Computer Graphics
Lecture 1
Introduction to Computer Graphics
• Computer is an information processing machine ,a tool for storing,
manipulating and correlating data.
• CG makes it possible to express data in pictorial form.
• The picture or graphics object may be an engineering drawing, business
graphs, architectural structures, a single frame from an animated movie or
a machine parts illustrated for a service manual.
• It is important to understand
– How pictures or graphics objects are presented in CG?
– How pictures or graphics objects are prepared for presentation?
– How previously prepared pictures or graphics objects are presented ?
– How interaction with the picture or graphics object is accomplished?
2
Introduction to Computer Graphics
• Computer graphics : the creation , storage and
manipulation of pictures and drawings using a digital
computer.
• One picture is worth a thousand words
• Application of CG : designing, particularly
engineering and architectural systems
• Other applications of CG : Image Processing,
Animation, Morphing, Simulation, e-Learning
Material Designing and Graphics Designing
3
4
CG (Cont’)
application
data
structures
application
programs
graphics
systems
graphics devices users
(operators)
 application data structures / models
 application programs
 graphics systems
 graphics devices
The Programmer’s Model of Interactive Graphics
5
Graphics Systems
• interface between application programs and
graphics devices
• consisting of input subroutines and output
subroutines accepting input data from input
devices and draw pictures on output devices,
respectively
6
Overview
application program
graphics system
graphics
hardware
input and
output devices
metafiles
operating system
• Pixel
– The smallest size object or color spot on monitor
– The most basic addressable image element in a
screen
– Each pixel has a particular color & brightness value
– In 2D ,pixel can be addressed by (x,y)
– In 3D ,pixel can be addressed by (x,y,z)
7
Points
• Single Coordinate Position
– Set the bit value(color code) corresponding to a
specified screen position within the frame buffer
8
x
y
setPixel (x, y)
• Resolution
– The no. of dots or pixels available to us on the
screen in the graphics mode
– Greater the no. of dots, the higher the resolution
– Image resolution : pixel spacing
– Screen resolution : no. of pixels per inch
9
• Dot
– RGB phosphor coated material arranged into an
array of millions of tiny cells-red, green and blue
• Dot Pitch
– Distance between adjacent sets (triads) of red,
green & blue dots
• Aspect Ratio
– Ratio of the no. X pixels to the no. of Y pixels
10
11
Frame Buffers
A frame buffer may be thought of as computer memory organized as a two-
dimensional array with each (x,y) addressable location corresponding to one
pixel.
Bit Planes or Bit Depth is the number of bits corresponding to each pixel.
A typical frame buffer resolution might be
640 x 480 x 8
1280 x 1024 x 8
1280 x 1024 x 24
12
1-Bit Memory. Monochrome
Display
(Bit-map Display)
Electron
Gun
1 bit
2 levels
13
3-Bit Color Display
3
red
green
blue
COLOR: black red green blue yellow cyan magenta white
R
G
B
0
0
0
1
0
0
0
1
0
0
0
1
1
1
0
0
1
1
1
0
1
1
1
1
14
True Color Display
24 bitplanes,
8 bits per color gun 224 = 16,777,216
Green
Red
Blue
N
N
N
15
The aspect ratio of a display device is the ratio of the number of vertical points
to that of horizontal points necessary to produce equal length of lines in both
direction on screen
Aspect Ratio
Note
Sometimes, aspect ratio is stated in terms of the ratio of
horizontal to vertical points
3/4 = 0.75
l
l
4/3 = 1.33...
• Rasterization
The process of determining the appropriate pixels
for representing picture or graphics object
• Scan conversion
The process of representing continuous picture or
graphics object as a collection of discrete pixels
16
Computer graphics under ‘C’
• Graphics.h & graphics.lib
• Graphics mode : initgraph()
• initgraph(&gd,&gm,"c:tcbgi");
• gd = DETECT : for graphics drivers
• gm : for monitor & its resolutions
– No. of video pages it supports & available colors
• E.g. VGA adapter : EGAVGA.BGI file
17
Computer graphics under ‘C’ (Cont’d)
• Two things happen the moment we change
over to graphics mode
1. The cursor disappears
2. A coordinate system is established whereby the
TOP-LEFT corner of the screen is treated as
origin (0,0)
• X-axis goes horizontally
• Y-axis goes vertically
18
Lecture 2
A. Scan Conversions
20
Scan conversions
Contents
• Lines
• line segments
• Vectors
• pixels and frame buffers
• vector generation
• DDA and Bresenham’s line and circle drawing algorithms
• Initialising
• thick lines
• Character generation : Stroke Principle, Starburst Principle, Bit map
method
• display of frame buffer.
21
Lines
• Eq. of line in slope-intercept form
y = mx + b
Where m = (y2-y1)/(x2-x1)
And b = y1 – mx1
22
Line segments
• Specified by two end points.
• Lets say P1(x1,y1) and P2(x2,y2) and yield eq. y = mx
+ b
• Then another point P3(x3,y3) lies on the segment if
y3 = mx3 + b
Min(x1,x2) <= x3 <= max(x1,x2)
Min(y1,y2) <= y3 <= max(y1,y2)
23
Frame Buffers
• Each pixel has a name or address
• The array which contains internal representation of
an image
• It collects and stores pixel values for the display
device
• A framebuffer is a video output device that drives a
video display from a memory buffer containing a
complete frame of data.
25
Vectors
• A vector is a combination of three things:
• a positive number called its magnitude,
• a direction in space,
• a sense making more precise the idea of
direction.
• Typically a vector is illustrated as a directed
straight line.
26
Vector Generation
• The process of “turning on” the pixels for a line
segment
• The Vector Generation algorithms which step along
the line to determine the pixels which should be
turned on are called as digital differential analyzers
(DDAs).
27
Lines
• Intermediate Positions between Two Endpoints
– DDA, Bresenham’s line algorithms
28
Jaggies
= Aliasing
29
Simple Line
30
Based on slope-intercept
algorithm from algebra:
y = mx + b
Simple approach:
increment x, solve for y
Floating point arithmetic
required
Line drawing algorithm
• Programmer specifies (x,y) values of end pixels
• Need algorithm to figure out which intermediate pixels are
on line path
• Pixel (x,y) values constrained to integer values
• Actual computed intermediate line values may be
floats
• Rounding may be required. E.g. computed point
(10.48, 20.51) rounded to (10, 21)
• Rounded pixel value is off actual line path (jaggy!!)
• Sloped lines end up having jaggies
• Vertical, horizontal lines, no jaggies
Line Drawing Algorithm
0 1 2 3 4 5 6 7 8 9 10 11 12
8
7
6
5
4
3
2
1
Line: (3,2) -> (9,6)
? Which intermediate
pixels to turn on?
Line Drawing Algorithm
• Slope-intercept line equation
– y = mx + b
– Given two end points (x0,y0), (x1, y1), how to compute
m and b?
(x0,y0)
(x1,y1)
dx
dy
0
1
0
1
x
x
y
y
dx
dy
m



 0
*
0 x
m
y
b 

Line Drawing Algorithm
• Numerical example of finding slope m:
• (Ax, Ay) = (23, 41), (Bx, By) = (125, 96)
5392
.
0
102
55
23
125
41
96








Ax
Bx
Ay
By
m
Digital Differential Analyzer (DDA): Line
Drawing Algorithm
(x0,y0)
(x1,y1)
dx
dy
Walk through the line, starting at (x0,y0)
Constrain x, y increments to values in [0,1] range
Case a: x is incrementing faster (m < 1)
Step in x=1 increments, compute and round y
Case b: y is incrementing faster (m > 1)
Step in y=1 increments, compute and round x
DDA Line Drawing Algorithm (Case a: m <
1)
(x0, y0)
x = x0 + 1 y = y0 + 1 * m
Illuminate pixel (x, round(y))
x = x + 1 y = y + 1 * m
Illuminate pixel (x, round(y))
…
Until x == x1
(x1,y1)
x = x0 y = y0
Illuminate pixel (x, round(y))
)
1
(
.....
1 eq
m
y
y k
k 


DDA Line Drawing Algorithm (Case b:
m > 1)
y = y0 + 1 x = x0 + 1 * 1/m
Illuminate pixel (round(x), y)
y = y + 1 x = x + 1 /m
Illuminate pixel (round(x), y)
…
Until y == y1
x = x0 y = y0
Illuminate pixel (round(x), y)
(x1,y1)
(x0,y0)
)
2
(
......
1
1 eq
m
x
x k
k 


• Eq.(1) and (2) are based on the assumption that lines are to be processed
from left to right side i.e Xk<Xk+1.If this sequence is reversed i.e
Xk>Xk+1,then
)
1
(
.....
1 eq
m
y
y k
k 


)
2
(
......
1
1 eq
m
x
x k
k 


Digital Differential Analyzer (DDA) algorithm
• Digital Differential Analyzer (DDA) algorithm is the simple line
generation algorithm which is explained step by step here.
• Step 1 − Get the input of two end points (X0,Y0) and (X1,Y1).
• Step 2 − Calculate the difference between two end points.
dx = X1 - X0
dy = Y1 - Y0
• Step 3 − Based on the calculated difference in step-2, you need to identify
the number of steps to put pixel. If dx > dy, (case a:m<1) then you need
more steps in x coordinate; otherwise in y coordinate.
if (dx > dy)
Steps = absolute(dx);
else
Steps = absolute(dy);
• Step 4 − Calculate the increment in x coordinate and y coordinate.
Xincrement = dx / (float) steps;
Yincrement = dy / (float) steps;
• Step 5 − Put the pixel by successfully incrementing x and y coordinates
accordingly and complete the drawing of the line.
for(int v=0; v < Steps; v++)
{
x = x + Xincrement;
y = y + Yincrement;
putpixel(x,y);
}
Line Drawing Algorithm Drawbacks
• DDA is the simplest line drawing algorithm
– Not very efficient
– Round operation is expensive
• Optimized algorithms typically used.
– Integer DDA
– E.g.Bresenham algorithm
• Bresenham algorithm
– Incremental algorithm: current value uses previous value
– Integers only: avoid floating point arithmetic
– Several versions of algorithm:
• Use DDA algorithm to draw a line From(1,1)
to (5,3)
i Plot x y
1 (1,1) 1.5 1.5
2 (2,2) 2.5 2
3 (3,2) 3.5 2.5
4 (4,3) 4.5 3
5 (5,3) 5.5 3.5
Computer Graphics
Lecture 3
P M Shelke
The Bresenham Line Algorithm
The Bresenham algorithm is another
incremental scan conversion algorithm
The big advantage of this algorithm is that it
uses only integer calculations
Jack Bresenham
worked for 27 years at
IBM before entering
academia. Bresenham
developed his famous
algorithms at IBM in
the early 1960s
Bresenham’s Line Drawing
46
NE
P=(xp,y0
E
NE
Consider the line in the figure above, assume that we have just
selected the pixel p(xp,yp) and now must choose between the pixel
one increment to the right (E) or the pixel one increment to the right
and one increment up (NE). Let Q be the intersection point of the
line with the grid line x= xp+1. In this algorithm, the difference
between the vertical distances from E and NE to Q is computed, and
the sign of the difference is used to select the pixel whose distance
from Q is smaller as the best approximation to the line.
Bresenham’s Line Drawing
47
NE
P=(xp,y0
E
NE
We observe on which side of the line the midpoint M lies, If it lies
above the line, pixel E is closer to the line, if it lies below the line,
pixel NE is closer to the line. The line may pass between E and NE,
or both pixels may lie on one side, but in any case, the midpoint
test chooses the closest pixel. Also, the error that is, the vertical
distance between the chosen pixel and the actual line is always
<=1/2.
The algorithm chooses NE as the next pixel for the line shown
above. Now all we need is a way to calculate on which side of the
line the midpoint lies.
The Big Idea
Move across the x axis in unit intervals and at each step choose
between two different y coordinates
2 3 4 5
2
4
3
5
For example, from
position (2, 3) we
have to choose
between (3, 3) and
(3, 4)
We would like the
point that is closer to
the original line
(xk, yk)
(xk+1, yk)
(xk+1, yk+1)
The y coordinate on the mathematical line at
xk+1 is:
Deriving The Bresenham Line Algorithm
At sample position xk+1 the
vertical separations from the
mathematical line are
labelled d2 and d1
c
x
m
y k 

 )
1
(
y
yk
yk+1
xk+1
d1
d2
B
A
C
Bresenham’s algorithm for line
Derivation of decision parameter
• In this vertical distances of A and B to C is computed, and the
sign of the difference is used to select the pixel whose
distance from C is smaller as the best approximation to the
line.
• Let the vertical distance of the pixel B from the true line path
i.e. BC be denoted as d1 and the vertical distance of pixel A
from the true line path i.e. AC be denoted as d2 at sampling
position xk+1
50
Bresenham’s algorithm for line
Derivation of decision parameter (Cont’d)
Now as C is a point on the true line path at sampling position
xk+1, hence the coordinates of C are given by
– x = xk+1
– y = m(xk+1) + c………………….[y=mx+c]
– d1 = y – yk = m(xk+1) + c - yk
– d2 = (yk +1) – y = yk +1 – m(xk+1) - c
d1-d2=mxk+m+c-yk-yk-1+mxk+m+c
d1-d2=2m+2c-1+2mxk-2yk
– d1-d2 = 2m (xk + 1) – 2yk + 2c -1
51
Bresenham’s algorithm for line
Derivation of decision parameter
(Cont’d)
Substituting m = ∆y/ ∆x, we get
∆x(d1-d2) = 2 ∆y(xk) - 2 ∆x(yk) + 2 ∆y + 2c ∆x - ∆x
…Eq. 1
Since ∆x >0, ∆x(d1-d2) has same sign as (d1-d2). Therefore
∆x(d1-d2) which involves only integer calculations can
be used as a decision parameter to decide correct pixel,
(xk+1,yk+1) next to (xk,yk).
We call this ∆x(d1-d2) as parameter Pk
52
Lecture 4
Bresenham’s algorithm for line
Derivation of decision parameter
(Cont’d)
• If Pk > 0 then d1 > d2 hence choose A implying (xk+1, yk+1)=(xk+1,yk+1)
• If Pk < 0 then d1 < d2 hence choose B implying (xk+1, yk+1)=(xk+1,yk)
• If Pk = 0 then d1 = d2 hence we can choose either A or B
• Now what happens to the value of Pk and therefore the location of
pixel (xk+2, yk+2) for the next grid line; both depend of course on
whether we choose A or B as (xk+1, yk+1)
54
Bresenham’s algorithm for line
Derivation of decision parameter
(Cont’d)
• The parameter that decides the pixel (xk+2, yk+2) is Pk+1which is
evaluated similarly from eqn.(1) as,
Pk+1=2∆y (xk+1) – 2∆x (yk+1)+2∆y+2c∆x -∆x
• Subtracting Pk from Pk+1 to get the incremental difference
Pk+1 - Pk=2∆y(xk+1-xk) – 2∆x (yk+1-yk)
 Pk+1 =Pk+2∆y – 2∆x (yk+1-yk) [since xk+1 = xk+1]
If A is chosen previously then yk+1-yk=1
And Pk+1=Pk+2∆y-2∆x
55
Bresenham’s algorithm for line
Derivation of decision parameter (Cont’d)
• Else if B is chosen previously then yk+1 - yk=0 And Pk+1=Pk+2∆y
• Now checking the sign of Pk+1 the choice is made between pixel at (xk+1+1,
yk+1+1) and (xk+1+1, yk+1) as the pixel (xk+2, yk+2)
• This process is continued till the endpoint of the line is reached
• Thus we see at each step the algorithm chooses between two pixels based on
the sign of the decision parameter calculated in the previous iteration; then it
updates the decision parameter simply by incrementing the old value by a
factor depending upon the choice of pixel.
56
Bresenham’s algorithm for line
Derivation of decision parameter (Cont’d)
• This method of obtaining values of successive decision parameters
(Pk) using incremental integer calculation avoids direct
computation of Pk from eqn. (4) involving floating point operations.
• Since the first pixel is simply the first endpoint (x0,y0) of the line we
can directly calculate the initial value of Pk i.e. P0 for fixing (x1,y1)
57
Bresenham’s algorithm for line
Derivation of decision parameter (Cont’d)
• As the point (x0,y0) lies on the true line path, it satisfies
the line equation y=mx+c.
c=y0 – mx0
= y0 – (∆y/ ∆x)x0
2c∆x=2y0∆x-2x0∆y
• Putting k=0 and replacing 2c∆x with 2y0 ∆x-2x0 ∆y in the
expression of Pk we get,
P0= 2∆y(x0) - 2 ∆x(y0) + 2 ∆y + 2y0∆x – 2x0∆y - ∆x
=2 ∆y - ∆x
58
Bresenham algorithm for line
• The Bresenham line algorithm has the following
advantages:
– An fast incremental algorithm
– Uses only integer calculations
• Comparing this to the DDA algorithm, DDA has the
following problems:
– Accumulation of round-off errors can make the pixelated
line drift away from what was intended
– The rounding operations and floating point arithmetic
involved are time consuming
59
The Bresenham Line Algorithm
BRESENHAM’S LINE DRAWING ALGORITHM
(for |m| < 1.0)
1. Input the two line end-points, storing the left end-point
in (x0, y0)
2. Plot the point (x0, y0)
3. Calculate the constants Δx, Δy, 2Δy, and (2Δy - 2Δx)
and get the first value for the decision parameter as:
1. At each xk along the line, starting at k = 0, perform the
following test. If pk < 0, the next point to plot is
(xk+1, yk) and:
x
y
p 


 2
0
y
p
p k
k 


 2
1
The Bresenham Line Algorithm (cont…)
ACHTUNG! The algorithm and derivation above assumes slopes
are less than 1. for other slopes we need to adjust the algorithm
slightly.
Otherwise, the next point to plot is (xk+1, yk+1) and:
5. Repeat step 4 (Δx – 1) times
x
y
p
p k
k 




 2
2
1
Adjustment
For m>1, we will find whether we will increment x while
incrementing y each time.
After solving, the equation for decision parameter pk will be very
similar, just the x and y in the equation will get interchanged.
Bresenham Example
Let’s have a go at this
Let’s plot the line from (20, 10) to (30, 18)
First off calculate all of the constants:
– Δx: 10
– Δy: 8
– 2Δy: 16
– 2Δy - 2Δx: -4
Calculate the initial decision parameter p0:
– p0 = 2Δy – Δx = 6
Bresenham Example (cont…)
17
16
15
14
13
12
11
10
18
29
27
26
25
24
23
22
21
20 28 30
k pk (xk+1,yk+1)
0
1
2
3
4
5
6
7
8
9
Bresenham Exercise
Go through the steps of the Bresenham line
drawing algorithm for a line going from (21,12)
to (29,16)
Bresenham Exercise (cont…)
17
16
15
14
13
12
11
10
18
29
27
26
25
24
23
22
21
20 28 30
k pk (xk+1,yk+1)
0
1
2
3
4
5
6
7
8
Bresenham Line Algorithm Summary
The Bresenham line algorithm has the following advantages:
– An fast incremental algorithm
– Uses only integer calculations
Comparing this to the DDA algorithm, DDA has the following problems:
– Accumulation of round-off errors can make the pixelated line drift
away from what was intended
– The rounding operations and floating point arithmetic involved are
time consuming
Lecture 5
Circle
Algorithm
68
Lecture 5
A Simple Circle Drawing Algorithm
• The equation for a circle is:
• where r is the radius of the circle
• So, we can write a simple circle drawing algorithm
by solving the equation for y at unit x intervals
using:
70
2
2
2
r
y
x 

2
2
x
r
y 


A Simple Circle Drawing Algorithm (cont…)
71
20
0
20 2
2
0 


y
20
1
20 2
2
1 


y
20
2
20 2
2
2 


y
6
19
20 2
2
19 


y
0
20
20 2
2
20 


y
Circle Drawing Algorithms (Trigonometric)
72
θ
R
R
y
x
 We can find the value of x and y
from the figure above:
Cos(θ)=x/R x= R*Cos(θ)
Sin(θ)=y/R y= R*Sin(θ)
Polar coordinates
X=r*cosθ+xc
Y=r*sinθ+yc
0º≤θ≤360º
Or
0 ≤ θ ≤6.28(2*π)
Problem:
– Deciding the increment in θ
– Cos, sin calculations
Circle Drawing Algorithms
So the following procedure code draw a circle centered
at (xc,yc) by using the above method:
Procedure Circle(int xc,yc,R);
float th,dt,x,y;
{
dt= 1/R;
th=0;
while th<=2*pi do
{
x=R*cos(th);
y=R*sin(th);
putpixel(round(x)+xc,round(y)+yc,8);
th=th+dt;
}
}
74
Eight-Way Symmetry
• The first thing we can notice to make our circle drawing algorithm
more efficient is that circles centred at (0, 0) have eight-way
symmetry
75
(x, y)
(y, x)
(y, -x)
(x, -y)
(-x, -y)
(-y, -x)
(-y, x)
(-x, y)
2
R
Eight-Way Symmetry
We can improve the drawing process of the circle by taking
greater advantage of the symmetry in a circle
76
(-x,-y) (x,-y)
(-y,-x) (y,-x)
(-y,x)
(-x,y)
(x,y)
(y,x)
Consider a circle centered at the origin, if the point (x,y) is on the
circle, then we can trivially compute seven other points on the
circle, as shown in the figure above. Therefore, we need to
compute only one 45˚ segment to determine the circle completely.
A Simple Circle Drawing Algorithm (cont…)
However, unsurprisingly this is not a brilliant
solution!
Firstly, the resulting circle has large gaps where
the slope approaches the vertical
Secondly, the calculations are not very efficient
– The square (multiply) operations
– The square root operation – try really hard to
avoid these!
We need a more efficient, more accurate
solution
Mid-Point Circle Algorithm
• Similarly to the case with lines, there
is an incremental algorithm for
drawing circles – the mid-point circle
algorithm
• In the mid-point circle algorithm we use eight-way
symmetry so only ever calculate the points for the
top right eighth of a circle, and then use symmetry
to get the rest of the points
78
The mid-point circle
algorithm was
developed by Jack
Bresenham.
Mid-Point Circle Algorithm (cont…)
Mid-Point Circle Algorithm (cont…)
Mid-Point Circle Algorithm (cont…)
• Assume that we have
just plotted point (xk, yk)
• The next point is a
choice between (xk+1, yk)
and (xk+1, yk-1)
• We would like to choose
the point that is nearest to
the actual circle
• So how do we make this choice?
81
Mid-Point Circle Algorithm (cont…)
Let’s re-jig the equation of the circle slightly to
give us:
Any point (x,y) on the boundary of the circle with radius r
satisfies the equation
If the point is inside the circle, then the circle function is negative
and if the point is outside the circle then the circle function is
positive.
0
0
)
,
(
2
2
2




r
y
x
or
y
x
fcirc
2
2
2
)
,
( r
y
x
y
x
fcirc 


i.e:
By evaluating this function at the midpoint
between the candidate pixels we can make our
decision.








,
0
,
0
,
0
)
,
( y
x
fcirc
boundary
circle
the
inside
is
)
,
(
if y
x
boundary
circle
on the
is
)
,
(
if y
x
boundary
circle
the
outside
is
)
,
(
if y
x
Mid-Point Circle Algorithm (cont…)
Assuming we have just plotted the pixel at (xk,yk)
so we need to determine whether the next point
(xk+1,yk) is closer or (xk+1,yk-1) is closer to the
actual circle.
Our decision parameter (Pk) is circle function.
)
1
,
1
(
)
,
1
(





k
k
circ
k
k
k
circ
k
y
x
f
P
or
y
x
f
P
We will take the midpoint of these two points.
Our decision variable can be defined as:
2
2
2
)
2
1
(
)
1
(
)
2
1
,
1
(
r
y
x
y
x
f
p
k
k
k
k
circ
k








Case 1: Pk<0
If pk < 0 ,the
midpoint is inside
the circle and the
pixel at yk is closer
to the circle, so plot
(xk+1,yk) .
Case 1: Pk<0
• After this, we have to increase x by 1.
• If we solve this we get,
• i.e when, earlier we have not changed the row (Y
is same)
)
1
2
(
_ 

 k
k
new
k x
P
p
2
2
2
_
)
2
1
(
)
2
(
)
2
1
,
2
(
r
y
x
y
x
f
p
k
k
k
k
circ
new
k








Case 2: Pk>0
• Otherwise if Pk>0
then the midpoint is
outside and yk-1 is
closer so plot
(xk+1,yk-1).
• After this also, we have to increase x by 1.
• If we solve this we get,
• i.e when, earlier we have changed the row (Y is
decremented by 1)
)
1
2
2
(
_ 


 k
k
k
new
k y
x
P
p
2
2
2
_
)
2
3
(
)
2
(
)
2
3
,
2
(
r
y
x
y
x
f
p
k
k
k
k
circ
new
k








Case 2: Pk>0
• Similarly, the initial decision parameter is
obtained by evaluating the circle function at
start position
2
/
1
2
/
1
1
1
0
)
2
/
1
,
1
(
0










r
y
and
x
r
y
and
x
But
y
x
f
P
k
k
k
k
k
k
circ
0
r
1
r-1
)
,
0
(
)
,
( 0
0 r
y
x 
Mid-Point Circle Algorithm (cont…)
The first decision variable is given
as:
r
r
r
r
r
f
p circ










1
4
5
)
2
1
(
1
)
2
1
,
1
(
2
2
0
0
r
1
r-1
The Mid-Point Circle Algorithm
MID-POINT CIRCLE ALGORITHM
• Input radius r and circle centre (xc, yc), then set the
coordinates for the first point on the circumference of a
circle centred on the origin as:
• Calculate the initial value of the decision parameter as:
• Starting with k = 0 at each position xk, perform the
following test. If pk < 0, the next point along the circle
centred on (0, 0) is (xk+1, yk) and:
)
,
0
(
)
,
( 0
0 r
y
x 
r
p 
1
0
1
2 1
1 

 
 k
k
k x
p
p
The Mid-Point Circle Algorithm (cont…)
Otherwise the next point along the circle is (xk+1, yk-1) and:
4. Determine symmetry points in the other seven octants
5. Move each calculated pixel position (x, y) onto the circular
path centred at (xc, yc) to plot the coordinate values:
4. Repeat steps 3 to 5 until x >= y
1
1
1 2
1
2 

 


 k
k
k
k y
x
p
p
c
x
x
x 
 c
y
y
y 

Mid-Point Circle Algorithm Example
To see the mid-point circle algorithm in action
lets use it to draw a circle centred at (0,0) with
radius 10
Mid-Point Circle Algorithm Example (cont…)
k pk (xk+1,yk+1) 2xk+1 2yk+1
0
1
2
3
4
5
6
Mid-Point Circle Algorithm Exercise
Use the mid-point circle algorithm to draw the
circle centred at (0,0) with radius 15
Mid-Point Circle Algorithm Example (cont…)
k pk (xk+1,yk+1) 2xk+1 2yk+1
0
1
2
3
4
5
6
7
8
9
10
11
12
Mid-Point Circle Algorithm Summary
The key insights in the mid-point circle algorithm
are:
– Eight-way symmetry can hugely reduce the work
in drawing a circle
– Moving in unit steps along the x axis at each point
along the circle’s edge we need to choose
between two possible y coordinates
Lecture 6
Bresenham’s Circle Drawing Algorithm
The drawbacks of DDA are that rounding y to an
integer takes time and that the variables y and x
must be real. Bresenham develop the algorithm that
is attractive because it uses only integer arithmetic,
thus avoiding the round function, and allows the
calculation for (xi+1,yi+1) to be performed
incrementally
102
Bresenham’s Circle Drawing
Algorithm
• This algorithm does only integer
arithmetic which makes it faster than
floating point.
• We create only one octant of the circle
i.e from 90deg to 45deg.
• We derive other seven octants of the
circle by symmetry property.
• The circle is generated by considering
center point as origin with rarius r.
• The algorithm calculates one new pixel
per step.
• Assume that we have
just plotted point (xk, yk)
• The next point is a
choice between (xk+1, yk)
and (xk+1, yk-1)
A
B
• The function of circle is:-
2
2
2
)
,
( r
y
x
y
x
fcirc 


i.e:
This function determines the circle with radius r
around the origin .
2
2
2
2
2
2
)
1
(
)
1
(
)
1
,
1
(
)
(
)
1
(
)
,
1
(
)
(
r
y
x
y
x
f
B
f
r
y
x
y
x
f
A
f
k
k
k
k
circ
k
k
k
k
circ














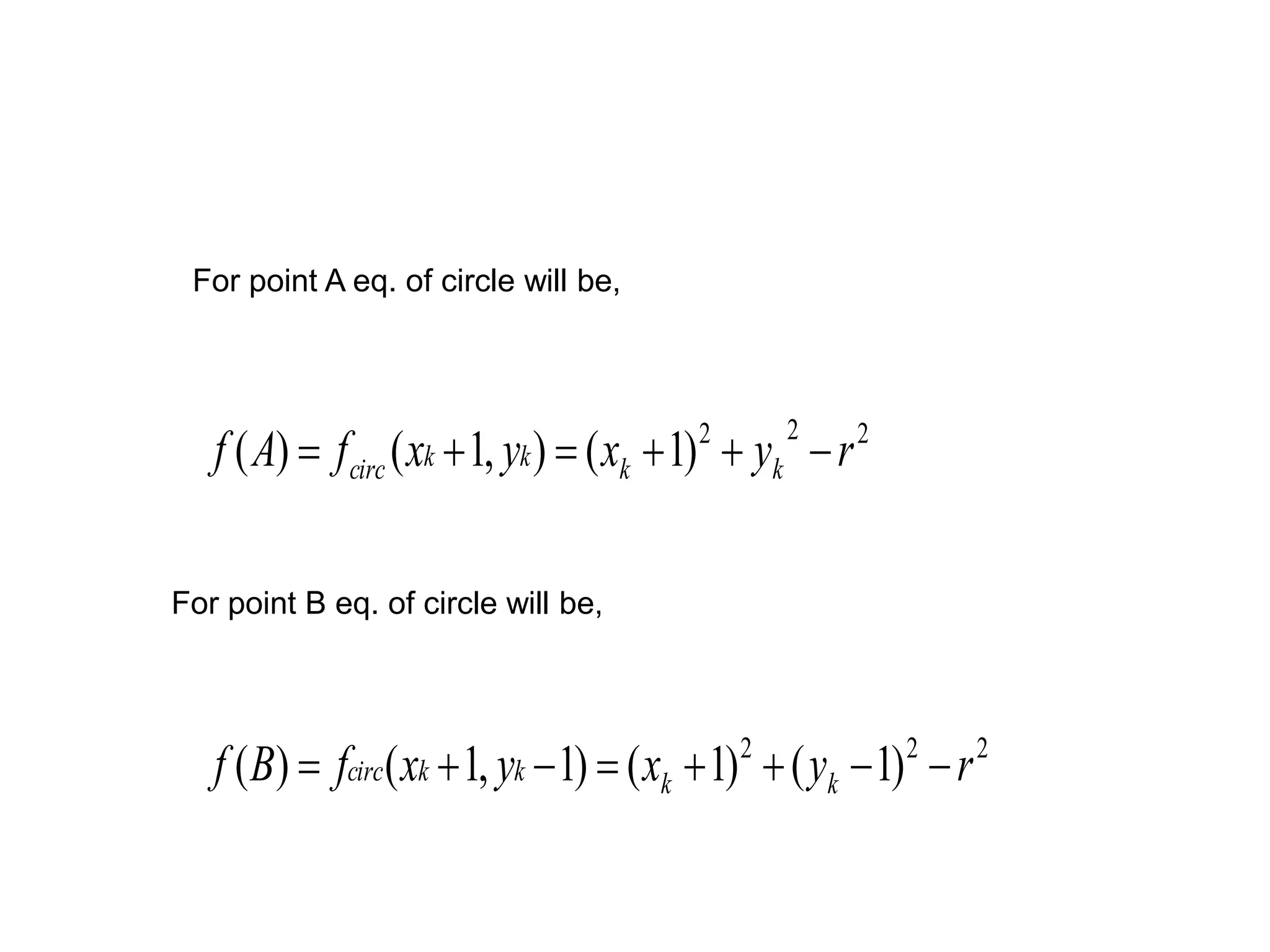
For point A eq. of circle will be,
For point B eq. of circle will be,
• Now if f(A) i=0,then point A lies on the circle
so we have to plot it.
• Else we have to check,if f(A)<0 i.e A lies inside
the circle. or
• check,if f(A)>0 i.e A lies outside the circle.
• To select one point from A and B we have five
different cases.
Different cases
• A
• B
Case 1
Above A
• A
• B
Case 2
Through A
• A
• B
Case 3
Between A & B
• A
• B
Case 4
Through B
• A
• B
Case 5
Below B
Select A
Select B
• To determine which point to select ,we use
equation of circle.
• We will use only the sigh of that function.(+ or -)
Case 1 Case 2 Case 3 Case 4 Case 5
f(A) - 0 + + +
F(B) - - - 0 +
sum - - -,0,+ + +
• Case 1 and case 4 are simple most. It is very
clear which point should be selected in it.
• But, consider case 1 and 5.In both cases the
curve lies on one side of both the points.
• Consider case 1,here the curve is above A and
B.Both the points are lying inside the curve.i.e
f(A) and f(B) must be <0.So which point to
select?
• Here ,new term sum is introduced.
sum=f(A)+f(B)
• In case 1,f(A) and f(B) are negative, so the sum
is negative. If sign of sum variable is negative
then choose A.
• Consider case 5,here the curve is below A and
B. Both the points are lying outside the curve.
i.e f(A) and f(B) must be >0.
• In case 5,f(A) and f(B) are positive, so the sum
is positive. If sign of sum variable is positive
then choose B.
• In case 3,A lies outside the curve and B lies
inside.
• So f(A)>0 and f(B)<0.Then sum variable can be
either –ve,0 or +ve.
• If sum is –ve or 0 ,then pixel A is closer to the
circle hence, select A.
• If sum is +ve ,then pixel B is closer to the circle
hence, select B.
• Similarly, the staring pixel P0 is taken at position,
r
r
B
f
A
f
sum
Therefore
r
r
r
r
r
r
r
y
x
y
x
f
B
f
Similarly
r
r
r
y
x
y
x
f
A
f
Then
y
x
f
P circ
2
3
2
2
1
)
(
)
(
,
2
2
1
2
1
0
0
)
1
(
)
1
0
(
)
1
(
)
1
(
1
1
(
)
(
,
1
)
1
0
(
)
1
(
1
(
)
(
,
)
,
(
2
2
2
2
2
0
2
0
)
0
,
0
2
2
2
0
2
0
)
0
,
0
0
0
0
2
2
2
2









































0
r
1
r-1
)
,
0
(
)
,
( 0
0 r
y
x 
A
B
(x0,y0)
• So depending on whether sum is +ve,-ve or 0,we will select A
or B as next point.
• We can find next sum going from p1 to p2 by considering old
sum value.
• We can generalize this as-
yk
yk-1
yk-2
xk-2
xk-1
xk
A
B
2
2
2
2
2
2
)
1
(
)
1
(
)
1
(
)
(
)
1
,
1
(
)
,
1
(
)
(
)
(
r
y
x
r
y
x
s
sum
y
x
f
y
x
f
B
f
A
f
sum
k
k
k
k
k
k
k
k

















Pk
Step 1:
If s<0 then we select next point as A.
We call this point as ( pk+1).Now in order to go for the next pixel i.e(pk+2) we must
compute sum again.We call this as Snew and express it using point pk.
yk
yk-1
yk-2
xk+2
Xk+1
xk
Pk Pk+1
A
B
Select A
For the next pixel (pk+2),we have to select A if Snew <=0 else select
point B.
6
4
6
4
)
1
(
)
2
(
)
2
(
)
1
,
2
(
)
,
2
(
)
(
)
(
2
2
2
2
2
2























k
new
k
new
k
k
k
k
new
k
k
k
k
new
x
s
S
x
s
S
get
we
this
solving
r
y
x
r
y
x
S
y
x
f
y
x
f
B
f
A
f
S
Step 2:
But if at initial stage, s>0 then we select next point as B.
We call this point as ( pk+1).Now in order to go for the next pixel
i.e(pk+2) we must compute sum again. We call this as Snew and
express it using point pk.
yk
yk-1
yk-2
xk+2
Xk+1
xk
Pk
Pk+1
A
B
Select B
• This shows that calculating Snew from old S is very simple.
• It uses operations like addition,subtraction and multiplication.
• We make use of only sign of s variable to determine next pixel to
draw.
10
)
(
4
10
)
(
4
)
2
(
)
2
(
)
1
(
)
2
(
)
2
,
2
(
)
1
,
2
(
)
(
)
(
2
2
2
2
2
2



























k
k
new
k
k
new
k
k
k
k
new
k
k
k
k
new
y
x
s
S
y
x
s
S
get
we
this
solving
r
y
x
r
y
x
S
y
x
f
y
x
f
B
f
A
f
S
The Bresenham’s Circle Algorithm
BRESENHAM’S CIRCLE ALGORITHM
1. Input radius r and circle centre (xc, yc), then set the
coordinates for the first point on the circumference of a
circle centred on the origin as:
1. Calculate the initial value of the decision parameter as:
1. If we are using octant symmetry property to plot the pixels
then until (x<y) we have to perform following steps:
– If (S<=0) then
– And increase x by 1.
)
,
0
(
)
,
( r
y
x 
r
S 2
3

6
4 

 x
S
S
Otherwise :
and increase x by 1 and decrease y by 1.
4. Determine symmetry points in the other seven octants
5. Move each calculated pixel position (x, y) onto the circular
path centred at (xc, yc) to plot the coordinate values:
10
)
(
4 


 y
x
S
S
c
x
x
x 
 c
y
y
y 

Aliasing and Antialiasing
• The various forms of distortion that results
from the scan conversion operations are
collectively called as aliasing.
• Aliasing effects are listed as follows:-
1.Staircase
2.Unequal brightness
3.Picket fence problem
void Mid_Circle( int h, int k,int r)
{
int color=3; int x=0; int y=r; int p=(1-r);
do {
putpixel((h+x),(k+y),color);
putpixel((h+y),(k+x),color);
putpixel((h+y),(k-x),color);
putpixel((h+x),(k-y),color);
putpixel((h-x),(k-y),color);
putpixel((h-y),(k-x),color);
putpixel((h-y),(k+x),color);
putpixel((h-x),(k+y),color);
x++;
if(p<0)
p+=((2*x)+1);
else{
y--;
p+=((2*(x-y))+1);
}
}
while(x<=y);
}
void Bre_Circle( int h, int k,int r)
{
int color=5; int x=0; int y=r; int p=(3-2*r);
do
{
putpixel((h+x),(k+y),color);
putpixel((h+y),(k+x),color);
putpixel((h+y),(k-x),color);
putpixel((h+x),(k-y),color);
putpixel((h-x),(k-y),color);
putpixel((h-y),(k-x),color);
putpixel((h-y),(k+x),color);
putpixel((h-x),(k+y),color);
x++;
if(p<0)
p+=((4*x)+6);
else
{
y--;
p+=((4*(x-y))+10);
}
}
while(x<=y);
}
Lecture 7
Staircase
• A common aliasing effect is staircase or jagged
appearance.
• It can be seen in line or circle generation.
• It can also be seen along the border of filled
region.
• Specifically, when the resolution is poor or low
and if the display allows only two pixel states
ON or OFF this effect is noticed.
Unequal brightness
• In this case ,slanted line appears dimmer than
a horizontal or vertical lines, although all
pixels are present with same intensity level.
• The reason for this is that pixels on the
horizontal or vertical line are placed one unit
apart where as those on the diagonal line are
apprx.1.414 units apart.
• This difference of distance produces difference
in brightness.
Distance between two blue or yellow dots is one unit whereas
distance between two brown is apprx. 1.414 unit.
Picket fence problem
• Picket fence problem arises when the object is not aligned
with the pixel grid properly.
• Here, the distance between two adjacent pickets is not a
multiple of unit distance between pixels.
• When we scan convert it into image it will result in uneven
distance between pickets.
• Since the end point of picket must be matched with pixel
coordinates.
• This is sometimes called global aliasing, as overall length of
the picket is apprx. correct.
• And to maintain the proper length spacing sometimes it will
distort the overall length of the fence. This is sometimes
called local aliasing.
Antialiasing
• Most aliasing effects, occuring in static images at
a moderate resolution are often tolerable or
negligible.
• But when the image is moved or animated this
effect can be seen.
• It can be reduced to some extent by increasing
the resolution.
• There are some techniques that can greatly
reduce these effects and improve image quality.
• Such techniques are called is antialiasing.
• Prefiltering
• Supersampling
• Postfiltering
• Pixel phasing
• Gray level
Prefiltering
• This technique determines pixel intensity based on the
amount of that particular pixels coverage by the object
in the scene i.e it computes pixel colors depending on
an objects coverage.
• It means how much part or fraction of that pixel is
covered by the object and depending on that,it sets the
value of that pixel.
• It requires large number of calculations and
approximations.
• Prefiltering generates more accurate antialiasing
effect, but due to high complexity of calculations it is
not used.
Supersampling
• Supersampling tries to reduce the aliasing effect
by sampling or taking more than one sample per
pixel.
• It subdivides each pixel into 9 sub pixels of equal
size which is often called as sampling points.
• Some of these 9 sub pixels may get color of
background i.e line may not pass through them
and rest of sub pixels may get color of object.
• Suppose,3 samples or sub pixels get
background color and 6 gets foreground color
then the color of the pixel will be the sum of
(1/3) of the background color and (2/3) of the
object color.
• So ultimately, the pixel value becomes the
average of several samples.
1/9 1/9 1/9
1/9 1/9 1/9
1/9 1/9 1/9
Post filtering
• Postfiltering and supersampling are
almost same.
• If we consider 9 sampling points as in
supersampling,we may give a lot more
weightage to center point.
• We could give the center sample as
weightage of 50% or ½. And remaining
50% is distributed among the rest of 8
samples.
• So,we can treat supersampling sa a
special case of postfiltering in which each
sampling point has an equal
weightage(1/9).
1/8 1/8 1/8
1/8 50% 1/8
1/8 1/8 1/8
Pixel phasing
• Pixel phasing is a hardware based anti-aliasing
technique.
• The graphics system in this case is capable of
shifting individual pixels from their normal
positions in the pixel grid by a fraction(1/2 or
¼) of unit distance between pixels.
• By pixels closer to the true line,this technique
reduces the aliasing effect.
Gray level
• Many displays allow only two pixel states,ON and
OFF.In that case we observe stair case effect.
• To reduce this,we can make use of gray level
technique.
• In this setting,display allow setting pixels to gray
levels between black and white.
• It uses the gray levels to gradually turn off the
pixels in one row as it gradually turns on the
pixels in the next.
Character Generation
• There are three primary methods of character
generation.
1.Stroke method/vector character generation
2.Dot matrix or bit map method
3.Starbust method
Stroke method/vector character
generation
• This method creates characters by using a set
of line segments.
• To produce a character, we will give a
sequence of commands that define start
point and end point of the straight lines.
• We change the scale of character.
• We can slant a character or change its style.
A
Dot matrix or bit map method
• In this method, character is represented by an array of dots.
The size of this array may vary.
• An array of 5 dots wide and 7 dots high is generally used but
7x9 or 9/13/14 may be used.
• This array is like a small buffer, just big enough to hold a
single character.
• The dots are the pixels of the small array.
• Placing the character on the screen then becomes a matter
of copying pixel values from small character array into some
portion of the screen frame buffer.
• A bitmap font uses a regular pattern of pixels to define each
character.
• Bitmap fonts require more space, because each variation
(size or format) must be stored.
Height
Width
Starbust method
• In this method a fixed pattern of line segments are
used to generate character s.
• There are 24 line segments and out of these 24 line
segments ,segments required to display for particular
character are highlighted.
• It is called starbust because of its characteristic
appearance.
• The pattern for particular characters are stored in the
form of 24 bit code.
• Each bit represents particular line segment.
• The bit is set to one to highlight the line, otherwise it is
set to zero.
1
2
3 4
5
6
7
8
9
10
11
12
13 14
15
16
17 18
19
20
21 22
23
24
1
2
3 4
9
10
11
12
21 22
Starbust pattern of 24 line
segments
Starbust pattern for character E
1 2 3 4 5 6 7 8 9 10 11 12 13 14 15 16 17 18 19 20 21 22 23 24
1 1 1 1 0 0 0 0 1 1 1 1 0 0 0 0 0 0 0 0 1 1 0 0
24 bit pattern for character E
But the main disadvantage is, it requires more memory and additional
code conversion programs to display characters from 24 bit code.
145
B. Graphics Primitives
Lecture 8
146
Graphics Primitives
Contents
• Introduction to computer graphics
• Basics of Graphics systems
• Raster scan & random scan displays, display processor,
display file structure, algorithms and display file interpreter.
• Display devices, Interactive devices: Tablets, touch panels,
mouse, joysticks, track balls, light pen etc.
• Data generating devices: Scanners and digitizers
• primitive operations,
• Text and line styles.
Introduction to Computer graphics
• Computer graphics is an art of drawing
pictures on computer screens with the help of
programming. It involves computations,
creation, and manipulation of data. In other
words, we can say that computer graphics is a
rendering tool for the generation and
manipulation of images.
148
CG (Cont’)
application
data
structures
application
programs
graphics
systems
graphics devices users
(operators)
 application data structures / models
 application programs
 graphics systems
 graphics devices
The Programmer’s Model of Interactive Graphics
149
Graphics Systems
• interface between application programs and
graphics devices
• consisting of input subroutines and output
subroutines accepting input data from input
devices and draw pictures on output devices,
respectively
150
application program
graphics system
graphics
hardware
input and
output devices
metafiles
operating system
Overview
151
• Output Devices
− display devices
− hard copy devices
• Input Devices
− locator
− stroke
− string (keyboard)
− valuator
− choice (button)
− pick
Graphics Devices
CPU DP
input hard copy
display
Application of Computer Graphics
• Computer Graphics has numerous applications, some
of which are listed below −
• Computer graphics user interfaces (GUIs) − A graphic,
mouse-oriented paradigm which allows the user to
interact with a computer.
• Business presentation graphics − "A picture is worth a
thousand words".
• Cartography − Drawing maps.
• Weather Maps − Real-time mapping, symbolic
representations.
• Satellite Imaging − Geodesic images.
• Photo Enhancement − Sharpening blurred photos.
Application of Computer Graphics
• Medical imaging − MRIs, CAT scans, etc. - Non-invasive
internal examination.
• Engineering drawings − mechanical, electrical, civil, etc. -
Replacing the blueprints of the past.
• Typography − The use of character images in publishing -
replacing the hard type of the past.
• Architecture − Construction plans, exterior sketches -
replacing the blueprints and hand drawings of the past.
• Art − Computers provide a new medium for artists.
• Training − Flight simulators, computer aided instruction,
etc.
• Entertainment − Movies and games.
• Simulation and modeling − Replacing physical modeling
and enactments
Raster scan
• In a raster scan system, the electron beam is swept across the
screen, one row at a time from top to bottom. As the electron
beam moves across each row, the beam intensity is turned on and
off to create a pattern of illuminated spots.
• Picture definition is stored in memory area called the Refresh
Buffer or Frame Buffer. This memory area holds the set of intensity
values for all the screen points. Stored intensity values are then
retrieved from the refresh buffer and “painted” on the screen one
row (scan line) at a time as shown in the following illustration.
• Each screen point is referred to as a pixel (picture element) or pel.
At the end of each scan line, the electron beam returns to the left
side of the screen to begin displaying the next scan line.
156
A raster-scan system displays an object as a set of points across
each screen scan line
(a) (b)
(d)
(c)
• Advantages
• High degree realism is achieved in picture with the
aid of advanced shading and hidden surface technique.
• Decreasing memory costs have made raster systems
popular.
• Computer monitors and TVs use this method
Disadvantages
• Raster displays have less resolution.
• The lines produced are ziz-zag as the plotted values
are discrete.
Random Scan (Vector Scan)
• In this technique, the electron beam is directed only to the
part of the screen where the picture is to be drawn rather
than scanning from left to right and top to bottom as in
raster scan.
• It is also called vector display, stroke-writing
display, or calligraphic display.
• Picture definition is stored as a set of line-drawing
commands in an area of memory referred to as the refresh
display file.
• To display a specified picture, the system cycles through the
set of commands in the display file, drawing each
component line in turn. After all the line-drawing
commands are processed, the system cycles back to the
first line command in the list.
• Random-scan displays are designed to draw all the
component lines of a picture 30 to 60 times each second.
• Advantages
• Very high resolution, limited only by monitor.
• Easy animation, just draw at different position.
Requires little memory (just enough to hold the display
program).
• Disadvantages
• Requires intelligent electron beam, i.e., processor
controlled.
• Limited screen density before have flicker, can’t draw
a complex image.
• Limited color capability (very expensive).
RASTER SCAN DISPLAY
• i) It draws the image by
scanning one row at a time.
• ii) They generally have
resolution limited to pixel size
• iii) Lines are jaggered and
curves are less smoother.
• iv) They are more suited to
geometric area drawing
applications e.g. monitors, Tele
vision .
RANDOM SCAN DISPLAY
• i) It draws the image by
directing the electron beam
directly to the part of the
screen where the image is to
be drawn.
• ii) They have higher resolution
than Raster Scan System
• iii) Line plots are straight and
curves are smooth.
• iv) They are more suited to
line drawing application e.g.
CROs, pen plotter.
Random Scan Raster Scan
1. It has high Resolution 1. Its resolution is low.
2. It is more expensive 2. It is less expensive
3. Any modification if needed is easy 3.Modification is tough
4. Solid pattern is tough to fill 4.Solid pattern is easy to fill
5. Refresh rate depends or resolution 5. Refresh rate does not depend on the
picture.
6. Only screen with view on an area is
displayed.
6. Whole screen is scanned.
7. Beam Penetration technology come
under it.
7. Shadow mark technology came under
this.
8. It does not use interlacing method. 8. It uses interlacing
9. It is restricted to line drawing
applications
9. It is suitable for realistic display.
Display File
• In raster scan displays image information is
stored in frame buffer. It includes information
of all pixels.
• On the other hand, vector refresh display
stores only the necessary commands required
to draw line segments. Here,input to the
vector generator is stored instead of output.
• The file used to draw the commands
necessary for line drawing is called display file.
• In vector refresh display system, display
processor uses the information in the display
file to draw line segments with the help of
vector generating algorithms.
• Thus, display file provides the interface
between the image specification process and
image display process .It also describes the
image in compact format.
Structure of Display File
• Display file contains a series of commands.
• Each command contains two fields, an operation code (opcode)
and operand.
• Opcode determines the operations such as draw line, move cursor
etc.
• Operand provide coordinates of the point to process the
command.
User program
Display
processor
Screen
Display
file
Sample commands of DF
Command Opcode
MOVE
LINE
PLOT
1
2
3
OPCODE OPERAND1(X) OPERAND2(Y) EXPLANATION
1 30 30 It moves current cursor position to (30,30)
2 50 80 It draws line between(50,80) and current cursor
position(30,30).
2 70 30 It draws line between(70,30) and current cursor
position(50,80).
1 40 55 It moves current cursor position to (40,55)
2 60 55 It draws line between(60,55) and current cursor
position(40,55).
(30,30)
(40,55)
(50,80)
(60,55)
(70,30)
• Display file uses following data structures
– Arrays
– Linked list
– Paging scheme
Every data structure has its own advantages and
disadvantages.
Display file interpreter
• Display file interpreter
– User program -> display file -> interpreter ->
display(image)
User program Interpreter display
Display
file
• Display file contains commands to draw a picture.
• The program which converts these commands
into actual picture is called interpreter.
• It is a interface between the graphics
representation in display file and display device.
• Display process is divided into two steps:
– Image is stored in the display file structure.
– It is interpreted to get the actual image.
• In some graphics system, separate computer is
used to interpret the commands in display file.
It is known as Display processor.
• DP access display file and it cycles through
each command in the DF once during every
refresh cycle.
• In raster scan system,purpose of DP is to free
the CPU from graphics routine task.Here,DP is
provided with separate memory.
172
Why DP ?
 scan conversion
 refreshing
 raster operations
 character generation
 interfacing with interactive input devices
CPU DP
Memory Input
CRT
DP (Display Processor)
• The main task of DP is to digitize the picture definition
given in the application program into a set of pixel
intensity values for storage in a frame buffer. This
digitization process is known as scan conversion.
• The display processor also designed to perform a
number of additional operations. These functions
include various line style(dashed, dotted, solid), display
color area and so on. Also designed to interface with
interactive input devices such as mouse. Sometimes
the display processor in a random graphics system is
referred to as a display processing unit or a graphic
controller.
Primitive operations
• Absolute line commands
– Line_abs(x,y)
– Move_abs(x,y)
• Relative line commands
– Line_rel(x,y)
– Move_rel(x,y)
175
Display devices
• Display system is referred to as Video Monitor or
Video Display Unit (VDU)
• Three parts of display system
– Display adapter
• Creates and holds the image information
– Monitor
• Displays information
– Cable
• Carries the image data between the display adapter and the
monitor
176
Display devices
1. Raster scan displays
2. Random scan displays
3. Direct view storage tube
4. Flat panel displays
5. Three dimensional viewing devices
6. Stereoscopic and virtual reality system
7. Readymade Image
The operation of most video monitors is based on the standard
Cathode-Ray-Tube (CRT) design.
177
CRT Monitor
Cathode Ray Tube
• The primary output device in a graphical system is the video
monitor. The main element of a video monitor is the Cathode Ray
Tube (CRT), shown in the following illustration.
• The operation of CRT is very simple −
• The electron gun emits a beam of electrons (cathode rays).
• The electron beam passes through focusing and deflection systems
that direct it towards specified positions on the phosphor-coated
screen.
• When the beam hits the screen, the phosphor emits a small spot of
light at each position contacted by the electron beam.
• It redraws the picture by directing the electron beam back over the
same screen points quickly.
• There are two ways (Random scan and Raster scan) by which we
can display an object on the screen.
180
Input Devices
• Locator Devices: to indicate a position and/or orientation
e.g. Tablet, Mouse, Trackball, Joystick, Touch Panel, Light Pen
• Keyboard devices: to input a character string
e.g. Alphanumeric keyboard
• Scanner
– Image Scanners, e.g. Flatbed, etc
What type of data is returned? Bitmap
– Laser Scanners, e.g. Deltasphere
Emits a laser and does time of flight. Returns 3D point
181
Keyboards
Keyboard is the primary input device for any graphics system. It is used for entering text and
numbers. Keyboards are available in various sizes, shapes & styles. The standard keyboard
consists of
1 Alphanumeric keys
2 Function keys
3 Modifier keys
4 Cursor Movement keys
5 Numeric Keypad.
Physical Devices
When we press a key on the keyboard, the keyboard controller places a
code corresponding to the key pressed, in a part of its memory called
keyboard buffer. This code is called the scan code. The keyboard controller
informs the CPU of the computer about the key pressed with the help of
interrept signals. The CPU then reads the scan code from the Keyboard
Buffer.
182
Touch Panels
• Detect the presence of finger or stylus on the
screen. Work by interrupting matrix of light
beams or by capacitance changes or ultrasonic
reflections. Direct pointing devices.
• Advantages: Fast, and require no specialised
pointer. Good for menu selection. Suitable for
use in hostile environment: clean and safe from
damage.
• Disadvantages: Finger can mark screen.
Imprecise (finger is a fairly blunt instrument!) -
difficult to select small regions or perform
accurate drawing. Lifting arm can be tiring, and
can make screen too close for easy viewing.
183
Light Pens
• Coiled cable connects pen to c.r.t. In operation, pen held to screen and detects
burst of light from screen phosphor during display scan.
• Direct pointing device: accurate (can address individual pixels), so can be used for
fine selection and drawing.
• Problems: pen can obscure display, is fragile, can be lost on a busy desk, tiring on
the arm.
• Both much less popular than the mouse
184
Mouse
A mouse is a palm sized box used to
position the screen cursor. It consists of
a ball on the bottom connected to
wheels to provide the amount and
direction of movement. One, two or
three buttons are usually included on
the top of the mouse for signaling the
execution of same operation. Now-a-
days mouse consists of one more wheel
on top to scroll the screen pages.
185
Joystick
Indirect device
Takes up very little space
Controlled by either
• movement (absolute joystick) - position of
joystick corresponds to position of cursor
• pressure (isometric or velocity-controlled
joystick) - pressure on stick corresponds to velocity
of cursor
Usually provided with buttons (either on top or on
front like a trigger) for selection
Does not obscure screen
Inexpensive (often used for computer games, also
because they are more familiar to users)
186
Trackball
Bit like an upside-down mouse. Ball is rotated inside static housing,
relative motion moves cursor. Indirect device, fairly accurate. Requires
buttons for picking. Size and “feel” of trackball itself important. Requires
little space, becoming popular for portable and notebook computers.
• Scanner have become an
important part of the home,
office over the last few years. It
is a device which can be used
to store drawings, graphics,
photos as text available in the
printed form for computer
processing.
• The photograph is mounted on a rotating drum. A
finely collimated light beam is directed at the
photo, and the amount of light reflected is
measured by a photocell. As the drum rotates the
light source slowly moves from one end to the
other, thus doing a raster scan of the inter
photograph.
189
Digesting tablet
Indirect device.
Resistive tablet detects point contact between 2 separated sheets: has advantages in that it
can be operated without specialized stylus - a pen or the user’s finger is fine.
Magnetic tablet detects current pulses in magnetic field using small loop coil housed in
special pen.
Also capacitive and electrostatic tablets.
Sonic tablet similar to above but requires no special surface: ultrasonic pulse emitted by
pen detected by two or more microphones which then triangulate the pen position. Can be
adapted to provide 3-d input.
High resolution, available in a range of sizes from A5 to 60x60 in. Sampling rate between
50 and 200 Hz. Can be used to detect relative motion or absolute motion. Can also be
used for text input (if supported by character recognition software). Require large amount
of desk space, and may be awkward to use if displaced by the keyboard.
190
Graphics Tablets
3D Tablets
191
Thank you

Introduction to Computer Graphics elements

  • 1.
  • 2.
    Introduction to ComputerGraphics • Computer is an information processing machine ,a tool for storing, manipulating and correlating data. • CG makes it possible to express data in pictorial form. • The picture or graphics object may be an engineering drawing, business graphs, architectural structures, a single frame from an animated movie or a machine parts illustrated for a service manual. • It is important to understand – How pictures or graphics objects are presented in CG? – How pictures or graphics objects are prepared for presentation? – How previously prepared pictures or graphics objects are presented ? – How interaction with the picture or graphics object is accomplished? 2
  • 3.
    Introduction to ComputerGraphics • Computer graphics : the creation , storage and manipulation of pictures and drawings using a digital computer. • One picture is worth a thousand words • Application of CG : designing, particularly engineering and architectural systems • Other applications of CG : Image Processing, Animation, Morphing, Simulation, e-Learning Material Designing and Graphics Designing 3
  • 4.
    4 CG (Cont’) application data structures application programs graphics systems graphics devicesusers (operators)  application data structures / models  application programs  graphics systems  graphics devices The Programmer’s Model of Interactive Graphics
  • 5.
    5 Graphics Systems • interfacebetween application programs and graphics devices • consisting of input subroutines and output subroutines accepting input data from input devices and draw pictures on output devices, respectively
  • 6.
  • 7.
    • Pixel – Thesmallest size object or color spot on monitor – The most basic addressable image element in a screen – Each pixel has a particular color & brightness value – In 2D ,pixel can be addressed by (x,y) – In 3D ,pixel can be addressed by (x,y,z) 7
  • 8.
    Points • Single CoordinatePosition – Set the bit value(color code) corresponding to a specified screen position within the frame buffer 8 x y setPixel (x, y)
  • 9.
    • Resolution – Theno. of dots or pixels available to us on the screen in the graphics mode – Greater the no. of dots, the higher the resolution – Image resolution : pixel spacing – Screen resolution : no. of pixels per inch 9
  • 10.
    • Dot – RGBphosphor coated material arranged into an array of millions of tiny cells-red, green and blue • Dot Pitch – Distance between adjacent sets (triads) of red, green & blue dots • Aspect Ratio – Ratio of the no. X pixels to the no. of Y pixels 10
  • 11.
    11 Frame Buffers A framebuffer may be thought of as computer memory organized as a two- dimensional array with each (x,y) addressable location corresponding to one pixel. Bit Planes or Bit Depth is the number of bits corresponding to each pixel. A typical frame buffer resolution might be 640 x 480 x 8 1280 x 1024 x 8 1280 x 1024 x 24
  • 12.
    12 1-Bit Memory. Monochrome Display (Bit-mapDisplay) Electron Gun 1 bit 2 levels
  • 13.
    13 3-Bit Color Display 3 red green blue COLOR:black red green blue yellow cyan magenta white R G B 0 0 0 1 0 0 0 1 0 0 0 1 1 1 0 0 1 1 1 0 1 1 1 1
  • 14.
    14 True Color Display 24bitplanes, 8 bits per color gun 224 = 16,777,216 Green Red Blue N N N
  • 15.
    15 The aspect ratioof a display device is the ratio of the number of vertical points to that of horizontal points necessary to produce equal length of lines in both direction on screen Aspect Ratio Note Sometimes, aspect ratio is stated in terms of the ratio of horizontal to vertical points 3/4 = 0.75 l l 4/3 = 1.33...
  • 16.
    • Rasterization The processof determining the appropriate pixels for representing picture or graphics object • Scan conversion The process of representing continuous picture or graphics object as a collection of discrete pixels 16
  • 17.
    Computer graphics under‘C’ • Graphics.h & graphics.lib • Graphics mode : initgraph() • initgraph(&gd,&gm,"c:tcbgi"); • gd = DETECT : for graphics drivers • gm : for monitor & its resolutions – No. of video pages it supports & available colors • E.g. VGA adapter : EGAVGA.BGI file 17
  • 18.
    Computer graphics under‘C’ (Cont’d) • Two things happen the moment we change over to graphics mode 1. The cursor disappears 2. A coordinate system is established whereby the TOP-LEFT corner of the screen is treated as origin (0,0) • X-axis goes horizontally • Y-axis goes vertically 18
  • 19.
  • 20.
  • 21.
    Scan conversions Contents • Lines •line segments • Vectors • pixels and frame buffers • vector generation • DDA and Bresenham’s line and circle drawing algorithms • Initialising • thick lines • Character generation : Stroke Principle, Starburst Principle, Bit map method • display of frame buffer. 21
  • 22.
    Lines • Eq. ofline in slope-intercept form y = mx + b Where m = (y2-y1)/(x2-x1) And b = y1 – mx1 22
  • 23.
    Line segments • Specifiedby two end points. • Lets say P1(x1,y1) and P2(x2,y2) and yield eq. y = mx + b • Then another point P3(x3,y3) lies on the segment if y3 = mx3 + b Min(x1,x2) <= x3 <= max(x1,x2) Min(y1,y2) <= y3 <= max(y1,y2) 23
  • 24.
    Frame Buffers • Eachpixel has a name or address • The array which contains internal representation of an image • It collects and stores pixel values for the display device • A framebuffer is a video output device that drives a video display from a memory buffer containing a complete frame of data. 25
  • 25.
    Vectors • A vectoris a combination of three things: • a positive number called its magnitude, • a direction in space, • a sense making more precise the idea of direction. • Typically a vector is illustrated as a directed straight line. 26
  • 26.
    Vector Generation • Theprocess of “turning on” the pixels for a line segment • The Vector Generation algorithms which step along the line to determine the pixels which should be turned on are called as digital differential analyzers (DDAs). 27
  • 27.
    Lines • Intermediate Positionsbetween Two Endpoints – DDA, Bresenham’s line algorithms 28 Jaggies = Aliasing
  • 28.
  • 29.
    Simple Line 30 Based onslope-intercept algorithm from algebra: y = mx + b Simple approach: increment x, solve for y Floating point arithmetic required
  • 30.
    Line drawing algorithm •Programmer specifies (x,y) values of end pixels • Need algorithm to figure out which intermediate pixels are on line path • Pixel (x,y) values constrained to integer values • Actual computed intermediate line values may be floats • Rounding may be required. E.g. computed point (10.48, 20.51) rounded to (10, 21) • Rounded pixel value is off actual line path (jaggy!!) • Sloped lines end up having jaggies • Vertical, horizontal lines, no jaggies
  • 31.
    Line Drawing Algorithm 01 2 3 4 5 6 7 8 9 10 11 12 8 7 6 5 4 3 2 1 Line: (3,2) -> (9,6) ? Which intermediate pixels to turn on?
  • 32.
    Line Drawing Algorithm •Slope-intercept line equation – y = mx + b – Given two end points (x0,y0), (x1, y1), how to compute m and b? (x0,y0) (x1,y1) dx dy 0 1 0 1 x x y y dx dy m     0 * 0 x m y b  
  • 33.
    Line Drawing Algorithm •Numerical example of finding slope m: • (Ax, Ay) = (23, 41), (Bx, By) = (125, 96) 5392 . 0 102 55 23 125 41 96         Ax Bx Ay By m
  • 34.
    Digital Differential Analyzer(DDA): Line Drawing Algorithm (x0,y0) (x1,y1) dx dy Walk through the line, starting at (x0,y0) Constrain x, y increments to values in [0,1] range Case a: x is incrementing faster (m < 1) Step in x=1 increments, compute and round y Case b: y is incrementing faster (m > 1) Step in y=1 increments, compute and round x
  • 35.
    DDA Line DrawingAlgorithm (Case a: m < 1) (x0, y0) x = x0 + 1 y = y0 + 1 * m Illuminate pixel (x, round(y)) x = x + 1 y = y + 1 * m Illuminate pixel (x, round(y)) … Until x == x1 (x1,y1) x = x0 y = y0 Illuminate pixel (x, round(y)) ) 1 ( ..... 1 eq m y y k k   
  • 36.
    DDA Line DrawingAlgorithm (Case b: m > 1) y = y0 + 1 x = x0 + 1 * 1/m Illuminate pixel (round(x), y) y = y + 1 x = x + 1 /m Illuminate pixel (round(x), y) … Until y == y1 x = x0 y = y0 Illuminate pixel (round(x), y) (x1,y1) (x0,y0) ) 2 ( ...... 1 1 eq m x x k k   
  • 37.
    • Eq.(1) and(2) are based on the assumption that lines are to be processed from left to right side i.e Xk<Xk+1.If this sequence is reversed i.e Xk>Xk+1,then ) 1 ( ..... 1 eq m y y k k    ) 2 ( ...... 1 1 eq m x x k k   
  • 38.
    Digital Differential Analyzer(DDA) algorithm • Digital Differential Analyzer (DDA) algorithm is the simple line generation algorithm which is explained step by step here. • Step 1 − Get the input of two end points (X0,Y0) and (X1,Y1). • Step 2 − Calculate the difference between two end points. dx = X1 - X0 dy = Y1 - Y0
  • 39.
    • Step 3− Based on the calculated difference in step-2, you need to identify the number of steps to put pixel. If dx > dy, (case a:m<1) then you need more steps in x coordinate; otherwise in y coordinate. if (dx > dy) Steps = absolute(dx); else Steps = absolute(dy);
  • 40.
    • Step 4− Calculate the increment in x coordinate and y coordinate. Xincrement = dx / (float) steps; Yincrement = dy / (float) steps; • Step 5 − Put the pixel by successfully incrementing x and y coordinates accordingly and complete the drawing of the line. for(int v=0; v < Steps; v++) { x = x + Xincrement; y = y + Yincrement; putpixel(x,y); }
  • 41.
    Line Drawing AlgorithmDrawbacks • DDA is the simplest line drawing algorithm – Not very efficient – Round operation is expensive • Optimized algorithms typically used. – Integer DDA – E.g.Bresenham algorithm • Bresenham algorithm – Incremental algorithm: current value uses previous value – Integers only: avoid floating point arithmetic – Several versions of algorithm:
  • 42.
    • Use DDAalgorithm to draw a line From(1,1) to (5,3) i Plot x y 1 (1,1) 1.5 1.5 2 (2,2) 2.5 2 3 (3,2) 3.5 2.5 4 (4,3) 4.5 3 5 (5,3) 5.5 3.5
  • 43.
  • 44.
    The Bresenham LineAlgorithm The Bresenham algorithm is another incremental scan conversion algorithm The big advantage of this algorithm is that it uses only integer calculations Jack Bresenham worked for 27 years at IBM before entering academia. Bresenham developed his famous algorithms at IBM in the early 1960s
  • 45.
    Bresenham’s Line Drawing 46 NE P=(xp,y0 E NE Considerthe line in the figure above, assume that we have just selected the pixel p(xp,yp) and now must choose between the pixel one increment to the right (E) or the pixel one increment to the right and one increment up (NE). Let Q be the intersection point of the line with the grid line x= xp+1. In this algorithm, the difference between the vertical distances from E and NE to Q is computed, and the sign of the difference is used to select the pixel whose distance from Q is smaller as the best approximation to the line.
  • 46.
    Bresenham’s Line Drawing 47 NE P=(xp,y0 E NE Weobserve on which side of the line the midpoint M lies, If it lies above the line, pixel E is closer to the line, if it lies below the line, pixel NE is closer to the line. The line may pass between E and NE, or both pixels may lie on one side, but in any case, the midpoint test chooses the closest pixel. Also, the error that is, the vertical distance between the chosen pixel and the actual line is always <=1/2. The algorithm chooses NE as the next pixel for the line shown above. Now all we need is a way to calculate on which side of the line the midpoint lies.
  • 47.
    The Big Idea Moveacross the x axis in unit intervals and at each step choose between two different y coordinates 2 3 4 5 2 4 3 5 For example, from position (2, 3) we have to choose between (3, 3) and (3, 4) We would like the point that is closer to the original line (xk, yk) (xk+1, yk) (xk+1, yk+1)
  • 48.
    The y coordinateon the mathematical line at xk+1 is: Deriving The Bresenham Line Algorithm At sample position xk+1 the vertical separations from the mathematical line are labelled d2 and d1 c x m y k    ) 1 ( y yk yk+1 xk+1 d1 d2 B A C
  • 49.
    Bresenham’s algorithm forline Derivation of decision parameter • In this vertical distances of A and B to C is computed, and the sign of the difference is used to select the pixel whose distance from C is smaller as the best approximation to the line. • Let the vertical distance of the pixel B from the true line path i.e. BC be denoted as d1 and the vertical distance of pixel A from the true line path i.e. AC be denoted as d2 at sampling position xk+1 50
  • 50.
    Bresenham’s algorithm forline Derivation of decision parameter (Cont’d) Now as C is a point on the true line path at sampling position xk+1, hence the coordinates of C are given by – x = xk+1 – y = m(xk+1) + c………………….[y=mx+c] – d1 = y – yk = m(xk+1) + c - yk – d2 = (yk +1) – y = yk +1 – m(xk+1) - c d1-d2=mxk+m+c-yk-yk-1+mxk+m+c d1-d2=2m+2c-1+2mxk-2yk – d1-d2 = 2m (xk + 1) – 2yk + 2c -1 51
  • 51.
    Bresenham’s algorithm forline Derivation of decision parameter (Cont’d) Substituting m = ∆y/ ∆x, we get ∆x(d1-d2) = 2 ∆y(xk) - 2 ∆x(yk) + 2 ∆y + 2c ∆x - ∆x …Eq. 1 Since ∆x >0, ∆x(d1-d2) has same sign as (d1-d2). Therefore ∆x(d1-d2) which involves only integer calculations can be used as a decision parameter to decide correct pixel, (xk+1,yk+1) next to (xk,yk). We call this ∆x(d1-d2) as parameter Pk 52
  • 52.
  • 53.
    Bresenham’s algorithm forline Derivation of decision parameter (Cont’d) • If Pk > 0 then d1 > d2 hence choose A implying (xk+1, yk+1)=(xk+1,yk+1) • If Pk < 0 then d1 < d2 hence choose B implying (xk+1, yk+1)=(xk+1,yk) • If Pk = 0 then d1 = d2 hence we can choose either A or B • Now what happens to the value of Pk and therefore the location of pixel (xk+2, yk+2) for the next grid line; both depend of course on whether we choose A or B as (xk+1, yk+1) 54
  • 54.
    Bresenham’s algorithm forline Derivation of decision parameter (Cont’d) • The parameter that decides the pixel (xk+2, yk+2) is Pk+1which is evaluated similarly from eqn.(1) as, Pk+1=2∆y (xk+1) – 2∆x (yk+1)+2∆y+2c∆x -∆x • Subtracting Pk from Pk+1 to get the incremental difference Pk+1 - Pk=2∆y(xk+1-xk) – 2∆x (yk+1-yk)  Pk+1 =Pk+2∆y – 2∆x (yk+1-yk) [since xk+1 = xk+1] If A is chosen previously then yk+1-yk=1 And Pk+1=Pk+2∆y-2∆x 55
  • 55.
    Bresenham’s algorithm forline Derivation of decision parameter (Cont’d) • Else if B is chosen previously then yk+1 - yk=0 And Pk+1=Pk+2∆y • Now checking the sign of Pk+1 the choice is made between pixel at (xk+1+1, yk+1+1) and (xk+1+1, yk+1) as the pixel (xk+2, yk+2) • This process is continued till the endpoint of the line is reached • Thus we see at each step the algorithm chooses between two pixels based on the sign of the decision parameter calculated in the previous iteration; then it updates the decision parameter simply by incrementing the old value by a factor depending upon the choice of pixel. 56
  • 56.
    Bresenham’s algorithm forline Derivation of decision parameter (Cont’d) • This method of obtaining values of successive decision parameters (Pk) using incremental integer calculation avoids direct computation of Pk from eqn. (4) involving floating point operations. • Since the first pixel is simply the first endpoint (x0,y0) of the line we can directly calculate the initial value of Pk i.e. P0 for fixing (x1,y1) 57
  • 57.
    Bresenham’s algorithm forline Derivation of decision parameter (Cont’d) • As the point (x0,y0) lies on the true line path, it satisfies the line equation y=mx+c. c=y0 – mx0 = y0 – (∆y/ ∆x)x0 2c∆x=2y0∆x-2x0∆y • Putting k=0 and replacing 2c∆x with 2y0 ∆x-2x0 ∆y in the expression of Pk we get, P0= 2∆y(x0) - 2 ∆x(y0) + 2 ∆y + 2y0∆x – 2x0∆y - ∆x =2 ∆y - ∆x 58
  • 58.
    Bresenham algorithm forline • The Bresenham line algorithm has the following advantages: – An fast incremental algorithm – Uses only integer calculations • Comparing this to the DDA algorithm, DDA has the following problems: – Accumulation of round-off errors can make the pixelated line drift away from what was intended – The rounding operations and floating point arithmetic involved are time consuming 59
  • 59.
    The Bresenham LineAlgorithm BRESENHAM’S LINE DRAWING ALGORITHM (for |m| < 1.0) 1. Input the two line end-points, storing the left end-point in (x0, y0) 2. Plot the point (x0, y0) 3. Calculate the constants Δx, Δy, 2Δy, and (2Δy - 2Δx) and get the first value for the decision parameter as: 1. At each xk along the line, starting at k = 0, perform the following test. If pk < 0, the next point to plot is (xk+1, yk) and: x y p     2 0 y p p k k     2 1
  • 60.
    The Bresenham LineAlgorithm (cont…) ACHTUNG! The algorithm and derivation above assumes slopes are less than 1. for other slopes we need to adjust the algorithm slightly. Otherwise, the next point to plot is (xk+1, yk+1) and: 5. Repeat step 4 (Δx – 1) times x y p p k k       2 2 1
  • 61.
    Adjustment For m>1, wewill find whether we will increment x while incrementing y each time. After solving, the equation for decision parameter pk will be very similar, just the x and y in the equation will get interchanged.
  • 62.
    Bresenham Example Let’s havea go at this Let’s plot the line from (20, 10) to (30, 18) First off calculate all of the constants: – Δx: 10 – Δy: 8 – 2Δy: 16 – 2Δy - 2Δx: -4 Calculate the initial decision parameter p0: – p0 = 2Δy – Δx = 6
  • 63.
  • 64.
    Bresenham Exercise Go throughthe steps of the Bresenham line drawing algorithm for a line going from (21,12) to (29,16)
  • 65.
  • 66.
    Bresenham Line AlgorithmSummary The Bresenham line algorithm has the following advantages: – An fast incremental algorithm – Uses only integer calculations Comparing this to the DDA algorithm, DDA has the following problems: – Accumulation of round-off errors can make the pixelated line drift away from what was intended – The rounding operations and floating point arithmetic involved are time consuming
  • 67.
  • 68.
  • 69.
    A Simple CircleDrawing Algorithm • The equation for a circle is: • where r is the radius of the circle • So, we can write a simple circle drawing algorithm by solving the equation for y at unit x intervals using: 70 2 2 2 r y x   2 2 x r y   
  • 70.
    A Simple CircleDrawing Algorithm (cont…) 71 20 0 20 2 2 0    y 20 1 20 2 2 1    y 20 2 20 2 2 2    y 6 19 20 2 2 19    y 0 20 20 2 2 20    y
  • 71.
    Circle Drawing Algorithms(Trigonometric) 72 θ R R y x  We can find the value of x and y from the figure above: Cos(θ)=x/R x= R*Cos(θ) Sin(θ)=y/R y= R*Sin(θ)
  • 72.
    Polar coordinates X=r*cosθ+xc Y=r*sinθ+yc 0º≤θ≤360º Or 0 ≤θ ≤6.28(2*π) Problem: – Deciding the increment in θ – Cos, sin calculations
  • 73.
    Circle Drawing Algorithms Sothe following procedure code draw a circle centered at (xc,yc) by using the above method: Procedure Circle(int xc,yc,R); float th,dt,x,y; { dt= 1/R; th=0; while th<=2*pi do { x=R*cos(th); y=R*sin(th); putpixel(round(x)+xc,round(y)+yc,8); th=th+dt; } } 74
  • 74.
    Eight-Way Symmetry • Thefirst thing we can notice to make our circle drawing algorithm more efficient is that circles centred at (0, 0) have eight-way symmetry 75 (x, y) (y, x) (y, -x) (x, -y) (-x, -y) (-y, -x) (-y, x) (-x, y) 2 R
  • 75.
    Eight-Way Symmetry We canimprove the drawing process of the circle by taking greater advantage of the symmetry in a circle 76 (-x,-y) (x,-y) (-y,-x) (y,-x) (-y,x) (-x,y) (x,y) (y,x) Consider a circle centered at the origin, if the point (x,y) is on the circle, then we can trivially compute seven other points on the circle, as shown in the figure above. Therefore, we need to compute only one 45˚ segment to determine the circle completely.
  • 76.
    A Simple CircleDrawing Algorithm (cont…) However, unsurprisingly this is not a brilliant solution! Firstly, the resulting circle has large gaps where the slope approaches the vertical Secondly, the calculations are not very efficient – The square (multiply) operations – The square root operation – try really hard to avoid these! We need a more efficient, more accurate solution
  • 77.
    Mid-Point Circle Algorithm •Similarly to the case with lines, there is an incremental algorithm for drawing circles – the mid-point circle algorithm • In the mid-point circle algorithm we use eight-way symmetry so only ever calculate the points for the top right eighth of a circle, and then use symmetry to get the rest of the points 78 The mid-point circle algorithm was developed by Jack Bresenham.
  • 78.
  • 79.
  • 80.
    Mid-Point Circle Algorithm(cont…) • Assume that we have just plotted point (xk, yk) • The next point is a choice between (xk+1, yk) and (xk+1, yk-1) • We would like to choose the point that is nearest to the actual circle • So how do we make this choice? 81
  • 81.
    Mid-Point Circle Algorithm(cont…) Let’s re-jig the equation of the circle slightly to give us: Any point (x,y) on the boundary of the circle with radius r satisfies the equation If the point is inside the circle, then the circle function is negative and if the point is outside the circle then the circle function is positive. 0 0 ) , ( 2 2 2     r y x or y x fcirc 2 2 2 ) , ( r y x y x fcirc   
  • 82.
    i.e: By evaluating thisfunction at the midpoint between the candidate pixels we can make our decision.         , 0 , 0 , 0 ) , ( y x fcirc boundary circle the inside is ) , ( if y x boundary circle on the is ) , ( if y x boundary circle the outside is ) , ( if y x
  • 83.
    Mid-Point Circle Algorithm(cont…) Assuming we have just plotted the pixel at (xk,yk) so we need to determine whether the next point (xk+1,yk) is closer or (xk+1,yk-1) is closer to the actual circle. Our decision parameter (Pk) is circle function. ) 1 , 1 ( ) , 1 (      k k circ k k k circ k y x f P or y x f P
  • 84.
    We will takethe midpoint of these two points. Our decision variable can be defined as: 2 2 2 ) 2 1 ( ) 1 ( ) 2 1 , 1 ( r y x y x f p k k k k circ k        
  • 85.
    Case 1: Pk<0 Ifpk < 0 ,the midpoint is inside the circle and the pixel at yk is closer to the circle, so plot (xk+1,yk) .
  • 86.
    Case 1: Pk<0 •After this, we have to increase x by 1. • If we solve this we get, • i.e when, earlier we have not changed the row (Y is same) ) 1 2 ( _    k k new k x P p 2 2 2 _ ) 2 1 ( ) 2 ( ) 2 1 , 2 ( r y x y x f p k k k k circ new k        
  • 87.
    Case 2: Pk>0 •Otherwise if Pk>0 then the midpoint is outside and yk-1 is closer so plot (xk+1,yk-1).
  • 88.
    • After thisalso, we have to increase x by 1. • If we solve this we get, • i.e when, earlier we have changed the row (Y is decremented by 1) ) 1 2 2 ( _     k k k new k y x P p 2 2 2 _ ) 2 3 ( ) 2 ( ) 2 3 , 2 ( r y x y x f p k k k k circ new k         Case 2: Pk>0
  • 89.
    • Similarly, theinitial decision parameter is obtained by evaluating the circle function at start position 2 / 1 2 / 1 1 1 0 ) 2 / 1 , 1 ( 0           r y and x r y and x But y x f P k k k k k k circ 0 r 1 r-1 ) , 0 ( ) , ( 0 0 r y x 
  • 90.
    Mid-Point Circle Algorithm(cont…) The first decision variable is given as: r r r r r f p circ           1 4 5 ) 2 1 ( 1 ) 2 1 , 1 ( 2 2 0 0 r 1 r-1
  • 91.
    The Mid-Point CircleAlgorithm MID-POINT CIRCLE ALGORITHM • Input radius r and circle centre (xc, yc), then set the coordinates for the first point on the circumference of a circle centred on the origin as: • Calculate the initial value of the decision parameter as: • Starting with k = 0 at each position xk, perform the following test. If pk < 0, the next point along the circle centred on (0, 0) is (xk+1, yk) and: ) , 0 ( ) , ( 0 0 r y x  r p  1 0 1 2 1 1      k k k x p p
  • 92.
    The Mid-Point CircleAlgorithm (cont…) Otherwise the next point along the circle is (xk+1, yk-1) and: 4. Determine symmetry points in the other seven octants 5. Move each calculated pixel position (x, y) onto the circular path centred at (xc, yc) to plot the coordinate values: 4. Repeat steps 3 to 5 until x >= y 1 1 1 2 1 2        k k k k y x p p c x x x   c y y y  
  • 93.
    Mid-Point Circle AlgorithmExample To see the mid-point circle algorithm in action lets use it to draw a circle centred at (0,0) with radius 10
  • 94.
    Mid-Point Circle AlgorithmExample (cont…) k pk (xk+1,yk+1) 2xk+1 2yk+1 0 1 2 3 4 5 6
  • 95.
    Mid-Point Circle AlgorithmExercise Use the mid-point circle algorithm to draw the circle centred at (0,0) with radius 15
  • 96.
    Mid-Point Circle AlgorithmExample (cont…) k pk (xk+1,yk+1) 2xk+1 2yk+1 0 1 2 3 4 5 6 7 8 9 10 11 12
  • 97.
    Mid-Point Circle AlgorithmSummary The key insights in the mid-point circle algorithm are: – Eight-way symmetry can hugely reduce the work in drawing a circle – Moving in unit steps along the x axis at each point along the circle’s edge we need to choose between two possible y coordinates
  • 98.
  • 99.
    Bresenham’s Circle DrawingAlgorithm The drawbacks of DDA are that rounding y to an integer takes time and that the variables y and x must be real. Bresenham develop the algorithm that is attractive because it uses only integer arithmetic, thus avoiding the round function, and allows the calculation for (xi+1,yi+1) to be performed incrementally 102
  • 100.
    Bresenham’s Circle Drawing Algorithm •This algorithm does only integer arithmetic which makes it faster than floating point. • We create only one octant of the circle i.e from 90deg to 45deg. • We derive other seven octants of the circle by symmetry property. • The circle is generated by considering center point as origin with rarius r. • The algorithm calculates one new pixel per step.
  • 101.
    • Assume thatwe have just plotted point (xk, yk) • The next point is a choice between (xk+1, yk) and (xk+1, yk-1) A B
  • 102.
    • The functionof circle is:- 2 2 2 ) , ( r y x y x fcirc    i.e: This function determines the circle with radius r around the origin .
  • 103.
  • 104.
    • Now iff(A) i=0,then point A lies on the circle so we have to plot it. • Else we have to check,if f(A)<0 i.e A lies inside the circle. or • check,if f(A)>0 i.e A lies outside the circle. • To select one point from A and B we have five different cases.
  • 105.
    Different cases • A •B Case 1 Above A • A • B Case 2 Through A • A • B Case 3 Between A & B • A • B Case 4 Through B • A • B Case 5 Below B Select A Select B
  • 106.
    • To determinewhich point to select ,we use equation of circle. • We will use only the sigh of that function.(+ or -) Case 1 Case 2 Case 3 Case 4 Case 5 f(A) - 0 + + + F(B) - - - 0 + sum - - -,0,+ + +
  • 107.
    • Case 1and case 4 are simple most. It is very clear which point should be selected in it. • But, consider case 1 and 5.In both cases the curve lies on one side of both the points. • Consider case 1,here the curve is above A and B.Both the points are lying inside the curve.i.e f(A) and f(B) must be <0.So which point to select? • Here ,new term sum is introduced. sum=f(A)+f(B)
  • 108.
    • In case1,f(A) and f(B) are negative, so the sum is negative. If sign of sum variable is negative then choose A. • Consider case 5,here the curve is below A and B. Both the points are lying outside the curve. i.e f(A) and f(B) must be >0. • In case 5,f(A) and f(B) are positive, so the sum is positive. If sign of sum variable is positive then choose B.
  • 109.
    • In case3,A lies outside the curve and B lies inside. • So f(A)>0 and f(B)<0.Then sum variable can be either –ve,0 or +ve. • If sum is –ve or 0 ,then pixel A is closer to the circle hence, select A. • If sum is +ve ,then pixel B is closer to the circle hence, select B.
  • 110.
    • Similarly, thestaring pixel P0 is taken at position, r r B f A f sum Therefore r r r r r r r y x y x f B f Similarly r r r y x y x f A f Then y x f P circ 2 3 2 2 1 ) ( ) ( , 2 2 1 2 1 0 0 ) 1 ( ) 1 0 ( ) 1 ( ) 1 ( 1 1 ( ) ( , 1 ) 1 0 ( ) 1 ( 1 ( ) ( , ) , ( 2 2 2 2 2 0 2 0 ) 0 , 0 2 2 2 0 2 0 ) 0 , 0 0 0 0 2 2 2 2                                          0 r 1 r-1 ) , 0 ( ) , ( 0 0 r y x  A B (x0,y0)
  • 111.
    • So dependingon whether sum is +ve,-ve or 0,we will select A or B as next point. • We can find next sum going from p1 to p2 by considering old sum value. • We can generalize this as- yk yk-1 yk-2 xk-2 xk-1 xk A B 2 2 2 2 2 2 ) 1 ( ) 1 ( ) 1 ( ) ( ) 1 , 1 ( ) , 1 ( ) ( ) ( r y x r y x s sum y x f y x f B f A f sum k k k k k k k k                  Pk
  • 112.
    Step 1: If s<0then we select next point as A. We call this point as ( pk+1).Now in order to go for the next pixel i.e(pk+2) we must compute sum again.We call this as Snew and express it using point pk. yk yk-1 yk-2 xk+2 Xk+1 xk Pk Pk+1 A B Select A
  • 113.
    For the nextpixel (pk+2),we have to select A if Snew <=0 else select point B. 6 4 6 4 ) 1 ( ) 2 ( ) 2 ( ) 1 , 2 ( ) , 2 ( ) ( ) ( 2 2 2 2 2 2                        k new k new k k k k new k k k k new x s S x s S get we this solving r y x r y x S y x f y x f B f A f S
  • 114.
    Step 2: But ifat initial stage, s>0 then we select next point as B. We call this point as ( pk+1).Now in order to go for the next pixel i.e(pk+2) we must compute sum again. We call this as Snew and express it using point pk. yk yk-1 yk-2 xk+2 Xk+1 xk Pk Pk+1 A B Select B
  • 115.
    • This showsthat calculating Snew from old S is very simple. • It uses operations like addition,subtraction and multiplication. • We make use of only sign of s variable to determine next pixel to draw. 10 ) ( 4 10 ) ( 4 ) 2 ( ) 2 ( ) 1 ( ) 2 ( ) 2 , 2 ( ) 1 , 2 ( ) ( ) ( 2 2 2 2 2 2                            k k new k k new k k k k new k k k k new y x s S y x s S get we this solving r y x r y x S y x f y x f B f A f S
  • 116.
    The Bresenham’s CircleAlgorithm BRESENHAM’S CIRCLE ALGORITHM 1. Input radius r and circle centre (xc, yc), then set the coordinates for the first point on the circumference of a circle centred on the origin as: 1. Calculate the initial value of the decision parameter as: 1. If we are using octant symmetry property to plot the pixels then until (x<y) we have to perform following steps: – If (S<=0) then – And increase x by 1. ) , 0 ( ) , ( r y x  r S 2 3  6 4    x S S
  • 117.
    Otherwise : and increasex by 1 and decrease y by 1. 4. Determine symmetry points in the other seven octants 5. Move each calculated pixel position (x, y) onto the circular path centred at (xc, yc) to plot the coordinate values: 10 ) ( 4     y x S S c x x x   c y y y  
  • 118.
    Aliasing and Antialiasing •The various forms of distortion that results from the scan conversion operations are collectively called as aliasing. • Aliasing effects are listed as follows:- 1.Staircase 2.Unequal brightness 3.Picket fence problem
  • 119.
    void Mid_Circle( inth, int k,int r) { int color=3; int x=0; int y=r; int p=(1-r); do { putpixel((h+x),(k+y),color); putpixel((h+y),(k+x),color); putpixel((h+y),(k-x),color); putpixel((h+x),(k-y),color); putpixel((h-x),(k-y),color); putpixel((h-y),(k-x),color); putpixel((h-y),(k+x),color); putpixel((h-x),(k+y),color); x++; if(p<0) p+=((2*x)+1); else{ y--; p+=((2*(x-y))+1); } } while(x<=y); } void Bre_Circle( int h, int k,int r) { int color=5; int x=0; int y=r; int p=(3-2*r); do { putpixel((h+x),(k+y),color); putpixel((h+y),(k+x),color); putpixel((h+y),(k-x),color); putpixel((h+x),(k-y),color); putpixel((h-x),(k-y),color); putpixel((h-y),(k-x),color); putpixel((h-y),(k+x),color); putpixel((h-x),(k+y),color); x++; if(p<0) p+=((4*x)+6); else { y--; p+=((4*(x-y))+10); } } while(x<=y); }
  • 120.
  • 121.
    Staircase • A commonaliasing effect is staircase or jagged appearance. • It can be seen in line or circle generation. • It can also be seen along the border of filled region. • Specifically, when the resolution is poor or low and if the display allows only two pixel states ON or OFF this effect is noticed.
  • 123.
    Unequal brightness • Inthis case ,slanted line appears dimmer than a horizontal or vertical lines, although all pixels are present with same intensity level. • The reason for this is that pixels on the horizontal or vertical line are placed one unit apart where as those on the diagonal line are apprx.1.414 units apart. • This difference of distance produces difference in brightness.
  • 124.
    Distance between twoblue or yellow dots is one unit whereas distance between two brown is apprx. 1.414 unit.
  • 125.
    Picket fence problem •Picket fence problem arises when the object is not aligned with the pixel grid properly. • Here, the distance between two adjacent pickets is not a multiple of unit distance between pixels. • When we scan convert it into image it will result in uneven distance between pickets. • Since the end point of picket must be matched with pixel coordinates. • This is sometimes called global aliasing, as overall length of the picket is apprx. correct. • And to maintain the proper length spacing sometimes it will distort the overall length of the fence. This is sometimes called local aliasing.
  • 127.
    Antialiasing • Most aliasingeffects, occuring in static images at a moderate resolution are often tolerable or negligible. • But when the image is moved or animated this effect can be seen. • It can be reduced to some extent by increasing the resolution. • There are some techniques that can greatly reduce these effects and improve image quality. • Such techniques are called is antialiasing.
  • 128.
    • Prefiltering • Supersampling •Postfiltering • Pixel phasing • Gray level
  • 129.
    Prefiltering • This techniquedetermines pixel intensity based on the amount of that particular pixels coverage by the object in the scene i.e it computes pixel colors depending on an objects coverage. • It means how much part or fraction of that pixel is covered by the object and depending on that,it sets the value of that pixel. • It requires large number of calculations and approximations. • Prefiltering generates more accurate antialiasing effect, but due to high complexity of calculations it is not used.
  • 130.
    Supersampling • Supersampling triesto reduce the aliasing effect by sampling or taking more than one sample per pixel. • It subdivides each pixel into 9 sub pixels of equal size which is often called as sampling points. • Some of these 9 sub pixels may get color of background i.e line may not pass through them and rest of sub pixels may get color of object.
  • 131.
    • Suppose,3 samplesor sub pixels get background color and 6 gets foreground color then the color of the pixel will be the sum of (1/3) of the background color and (2/3) of the object color. • So ultimately, the pixel value becomes the average of several samples. 1/9 1/9 1/9 1/9 1/9 1/9 1/9 1/9 1/9
  • 132.
    Post filtering • Postfilteringand supersampling are almost same. • If we consider 9 sampling points as in supersampling,we may give a lot more weightage to center point. • We could give the center sample as weightage of 50% or ½. And remaining 50% is distributed among the rest of 8 samples. • So,we can treat supersampling sa a special case of postfiltering in which each sampling point has an equal weightage(1/9). 1/8 1/8 1/8 1/8 50% 1/8 1/8 1/8 1/8
  • 133.
    Pixel phasing • Pixelphasing is a hardware based anti-aliasing technique. • The graphics system in this case is capable of shifting individual pixels from their normal positions in the pixel grid by a fraction(1/2 or ¼) of unit distance between pixels. • By pixels closer to the true line,this technique reduces the aliasing effect.
  • 134.
    Gray level • Manydisplays allow only two pixel states,ON and OFF.In that case we observe stair case effect. • To reduce this,we can make use of gray level technique. • In this setting,display allow setting pixels to gray levels between black and white. • It uses the gray levels to gradually turn off the pixels in one row as it gradually turns on the pixels in the next.
  • 135.
    Character Generation • Thereare three primary methods of character generation. 1.Stroke method/vector character generation 2.Dot matrix or bit map method 3.Starbust method
  • 136.
    Stroke method/vector character generation •This method creates characters by using a set of line segments. • To produce a character, we will give a sequence of commands that define start point and end point of the straight lines. • We change the scale of character. • We can slant a character or change its style. A
  • 137.
    Dot matrix orbit map method • In this method, character is represented by an array of dots. The size of this array may vary. • An array of 5 dots wide and 7 dots high is generally used but 7x9 or 9/13/14 may be used. • This array is like a small buffer, just big enough to hold a single character. • The dots are the pixels of the small array. • Placing the character on the screen then becomes a matter of copying pixel values from small character array into some portion of the screen frame buffer. • A bitmap font uses a regular pattern of pixels to define each character. • Bitmap fonts require more space, because each variation (size or format) must be stored.
  • 138.
  • 139.
    Starbust method • Inthis method a fixed pattern of line segments are used to generate character s. • There are 24 line segments and out of these 24 line segments ,segments required to display for particular character are highlighted. • It is called starbust because of its characteristic appearance. • The pattern for particular characters are stored in the form of 24 bit code. • Each bit represents particular line segment. • The bit is set to one to highlight the line, otherwise it is set to zero.
  • 140.
    1 2 3 4 5 6 7 8 9 10 11 12 13 14 15 16 1718 19 20 21 22 23 24 1 2 3 4 9 10 11 12 21 22 Starbust pattern of 24 line segments Starbust pattern for character E
  • 141.
    1 2 34 5 6 7 8 9 10 11 12 13 14 15 16 17 18 19 20 21 22 23 24 1 1 1 1 0 0 0 0 1 1 1 1 0 0 0 0 0 0 0 0 1 1 0 0 24 bit pattern for character E But the main disadvantage is, it requires more memory and additional code conversion programs to display characters from 24 bit code.
  • 142.
  • 143.
    146 Graphics Primitives Contents • Introductionto computer graphics • Basics of Graphics systems • Raster scan & random scan displays, display processor, display file structure, algorithms and display file interpreter. • Display devices, Interactive devices: Tablets, touch panels, mouse, joysticks, track balls, light pen etc. • Data generating devices: Scanners and digitizers • primitive operations, • Text and line styles.
  • 144.
    Introduction to Computergraphics • Computer graphics is an art of drawing pictures on computer screens with the help of programming. It involves computations, creation, and manipulation of data. In other words, we can say that computer graphics is a rendering tool for the generation and manipulation of images.
  • 145.
    148 CG (Cont’) application data structures application programs graphics systems graphics devicesusers (operators)  application data structures / models  application programs  graphics systems  graphics devices The Programmer’s Model of Interactive Graphics
  • 146.
    149 Graphics Systems • interfacebetween application programs and graphics devices • consisting of input subroutines and output subroutines accepting input data from input devices and draw pictures on output devices, respectively
  • 147.
    150 application program graphics system graphics hardware inputand output devices metafiles operating system Overview
  • 148.
    151 • Output Devices −display devices − hard copy devices • Input Devices − locator − stroke − string (keyboard) − valuator − choice (button) − pick Graphics Devices CPU DP input hard copy display
  • 149.
    Application of ComputerGraphics • Computer Graphics has numerous applications, some of which are listed below − • Computer graphics user interfaces (GUIs) − A graphic, mouse-oriented paradigm which allows the user to interact with a computer. • Business presentation graphics − "A picture is worth a thousand words". • Cartography − Drawing maps. • Weather Maps − Real-time mapping, symbolic representations. • Satellite Imaging − Geodesic images. • Photo Enhancement − Sharpening blurred photos.
  • 150.
    Application of ComputerGraphics • Medical imaging − MRIs, CAT scans, etc. - Non-invasive internal examination. • Engineering drawings − mechanical, electrical, civil, etc. - Replacing the blueprints of the past. • Typography − The use of character images in publishing - replacing the hard type of the past. • Architecture − Construction plans, exterior sketches - replacing the blueprints and hand drawings of the past. • Art − Computers provide a new medium for artists. • Training − Flight simulators, computer aided instruction, etc. • Entertainment − Movies and games. • Simulation and modeling − Replacing physical modeling and enactments
  • 151.
    Raster scan • Ina raster scan system, the electron beam is swept across the screen, one row at a time from top to bottom. As the electron beam moves across each row, the beam intensity is turned on and off to create a pattern of illuminated spots. • Picture definition is stored in memory area called the Refresh Buffer or Frame Buffer. This memory area holds the set of intensity values for all the screen points. Stored intensity values are then retrieved from the refresh buffer and “painted” on the screen one row (scan line) at a time as shown in the following illustration. • Each screen point is referred to as a pixel (picture element) or pel. At the end of each scan line, the electron beam returns to the left side of the screen to begin displaying the next scan line.
  • 153.
    156 A raster-scan systemdisplays an object as a set of points across each screen scan line (a) (b) (d) (c)
  • 154.
    • Advantages • Highdegree realism is achieved in picture with the aid of advanced shading and hidden surface technique. • Decreasing memory costs have made raster systems popular. • Computer monitors and TVs use this method Disadvantages • Raster displays have less resolution. • The lines produced are ziz-zag as the plotted values are discrete.
  • 155.
    Random Scan (VectorScan) • In this technique, the electron beam is directed only to the part of the screen where the picture is to be drawn rather than scanning from left to right and top to bottom as in raster scan. • It is also called vector display, stroke-writing display, or calligraphic display. • Picture definition is stored as a set of line-drawing commands in an area of memory referred to as the refresh display file. • To display a specified picture, the system cycles through the set of commands in the display file, drawing each component line in turn. After all the line-drawing commands are processed, the system cycles back to the first line command in the list. • Random-scan displays are designed to draw all the component lines of a picture 30 to 60 times each second.
  • 157.
    • Advantages • Veryhigh resolution, limited only by monitor. • Easy animation, just draw at different position. Requires little memory (just enough to hold the display program). • Disadvantages • Requires intelligent electron beam, i.e., processor controlled. • Limited screen density before have flicker, can’t draw a complex image. • Limited color capability (very expensive).
  • 158.
    RASTER SCAN DISPLAY •i) It draws the image by scanning one row at a time. • ii) They generally have resolution limited to pixel size • iii) Lines are jaggered and curves are less smoother. • iv) They are more suited to geometric area drawing applications e.g. monitors, Tele vision . RANDOM SCAN DISPLAY • i) It draws the image by directing the electron beam directly to the part of the screen where the image is to be drawn. • ii) They have higher resolution than Raster Scan System • iii) Line plots are straight and curves are smooth. • iv) They are more suited to line drawing application e.g. CROs, pen plotter.
  • 159.
    Random Scan RasterScan 1. It has high Resolution 1. Its resolution is low. 2. It is more expensive 2. It is less expensive 3. Any modification if needed is easy 3.Modification is tough 4. Solid pattern is tough to fill 4.Solid pattern is easy to fill 5. Refresh rate depends or resolution 5. Refresh rate does not depend on the picture. 6. Only screen with view on an area is displayed. 6. Whole screen is scanned. 7. Beam Penetration technology come under it. 7. Shadow mark technology came under this. 8. It does not use interlacing method. 8. It uses interlacing 9. It is restricted to line drawing applications 9. It is suitable for realistic display.
  • 160.
    Display File • Inraster scan displays image information is stored in frame buffer. It includes information of all pixels. • On the other hand, vector refresh display stores only the necessary commands required to draw line segments. Here,input to the vector generator is stored instead of output. • The file used to draw the commands necessary for line drawing is called display file.
  • 161.
    • In vectorrefresh display system, display processor uses the information in the display file to draw line segments with the help of vector generating algorithms. • Thus, display file provides the interface between the image specification process and image display process .It also describes the image in compact format.
  • 162.
    Structure of DisplayFile • Display file contains a series of commands. • Each command contains two fields, an operation code (opcode) and operand. • Opcode determines the operations such as draw line, move cursor etc. • Operand provide coordinates of the point to process the command. User program Display processor Screen Display file
  • 163.
    Sample commands ofDF Command Opcode MOVE LINE PLOT 1 2 3
  • 164.
    OPCODE OPERAND1(X) OPERAND2(Y)EXPLANATION 1 30 30 It moves current cursor position to (30,30) 2 50 80 It draws line between(50,80) and current cursor position(30,30). 2 70 30 It draws line between(70,30) and current cursor position(50,80). 1 40 55 It moves current cursor position to (40,55) 2 60 55 It draws line between(60,55) and current cursor position(40,55). (30,30) (40,55) (50,80) (60,55) (70,30)
  • 165.
    • Display fileuses following data structures – Arrays – Linked list – Paging scheme Every data structure has its own advantages and disadvantages.
  • 166.
    Display file interpreter •Display file interpreter – User program -> display file -> interpreter -> display(image) User program Interpreter display Display file
  • 167.
    • Display filecontains commands to draw a picture. • The program which converts these commands into actual picture is called interpreter. • It is a interface between the graphics representation in display file and display device. • Display process is divided into two steps: – Image is stored in the display file structure. – It is interpreted to get the actual image.
  • 168.
    • In somegraphics system, separate computer is used to interpret the commands in display file. It is known as Display processor. • DP access display file and it cycles through each command in the DF once during every refresh cycle. • In raster scan system,purpose of DP is to free the CPU from graphics routine task.Here,DP is provided with separate memory.
  • 169.
    172 Why DP ? scan conversion  refreshing  raster operations  character generation  interfacing with interactive input devices CPU DP Memory Input CRT DP (Display Processor)
  • 170.
    • The maintask of DP is to digitize the picture definition given in the application program into a set of pixel intensity values for storage in a frame buffer. This digitization process is known as scan conversion. • The display processor also designed to perform a number of additional operations. These functions include various line style(dashed, dotted, solid), display color area and so on. Also designed to interface with interactive input devices such as mouse. Sometimes the display processor in a random graphics system is referred to as a display processing unit or a graphic controller.
  • 171.
    Primitive operations • Absoluteline commands – Line_abs(x,y) – Move_abs(x,y) • Relative line commands – Line_rel(x,y) – Move_rel(x,y)
  • 172.
    175 Display devices • Displaysystem is referred to as Video Monitor or Video Display Unit (VDU) • Three parts of display system – Display adapter • Creates and holds the image information – Monitor • Displays information – Cable • Carries the image data between the display adapter and the monitor
  • 173.
    176 Display devices 1. Rasterscan displays 2. Random scan displays 3. Direct view storage tube 4. Flat panel displays 5. Three dimensional viewing devices 6. Stereoscopic and virtual reality system 7. Readymade Image The operation of most video monitors is based on the standard Cathode-Ray-Tube (CRT) design.
  • 174.
  • 176.
    Cathode Ray Tube •The primary output device in a graphical system is the video monitor. The main element of a video monitor is the Cathode Ray Tube (CRT), shown in the following illustration. • The operation of CRT is very simple − • The electron gun emits a beam of electrons (cathode rays). • The electron beam passes through focusing and deflection systems that direct it towards specified positions on the phosphor-coated screen. • When the beam hits the screen, the phosphor emits a small spot of light at each position contacted by the electron beam. • It redraws the picture by directing the electron beam back over the same screen points quickly. • There are two ways (Random scan and Raster scan) by which we can display an object on the screen.
  • 177.
    180 Input Devices • LocatorDevices: to indicate a position and/or orientation e.g. Tablet, Mouse, Trackball, Joystick, Touch Panel, Light Pen • Keyboard devices: to input a character string e.g. Alphanumeric keyboard • Scanner – Image Scanners, e.g. Flatbed, etc What type of data is returned? Bitmap – Laser Scanners, e.g. Deltasphere Emits a laser and does time of flight. Returns 3D point
  • 178.
    181 Keyboards Keyboard is theprimary input device for any graphics system. It is used for entering text and numbers. Keyboards are available in various sizes, shapes & styles. The standard keyboard consists of 1 Alphanumeric keys 2 Function keys 3 Modifier keys 4 Cursor Movement keys 5 Numeric Keypad. Physical Devices When we press a key on the keyboard, the keyboard controller places a code corresponding to the key pressed, in a part of its memory called keyboard buffer. This code is called the scan code. The keyboard controller informs the CPU of the computer about the key pressed with the help of interrept signals. The CPU then reads the scan code from the Keyboard Buffer.
  • 179.
    182 Touch Panels • Detectthe presence of finger or stylus on the screen. Work by interrupting matrix of light beams or by capacitance changes or ultrasonic reflections. Direct pointing devices. • Advantages: Fast, and require no specialised pointer. Good for menu selection. Suitable for use in hostile environment: clean and safe from damage. • Disadvantages: Finger can mark screen. Imprecise (finger is a fairly blunt instrument!) - difficult to select small regions or perform accurate drawing. Lifting arm can be tiring, and can make screen too close for easy viewing.
  • 180.
    183 Light Pens • Coiledcable connects pen to c.r.t. In operation, pen held to screen and detects burst of light from screen phosphor during display scan. • Direct pointing device: accurate (can address individual pixels), so can be used for fine selection and drawing. • Problems: pen can obscure display, is fragile, can be lost on a busy desk, tiring on the arm. • Both much less popular than the mouse
  • 181.
    184 Mouse A mouse isa palm sized box used to position the screen cursor. It consists of a ball on the bottom connected to wheels to provide the amount and direction of movement. One, two or three buttons are usually included on the top of the mouse for signaling the execution of same operation. Now-a- days mouse consists of one more wheel on top to scroll the screen pages.
  • 182.
    185 Joystick Indirect device Takes upvery little space Controlled by either • movement (absolute joystick) - position of joystick corresponds to position of cursor • pressure (isometric or velocity-controlled joystick) - pressure on stick corresponds to velocity of cursor Usually provided with buttons (either on top or on front like a trigger) for selection Does not obscure screen Inexpensive (often used for computer games, also because they are more familiar to users)
  • 183.
    186 Trackball Bit like anupside-down mouse. Ball is rotated inside static housing, relative motion moves cursor. Indirect device, fairly accurate. Requires buttons for picking. Size and “feel” of trackball itself important. Requires little space, becoming popular for portable and notebook computers.
  • 184.
    • Scanner havebecome an important part of the home, office over the last few years. It is a device which can be used to store drawings, graphics, photos as text available in the printed form for computer processing.
  • 185.
    • The photographis mounted on a rotating drum. A finely collimated light beam is directed at the photo, and the amount of light reflected is measured by a photocell. As the drum rotates the light source slowly moves from one end to the other, thus doing a raster scan of the inter photograph.
  • 186.
    189 Digesting tablet Indirect device. Resistivetablet detects point contact between 2 separated sheets: has advantages in that it can be operated without specialized stylus - a pen or the user’s finger is fine. Magnetic tablet detects current pulses in magnetic field using small loop coil housed in special pen. Also capacitive and electrostatic tablets. Sonic tablet similar to above but requires no special surface: ultrasonic pulse emitted by pen detected by two or more microphones which then triangulate the pen position. Can be adapted to provide 3-d input. High resolution, available in a range of sizes from A5 to 60x60 in. Sampling rate between 50 and 200 Hz. Can be used to detect relative motion or absolute motion. Can also be used for text input (if supported by character recognition software). Require large amount of desk space, and may be awkward to use if displaced by the keyboard.
  • 187.
  • 188.