ADVANCED
DIFFERENTIATION
RULES
Basic Calculus
IMPLICIT DIFFERENTIATION
Implicit Differentiation
• Most of you are sometimes face with situations where
you need to choose between expressing explicitly and
expressing implicitly. Of course, you will choose the
one that is clear and not ambiguous. The same
situation happens also in mathematics, especially
when dealing with functions. A function is written in
explicit form when it is expressed as 𝑦 = 𝑓(𝑥). All
functions that are dealt with in the previous modules
are written in this form.
Implicit Differentiation
•However, there are times when mathematical
functions are written in more complicated form,
wherein it is difficult (or sometimes impossible)
to express 𝑦 explicitly in terms of 𝑥 . Such
functions are expressed in implicit form. This
section of the module will try to explain how
these functions can be differentiated.
Implicit Differentiation
•To start, consider the following equations
describing two familiar curves:
𝑦 = 𝑥2
+ 3
𝑥2
+ 3𝑦 = 4
Implicit Differentiation
•The first function defines 𝑦 as a function
of 𝑥 explicitly, because for each 𝑥, the equation
gives the explicit formula 𝑦 = 𝑓 𝑥 for finding
the corresponding value of 𝑦. You can easily
differentiate this function following the usual
process by applying the differentiation rules:
𝑑𝑦
𝑑𝑥
= 2𝑥
Implicit Differentiation
•The second function may still be differentiated
easily, provided that it is possible to express it in
explicit form. Because 𝑥2
+ 3𝑦 = 4 , then by
algebraic manipulation, 𝑦 = −
1
3
𝑥2
+
4
3
. You can
now differentiate this function and yield
𝑑𝑦
𝑑𝑥
= −
1
3
2𝑥 = −
2
3
𝑥
Implicit Differentiation
•However, there are cases when it is totally
impossible to rewrite the given equation as
function of 𝑥, such as 𝑥4
+ 2𝑥𝑦 − 𝑦3
+ 2 = 0. It
is in these instances that implicit differentiation
is used.
Implicit Differentiation
• Because the equation is written in implicit form, the
process of implicit differentiation involves
differentiating each term of an equation on both
sides, including those that contain the variably 𝑦. To
totally understand how this works, remember that
you are always differentiating in terms of 𝑥. Thus, you
must differentiate the 𝑥 terms in the usual way. But
for the 𝑦 terms, the chain rule must be applied
because 𝑦 is defined implicitly as a function of 𝑥. For
example, the expression 𝑥3
+ 3𝑦2
has a derivative
of 3𝑥2
+ 6𝑦
𝑑𝑦
𝑑𝑥
.
Implicit Differentiation
• To further guide you on the implicit differentiation
process, follow these steps:
• Differentiate both sides of the equation with respect
to 𝑥.
• Combine all terms containing
𝑑𝑦
𝑑𝑥
on the left side of the
equation and all the other terms on the right side.
• On the left side of the equation, factor out
𝑑𝑦
𝑑𝑥
.
• Isolate
𝑑𝑦
𝑑𝑥
by dividing out the other factor on the left side.
Example 1:
•Find
𝑑𝑦
𝑑𝑥
given that 𝑦3
+ 𝑦 − 3𝑥2
= 2𝑥 + 5.
Solution:
•Differentiate both sides of the equation with
respect to 𝑥.
𝑑
𝑑𝑥
𝑦3
+ 𝑦 − 3𝑥2
=
𝑑
𝑑𝑥
2𝑥 + 5
•Take derivative of each term with respect
to 𝑥 and use chain rule.
3𝑦2
𝑑𝑦
𝑑𝑥
+
𝑑𝑦
𝑑𝑥
− 6𝑥 = 2
Solution:
•Combine all terms with
𝑑𝑦
𝑑𝑥
on the left side.
3𝑦2
𝑑𝑦
𝑑𝑥
+
𝑑𝑦
𝑑𝑥
= 6𝑥 + 2
•Factor out
𝑑𝑦
𝑑𝑥
.
𝑑𝑦
𝑑𝑥
3𝑦2
+ 1 = 6𝑥 + 2
Solution:
•Divide both sides by 3𝑦2
+ 1 to isolate
𝑑𝑦
𝑑𝑥
.
𝑑𝑦
𝑑𝑥
=
6𝑥 + 2
3𝑦2 + 1
Example 2:
•Given the equation 𝑥2
𝑦 + 2𝑥𝑦2
= 𝑥4
+ 𝑦4
,
find
𝑑𝑦
𝑑𝑥
.
Solution:
•Solution: Differentiate both sides of the equation
with respect to 𝑥.
𝑑
𝑑𝑥
𝑥2
𝑦 + 2𝑥𝑦2
=
𝑑
𝑑𝑥
𝑥4
+ 𝑦4
Solution:
𝑥2
𝑑𝑦
𝑑𝑥
+ 2𝑥𝑦 + 4𝑥𝑦
𝑑𝑦
𝑑𝑥
+ 2𝑦2
= 4𝑥3
+ 4𝑦3
𝑑𝑦
𝑑𝑥
Differentiate
with respect
to 𝑥
𝑥2
𝑑𝑦
𝑑𝑥
+ 4𝑥𝑦
𝑑𝑦
𝑑𝑥
− 4𝑦3
𝑑𝑦
𝑑𝑥
= 4𝑥3
− 2𝑥𝑦 − 2𝑦2 Combination
of terms
with
𝑑𝑦
𝑑𝑥
𝑑𝑦
𝑑𝑥
(𝑥2
+ 4𝑥𝑦 − 4𝑦3) = 4𝑥3
− 2𝑥𝑦 − 2𝑦2 Factoring
out
𝑑𝑦
𝑑𝑥
𝑑𝑦
𝑑𝑥
=
4𝑥3
− 2𝑥𝑦 − 2𝑦2
𝑥2 + 4𝑥𝑦 − 4𝑦3
Division of
𝑥2
+ 4𝑥𝑦 −
4𝑦3
Solution:
•The implicit differentiation can be used to find
the slope of the tangent line to the curve, given
that it is not a function, as in the next examples.
Example 3:
•Find the slope of the curve described by 𝑥2
+
𝑦2
= 1 at
1
2
,
3
2
Solution:
•The equation is that of unit circle. Thus, it is not
a function. We can, however, restrict to apply
implicit differentiation.
•Differentiate both sides with respect to 𝑥.
𝑑
𝑑𝑥
𝑥2
+ 𝑦2
=
𝑑𝑦
𝑑𝑥
1
𝑑
𝑑𝑥
𝑥2
+
𝑑
𝑑𝑥
𝑦2
= 0
Solution:
•2𝑥 + 2𝑦
𝑑𝑦
𝑑𝑥
= 0
•2𝑦
𝑑𝑦
𝑑𝑥
= −2𝑥
•
𝑑𝑦
𝑑𝑥
= −
2𝑥
2𝑦
= −
𝑥
𝑦
Solution:
•To find the slope at point at point
1
2
,
3
2
,
substitute
1
2
for 𝑥 and
3
2
for 𝑦. You now obtain.
•
𝑑𝑦
𝑑𝑥
= −
𝑥
𝑦
= −
1
2
3
2
= −
1
2
∙
2
3
= −
1
3
Example 4:
•Find the equation of the tangent line to the
curve 𝑥3
+ 𝑦3
= 9 at the point 1, 2 .
Solution:
•Sometimes, you can use 𝑦′
instead of
𝑑𝑦
𝑑𝑥
.
Differentiating implicitly with respect to 𝑥,
•
𝑑𝑦
𝑑𝑥
𝑥3
+ 𝑦3
=
𝑑𝑦
𝑑𝑥
9
•3𝑥2
+ 3𝑦2
𝑦′
= 0
•3𝑦2
𝑦′
= −3𝑥2
•𝑦′
= −
3𝑥2
3𝑦2 = −
𝑥2
𝑦2
Solution:
•Now, at the point 1, 2 , the slope 𝑚 of the
tangent line is 𝑚 = −
𝑥2
𝑦2 = −
1 2
2 2 = −
1
4
. Using the
point-slope form of the equation of the line, you
now have
•𝑦 − 2 = −
1
4
𝑥 − 1
•𝑦 = −
1
4
𝑥 +
1
4
+ 2
•𝑦 = −
1
4
𝑥 +
9
4
Example 5:
• Consider the equation 𝑥2
+ 𝑦2
= 9.
a) Find 𝑦′
by implicit differentiation.
b) Derive two functions that can be defined
from the equation.
c) Find the derivative of each functions
obtained in (b) by explicit differentiation.
d) Verify that the result obtained in (a) agrees
with result in (c).
Solution:
•Differentiating implicitly, you find that
•2𝑥 + 2𝑦 𝑦′
= 0
•2𝑦 𝑦′
= −2𝑥
•𝑦′
= −
2𝑥
2𝑦
= −
𝑥
𝑦
Solution:
•Solving the equation for 𝑦, you have 𝑦2
= 9 − 𝑥2
.
Thus,
•𝑦 = ± 9 − 𝑥2
•Let 𝑓 𝑥 = 9 − 𝑥2 and 𝑔 𝑥 = − 9 − 𝑥2.
Solution:
•Because 𝑓 𝑥 = 9 − 𝑥2, by using chain rule, you
now have
•𝑓′
𝑥 =
1
2
9 − 𝑥2 −
1
2 −2𝑥 =
1
2
−2𝑥 ∙
1
9−𝑥2
=
−
𝑥
9−𝑥2
•Similarly, you get 𝑔′
𝑥 =
𝑥
9−𝑥2
.
Solution:
•For 𝑦 = 𝑓 𝑥 where 𝑓 𝑥 = 9 − 𝑥2, you have
from (c),
•𝑓′
𝑥 = −
𝑥
9−𝑥2
= −
𝑥
𝑦
•For 𝑦 = 𝑔 𝑥 where 𝑔 𝑥 = − 9 − 𝑥2, you have
from (c),
•𝑔′
𝑥 =
𝑥
9−𝑥2
=
𝑥
− 9−𝑥2
= −
𝑥
𝑦
Solution:
•The explicit differentiation for both functions
agrees with the answer in (a).
Big Idea:
•The implicit differentiation is performed on
functions that are difficult to express directly. As a
result, the differentiation process takes longer
than usual and also a bit confusing when not
properly carried out. This is the same for the
things you cannot express directly. They may imply
the right message, but the receiver might
interpret them incorrectly when properly stated.
DERIVATIVE RULES FOR
EXPONENTIAL AND
LOGARITHMIC FUNCTIONS
WITH BASE 𝒆
Derivative Rules for exponential and Logarithmic
Functions with Base 𝒆
•You probably have now mastered how to
differentiate algebraic functions based on the
examples and exercises in the previous module.
Not all functions, however, are algebraic in form,
so you cannot apply the techniques for
differentiation right away. In the case of
exponential and logarithmic functions, they also
have a set of rules that you must follows in
finding the derivatives.
Derivative Rules for exponential and Logarithmic
Functions with Base 𝒆
• Among all the exponential functions of the form 𝑦 = 𝑎𝑥
,
natural exponential function is of great importance in
terms of differentiation. Recall that the natural
exponential function is written as 𝑦 = 𝑒𝑥
, where 𝑒 is the
Euler number, an irrational number equivalent
to 2.718281828 …. The most important thing about the
natural exponential function is that its derivative is
itself. Hence,
𝑑
𝑑𝑥
𝑒𝑥
= 𝑒𝑥
. To prove this, examine the
value of 𝑒 once again. You may want to verify these
values using your calculator.
Derivative Rules for exponential and Logarithmic
Functions with Base 𝒆
Table 12.1. Values of 𝑒 as 𝑥 approaches 0
𝑥 1 + 𝑥
(1 + 𝑥)
1
𝑥
0.1 1.1 2.59374246
0.01 1.01 2.704813829
0.001 1.001 2.716923932
0.0001 1.0001 2.718145927
0.00001 1.00001 2.718268237
0.000001 1.000001 2.718280469
0.0000001 1.0000001 2.718281694
0.00000001 1.00000001 2.718281786
Derivative Rules for exponential and Logarithmic
Functions with Base 𝒆
•From table 12.1, the value of
(1 + 𝑥)
1
𝑥 approaches the
number 𝑒 as 𝑥 approaches 0. Thus,
lim
𝑥→0
(1 + 𝑥)
1
𝑥= 𝑒. This implies that as 𝑥 becomes
sufficiently small, 𝑒 = (1 + 𝑥)
1
𝑥 or 𝑒𝑥
= 1 + 𝑥 .
Now, suppose 𝑓 𝑥 = 𝑒𝑥
. Then,
Derivative Rules for exponential and Logarithmic
Functions with Base 𝒆
𝑓′(𝑥) = lim
ℎ→0
𝑒𝑥+ℎ
− 𝑒𝑥
ℎ
Definition of derivative
= lim
ℎ→0
𝑒𝑥
(𝑒ℎ
− 1)
ℎ
Factoring out 𝑒𝑥
= lim
ℎ→0
𝑒𝑥
(1 + ℎ − 1)
ℎ
Based on 𝑒ℎ
= 1 + ℎ
= lim
ℎ→0
𝑒𝑥
(ℎ)
ℎ
Simplifying terms
= lim
ℎ→0
𝑒𝑥
= 𝑒𝑥
Derivative of Natural Exponential Functions
•The natural exponential functions is its own
derivative, that is,
𝑑
𝑑𝑥
𝑒𝑥
= 𝑒𝑥
•Generally, if 𝑢 is a differentiable function of 𝑥,
then
𝑑
𝑑𝑥
𝑒𝑢
= 𝑒𝑢
𝑑𝑢
Example 6:
•Differentiate each function.
a) 𝑓 𝑥 = 𝑒3𝑥
b) 𝑔 𝑥 = 𝑒−2𝑥2
c) 𝑝 𝑥 = 𝑥𝑒2𝑥
d) ℎ 𝑥 =
𝑒2𝑥+1
𝑒𝑥−1
Solution:
•Let 𝑢 = 3𝑥. Then,
𝑑
𝑑𝑥
𝑒3𝑥
= 𝑒3𝑥
∙ 3 = 3𝑒3𝑥
•Let 𝑢 = −2𝑥2
. Then,
𝑑
𝑑𝑥
𝑒−2𝑥2
= 𝑒−2𝑥2
∙ −4𝑥 =
− 4𝑥𝑒−2𝑥2
•Using the product rule,
𝑝′
𝑥 = 𝑥 ∙
𝑑
𝑑𝑥
𝑒2𝑥
+ 𝑒2𝑥
∙
𝑑
𝑑𝑥
𝑥
= 𝑥 2𝑒2𝑥
+ 𝑒2𝑥
= 2𝑥𝑒2𝑥
+ 𝑒2𝑥
Solution:
•Let 𝑢 = 𝑒2𝑥
+ 1 and 𝑣 = 𝑒𝑥
− 1 . Then, 𝑑𝑢 =
2𝑒2𝑥
and 𝑑𝑣 = 𝑒𝑥
. Applying quotient rule,
ℎ′
𝑥 =
𝑒𝑥
− 1 2𝑒2𝑥
− (𝑒2𝑥
+ 1)(𝑒𝑥
)
(𝑒𝑥−1)2
=
2𝑒3𝑥
− 2𝑒2𝑥
− 𝑒3𝑥
− 𝑒𝑥
(𝑒𝑥−1)2
=
𝑒3𝑥
− 2𝑒2𝑥
− 𝑒𝑥
(𝑒𝑥−1)2
•Now that you know the derivative of the natural
exponential function, you can now derive the rule
for the derivative of its inverse, which is the
natural logarithmic function. The derivative of the
natural logarithmic function may be derived by
using implicit differentiation. Suppose that 𝑦 =
ln 𝑥.
𝑦 = ln 𝑥 Given
𝑒𝑦
= 𝑥 Exponential notation
𝑑
𝑑𝑥
𝑒𝑦
=
𝑑
𝑑𝑥
𝑥
Differentiating both sides
𝑒𝑦
𝑑𝑦
𝑑𝑥
= 1
Implicit differentiation
𝑑𝑦
𝑑𝑥
=
1
𝑒𝑦
Isolating
𝑑𝑦
𝑑𝑥
𝑑𝑦
𝑑𝑥
=
1
𝑥
𝑒𝑦
= 𝑥
Derivative of Natural Logarithmic Function
•The derivative of the natural logarithmic function
is the reciprocal function, that is,
𝑑
𝑑𝑥
ln 𝑥 =
1
𝑥
•If 𝑢 is differentiable function of 𝑥, then
𝑑
𝑑𝑥
ln 𝑢 =
1
𝑢
𝑑𝑢
Example 7:
•Find the derivative of each function.
a) 𝑦 = ln 4𝑥
b) 𝑓 𝑥 = ln(5𝑥2
+ 3)
c) 𝑔 𝑥 =
𝑥
ln 𝑥
d) ℎ 𝑥 = 𝑥 ln 𝑥
Solution:
•Let 𝑢 = 4𝑥 . Applying the derivative of natural
logarithmic function, you have
𝑑
𝑑𝑥
ln 4𝑥 =
1
4𝑥
∙
𝑑
𝑑𝑥
4𝑥 =
4
4𝑥
=
1
𝑥
•Let 𝑢 = 5𝑥2
+ 3. Then,
𝑑
𝑑𝑥
ln(5𝑥2
+ 3) =
1
5𝑥2 + 3
∙
𝑑
𝑑𝑥
(5𝑥2
+ 3) =
1
5𝑥2 + 3
(10𝑥) =
10𝑥
5𝑥2 + 3
Solution:
•Using quotient rule, you have
𝑑
𝑑𝑥
𝑥
ln 𝑥
=
(ln 𝑥)
𝑑
𝑑𝑥
𝑥 − 𝑥
𝑑
𝑑𝑥
[ln 𝑥]
(ln 𝑥)2
Quotient Rule
=
ln 𝑥 − 𝑥
1
𝑥
ln2𝑥
Recall: (ln 𝑥)2
= ln2
𝑥
=
ln 𝑥 − 1
ln2𝑥
Simplify
Solution:
•Using product rule, you have
ℎ′
𝑥 = 𝑥 ∙
𝑑
𝑑𝑥
ln 𝑥 + ln 𝑥
𝑑
𝑑𝑥
∙ 𝑥
= 𝑥 ∙
1
𝑥
+ ln 𝑥
= 1 + ln 𝑥
Example 8:
•Find the derivative of 𝑓 𝑥 = ln
4𝑥+2
𝑥−1 2
Solution:
•Recall that the quotient rule of logarithms states
that the logarithm of a quotient is equal to the
difference of the logarithm of the numerator and
the logarithm of the denominator.
𝑓 𝑥 = ln
4𝑥 + 2
𝑥 − 1 2
= ln 4𝑥 + 2 − ln 𝑥 − 1 2
•By power rule of logarithms,
𝑓 𝑥 = ln 4𝑥 + 2 − 2 ln(𝑥 − 1)
Solution:
•Thus,
𝑓′
𝑥 =
𝑑
𝑑𝑥
ln 4𝑥 + 2 − 2
𝑑
𝑑𝑥
ln(𝑥 − 1)
=
1
4𝑥 + 2
∙ 4 − 2 ∙
1
𝑥 − 1
=
4
(4𝑥 + 2)
−
2
𝑥 − 1
=
−2𝑥 − 4
(2𝑥 + 1)(𝑥 − 1)
DERIVATIVE RULES FOR
GENERAL EXPONENTIAL AND
LOGARITHMIC FUNCTIONS
Derivative Rules for General Exponential and
Logarithmic Functions
•When the given exponential or logarithmic
function expressed using a base other than the
number 𝑒, the following rules may be applied.
These rules can be derived through rewriting the
function using base 𝑒.
Derivative with Other Bases
• Let 𝑢 be a differentiable function of 𝑥 and 𝑎 is a real
number such that 𝑎 > 0 and 𝑎 ≠ 1. Then,
•
𝑑
𝑑𝑥
𝑎𝑥
= (ln 𝑎)𝑎𝑥
•
𝑑
𝑑𝑥
log𝑎 𝑥 =
1
ln 𝑎
1
𝑥
•
𝑑
𝑑𝑥
𝑎𝑢
= (ln 𝑎)𝑎𝑢
𝑑𝑢
•
𝑑
𝑑𝑥
log𝑎 𝑢 =
1
ln 𝑎
1
𝑢
𝑑𝑢
Theorem:
𝑑
𝑑𝑥
𝑎𝑥
= (ln 𝑎)𝑎𝑥
Proof: By definition, 𝑎𝑥
= 𝑒𝑥(ln 𝑎)
. Therefore,
𝑑
𝑑𝑥
𝑎𝑥
=
𝑑
𝑑𝑥
𝑒𝑥(ln 𝑎)
= 𝑒𝑥(ln 𝑎)
∙
𝑑
𝑑𝑥
𝑥(ln 𝑎)
= 𝑒𝑥(ln 𝑎)
∙ 𝑥 ∙
𝑑
𝑑𝑥
(ln 𝑎) + ln 𝑎
Now, using constant rule,
𝑑
𝑑𝑥
(ln 𝑎) = 0. Thus,
𝑑
𝑑𝑥
𝑎𝑥
= 𝑒𝑥(ln 𝑎)
∙ 0 + ln 𝑎
= 𝑒𝑥(ln 𝑎)
∙ ln 𝑎
= (ln 𝑎)𝑎𝑥
Theorem:
𝑑
𝑑𝑥
log𝑎 𝑥 =
1
ln 𝑎
1
𝑥
Proof: Using the change-of-base formula,
log𝑎 𝑥 =
ln 𝑥
ln 𝑎
. Thus,
𝑑
𝑑𝑥
log𝑎 𝑥 =
𝑑
𝑑𝑥
ln 𝑥
ln 𝑎
=
ln 𝑎 ∙
𝑑
𝑑𝑥
ln 𝑥 − ln 𝑥 ∙
𝑑
𝑑𝑥
ln 𝑎
ln2𝑎
=
ln 𝑎 ∙
1
𝑥
− 0
ln2𝑎
=
1
𝑥
ln 𝑎 ∙
1
ln2𝑎
=
1
ln 𝑎
1
𝑥
Example 1:
•Find the derivative of the following function:
a) 𝑦 = 52𝑥
b) 𝑦 = 𝑒𝑥
+ 8𝑥
c) 𝑦 = log5(3𝑥2
+ 1)
d) 𝑦 = log 𝑥 𝑥 − 2 3
Solution:
•𝑦 = 52𝑥
𝑑
𝑑𝑥
52𝑥
= 52𝑥
∙ ln 5 ∙
𝑑
𝑑𝑥
2𝑥 = (2 ln 5)52𝑥
•𝑦 = 𝑒𝑥
+ 8𝑥
𝑑
𝑑𝑥
𝑒𝑥
+ 8𝑥
=
𝑑
𝑑𝑥
𝑒𝑥
+
𝑑
𝑑𝑥
8𝑥
= 𝑒𝑥
+ ln 8 8𝑥
Solution:
•𝑦 = log5 3𝑥2
+ 1
𝑑
𝑑𝑥
log5 3𝑥2
+ 1 =
1
ln 5
1
3𝑥2 + 1
∙
𝑑
𝑑𝑥
3𝑥2
+ 1
=
1
ln 5
1
3𝑥2 + 1
6𝑥
=
6𝑥
(ln 5) 3𝑥2 + 1
Solution:
•This function will be best differentiated if it will be
simplified first using the product rule for logarithms, i.e.,
log 𝑢𝑣 = log 𝑢 + log 𝑣. Also, recall that this is a case of
common logarithm in which the base, although not
written, is understood to be 10.
log 𝑥 𝑥 − 2 3
= log 𝑥 + log 𝑥 − 2 3
= log 𝑥 + 3 log(𝑥 − 2)
𝑑
𝑑𝑥
log 𝑥 𝑥 − 2 3
=
𝑑
𝑑𝑥
log 𝑥 + 3 log(𝑥 − 2)
Solution:
=
𝑑
𝑑𝑥
log 𝑥 + 3
𝑑
𝑑𝑥
log(𝑥 − 2)
=
1
ln 10
1
𝑥
+ 3
1
ln 10
1
𝑥 − 2
∙
𝑑
𝑑𝑥
𝑥 − 2
=
1
𝑥 ln 10
+
3
𝑥 − 2 ln 10
=
4𝑥 − 2
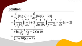
(𝑥 ln 10)(𝑥 − 2)
DERIVATIVE RULES FOR
TRIGONOMETRIC
FUNCTIONS
Derivative Rules for Trigonometric Functions
•You will deepen your understanding of
trigonometric functions as you explore their
derivatives. The trigonometric functions have
many useful applications in several fields such
as physics, astronomy, and biological sciences.
Needed in the formulation of the rule for the
derivatives of the six trigonometric functions are
the two important trigonometric limits:
lim
𝑥→0
sin 𝑥
𝑥
= 1 and lim
𝑥→0
1−cos 𝑥
𝑥
= 0.
Derivative Rules for Trigonometric Functions
•The derivations of the differentiation formulas
for trigonometric functions are based on these
two limits. To start, let us derive the formula
for
𝑑
𝑑𝑥
sin 𝑥 as follows.
•By the definition of the derivative,
𝑑
𝑑𝑥
sin 𝑥 = lim
ℎ→0
sin 𝑥 + ℎ − sin 𝑥
ℎ
Derivative Rules for Trigonometric Functions
•Using the sum identity for sine, you have sin 𝑥 + ℎ =
sin 𝑥 cos ℎ + cos 𝑥 sin ℎ. Then,
𝑑
𝑑𝑥
sin 𝑥 = lim
ℎ→0
sin 𝑥 cos ℎ + cos 𝑥 sin ℎ − sin 𝑥
ℎ
= lim
ℎ→0
cos 𝑥 sin ℎ
ℎ
+
sin 𝑥 cos ℎ − sin 𝑥
ℎ
= lim
ℎ→0
cos 𝑥 sin ℎ
ℎ
+ lim
ℎ→0
sin 𝑥 cos ℎ − sin 𝑥
ℎ
Derivative Rules for Trigonometric Functions
= lim
ℎ→0
cos 𝑥 ∙
sin ℎ
ℎ
+ lim
ℎ→0
− sin 𝑥
= cos 𝑥 lim
ℎ→0
sin ℎ
ℎ
− sin 𝑥 lim
ℎ→0
1 − cos ℎ
ℎ
= cos 𝑥 1 − sin 𝑥 (0)
𝑑
𝑑𝑥
sin 𝑥 = cos 𝑥
Derivative Rules for Trigonometric Functions
•Thus, the derivative of the sine function is the cosine
function. To derive the differentiation formula forcos 𝑥, you
have
𝑑
𝑑𝑥
cos 𝑥 = lim
ℎ→0
cos 𝑥 + ℎ − cos 𝑥
ℎ
= lim
ℎ→0
cos 𝑥 cos ℎ − sin 𝑥 sin ℎ − cos 𝑥
ℎ
= lim
ℎ→0
cos 𝑥 cos ℎ − cos 𝑥 − (sin 𝑥 sin ℎ)
ℎ
Derivative Rules for Trigonometric Functions
= lim
ℎ→0
cos 𝑥 cos ℎ − cos 𝑥
ℎ
= − cos 𝑥 lim
ℎ→0
1 − cos ℎ
ℎ
= − cos 𝑥 0 − sin 𝑥 (1)
𝑑
𝑑𝑥
cos 𝑥 = − sin 𝑥
Derivative Rules for Trigonometric Functions
•In general, for any function 𝑢 differentiable at
any value of 𝑥 ,
𝑑
𝑑𝑥
sin 𝑢 =
cos 𝑢 𝑑𝑢 and
𝑑
𝑑𝑥
cos 𝑢 = − sin 𝑢 𝑑𝑢 . The
following gives the differentiation formulas for
the other functions. Their derivatives are left for
you as an exercise.
Derivatives of the Trigonometric Functions
•
𝑑
𝑑𝑥
sin 𝑢 = cos 𝑢 𝑑𝑢
•
𝑑
𝑑𝑥
cos 𝑢 = − sin 𝑢 𝑑𝑢
•
𝑑
𝑑𝑥
tan 𝑢 = sec2
𝑢 𝑑𝑢
Derivatives of the Trigonometric Functions
•
𝑑
𝑑𝑥
cot 𝑢 = −csc2
𝑢 𝑑𝑢
•
𝑑
𝑑𝑥
sec 𝑢 = sec 𝑢 tan 𝑢 𝑑𝑢
•
𝑑
𝑑𝑥
csc 𝑢 = − csc 𝑢 cot 𝑢 𝑑𝑢
Example 1:
•Differentiate the following functions:
a) 𝑦 = cos 3𝑥
b) 𝑦 = sin 6𝑥2
− 1
c) 𝑦 = tan
5𝑥
4
d) 𝑦 = sec(6𝑥)
Solution:
•Let 𝑢 = 3𝑥. Then,
𝑑
𝑑𝑥
cos 3𝑥 = − sin 3𝑥 ∙
𝑑
𝑑𝑥
3𝑥 = −3 sin 3𝑥
•Let 𝑢 = 6𝑥2
− 1. Applying the derivative rule for sine,
𝑑
𝑑𝑥
sin 6𝑥2
− 1 = cos 6𝑥2
− 1 ∙
𝑑𝑦
𝑑𝑥
6𝑥2
− 1
= 12𝑥 cos 6𝑥2
− 1
Solution:
•Let 𝑢 =
5𝑥
4
. Therefore,
𝑑
𝑑𝑥
tan
5𝑥
4
= sec2
5𝑥
4
∙
𝑑
𝑑𝑥
5𝑥
4
=
5
4
sec2
5𝑥
4
•Let 𝑢 = 6𝑥. Then 𝑑𝑢 = 6 and you have
𝑑
𝑑𝑥
sec 6𝑥 = sec 6𝑥 tan 6𝑥 ∙ 6 = 6 sec 6𝑥 tan 6𝑥
Example 2:
•Differentiate 𝑦 = (1 − cos 2𝑥)4
Solution:
• Applying the chain rule, let 𝑢 = 1 − cos 2𝑥.
𝑑𝑢 =
𝑑
𝑑𝑥
1 −
𝑑
𝑑𝑥
cos 2𝑥 = 0 − − sin 2𝑥
𝑑
𝑑𝑥
2𝑥
= 2 sin 2𝑥
• Therefore,
𝑦′
= 4𝑢3
𝑑𝑢
= 4 1 − cos 2𝑥 3
(2 sin 2𝑥)
= (8 sin 2𝑥) 1 − cos 2𝑥 3
Example 3:
•Given that 𝑓 𝑥 =
sin 𝑥
1−2 cos 𝑥
, find 𝑓′(𝑥).
Solution:
• Let 𝑢 = sin 𝑥 and 𝑣 = 1 − 2 cos 𝑥 , giving 𝑑𝑢 =
cos 𝑥 and 𝑑𝑣 = 2 sin 𝑥. Applying quotient rule, you have
𝑓′
𝑥 =
1 − 2 cos 𝑥 cos 𝑥 − sin 𝑥 2 sin 𝑥
1 − 2 cos 𝑥 2
=
cos 𝑥 − 2cos2
𝑥 − 2sin2
𝑥
1 − 2 cos 𝑥 2
Solution:
=
cos 𝑥 − 2(cos2
𝑥 + sin2
𝑥)
1 − 2 cos 𝑥 2
=
cos 𝑥 − 2(1)
1 − 2 cos 𝑥 2
=
cos 𝑥 − 2
1 − 2 cos 𝑥 2
Example 4:
•Differentiate the following: 𝑦 =
sin 3𝑥
4+5 cos 2𝑥
Solution:
• Apply the quotient rule followed by chain rule. Then
𝑦′
=
4 + 5 cos 2𝑥 3 cos 3𝑥 − sin 3𝑥 −10 sin 2𝑥
4 + 5 cos 2𝑥 2
=
12 cos 3𝑥 + 15 cos 2𝑥 cos 3𝑥 + (10 sin 2𝑥 sin 3𝑥)
4 + 5 cos 2𝑥 2
=
12 cos 3𝑥 + 15 cos 2𝑥 cos 3𝑥 + 10 sin 2𝑥 sin 3𝑥
4 + 5 cos 2𝑥 2
Example 5:
•Given that 𝑥 cos 𝑦 + 𝑦 cos 𝑥 = 1, find
𝑑𝑦
𝑑𝑥
.
Solution:
• Differentiating implicitly with respect to 𝑥, you get
𝑥 ∙ − sin 𝑦
𝑑𝑦
𝑑𝑥
+ cos 𝑦 1 + 𝑦 ∙ − sin 𝑥 + cos 𝑥
𝑑𝑦
𝑑𝑥
= 0
−𝑥 sin 𝑦
𝑑𝑦
𝑑𝑥
+ cos 𝑦 − 𝑦 sin 𝑥 + cos 𝑥
𝑑𝑦
𝑑𝑥
= 0
− sin 𝑦
𝑑𝑦
𝑑𝑥
+ cos 𝑥
𝑑𝑦
𝑑𝑥
= 𝑦 sin 𝑥 − cos 𝑦
𝑑𝑦
𝑑𝑥
cos 𝑥 − 𝑥 sin 𝑦 = 𝑦 sin 𝑥 − cos 𝑦
𝑑𝑦
𝑑𝑥
=
𝑦 sin 𝑥 − cos 𝑦
cos 𝑥 − 𝑥 sin 𝑦
Example 6:
•Find the second the derivative of 𝑔 𝑥 =
cot 3𝑥3
.
Solution:
• To find the first derivative, use chain rule and the
differentiation rule for sine:
𝑔′
𝑥 = −csc2
3𝑥2
∙ 9𝑥2
= −9𝑥2
csc2
3𝑥3
• Then,
𝑔′′
𝑥 =
𝑑
𝑑𝑥
−9𝑥2
csc2
3𝑥3
Solution:
= −9𝑥2
∙
𝑑
𝑑𝑥
csc2
3𝑥3
+ csc2
3𝑥3
∙
𝑑
𝑑𝑥
−9𝑥2
= −9𝑥2
2 csc 3𝑥3
− csc 3𝑥3
cot 3𝑥3
9𝑥2
+ csc2
3𝑥3
−18𝑥
= 162𝑥4
csc2
3𝑥3
cot 3𝑥3
− 18𝑥 csc2
3𝑥3
= 18𝑥 csc2
3𝑥3
9𝑥3
cot 3𝑥3
− 1
Example 7:
•In a certain city, the normal average
temperature (in degrees Fahrenheit) is modelled
by the function 𝑓 𝑡 = 49 − 18 cos
𝜋(𝑡−32)
180
,
where 𝑡 is the time in days so that 𝑡 =
1 corresponds to the first of January. What is the
expected date of the warmest day and the
coolest day?
Solution:
• To solve this problem, you need to find the value of 𝑡 such
that 𝑓′
𝑡 = 0.
𝑓′
𝑡 = 0 − 18
𝑑
𝑑𝑡
cos
𝜋 𝑡 − 32
180
= −18 − sin
𝜋 𝑡 − 32
180
∙
𝑑
𝑑𝑡
𝜋 𝑡 − 32
180
= 18 sin
𝜋(𝑡 − 32)
180
∙
𝜋
180
=
𝜋
10
sin
𝜋 𝑡 − 32
180
Solution:
• Then,
𝜋
10
sin
𝜋 𝑡 − 32
180
= 0
sin
𝜋 𝑡 − 32
180
= 0
Solution:
• In trigonometry, you have learned thatsin 𝜃 = 0 for all
multiples of 𝜋. Thus,
𝜋 𝑡 − 32
180
= 0
𝜋 𝑡 − 32 = 0
𝑡 − 32 = 0
𝑡 = 32
Solution:
𝜋 𝑡 − 32
180
= 𝜋
𝜋 𝑡 − 32 = 180𝜋
𝑡 − 32 = 180
𝑡 = 212
Solution:
𝜋 𝑡 − 32
180
= 2𝜋
𝜋 𝑡 − 32 = 360𝜋
𝑡 − 32 = 360
𝑡 = 392
Solution:
• For 𝜃 = 2𝜋 onward, 𝑡 is already out of the domain because a
year has only 365 days. Substituting n the original function,
if 𝑡 = 32,
𝑓 𝑡 = 49 − 18 cos
𝜋 32 − 32
180
= 49 − 18 cos 0 = 49 − 18 1
= 31℉
• If 𝑡 = 212,
𝑓 𝑡 = 49 − 18 cos
𝜋 212 − 32
180
= 49 − 18 cos 0
= 49 − 18 −1
= 67℉
Solution:
• Therefore, the coolest day will happen when 𝑡 = 32, i.e.,
the first of February, and the warmest day will be
when 𝑡 = 212, or 31st of July, provided that it is not leap
year.

Advanced-Differentiation-Rules.pdf

  • 1.
  • 2.
  • 3.
    Implicit Differentiation • Mostof you are sometimes face with situations where you need to choose between expressing explicitly and expressing implicitly. Of course, you will choose the one that is clear and not ambiguous. The same situation happens also in mathematics, especially when dealing with functions. A function is written in explicit form when it is expressed as 𝑦 = 𝑓(𝑥). All functions that are dealt with in the previous modules are written in this form.
  • 4.
    Implicit Differentiation •However, thereare times when mathematical functions are written in more complicated form, wherein it is difficult (or sometimes impossible) to express 𝑦 explicitly in terms of 𝑥 . Such functions are expressed in implicit form. This section of the module will try to explain how these functions can be differentiated.
  • 5.
    Implicit Differentiation •To start,consider the following equations describing two familiar curves: 𝑦 = 𝑥2 + 3 𝑥2 + 3𝑦 = 4
  • 6.
    Implicit Differentiation •The firstfunction defines 𝑦 as a function of 𝑥 explicitly, because for each 𝑥, the equation gives the explicit formula 𝑦 = 𝑓 𝑥 for finding the corresponding value of 𝑦. You can easily differentiate this function following the usual process by applying the differentiation rules: 𝑑𝑦 𝑑𝑥 = 2𝑥
  • 7.
    Implicit Differentiation •The secondfunction may still be differentiated easily, provided that it is possible to express it in explicit form. Because 𝑥2 + 3𝑦 = 4 , then by algebraic manipulation, 𝑦 = − 1 3 𝑥2 + 4 3 . You can now differentiate this function and yield 𝑑𝑦 𝑑𝑥 = − 1 3 2𝑥 = − 2 3 𝑥
  • 8.
    Implicit Differentiation •However, thereare cases when it is totally impossible to rewrite the given equation as function of 𝑥, such as 𝑥4 + 2𝑥𝑦 − 𝑦3 + 2 = 0. It is in these instances that implicit differentiation is used.
  • 9.
    Implicit Differentiation • Becausethe equation is written in implicit form, the process of implicit differentiation involves differentiating each term of an equation on both sides, including those that contain the variably 𝑦. To totally understand how this works, remember that you are always differentiating in terms of 𝑥. Thus, you must differentiate the 𝑥 terms in the usual way. But for the 𝑦 terms, the chain rule must be applied because 𝑦 is defined implicitly as a function of 𝑥. For example, the expression 𝑥3 + 3𝑦2 has a derivative of 3𝑥2 + 6𝑦 𝑑𝑦 𝑑𝑥 .
  • 10.
    Implicit Differentiation • Tofurther guide you on the implicit differentiation process, follow these steps: • Differentiate both sides of the equation with respect to 𝑥. • Combine all terms containing 𝑑𝑦 𝑑𝑥 on the left side of the equation and all the other terms on the right side. • On the left side of the equation, factor out 𝑑𝑦 𝑑𝑥 . • Isolate 𝑑𝑦 𝑑𝑥 by dividing out the other factor on the left side.
  • 11.
    Example 1: •Find 𝑑𝑦 𝑑𝑥 given that𝑦3 + 𝑦 − 3𝑥2 = 2𝑥 + 5.
  • 12.
    Solution: •Differentiate both sidesof the equation with respect to 𝑥. 𝑑 𝑑𝑥 𝑦3 + 𝑦 − 3𝑥2 = 𝑑 𝑑𝑥 2𝑥 + 5 •Take derivative of each term with respect to 𝑥 and use chain rule. 3𝑦2 𝑑𝑦 𝑑𝑥 + 𝑑𝑦 𝑑𝑥 − 6𝑥 = 2
  • 13.
    Solution: •Combine all termswith 𝑑𝑦 𝑑𝑥 on the left side. 3𝑦2 𝑑𝑦 𝑑𝑥 + 𝑑𝑦 𝑑𝑥 = 6𝑥 + 2 •Factor out 𝑑𝑦 𝑑𝑥 . 𝑑𝑦 𝑑𝑥 3𝑦2 + 1 = 6𝑥 + 2
  • 14.
    Solution: •Divide both sidesby 3𝑦2 + 1 to isolate 𝑑𝑦 𝑑𝑥 . 𝑑𝑦 𝑑𝑥 = 6𝑥 + 2 3𝑦2 + 1
  • 15.
    Example 2: •Given theequation 𝑥2 𝑦 + 2𝑥𝑦2 = 𝑥4 + 𝑦4 , find 𝑑𝑦 𝑑𝑥 .
  • 16.
    Solution: •Solution: Differentiate bothsides of the equation with respect to 𝑥. 𝑑 𝑑𝑥 𝑥2 𝑦 + 2𝑥𝑦2 = 𝑑 𝑑𝑥 𝑥4 + 𝑦4
  • 17.
    Solution: 𝑥2 𝑑𝑦 𝑑𝑥 + 2𝑥𝑦 +4𝑥𝑦 𝑑𝑦 𝑑𝑥 + 2𝑦2 = 4𝑥3 + 4𝑦3 𝑑𝑦 𝑑𝑥 Differentiate with respect to 𝑥 𝑥2 𝑑𝑦 𝑑𝑥 + 4𝑥𝑦 𝑑𝑦 𝑑𝑥 − 4𝑦3 𝑑𝑦 𝑑𝑥 = 4𝑥3 − 2𝑥𝑦 − 2𝑦2 Combination of terms with 𝑑𝑦 𝑑𝑥 𝑑𝑦 𝑑𝑥 (𝑥2 + 4𝑥𝑦 − 4𝑦3) = 4𝑥3 − 2𝑥𝑦 − 2𝑦2 Factoring out 𝑑𝑦 𝑑𝑥 𝑑𝑦 𝑑𝑥 = 4𝑥3 − 2𝑥𝑦 − 2𝑦2 𝑥2 + 4𝑥𝑦 − 4𝑦3 Division of 𝑥2 + 4𝑥𝑦 − 4𝑦3
  • 18.
    Solution: •The implicit differentiationcan be used to find the slope of the tangent line to the curve, given that it is not a function, as in the next examples.
  • 19.
    Example 3: •Find theslope of the curve described by 𝑥2 + 𝑦2 = 1 at 1 2 , 3 2
  • 20.
    Solution: •The equation isthat of unit circle. Thus, it is not a function. We can, however, restrict to apply implicit differentiation. •Differentiate both sides with respect to 𝑥. 𝑑 𝑑𝑥 𝑥2 + 𝑦2 = 𝑑𝑦 𝑑𝑥 1 𝑑 𝑑𝑥 𝑥2 + 𝑑 𝑑𝑥 𝑦2 = 0
  • 21.
    Solution: •2𝑥 + 2𝑦 𝑑𝑦 𝑑𝑥 =0 •2𝑦 𝑑𝑦 𝑑𝑥 = −2𝑥 • 𝑑𝑦 𝑑𝑥 = − 2𝑥 2𝑦 = − 𝑥 𝑦
  • 22.
    Solution: •To find theslope at point at point 1 2 , 3 2 , substitute 1 2 for 𝑥 and 3 2 for 𝑦. You now obtain. • 𝑑𝑦 𝑑𝑥 = − 𝑥 𝑦 = − 1 2 3 2 = − 1 2 ∙ 2 3 = − 1 3
  • 23.
    Example 4: •Find theequation of the tangent line to the curve 𝑥3 + 𝑦3 = 9 at the point 1, 2 .
  • 24.
    Solution: •Sometimes, you canuse 𝑦′ instead of 𝑑𝑦 𝑑𝑥 . Differentiating implicitly with respect to 𝑥, • 𝑑𝑦 𝑑𝑥 𝑥3 + 𝑦3 = 𝑑𝑦 𝑑𝑥 9 •3𝑥2 + 3𝑦2 𝑦′ = 0 •3𝑦2 𝑦′ = −3𝑥2 •𝑦′ = − 3𝑥2 3𝑦2 = − 𝑥2 𝑦2
  • 25.
    Solution: •Now, at thepoint 1, 2 , the slope 𝑚 of the tangent line is 𝑚 = − 𝑥2 𝑦2 = − 1 2 2 2 = − 1 4 . Using the point-slope form of the equation of the line, you now have •𝑦 − 2 = − 1 4 𝑥 − 1 •𝑦 = − 1 4 𝑥 + 1 4 + 2 •𝑦 = − 1 4 𝑥 + 9 4
  • 26.
    Example 5: • Considerthe equation 𝑥2 + 𝑦2 = 9. a) Find 𝑦′ by implicit differentiation. b) Derive two functions that can be defined from the equation. c) Find the derivative of each functions obtained in (b) by explicit differentiation. d) Verify that the result obtained in (a) agrees with result in (c).
  • 27.
    Solution: •Differentiating implicitly, youfind that •2𝑥 + 2𝑦 𝑦′ = 0 •2𝑦 𝑦′ = −2𝑥 •𝑦′ = − 2𝑥 2𝑦 = − 𝑥 𝑦
  • 28.
    Solution: •Solving the equationfor 𝑦, you have 𝑦2 = 9 − 𝑥2 . Thus, •𝑦 = ± 9 − 𝑥2 •Let 𝑓 𝑥 = 9 − 𝑥2 and 𝑔 𝑥 = − 9 − 𝑥2.
  • 29.
    Solution: •Because 𝑓 𝑥= 9 − 𝑥2, by using chain rule, you now have •𝑓′ 𝑥 = 1 2 9 − 𝑥2 − 1 2 −2𝑥 = 1 2 −2𝑥 ∙ 1 9−𝑥2 = − 𝑥 9−𝑥2 •Similarly, you get 𝑔′ 𝑥 = 𝑥 9−𝑥2 .
  • 30.
    Solution: •For 𝑦 =𝑓 𝑥 where 𝑓 𝑥 = 9 − 𝑥2, you have from (c), •𝑓′ 𝑥 = − 𝑥 9−𝑥2 = − 𝑥 𝑦 •For 𝑦 = 𝑔 𝑥 where 𝑔 𝑥 = − 9 − 𝑥2, you have from (c), •𝑔′ 𝑥 = 𝑥 9−𝑥2 = 𝑥 − 9−𝑥2 = − 𝑥 𝑦
  • 31.
    Solution: •The explicit differentiationfor both functions agrees with the answer in (a).
  • 32.
    Big Idea: •The implicitdifferentiation is performed on functions that are difficult to express directly. As a result, the differentiation process takes longer than usual and also a bit confusing when not properly carried out. This is the same for the things you cannot express directly. They may imply the right message, but the receiver might interpret them incorrectly when properly stated.
  • 33.
    DERIVATIVE RULES FOR EXPONENTIALAND LOGARITHMIC FUNCTIONS WITH BASE 𝒆
  • 34.
    Derivative Rules forexponential and Logarithmic Functions with Base 𝒆 •You probably have now mastered how to differentiate algebraic functions based on the examples and exercises in the previous module. Not all functions, however, are algebraic in form, so you cannot apply the techniques for differentiation right away. In the case of exponential and logarithmic functions, they also have a set of rules that you must follows in finding the derivatives.
  • 35.
    Derivative Rules forexponential and Logarithmic Functions with Base 𝒆 • Among all the exponential functions of the form 𝑦 = 𝑎𝑥 , natural exponential function is of great importance in terms of differentiation. Recall that the natural exponential function is written as 𝑦 = 𝑒𝑥 , where 𝑒 is the Euler number, an irrational number equivalent to 2.718281828 …. The most important thing about the natural exponential function is that its derivative is itself. Hence, 𝑑 𝑑𝑥 𝑒𝑥 = 𝑒𝑥 . To prove this, examine the value of 𝑒 once again. You may want to verify these values using your calculator.
  • 36.
    Derivative Rules forexponential and Logarithmic Functions with Base 𝒆 Table 12.1. Values of 𝑒 as 𝑥 approaches 0 𝑥 1 + 𝑥 (1 + 𝑥) 1 𝑥 0.1 1.1 2.59374246 0.01 1.01 2.704813829 0.001 1.001 2.716923932 0.0001 1.0001 2.718145927 0.00001 1.00001 2.718268237 0.000001 1.000001 2.718280469 0.0000001 1.0000001 2.718281694 0.00000001 1.00000001 2.718281786
  • 37.
    Derivative Rules forexponential and Logarithmic Functions with Base 𝒆 •From table 12.1, the value of (1 + 𝑥) 1 𝑥 approaches the number 𝑒 as 𝑥 approaches 0. Thus, lim 𝑥→0 (1 + 𝑥) 1 𝑥= 𝑒. This implies that as 𝑥 becomes sufficiently small, 𝑒 = (1 + 𝑥) 1 𝑥 or 𝑒𝑥 = 1 + 𝑥 . Now, suppose 𝑓 𝑥 = 𝑒𝑥 . Then,
  • 38.
    Derivative Rules forexponential and Logarithmic Functions with Base 𝒆 𝑓′(𝑥) = lim ℎ→0 𝑒𝑥+ℎ − 𝑒𝑥 ℎ Definition of derivative = lim ℎ→0 𝑒𝑥 (𝑒ℎ − 1) ℎ Factoring out 𝑒𝑥 = lim ℎ→0 𝑒𝑥 (1 + ℎ − 1) ℎ Based on 𝑒ℎ = 1 + ℎ = lim ℎ→0 𝑒𝑥 (ℎ) ℎ Simplifying terms = lim ℎ→0 𝑒𝑥 = 𝑒𝑥
  • 39.
    Derivative of NaturalExponential Functions •The natural exponential functions is its own derivative, that is, 𝑑 𝑑𝑥 𝑒𝑥 = 𝑒𝑥 •Generally, if 𝑢 is a differentiable function of 𝑥, then 𝑑 𝑑𝑥 𝑒𝑢 = 𝑒𝑢 𝑑𝑢
  • 40.
    Example 6: •Differentiate eachfunction. a) 𝑓 𝑥 = 𝑒3𝑥 b) 𝑔 𝑥 = 𝑒−2𝑥2 c) 𝑝 𝑥 = 𝑥𝑒2𝑥 d) ℎ 𝑥 = 𝑒2𝑥+1 𝑒𝑥−1
  • 41.
    Solution: •Let 𝑢 =3𝑥. Then, 𝑑 𝑑𝑥 𝑒3𝑥 = 𝑒3𝑥 ∙ 3 = 3𝑒3𝑥 •Let 𝑢 = −2𝑥2 . Then, 𝑑 𝑑𝑥 𝑒−2𝑥2 = 𝑒−2𝑥2 ∙ −4𝑥 = − 4𝑥𝑒−2𝑥2 •Using the product rule, 𝑝′ 𝑥 = 𝑥 ∙ 𝑑 𝑑𝑥 𝑒2𝑥 + 𝑒2𝑥 ∙ 𝑑 𝑑𝑥 𝑥 = 𝑥 2𝑒2𝑥 + 𝑒2𝑥 = 2𝑥𝑒2𝑥 + 𝑒2𝑥
  • 42.
    Solution: •Let 𝑢 =𝑒2𝑥 + 1 and 𝑣 = 𝑒𝑥 − 1 . Then, 𝑑𝑢 = 2𝑒2𝑥 and 𝑑𝑣 = 𝑒𝑥 . Applying quotient rule, ℎ′ 𝑥 = 𝑒𝑥 − 1 2𝑒2𝑥 − (𝑒2𝑥 + 1)(𝑒𝑥 ) (𝑒𝑥−1)2 = 2𝑒3𝑥 − 2𝑒2𝑥 − 𝑒3𝑥 − 𝑒𝑥 (𝑒𝑥−1)2 = 𝑒3𝑥 − 2𝑒2𝑥 − 𝑒𝑥 (𝑒𝑥−1)2
  • 43.
    •Now that youknow the derivative of the natural exponential function, you can now derive the rule for the derivative of its inverse, which is the natural logarithmic function. The derivative of the natural logarithmic function may be derived by using implicit differentiation. Suppose that 𝑦 = ln 𝑥.
  • 44.
    𝑦 = ln𝑥 Given 𝑒𝑦 = 𝑥 Exponential notation 𝑑 𝑑𝑥 𝑒𝑦 = 𝑑 𝑑𝑥 𝑥 Differentiating both sides 𝑒𝑦 𝑑𝑦 𝑑𝑥 = 1 Implicit differentiation 𝑑𝑦 𝑑𝑥 = 1 𝑒𝑦 Isolating 𝑑𝑦 𝑑𝑥 𝑑𝑦 𝑑𝑥 = 1 𝑥 𝑒𝑦 = 𝑥
  • 45.
    Derivative of NaturalLogarithmic Function •The derivative of the natural logarithmic function is the reciprocal function, that is, 𝑑 𝑑𝑥 ln 𝑥 = 1 𝑥 •If 𝑢 is differentiable function of 𝑥, then 𝑑 𝑑𝑥 ln 𝑢 = 1 𝑢 𝑑𝑢
  • 46.
    Example 7: •Find thederivative of each function. a) 𝑦 = ln 4𝑥 b) 𝑓 𝑥 = ln(5𝑥2 + 3) c) 𝑔 𝑥 = 𝑥 ln 𝑥 d) ℎ 𝑥 = 𝑥 ln 𝑥
  • 47.
    Solution: •Let 𝑢 =4𝑥 . Applying the derivative of natural logarithmic function, you have 𝑑 𝑑𝑥 ln 4𝑥 = 1 4𝑥 ∙ 𝑑 𝑑𝑥 4𝑥 = 4 4𝑥 = 1 𝑥 •Let 𝑢 = 5𝑥2 + 3. Then, 𝑑 𝑑𝑥 ln(5𝑥2 + 3) = 1 5𝑥2 + 3 ∙ 𝑑 𝑑𝑥 (5𝑥2 + 3) = 1 5𝑥2 + 3 (10𝑥) = 10𝑥 5𝑥2 + 3
  • 48.
    Solution: •Using quotient rule,you have 𝑑 𝑑𝑥 𝑥 ln 𝑥 = (ln 𝑥) 𝑑 𝑑𝑥 𝑥 − 𝑥 𝑑 𝑑𝑥 [ln 𝑥] (ln 𝑥)2 Quotient Rule = ln 𝑥 − 𝑥 1 𝑥 ln2𝑥 Recall: (ln 𝑥)2 = ln2 𝑥 = ln 𝑥 − 1 ln2𝑥 Simplify
  • 49.
    Solution: •Using product rule,you have ℎ′ 𝑥 = 𝑥 ∙ 𝑑 𝑑𝑥 ln 𝑥 + ln 𝑥 𝑑 𝑑𝑥 ∙ 𝑥 = 𝑥 ∙ 1 𝑥 + ln 𝑥 = 1 + ln 𝑥
  • 50.
    Example 8: •Find thederivative of 𝑓 𝑥 = ln 4𝑥+2 𝑥−1 2
  • 51.
    Solution: •Recall that thequotient rule of logarithms states that the logarithm of a quotient is equal to the difference of the logarithm of the numerator and the logarithm of the denominator. 𝑓 𝑥 = ln 4𝑥 + 2 𝑥 − 1 2 = ln 4𝑥 + 2 − ln 𝑥 − 1 2 •By power rule of logarithms, 𝑓 𝑥 = ln 4𝑥 + 2 − 2 ln(𝑥 − 1)
  • 52.
    Solution: •Thus, 𝑓′ 𝑥 = 𝑑 𝑑𝑥 ln 4𝑥+ 2 − 2 𝑑 𝑑𝑥 ln(𝑥 − 1) = 1 4𝑥 + 2 ∙ 4 − 2 ∙ 1 𝑥 − 1 = 4 (4𝑥 + 2) − 2 𝑥 − 1 = −2𝑥 − 4 (2𝑥 + 1)(𝑥 − 1)
  • 53.
    DERIVATIVE RULES FOR GENERALEXPONENTIAL AND LOGARITHMIC FUNCTIONS
  • 54.
    Derivative Rules forGeneral Exponential and Logarithmic Functions •When the given exponential or logarithmic function expressed using a base other than the number 𝑒, the following rules may be applied. These rules can be derived through rewriting the function using base 𝑒.
  • 55.
    Derivative with OtherBases • Let 𝑢 be a differentiable function of 𝑥 and 𝑎 is a real number such that 𝑎 > 0 and 𝑎 ≠ 1. Then, • 𝑑 𝑑𝑥 𝑎𝑥 = (ln 𝑎)𝑎𝑥 • 𝑑 𝑑𝑥 log𝑎 𝑥 = 1 ln 𝑎 1 𝑥 • 𝑑 𝑑𝑥 𝑎𝑢 = (ln 𝑎)𝑎𝑢 𝑑𝑢 • 𝑑 𝑑𝑥 log𝑎 𝑢 = 1 ln 𝑎 1 𝑢 𝑑𝑢
  • 56.
  • 57.
    Proof: By definition,𝑎𝑥 = 𝑒𝑥(ln 𝑎) . Therefore, 𝑑 𝑑𝑥 𝑎𝑥 = 𝑑 𝑑𝑥 𝑒𝑥(ln 𝑎) = 𝑒𝑥(ln 𝑎) ∙ 𝑑 𝑑𝑥 𝑥(ln 𝑎) = 𝑒𝑥(ln 𝑎) ∙ 𝑥 ∙ 𝑑 𝑑𝑥 (ln 𝑎) + ln 𝑎
  • 58.
    Now, using constantrule, 𝑑 𝑑𝑥 (ln 𝑎) = 0. Thus, 𝑑 𝑑𝑥 𝑎𝑥 = 𝑒𝑥(ln 𝑎) ∙ 0 + ln 𝑎 = 𝑒𝑥(ln 𝑎) ∙ ln 𝑎 = (ln 𝑎)𝑎𝑥
  • 59.
  • 60.
    Proof: Using thechange-of-base formula, log𝑎 𝑥 = ln 𝑥 ln 𝑎 . Thus, 𝑑 𝑑𝑥 log𝑎 𝑥 = 𝑑 𝑑𝑥 ln 𝑥 ln 𝑎 = ln 𝑎 ∙ 𝑑 𝑑𝑥 ln 𝑥 − ln 𝑥 ∙ 𝑑 𝑑𝑥 ln 𝑎 ln2𝑎 = ln 𝑎 ∙ 1 𝑥 − 0 ln2𝑎 = 1 𝑥 ln 𝑎 ∙ 1 ln2𝑎 = 1 ln 𝑎 1 𝑥
  • 61.
    Example 1: •Find thederivative of the following function: a) 𝑦 = 52𝑥 b) 𝑦 = 𝑒𝑥 + 8𝑥 c) 𝑦 = log5(3𝑥2 + 1) d) 𝑦 = log 𝑥 𝑥 − 2 3
  • 62.
    Solution: •𝑦 = 52𝑥 𝑑 𝑑𝑥 52𝑥 =52𝑥 ∙ ln 5 ∙ 𝑑 𝑑𝑥 2𝑥 = (2 ln 5)52𝑥 •𝑦 = 𝑒𝑥 + 8𝑥 𝑑 𝑑𝑥 𝑒𝑥 + 8𝑥 = 𝑑 𝑑𝑥 𝑒𝑥 + 𝑑 𝑑𝑥 8𝑥 = 𝑒𝑥 + ln 8 8𝑥
  • 63.
    Solution: •𝑦 = log53𝑥2 + 1 𝑑 𝑑𝑥 log5 3𝑥2 + 1 = 1 ln 5 1 3𝑥2 + 1 ∙ 𝑑 𝑑𝑥 3𝑥2 + 1 = 1 ln 5 1 3𝑥2 + 1 6𝑥 = 6𝑥 (ln 5) 3𝑥2 + 1
  • 64.
    Solution: •This function willbe best differentiated if it will be simplified first using the product rule for logarithms, i.e., log 𝑢𝑣 = log 𝑢 + log 𝑣. Also, recall that this is a case of common logarithm in which the base, although not written, is understood to be 10. log 𝑥 𝑥 − 2 3 = log 𝑥 + log 𝑥 − 2 3 = log 𝑥 + 3 log(𝑥 − 2) 𝑑 𝑑𝑥 log 𝑥 𝑥 − 2 3 = 𝑑 𝑑𝑥 log 𝑥 + 3 log(𝑥 − 2)
  • 65.
    Solution: = 𝑑 𝑑𝑥 log 𝑥 +3 𝑑 𝑑𝑥 log(𝑥 − 2) = 1 ln 10 1 𝑥 + 3 1 ln 10 1 𝑥 − 2 ∙ 𝑑 𝑑𝑥 𝑥 − 2 = 1 𝑥 ln 10 + 3 𝑥 − 2 ln 10 = 4𝑥 − 2 (𝑥 ln 10)(𝑥 − 2)
  • 66.
  • 67.
    Derivative Rules forTrigonometric Functions •You will deepen your understanding of trigonometric functions as you explore their derivatives. The trigonometric functions have many useful applications in several fields such as physics, astronomy, and biological sciences. Needed in the formulation of the rule for the derivatives of the six trigonometric functions are the two important trigonometric limits: lim 𝑥→0 sin 𝑥 𝑥 = 1 and lim 𝑥→0 1−cos 𝑥 𝑥 = 0.
  • 68.
    Derivative Rules forTrigonometric Functions •The derivations of the differentiation formulas for trigonometric functions are based on these two limits. To start, let us derive the formula for 𝑑 𝑑𝑥 sin 𝑥 as follows. •By the definition of the derivative, 𝑑 𝑑𝑥 sin 𝑥 = lim ℎ→0 sin 𝑥 + ℎ − sin 𝑥 ℎ
  • 69.
    Derivative Rules forTrigonometric Functions •Using the sum identity for sine, you have sin 𝑥 + ℎ = sin 𝑥 cos ℎ + cos 𝑥 sin ℎ. Then, 𝑑 𝑑𝑥 sin 𝑥 = lim ℎ→0 sin 𝑥 cos ℎ + cos 𝑥 sin ℎ − sin 𝑥 ℎ = lim ℎ→0 cos 𝑥 sin ℎ ℎ + sin 𝑥 cos ℎ − sin 𝑥 ℎ = lim ℎ→0 cos 𝑥 sin ℎ ℎ + lim ℎ→0 sin 𝑥 cos ℎ − sin 𝑥 ℎ
  • 70.
    Derivative Rules forTrigonometric Functions = lim ℎ→0 cos 𝑥 ∙ sin ℎ ℎ + lim ℎ→0 − sin 𝑥 = cos 𝑥 lim ℎ→0 sin ℎ ℎ − sin 𝑥 lim ℎ→0 1 − cos ℎ ℎ = cos 𝑥 1 − sin 𝑥 (0) 𝑑 𝑑𝑥 sin 𝑥 = cos 𝑥
  • 71.
    Derivative Rules forTrigonometric Functions •Thus, the derivative of the sine function is the cosine function. To derive the differentiation formula forcos 𝑥, you have 𝑑 𝑑𝑥 cos 𝑥 = lim ℎ→0 cos 𝑥 + ℎ − cos 𝑥 ℎ = lim ℎ→0 cos 𝑥 cos ℎ − sin 𝑥 sin ℎ − cos 𝑥 ℎ = lim ℎ→0 cos 𝑥 cos ℎ − cos 𝑥 − (sin 𝑥 sin ℎ) ℎ
  • 72.
    Derivative Rules forTrigonometric Functions = lim ℎ→0 cos 𝑥 cos ℎ − cos 𝑥 ℎ = − cos 𝑥 lim ℎ→0 1 − cos ℎ ℎ = − cos 𝑥 0 − sin 𝑥 (1) 𝑑 𝑑𝑥 cos 𝑥 = − sin 𝑥
  • 73.
    Derivative Rules forTrigonometric Functions •In general, for any function 𝑢 differentiable at any value of 𝑥 , 𝑑 𝑑𝑥 sin 𝑢 = cos 𝑢 𝑑𝑢 and 𝑑 𝑑𝑥 cos 𝑢 = − sin 𝑢 𝑑𝑢 . The following gives the differentiation formulas for the other functions. Their derivatives are left for you as an exercise.
  • 74.
    Derivatives of theTrigonometric Functions • 𝑑 𝑑𝑥 sin 𝑢 = cos 𝑢 𝑑𝑢 • 𝑑 𝑑𝑥 cos 𝑢 = − sin 𝑢 𝑑𝑢 • 𝑑 𝑑𝑥 tan 𝑢 = sec2 𝑢 𝑑𝑢
  • 75.
    Derivatives of theTrigonometric Functions • 𝑑 𝑑𝑥 cot 𝑢 = −csc2 𝑢 𝑑𝑢 • 𝑑 𝑑𝑥 sec 𝑢 = sec 𝑢 tan 𝑢 𝑑𝑢 • 𝑑 𝑑𝑥 csc 𝑢 = − csc 𝑢 cot 𝑢 𝑑𝑢
  • 76.
    Example 1: •Differentiate thefollowing functions: a) 𝑦 = cos 3𝑥 b) 𝑦 = sin 6𝑥2 − 1 c) 𝑦 = tan 5𝑥 4 d) 𝑦 = sec(6𝑥)
  • 77.
    Solution: •Let 𝑢 =3𝑥. Then, 𝑑 𝑑𝑥 cos 3𝑥 = − sin 3𝑥 ∙ 𝑑 𝑑𝑥 3𝑥 = −3 sin 3𝑥 •Let 𝑢 = 6𝑥2 − 1. Applying the derivative rule for sine, 𝑑 𝑑𝑥 sin 6𝑥2 − 1 = cos 6𝑥2 − 1 ∙ 𝑑𝑦 𝑑𝑥 6𝑥2 − 1 = 12𝑥 cos 6𝑥2 − 1
  • 78.
    Solution: •Let 𝑢 = 5𝑥 4 .Therefore, 𝑑 𝑑𝑥 tan 5𝑥 4 = sec2 5𝑥 4 ∙ 𝑑 𝑑𝑥 5𝑥 4 = 5 4 sec2 5𝑥 4 •Let 𝑢 = 6𝑥. Then 𝑑𝑢 = 6 and you have 𝑑 𝑑𝑥 sec 6𝑥 = sec 6𝑥 tan 6𝑥 ∙ 6 = 6 sec 6𝑥 tan 6𝑥
  • 79.
  • 80.
    Solution: • Applying thechain rule, let 𝑢 = 1 − cos 2𝑥. 𝑑𝑢 = 𝑑 𝑑𝑥 1 − 𝑑 𝑑𝑥 cos 2𝑥 = 0 − − sin 2𝑥 𝑑 𝑑𝑥 2𝑥 = 2 sin 2𝑥 • Therefore, 𝑦′ = 4𝑢3 𝑑𝑢 = 4 1 − cos 2𝑥 3 (2 sin 2𝑥) = (8 sin 2𝑥) 1 − cos 2𝑥 3
  • 81.
    Example 3: •Given that𝑓 𝑥 = sin 𝑥 1−2 cos 𝑥 , find 𝑓′(𝑥).
  • 82.
    Solution: • Let 𝑢= sin 𝑥 and 𝑣 = 1 − 2 cos 𝑥 , giving 𝑑𝑢 = cos 𝑥 and 𝑑𝑣 = 2 sin 𝑥. Applying quotient rule, you have 𝑓′ 𝑥 = 1 − 2 cos 𝑥 cos 𝑥 − sin 𝑥 2 sin 𝑥 1 − 2 cos 𝑥 2 = cos 𝑥 − 2cos2 𝑥 − 2sin2 𝑥 1 − 2 cos 𝑥 2
  • 83.
    Solution: = cos 𝑥 −2(cos2 𝑥 + sin2 𝑥) 1 − 2 cos 𝑥 2 = cos 𝑥 − 2(1) 1 − 2 cos 𝑥 2 = cos 𝑥 − 2 1 − 2 cos 𝑥 2
  • 84.
    Example 4: •Differentiate thefollowing: 𝑦 = sin 3𝑥 4+5 cos 2𝑥
  • 85.
    Solution: • Apply thequotient rule followed by chain rule. Then 𝑦′ = 4 + 5 cos 2𝑥 3 cos 3𝑥 − sin 3𝑥 −10 sin 2𝑥 4 + 5 cos 2𝑥 2 = 12 cos 3𝑥 + 15 cos 2𝑥 cos 3𝑥 + (10 sin 2𝑥 sin 3𝑥) 4 + 5 cos 2𝑥 2 = 12 cos 3𝑥 + 15 cos 2𝑥 cos 3𝑥 + 10 sin 2𝑥 sin 3𝑥 4 + 5 cos 2𝑥 2
  • 86.
    Example 5: •Given that𝑥 cos 𝑦 + 𝑦 cos 𝑥 = 1, find 𝑑𝑦 𝑑𝑥 .
  • 87.
    Solution: • Differentiating implicitlywith respect to 𝑥, you get 𝑥 ∙ − sin 𝑦 𝑑𝑦 𝑑𝑥 + cos 𝑦 1 + 𝑦 ∙ − sin 𝑥 + cos 𝑥 𝑑𝑦 𝑑𝑥 = 0 −𝑥 sin 𝑦 𝑑𝑦 𝑑𝑥 + cos 𝑦 − 𝑦 sin 𝑥 + cos 𝑥 𝑑𝑦 𝑑𝑥 = 0 − sin 𝑦 𝑑𝑦 𝑑𝑥 + cos 𝑥 𝑑𝑦 𝑑𝑥 = 𝑦 sin 𝑥 − cos 𝑦 𝑑𝑦 𝑑𝑥 cos 𝑥 − 𝑥 sin 𝑦 = 𝑦 sin 𝑥 − cos 𝑦 𝑑𝑦 𝑑𝑥 = 𝑦 sin 𝑥 − cos 𝑦 cos 𝑥 − 𝑥 sin 𝑦
  • 88.
    Example 6: •Find thesecond the derivative of 𝑔 𝑥 = cot 3𝑥3 .
  • 89.
    Solution: • To findthe first derivative, use chain rule and the differentiation rule for sine: 𝑔′ 𝑥 = −csc2 3𝑥2 ∙ 9𝑥2 = −9𝑥2 csc2 3𝑥3 • Then, 𝑔′′ 𝑥 = 𝑑 𝑑𝑥 −9𝑥2 csc2 3𝑥3
  • 90.
    Solution: = −9𝑥2 ∙ 𝑑 𝑑𝑥 csc2 3𝑥3 + csc2 3𝑥3 ∙ 𝑑 𝑑𝑥 −9𝑥2 =−9𝑥2 2 csc 3𝑥3 − csc 3𝑥3 cot 3𝑥3 9𝑥2 + csc2 3𝑥3 −18𝑥 = 162𝑥4 csc2 3𝑥3 cot 3𝑥3 − 18𝑥 csc2 3𝑥3 = 18𝑥 csc2 3𝑥3 9𝑥3 cot 3𝑥3 − 1
  • 91.
    Example 7: •In acertain city, the normal average temperature (in degrees Fahrenheit) is modelled by the function 𝑓 𝑡 = 49 − 18 cos 𝜋(𝑡−32) 180 , where 𝑡 is the time in days so that 𝑡 = 1 corresponds to the first of January. What is the expected date of the warmest day and the coolest day?
  • 92.
    Solution: • To solvethis problem, you need to find the value of 𝑡 such that 𝑓′ 𝑡 = 0. 𝑓′ 𝑡 = 0 − 18 𝑑 𝑑𝑡 cos 𝜋 𝑡 − 32 180 = −18 − sin 𝜋 𝑡 − 32 180 ∙ 𝑑 𝑑𝑡 𝜋 𝑡 − 32 180 = 18 sin 𝜋(𝑡 − 32) 180 ∙ 𝜋 180 = 𝜋 10 sin 𝜋 𝑡 − 32 180
  • 93.
    Solution: • Then, 𝜋 10 sin 𝜋 𝑡− 32 180 = 0 sin 𝜋 𝑡 − 32 180 = 0
  • 94.
    Solution: • In trigonometry,you have learned thatsin 𝜃 = 0 for all multiples of 𝜋. Thus, 𝜋 𝑡 − 32 180 = 0 𝜋 𝑡 − 32 = 0 𝑡 − 32 = 0 𝑡 = 32
  • 95.
    Solution: 𝜋 𝑡 −32 180 = 𝜋 𝜋 𝑡 − 32 = 180𝜋 𝑡 − 32 = 180 𝑡 = 212
  • 96.
    Solution: 𝜋 𝑡 −32 180 = 2𝜋 𝜋 𝑡 − 32 = 360𝜋 𝑡 − 32 = 360 𝑡 = 392
  • 97.
    Solution: • For 𝜃= 2𝜋 onward, 𝑡 is already out of the domain because a year has only 365 days. Substituting n the original function, if 𝑡 = 32, 𝑓 𝑡 = 49 − 18 cos 𝜋 32 − 32 180 = 49 − 18 cos 0 = 49 − 18 1 = 31℉ • If 𝑡 = 212, 𝑓 𝑡 = 49 − 18 cos 𝜋 212 − 32 180 = 49 − 18 cos 0 = 49 − 18 −1 = 67℉
  • 98.
    Solution: • Therefore, thecoolest day will happen when 𝑡 = 32, i.e., the first of February, and the warmest day will be when 𝑡 = 212, or 31st of July, provided that it is not leap year.