Embed presentation
Downloaded 34 times





















































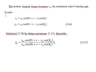
Dokumen ini membahas kinematika gelombang dan persamaan diferensial gelombang tanpa mengkaji sifat fisik dari gangguan yang merambat. Aspek kinematis gelombang, seperti superposisi dan efek Doppler, diuraikan secara terpadu. Gelombang dianggap merambat dalam arah tertentu dengan kecepatan konstan.



















































