Embed presentation
Download to read offline











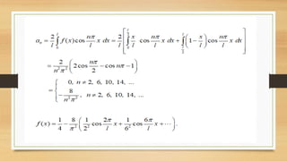
The document discusses half-range Fourier series expansions for functions defined over a finite range. It explains that such expansions are possible if the functions can be extended to periodic even or odd functions. Specifically, a piecewise continuous function defined over a finite interval can be extended to a periodic function that is either even or odd, allowing it to be represented by a half-range cosine or sine series expansion through harmonic analysis.










