = ∂ ∂ = ∂ ∂ = ∂ ( ) ( ) 1 1 2 2 2 1 3 3 1 2 1 2 3 3 0 0 d I I I dt I I I ω ω ω ω ω ω ω ω + − − = − − =
  • 14.
    • The choiceof which axis to call x3 was completely arbitrary – That means we can find similar relations for the other components of the angular velocity ( ) ( ) ( ) 1 2 1 2 3 3 3 1 3 1 2 2 2 3 2 3 1 1 0 0 0 I I I I I I I I I ω ω ω ω ω ω ω ω ω − − = − − = − − = Euler’s Equations for force-free motion