ХӨРӨНГӨ ОРУУЛАЛТЫН ТӨСЛИЙН
ЗАРДАЛ-ҮР АШГИЙН ШИНЖИЛГЭЭНИЙ ГАРЫН АВЛАГА

2010 он

Дэлхийн Банкны Эдийн засгийн чадавхийг бэхжүүлэх төсөл
Боловсруулсан Ч. Батхуяг

1
Агуулга
Нэгдүгээр бүлэг............................................................................................................................................................................. 7
УДИРТГАЛ...................................................................................................................................................................................... 7
1.

Удирдамжийн зорилго .................................................................................................................................................. 7

1.1 Төслийн тодорхойлолт .................................................................................................................................................... 7
1.2 Мотивац .............................................................................................................................................................................. 7
1.3 Сайн үнэлгээний 6 үе шат............................................................................................................................................... 8
ХОЁРДУГААР БҮЛЭГ .................................................................................................................................................................. 9
Төслийн шинжээчийн ажлын хуваарь ..................................................................................................................................... 9
Ерөнхий .......................................................................................................................................................................................... 9
2.1 Төслийн агуулга, зорилтууд ......................................................................................................................................... 10
2.1.1 Нийгэм-эдийн засгийн агуулга ............................................................................................................................. 10
Удиртгал ............................................................................................................................................................................. 10
2.1.2 Төслийн зорилтыг тодорхойлох .......................................................................................................................... 12
2.1.3 Төслийн үр дүн, гарц, гүйцэтгэлийн хэмжүүрийг (хүрэх үр дүн) тодорхойлох .......................................... 12
2.2 Төслийг илрүүлэх ............................................................................................................................................................ 13
2.2.1 Төсөл гэж юу вэ? ..................................................................................................................................................... 13
2.2.3 Хэнд хамаарах вэ? ................................................................................................................................................. 14
2.3 ТЭЗҮ болон хувилбаруудын шинжилгээ .................................................................................................................... 14
2.3.1 Сонголтуудыг илрүүлэх ......................................................................................................................................... 14
2.3.2 ТЭЗҮ-ийн судалгаа ................................................................................................................................................. 15
2.3.3 Хувилбарын сонголт .............................................................................................................................................. 15
2.4 Санхүүгийн шинжилгээ .................................................................................................................................................. 16
2.4.1 Хөрөнгө оруулалтын нийт өртөг .......................................................................................................................... 18
2.4.1.1 Үндсэн хөрөнгийн хөрөнгө оруулалт ............................................................................................................... 18
2.4.1.2 Эхлэлтийн зардал ............................................................................................................................................... 19
2.4.1.3 Урсгал хөрөнгөд орох өөрчлөлт ....................................................................................................................... 19
2.4.2 Үйл ажиллагааны нийт зардал, орлого .............................................................................................................. 19
2.4.2.1 Үйл ажиллагааны зардал................................................................................................................................... 19
2.4.2.2 Үйл ажиллагааны орлого ................................................................................................................................... 19
2.4.3 Хөрөнгө оруулалтын санхүүгийн өгөөж ............................................................................................................. 20
2.4.4 Санхүүжилтийн эх үүсвэр ..................................................................................................................................... 21
2.4.5 Санхүүгийн тогтвортой байдал............................................................................................................................ 22
2.4.6 Хөрөнгийн санхүүгийн өгөөж ................................................................................................................................ 23
2.5 Эдийн засгийн шинжилгээ (Economic analysis) ........................................................................................................ 24
2.5.1 Зах зээлийн үнийг дансны үнэд шилжүүлэх ..................................................................................................... 26
2.5.1.1 Сүүдрийн үнийн гажуудал ................................................................................................................................. 29
2.5.1.2 Төсвийн залруулга .............................................................................................................................................. 30
2.5.2 Зах зээлийн бус нөлөөллийг мөнгөжүүлэх ....................................................................................................... 31
2.5.2.1 Төрийн өмч, хөрөнгийн бүртгэлийн үнэ .......................................................................................................... 32
2.5.3 Шууд бус нөлөөллийг хамруулах ........................................................................................................................ 32

2
2.6 Эрсдлийн үнэлгээ ........................................................................................................................................................... 34
2.6.1 Мэдрэмжийн шинжилгээ ....................................................................................................................................... 35
2.6.1.1 Сценарийн шинжилгээ ....................................................................................................................................... 36
2.6.2 Чухал хувьсагчуудын магадлалын тархалт ...................................................................................................... 37
2.6.3 Эрсдлийн шинжилгээ ............................................................................................................................................. 37
2.6.4 Эрсдлийн хүлээн зөвшөөрөгдөх төвшинг үнэлэх ............................................................................................ 38
2.6.5 Эрсдлээс сэргийлэх ............................................................................................................................................... 38
2.7 Төслийн үнэлгээний бусад аргачлалууд ................................................................................................................... 39
2.7.1 Зардал-ашигт байдлын шинжилгээ (Cost-effectiveness analysis)................................................................. 39
2.7.2 Олон шалгуурт шинжилгээ (Multi-criteria analysis, MCA) ................................................................................ 40
2.7.3 Эдийн засгийн нөлөөллийн шинжилгээ (Economic impact analysis) ............................................................ 41
2.8 ТЕХНИК ЭДИЙН ЗАСГИЙН ҮНДЭСЛЭЛИЙН (ТЭЗҮ) СУДАЛГААНЫ АГУУЛГА ............................................... 44
Гуравдугаар Бүлэг...................................................................................................................................................................... 47
САЛБАРУУДЫН ТӨСЛИЙН ШИНЖИЛГЭЭ .......................................................................................................................... 47
3.1 Зам тээвэр ............................................................................................................................................................................. 47
3.1.1 Тэврийн сүлжээ ............................................................................................................................................................ 47
3.1.1.1 Төслийн зорилтууд .............................................................................................................................................. 47
3.1.1.2 Төслийг илрүүлэх буюу тодорхойлох ............................................................................................................. 47
3.1.1.3 Бололцооны ба хувилбарын судалгаа ........................................................................................................... 48
3.1.1.4 Санхүүгийн шинжилгээ ........................................................................................................................................ 50
3.1.1.5 Эдийн засгийн шинжилгээ .................................................................................................................................. 50
3.1.1.6 Эрсдлийн үнэлгээ ................................................................................................................................................ 52
3.1.3 Боомт, нисэх буудал ба дамжуулах байгууламжууд ....................................................................................... 53
3.1.3.1 Төслийн зорилтууд ............................................................................................................................................... 53
3.1.3.2 Төслийг тодорхойлох ........................................................................................................................................... 53
3.1.3.3 Бололцоо ба хувилбарын шинжилгээ .............................................................................................................. 54
3.1.3.4 Санхүүгийн шинжилгээ ........................................................................................................................................ 54
3.1.3.5 Эдийн засгийн шинжилгээ .................................................................................................................................. 55
3.1.3.6 Эрсдлийн үнэлгээ ................................................................................................................................................. 55
3.3 Үйлдвэрлэл, эрчим хүч, мэдээлэл харицаа .............................................................................................................. 55
3.3.1 Үйлдвэрлэлийн хөрөнгө оруулалт ...................................................................................................................... 55
3.3.1.1 Төслийн зорилтууд .............................................................................................................................................. 55
3.3.1.2 Төслийг тодорхойлох .......................................................................................................................................... 56
3.3.1.3 Төслийн бололцооны ба хувилбарын шинжилгээ ....................................................................................... 56
3.3.1.4 Эрэлтийн шинжилгээ .......................................................................................................................................... 56
3.3.1.5 Санхүүгийн шинжилгээ ....................................................................................................................................... 57
3.3.1.6 Эдийн засгийн шинжилгээ .................................................................................................................................. 57
3.3.1.7 Эрсдлийн үнэлгээ ................................................................................................................................................. 57
3.3.1.8 Төслийн үнэлгээний бусад аргачлалууд .......................................................................................................... 58
3.3.2 Эрчим хүчний дамжуулалт ба нийлүүлэлт ........................................................................................................ 59
3.3.3 Эрчим хүчний үйлдвэрлэл ба сэргээгдэх эрчим хүч........................................................................................ 60
3.3.4 Мэдээлэл харилцаа холбооны (МХХ) дэд бүтэц ................................................................................................... 63
3.3.4.1 Төслийн зорилтууд ................................................................................................................................................ 63
3.3.4.2 Төслийн тодорхойлолт ......................................................................................................................................... 64
3.3.4.3 Бололцооны ба хувилбарын шинжилгээ ......................................................................................................... 64

3
3.3.4.4

Санхүүгийн шинжилгээ................................................................................................................................. 64

3.3.4.5 Эдийн засгийн шинжилгээ .................................................................................................................................. 65
3.3.4.6

Эрсдлийн үнэлгээ .......................................................................................................................................... 65

3.3.4.7 Төслийн үнэлгээний бусад аргачлалууд .......................................................................................................... 65
3.4 Бусад салбарууд................................................................................................................................................................... 66
3.4.1 Боловсрол ба сургалт ................................................................................................................................................. 66
3.4.1.1 Төслийн зорилтууд .............................................................................................................................................. 66
3.4.1.2 Төслийн тодорхойлолт ......................................................................................................................................... 66
3.4.1.3 Бололцооны ба хувилбарын шинжилгээ ......................................................................................................... 66
3.4.1.4 Санхүүгийн шинжилгээ ........................................................................................................................................ 67
3.4.1.5 Эдийн засгийн шинжилгээ .................................................................................................................................. 67
3.4.1.6 Эрсдлийн үнэлгээ ................................................................................................................................................. 68
3.4.1.7 Үнэлгээний бусад аргачлалууд .......................................................................................................................... 68
3.4.3 Эмнэлэг ба эрүүл мэндийг хамгаалах бусад дэд бүтэц ...................................................................................... 68
3.4.3.1 Төслийн зорилтууд .............................................................................................................................................. 68
3.4.3.2 Төслийн тодорхойлолт ....................................................................................................................................... 68
3.4.3.3 Бололцоо ба хувилбарын шинжилгээ ............................................................................................................. 69
3.4.3.4 Санхүүгийн шинжилгээ ....................................................................................................................................... 69
3.4.3.5 Эдийн засгийн шинжилгээ .................................................................................................................................. 69
3.4.3.6 Эрсдлийн үнэлгээ ................................................................................................................................................. 70
3.4.3.7

Төслийн үнэлгээний бусад аргачлалууд .................................................................................................. 70

3.4.5 Үйлдвэрлэлийн бүс ба технологийн парк................................................................................................................ 71
3.4.5.1 Төслийн зорилтууд ............................................................................................................................................... 71
3.4.5.2 Төслийн тодорхойлолт ......................................................................................................................................... 71
3.4.5.3 Бололцоо ба хувилбарын шинжилгээ .............................................................................................................. 71
3.4.5.4 Санхүүгийн шинжилгээ ........................................................................................................................................ 71
3.4.5.5 Эдийн засгийн шинжилгээ .................................................................................................................................. 72
3.4.5.6 Эрсдлийн үнэлгээ ................................................................................................................................................. 72
Дөрөвдүгээр Бүлэг ..................................................................................................................................................................... 73
Үнэлгээний жишээнүүд .............................................................................................................................................................. 73
4.1 Жишээ: Авто замын хөрөнгө оруулалт ............................................................................................................................ 73
4.1.1 Удирдтгал ....................................................................................................................................................................... 73
4.1.2 Замын хөдөлгөөний төлөв .......................................................................................................................................... 73
4.1.3 Хөрөнгө оруулалтын зардал ..................................................................................................................................... 74
4.1.4 Эдийн засгийн шинжилгээ .......................................................................................................................................... 75
4.1.5 Сценарийн шинжилгээ ................................................................................................................................................ 78
4.1.6 Эрсдлийн үнэлгээ ......................................................................................................................................................... 78
4.1.7 Санхүүгийн шинжилгээ ................................................................................................................................................ 79
4.2 Жишээ: Төмөр замын хөрөнгө оруулалт ......................................................................................................................... 88
4.2.1 Оршил ............................................................................................................................................................................. 88
4.2.2 Замын хөдөлгөөний шинжилгээ ................................................................................................................................ 88
4.2.3 Хөрөнгө оруулалтын зардал ...................................................................................................................................... 88
4.2.4 Эдийн засгийн шинжилгээ .......................................................................................................................................... 89
4.2.4.1 Харилцагчийн илүүдэл ........................................................................................................................................ 89
4.2.4.2 Үйлдвэрлэгчийн илүүдэл ба засгийн газрын цэвэр ашиг ............................................................................ 90

4
4.2.5 Сценарийн шинжилгээ ................................................................................................................................................ 91
4.2.6 Эрсдлийн үнэлгээ ......................................................................................................................................................... 91
4.2.7 Санхүүгийн шинжилгээ ................................................................................................................................................ 92
4.4 Жишээ: Ус цэвэрлэх байгууламжийн хөрөнгө оруулалт ............................................................................................. 98
4.4.1 Төслийн тодорхойлолт ............................................................................................................................................... 98
4.4.2 Санхүүгийн шинжилгээ ................................................................................................................................................ 99
4.4.3 Эдийн засгийн шинжилгээ ........................................................................................................................................ 101
4.4.4 Эрсдлийн үнэлгээ ....................................................................................................................................................... 102
4.5 Жишээ: Үйлдвэрлэлийн хөрөнгө оруулалт ................................................................................................................... 117
4.5.1 Төслийн зорилтууд ..................................................................................................................................................... 117
4.5.2 Төслийн тодорхойлолт .............................................................................................................................................. 117
4.5.3 Бололцоо ба хувилбарын шинжилгээ .................................................................................................................... 118
4.5.3.1 Санхүү-эдийн засгийн найдвартай байдал ................................................................................................... 118
4.5.3.2 Төслийн техникийн онцлог ................................................................................................................................ 118
4.5.3.3 Хувилбарын шинжилгээ .................................................................................................................................... 118
4.5.3.4 Хөрөнгө оруулалтын төрөл............................................................................................................................... 118
4.5.4 Санхүүгийн шинжилгээ .............................................................................................................................................. 118
4.5.4.1 Хөрөнгө оруулалтын зардал ............................................................................................................................ 118
4.5.4.2 Үйл ажиллагааны зардал .................................................................................................................................. 119
4.5.4.3 Үйл ажиллагааны орлого .................................................................................................................................. 119
4.5.4.4 Санхүүгийн тогтвортой байдал ........................................................................................................................ 120
4.5.5 Эдийн засгийн шинжилгээ ........................................................................................................................................ 120
4.5.6 Эрсдлийн үнэлгээ ....................................................................................................................................................... 121
4.5.6.1 Борлуулалт........................................................................................................................................................... 121
4.5.6.2 Хөрөнгө оруулалтын зардал ............................................................................................................................ 121
ХАВСРАЛТУУД ......................................................................................................................................................................... 130
ХАВСРАЛТ А ............................................................................................................................................................................. 130
ЭРЭЛТИЙН ШИНЖИЛГЭЭ ..................................................................................................................................................... 130
Хавсралт B ................................................................................................................................................................................. 132
Суурь хүүний сонголт (Discount rate) ................................................................................................................................... 132
Хавсралт C................................................................................................................................................................................. 133
Төслийн гүйцэтгэлийн үзүүлэлтүүд ...................................................................................................................................... 133
Хавсралт G ................................................................................................................................................................................ 135
ТХХТ-тйн төслийн үнэлгээ (PPP PROJECTS) .................................................................................................................... 135
Хавсралт H................................................................................................................................................................................. 137
Эрсдлийн үнэлгээ ..................................................................................................................................................................... 137

5
6
Нэгдүгээр бүлэг

УДИРТГАЛ
Төсвийн бодлогын зохицуулалтын хүрээнд дунд хугацааны Улсын хөрөнгө оруулалтын хөтөлбөрт
1
(УХОХ) багтах хөрөнгө оруулалтын төслийн санхүү, эдийн засгийн үнэлгээ хийхэд удирдамж өгөх,
төслийн үнэлгээний нэгдмэл хэлбэр, аргачлалыг тодорхойлох, төсвийн ерөнхийлөн захирагч нарын
ажлын албаны хөрөнгө оруулалтын мэргэжилтнүүд болон санхүүгийн салбарт ажиллаж буй
шинжээч, зөвлөхүүд бусад сонирхогчдын дунд өргөн хүрээний концепцийн хүрээг төлөвшүүлэх
үүднээс энэ удирдамжийг боловсруулав. Удирдамж нь Европын Комиссын Ерөнхий бүс нутгийн
2
бодлогын газраас 2008 онд баталсан “Төслийн зардал-үр ашгийн шинжилгээний удирдамж” дээр
суурилсан бөгөөд бусад улс орнуудад хэрэглэгдэж буй хөрөнгө оруулалтын төслийн үнэлгээний
заавар зөвлөмжийг удирдамж болгов.
1. Удирдамжийн зорилго
УХОХ-ийг боловсруулах журмын хүрээнд боловсруулсан энэ удирдамж нь хөрөнгө оруулалтын
төслийн зорилтыг тодорхойлох, зөв хувилбарыг илрүүлэх, үнэлэх, ач холбогдоор нь эрэмблэх,
Үндэсний Хөгжил, Шинэтгэлийн Хороо (ҮХШХ) болон Сангийн яаманд хүргүүлэх, төслийг
боловсруулах, үнэлэх, ач холбогдлоор нь эрэмблэхтэй холбоотой мэдээлэл, маягтуудад
шаардлагатай судалгаа, мэдээлэл, тоо баримтыг боловсруулахад дэмжлэг үзүүлэхэд энэ
удирдамжийн зорилт оршино.
1.1 Төслийн тодорхойлолт
Хөрөнгө оруулалтын дараахь төрлүүд нь мөн томоохон төсөлд хамаарагдана. Үүнд:
-

-

Тодорхой техникийн фүнкцэд хамаарах буюу тодорхой зорилго бүхий, эдийн засгийн хувьд
салшгүй ажил үүргийн дарааллаас бүрдэх төслүүдийн багц;
Дараахь төслүүдийн бүлэг. Үүнд:
Нэг байршилтай эсвэл зам тээврийн нэг шугамын дагуу байршсан;
Хэмжигдэхүйц нэгэн зорилготой;
Тухайн бүс нутаг эсвэл зам тээврийн шугамын ерөнхий төлөвлөгөөнд багтсан;
Зохицуулах ба хянах үүрэг бүхий нэгэн байгууллагад харьяалагддаг;
Эдийн засгийн хувьд бие даасан, техникийн ба санхүүгийн хувьд хараат бус төслийн мөчлөг
буюу үе шатны төслүүдийн багц;

1.2 Мотивац
Хөрөнгө оруулалтын шийдвэр нь хөгжлийн бодлогын тулгуур болдог. Эдийн засгийн тогтвортой
өсөлт, амьжиргааны төвшин нь өндөр бүтээмжтэй хөрөнгийн хуримтлал, үйлдвэрлэл, дэд бүтэц,
чадварлаг хүний нөөц бүхий байгууллагын чадавхиас шууд хамаарч байна.
Харилцан адилгүй бодлогын зорилтууд, мэдээлэл бүхий талууд оролцсон, цогц хүрээнд өрнөх
улсын хөрөнгө оруулалтын харилцааг тэгш бус мэдээллийн харьцааг тэнцвэржүүлсэн төслийн
үнэлгээний механизмаар шийдвэрлэнэ. Олон давхарга бүхий засаглалын эрх зүй, удирдлагын
зохицуулалтын орчинд харьцуулалтын стандард арга барил, гүйцэтгэлийн хэмжүүр, шалгуур
үзүүлэлтийг тооцоолох нэгдсэн аргачлал, удирдамжаар хөрөнгө оруулалтын шийдвэр гаргах үйл
явцыг удирдана.

1

Улсын хөрөнгө оруулалтын хөтөлбөр боловсруулах заавар, ҮХШХ/Сангийн яам 2009 он
European Commission, Directorate General Regional Policy, “Guide to cost-benefit analysis of
invesment projects, Structural funds, Cohesion fund and Instrument for pre-accession, final report 2008
2

7
1.3 Сайн үнэлгээний 6 үе шат
Энэ удирдамжид 6 үе шатаас бүрдэх төслийн үнэлгээний баримт бичгийг санал болгож байна.
Үүнд:
 Нийгэм эдийн засгийн зорилтуудын танилцуулга, хэлэлцүүлэг
Нийгэм эдийн засгийн зорилтуудад хүрэхэд шаардлагатай улсын хөрөнгө оруулалтын шууд болон
шууд бус нөлөөлөл нь үнэлгээний эхний алхам болно. Төслийн зорилт нь Үндэсний хөгжлийн цогц
бодлого, Бүс нутгийн хөгжлийн бодлого, Засгийн газрын үйл ажиллагааны мөрийн хөтөлбөр,
тэргүүлэх чиглэлүүд болон салбарын хөгжлийн бодлого, зорилтуудтай нийцэж буй эсхийг
танилцуулгад харуулна. Танилцуулга ба хэлэлцүүлэг нь санал болгож буй төслүүдийн зорилго,
зорилт, үндэслэл болон төсөл ба бодлогын хоорондын нягт уялдааг үнэлэхэд дэмжлэг үзүүлнэ.
 Төслийг зөв илрүүлэх
Төсөл нь үнэлгээний бие даасан бүрэлдэхүүн хэсэг болно. Үнэлгээний хүрээнд төсөлд ач
холбогдол бүхий ямар ч хүчин зүйл түүний дотор төслийн онцлог шинж чанар, бүрэлдэхүүн хэсгийг
орхигдуулахгүй бөгөөд сүлжээний нөлөөллүүд (шууд бус) болон тэдгээрийн зардал, үр ашгийг
хүрэлцэхүйц хэмжээнд харгалзан үзнэ.
 Төслийн болон түүний боломжит хувилбаруудын бололцооны судалгаа
Орчны нөхцөл байдал нь төсөлд тохиромжтой эсэх, төслийн ирээдүйн эрэлт хэрэгцээ хангалттай
эсэх, тохиромжтой технологи бий эсэх, дэд бүтэц болон байгууламжийн ашиглалтын хувь
хангалттай эсэх, хүний нөөц болон удирдлагын чадавхи бий эсэх, бусад хувилбаруудтай
харьцуулсан судалгаанд суурилсан төслийн загварын (хэмжээ, байршил, технологи) шийдэл зэрэг
асуултуудад ердийн бололцооны судалгаа хариулт өгдөг.
 Санхүүгийн шинжилгээ
Санхүүгийн шинжилгээ нь хямдруулсан мөнгөн урсгалын аргачлал дээр суурилна. ҮХШХ нь
төслийн өртөг, зорилт, санхүүжилтийн хэлбэр, хэрэгжих салбар зэргээс хамаарч харилцан адилгүй
санхүүгийн суурь хүү буюу хямдруулалтын хувийг тодорхой судалгааны үндсэнд тогтмол
давтамжтай санал болгоно.
Нягтлан бодох бүртгэлийн хүснэгтийн систем нь дараахь ангилалд хамаарах орох гарах мөнгөн
урсгалыг харуулна.
- Нийт хөрөнгө оруулалтын зардал;
- Нийт үйл ажиллагааны орлого, зардал;
- Хөрөнгө оруулалтын санхүүгийн өгөөж: Санхүүгийн өнөөгийн цэвэр үнэ (хөрөнгө) СӨЦҮ(Х)
ба санхүүгийн өгөөжийн хувь (хөрөнгө) СӨХ(Х) (Financial net presen value of capial
(FNPV(C)) and Financial rate or return of capital (FRR(C));
- Санхүүжилтийн эх үүсвэр;
- Санхүүжилтийн тогтвортой байдал;
Хөрөнгө оруулалтын шинжилгээний хугацаа нь гол гол үндсэн хөрөнгийн эдийн засгийн
ашиглалтын хугацаатай нийцсэн байна. Үлдэгдэл дүнг (Residual value) сүүлчийн жилийн дансанд
бүртгэнэ. Инфляци болон үнийн харьцангуй өөрчлөлтийг нягт харгалзан үзнэ. Төсвийн хөрөнгө
оруулалтын төслийн хувьд FRR(C) нь ихэнхидээ сөрөг байдаг.
 Эдийн засгийн шинжилгээ
Зардал-үр ашгийн шинжилгээ нь (cost-benefit analysis буюу CBA) төслөөс эдийн засагт үзүүлэх
цэвэр нөлөөллийн судалгааг шаарддаг. Энэ нь 5 үе шатаар хэрэгжинэ. Үүнд:
- Барааны нийгмийн алдагдсан бололцооны зардлыг (the social opportunity cost of the good)
илүү бодитой илэрхийлдэг сүүдрийн үнэд (shadow prices) улсын салбарын үнэ, тарифийг
шилжүүлэх;
- Гадаад хүчин зүйлсийг харгалзах, тэдгээрийг мөнгөн дүнгээр илэрхийлэх;
- Шаардлагатай бол сүүдрийн үнээр илэрхийлэгдээгүй шууд бус нөлөөллийг харгалзах;
- Зардал үр ашгийг бодит нийгмийн суурь хүү буюу хямдруулалтын хувиар (social discount
rate буюу SDR benchmark value) хямдруулах (ҮХШХ нийгмийн хямдруулалтын хувийг санал
болгоно.)

8
-

Эдийн засгийн гүйцэтгэлийн үзүүлэлтийн тооцоолол: Эдийн засгийн өнөөгийн цэвэр үнэ
(economic NPV буюу ENPV), эдийн засгийн өгөөжийн хувь (economic rate of return буюу
ERR) болон үр ашиг-зардлын харьцаа (the benefit-cost (B/C) ratio).

 Эрсдлийн үнэлгээ
Төслийн үнэлгээний баримт бичгийн нэг бүрэлдэхүүн хэсэг болох эрсдлийн үнэлгээ нь дараахь 5 үе
шатаас бүрдэнэ. Үүнд:
-

Мэдрэмжийн шинжилгээ (чухал хувьсагчуудыг илрүүлэх, хамааралтай хувьсагчуудыг хасах,
уян шинжилгээ (elasticity analysis), чухал ач холбогдолтой хувьсагчуудын сонголт,
сценарийн шинжилгээ);
Чухал ач холбогдолтой хувьсагч бүрийн магадлалын тархалтын таамаглал;
Гүйцэтгэлийн үзүүлэлтийн тархалтын тооцоолол ( FNPV болон ENPV);
Зөвшөөрөгдөхүйц эрсдлийн төвшингийн болон үр дүнгийн хэлэлцүүлэг;
Эрсдлийг бууруулах арга замын талаархи хэлэлцүүлэг;

 Үнэлгээний бусад арга барил
Зарим тохиолдолд зардал-үр өгөөжийн шинжилгээ (cost-effectiveness analysis) нь ижил төстэй үр
дүнтэй төслүүдийг харьцуулахад ашигтай байдаг боловч зардал-үр ашгийн шинжилгээг (CBA)
орлохгүй. Хэрэв төсөл санаачлагч эдийн засгийн өгөөжийн хувь нь (ERR) хангалттай биш төслийг
хэрэгжүүлэх сонирхолтой бол зардал-үр ашгийн судалгааг орлох олон шалгуурт шинжилгээг (multicriteria analysis) хэрэглэж болно. Маш том төслүүдийн хувьд (босго дүн тогтоох бололцоогүй) макро
эдийн засгийн нөлөөллийг харуулах зорилготой эдийн засгийн нөлөөллийн шинжилгээг (economic
impact analysis) зардал-үр ашгийн шинжилгээг дагалдах маягаар хийж болно.
ХОЁРДУГААР БҮЛЭГ

Төслийн шинжээчийн ажлын хуваарь

Ерөнхий
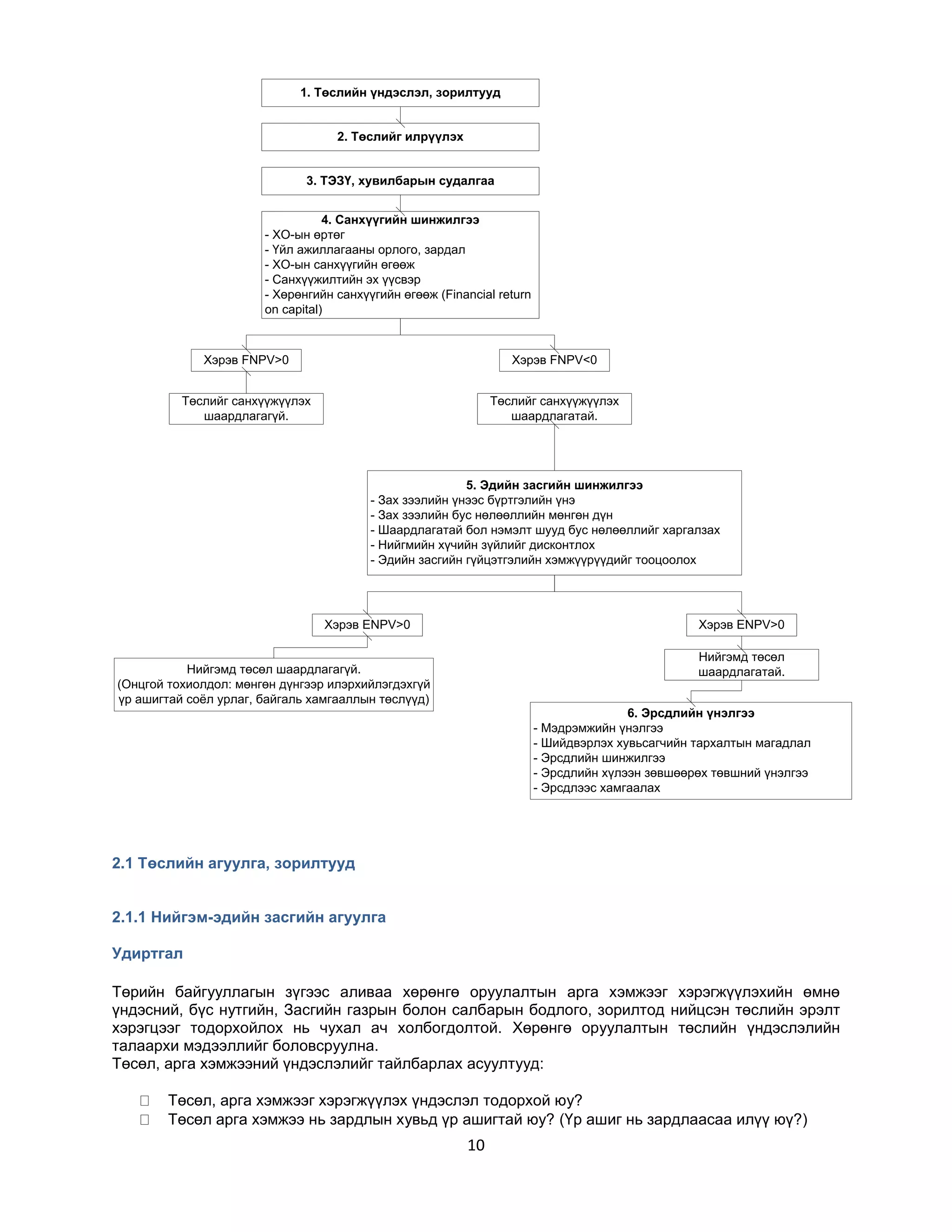
Төслийн үнэлгээний ажлын хуваарь нь 6 үе шатанд хуваагдана (Зураг 2.1). Эдгээр үе шатын зарим
нь бэлтгэл ажил боловч зардал-үр ашгийн шинжилгээний зайлшгүй бүрэлдэхүүн хэсэг болно.
Зардал-үр ашгийн шинжилгээний нэг салшгүй бүрэлдэхүүн хэсэг болох “Эдийн засгийн шинжилгээ”г орлох биш харин нөхөх буюу дэмжих зорилготой зардал-үр өгөөжийн, олон шалгуурт ба эдийн
засгийн нөлөөллийн үнэлгээний аргачлалуудыг энэ бүлэгт мөн тайлбарлана.
- Төслийн агуулга, зорилтууд
- Төслийг илрүүлэх (identification)
- Бололцоо, хувилбарын судалгаа
- Санхүүгийн шинжилгээ
- Эдийн засгийн шинжилгээ
- Эрсдлийн үнэлгээ
- Үнэлгээний тайлан
Зураг. 2.1 Төслийн үнэлгээний бүтэц

9
1. Төслийн үндэслэл, зорилтууд
2. Төслийг илрүүлэх
3. ТЭЗҮ, хувилбарын судалгаа
4. Санхүүгийн шинжилгээ
- ХО-ын өртөг
- Үйл ажиллагааны орлого, зардал
- ХО-ын санхүүгийн өгөөж
- Санхүүжилтийн эх үүсвэр
- Хөрөнгийн санхүүгийн өгөөж (Financial return
on capital)

Хэрэв FNPV>0

Хэрэв FNPV<0

Төслийг санхүүжүүлэх
шаардлагагүй.

Төслийг санхүүжүүлэх
шаардлагатай.

5. Эдийн засгийн шинжилгээ
- Зах зээлийн үнээс бүртгэлийн үнэ
- Зах зээлийн бус нөлөөллийн мөнгөн дүн
- Шаардлагатай бол нэмэлт шууд бус нөлөөллийг харгалзах
- Нийгмийн хүчийн зүйлийг дисконтлох
- Эдийн засгийн гүйцэтгэлийн хэмжүүрүүдийг тооцоолох

Хэрэв ENPV>0

Хэрэв ENPV>0
Нийгэмд төсөл
шаардлагатай.

Нийгэмд төсөл шаардлагагүй.
(Онцгой тохиолдол: мөнгөн дүнгээр илэрхийлэгдэхгүй
үр ашигтай соѐл урлаг, байгаль хамгааллын төслүүд)

6. Эрсдлийн үнэлгээ
- Мэдрэмжийн үнэлгээ
- Шийдвэрлэх хувьсагчийн тархалтын магадлал
- Эрсдлийн шинжилгээ
- Эрсдлийн хүлээн зөвшөөрөх төвшний үнэлгээ
- Эрсдлээс хамгаалах

2.1 Төслийн агуулга, зорилтууд
2.1.1 Нийгэм-эдийн засгийн агуулга
Удиртгал
Төрийн байгууллагын зүгээс аливаа хөрөнгө оруулалтын арга хэмжээг хэрэгжүүлэхийн өмнө
үндэсний, бүс нутгийн, Засгийн газрын болон салбарын бодлого, зорилтод нийцсэн төслийн эрэлт
хэрэгцээг тодорхойлох нь чухал ач холбогдолтой. Хөрөнгө оруулалтын төслийн үндэслэлийн
талаархи мэдээллийг боловсруулна.
Төсөл, арга хэмжээний үндэслэлийг тайлбарлах асуултууд:
Төсөл, арга хэмжээг хэрэгжүүлэх үндэслэл тодорхой юу?
Төсөл арга хэмжээ нь зардлын хувьд үр ашигтай юу? (Үр ашиг нь зардлаасаа илүү юү?)

10
Төслийн нийгэм-эдийн засаг болон байгууллагын үндэслэлийг тодорхойлох нь төслийн үнэлгээний
нэгдүгээр үе шатад хамаарна. Төслийн ирээдүйн зардал, үр ашгийн талаархи итгэхүйц төвшний
таамаглал нь нийгэм, макро-эдийн засгийн бодит чиг хандлага дээр суурилна.
Төслөөс нийлүүлэх бараа/үйлчилгээний ирээдүйн эрэлт хэрэгцээний таамаглалаас бүрдэх
эрэлтийн шинжилгээнд нийгэм-эдийн засгийн үндэслэлийн нарийвчилсан судалгаа зайлшгүй
шаардлагатай. Төслийн ирээдүйн орлого буюу санхүүгийн гүйцэтгэлийг таамаглахад эрэлтийн
таамаглал нь гол үүрэг бүхий үзүүлэлт болно. (эрэлтийн шинжилгээний талаархи дэлгэрэнгүй
мэдээллийг хавсралт А-аас харна уу).
Эрэлтийн таамаглал нь орлого олохгүй төслүүдийн хувьд ч чухал ач холбогдолтой. Төслийн эдийн
засгийн гүйцэтгэл нь нийгэм эдийн засгийн хүчин зүйлс болон тэдгээрийн онцлог, хувьсалаас
хамаарна.
Төлөвлөж буй төсөл нь олон улсын болон үндэсний хэмжээний сүлжээнд хамаарагдаж буй эсэхэд
энэ үе шатанд онцгой анхаарал хандуулах шаардлагатай. Энэ нь хоорондоо нягт уялдаатай зам
тээвэр, эрчим хүчний төслүүдэд хамаарах бөгөөд сүлжээнд харьяалагдах төслийн эрэлт, санхүү
эдийн засгийн гүйцэтгэл нь сүлжээний төслүүдийн харилцан хамаарлын хүчин зүйлсээс хамаарна.
Иймд шаардлагатай бол төслийн үндэслэлд энэ харилцан хамаарлыг харгалзан үзнэ.
Судалгаа хийх
Үнэлгээний анхны алхам нь төсөл арга хэмжээг хэрэгжүүлэх болсон үндэслэл, асуудлын цар хүрээг
тодорхойлох судалгаа болно. Судалгаа дараахь сэдвүүдийг хамарна. Үүнд:
-

Хэрэв юу ч хийгдээгүй эсвэл бага зэрэг өөрчлөлт орсон бол үр дүн нь юу вэ?
Зах зээлийн нөхцөл байдал (жишээ нь зах зээлийн гажуудал, ажил эрхлэлтийн төвшин)
Одоогийн ба ирээдүйн чиг хандлага (жишээ нь хүн ам, үйлчилгээний цар хүрээ, эрэлт, үнэ
өртөг гэх мэт);
Үр ашгийг хүртэгчид ба алдагдал хүлээгчид;
Технологийн хөгжил;
Хөндөж буй асуудал нь цаг хугацааны туршид цар хүрээний хувьд яаж өөрчлөгдөх вэ?

Засгийн газраас хэрэгжүүлэх төсөл, арга хэмжээний үндэслэлийн тайлбарыг дараахь жишээгээр
харуулав.
Жишээ. Мэргэжлийн сургалтыг өргөжүүлэх
Мэргэжлийн ажиллах хүчин нь улс орны эдийн засгийн өсөлт, хөдөлмөрийн бүтээмжид эерэгээр нөлөөлдөг
тухай баримт, нотолгоо байдаг. Тэгвэл “А” Улсад мэргэжлийн ур чадвартай ажиллах хүчин ихээхэн хэмжээгээр
дутагдаж байгааг тусгай мэргэжлийн боловсролын үнэмлэхтэй иргэдийн тоо харуулж байна. Түүнээс гадна энэ
ур чадварын дугагдлыг бий болгож буй зах зээлийн доголдлын 3 хэлбэр байгаа тухай баримтууд байна.
1.

2.

3.

Ажил олгогчийн зүгээс сургалтад бага хөрөнгө оруулах гадаад хүчин зүйл. Ажилтны тогтвор
суурьшилгүй байдлаас хамаарч сургалтад оруулсан хөрөнгө оруулалтаа нөхөж чадахгүй байх гэсэн
ажил олгогчийн эмээлт.
Төгс бус мэдээллээс хамаарч ажилтны зүгээс сургалтын чанар, үр ашгийг үнэлж чадахгүй байх. Энэ
нь ажилтны сургалтад хамрагдах мөн сургалтын үед бага цалин, хөлсөөр ажиллах хүсэл эрмэлзлийг
бууруулна.
Төгс бус санхүүгийн зах зээл. Сургалтын төлбөр өндөр. Олон сурагчид сургалтын төлбөрийг банкны
зээлээр төлөх сонирхолтой байдаг боловч бага цалинтай учраас зээл авах бололцоогүй байдаг. Мөн
зээлийн хүү нь хэт өндөр байдаг.

Нийгмийн ашиг сонирхлын өнцгөөс харахад зах зээлийн санал болгож буй мэргэжлийн сургалтын төвшин
хангалттай бус гэдгийг дээрхи зах зээлийн доголдлууд харуулж байна.

11
2.1.2 Төслийн зорилтыг тодорхойлох
Төслийн зорилтуудыг тодорхойлох нь төслийн нийгмийн үнэ цэнийн талаархи ойлголтод хүрэх нэг
алхам болно. Төслөөс нийгэм-эдийн засагт үзүүлэх цэвэр үр ашиг юу вэ гэсэн асуултын хариулт нь
төслийн үнэлгээнд тавигдах нэг томоохон асуулт болно. Үр ашиг нь зөвхөн биет хэмжүүрүүд бус
(замын урт-км) тоогоор илэрхийлж болох нийгэм-эдийн засгийн хувьсагчуудаар илэрхийлэгддэг.
Төслийн зорилтууд нь хөгжлийн бодлого, хөтөлбөрийн тэргүүлэх чиглэлүүдтэй нягт уялдаатай
байна. Төслийн нийгэм-эдийн засгийн зорилтуудыг тодорхойлох нь төслөөс нийгэм-эдийн засагт
үзүүлэх нөлөөллийг таамаглахад шаардлагатай боловч төслийн бүх нөлөөллийг таамаглахад
бүрэн хүрэлцэхгүй. Төслийн шинжилгээ нь макро-эдийн засгийн олон үзүүлэлтүүдийн хувьд өртөг
өндөртэй байдаг. Иймд энэ зааврын аргачлал нь нийгмийн зардал-үр ашгийн шинжилгээн (ЗҮАШ)
дээр (social cost-benefit analysis) суурилж байна. ЗҮАШ нь төслөөс үзүүлэх ирээдүйн бүх
нөлөөллийн талаархи бүх асуултад хариулахгүй боловч төслийн нийгэм-эдийн засагт үзүүлэх нийт
нөлөөллийг харуулах микро-эдийн засгийн үзүүлэлтүүдийн багц дээр төвлөрнө. Төслийн нийгэмэдийн засгийн цэвэр үр ашгийг харуулах нэг түлхүүр үзүүлэлт нь ердөө эдийн засгийн өнөөгийн
цэвэр үнээр илэрхийлэгдэнэ. Хэрэв ЗҮАШ нь зөв аргачлал дээр суурилсан бол ажил эрхлэлт,
байгаль орчинд үзүүлэх нөлөөлөл зэрэг олон хүчин зүйлсийг зөвхөн нэг гүйцэтгэлийн хэмжүүрээр
харуулж болно.
Үндэсний хөгжлийн зорилтуудтай нийцэх
Төсөл санаачлагч нь төсөл, хөтөлбөрийн зорилт нь үндэсний, бүс нутгийн, салбарын хөгжлийн
бодлого зорилт, Засгийн газрын мөрийн хөтөлбөр ба тэргүүлэх чиглэлдүүдтэй бүрэн нийцэж буйг
тодорхой тайлбарлана.
2.1.3 Төслийн үр дүн, гарц, гүйцэтгэлийн хэмжүүрийг тодорхойлох
Төслийн хэрэгжилтээс нийгэмд үзүүлэх үр ашгийг төслийн үр дүн гэнэ. Ихэнхдээ төслийн зорилтыг
хүрэх гэж буй үр дүнгээр илэрхийлдэг. Заримдаа үр дүнг хэмжих бололцоогүй бөгөөд энэ
тохиолдолд гарцыг тодорхойлох нь зохимжтой байдаг. Гарцыг хэмжиж, тодорхойлж болох ба гарц
нь төслийн зорилтот үр дүнд хамаарах үйл ажиллагааны үр дүн болно. Төслийн зорилт, үр дүн,
гарцад хүрэхэд гарч буй ахиц дэвшлийг илэрхийлэхэд “зорилтот үр дүн” (target)-г хэрэглэдэг.
Зорилтот үр дүн нь SMART буюу S (Specific-Тусгай), M (Measurable-Хэмжигдэхүйц), A (AchievableХүрч болохуйц), R (Relevant-Ач холбогдолтой), T (Time bound-Цаг хугацаатай уялдсан) мөн
чанаруудыг агуулна.
Хүснэгт 1. Зорилтот үр дүнг тодорхойлох
Дараахь асуултуудад хариулах нь зорилтот үр дүнг тодорхойлоход дөхөмтэй байдаг. Үүнд:
Бид юунд хүрэхийг зорьж байна вэ? Хүрэх үр дүнгийн амжилтыг юугаар илэрхийлэх вэ?
Зорилтот үр дүнг юугаар хэмжих вэ?
Ахиц дэвшлийг хэмжиж болохоор зорилтыг тодорхойлсон уу?
Амжилтанд ямар хүчин зүйлс чухал ач холбогдолтой вэ?
Ямар SMART зорилтот үр дүнг тодорхойлж болох вэ?

Хүснэгт 2. Гарц, үр дүнгийн жишээнүүд
Бодлогын зорилт

Гарц (output)

Үр дүн

Ажлын байраар хангах

Дэмжлэг авсан ажил эрэгчдийн тоо

Нэмэлт гарцын үнэ цэнэ, ажил
эрэлтийн бүтээмжийн өсөлт

Ур чадварыг хөгжүүлэх

Сургалтад хамрагсдын тоо

Орлогын
өсөлт/ур
өсөлтийн үнэ цэнэ

12

чадварын
Нийгмийн гарц: Сургууль; Эрүүл
мэндийн төвүүд

Байгаль орчныг хамгаалах

Шалтгалтын дүн (сургуууль)
Эмчлүүлсэн хүний
мэндийн төв)

тоо

Оюуны
(сургууль)

чадамжийн

өсөлт

(Эрүүл

Ариутгал хийгдсэн газар (га)

Эрүүл мэнд (ЭМТ)
Газрын бүтээмжийн өсөлт

Table 3 Жишээ: Мэргэжлийн сургалтыг өргөжүүлэх
Нэгдсэн бодлогын зорилт
Мэргэжлийн сургалтыг өргөжүүлснээр мэргэжлийн ажиллах хүчний нөөцийн дутагдлыг багасгах
Гарц, зорилтот үр дүнгийн жишээнүүд:
Бодлогын зорилт

Гарц

Зорилтот үр дүн

Сургалтын оновчтой төвшин

ДНБ-ий хувиар илэрхийлэгдэх
оюуны хөрөнгө

Тодорхой хугацаанд сургалтад
хамрагдагсдын тоо

Ажлын бүтээмжийн өсөлт

Мэргэжлийн сургалтад хамрагдсан
ажиллах хүчний эзлэх хувь

Сургалт завсардуулах хувийн
бууралт

2.2 Төслийг илрүүлэх
1.1-д төслийн тодорхойлолтын үндсэн зарчмыг тайлбарласан. Ялангуяа дараахь нөхцлүүд
биелэгдсэн бол төслийг илрүүлсэнд тооцно. Үүнд:




Төсөл нь үнэлгээний бие даасан нэгж („тал гүүр нь гүүр биш”);
Шууд бус буюу сүлжээний нөлөөллийг хангалттай төвшинд харгалзах;
Оролцогч талуудын хувьд зөв нийгмийн чиг хандлагатай байх;

2.2.1 Төсөл гэж юу вэ?
Эдийн засаг, техникийн шинж чанартай тодорхой зорилтод хүрэхэд шаардлагатай хоорондоо нягт
уялдсан олон тооны ажил, үүргээс бүрдэх үйл ажиллагааг төсөл гэнэ.
Жишээ: Төслийг илрүүлэх
Нисэх буудал нь Б хотын ойролцоо байх бөгөөд нисэх буудал болон А хотын хооронд замын хөдөлгөөн
төвлөрнө гэсэн үндэслэл бүхий А, Б хотыг холбосон хурдны замын төслийн хувьд нисэх буудал-хурдны зам
гэсэн нэгдсэн системийн хувьд үнэлгээ хйигдэнэ.

Шууд бус болон сүлжээний нөлөөлөл
Төслийг илрүүлсний дараа төслийн үнэлгээний хязгаарыг тодорхойлно. Төсөл нь хэрэглэгч,
ажилчид, хөрөнгө оруулагч, нийлүүлэгчдэд шууд харин гуравдагч талуудад шууд бусаар
нөлөөлдөг. Төслийн үр ашгийг давхар тооцохгүй байхад анхаарах нь зүйтэй. Зардал-үр ашгийн
шинжилгээнд сүүдрийн үнэ өгөгдсөн ч ерөнхийдөө хоѐр дахь зах зээл дэх шууд бус нөлөөллийг
эдийн засгийн үнэлгээнд оруулж тооцоолохгүй. Жишээ нь хэрэв зохих сүүдрийн үнийг ашигласан
бол орон нутгийн жуулчлалын салбарт үзүүлэх хурдны замын нөлөөллийг ЗҮАШ-д оруулж
тооцохгүй. Хэрэв анхдагч зах зээл дэх зохистой сүүдрийн үнийг үнэлгээнд ашигласан бол хоѐр
дахь зах зээл дэх зах зээлийн нөлөөллийг (тоон болон үнийн өөрчлөлт) үнэлгээнд харгалзахгүй
гэсэн ерөнхий зарчмыг баримтална. Зарим тохиолдолд түүний дотор тээврийн салбарт энэ

13
зарчмыг баримтлах нь бэрхшээлтэй тул нөлөөллийг давхар тооцоолохоос сэрэмжилж хоѐр дахь
зах зээлийн нөлөөллийг харгалзан үзэж болно.
Харин сүлжээний нөлөөллийг (жишээ нь зам тээврийн төслөөс бусад замын хөдөлгөөнд үзүүлэх
нөлөөлөл) зохих таамаглалын загвараар ЗҮАШ-д оруулж тооцоолно. Энэ тусгай сэдвийг тээврийн
төслийн жишээн дээр 4 дүгээр бүлэгт дэлгэрэнгүй тайлбарлана.
Гадаад орчны эерэг, сөрөг нөлөөллийг (жишээ нь байгаль орчны төсөл) ЗҮАШ-д аль болох оруулж
тооцоолно. Гадаад орчны нөлөөлөл санхүүгийн шинжилгээнд хамрагддаггүй учраас энэ
нөлөөллийг эдийн засгийн шинжилгээгээр таамаглаж тооцоолно (2.5.2-г харах).
Шигтгээ: Зам тээврийн төслийн үр ашгийг давхар тооцоолохоос сэргийлэх үүднээс эдийн засгийн
шууд болон шууд бус нөлөөллийг зааглах тухай
Шууд нөлөө: Төсөл хэрэгжих тээврийн сүлжээний тухайн хэсгийн хэрэглэгчдийн зүгээс (шинээр төлөвлөсөн
замын хэрэглэгчдийн тоо) тухайн сүлжээн дотор хийх сонголтод үзүүлэх нөлөөлөл (шугам, хөдлөх хугацаа,
давтамж, хүрэх газар)
Сүлжээний шууд нөлөө: Төсөл хэрэгжих тээврийн сүлжээний тухайн хэсэгт хамаарахгүй хэрэглэгчдийн
зүгээс хийх сонголтод сүлжээний урсгалаас үзүүлэх нөлөөлөл (шинэ зам төлөвлөсөн бүсийн галт тэрэгний
хэрэглээнд орох өөрчлөлт)
Шууд бус нөлөө: Зам тээврийн төслийн үр дүнд бий болох зам тээврийн зах зээлээс гадуурхи нөлөөлөл
түүний дотор үйлдвэрлэл, хөдөлмөр эрхлэлт, оршин суугчдын тоонд орох өөрчлөлт (жишээ нь зам харицаа
сайжрах тул шинэ замтай хотын оршин суугчдын тоо нэмэгдэнэ)
Сүлжээний шууд бус нөлөө: Тээврийн төслийн үр дүнд бий болох өртөг, зардлын өөрчлөлтийн улмаас
тээврээс бусад салбарт (хөдөлмөрийн, бүтээгдэхүүний, үл хөдлөх хөрөнгийн зах зээл г.м.) үзүүлэх нөлөөлөл.

2.2.3 Хэнд хамаарах вэ?
ЗҮАШ-д хэний зардал, үр ашгийг тооцоолох вэ гэдэг асуулт чухал байр суурь эзэлдэг. Жишээ нь
хоѐр том хотыг холбох хурдны төмөр зам нь байгаль орчны өнцгөөс харвал орон нутгийн иргэдэд
сөргөөр нөлөөлөх боловч үндэсний төвшинд үр ашиг нь зардлаасаа өндөр үзүүлэлттэй байж
болно.
2.3 ТЭЗҮ болон хувилбаруудын шинжилгээ
Төслийн хувилбаруудаас зөв сонголт хийх үндсэн зарчмуудын талаар энэ хэсэгт тоймчлон
тайлбарлана.
2.3.1 Сонголтуудыг илрүүлэх
Төслийн нийгэм-эдийн засгийн үндэслэл болон эрэлтийг судалсны дараа төслийн зорилтуудад
хүрэх хувилбаруудыг нээж, илрүүлнэ. Сонголтын түгээмэл жишээнүүд:
Хувилбарын жишээнүүд







Тээврийн төслийн хувьд өөр өөр маршрут, өөр өөр барих хугацаа;
Түрээслэх, барих, эсвэл худалдан авах;
Эрүүл мэндийн үйлчилгээг өргөн хүрээнд тархсан орон нутгийн эмнэлгээр санал болгохын
оронд эрүүл мэндийн томоохон төвүүдийг байгуулах;
Хэрэглэгчийн зах зээлд ойрхон А эсвэл нийлүүлэгчдэд ойрхон Б бүсэд үйлдвэрлэлийн
байршлыг сонгох;
Оргил ачааллын үед эрчим хүч нийлүүлэх хувилбарууд;
Шинэ цахилгаан станц барихын оронд эрчим хүчний ашиглалтыг сайжруулах;

14
Хөрөнгө оруулалтын үнэлгээний үндсэн аргачлал нь төсөлтэй төсөлгүй гэсэн 2 нөхцөл байдлыг
харьцуулах зорилготой. Хамгийн сайн хувилбарыг сонгоход эхлээд суурь төлвийг (baseline
scenario) дэвшүүлэх нь ашигтай байдаг. Энэ нь ирээдүйн төсөлгүй хувилбарын таамаглал буюу
“жирийн” (“business as usual”) таамаглал юм.
Жирийн таамаглалыг тодорхойлсны дараа (do-minimum option) техник технологи, удирдлага,
зохицуулалтын хязгаарлалтууд болон эрэлт дээр суурилсан бусад бололцоотой шийдлийн
хувилбаруудыг эрэлхийлэх нь зүйтэй. Үнэлгээний ач холбогдлыг бууруулах нэг эгзэгтэй эрсдэл бол
зарим хувилбарууд түүний дотор өртөг багатай бусад сонголтуудыг (удирдлагын чадавхийг
бэхжүүлэх, үнийн өөрчлөлт хийх, дэд бүтцийн бусад шийдлүүд) орхигдуулах явдал байдаг.
Ерөнхийдөө хувилбаруудын хувьд хөрөнгө оруулалтын гүйцэтгэлд нөлөөлөх үнийн бодлого нь
шийдвэрлэгч хувьсагч болдог. Иймд сонголт болон үнэ тарифийн хоорондын уялдааг судлах
шаардлагатай. Жишээ нь үнийн бодлого, байршил, хөрөнгө оруулалтын зардал, үйл ажиллагааны
зардлуудын олон хувилбараас цөөхөн нь л үнэлгээнд хамрагдах бололцоотой байдаг. Туршлагатай
төслийн шинжээч нь ерөнхийдөө жирийн төлөв (basic scenario), “do-minimum” хувилбар болон “dosomething”-ийн цөөн тооны хувилбар дээр анхаардаг.
2.3.2 ТЭЗҮ-ийн судалгаа
Техник, эдийн засгийн үндэслэл (ТЭЗҮ)-ийн судалгаа нь техник, эдийн засаг, зохицуулалт,
удирдлагын хувьд учирч болох бэрхшээл, холбогдох шийдлүүдийг илрүүлэх зорилготой. Судалгааг
хийхдээ учирч болох ач холбогдол бүхий (хүний нөөцийн дутагдал, газар зүйн онцлог ) болон ач
холбогдол багатай (үнэ тарифийн зохицуулалт) бэрхшээлүүдийн хоорондын заагийг тодруулах нь
зохимжтой байдаг. Ач холбогдол багатай бэрхшээлийг зохицуулалтын өөрчлөлтөөр шийдвэрлэж
болно. Хэрэв төслийн загвар нь техник, зохицуулалт, санхүүгийн болон бусад учирч болох
бэрхшээлүүдийг даван туулах чадвартай бол төслйг хэрэгжих бололцоотой гэж үзнэ. ТЭЗҮ нь ул
суурьтай хянагдах ѐстой бөгөөд энэ нь төсөл бүрт тавигддаг ерөнхий шаардлага болдог.
Томоохон дэд бүтцийн төслийн ТЭЗҮ-ийн судалгаа нь дараахь мэдээллийг агуулдаг. Үүнд:
 Ашиглаж болох технологи;
 Үйлдвэрлэлийн төлөвлөгөө (түүний дотор дэд бүтцийн ашиглалтын хувь);
 Ажиллах хүчний хэрэгцээ;
 Төслийн цар хүрээ, байршил, хэрэгжилтийн үе шат, өргөжилтийн үе шат, санхүүгийн
төлөвлөгөө, байгаль орчны асуудлууд;
Олон тохиолдолд, томоохон төслүүдийн судалгаа нь нарийвчилсан нэмэлт судалгаануудаас
бүрддэг. (Хавсралт J-г харах).
Шигтгээ: Эрэлтийн шинжилгээ ба ТЭЗҮ
Эрэлтийн шинжилгээ нь хөрөнгө оруулалтын хэрэгцээг дараахь үнэлгээгээр тодорхойлно. Үүнд:
 Одоогийн эрэлт (загварууд болон одоо байгаа тоон мэдээллийг ашиглах);
 Ирээдүйн эрэлт (макро-эдйн засгийн болон салбарын таамаглал, эрэлтийг үнэ болон
орлоготой уялдуулсан уян байдлын таамаглал (elasticity forecast)).
Дээрхи 2 тооцоолол нь төслийн эрэлт болон эдийн засгийн хувьд оновчтой цар хүрээг
тодорхойлоход чухал алхам болно.
2.3.3 Хувилбарын сонголт
Салбарын онцлогыг харгалзсан сонголт хийхэд дараахь аргачлалыг хэрэглэж болно. Үүнд:



Төлөвлөж буй зорилтуудад хүрэх хувилбаруудын урт жагсаалтыг гаргах;
Зарим ач холбогдол бүхий чанарын үзүүлэлтүүдийн биелэлтийн хувиар дээрхи урт
жагсаалтаас боломжит хувилбаруудын богино жагсаалтыг сонгох;

Хувилбаруудыг хассан үндэслэлийг баримтжуулах нь мөн чухал ач холбогдолтой байдаг. Үүний
дараа санхүүгийн болон эдийн засгийн өнөөгийн үнэ цэнэ дээр тулгуурлан боломжит
хувилбаруудыг ач холбогдлоор нь эрэмблэн жагсаана.

15
Боломжит „do-minimum‟ болон цөөн тооны „do-something‟ хувилбаруудыг сонгосны дараа тэдгээрийг
ач холбогдлоор нь эрэмблэхийн тулд хялбарчилсан ЗҮАШ-г хийнэ.
Хялбарчилсан ЗҮАШ нь санхүү, эдийн засгийн түлхүүр үзүүлэлтийн хүснэгт дээр суурилдаг бөгөөд
түүний тоон мэдээлэл нь бүрэн хэмжээний харьцуулалтын судалгааны тоон мэдээлэлтэй
харьцуулахад нарийвчлал багатай байдаг.
Ямар нэг зүйл хийх (do-something) хувилбар болон төсөлгүй жирийн төлөв (Business as usual буюу
BAU scenario) тус бүрийн үр ашиг зардлын хоорондын ялгаагаар буюу өсөн нэмэгдэх цэвэр үр
ашгийн аргачлалаар санхүү, эдийн засгийн гүйцэтгэлийн хэмжүүрүүдийг тооцоолдог. Зарим
тохиолдолд жирийн төлвийн (BAU scenario or do-nothing) оронд хамгийг багыг хийх (do-minimum)
хувилбарыг сонгох нь зохимжтой байдаг. Учир нь зарим тохиолдолд жирийн төлөв (BAU scenario or
do-nothing) нь бодит байдлаас хэт зөрүүтэй үр дүнг хүргэдэг.
Одоо байгаа төслийг өтгөтгөх, бүтцийн өөрчлөлт хийхтэй холбоотойгоор гардаг нэг асуулт бол өсөн
нэмэгдэх мөнгөн урсгалыг одоо байгаа болон хуучин байгууламжид хуваарилах асуудал болдог.
Харамсалтай нь нягтлан бодох бүртгэлийн хялбар аргачлалаар (шинэ хуучин байгууламжийн
хөрөнгө оруулалтын зардлын харьцаагаар орлогыг шинэ хуучин байгууламжид хуваарилах) мөнгөн
урсгалыг хуваарилах нь буруу. “Төсөлтэй” ба төсөлгүй гэсэн 2 төлвийг (scenario) бага зэрэг
хазайсан замаар харьцуулах нь хамгийн зөв аргачлал болно. Иймд хураамжтай 2 урсгалтай
хурдны замын өргөтгөлийн 3 дахь замын өсөн нэмэгдэх үр ашиг буюу цаг хугацаа хэмнэх үр ашиг
нь ирээдүйн тухайн замын хөдөлгөөний 1/3 бус өсөн нэмэгдэх зам тээврээр хэмжигдэнэ.
Зарим тохиолдолд одоогийн дэд бүтцийн өргөтгөл, шинэчлэлтэйгээр холбоотойгоор өсөн нэмэгдэх
үр ашгийг тоогоор илэрхийлэх бололцоогүй байдаг. Учир нь бүтээгдэхүүн/үйлчилгээний
нийлүүлэлтэд тоон өөрчлөлт орохгүй. Эдгээр тохиолдолд өсөн нэмэгдэх үр ашгийг үйлчилгээний
чанар, үйл ажиллагааны зардлын бууралт зэрэг сайжруулалттай холбоотой үзүүлэлтүүдээр
илэрхийлнэ.
2.4 Санхүүгийн шинжилгээ
Ирээдүйн мөнгөн урсгалын таамаглалыг ашиглан цэвэр үр ашиг буюу өгөөжийг тооцоолох нь
санхүүгийн шинжилгээний гол зорилго болно. Энэ зааварт Санхүүгийн Өнөөгийн Цэвэр Үнэ
(Financial Net Present Value (FNPV)) болон Санхүүгийн Өгөөжийн Дотоод Хувь (Financial Internal
Rate of Return (FRR)) өргөн хэрэглэгдэнэ. (Хөрөнгө оруулалтын зардлын болон үндэсний хөрөнгийн
(national capital) хувьд FNPV(C), FRR(C), FNPV (K) буюу FRR (K))
Энэ зааварт санхүүгийн өгөөжийг тооцоолохдоо хямдруулсан мөнгөн урсгалын аргыг (Discounted
Cash Flow, DCF) хэрэглэж байгаа нь дараахь үндэслэлтэй. Үүнд:




Зөвхөн орох гарах, мөнгөн урсгалыг харгалзана. (жишээ нь элэгдэл, нөөц сан нь мөнгөн
урсгалд хамаарахгүй);
Төслийн мөнгөн урсгалыг тооцоолохдоо өсөн нэмэгдэх аргыг хэрэглэнэ.
Ирээдүйн мөнгөн урсгалыг нэгтгэхдээ буюу ирээдүйн мөнгөн урсгалын өнөөгийн үнэ
цэнийг тооцолохдоо зохимжтой санхүүгийн суурь буюу хямдруулалтын хүүг (financial
discount rate) ашиглана. (шигтгээг харна уу)

Шигтгээ: Санхүүгийн суурь буюу хямдруулалтын хүү
Санхүүгийн хямдруулалтын хүү нь хөрөнгийн алдагдсан бололцооны өртгийг харуулдаг. Мөнгөн урсгалыг
хямдруулахад хэрэглэх харьцуулалтын хүүг таамаглах онол, практикийн олон арга байдаг (Хавсралт B-г
харна уу).

Санхүүгийн шинжилгээ нь дэс дараалсан, нягт уялдаатай данснуудаас бүрдэнэ. (Зураг 2.1; 2.2) Үүнд:

1.
2.
3.
4.

Хөрөнгө оруулалтын нийт зардал;
Үйл ажиллагааны нийт зардал, орлого;
Хөрөнгө оруулалтын санхүүгийн өгөөж: FNPV(C) and FRR(C);
Санхүүжилтийн эх үүсвэр;

16
5. Санхүүгийн тогтвортой байдал;
6. Үндэсний хөрөнгийн санхүүгийн өгөөж: FNPV(K) and FRR(K);
1. Хөрөнгө оруулалтын нийт зардал

3. Хөрөнгө оруулалтын санхүүгийн өгөөж
FNPV (C)

2. Үйл ажиллагааны ний зардал, орлого

5. Санхүүгийн тогтвортой байдал

4. Санхүүжилтийн эх үүсвэр

6. Хөрөнгийн санхүүгийн өгөөж FNPV (K)

Зураг 2.1 Санхүүгийн шинжилгээний бүтэц
FNPV (C)

Тогтвортой байдал
(Sustainability)

Газар

-

-

Барилга, байгууламж

-

-

Тоног төхөөрөмж

-

-

Онцгой засвар үйлчилгээ*

-

-

Тусгай зөвшөөрөл

-

-

Оюуны өмч

-

-

Үйлдвэрлэлийн өмнөх бусад зардал

-

-

Хөдлөх хөрөнгийн өөрчлөлт

- (+)

- (+)

Үлдэгдэл үнэ (Residual value)*

+

FNPV (K)

Хөрөнгө оруулалтын нийт зардал

+

Үйл ажиллагааны нийт зардал
Бараа, түүхий эд

-

-

-

Ажиллах хүч

-

-

-

Цахилгаан

-

-

-

Засвар үйлчилгээ

-

-

-

Бусад зардал

-

-

Хүүгийн төлбөр

-

-

Зээлийн төлбөр

-

Захиргааны зардал

Татвар
Үйл ажиллагааны нийт орлого
Орлого Х

+

17

+

+
Орлого Ү

+

+

+

Хөрөнгийн эх үүсвэр
Орон нутгийн дэмжлэг

+

Төсөв

+

-

Үндэсний хувийн хөрөнгө оруулалт

+

-

Зээл

+

Тусламж

+

Бусад

+

Зураг 2.2 Санхүүгийн шинжилгээний ерөнхий загвар
2.4.1 Хөрөнгө оруулалтын нийт зардал
Санхүүгийн шинжилгээний эхний алхам нь хөрөнгө оруулалтын нийт зардлын тооцоолол болно.
Ихэнхи дэд бүтцийн төслүүдийн хувьд 20 жилээр тооцоолдог бол үйлдвэрлэлийн төслийг 10
жилээр таамагладаг.
Төслүүд /салбараар/

Жил

Эрчим хүч

25

Байгаль орчин, ус

30

Төмөр зам

30

Авто зам

25

Нисэх буудал

25

Цахилгаан холбоо

15

Үйлдвэрлэл

10

Бусад үйлчилгээ

15

Жилийг тодорхойлсны дараа хөрөнгө оруулалтын зардлыг дараахь байдлаар ангилна (Хүснэгт 2.3г харах). Үүнд:
- Үндсэн хөрөнгийн хөрөнгө оруулалт (fixed investment);
- Эхлэлтийн зардал;
- Эргэлтийн хөрөнгөд (working capital) орох өөрчлөлт;
2.4.1.1 Үндсэн хөрөнгийн хөрөнгө оруулалт
Хөрөнгө оруулалтын нийт зардлын дийлэнхи хэсгийг бүрдүүлдэг үндсэн хөрөнгийн хөрөнгө
оруулалтын талаархи мэдээллийг төслийн ТЭЗҮ-ийн судалгаанаас авна. Үндсэн хөрөнгийн дансны
үлдэгдэл үнийг (residual value) хамгийн сүүлийн жилийн үндсэн хөрөнгийн хөрөнгө оруулалтын
зардлын дансанд эерэг тэмдэгтэйгээр буюу орлогоор (гарах бус орж ирэх мөнгөн урсгал) бүртгэнэ.

18
2.4.1.2 Эхлэлтийн зардал
Төслийг эхлүүлэхтэй холбоотой зардлыг хөрөнгө оруулалтын нийт зардалд оруулж тооцоолно. Энэ
төрлийн зардалд судалгаа (ТЭЗҮ), зөвлөх үйлчилгээ, тусгай зөвшөөрөл, сургалт, хувьцаа
арилжаалах зэрэг үйл ажиллагаатай холбоотой гэх мэт зардлууд хамаарна.
2.4.1.3 Эргэлтийн хөрөнгөд орох өөрчлөлт
Зарим төслийн хувьд (үйлдвэрлэлийн салбар) урсгал зардлын хөрөнгө оруулалтад эзлэх хувь
өндөр байдаг. Эргэлтийн хөрөнгийн дүнгээс урсгал зардлыг хасж цэвэр эргэлтийн хөрөнгийг
тодорхойлж болох бөгөөд энэ нь тухайн жилийн хөрөнгө оруулалтын урсгал зардлыг харуулна.
Эргэлтийн хөрөнгө:
- Авлага;
- Бараа, түүхий эд;
- Бэлэн мөнгө;
Урсгал зардалд богино хугацаатай өр төлбөр хамаарна.
2.4.2 Үйл ажиллагааны нийт орлого, зардал
Үйл ажиллагааны нийт орлого, зардлыг тодорхойлох нь санхүүгийн шинжилгээ хийх 2 дахь алхам
болно.
2.4.2.1 Үйл ажиллагааны зардал
Худалдан авахаар төлөвлөгдөж буй бараа, үйлчилгээний өртгийг үйл ажиллагааны зардал гэнэ.
Бараа үйлчилгээ нь тухайн санхүүгийн жилд хэрэглэгддэг учраас хөрөнгө оруулалтын шинж
чанаргүй.
-

Үйлдвэрлэлийн шууд зардал (бараа үйлчилгээний хэрэглээ, ажиллах хүч, засвар үйлчилгээ,
бусад үйлдвэрлэлийн зардал);
- Захиргааны болон бусад зардал;
- Борлуулалт, түгээлтийн зардал;
Эдгээр бүрэлдэхүүн хэсгүүдийн нийлбэр нь үйл ажиллагааны зардлын дийлэнхи хэсгийг
бүрдүүлдэг.
Харин хямдруулсан мөнгөн урсгалын аргачлалтай нийцэхгүй тул дараахь зардлуудыг оруулж
тооцоолохгүй. Үүнд:
- Элэгдэл (depreciation) (бодит мөнгөн гүйлгээ биш);
- Ирээдүйн зардлыг нөхөх нөөц сан (бараа, үйлчилгээний бодит хэрэглээ биш);
- Эрсдлийн сан;
Хүүгийн төлбөрийг хөрөнгө оруулалтын гүйцэтгэлийг (the performance of the investment FNPV(C))
тооцоолоход оруулж тооцдоггүй бол хөрөнгийн өгөөжийн шинжилгээнд (the return on capital
FNPV(K)) хамруулдаг. Татварыг санхүүгийн шинжилгээнд хамруулдаг боловч хөрөнгө оруулалт
болон хөрөнгийн өгөөжийн тооцоололд (FNPV(C) and FNPV(K)) оруулдаггүй.
2.4.2.2 Үйл ажиллагааны орлого
Хөрөнгө оруулалтын төсөл нь бараа, үйлчилгээний борлуулалтаас (ус, цахилгаан, замын хураамж
гэх мэт) орлого олж болно. Ирээдүйн орлогыг тооцоолхын тулд нийлүүлэхээр төлөвлөж буй
бүтээгдэхүүн, үйлчилгээг борлуулалтын үнээр үржүүлнэ.
Ирээдүйн орлогыг тооцоолохдоо дараахь зүйлийг харгалзахгүй. Үүнд:
-

Шилжүүлэг, татаас;
НӨАТ болон бусад шимтгэл хураамж. Эдгээр нь эргээд төсвийн орлого болдог.

19
2.4.3 Хөрөнгө оруулалтын санхүүгийн өгөөж
Хөрөнгө оруулалтын санхүүгийн өгөөжийн тооцоолол нь хөрөнгө оруулалтын зардал, үйл
ажиллагааны орлого, зарлагын талаархи мэдээллийг нэгтгэсний дараахь санхүүгийн шинжилгээ
болно.
Төслийн санхүүгийн гүйцэтгэлийг хэмжих үзүүлэлтүүд:
- Төслийн санхүүгийн өнөөгийн цэвэр үнэ цэнэ (FNPV);
- Санхүүгийн дотоод өгөөж (FRR);

FNPV нь тэгтэй тэнцэх нөхцлийг хангах хямдруулалтын хувийг (discount rate) төслийн санхүүгийн
өгөөжийн дотоод хувь гэнэ.
FNPV = ∑ [St / (1+FRR) t] = 0;

Илүү нарийвчилбал хөрөнгө оруулалтын санхүүгийн өнөөгийн цэвэр үнэ цэнэ (FNPV(C)) болон
өгөөжийн хувь нь (FRR(C)) хөрөнгө оруулалтын гүйцэтгэлийг (санхүүжилтийн эх үүсвэрээс
хамааралгүйгээр) хэмждэг. FNPV(C) нь мөнгөний нэгжээр илэрхийлэгдэх бөгөөд төслийн цар
хүрээнээс хамаардаг бол FRR(C) нь абсолут тоо бөгөөд төслийн цар хүрээнээс хамаарахгүй.
Санхүүгийн дотоод өгөөж нь төслийн үнэ цэнийн талаар бага мэдээлэл агуулдаг тул санхүүгийн
өнөөгийн цэвэр үнийг илүүтэйгээр өргөн хэрэглэдэг. (Хавсралт C-ээс нэмэлт мэдээллийг харах).

Төслийн үнэлгээч нь хөрөнгө оруулалтын ирээдүйн гүйцэтгэлийг бусад төслүүдтэй харьцуулахад
санхүүгийн өгөөжийн хувийг буюу FRR(C)-г хэрэглэдэг. Төслийн хөрөнгө оруулалтыг төсвийн
хөрөнгөөр санхүүжүүлэх эсэх шийдвэрийг гаргахад энэ тооцооллыг хэрэглэдэг. Өөрөөр хэлбэл
FRR(C) нь хэрэглэгдэж буй суурь хүүнээс (discount rate) бага эсвэл FNPV(C) нь сөрөг үзүүлэлттэй

20
тохиолдолд төслийн орлого нь зарлагаасаа бага байх учраас төсвийн санхүүжилт шаардагддаг.
Салбарын үнэ, тарифын бодлогоос хамаарч энэ нь дэд бүтцийн төслүүдэд илүү хамааралтай
байдаг.

2.4.4 Санхүүжилтийн эх үүсвэр
Төслийн нийт санхүүжилтийг тооцоолохын тулд төслийн санхүүгийн эх үүсвэрүүдийг төрөлжүүлэх
нь санхүүгийн шинжилгээний 4 дэх алхам болно. Үүнд:
-

Төсвийн санхүүжилт;
Үндэсний хувийн хөрөнгө оруулалт (жишээ нь ТХХТ дэх хувийн хөрөнгө);
Буцалтгүй тусламж;
Гадаадын хөнгөлттэй зээл;
Бусад эх үүсвэр (жишээ нь гадаад дотоодын арилжааны зээлийн эх үүсвэр);

Шигтгээ: Төр ба Хувийн хэвшлийн Түншлэл (ТХХТ)
Хэрэв хувийн хэвшлийг оролцуулах орон зай байвал ТХХТ нь хөрөнгө оруулалтын төслийг санхүүжүүлэх нэг
чухал хэрэгсэл болдог. Хувийн хөрөнгө оруулагчдын бизнесийн харилцан адилгүй сонирхол, эрсдлийн
талаархи эмээлт нь хувийн хөрөнгө оруулагчдыг татахад тулгардаг нэг томоохон саад болдог боловч
урамшууллын болзолтойгоор тэднийг хөрөнгө оруулалтын санхүүжилтэд идэвхитэй оролцуулах бололцоотой
байдаг. Гэхдээ төрөөс шударга өрсөлдөөн, зах зээлд чөлөөтэй нэвтрэх, зохистой үнэ тариф зэрэг олон
нийтийн сонирхлыг төслийн бүх үе шатанд хамгаална.
Төслийн онцлогоос хамаарч ТХХТ-ийн олон хэлбэрүүд байдаг. Төслийн зөвшөөрөгдсөн зардалд шууд
нөлөөлөх учраас ТХХТ-ын эрх зүйн тогтолцоонд онцгой анхаарал хандуулах шаардлагатай. Жишээ нь хувийн
хэвшил дэх харьцангуй өндөр алдагдсан бололцооны зардлыг (opportunity cost) харгалзсаны үндсэн дээр
санхүүгийн шинжилгээнд хэрэглэгдэх санхүүгийн хямдруулалтын хувийг (financial discount rate) өндөрсгөж
болно. ТХХТ-ын хүрээнд төрийн түнш нь тухайн дэд бүтцийн төслийн өмчлөгч (ихэнхи тохиолдолд) боловч
оператор нь хувийн хэвшлийн төлөөлөгч байдаг. Иймд зардал ба өртгийг давхар тооцоолох алдаанаас
зайлсхийх үүднээс санхүүгийн шинжилгээг дан ганц дэд бүтцийн өмчлөгчийн зүгээс бус 2 талыг оролцуулсан
нэгдсэн санхүүгийн шинжилгээнд хамруулна.
(ТХХТ-ийн талаархи дэлгэрэнгүй мэдээллийн хавсралт G-ээс харна уу)

21
2.4.5 Санхүүгийн тогтвортой байдал
Хэрэв хөрөнгө оруулалтын зардал, үйл ажиллагааны орлого, зардал болон санхүүжилтийн эх
үүсвэрийг тодорхойлсон бол одоо төслийн санхүүгийн чадамжийг тодорхойлох бололцоотой болж
байна.
Хэрэв төсөл нь ирээдүйд бэлэн мөнгөний хомсдолд орох эрсдэл байхгүй бол төслийг санхүүгийн
хувьд чадамжтай гэж үзнэ. Өөрөөр хэлбэл хэрэв төслийн он дамжсан хуримтлалаар бий болсон
мөнгөн урсгалын нийлбэр нь төслийн ашиглалтын бүх жилүүдэд эерэг үзүүлэлттэй бол төслийг
санхүүгийн чадамжтай гэж үзнэ.

22
2.4.6 Хөрөнгийн санхүүгийн өгөөж
Төсөл хэрэгжүүлэгчийн санхүүгийн гүйцэтгэлийг тодорхойлох нь хөрөнгийн санхүүгийн өгөөжийн
тооцооллын зорилт болдог. Хөрөнгө оруулалтын төслийн хэрэгжилтээс үүдэн төсөл хэрэгжүүлэгчид
орж ирэх хямдруулсан цэвэр мөнгөн урсгалын нийлбэрийг хөрөнгийн санхүүгийн өнөөгийн цэвэр
үнэ цэнэ (FNPV(K)) гэнэ. Харин хөрөнгийн санхүүгийн өгөөжийн хувь (FRR(K)) нь тухайн төсөл
хэрэгжүүлэгчдэд (төр болон хувийн хэвшлийг дамнасан) ногдох өгөөжийг тодорхойлдог.

23
2.5 Эдийн засгийн шинжилгээ (Economic analysis)
Улс, бүс нутгийн эдийн засгийн хөгжилд оруулах төслийн хувь нэмрийг эдийн засгийн
шинжилгээгээр үнэлдэг. Харин санхүүгийн шинжилгээ нь тухайн төслөөс хөрөнгө оруулагч буюу
төслийн өмчлөгчид хамаарах төслийн гүйцэтгэлийг үнэлдэг. Гажуудалтай үнэ бус харин нийгмийн
алдагдсан бололцооны өртөг (social opportunity cost) дээр суурилсан нягтлан бодох бүртгэлийн
сүүдрийн үнийг (accounting shadow price) хэрэглэх нь энэ үнэлгээний үндсэн асуулга болдог.
Нийгмийн үйлчилгээ үзүүлэх нь чөлөөт зах зээлийн хувьд ашиггүй учраас нийгэмд хандсан зарим
үнэ өртөг нь нийгмийн бодит үнийг (жишээ нь нийгмийн алдагдсан бололцооны зардал буюу social
opportunity cost) бүрэн илэрхийлдэггүй. Жишээ нь монопол, олигопол зах зээл, худалдааны саад нь
бодит үнэ, өртгийг илэрхийлдэггүй. Төгс бус зах зээлийн болон төрийн үйлчилгээний бодлогын үнэ,

24
тариф нь алдагдсан бололцооны өртөгтэй бүрэн нийцдэггүй. Иймд төслийн санхүүгийн үнэлгээ нь
хөгжлийн хэмжүүрийн талаар буруу ойлголтод хүргэдэг.
Иймд орц, гарцын (input and output) нийгмийн алдагдсан бололцооны зардлыг үнэн зөв тусгахгүй
байгаа зах зээлийн үнийг зохих шилжүүлгийн аргаар нягтлан бодох бүртгэлийн үнэд шилжүүлдэг.
(2.5.1-ийг харах).
Зарим тохиолдолд төслийн орлого, зардлыг зах зээлийн үнээр илэрхийлэх бололцоогүй байж
болно. Жишээ нь төслийн зорилтод хүрэхэд харгалзах шаардлагатай хүчин зүйлүүд болох төслөөс
байгаль орчин, нийгэм ба хүн амын эрүүл мэндэд үзүүлэх нөлөөллийг төслийн үнэлгээнд оруулах
хэрэгцээ тулгардаг.
Зах эээлийн үнэлгээгүй нөлөөллийн хүчин зүйлсийг мөнгөн дүнгээр илэрхийлэх аргачлалууд
байдаг бөгөөд аль аргачлалын сонголт нь тухайн хүчин зүйлсийн онцлог, мөн чанараас хамаардаг.
Энэ зааварт тайлбарласан санхүүгийн шинжилгээнээс эдийн засгийн шинжилгээнд шилжих
шилжилт нь олон улсын тэргүүн туршлагатай нийцсэн стандард аргачлал дээр суурилсан болно.
Нийгмийн орлого, зардлыг тусгасан шинэ данс үүсгэхийн тулд орох, гарах урсгал бүрд
шилжүүлгийн аргыг хэрэглэдэг (Зураг 2.3).
Аргачлал нь 5 үе шатаас бүрдэнэ. Үүнд:
Зах зээлийн үнийг дансны үнэд шилжүүлэх;
Зах зээлийн бус нөлөөллийг мөнгөн дүнгээр илэрхийлэх;
Нэмэлт шууд бус нөлөөллийг үнэлгээнд хамруулах;
Таамагласан орлого, зардлыг хямдруулах;
Эдийн засгийн гүйцэтгэлийн үзүүлэлтийг тооцоолох (эдийн засгийн өнөөгийн цэвэр үнэ
цэнэ, эдийн засгийн өгөөжийн хувь, орлого ба зардлын харьцаа (B/C ratio);
Энэ бүлгийн үлдсэн хэсэгт дээрхи 5 үе шатыг тайлбарлахын зэрэгцээ дараахь сэдвүүдийг
тодруулна. Үүнд:






Стандард шилжүүлгийн фактор (standard conversion factor);
Сүүдрийн ханш (the shadow exchange rate);
Төсвийн сангийн маргинал өртөг;
Сүүдрийн цалин;
Нийгмийн хямдруулалтын хувь (the social discount rate, хавсралт B-г харах);

Шигтгээ:
Зардал
ба
орлогын
шинжилгээний
Хэсэгчилсэн ба ерөнхий тэнцвэрийн аргачлалууд

(CBA)

онолын

тухай

товч

тайлбар:

Олон улсын байгууллагуудын санаачилгаар 1970-аад онд хийгдсэн судалгаанууд CBA-ийн өөр хувилбарыг
санал болгосон. Ялангуяа зах зээлийн үнийн гажуудал, төрийн оролцоо ихтэй бага хөгжилдтэй орнуудад CBAийн хэсэгчилсэн тэнцвэрчлэлийн аргачлал тохиромжгүй гэсэн дүгнэлтийг судлаачид тогтоосон ба тэд
төслүүдийн нийгмийн сүүдрийн үр ашгийг (shadow social profits of projects) тооцоолоход хэд хэдэн “сүүдрийн
үнийг” (shadow prices) хэрэглэхийг санал болгосон. Сүүдрийн үр ашиг буюу эдийн засгийн үр ашиг нь шууд
болон шууд бус бүх нөлөөллийг хамруулсан аргачлалаар тодорхойлогдсон ерөнхий тэнцвэрийн хэмжүүрүүд
болдог. Өөрөөр хэлбэл хэрэв төслийн хувьд сүүдрийн үнээр тооцоолсон өнөөгийн цэвэр үнэ нь эерэг бол
төсөл нь нийгмийн хөгжил, амжиргааны төвшинг дээшлүүлнэ.
Мэдээллийн хомсдол нь эдийн засгийн ерөнхий тэнцвэрчлэлийн аргаар сүүдрийн үнийг тооцоолоход
бэрхшээл учруулдаг тул тооцоололд зарим хялбарчилсан аргыг хэрэглэдгээс өргөнөөр худалдаалдаг барааны
хувьд “хилийн үнийн журам”, өргөн худалдаалдаггүй барааны хувьд “урт хугацааны доод өртгийн доод
хязгаарын журам” нь (long rum marginal cost rule) хамгийн түгээмэл тархсан. Ер нь зардал ба орлогын
шинжилгээ нь мэдээллийн дутагдалтай байнга тулгардаг бөгөөд хэсэгчилсэн ба ерөнхий тэнцвэрчлэлийн
аргачлалын алийг сонгох нь тухайн үнэлгээчний сонирхлоос хамаардаг.
Өнөөдөр зардал ба орлогын шинжилгээ нь хоорондоо их ба бага хэмжэгээр хамааралтай салбаруудын
(ялангуяа, дэд бүтэц, байгаль орчин, эрүүл мэнд) төвшинд өөрийн түүх, хэв маягтай олон төрөл, хэлбэрээр

25
хөгжиж байгаа бөгөөд төслийн үнэлгээнд хэсэгчилсэн ба ерөнхий тэнцвэрчлэлийн аргачлалуудын холимог
хувилбарыг хэрэглэж байна.
Энэ заавар нь сүүдрийн үнэ ба шилжүүлгийн фактор дээр суурилсан ерөнхий тэнцвэрчлэлийн аргачлалыг
санал болгож байна. Хэрэв салбарын шилжүүлгийн факторыг хэрэглэх бололцоогүй эсвэл шилжүүлгийн
фактор нь цөөн тооны тодорхой салбаруудад хамаарч байвал өөр өөр аргачлалыг хэрэглэж болно.
Гуравдугаар бүлэгт стандард хэсэгчилсэн тэнцвэрчлэлийн аргачлал (тээвэр) болон сүүдрийн үнэд (ус
хангамж, үйлдвэрлэл) суурилсан практик жишээг танилцуулна.

2.5.1 Зах зээлийн үнийг дансны үнэд шилжүүлэх
Хөрөнгө оруулалтын нийгмийн үнэ цэнийг тодорхойлох нь зардал ба орлогын шинжилгээний (CBA)
зорилго болно.
Зах зээлийн эсвэл засгийн газраас тогтоосон үнэ нь орц, гарцын нийгмийн алдагдсан бололцооны
өртгийг бодитойгоор илэрхийлдэггүй.
-

Бүтээмж өндөр биш зах зээлээс хамаарч орц, гарцын бодит үнэ гажуудсан байдаг.
Засгийн газраас тогтоосон нийтийн бараа, үйлчилгээний үнэ, тариф нь бодит өртгийг
тусгадаггүй.

26
Жишээ: Үнийн гажуудал
Үйлдвэрлэлийн паркийн төсөл. Төсөлд төрийн байгууллагаас үнэгүй олгосон газар. Өөр тохиолдолд газраас
ашиг олох бололцоотой байсан.
Маш бага тарифтай (төрийн татаастай) уснаас хамаарах газар тариалангийн төсөл. Бүтээгдэхүүний үнэ нь
төрийн бодлогоос хамаардаг.
Төрийн зохицуулалттай эрчим хүчний нийлүүлэлтээс хамаарах төсөл. Тариф нь урт хугацааны өртгөөс хямд.
Орц нь үнийн өндөр гажуудалд өртөх бүр нөөцийн нийгмийн алдагдсан бололцооны зардлыг илүү сайн тусгах
үүднээс төсөл санал болгогч нь дансны буюу сүүдрийн үнийг төслийн үнэлгээнд хэрэглэнэ.(2.4 дүгээр зургыг
харах)
Макро эдийн засгийн мөн чанартай учраас улсын ач холбогдолтой зарим зардал ба орлогын
шинжилгээний параметрийг Хороо тогтооно.
Экспорт, импортын үнэ дээр суурилж стандард шилжүүлгийн факторын дүнг таамагладаг. Хорооноос
шилжүүлгийн фаторыг санал болгоогүй бол стандард шилжүүлгийн фактор нэгтэй тэнцүү (standard conversion
factor (SCF); SCF=1) гэсэн зарчмыг баримтална.

Жишээ: Стандард шилжүүлгийн факторыг тооцоолох

27
Стандард шилжүүлгийн факторыг тооцоолох жишээ (сая евро):
1) нийт импорт (M) M = 2000;
2) нийт экспорт (X) X = 1500;
3) импортын татвар (Tm) Tm = 900;
4) экспортын татвар (Tx) Tx = 25;
Стандард шилжүүлгийн факторыг (SCF) тооцоолох томьѐо:
SCF = (M + X) / [(M + Tm) + (X - Tx)]
SCF = 0.8.
Худалдааны саад, үйлчилгээний салбарын зохицуулалт, салбар дамнасан харилцан адилгүй татварын
төвшнөөс хамаарч практикт тооцоолол нь илүү цогц байдаг.

Ажигласан үнэ болон дараахь жишиг үнийн хоорондын зөрүү нь төслийн нийгмийн өртөгт яаж
нөлөөлж байгааг хянамгай үнэлэх нь төслийн шинжээчийн үүрэг юм. Үүнд:
Орон нутгийн тээврийн үйлчилгээ зэрэг олон улсад арилжигдахгүй бараа/үйлчилгээний
өөрийн өртөг;
Үр тариа, эрчим хүч, үйлдвэрлэлийн бараа зэрэг олон улсад арилжигдах барааны хилийн
үнэ.
Арилжигддаггүй бараа/үйлчилгээний хувьд: Арилжигддаггүй бага дүнтэй бараа болон тусгай
шилжүүлгийн факторгүй бараанд стандард шилжүүлгийн факторыг харин арилжигдаггүй томоохон
бараанд салбарын тусгай шилжүүлгийн факторыг (урт хугацааны өртөг буюу төлөх-эрмэлзэл дээр
суурилсан ) хэрэглэнэ.
Жишээ: Салбарын тусгай шилжүүлгийн фактор
Газар. SCF нь 0.8. Зах зээлийн үнийн 50 хувьтай тэнцэх хямдруулсан үнэтэй газрыг Засгийн газар олгов.
Зах зээлийн нөхцөлд газрыг зарах үнэ нь худалдан авсан үнээс 2 дахин өндөр байна. Тусгай шилжүүлгийн
фактор байхгүй учраас зах зээлийн үнийг хилийн үнэд шилжүүлэх шилжүүлгийн фактор нь стандард
шилжүүлгийн фактор байна.
Газрын шилжүүлгийн фактор: CF = 2 * 0.8 = 1.60.
Барилга. Нийт өртгийн 30 хувь нь мэргэжлийн бус-ажиллах хүч (CF нь 0.48), 40% нь 23%-ийн импортын
тарифтай, 10%-ийн борлуултын тарифтай импортын бараа, 20% нь дотоодын бараа ( тусгай CF=0.8), 10% нь
ашгаас (CF=0) тус тус бүрдэнэ.
Шилжүүлгийн фактор: (0.3*0.48)+(0.4*0.75)+(0.2*0.8)+(0.1*0) = 0.60.
Тоног төхөөрөмж. Импортын татваргүй. (CF=1).
Бараа, түүхий эд. Зөвхөн нэг төрлийн материал хэрэглэнэ гэвэл; Бараа татваргүй бөгөөд зах зээлийн үнэ нь
FOB-той тэнцүү бол CF=1.
Гарц (Output). Төсөл нь импортын бараа A ба арилжигддаггүй завсрын бараа болох Б гэсэн 2 төрлийн бараа
нийлүүлнэ. Дотоодын компаниудыг хамгаалах үүднээс Засгийн газар А-д 33%-ийн импортын татвар
ногдуулсан. А-ийн CF нь 100/133 = 0.75. Б-ийн хувьд тусгай шилжүүлгийн фактор (SCF) нь 0.8.
Түүхий эд. Гажуудал бага бол CF=1.

28
Импортолсон завсарын түүхий эд нь татвар болон тарифгүй. CF=1.
Цахилгаан. Тариф нь цахилгаан үйлдвэрлэх өртгийн 40%-тай тэнцүү. Өртгийн задаргаагүй бөгөөд цахилгаан
үйлдвэрлэх бүрдэл хэсэг бүрийн олон улсын болон дотоодын үнийн зөрүү нь SCF-д хамаарагдах бүх бараа
хоорондын үнийн зөрүүтэй тэнцэнэ.
CF = 1/0.4 * 0.8 = 2.
Мэргэжлийн ажиллах хүч. Зах зээл гажаагүй. Зах зээлийн цалин хөлс нь эдийн засгийн алдагдсан
бололцооны өртгийг харуулна.
Мэргэжлийн бус ажиллах хүч. Нийлүүлэлт нь эрэлтээсээ илүү боловч нэг цагийн ажлын доод хөлс 5 евро.
Гэвч сүүлийн ажилтнууд нь 3 еврогийн хөлстэй орон нутгаас ирсэн. Мэргэжлийн бус ажиллах хүчний ажлын
хөлсний 60% нь л алдагдсан бололцооны өртгийг (opportunity cost) харуулна. Мэргэжлийн бус ажиллах хүчний
гүйцэтгэсэн ажлын алдагдсан бололцооны өртгийг хилийн үнэд шилжүүлэхэд SCF-г хэрэглэнэ.
CF = 0.6*0.8 = 0.48.

2.5.1.1 Сүүдрийн үнийн гажуудал
Ялангуяа дэд бүтцийн хөрөнгө оруулалтын хувьд ажиллах хүч нь чухал бүрэлдэхүүн хэсэг болдог.
Зарчмын хувьд цалин хөлс нь ажлын нэг нэгжид ногдох бүтээмж буюу бүтээгдэхүүний нийгмийн үнэ
цэнээр илэрхийлэгддэг. Гэвч бодит байдалд цалин хөлсний гажуудал байнга тохиолддог. Төгс бус
хөдөлмөрийн зах зээл, макро эдийн засгийн тэнцвэргүйжүүлэлт зэрэг хүчин зүйлсээс хамааран
одоогийн цалин хөлс нь хөдөлмөрийн алдагдсан бололцооны өртгийг гажуудуулж болно. Эдгээр
тохиолдолд төсөл санаачлагчийн хувьд шилжүүлгийн факторын туслалцаатайгаар сүүдрийн цалин
хөлсийг тооцоолох хэрэгцээ тулгарна.
Жишээ: Цалин хөлсний гажуудал
-

Зарим бүс нутгийн хөдөлмөр эрхлэлтийг дэмжих төрийн бодлогоос хамаарч хувийн
ААН-ийн хөдөлмөрийн өртөг нь нийгмийн алдагдсан бололцооны өртгөөс бага байж
болно. Мөн хөдөлмөрйин хөлс нь хуулиар тогтоосон цалин хөлсний доод хэмжээнээс
бага байж болно.

-

Макро эдийн засгийн тэнцвэргүйжилт ба цалин хөлсний талаархи уян хатан бус
зохицуулалт.

-

Ажилгүйдлийн өндөр төвшинтэй эдийн засгийн хувьд төслийн ажиллах хүчний
алдагдсан бололцооны өртөг нь тухайн үеийн хөдөлмөрийн хөлсний хувиас бага байх
нь түгээмэл тохиолддог.

29
Сүүдрийн цалин хөлсийг дараахь үзүүлэлтүүдийн жигнэсэн дунджаар тодорхойлно. Үүнд:
-

-

Өмнө ижил төстэй салбарт ажиллаж байсан мэргэжилтэй ба мэргэжилгүй ажиллах хүчний
сүүдрийн цалин хөлс нь зах зээлийн цалин хөлстэй тэнцүү буюу ойролцоо байна.
Төсөл дээр ажиллахын өмнө ажилгүй байсан мэргэжилгүй ажиллах хүчний сүүдрийн хөлс
нь ажилгүйдлийн үед олгох нийгмийн халамжны төвшнөөс багагүй буюу түүнтэй тэнцүү
байна.
Хэвшмэл бус салбараас ирсэн төслийн мэргэжилгүй ажиллах хүчний сүүдрийн цалин хөлс
нь урьд нь эрхэлж байсан цалин хөлстэй тэнцүү байна.

Жин нь ажиллах хүчний дүнтэй шууд хамааралтай байна. Ажилгүйдлийн төвшин өндөр, нийгмийн
халамж бага тохиолдолд сүүдрийн хөлс нь ажилгүйдлийн төвшинтэй урвуу хамааралтай байж
болно.
Хэрэв ажиллах хүчний өртгийг залруулахаас өмнө төсөл нь хүрэлцэхүйц эдийн засгийн өгөөжийн
дотоод хувьтай бол сүүдрийн үнийг нарийвчлан тооцохын тулд ихээхэн цаг хугацаа, хүч зарцуулах
шаардлагагүй.
Гэвч зарим тохиолдолд ажиллах хүчний зүгээс төсөлд үзүүлэх нөлөөллийг няхуур харгалзах
шаардлагатай байдаг. Үүнд:
-

-

Төслийн үр дүнд шинээр нэмэгдэх ажил эрхлэлтийг тооцоолохдоо бусад салбарт үүсэх
хөдөлмөр эрхлэлтийн алдагдлыг харгалзах.
Ялангуяа одоо байгаа байгууламжийн засвар үйлчилгээ нь ажлын байрыг хадгалж үлдэнэ
гэсэн үндэслэлийг зардлын бүтцийн болон өрсөлдөх чадавхийн (төсөлтэй ба төсөлгүй)
шинжилгээгээр тайлбарлах.
Залуучууд, эмэгтэйчүүд болон ажилгүйчүүдийн ажил эрхлэлтийг нэмэгдүүлэхэд чиглэсэн
төслүүдийн хувьд зорилтод бүлгүүдээс үзүүлэх нөлөөллийг тус тусад харгалзан үзэх нь
чухал ач холбогдолтой.

2.5.1.2 Төсвийн залруулга
Санхүүгийн шинжилгээ нь нэг талаар нийгмийн доторхи гишүүдийн хоорондын цэвэр шилжүүлгийг
илэрхийлдэг бол нөгөө талаар эдгээр шилжүүлэг нь эдийн засгийн нөлөөлөлгүй байдаг. Жишээ нь
ААН-ийн улсад төлсөн татварын зарлага нь төсвийн орлогоор бүртгэгдэх бөгөөд эдийн засгийн
балансийн дүнг өөрчлөхгүй.
Шилжүүлэгтэй холбоотой гажуудлыг засах зарим ерөнхий залруулгаас:
-

Зардал ба орлогын шинжилгээнд хамрагдах бүх орц, гарцын (input and output) үнийн
дүнгээс НӨАТ болон бусад шууд бус шимтгэл, хураамжийг хасах.
Зардал ба орлогын шинжилгээнд хамрагдах орц түүний дотор ажиллах хүчний цалин,
хөлсний дүнгээс татвар, хураамжийг хасах.
Төрийн байгууллагаас олгосон татаас нь цэвэр шилжүүлэг бөгөөд эдийн засгийн шинжилгээ
хийхдээ орлогоос хасна (CF=0).

Гэвч зарим тохиолдолд шууд бус татвар, татаас нь гадаад нөлөөллийг залруулах зорилготой
байдаг учраас эдгээр татварыг (татаасыг) төслийн зардал (орлого)-д тооцож болох боловч
үнэлгээчин орц, гарцын дүнг давхардуулахаас сэрэмжлэх шаардлагатай. (Жишээ нь CO2-ийн
татвар болон байгаль орчны нөлөөллийн дүнг үнэлгээнд давхардуулахгүй байх)
ААН-ээс нийлүүлж буй бараа, үйлчилгээний солилцоонд шилжүүлж буй төрийн татаас нь цэвэр
шилжүүлгэ биш бөгөөд эдийн засгийн шинжилгээнд татаасыг орлогоор тооцоолно. Гэхдээ татаас нь
бараа, үйлчилгээний нийгмийн алдагдсан бололцооны өртгийг зөв тусгаж буй эсхийг хянана.
Төслийн орлого нь төсвийн алдагдлыг санхүүжүүлэхэд чиглэгдсэн нэмэлт өр, татварын хэрэгцээг
бууруулах учраас зарим төслөөс төсөвт үзүүлэх нөлөөлөл өндөр байдаг.

30
2.5.2 Зах зээлийн бус нөлөөллийг мөнгөжүүлэх
Нийгэмд ач холбогдолтой боловч зах зээлийн үнэ нь тодорхой бус төслийн нөлөөллийг үнэлэх нь
эдийн засгийн шинжилгээний дараахь үе шатанд хамаарна (Төрөл бүрийн салбар дахь зах зээлийн
нөлөөллийн үнэлгээний талаархи дэлгэрэнгүй мэдээллийг 2.10-аас харна уу).
Төслийн хамгийн их ач холбогдол бүхий зах зээлийн бус үр ашгийг тооцоолохдоо үйл ажиллагааны
орлогыг тооцоход хэрэглэдэг зохих шилжүүлгийн факторыг ашиглана. Хэрэв шилжүүлгийн фактор
тодорхой бус эсвэл төсөл орлогогүй бол хэрэглэгчийн сонирхлыг илэрхийлэх төлөх-сонирхол
(willingness-to-pay (WTP)) аргыг хэрэглэнэ. Хэрэв WTP аргачлал нь зохимжгүй эсвэл бололцоогүй
бол урт хугацааны өөрийн өртгийн аргыг (long-run marginal cost (LRMC)) хэрэглэнэ. Ерөнхийдөө
WTP нь LRMC-ээс өндөр үзүүлэлттэй бөгөөд заримдаа дээрхи 2 үзүүлэлтийн дундаж үзүүлэлт
зохимжтой байдаг.
Сүүдрийн үнийг тодорхойлохдоо WTP/LRMC ба шилжүүлгийн факторын аль нэгийг л ашиглана.
Жишээ нь цахилгааны kWh-н үнэ нь түүний үйлдвэрлэлийн өөрийн өртгөөс бага бол kWh-г
шилжүүлгийн үнээр үржүүлж эсвэл цахилгааны үнийг WTP-ээр орлуулж цахилгааны сүүдрийн үнийг
тодорхойлно.

Хэрэв зах зээлийн бус нөлөөлөл нь үйлдвэрлэгч болон төслийн хэрэглэгчийн хооронд бус харин
гуравдагч талд үйлчилбэл үүнийг гадаад нөлөөлөл гэнэ. Өөрөөр хэлбэл гадаад нөлөөлөл нь нөхөн
төлбөргүйгээр гуравдагч талд хүрч буй аливаа зардал эсвэл үр ашгийг илэрхийлдэг.

Тухайн нөхцөл байдлаас хамаарч гадаад нөлөөллийг төлөх-сонирхол, урт хугцааны өөрийн өртөг,
шилжүүлгийн фактор зэрэг аргуудаар илэрхийлэх хүндрэлтэй байдаг тул гадаад нөлөөллийг хүлээн
зөвшөөрөх-сонирхол зэрэг аргуудаар үнэлдэг. Жишээ нь байгаль орчинд үзүүлэх сөрөг нөлөөллийг
тооцоолох нь хүндрэлтэй бөгөөд энэ тохиолдолд үр ашгийг шилжүүлэх (benefits transfer) аргыг

31
хэрэглэж болно. Хэрэв мэдээллийн дутагдлаас хамаарч үр ашгийг шилжүүлэх аргыг хэрэглэх
бололцоогүй бол байгаль орчны нөлөөллийг чанарын үнэлгээгээр илэрхийлж шийдвэр гаргачдад
илүү бодит мэдээлэл өгнө. Энэ хүрээнд олон шалгуурт шинжилгээ мөн зохимжтой байдаг.
Байгаль орчны нөлөөллийг мөнгөжүүлэх аргачлалын талаархи илүү дэлгэрэнгүй мэдээллийг
хавсралт F-ээс харна уу.
2.5.2.1 Төрийн өмч, хөрөнгийн бүртгэлийн үнэ
Төсөлд хэрэглэгдэх төрийн өмч, хөрөнгийг албан ѐсны нягтлан бодох бүртгэлийн үнээр бус аль
болох алдагдсан бололцооны өртгөөр нь (opportunity cost) үнэлэх зарчмыг баримтална.
2.5.3 Шууд бус нөлөөллийг хамруулах
Хоѐр дахь зах зээл дэх тоо, үнийн өөрчлөлтөөр шууд бус нөлөөллийг тодорхойлно. Зардал ба
орлогын шинжилгээнд шууд бус нөлөөллийг хамруулах эсэх нь хоѐр дахь зах зээлийн онцлогоос
хамаарна. Татвар, төрийн татаас, монопол өрсөлдөөн, гадаад нөлөөлөл зэрэг хүчин зүйлс зах
зээлийг гажуудуудах бөгөөд ийм зах зээлд үнэ нь нийгмийн алдагдсан бололцооны өртөгтэй
тэнцдэггүй.
Хэрэв анхдагч зах зээлд зохих сүүдрийн үнэ өгөгдсөн байвал үр ашигтай хоѐр дахь зах зээл дэх
шууд бус нөлөөллийг төслийн үнэлгээнд хамруулахгүй.
Шууд бус нөлөөллийг хэмжих, үнэлгээнд хамруулах эсэх нь нөхцөл байдал түүний дотор зах
зээлийг гажуудуулах хүчин зүйлсээс хамаарна. Хагас тэнцвэрт орчинд гажуудсан хоѐр дахь зах
зээл дэх шууд бус нөлөөллийг зардал ба орлогын шинжилгээнд хамруулна. Учир нь зөвхөн энэ
төрлийн зах зээлд л нийгэмд сөрөг эсвэл эерэг нөлөөлөл илэрдэг. Жишээ нь хэрэв засгийн газрын
оролцооны дүнд хоѐр дахь зах зээлд тоон өөрчлөлт орсон бол үүнээс үүдэх гажуудлын үр ашиг
эсвэл зардлыг хэмжинэ. Гэвч практикт шууд бус нөлөөллийг тодорхойлох бус түүний хэмжээ, цар
хүрээг тогтоох нь илүү хүндрэлтэй байдаг.
Иймд хэмжих бололцоотой шууд бус нөлөөллийг зардал ба орлогын шинжилгээнд хамруулна. Мөн
сүүдрийн үнийн зөв сонголт, гадаад нөлөөллийн мөнгөжүүлэлт нь шууд бус нөлөөллийг
тооцоолоход хүрэлцээтэй.
Зардал ба орлогын шинжилгээнд ямар үр ашгийг хамруулах нь практикт тэр бүр тодорхой биш
байдаг. Төслийн үнэлгээчний үр ашгийн тооцоолол хийхдээ гаргадаг зарим алдаа, түүнээс
сэргийлэх талаар доорхи жишээн дээр дэлгэрэнгүй тайлбарлья.
Жишээ: Үр ашгийг тооцоолоход гаргадаг алдаанууд
Үр ашгийг давхардуулах. Газрын үнийн өсөлт болон газрын орлогын өнөөгийн үнэ цэнийг давхардуулах бус
зөвхөн нэгийг тооцоолох.
Хоѐрдугаар зэрэглэлийн үр ашгийг тооцоолох. Хэрэв шинэ зам баригдсан бол замын дагуу өргөжих
бизнесийн үйл ажиллагааг үр ашигт тооцож болно. Тэгвэл эдгээр бизнес өөр газраас нүүж ирсэн бол нийгмийн
цэвэр ашиг нь тэгтэй тэнцэнэ.

2.5.4 Нийгмийн хүчин зүйлсийг хямдруулах (дисконтлох)
Хөрөнгө оруулалтын төслийн эдийн засгийн шинжилгээнд хэрэглэгддэг нийгмийн хямдруулалтын
хувь нь (the social discount rate (SDR)) ирээдүйн орлого, зардлыг өнөөдрийнхтэй харьцуулах
нийгмийн үзэл бодлыг илэрхийлдэг. Хөрөнгийн зах зээл сул хөгжсөн бол SDR нь санхүүгийн
хямдруулалтын хувиас ялгаатай байдаг. Хороо бүх төсвийн хөрөнгө оруулалтын төслүүдийн
үнэлгээнд хамаарах Монгол Улсын нийгмийн суурь хүүг тодорхойлж болох бөгөөд энэ хүү нь
Зүүн Европын шилжилтийн эдийн засагтай орнуудын хувьд 5,5 хувьтай тэнцдэг.
2.5.5 Эдийн засгийн гүйцэтгэлийн үзүүлэлтийг тооцоолох

32
Хэрэв үнэ, цалин хөлсний гажуудлыг залруулж, оновчтой нийгмийн хямдруулалтын хувийг сонгосон
бол төслийн эдийн засгийн гүйцэтгэлийг дараахь үзүүлэлтүүдээр тооцоолж болно. Үүнд:
Эдийн засгийн өнөөгийн цэвэр үнэ цэнэ (economic net present value (ENPV)): Дисконтлсон
нийгмийн үр ашиг зардлын хоорондын зөрүү;
Эдийн засгийн өгөөжийн дотоод хувь (economic internal rate of return (ERR)): ENPV тэгтэй
тэнцэх нөхцлийг хангах хувь;
Зардал ба орлогын (B/C) харьцаа буюу эдийн засгийн хямдруулсан орлого ба зардлын
харьцаа;
Шигтгээ: ENPV ба FNPV
FNPV-тэй харьцуулахад ENPV нь төгс бус зах зээлийн үнийн оронд бараа, үйлчилгээний алдагдсан
бололцооны өртөг ба бүртгэлийн үнийг хэрэглэснээр нийгмийн болон байгаль орчны гадаад нөлөөллийг аль
болох өргөнөөр тусгадаг. Эдийн засгийн шинжилгээ нь дан ганц төслийг эзэмшигчийн бус нийгмийн сонирхлыг
илэрхийлдэг. Гадаад нөлөөлөл ба сүүдрийн үнийг тооцоолдог учраас ихэнхи сөрөг санхүүгийн өнөөгийн цэвэр
үнэ цэнэтэй (FNPV(C)) төслүүд эерэг эдийн засгийн өнөөгийн цэвэр үнэ цэнэтэй (ENPV) байдаг.

Харин төсвийн эх үүсвэр хязгаарлагдмал тохиолдолд орлого ба зардлын харьцааны (B/C ratio)
аргачлал нь зохимжтой байдаг (Хавсралт С-г харах).
Зарчмын хувьд эдийн засгийн өгөөж нь нийгмийн хямдруулалтын хувиас бага эсвэл ENPV нь сөрөг
үзүүлэлттэй төслөөс татгалздаг. Гэвч зарим онцгой тохиолдолд мөнгөжүүлээгүй үр ашигтай
төслүүдийг (байгаль орчныг хамгаалах, соѐлын өв гэх мэт) төсвийн хөрөнгөөр санхүүжүүлж болно.

33
2.6 Эрсдлийн үнэлгээ
Төсөл хангалттай гүйцэтгэлд хүрэх магадлалын судалгааг эрсдлийн үнэлгээ гэнэ. Магадлал нь 1
буюу хүлээгдэж буй үр дүнд 100 хувь бүрэн хүрэх, 0 буюу хүлээгдэж буй үр дүнд хүрэхгүй байх
эсвэл дээрхи 2 тооны дундын аль нэг тоон үзүүлэлттэй тэнцдэг.
Эрсдлийн үнэлгээний зөвлөж буй үе шатууд:
-

Мэдрэмжийн шинжилгээ;
Чухал хувьсагчуудын магадлалын тархалт;

34
-

Эрсдлийн шинжилгээ;
Эрсдлийн зөвшөөрөгдөх төвшний үнэлгээ;
Эрсдлээс сэргийлэх;

2.6.1 Мэдрэмжийн шинжилгээ
Мэдрэмжийн шинжилгээ нь төслийн санхүүгийн ба эдийн засгийн гүйцэтгэлд үзүүлэх хамгийн их
нөлөө бүхий загварын чухал параметрүүд буюу хувьсагчуудыг тодорхойлох бололцоог олгодог. Нэг
хувьсагчийн өөрчлөлтөөс IRR буюу NPV-д үзүүлэх нөлөөллийг тодорхойлох замаар шинжилгээг
хийдэг.
Чухал хувьсагчуудыг сонгох шалгуурууд нь тухайн төслөөс хамаарах бөгөөд тухайн төсөл бүрээр
нарийвчлан тодорхойлох шаардлагатай. Хувьсагчийн 1 хувийн өөрчлөлт нь NPV-ийн 1 хувиас
багагүй өөрчлөлтөд авчрах бол тухайн хувьсагчийг чухал хувьсагч гэж үзэх ерөнхий шалгуурыг
баримтална.
Мэдрэмжийн шинжилгээ нь дараахь үе шатуудаас бүрдэнэ. Үүнд:
A. Хувьсагчуудыг тодорхойлох;
B. Хамааралтай хувьсагчуудыг хасах;
C. Уян байдлын шинжилгээ (elasticity analysis);
D. Чухал хувьсагчуудын сонголт;
A. Хүснэгт 2.13-д санхүү, эдийн засгийн шинжилгээнд хамаарах орц, гарцыг тооцоолоход
ашиглагддаг хувьсагчуудыг тодорхойлох жишээнүүдийг харуулав.

B. Хамааралтай хувьсагчууд нь тооцооллыг давхардуулах, үр дүнг гажуудуулахад хүргэдэг.
Хамааралтай хувьсагчуудын хувьд (ажлын бүтээмж, нийт бүтээмж) хамгийн чухлыг сонгоно.
Эсвэл дотоод хамаарлыг арилгах үүднээс загварыг өөрчилнө. Хувьсагчууд нь аль болох
хараат бус хувьсагчууд байна. Түүнчлэн хувьсагчуудыг аль болох саланги хэлбэрээр
судална. Жишээ нь орлого бол нийлмэл хувьсагч бөгөөд түүнийг тоо, үнийн дүнгээр нь тус
тусад нь шинжилнэ.
Уян хатан чанар багатай хувьсагчуудыг сонгох зорилгоор хувьсагчийн нөлөөллийн урьдчилсан
чанарын шинжилгээг хийх нь зохимжтой байдаг (хүснэгт 2.14). Дараа дараагийн тоон шинжилгээг
илүү чухал хувьсагчуудаар хязгаарлана. Чухал хувьсагчуудыг сонгосны дараа тэдгээрийн
нөлөөллийн уян хатан байдлыг тооцоолно. Хувьсагч бүрт их ба бага дүнг ногдуулж, NPV-г дахин
тооцоолно. Хувьсагчуудын нөлөөллийн уян хатан байдал нь шулуун шугамын фүнкц байх баталгаа
байхгүйв Зөрүүг өөр дүнтэй тооцооллоор дахин шалгана (эрэлт ба бүтээмжийн хувьсагчийг зураг
2.3-аас харах).

35
C. Сонголтын дараа цөөн тооны чухал хувьсагчууд үлдэнэ.

Зураг 2.5-д мэдрэмжийн шинжилгээний жишээг харуулав: Ерөнхий шалгуураар бол (хувьсагчийн 1
хувийн өөрчлөлт нь NPV-ийн доод тал нь 1 хувйин өөрчлөлттэй уялдана), эрэлт ба бүтээмж нь
чухал хувьсагчууд байхад цахилгааны өртөг, орцын үнэ нь босго дүнгээс доогуур байна.

2.6.1.1 Сценарийн шинжилгээ
Сценарийн шинжилгээ нь мэдрэмжийн шинжилгээний нэг хувилбар юм. Мэдрэмжийн
шинжилгээгээр чухал хувьсагч бүрийн төслийн санхүү, эдийн засгийн гүйцэтгэлд үзүүлэх
нөлөөллийг судалдаг бол сценарио шинжилгээгээр чухал хувьсагчуудаас бүрдэх багцын зорилтот
үзүүлэлтэд үзүүлэх нөлөөллийг судалдаг. Ялангуяа хувьсагчуудын оптимист ба пессимист
(optimistic or pessimistic) үзүүлэлттэй багцуудыг ашиглах нь өөр өөр бодитой сценарийг харуулах
давуу талтай байдаг (зураг 2.15-г харах). Тархалтын магадлалаар тодорхойлогдсон туйлширсан
дүнг чухал хувьсагчид ногдуулж оптимист ба пессимист сценариог тодорхойлдог. .
Мэдрэмжийн ба сценарио шинжилгээ нь эрсдлийн шинжилгээг орлохгүй бөгөөд эдгээрийг зөвхөн
завсрын үйл явц гэж үзнэ.

36
2.6.2 Чухал хувьсагчуудын магадлалын тархалт
Янз бүрийн үйл явдал тохиох магадлалыг тооцоолдоггүй нь мэдрэмжийн болон сценарийн
шинжилгээний сул талуудад хамаарна. Чухал хувьсагчийн дүнг санаандгүй сонгосон хувиар
өөрчлөх практик нь эдгээр хувьсагчуудын хүлээгдээж буй өөрчлөлттэй шууд хамааралгүй байдаг.
Иймд санхүү, эдийн засгийн хүлээгдэж буй гүйцэтгэлийн хэмжүүрүүдийг тодорхойлохын тулд
хүлээгдэж буй голч дүнгээс тодорхой хувиар зөрөх дүнгээр тодорхойлогдсон магадлалын
тархалтыг чухал хувьсагчуудад ногдуулах нь дараагийн алхам болно.
Чухал хувьсагчид хамаарах магадлалын тархалтыг төрөл бүрийн мэдээллийн эх үүсвэр түүний
дотор туршилтын тоо баримт, ижил төстэй тохиолдлын талаар өгүүлсэн нийтлэл дэх тархалт,
мэргэжилтний зөвлөгөөний тусламжтайгаар тодорхойлж болно. Мэдээж тархалт нь бодитой биш
бол эрсдлийн үнэлгээний дүн нь эргэлзээтэй болно.
2.6.3 Эрсдлийн шинжилгээ
Чухал хувьсагчуудын магадлалын тархалтыг тодорхойлсноор төслийн санхүүгийн өгөөжийн хувь
(FRR) ба өнөөгийн цэвэр үнэ цэнийн (NPV) магадлалын тархалтыг тооцоолох бололцоотой болно.
Энэ зорилгоор харьцангуй хялбар програм дээр суурилсан Monte Carlo-ийн аргыг ашиглах нь
зохимжтой байдаг (Хавсралт H). Тодорхой интервалаас авсан чухал хувьсагчуудын багцуудыг
давтамжтайгаар түүвэрлэх ба эдгээр тохиолдлын түүвэр багцуудаар төслийн гүйцэтгэлийн
хэмжүүрийг (FRR; NPV) тооцоолох үйл явцаас энэ арга бүрддэг. Түүвэрлэх энэ үйл явцыг хэдэн зуу
дахин давтсаны дараа төслийн өгөөжийн тооцооллын урьдчилан тодорхойлсон хэлбэлзлийг
тогтооно.
Хувьсагчийн интервал бүрээр FRR ба NPV-ийн магадлалын тархалт буюу нэгтгэсэн тархалтын
хэлбэрээр үр дүнг илэрхийлэх нь хамгийн зохимжтой арга зам байдаг. Зураг 2.6 ба 2.7-д график
жишээг харуулав.

Нэгдсэн магадлалын муруй нь төслийн эрсдлийг үнэлэх бололцоог олгоно. Жишээ нь Зураг 2.7-д
харуулсан төслийн NPV сөрөг байх магадлал 30 хувьтай байна.

37
2.6.4 Эрсдлийн хүлээн зөвшөөрөгдөх төвшинг үнэлэх
Төслийн үнэлгээний тайланд дурдагдах NPV, IRR нь ихэвчлэн хамгийн их магадлалтай хүлээгдэж
буй дүнг илэрхийлдэг. Иймд төслийг хүлээн зөвшөөрөх шалгуур нь магадлалын тархалт дээр
суурилсан хэмжүүрүүдийн хүлээгдэж буй дүн байх ѐстой.
Жишээ нь төслийн эдийн засгийн өгөөж (ERR) 10%, магадлалын эрсдлийн шинжилгээгээр ERR-ийн
4 ба 10-ын хооронд байх магадлал 70%, 10 ба 13-ын хооронд байх магадлал 30% тус тус бол
төслийн ERR-ийн хүлээгдэж буй дүн нь 8,35 хувьтай [average(4,10)*0.7 + average(10,13)*0.3]
тэнцэнэ.
Нэгтгэж хэлбэл энэ үйл ажиллагаа нь төслийн сонголтыг хийхэд хүлээгдэж буй хамгийн сайн үр
дүнгийн таамаглал бус эрсдэл буюу гүйцэтгэлийг эрсдлээр жигнэсэн хялбар аргыг хэрэглэх
бололцоог олгоно. Иймд зарчмын хувьд, төслийн санхүүжилт авах тухай өргөдөлд төслийн
өгөөжийн хүлээгдэж буй дундаж гүйцэтгэл бус эрсдлээр жигнэсэн хүлээгдэж буй
гүйцэтгэлийг тайлагнана. Шийдвэр гаргахдаа нэг талаар өндөр эрсдэлтэй боловч өндөр нийгмийн
үр ашигтай, нөгөө талаар бага эрсдэлтэй боловч бага нийгмийн үр ашигтай төслүүдийн хооронд
нэгдсэн тохиролцоонд хүрэх нь чухал ач холбогдолтой.
Төр нь олон тооны төслийн эрсдлийг нэгтгэх чадвартай учраас ерөнхийдөө эрсдэлд саармагаар
хандах буюу төвийг сахих хандлагыг зөвлөдөг. Зарим тохиолдолд төслийн шинжээч нь төвийг
сахих байр сууриас хазайж эрсдлийг давууд эсвэл дутууд үзэж болох бөгөөд энэ тохиолдолд байр
сууриа хамгаалсан тодорхой үндэслэлтэй байна. (Жишээ нь харьцангуй бага эдийн засагтай оронд
маш том төсөл хэрэгжүүлэх).
Шигтгээ: Эрсдлээс зайлсхийх буюу болгоомжлох зарчим
Жишээ нь уламжлалт төслүүдтэй харьцуулбал инновацийн төсөл нь харьцангуй өндөр эрсдэлтэй байдаг.
Эдгээр төслийн зорилтот үр дүнд хүрэх магадлал нь 50% бол хүлээгдэж буй нийгмийн үр ашиг нь мөн 2 дахин
багасна. Гэвч инновацийг нэмэлт шагналтайгаар үнэлж түүнд давуу эрх олгохын сацуу эрсдлийг орхигдуулж
болохгүй.
Гэвч байгаль орчин, хүний эрүүл мэндэд сөргөөр нөлөөлөх эрсдэлтэй шинэ технологийг нэвтрүүлэх
төслүүдийн хувьд магадлал, цар хүрээ, учир шалтгааны талаархи шинжлэх ухааны судалгаа байхгүй ч гэсэн
эрсдлээс аль болох зай барих зарчмыг баримталдаг (болгоомжлох зарчим).

2.6.5 Эрсдлээс сэргийлэх
Төслийн дараахь чухал параметрүүдийн таамаглалын талаархи төслийн үнэлгээчдийн хэт их
өөдрөг үзэл нь төслийн үнэлгээний таамаглалын алдааны түгээмэл шалтгаан болдог (хөрөнгө
оруулалтын өртөг, төслийн үргэлжлэх хугацаа, үйл ажиллагааны орлого ба зардал. UK Treasury
Green Book, 2003).

38
Хэт өөдрөг үзэлд олон шалтгааныг хамруулж болох бөгөөд зураг 2.16-д замын төсөлд хамаарах
зарим жишээг харуулав.

Хэт өөдрөг үзлийг саармагжуулах үүднээс зардлыг өсгөх, орлогыг багасгах замаар тохируулга
хийнэ. Мэргэжилтэнтэй зөвлөх, урьд өмнөх ижил төстэй төслүүдийн тоон мэдээллийг ашиглаж
тохируулгыг хийнэ. (Хавсралт H-ийг харах)
Гэвч эдгээр тохиргоо нь эрсдлийн үнэлгээг орлохгүй бөгөөд харин эрсдлийн шинжилгээний илүү
нарийвчилсан суурь болдог. Эрсдлийн шинжилгээ нь эрсдлийг бууруулах стратегийг тодорхойлох
эрсдлийн удирдлагын нөхцөл болно.
2.7 Төслийн үнэлгээний бусад аргачлалууд
Зардал ба орлогын шинжилгээ нь (cost-benefit analysis (CBA)) төсвийн хөрөнгө оруулалтын
төслүүдийн үнэлгээнд хэрэглэгддэг хамгийн өргөн тархсан арга бөгөөд бусад аргачлалууд болох
зардал ба ашигт байдлын шинжилгээ (Cost-Effectiveness Analysis (CEA)), олон шалгуурт шинжилгээ
(Multi-Criteria Analysis (MCA)) ба эдийн засгийн нөлөөллийн шинжилгээ (Economic Impact Analysis
(EIA)) нь CBA-ийг орлох бус харин зардал ба орлогын шинжилгээнд дэмжлэг үзүүлэх түүнийг
хэрэгжүүлэх бололцоогүй бол ойролцоо үзүүлэлтийг тооцоолох үүрэгтэй.
2.7.1 Зардал ба ашигт байдлын шинжилгээ (Cost-effectiveness analysis)
CEA нь өгөгдсөн гарцын төвшинд орцын өнөөгийн цэвэр үнэ цэнэ нь хамгийн бага эсвэл өгөгдсөн
орцын төвшинд гарцын өнөөгийн цэвэр үнэ цэнэ нь хамгийн өндөр төслийг олон хувилбаруудаас
сонгон шалгаруулахад хэрэглэгддэг. Энэ шинжилгээ нь төслийн гарц (output) нь тодорхой бус ч орц
(input буюу зардал) нь тодорхой төслүүдийн хувьд тохиромжтой байдаг. Энэ аргачлалыг эрүүл
мэнд ба байгаль орчныг хамгаалах, боловсрол, судалгаа шинжилгээний төслүүдийн эдийн засгийн
үнэлгээ хийхэд өргөн ашигладаг. Эдгээр төслүүдийн хувьд CEA-ийн хялбар харьцаанууд жишээ нь
эмчлүүлэгч бүрт ногдох судалгааны өртөг, оюутан бүрт ногдох боловсролын зардал, хорт утааны
бууралтын нэгж бүрт ногдох зардлыг хэрэглэдэг. Хэрэв төслийн үр ашгийг дүнгээр буюу тоогоор
илэрхийлэх бололцоотой бол энэ аргачлалын ач холбогдол буурдаг.
Ерөнхийдөө CEA нь дараахь 2 хэлбэрээр илэрхийлэгдсэн нөөцийн оновчтой хуваарилалттай
холбоотой асуудлыг шийдвэрлэдэг. Үүнд:
-

Тодорхой төсөв, төслийн n хувилбарууд өгөгдсөн бол ашиг байдлаар (effectiveness (E))
хэмжигдэх төслийн үр дүнг дээд цэгт хүргэх.
Зорилтот ашигт байдлын төвшин (effectiveness or E) өгөгдсөн бол төслийн зардлыг (C) доод
цэгт хүргэх.

Зардал үр дүнгийн хялбар харьцаануудаар (C/E) хувилбаруудыг харьцуулж болох боловч зөв
харьцуулалт нь өсөж буй зардал ба өсөж буй орлогын харьцаан дээр суурилдаг. Хоорондоо

39
өрсөлдөгч буюу нэг нэгнийгээ үгүйсгэх төслүүдийн хувьд хамгийн бага зардалтай буюу хамгийн
өндөр үр дүнтэй төслийг сонгоход энэ өсөлтийн шинжилгээг хэрэглэдэг.
R = (Ca – Cb) / (Ea – Eb) = ΔC / ΔE; R нь өсөн нэмэгдэх орлогын нэгж бүрт ногдож буй өсөн
нэмэгдэх буй зардлыг тодорхойлно. Энэ тохиолдолд R нь хамгийн бага төслийн хувилбарыг
сонгоно.
Зардлын хэмжүүр нь санхүүгийн шинжилгээтэй ижил бол орлогын хэмжүүр нь сонгосон үр дүнгийн
хэлбэрээс хамаарна. CEA аргачлалд хэрэглэгддэг ашигт байдлын хэмжүүрт жишээ нь наслалтад
нэмэгдсэн жилийн тоо, хөдөлмөрийн чадвараа алдсан хугацааг бууруулсан өдрийн тоо (эрүүл
мэндийг хамгаалах төслүүд), шалгалтын оноо (боловсролын төсөл) багтана.

Практик дээр CEA нь техникийн хувьд үр ашиггүй төслүүдийг хасах бололцоог төслийн үнэлгээчдэд
олгодог. Өөрөөр хэлбэл өсөж буй зардал-ашигт байдлын (ΔC / ΔE) хамгийн бага дүнтэй төслийг
хамгийн түрүүнд хэрэгжүүлж бусад төслүүдийг төсвийн хязгаарт багтаан хэрэгжүүлэх үндсэн
зарчмыг баримтална.
Энэ аргачлалын хувьд олон жилийн хүлээгдэж буй үр дүнг нэгтгэхтэй холбоотой асуудал байдаг.
Учир нь санхүүгийн болон нийгмийн хямдруулалтын хувийн (FDR, SDR) аль нь ч оюунтны тоо, жил,
шалгалтын дүнг хямдруулахад үйлчлэхгүй.
Зардал-ашигт байдлын шинжилгээний хэрэглээ нь хязгаарлагдмал бөгөөд үр дүн нь мөнгөн бус
хэлбэрээр буюу нэг тэнхлэгээр илэрхийлэгдэх төслүүдэд илүү хамааралтай байдаг. Үнэн хэрэгтээ
хэрэв төслийн үр дүнг (жишээ нь статистик наслалтын жилийг дэд бүтцийн болон зарим байгаль
орчны төслийн нийгэмд хамаарах төслийн үр дүнгийн адил) мөнгөжүүлбэл зардал ба орлогын
шинжилгээнд (CBA) эргэж ирнэ.
2.7.2 Олон шалгуурт шинжилгээ (Multi-criteria analysis, MCA)
MCA нь төрөл бүрийн шалгуурууд болон тэдгээрт ногдох жингийн багцаар хувилбаруудыг сонгох
алгоритм шинжилгээ. Зөвхөн нэг шалгууртай (нийгмийн үр ашгийг дээд цэгт хүргэх) зардал ба
орлогын шинжилгээтэй (CBA) харьцуулахад олон шалгуурт шинжилгээ нь (MCA) олон зорилтуудад
хүрэх хэрэгсэл бөгөөд эдгээр зорилтуудын үр дүнг стандард CBA-ийн адил сүүдрийн үнэ, нийгмийн
үр дүнгийн жингээр нэгтгэдэггүй.
MCA-г загварчлах аргуудаас:
-

Зорилтуудыг хэмжигдэх хувьсагчуудаар илэрхийлэх;
Холбогдох ач холбогдлыг нь тусгасан жинг зорилтуудад оноох;

40
-

Оролцогч талуудын үнэлэмжийг тусгасан үнэлгээний шалгуурыг тодорхойлох;
Шалгуур бүрээс үзүүлэх нөлөөллийг харуулсан нөлөөллийн шинжилгээг хийх. Үр дүн нь тоо
эсвэл чанарын хэлбэртэй байж болно.
Сонгосон шалгууруудын хувьд интервенцийн нөлөөллийг таамаглах. Үр дүнг харгалзан
оноо буюу тоон дүнг шалгуур бүрт ногдуулна.
Интервенцэд оролцсон субьектүүдийн нэр томьѐог ба шалгуур бүрт ногдуулсан жинг
тодорхойлох;
Шалгуур бүрийн оноог нэгтгэх (нийлбэр дүн эсвэл шулуун бус томьѐогоор). Үр дүнг бусад
ижил төстэй интервенцийн үр дүнтэй харьцуулна.

Дараа нь төслийн шинжээч дараахь асуултуудыг баталгаажуулна. Үүнд:
- Мөнгөн бус нөлөөллийн таамаглалыг тоон хэлбэрт бодитоор шилжүүлсэн эсэх.
- Стандард зорилтуудын хувьд зардал ба орлогын шинжилгээ хийгдсэн (санхүүгийн ба эдийн
засгийн шинжилгээ).
- Олон шалгуурт шинжилгээний нэмэлт шалгуур үзүүлэлтүүд нь санхүү, эдийн засгийн
үнэлгээнд ихээхэн нөлөөтэй улс төрийн жинтэй бол үр дүнд гарах өөрчлөлтийг
тодорхойлох.
Жишээ: Олон шалгуурт шинжилгээ нь (MCA) байгаль орчны төслийн үнэлгээнд дэмжлэг үзүүлэх
хэрэгсэл болох нь
Хэрэв төслийн зардал, үр ашгийг мөнгөжүүлэх бололцоогүй эсвэл бэрхшээлтэй бол MCA-г хэрэглэдэг. 5
хувийн хямдруулалттай (discount rate) төслийн эдийн засгийн өнөөгийг цэвэр үнэ цэнэ нь хасах нэг сая евро
гэж төсөөлье. Гэвч төсөл нь мөнгөөр илэрхийлэх бололцоогүй байгаль орчинд үзүүлэх маш эерэг нөлөөлөлтэй
гэж төслийн шинжээч үнэлж болно. Жишээ нь төслийн үр дүнд агаарыг бохирдуулагч Z-ийн гаралт жил бүр
10%-иар буурахаар тооцоологджээ.
Тэгвэл дараахь асуултуудад хариулна. Үүнд:
a) Хорт утааны бууралтын физик хэмжүүр нь бодитой эсэх.
b) Нэг сая евро нь хорт утааны 10%-ийн бууралтын хүлээн зөвшөөрч болох үнэ эсэх.
c) Олон улсад хэрэгжсэн ижил төстэй төслүүдэд ногдох жинтэй ийм үнэ дүйцэх эсэх.
Энэ төрлийн ижил төстэй төслүүд олон улсад хэрэгжсэн эсхийг тодруулах шаардлагатай бөгөөд хэрэв нийцэх
жишээний баталгаа байхгүй бол яагаад энэ төслийг санал болгосон тухай тодорхой тайлбарлана.

Хэрэв төслийн үр ашгийг мөнгөн дүнгээр эсвэл физик хэмжүүрээр илэрхийлэх бололцоогүй бол
чанарын шинжилгээг хийнэ.
Чанарын шинжилгээ буюу олон хэмжүүрт шинжилгээний хялбар
хувилбарыг зураг 2.17-д харуулав.

2.7.3 Эдийн засгийн нөлөөллийн шинжилгээ (Economic impact analysis)
Улс, бүс нутгийн нийгэм эдийн засгийн хөгжилд нөлөөлөхүйц маш том төслүүдийн хувьд зардал ба
орлогын шинжилгээнээс гадна макро-эдийн засагт буюу нийгэм эдийн засагт үзүүлэх нөлөөллийг
харуулах эдийн засгийн нөлөөллийн шинжилгээг хийнэ. CBA нь микро эдийн засгийн шинжтэй
бөгөөд нийгэмд үзүүлэх нөлөөллийг эдийн засгийн өнөөгийн цэвэр үнэ цэнэ (ENPV)-ээр
илэрхийлдэг.

41
Энэ төрлийн шинжилгээ нь макро эдийн засгийн үзүүлэлтүүд дээр төвлөрдөг бөгөөд төслөөс эдгээр
үзүүлэлтэд үзүүлэх нөлөөллийг таамагладаг. Бүс нутгийн эдийн засгийн хөгжилд үзүүлэх үр ашиг
дээр үндэслэн төрийн дэмжлэг үзүүлэх эсэх тухай шийдвэрийг эдийн засгийн нөлөөллийн
шинжилгээний үр дүн тодорхойлдог.
Үр дүн нь дараахь ач холбогдолтой. Үүнд:
- Салбарын төвшинд: бодлого тодорхойлох, чухал асуудлуудыг илрүүлэх;
- Макро-эдийн засгийн төвшинд: холбогдох хувь нэмрийг тодорхойлох;
Жишээ нь зорилтот орон нутагт төслөөс үзүүлэх эдийн засгийн нөлөөллийг үнэлэхэд энэ аргыг
хэрэглэдэг. Томоохон төслийн хувьд нийгэм, эдийн засаг, байгаль орчны нөлөөлөл нь харилцан
уялдсан байдаг бөгөөд эдгээр олон төрлийн нөлөөллийг нэгтгэх шаардлагатай.
CBA-д дэмжлэг үзүүлэх зорилгоор EIA нь төслийн хэрэгжилтээс үүдэх макро эдийн засгийн
нөлөөллийн талаархи нэмэлт мэдээллийг (жишээ нь бүс нутгийн худалдааны эргэлтэд үзүүлэх
нөлөө, ДНБ-ий өсөлтөд үзүүлэх нөлөө гэх мэт) нийлүүлнэ.
Жишээ: Эдийн засгийн нөлөөллийн шинжилгээний жишээ
Швед ба Данийг холбосон хоѐр улсын эдийн засаг, соѐлын харилцааг бэхжүүлэх Оерсандын гүүрийн хувьд
зардал-үр ашгийн шинжилгээнээс гадна эдийн засгийн нөлөөллийн шинжилгээ хийгдсэн байдаг. Ялангуяа
төслийг хэрэгжүүлэхээс өмнө бүс нутгийн төвшинд төслөөс үзүүлэх нөлөөллийг үнэлж, тодорхойлсон. Үүнд:
-

Шведийн Сканийн өндөр ажилгүйдлийн төвшин ба Данийн хөдөлмөрийн зах зээл дэх ажиллах хүчний
дутагдлыг харилцан балансжуулах.
Данийн орон сууцны зах зээлийн хомсдлыг Шведийн орон сууцны зах зээлийн харьцангуй хямд үнэ,
илүүдэл нийлүүлэлттэй харилцан балансжуулах.
Хоѐр улсын 3,6 сая хэрэглэгчтэй, 220.000 ААН-ээс бүрдэх дотоодын зах зээлийг хөгжүүлэх.

Төслийн үнэлгээний хяналтын хуудас
АГУУЛГА БА ТӨСЛИЙН ЗОРИЛТУУД





Нийгэм, байгууллага, эдийн засгийн агуулгыг тодорхой тайлбарласан уу? Төсөл нь нийгэм-эдийн
засгийн үзүүлэлтүүдээр илэрхийлсэн тодорхой зорилтуудтай юу?
Төслийг хэрэгжүүлснээр нийгэм эдийн засгийн зорилтуудад хүрэх үү?
Төслөөс үзүүлэх хамгийн чухал нийгэм-эдийн засгийн нөлөөллийг улс, салбар, бүс нутгийн төвшинд
харгалзан үзсэн үү?
Төслийн зорилтууд нь Монгол Улсын Үндэсний Хөгжлийн Цогц Бодлого, МХЗ-ууд болон ЗГ-ын нийгэм
эдийн засгийг хөгжүүлэх хөтөлбөр, бүс нутаг ба салбарын хөгжлийн бодлоготой нийцэж байна уу?

ТӨСЛИЙГ ТОДОРХОЙЛОХ






Төслийн үнэлгээ хийсэн шинжилгээний аргыг сонгосон үндэслэл нь юу вэ?
Шууд бус нөлөөллийг харгалзан үзсэн үү? (зохих сүүдрийн үнээр тэдгээрийн нөлөөллийг оруулаагүй
эсэх)
Сүлжээний нөлөөллийг харгалзан үзсэн үү?
Санхүү, эдийн засгийн тооцоололд хэний зардал, үр ашгийг тооцоолсон бэ?
Төсөлд бүх оролцогч талын сонирхлыг харгалзсан уу?

БОЛОЛЦОО БА СОНГОЛТЫН ШИНЖИЛГЭЭ




Төслийг хэрэгжүүлэх бололцоотой тухай баримт, үндэслэлийг төслийн баримт бичигт хангалттай
тусгасан уу? (техник, технолог, байгууллага, удирдлага, хэрэгжилт, байгалт орчны өнцгөөс гэх мэт)
Төсөлтэй, төсөлгүй гэсэн 2 нөхцөл байдлыг харьцуулах үүднээс “юу ч хийхгүй байх” сценариог (donothing scenario („business as usual‟)) тодорхойлсон уу?
Өргөдөл гаргагч нь төслийн бусад бололцоотой хувилбаруудыг хүрэлцэхүйц төвшинд судалсан уу?
(хамгийн багыг хийх (do-minimum) эсвэл хамгийн багыг хийх хувилбаруудын цөөн тооны сонголтууд
(small number of do-something options))?

42
САНХҮҮГИЙН ШИНЖИЛГЭЭ









Бодит мөнгөн урсгалд хамаарахгүй элэгдэл, нөөц/эрсдлийн сан зэрэг бүртгэлийн үзүүлэлтүүдийг
шинжилгээнээс хассан уу?
Мөнгөн урсгалыг өсөх аргачалын дагуу тодорхйолсон уу?
Суурь хүүг яаж тодорхойлсон бэ? Түүний үндэслэл?
Төслийн үнэлгээнийн жилээр илэрхийлсэн цаг хугацаа нв зөвлөсөн жилээс зөрж байна уу? Тийм бол
үндэслэл нь юу вэ?
Хөрөнгө оруулалтын үлдэгдэл үнийг (residual value) тооцоолсон уу?
Одоогийн үнийг ашигласан бол санхүүгийн суурь хүүг тодорхойлсон уу?
Гол санхүүгийн гүйцэтгэлийн үзүүлэлтүүдийг тооцоолсон уу? (FNPV(C), FRR(C), FNPV(K), FRR(K))
Хэрэв хувийн түншүүд оролцох бол тэдний бизнесийн ашиг хэвийн төвшинд байна уу?

ЭДИЙН ЗАСГИЙН ШИНЖИЛГЭЭ











Орц, гарцын үнээс НӨАТ ба бусад шууд бус татварыг хассан уу?
Орцын үнээс (хөдөлмөрийн хөлс) шууд татварыг хассан уу?
Татаас болон цэвэр шилжүүлгийг орлогоос хассан уу?
Гадаад нөлөөллийг шинжилгээнд хамруулсан уу?
Хэрэглэж буй нөөцийн нийгмийн бололцооны үнийг илүү тусгах сүүдрийн үнийг хэрэглэсэн үү?
Томоохон арилждаггүй бараа/үйлчилгээний хувьд салбарын шилжүүлгийн факторыг ашигласан уу?
Тухайн орон нутгийн хөдөлмөрийн зах зээлийн онцлогыг харуулсан сүүдрийн цалин/хөлсийг сонгосон
уу?
Нийгмийн суурь хүүг сонгосон үндэслэл нь юу вэ?
Эдийн засгийн гүйцэтгэлийн хэмжүүрүүдийг тодорхойлсон уу? (ENPV, ERR and B/C ratio)
Эдийн засгийн өнөөгийн цэвэр үнэ нь эерэг үү?

ЭРСДЛИЙН ҮНЭЛГЭЭ






Чухал хувьсагчуудын сонголт нь санал болгосон уян байдлын босго дүнтэй нийцэж байна уу?
Мэдрэмжийн шинжилгээг хувьсагч бүрээр өөр өөр дүнтэйгээр гүйцэтгэсэн үү?
Төслийн гүйцэтгэлийг үнэлэхдээ хүлээгдэж буй үнийн шалгуурыг хэрэглэсэн үү?
Хэт өөдрөг үзлийн төвшинг доод цэг хүргэх арга замуудыг хэрэглэсэн үү?
Эрсдлийг бууруулах арга хэмжээг тодорхойлсон уу?

ҮНЭЛГЭЭНИЙ БУСАД АРГАЧЛАЛУУД






Хэрэв төслийн томоохон нөлөөллийг мөнгөжүүлхэд бэрхшээлтэй байсан бол нэмэлт шинжилгээ хийх
бусад аргачлалуудыг (CEA, MCA) харгалзсан уу?
Нэмэлт аргачлалыг сонгосон бол тэдгээр нь CEA ба MCA-г хэрэглэх тохиромжтой салбаруудтай
нийцэж байна уу?
CEA буюу зардал-үр бүтээмжийн шинжилгээг хийхдээ өсөлттэй зардал-үр бүтээмжийн харьцааг
ашигласан уу?
Олон шалгуурт шинжилгээг хэрэглэсэн бол сонгосон жин нь нийгэмд үзүүлэх нөлөөллийн ач
холдогдолтой нийцэж байна уу?
Хэрэв төсөл нь макро-эдийн засагт ихээхэн хэмжээгээр нөлөөлөхөөр бол эдийн засгийн нөлөөллийн
шинжилгээ хийх талаар бодсон уу?

43
2.8 ТЕХНИК ЭДИЙН ЗАСГИЙН ҮНДЭСЛЭЛИЙН (ТЭЗҮ) СУДАЛГААНЫ АГУУЛГА
A.1. Удиртгал
1.1. Төслийг дэмжигч/ивээн тэтгэгч болон бусад байгууллагууд
1.2. Үнэлгээний зорилго
1.2.1. Төслийн нэр
1.2.2. Төслийн тухай товч танилцуулга
1.2.2.1. Салбар
1.2.2.2. Байршил
1.2.2.3. Төслийн нөлөөний цар хүрээ (бүс нутаг, үндэсний, олон улсын гэх мэт)
1.3. Ивээн тэтгэгчийн зорилгууд
1.4. Ижил төстэй төслүүдийн өмнөх туршлага
1.5. Үнэлгээний тайлангийн товч танилцуулга
1.5.1. Тайланг бичсэн зохиогчид
1.5.2. Тайлангийн цар хүрээ. Бусад төслүүдтэй холбогдох нь
1.5.3. Төслийн шинжилгээний аргачлал
1.6. Шинжилгээний гол үр дүнгүүд
1.6.1. Санхүүгийн өгөөж
1.6.2. Эдийн засгийн өгөөж
1.6.3. Ажил эрхлэлтэд үзүүлэх нөлөөлөл
1.6.4. Байгаль орчинд үзүүлэх нөлөөлөл
1.6.5. Бусад үр дүн
A.2. Нийгэм-эдийн засгийн агуулга
2.1. Нийгэм-эдийн засгийн гол элементүүд
2.1.1. Газар нутаг, байгаль орчин
2.1.2. Хүн ам
2.1.3. Нийгэм-соѐл, урлаг
2.1.4. Эдийн засаг
2.2. Байгууллага ба Улс төр
2.2.1. Улс төрийн ерөнхий чиг хадлага
2.2.2. Санхүүжилтийн эх үүсвэр (төсөв, орон нутаг, зээл, тусламж, хувийн ...)
2.2.3. Санхүүжилтийн дүн эх үүсвэрээр
2.2.4. Зохицуулалтын хүрээнд хүлээх үүрэг хариуцлага; Төсөлтэй холбоотой шийдвэр гаргах
байгууллагууд; тусгай зөвшөөрөл/лицензүүд ба тэдгээрийн нөхцөл шаардлагууд;
2.2.5. Тусгай зөвшөөрөл/лицензийн хугацаа
A.3. Төслөөс нийлүүлэх бүтээгдэхүүн/үйлчилгээний эрэлт нийлүүлэлт
3.1. Ирээдүйн эрэлтийн гол хүчин зүйлс
3.1.1. Тодорхой цаг хугацааны үед хамаарах төслийн эрэлт хэрэгцээ
3.1.2. Эрэлтийн одоогийн ба ирээдүйн чиг хандлага
3.1.3. Харилцагчийн төрлөөр эрэлтийг ангилах
3.1.4. Худалдан авалтын хэрэгсэл (Means of Purchase or Distribution)
3.1.5. Зах зээлийн судалгаа: Үр дүн
3.2. Өрсөлдөөн
3.2.1. Төстэй бүтээгдэхүүн/үйлчилгээний онцлог шинж тэмдгүүд
3.2.2. Одоо ба ирээдүйн өрсөлдөөний бүтэц
3.2.3. Амжилтын хүчин зүйлс
3.3. Санал болгож буй стратеги
3.3.1. Гарц (Output) буюу бүтээгдэхүүн/үйлчилгээ

44
3.3.2. Үнэ
3.3.3. Идэвхижүүлэлт (Promotion)
3.3.4. Хүргэлт (Distribution)
3.3.5. Маркетинг
3.4. Бололцоотой хэрэглээний хувийн таамаглал (Estimate on the Percentage of Potential Use)
3.4.1. Төслийн борлуулалтын таамаглал
3.4.2. Зах зээлд эзлэх хувь (төрөл бүрийн хэрэгцээг хангах зах зээлийн хувиар)
3.4.3. Таамаглалын гипотез ба хэрэгслүүд
A.4. Технологийн сонголтууд ба үйлдвэрлэлийн төлөвлөгөө
4.1. Ач холбогдол бүхий технологийн хувилбаруудын тухай
4.2. Зохимжтой технологийн сонголт
4.3. Барилга, байгууламжууд
4.4. Үйлдвэрлэлийн физик орц
4.5. Хүний нөөцөд тавигдах шаардлагууд
4.6. Эрчим хүчний шаардлагууд
4.7. Технологийг нийлүүлэгч
4.8. Хөрөнгө оруулалтын өртөг
4.8.1. Төлөвлөлт ба ноу-хау (Know-how)
4.8.2. Барилга
4.8.3. Тоног төхөөрөмж
4.9. Төсөл хэрэгжүүлэх хугацааны үйлдвэрлэлийн төлөвлөгөө
4.10. Гарцын нийлүүлэлт (Combined Output Supply)
4.11. Үйлдвэрлэлийн зохион байгуулалт
A.5. Хүний нөөц
5.1. Зохион байгуулалтын бүтэц
5.2. Ажиллах хүчний жагсаалт, цалин, хөлсний параметрүүд
5.2.1. Удирдах ажилтнууд
5.2.2. Захиргааны ажилтнууд
5.2.3. Техникийн ажилтнууд
5.2.4. Туслах ажилтнууд
5.3. Гадны үйлчилгээ
5.3.1. Захиргааны ажилтнууд
5.3.2. Техникийн ажилтнууд
5.3.3. Бусад
5.4. Сонгон шалгаруулах үйл явц
5.5. Сургалтын үйл явц
5.6. Жилийн зардал (төсөл эхлэхээс өмнө ба дараа)
A.6. Байршил
6.1. Байршилд тавигдах шаардлагууд
6.2. Бусад сонголтууд
6.3. Байршлын сонголт ба түүний онцлог шинж чанарууд
6.3.1. Уур амьсгал, байгаль орчны хүчин зүйлс
6.3.2. Байршил ба газар зүй
6.3.3. Тээвэрлэлт ба харилцаа холбоо
6.3.4. Ус ба цахилгаан эрчим хүчний хангамж
6.3.5. Хаягдал
6.3.6. Засгийн газрын зохицуулалт
6.3.7. Орон нутгийн захиргааны бодлого
6.3.8. Байршлын тухай (Хавсралт)
6.4. Газрын үнэ ба газрыг бэлтгэх өртөг
6.5. Газрын хүрэлцээ
6.6. Дэд бүтцэд тавигдах шаардлагууд
A.7. Хэрэгжилт
7.1. Төслийн мөчлөгүүд, үе шатууд
7.1.1. Төслийн удирдлагыг сонгох

45
7.1.2. Мэдээллийн системийн тодорхойлолт
7.1.3. Ноу-хау ба тоног төрөөрөмж худалдан авах хэлэлцээрүүд
7.1.4. Барилгын төлөвлөлт ба гэрээний хуваарь
7.1.5. Санхүүгийн хэлэлцээрүүд
7.1.6. Газар эзэмших /ашиглах/ эрх ба бусад тусгай зөвшөөрлүүд
7.1.7. Зохион байгуулалтын бүтэц
7.1.8. Ажилтнуудыг сонгон шалгаруулах
7.1.9. Сургалт
7.1.10. Бүтээгдэхүүн/үйлчилгээ нийлүүлэх гэрээнүүд
7.1.11. Бусад гэрээ, хэлэлцээрүүд
7.2. Гол гол мөчлөгүүдийн зураг эсвэл PERT зураг (Bar Graph or PERT chart)
A.8. Санхүүгийн шинжилгээ
8.1. Санхүүгийн шинжилгээний үндсэн таамаглалууд
8.1.1. Цаг хугацааны үе
8.1.2. Төслийн гарц ба орцын үнэ
8.1.3. Бодит санхүүгийн хямдруулалтын хувь (Real Financial Discount Rate)
8.2. Үндсэн хөрөнгийн хөрөнгө оруулалт
8.3. Үйлдвэрлэлийн өмнөх зардал (Expenses before Production)
8.4. Урсгал хөрөнгийн хөрөнгө оруулалт
8.5. Нийт хөрөнгө оруулалт
8.6. Үйл ажиллагааны орлого ба зардал
8.7. Санхүүжилтийн эх үүсвэрүүд
8.8. Санхүүжилтийн төлөвлөгөө (мөнгөн урсгалыг жил бүрээр харуулсан хүснэгт)
8.9. Баланс (хөрөнгө ба өр төлбөр)
8.10. Орлого ба зарлагын тайлан
8.11. Цэвэр мөнгөн урсгалыг тодорхойлох нь
8.11.1. Төслийн хөрөнгө оруулалтын нийт өгөөжийг тооцоолох цэвэр мөнгөн урсгал
8.11.2. Хувь нийлүүлэгчдийн өөрийн хөрөнгийн өгөөжийг тооцоолох цэвэр мөнгөн урсгал (төрийн ба
хувийн өмч)
8.12. Өнөөгийн цэвэр үнэ цэнэ/Дотоод өгөөжийн хувь (Net Present Value/Internal Rate of Return)
A.9. Нийгэм-эдийн засгийн зардал ба үр ашгийн шинжилгээ
9.1. Зардал ба үр ашгийн шинжилгээний бүртгэлийн хямдруулалтын хувь
9.2. Нийгмийн зардлын шинжилгээ
9.2.1. Бүтээгдэхүүн ба үйлчилгээний үнийн хэлбэлзэл
9.2.2. Цалин, хөлсний хэлбэлзэл
9.2.3. Төсвийн аспектүүд
9.2.4. Бусад гадаад орчны зардлууд
9.2.5. Байгаль орчны нөлөөлөл зэрэг мөнгөжүүлээгүй зардлууд
9.3. Нийгмийн үр ашгийн шинжилгээ
9.3.1. Бүтээгдэхүүн/үйлчилгээний үнийн хэлбэлзэл
9.3.2. Нэмэгдэх ажил эрхлэлтийн нийгмийн үр ашиг
9.3.3. Төсвийн аспектүүд
9.3.4. Гадаад үр ашиг
9.3.5. Байгаль орчинд үзүүлэх нөлөө зэрэг мөнгөжүүлээгүй үр ашиг
9.4. Эдийн засгийн өгөөжийн хувь буюу Төслийн өнөөгийн цэвэр үнэ цэнэ
(Economic Rate of Return or Net Present Value of the Project)
9.5. Үнэлгээний бусад шалгуурууд
9.5.1. Улс, бүс нутаг, салбарын хөгжлийн бодлого ба төслийн үр дүнгийн хоорондын уялдаа
9.5.2. Нийгмийн орлогын өсөлт
9.5.3. Бүс нутгуудын эдийн засгийн хөгжлийн ялгааг багасгах нь
9.5.4. Ажил эрхлэлтийн нэмэгдэлт
9.5.5. Байгаль орчинд үзүүлэх эерэг нөлөөлөл
9.5.6. Хөжлийн бодлогын бусад зорилтууд

46
A.10. Эрсдлийн шинжилгээ
10.1. Мэдрэмжийн шинжилгээний тусламжтайгаар чухал хувьсагчуудыг тодорхойлох
10.1.1. Эрэлт ба нийлүүлэлтийн хувьсагчууд
10.1.2. Гарцын хувьсагчууд
10.1.3. Хүний нөөц
10.1.4. Цаг хугацаа ба хэрэгжилтийн хувьсагчууд
10.1.5. Санхүүгийн хувьсагчууд
10.1.6. Эдийн засгийн хувьсагчууд
10.2. Хамгийн сайн ба хамгийн муу сценарийн мэдрэмж

Гуравдугаар Бүлэг
САЛБАРУУДЫН ТӨСЛИЙН ШИНЖИЛГЭЭ

3.1 Зам тээвэр
Энэ бүлэгт зам тээврийн дэд бүтцийг шинээр байгуулах болон засаж сайжруулахтай холбоотой
хөгжлийн хөрөнгө оруулалтыг тухай өгүүлнэ. Санал болгож буй аргачлал нь авто ба төмөр замын
төсөлд илүү төвлөрөх боловч ерөнхий зарчмууд нь тээврийн бусад төрлүүд болох агаарын ба усан
тээвэрт мөн хамаарна.
3.1.1 Тээврийн сүлжээ
3.1.1.1 Төслийн зорилтууд
Зам тээврийн төсөл нь нийгэм-эдийн засгийн дараахь үндсэн зорилтуудтай байдаг. Үүнд:



Судалгааны бүс нутгийн доторхи болон түүний гарах ба орох бараа ба зорчигч тээврийн
нөхцлийг сайжруулах;
Байгаль орчныг хамгаалах, хүн амын амьжиргааны төвшинг дээшлүүлэх;

Илүү нарийвчилбал, тээврийн төслүүд нь дараахь төрлийн тээврийн асуудлуудтай тулгардаг. Үүнд:






Шинээр боломжит холболт буюу зам байгуулснаар замын ачааллыг багасгаж түгжрэлийг
бууруулах;
Тээврийн хурдыг нэмэгдүүлснээр зам тээврийн урсгалын гүйцэтгэлийг сайжруулах;
Аюулгүй байдлын нэмэлт арга хэмжээг хэрэгжүүлснээр зам тээврийн ослын тоог ба үйл
ажиллагааны зардлыг бууруулах;
Зам тээврийн хэрэгцээг өөр төрлийн тээврээр хангах;
Алслагдсан бүс нутгийн иргэдийг зам тээврийн сүлжээнд холбох;

Эхний алхам бол зам тээврийн төслийн үндсэн (ачааллыг бууруулах, өөр хэлбэрт шилжүүлэх)
болон байгаль орчинд хамаарах зорилтуудыг (түлш эрчим хүч хэмнэх, хорт утааг багасгах) бусад
бусад шууд бус зорилтуудаас (бүс нутгийн хөгжил, ажил эрхлэлт гэх мэт) тусад нь тодорхойлно.
Зорилтуудыг тодорхойлсны дараа төслийн тодорхойлолт нь төслийн зорилтуудтай нийцэж буй
эсхийг хянана.
3.1.1.2 Төслийг илрүүлэх буюу тодорхойлох
Хөрөнгө оруулалтын төрлүүд
Хөрөнгө оруулалтын зорилтуудтай нийцсэн фүнкцүүдийн тодорхойлолт нь дэд бүтцийн төслийг
тодорхойлох хамгийн эхний, хялбар бөгөөд энгийн арга хэрэгсэл болдог. Үүний дараа хөрөнгө
оруулалтын хэлбэр буюу төслийн үйл ажиллагааг (шинээр зам барих, томоохон дэд бүтэцтэй
холбох, одоогийн дэд бүтцийг өргөтгөх, сайжруулах гэх мэт) тайлбарлана.

47
Хөрөнгө оруулалтын төрлүүд
-

Өсөн нэмэгдэж буй тээврийн хэрэгцээг хангах шинэ дэд бүтэц (авто зам, төмөр зам, боомт, нисэх буудал);
Одоогийн дэд бүтцийг бүрэн гүйцэд байгуулах (дутуу холболтыг нөхөн гүйцээх);
Одоогийн дэд бүтцийг өргөтгөх;
Одоогийн дэд бүтцийг шинэчлэх;
Одоогийн сүлжээний аюулгүй байдлын арга хэмжээ авах;
Одоогийн сүлжээний ашиглалтыг сайжруулах;
Хөрвөх чадварыг сайжруулах (нисэх буудал ба боомтод нэвтрэх чадвар, шинэ уулзвар);
Дэд бүтцийн удирдлагыг сайжруулах;

Хөрөнгө оруулалтын фүнкцийн онцлог
-

Одоогийн сүлжээний багтаамжийг нэмэгдүүлэх;
Зам тээврийн ачааллыг багасгах;
Гадаад орчны сөрөг нөлөөллийг багасгах;
Алслагдсан бүс нутагт нэвтрэх чадварыг сайжруулах;
Замын дэд бүтцийн үйл ажиллагаа буюу засвар үйлчилгээний зардлыг бууруулах;

Үйлчилгээний төрлүүд
-

Хүн амын нягтрал ихтэй бүс нутгийн дэд бүтэц;
Бараа тээврийн дэд бүтэц;
Зорчигч тээврийн дэд бүтэц;
Алсын замын аялалын хэрэгцээний дэд бүтэц;

Газар зүйн хүрээ
Харгалзан үзэх хүчин зүйлүүд:




Сүлжээний нөлөөллийг харгалзахын тулд дэд бүтцийн загварыг одоо байгаа ба төлөвлөж
буй дэд бүтэцтэй фүнкцийн хувьд нэгтгэх;
Төсөл ба зам тээврийн салбарын хөгжлийн бодлогын харилцан уялдаа: төсвийн бодлого
(түлш шатахууны татвар), технологийн стандард, санал болгож буй үнэ/хураамжийн
загварчлал, салбарт орж ирэх урамшуулал/татаас, байгаль орчны асуудлууд;
Зам тээврийн эрэлтэд нөлөөлөх бусад салбарт хамаарах төсөл, хөтөлбөрийг харгалзах;
хөрөнгө оруулалтын бүсэд төлөвлөгдөж буй бусад хөгжлийн төсөл, хөтөлбөрийн хоорондын
харилцан уялдаа;

3.1.1.3 Бололцооны ба хувилбарын судалгаа
Эрэлтийн шинжилгээ
Одоогийн ба ирээдүйн эрэлтийн төлвийг таамаглах нь цогц, чухал ажил бөгөөд энэ ажилд ТЭЗҮийн судалгааны зардлын нэлээд хэсэг зарцуулагддаг. Иймд хамгийн багыг хийх (do-minimum
scenario) сценарийн хувьд дараахь асуудлуудыг тодруулна. Үүнд:
-

-

Төслийн нөлөөллийн бүс нутаг: Бусад өрсөлдөх тээврийн хэлбэр, төсөл хэрэгжээгүй үеийн
эрэлт, шинэ дэд бүтцийн нөлөөллийг тодорхойлох нь чухал ач холбогдолтой байдаг.
Одоогийн ба ирээдүйн хэрэглээг таамаглахад хэрэглэгдэж буй аргачлалууд: нэг эсвэл олон
хэлбэртэй загварууд, өмнөх чиг хандлагын шулуун/динамик экстраполяц, хэрэглэгчийн
зардал/хураамж, үнэ ба зохицуулалтын бодлого, түгжрэл ба сүлжээ ханах төвшин,
хүлээгдэж буй шинэ хөрөнгө оруулалт.
Бусад өрсөлдөгч тээврийн хэлбэрүүд: хэрэглэгчийн зардал/хураамж, үнэ ба зохицуулалтын
бодлого, ачаалал буюу сүлжээний ханах төвшин, өрсөлдөгч тээврийн хэлбэрт орж ирэх
шинэ хөрөнгө оруулалт.

48
Ирээдүйн эрэлтийн чиг хандлага тодорхой бус байвал ДНБ-ий төлөв эсвэл макро-эдийн засгийн
хувьсагчуудад хамааруулсан өөдрөг ба өөдрөг бус гэсэн 2 сценарийг зохиох нь зохимжтой байдаг.
Тээврийн систем нь олон хэлбэртэй бөгөөд эдгээр нь эрэлтийн төлөө хоорондоо өрсөлддөг
төдийгүй нэг хэлбэр ч (2 авто зам) хоорондоо өрсөлддөг.
Ирээдүйн эрэлтийн таамаглал нь төслийн хүрээнд бий болох зам тээврийн хөдөлгөөний бүтцийг
тодорхойлно. Үүнд:
- Одоогийн зам тээврийн хөдөлгөөн;
- Бусад тээврийн хэлбэрээс урвуулсан зам тээврийн хөдөлгөөн;
- Шинээр бий болох зам тээврийн хөдөлгөөн;
ТЭЭВРИЙН ЭРЭЛТИЙН ШИНЖИЛГЭЭНИЙ ХЯНАЛТЫН ХУУДАС
Шинэ дэд бүтцийн эрэлт/багтаамжийн харьцааны шинжилгээ нь дараахь зүйлүүд дээр тулгуурлана. Үүнд:
-

-

Хөдөлгөөн-багтаамжийн харьцаагаар илэрхийлэгдсэн дэд бүтцийн үйлчилгээний төвшин (замын
хөдөлгөөний урсгал, зорчигчийн тоо). Тээврийн хөдөлгөөний урсгалын төрөл (дотоод, дамжин
өнгөрөх) ба эх үүсвэрээр нь (тээврийн өөр хэлбэрээс шилжиж ирсэн, шинээр бий болсон) зам
тээврийн хөдөлгөөний харилцан адилгүй бүрэлдэхүүн хэсгүүдийг тус тусад нь судлах нь ашигтай
байдаг.
Хэрэглэгчийн аялалын хугацаа ба өртөг;
Тээврийн гүйцэтгэлийн хэмжүүрүүд: зорчигчийн хувьд зорчигч*km ба тээврийн хэрэгсэл*km, барааны
хувьд тонн*km ба тээврийн хэрэгсэл*km;
Тээврийн аюулгүй байдлын төвшин;
Одоогийн зам тээврийн бүтцээр хангагдаагүй эрэлтийн тоо хэмжээ. Хэрэглээгүй орхих замын
хөдөлгөөнийг олох нь төслийн хувилбаруудыг үнэлэх нэг чухал бүрэлдэхүүн хэсэг болно.
Байгаль орчин, санхүү, эдийн засгийн өнцгөөс үнэлэгдсэн, ач холбогдол бүхий бусад хувилбаруудын
тодорхойлолт;

Хувилбаруудын шинжилгээ
Харьцуулах шийдэл ба бололцоотой хувилбаруудыг сонгох гэсэн хоѐр асуудал нь төслийг үнэлэх
үндсэн алхам болно. Харьцуулах шийдэл нь “байдаг л зүйл” (business as usual буюу BAU) буюу
өнөөгийн нөхцөл байдлыг хэвээр халгалах гэсэн шийдэлтэй төстэй боловч энэ нь тээврийн
хөдөлгөөнийг маш хүнд нөхцөлд (нийгмийн өндөр өртөг, замын ачаалал) хүргэж болохгүй. Ихээхэн
ачаалал үүссэн тохиолдолд харьцуулах шийдэлд (хөрөнгө оруулалт хийхгүй байх) засвар
үйлчилгээг сайжруулах, менежментийг бэхжүүлэх үйл ажиллагаа багтана.
Харьцуулах шийдэл буюу өнөөгийн нөхцөл байдлыг хэвээр халгалах гэсэн хувилбарыг
тодорхойлсны дараа байгаа технолог ба нөхцөл байдалд суурилсан техникийн буюу төслийн бусад
бүх хувилбаруудыг илрүүлнэ. Бага өртөгтэй шийдэл, үнэ тариф ба менежментийн шинэчлэл зэрэг
боломжит хувилбаруудыг орхигдуулах нь төслийн үнэлгээг гажуудуулах нэг гол нөхцөл болдог.
Хөрөнгө оруулалтын ба үйл ажиллагааны зардлууд
Нийт хөрөнгө оруулалт болон үйл ажиллагаа, засвар үйлчилгээний (хэвийн ба онцгой) зардлыг
тооцоолж нийт дүнг төслийн бүх жилүүдэд хуваарилах үйл явц нь BAU ба төслийн хувилбаруудыг
сонгосны дараахь алхам болно.
Үнийн бодлого
Үнэ, тарифийн бодлого нь эрэлт ба бусад тээврийн хэлбэрт шилжих эрэлтийн тархалтад шууд
нөлөөлдөг учраас үнийн харилцан адилгүй бодлогын хүрээнд эрэлтийн таамаглалуудыг
дэвшүүлнэ.

49
Тээврийн дэд бүтцийн үнийн бодлого нь цогц асуудал бөгөөд санхүүгийн ба эдийн засгийн
үнэлгээнд шууд нөлөөлдөг. Үүнд:
-

Төслийн орлогыг нэмэгдүүлэх хураамж: Энэ төрлийн хураамж нь төслийн өөрийн
санхүүжилтийн бололцоог нэмэгдүүлнэ.
Бүтээмжийн хураамж (efficiency fares) нь гадаад нөлөөллийн өртөг (замын ачааллын,
байгаль орчны хохирлын, аюулгүй байдлын өртөг гэх мэт) буюу нийгмийн маргинал өртгийг
тусгадаг. Өөрөөр хэлбэл бүтээжмйн хураамж нь нийгмийн маргинал өртөг буюу
хэрэглэгчээс нийгэмд учруулж буй дотоод, гадаад хүчийн зүйлийн бүх өртөг дээр
суурилдаг.

Тээврийн дэд бүтцийн хувьд нийгмийн маргинал өртөг нь дараахь хэсгүүдээс бүрдэнэ. Үүнд:
-

Үйлдвэрлэгчийн маргинал өртөг: тээврийн хэрэгслээс дэд бүтцэд учруулах элэгдэл,
хорогдол;
Маргинал гадаад нөлөөллийн өртөг: Зам тээврийн хөдөлгөөнөөс нийгэмд учруулах өртгүүд
(ачаалал, осол аваар, байгаль орчинд үзүүлэх сөрөг нөлөөлөл гэх мэт);

Замын ачаалал бага тохиолдолд дэд бүтцийн ашиглалтыг нэмэгдүүлэх үүднээс бага хураамж авах,
их бол илүү нэмэгдүүлсэн хураамж авах нь үнийн зөв бодлоготой ерөнхийдөө нийцдэг.

3.1.1.4 Санхүүгийн шинжилгээ

3.1.1.5 Эдийн засгийн шинжилгээ
Зардал, үр ашгийн зарим нь төрийн өмчид (public goods; чөлөөт зах зээлгүй) хамаарах учраас
эдийн засгийн үнэлгээ нь санхүүгийн үнэлгээнээс ихээхэн ялгардаг. Тээврийн салбарын хөрөнгө
оруулалтын эдийн засгийн үнэлгээ нь олон жилийн түүхтэй бөгөөд 2 дугаар бүлэгт тайлбарласан
хагас тэнцвэрийн аргачлал (partial equilibrium approach) дээр суурилдаг.
Тээврийн дэд бүтцийн хөрөнгө оруулалтын хувьд нийгмийн үр ашиг нь дараахь бүрэлдэхүүн
хэсгүүдийн нийлбэрээс бүрдэнэ. Үүнд:
-

Зорчигчийн зардлын өөрчлөлт (төлбөр хураамж, тээврийн хэрэгслийн элэгдэл хорогдол,
засвар үйлчилгээ);
Засгийн газрын татвар, шилжүүлгийн өөрчлөлт;
Гадаад нөлөөллийн зардлын өөрчлөлт (хорт утаа, дуу чимээ, осол);
Дэд бүтцийн төслийг хэрэгжүүлэгч операторын орлого, зардалд орох өөрчлөлт;

Зах зээлгүй зарим бараа, үйлчилгээний хувьд тээврийн дэд бүтцийн төслийн эдийн засгийн үнэлгээ
нь чухал ач холбогдолтой. Жишээ нь хэмнэсэн цагийн, байгаль орчны нөлөөллийн, урьдчилан
сэргийлсэн осол, аваарын нийгмийн үнэ цэнэ гэх мэт.

50
Цагийн үнэ цэнэ нь тээврийн төслийн үр ашгийг илэрхийлэх хамгийн чухал хүчин зүйлийн нэг
бөгөөд харьцуулалтын таамаглал (reference estimates) байхгүй бол орлогын төвшин дээр
суурилсан бусад судалгаанд тохируулж зорчигчийн цагийн үнэ цэнийг таамаглаж болно.
Зорчигчийн цагийн үнэ цэнэ орлогоос ихээхэн хамаардаг. Ажлын бус аялалын цагийн үнэ нь ажлын
цагийн үнийн 10-42%-тай тэнцдэг бөгөөд ажлын бус цагийн аялалын цагийн хэмнэлт нь тээврийн
дэд бүтцийн хөрөнгө оруулалтын үр ашгийн дийлэнхи хувийг бүрдүүлдэг байна. Байгаль орчинд
үзүүлэх нөлөөллийг мөнгөжүүлэхийн тулд эрдэм шинжилгээний судалгааны материалуудаас авсан
сүүдрийн үнийг ашиглаж болно.

51
Эдийн засгийн нөлөөллийн үнэлгээ
Тээврийн төслүүд нь бүс нутгийн эдийн засгийн бүтцэд ихээхэн нөлөө үзүүлж болно. Гэхдээ энэ нь
онолын хувьд маргаантай сэдэв бөгөөд нөлөөлөл нь эерэг эсвэл сөрөг байдгыг бүх талууд хүлээн
зөвшөөрдөг. Төгс биш зах зээлийн хувьд зам тээврийн сүлжээнд шинээр холбогдох алслагдсан
бүс нутгийн өрсөлдөх чадвар нэмэгдэх боловч тухайн бүс нутгийн үйлдвэрлэлийн өрсөлдөх чадвар
бусад бүсээс бага бол энэ нь тухайн бүс нутагт сөргөөр нөлөөлнө. Иймд ийм төрлийн үр ашгийг
төсөлд хамааруулахдаа онцгой анхаарах шаардлагатай байдаг.
3.1.1.6 Эрсдлийн үнэлгээ
Зах зээлгүй чухал хувьсагчид (жишээ нь цагийн үнэ, гадаад нөлөөлөл) ногдох мөнгөн дүнгийн
мэдрэмжийн шинжилгээг хийхийг зөвлөдөг. Бусад мэдрэмжийн шинжилгээнүүд нь хөрөнгө
оруулалтын зардал, үйл ажиллагааны зардал, хүлээгдэж буй эрэлт, шинээр бий болох зам
тээврийн хөдөлгөөн зэрэг чухал хувьсагчуудад төвлөрч болно.

52
3.1.3 Боомт, нисэх буудал ба дамжуулах байгууламжууд
3.1.3.1 Төслийн зорилтууд
Энэ салбарын төслүүд нь нэвтрэх чадавхийг сайжруулах, тээврийн дамжлагыг дэмжих, үндэсний
ба олон улсын чанартай тээврийн сүлжээг өргөтгөх зорилготой байдаг. Түүнээс гадна эдгээр
төслүүд нь орон нутгийн эдийн засгийг дэмжих, ядуурлыг бууруулах, орон нутгийн хүн амын
тээврийг хэрэгцээг хангах үүрэг гүйцэтгэдэг.

3.1.3.2 Төслийг тодорхойлох
Төсөл нь шинэ байгууламж, одоогийн байгууламжийн өргөтгөл эсвэл их засвар эсхийг тодорхойлох
нь төслийн үнэлгээний анхны алхам болно. Түүнчлэн энэ ажлын хүрээнд төслийн цар хүрээ,
зорилтууд, техник ба физик онцлог шинжийг тус тус тайлбарлана. Боомт, нисэх буудал, дамжуулах
байгууламжийн хүчин чадлын ашиглалт нь дотоодын тээврийн сүлжээнд хэрхэн холбогдсоноос
хамаарах учраас системийн төвшин дэх тогтвортой үйл ажиллагаанд шаардагдах холбогдох бусад
хөрөнгө оруулалтын төлөвлөлтийн талаархи мэдээлэл нь төслийн тодорхойлолтын нэг хэсэг
болно.

53
3.1.3.3 Бололцоо ба хувилбарын шинжилгээ
Зорчигч ба бараа тээврийн хөдөлгөөний өнөөгийн ба ирээдүйн урсгалыг тооцоолох нь төсөл
хэрэгжих бололцоог баталгаажуулах чухал нөхцөл болно. Ирээдүйн хөдөлгөөний төлөв нь
тээврийн төрөл ба бусад хүчин зүйлсээс хамаарах тул зам тээврийн хөдөлгөөний төлвийг аль
болох зорчигч, бараа тээврийн төрөл болон зорилгоор (хувийн , бизнес, аялал жуулчлал) ангилж
харуулах нь зохимжтой байдаг. Түүнчлэн тээврийн дэд бүтэц, байгууламж нь ижил төстэй дэд
бүтэцтэй өрсөлддөг учраас ирээдүйн эрэлтийг тодорхойлохдоо өрсөлдөгч дэд бүтцүүдийн стратеги
төлөвлөлтийг онцгойлон тусгах шаардлагатай.
Одоогийн байгууламж дэд бүтцийг өргөтгөх, шинэчлэх, шинэ техник технолог нэвтрүүлэх нь
төслийн бусад хувилбаруудад багтана. Төслийн хувилбар бүрийн давуу болон сул талуудыг ул
суурьтай харьцуулна.

3.1.3.4 Санхүүгийн шинжилгээ

Санхүүгийн шинжилгээг хамрах хугацаа нь 30 жил байна. Санхүүгийн шинжилгээг ихэвчлэн хөрөнгө
оруулагчид зориулж хийдэг тул хэрэгжүүлэгч буюу операторт зориулсан хувилбарыг мөн түүнчлэн
бүх сонирхогч талуудын санхүүгийн сонирхлыг харуулсан нэгдсэн хувилбарыг ч боловсруулж
болно.

54
3.1.3.5 Эдийн засгийн шинжилгээ
Төслийн эдийн засгийн үндсэн үр ашиг, зардлын төрлүүд:

3.1.3.6 Эрсдлийн үнэлгээ

3.3 Үйлдвэрлэл, эрчим хүч, мэдээлэл харицаа
3.3.1 Үйлдвэрлэлийн хөрөнгө оруулалт
3.3.1.1 Төслийн зорилтууд
Үйлдвэрлэлийн салбарын хөрөнгө оруулалтыг хамтран санхүүжүүлэх нь дараахь үндсэн
зорилтуудыг агуулдаг. Үүнд:
-

Үйлдвэрлэлийг дэмжих;
Тодорхой салбаруудад их хэмжээний анхны хөрөнгө оруулалт шаардах шинэ технологи
нэвтрүүлэх хөрөнгө оруулалтыг дэмжих;
Ажил эрхлэлтийн төвшинг нэмэгдүүлэх;

55
3.3.1.2 Төслийг тодорхойлох
Төслийг тодорхойлох эхний чухал алхмууд:
-

Хөрөнгө оруулалтын төслийг хэрэгжүүлэхээр сонирхож буй компанийн тухай танилцуулга
(олон улсын, орон нутгийн, ЖДҮ гэх мэт);
Компанийн үйл ажиллагаа эрхлэх салбар (өндөр технологийн, инновацийн, уламжлалт гэх
мэт);
Хөрөнгө оруулалтын төрөл хэлбэр (шинэ үйлдвэр, өргөтгөл гэх мэт);

Төслийг илүү нарийвчлан тодорхойлхын тулд дараахь мэдээллийг ирүүлнэ. Үүнд:
ХЯНАЛТЫН ХУУДАС
Физик тоон мэдээлэл (Жишээ):
-

Компанийн байршил, газар нутаг ба байгууламжийн онцлог шинж чанарууд;
Шингэн, хийн, хатуу хаягдлын цэгүүд ба цэвэрлэх байгууламжуудын тухай тайлбар;
Хаягдал бүтээгдэхүүний төрөл, тоо ба менежмент;
Зам тээврийн сүлжээтэй холбогдсон байдал;

Үйлдвэрлэлийн онцлог шинж чанарууд
-

Компанийн үйлдвэрлэсэн бараа, үйлчилгээний ангилал (хөрөнгө оруулалтын өмнөх үеийн ба
дараахь);
Хөрөнгө оруулалтын өмнөх ба дараахь үеийн жилийн үйлдвэрлэлийн орц (түүхий эд, хагас
боловсруулсан бүтээгдэхүүн, үйлчилгээ, ажиллах хүч);
Хөрөнгө оруулалтын өмнөх ба дараахь үеийн орлого, зарлага, үйл ажиллагааны марж, өрийн харьцаа
зэрэг балансийн гол гол үзүүлэлтүүд;
Хөрөнгө оруулалтын өмнөх ба дараахь үеийн компанийн зах зээлд эзлэх хувь;
Хөрөнгө оруулалтын өмнөх ба дараахь үеийн компанийн бүтэц зохион байгуулалт, удирдлага
(удирдлагын мэдээллийн систем, чанарын удирдлагын систем);

3.3.1.3 Төслийн бололцооны ба хувилбарын шинжилгээ
Технологийн (үйлдвэрлэлийн технолог) ба санхүү, эдийн засгийн (санхүүгийн тогтвортой байдал,
эдийн засгийн үр ашиг, зах зээлийн төлөв) үнэлгээнд үндэслэж төслийг хэрэгжүүлэх бололцоог
баталгаажуулна. Мөн түүнчлэн дараахь илүү нарийвчилсан шинжилгээг хийж болно. Үүнд:
-

Удирдлагын ур чадвар, бололцоо;
Компанийн бизнесийн төлөвлөгөөнд орсон үйл ажиллагаанууд (тээвэр, маркетинг,
бизнесийн загвар, нийлүүлэлтийн бодлого гэх мэт);

Хувилбарын шинжилгээнд дараахь сэдвүүдийг хамруулна. Үүнд:
-

Байршил;
Санхүүжилтийн боломжит хувилбарууд;
Төслийн техник, технологийн бусад хувилбарууд;

3.3.1.4 Эрэлтийн шинжилгээ
Бүтээгдэхүүний ирээдүйн зах зээлийн эрэлтийг тодорхойлох нь
оруулалтын үр ашиг, тогтвортой байдлын үнэлгээний гол сэдэв болно.

56

үйлдвэрлэлийн

хөрөнгө
ДНБ-ий ирэх 10 жилийн төлвийг таамаглах нь эхний алхам бөгөөд энэ төлөв дээр суурилсан тухайн
салбарын хөгжлийн чиг хандлагыг дараагийн шатанд тодорхойлохдоо дараахь асуултуудад
хариулна. Үүнд:
-

Төсөл нь инновацийн салбарт (өндөр өсөлттэй боловч өндөр эрсдэлтэй) хамаарах уу?
Ирээдүйн эрэлт эдийн засгийн мөчлөгөөс яаж хамаарах вэ?

Салбарыг төлвийг жил бүрийн өсөлтийн хувиар илэрхийлэх нь зохимжтой байдаг. Энэ мөчөөс
эхлэн шинжээч нь салбарын төвшин дэх компанийн харьцангуй гүйцэтгэлд анхаарлаа төвлөрүүлнэ.
Түүнчлэн эрэлтийн нийт нөлөөллийг үнэлэхийн тулд шинжээчид нь олон улсын зах зээл дэх
бүтээгдэхүүний үнэ, ханшийн динамикийг таамаглана. Үүний дараа компанийн үнийн бодлоготой
динамикийг тохируулна.

3.3.1.5 Санхүүгийн шинжилгээ
Зарим хөрөнгийн эдийн засгийн ашиглалтын харьцангуй богино хугацаанаас хамаарч төслийн
шинжилгээ нь ихэвчлэн 10 гаруй жил байдаг. Хөрөнгө оруулалтын төсөлд хамаарах орох, гарах
санхүүгийн урсгалууд:

3.3.1.6 Эдийн засгийн шинжилгээ
Бусад салбарын хөрөнгө оруулалттай харьцуулахад
үйлдвэрлэлийн салбарын хөрөнгө
оруулалтын санхүү, эдийн засгийн гүйцэтгэл нь харьцангуй өндөр байдаг. Эдийн засгийн үнэлгээ нь
сүүдрийн үнэ, ялангуяа сүүдрийн цалин хөлс болон санхүүгийн үнийг тохируулах шилжүүлгийн
фактор дээр илүү төвлөрдөг.
Зарим ач холбогдол бүхий гадаад нөлөөллөөс үүдэх үр ашиг, зардал нь хөрөнгө оруулалтын
байгаль орчны нөлөөлөлтэй хамааралтай байдаг. Шинэ үйлдвэр нь агаарын бохирдлыг
нэмэгдүүлэх бол одоо байгаа үйлдвэрийн шинэчлэл нь хорт утааны ялгаруулалтыг багасгаж болно.
Бусад санхүүгийн бус үр ашиг, зардал нь ажилтнуудын хөдөлмөрийн аюулгүй байдлын нөхцөл
сайжирсан, муудсан эсхээс мөн хамаарна.

3.3.1.7 Эрсдлийн үнэлгээ

57
3.3.1.8 Төслийн үнэлгээний бусад аргачлалууд
Тооцоолох, үнэлэхэд хүндрэлтэй төслийн шууд бус үр дагавар болох төслийн орон нутгийн хөгжил,
ажил эрхлэлтэд үзүүлэх нөлөөллийг харгалзана. Зөвхөн физик хэмжүүрээр илэрхийлсэн ч гэсэн
эдгээр нөлөөллийг ул суурьтай үнэлэх нь төслийн үнэлгээг бүрэн төгөлдөржүүлэхэд чухал ач
холбогдолтой. Ялангуяа ажил эрхлэлтийг нэмэгдүүлэх нь үйлдвэрлэлийн салбарын төсөл,
хөтөлбөрийн гол зорилт учраас үүнд анхаарлаа төвлөрүүлэх нэг чухал сэдэв болно. Эдгээр
төрлийн төслүүдийн эдийн засгийн гол үр дагаврууд:
-

-

Төсөл хэрэгжүүлэх компанид бүтээгдэхүүн, үйлчилгээ нийлүүлэх шинэ ААН-үүд;
Шилжих хөдөлгөөн: ЖДҮ-үүд өөр газраас төслийн бүс нутагт шилжин суурьших;
Орлох үр дагавар: Төсөл хэрэгжүүлэх компанийн давуу байдлаас ААН-үүд төслийн бүс
нутгаас гадагш шилжих;
Компаниуд хорших, нэгдэх (synergy): Тухайн бүс нутгийн хамааралтай салбаруудын
компаниуд шинээр байгуулагдах төслийн үйлдвэртэй үйл ажиллагаагаа хослуулснаар бүс
нутагт шинээр үнэ цэнэ бүрдүүлэх;
Ажиллах хүчний нөөцийг нэмэгдүүлэх;
Шинэ бизнесийн загвар, менежментийн know-how нэвтрэх;

Хяналтын хуудас







Сегментийн өсөлтийн динамик ба тухайн салбарын нийт гүйцэтгэлтэй харьцуулсан төслийн эдийн
засаг ба санхүүгийн харьцангуй гүйцэтгэлийг урьдчилан таамаглах;
Үнийн ирээдүйн төлөв ба бүтээгдэхүүний борлуулалтын үнийн таамаглал: Үнийн өөрчлөлтийн хувьд
илүүтэйгээр хуучныг баримтлах;
Үйл ажиллагааны зардлыг орлогын хувиар буюу маржаар илэрхийлэх. Хэрэв өссөн үйл ажиллагааны
зардлыг борлуулалтын үнэд шингээвэл энэ хувь тогтвортой байна. Эсрэгээр бол үйл ажиллагааны
марж буурна.
Эдийн засгийн үнэлгээний хувьд эдийн засгийн үнэ ба байгаль орчны нөлөөллийг илүү тусгах
шилжүүлгийн фактороор хувиргасан санхүүгийн мөнгөн урсгалыг харгалзана.
Агаарын бохирдлын хувьд үр ашгийг шилжүүлэх аргыг (benefit transfer method) хэрэглэх нь зүйтэй.

58
3.3.2 Эрчим хүчний дамжуулалт ба нийлүүлэлт
3.3.2.1 Төслийн зорилтууд
Энэ салбарт дараахь төслүүд хамаарна. Үүнд:
-

Эрчим хүч дамжуулах шугам, станцуудыг барих;
Орон нутгийг эрчим хүчээр хангах;

3.3.2.2 Төслийн тодорхойлолт
Төслийн тодорхойлолтод дараахь зүйлүүд хамаарна. Үүнд:
-

Зах зээлийн судалгаа ба төслийн цар хүрээг тодорхойлох;
Дэд бүтцийн техник, технологийн онцлог шинж чанарууд, үзүүлэлтүүд; Үүнд:



Үндсэн үзүүлэлтүүд: Дамжуулах шугамын хүчин чадал, багтаамж, хэрэглэгчдийн тоо, нэг
хэрэглэгчид ногдох эрчим хүч, сүлжээнд хамрагдах орон нутгийн талбайн хэмжээ;
Физик үзүүлэлтүүд: Дамжуулах шугамын маршрут, урт;
Сүлжээний үзүүлэлтүүд;
Дамжуулах шугамын байгууламжийн ерөнхий үзүүлэлтүүд;
Дамжуулах байгууламжийн техникийн үзүүлэлтүүд;
Бусад үйлчилгээний дэд бүтцийн техникийн үзүүлэлтүүд;
Чухал техникийн элементүүд: Алсын удирдлагатай харилцаа холбооны систем (техникийн
зураг, тоон мэдээ);








3.3.2.3 Төслийн бололцоо ба хувилбарын шинжилгээ
Урт хугацаатай, улирлын чанартай эрчим хүчний эрэлт, өдрийн стандард хэрэглээний муруй нь
чухал мэдээлэл болно. Хувилбарын шинжилгээнд жишээ нь эрчим хүчийг дамжуулах технологийн
төрлүүд, эрчим хүчний шугамын бусад боломжит маршрутууд, харилцан адилгүй дэд сүлжээнүүд,
эрчим хүчний эрэлтийг хангах бусад хувилбарууд (зөвхөн цахилгаан эрчим хүч бус хийг мөн
ашиглах гэх мэт) хамаарна.
3.3.2.4 Санхү ү гийн шинжилгээ
Санхүүгийн орох гарах урсгалууд:
Санхүүгийн орох урсгал



Санхүүгийн гарах урсгал

Эрчим хүч дамжуулалтын хураамж
Бусад орлого



Хөрөнгө оруулалтын зардал
-



Үйл ажиллагааны зардал
-

-

Санхүүгийн шинжилгээг 15-25 жилээр тооцоолно.

59

Зураг төсөл
Газар
Урсгал ба үндсэн хөрөнгийн зардал
Дэд бүтцийн туршилт
Бараа үйлчилгээний зардал
Засвар, үйлчилгээ
Техникийн ба захиргааны ажиллах хүчний
зардал
Түлш ба цахилгаан
3.3.2.5 Эдийн засгийн шинжилгээ
Байгаль орчны нөлөөлөл ба эрсдлийн үнэлгээ нь эдийн засгийн шинжилгээний хувьд чухал ач
холбогдолтой. Дараахь гадаад нөлөөллийг харгалзан үзнэ. Үүнд:
Үр ашиг

-

Эрчим хүч нийлүүлэх бүс нутгийн эдийн засагт үзүүлэх эерэг нөлөөлөл (газрын үнэ,
үйлдвэрлэл гэх мэт);

Зардал

-

Байгаль орчинд үзүүлэх сөрөг нөлөөллүүд (ан амьтан);
Суурин газарт үзүүлэх сөрөг нөлөөллүүд (хөдөө аж ахуй, дэд бүтэц, бизнесийн
байгууллагууд, иргэдийн орон сууц);

3.3.2.6 Эрсдлийн үнэлгээ

3.3.3 Эрчим хүчний үйлдвэрлэл ба сэргээгдэх эрчим хүч
3.3.3.1 Төслийн зорилтууд
Энэ салбарт хэрэгжих төслүүд:
- Сэргээгдэх эрчим хүчний эх үүсвэрээс эрчим хүч үйлдвэрлэх байгууламж;
- Эрчим хүчийг хэмнэхэд чиглэсэн хөрөнгө оруулалт;
- Бусад эх үүсвэрээс эрчим хүч үйлдвэрлэх барилга байгууламж;
- Газрын тос, байгалийн хийн эрэл хайгуул, өрөмдлөг.
Зорилтуудын жишээнүүд:
- Эрчим хүчний эх үүсвэрийн бүтцэд өөрчлөлт оруулах (Хүлэмжийн хийн ялгаралтыг багасгах
зорилгоор эрчим хүчний баланс дахь сэргээгдэх эрчим хүчний эзлэх хувийг нэмэгдүүлэх);
- Байгаль орчныг хамгаалах үүднээс эрчим хүч үйлдвэрлэлийн одоогийн барилга,
байгууламжийг шинэчлэх;
- Эрчим хүчний импортыг дотоодын эх үүсвэрээр орлуулах;
- Өсөж буй эрчим хүчний эрэлтийг хангах;

3.3.3.2 Төслийг тодорхойлох

Төслийн фүнкцийг тодорхойлоход дараахь алхмуудыг хийх нь зохимжтой байдаг. Үүнд:
-

Эрчим хүчээр хангагдах бүс нутгийн газар зүй, байршил;

60









Төслийн бодлогын зорилт, эрх зүйн зохицуулалт ба байгууллагын зорилт (institutional
context) Ялангуяа эрчим хүчний борлуулалтын үнэ тариф, урамшуулал, шилжүүлэг, доод
үнэ, татварын хөнгөлөлт (жишээ нь сэргээгдэх эрчим хүчний үйлдвэрлэл);
Хөрөнгө оруулалтын үе шатуудыг тодорхойлох (жишээ нь газрын тосны тандалт, судалгаа,
туршилтын өрөмдлөг, олборлох, хаах, нөхөн сэтгээлт гэх мэт);
Техник технологийн онцлог шинж чанарууд; эрчим хүчний сүлжээний техникийн багтаамж;
Дэд бүтцийн техникийн үзүүлэлтүүдийг тайлбарлах. Үүнд:
Үндсэн фүнкцийн тухай тоо баримт: Эрчим хүч үйлдвэрлэх байгууламжийн төрөл,
суурилуулах хүчин чадал (MW), эрчим хүчний үйлдвэрлэл (TWh/жил); Цооногийн жилийн
хүчин чадал (сая баррэл/жил эсвэл сая m3/жил), хэмнэсэн нүүрстөрөгч (CO2 тонн);
Сэргээгдэх эрчим хүчний байгууламжийн үндсэн параметрүүд: Нөөцийн эрсдлийн төвшин
(салхи/hydro), тамаглаж буй ачаалал, оргил ачааллын үеийн нийлүүлэлт, үйлдвэрлэлийн
өртөг;
Газар зүй, байршлын онцлог;
Үйлдвэрлэлийн байгууламжид хамаарах барилгын, технологийн ба боловсруулалтын
технолог;
Уул уурхайн цооногийн байгууламжийн техникийн онцлог;
Бусад үйлчилгээний байгууламжийн техникийн онцлог, барилгын технолог;
Бохир ус цэвэрлэх систем;
Чухал техникийн үзүүлэлтүүд (автомат хяналтын систем, цахилгаан холбооны систем,
хаягдлын техникийн шийдэл, далангийн техникийн үзүүлэлт гэх мэт).

3.3.3.3 Бололцооын ба хувилбарын шинжилгээ
Үндсэн мэлээлэл: Эрчим хүчний эрэлт, урт хугацааны ба улирлын төлөв чиг хандлага, ердийн
өдрийн эрчим хүчний хэрэглээний муруй. Хувилбарын шинжилгээн дэх харьцуулалт нь тухайн дэд
бүтцийн доторхи боломжит хувилбаруудыг харгалзана. (жишээ нь өрөмдлөгийн ба үйлдвэрлэлийн
өөр өөр технологууд, хаягдал боловсруулах харилцан адилгүй технологууд гэх мэт). Эрчим хүчний
үйлдвэрлэлийн боломжит хувилбаруудыг мөн харгалзана. (жишээ нь эрчим хүчний шинэ станцыг
байгуулахын оронд эрчим хүчийг хэмнэхэд чиглэсэн бодлого, үйл ажиллагааг нэвтрүүлэх).

3.3.3.4 Санхүүгийн шинжилгээ
Санхүүгийн орох ба гарах урсгалууд:
Санхүүгийн орох урсгал




Санхүүгийн гарах урсгал

Эрчим хүчний борлуулалт
Хийн борлуулалт
Цахилгааны борлуулалт
Дулааны борлуулалт
Засгийн газрын урамшуулал, шилжүүлэг





Санхүүгийн шинжилгээ нь 15-20 жилийг хамаарна.
Дараахь таамаглалуудыг хийнэ. Үүнд:
- Эрчим хүчний үнэ, тарифийн динамик;
- Үнийн динамик;

61

Хөрөнгө оруулалтын зардал
Урсгал ба үндсэн хөрөнгийн зардал
Газар
Дэд бүтцийн туршилт
Үйл ажиллагааны зардал
Үйлдвэрлэлийн бараа, үйлчилгээ
Засвар, үйлчилгээ
Техникийн ба захиргааны ажиллах
хүчний зардал
Түлш ба эрчим хүчний хэрэглээ
-

Бусал салбаруудын хөгжлийн төлөв. Эрчим хүчний эрэлт ба бусад салбарын
хөгжлийн динамик хоорондоо шууд уялдана.

3.3.3.5 Эдийн засгийн шинжилгээ
Үр ашиг

-

-

-

Зардал

-

-

Үр ашгийн мөнгөн дүн. Эрчим хүчний борлуулалтын орлогыг зохих сүүдрийн
үнээр мөнгөн дүнд шилжүүлнэ. Сүүдрийн үнийг хэрэглэгчийн эрчим хүч
худалдан авах хүсэл (willingness-to-pay) эсвэл маргинал өртгөөр (эрчим
хүчний хувийн эх үүсвэрийг ашиглах, суурилуулахтай холбоотой
хэрэглэгчийн зардал) тодорхойлж болно.
Сэргээгдэх эрчим хүч ашиглах эсвэл эрчим хүчийг хэмнэх төслүүдээс орж
ирэх нийгэм-эдийн засгийн нэмэлт үр ашиг нь дээр дурдсан бүртгэлийн үнэд
орохгүй. Эдгээр үр ашиг нь ерөнхий, өргөн хүрээний ойлголт бөгөөд хүний
эрүүл мэнд, байгаль орчинд сөргөөр нөлөөлөх хорт биет, шингэн, хийн
үйлвэрлэлийн бууралттай холбоотой. Түүнээс гадна хэмнэсэн сэргээгдэхгүй
эрчим хүчний эх үүсвэрийг бусад зорилгоор ашиглаж болохоос гадна
ирээдүйд хэрэглэх үүднээс хадгалж болно. Энэ үр ашгийг мөнгөжүүлэхийн
тулд стандард сүүдрийн үнийг хэрэглэхийг зөвлөдөг. (жишээ нь
нүүрсхүчлийн хийн ялгаралтын бууралт; байгаль орчны нөлөөллийн
үнэлгээний талаар хавсралт F-ээс харах) Хэрэв дээрхи аргачлалын тоон
мэдээлэл байхгүй бол сэргээгдэх эх үүсвэрийн эрчим хүчний үйлдвэрлэлийн
урамшуулалд ногдох санхүүгийн дүнг худалдан авах хүслийн (нийгмийн)
оронд хэрэглэж болно.
Эрчим хүч хэмнэх төслүүдийн хувьд дээрхи сүүдрийн үнийг хэмнэсэн эрчим
хүчийг үнэлэхэд хэрэглэж болно.
Гадаадын эрчим хүчний хараат байдалд ногдох үнэлгээ. Зохих сүүдрийн
үнийг орлуулсан импортын эрчим хүчинд хэрэглэснээр үнэлгээг хийнэ.
Эрчим хүчний байгууламжийн барилга угсралт, үйл ажиллагааны байгаль
орчинд үзүүлэх сөрөг үр дагаврыг саармагжуулахад чиглэсэн үйл
ажиллагааны зардал;
Сөрөг гадаад нөлөөллийн үр дагаврын өртөг (байгалийн унаган төрх
алдагдах нь нөхөн сэргээгдэхгүй);
Төрөл бүрийн орцын (input) алдагдсан бололцооны өртгийг тодорхойлох.
Хамгийн сайн хэрэглээний хувилбараас холдуулснаар түүхийн эдийн
нийгэмд учруулах хохирлыг харгалзсанаар эдийн засаг дахь түүхий эдийн
өртгийг тодорхойлно. Үүнд зохих шилжүүлгийн факторыг (conversion factors
or CF‟s) ашиглана.

62
3.3.3.6 Эрсдлийн шинжилгээ

3.3.3.7 Төслийн үнэлгээний бусад аргачлалууд
-

Холбогдох хууль тогтоомжийн хүрээнд хийгдэх байгаль орчны нөлөөллийн үнэлгээ нь
төслийн үнэлгээний үйл явцын нэг бүрэлдэхүүн хэсэг байна.
Эдийн засгийн шууд бус зардлын үнэлгээ (төслийн олон шалгуурт шинжилгээнд орох
стандард физик үзүүлэлтээр хэмжих);
Өмнө дурдсан аргачлалыг хэрэглэх бололцоогүй бол сэргээгдэх эх үүсвэрийн хэрэглээнээс
үүдэх эдийн засгийн шууд бус үр ашгийг үнэлэх зорилгоор дээрхитэй ижил төстэй
аргачлалуудыг хэрэглэж болно. Олон шалгуурт шинжилгээнд орох стандард физик
үзүүлэлтээр эдгээр эдийн засгийн үнэ цэнийг хэмжиж болно.

3.3.4 Мэдээлэл харилцаа холбооны (МХХ) дэд бүтэц
3.3.4.1 Төслийн зорилтууд
Төслөөс хамаарч зорилтууд нь өөр өөр байдаг. Цар хүрээнээс нь хамаарч МХХ-ы дэд бүтцийг
үндсэн 1 төрөлд ангилж болно.
Орон нутгийн төслүүд:
- Хамрагдаагүй орон нутагт үйлчилгээг хүргэж өргөтгөх орон нутгийн кабелийн буюу рэлэй
систем;
- Хурдтай, хүчтэй сүлжээгээр хот, хүн амын төвлөрлийн буюу үйлдвэрлэлийн бүсийг
кабелжуулах;
- Тусгаарлагдсан бүс нутгийг холбох рэлэй буюу хиймэл дагуулын станцуудын барилга
угсралт ба кабел тавих;
Өргөн хүрээний төслүүд:
- Хурд, хүч, чадлыг нэмэгдүүлэх олон улсын харилцаа, хобооны системийн хөгжил (жишээ нь
харилцаа, холбооны хиймэл дагуул, хиймэл дагуулын радио станц барих гэх мэт);
- Бүс нутаг хоорондын МХХ-ы чадал, хүч, хурдыг нэмэгдүүлэх;
- Шинэ үйлчилгээ нэвтрүүлэх зорилгоор сүлжээний технологийн шинэчлэл хийх. (Жишээ нь
мулти-медиа үйлчилгээ, зөөврийн утас, кабелийн телевиз гэх мэт).

63
3.3.4.2 Төслийн тодорхойлолт
Хянах шинжлэх гол үзүүлэлтүүд
Төслийн нарийвчилсан мэдээлэл:
-

МХХ-ны үйлчилгээний төрөл
Хэрэгжүүлэх хөтөлбөр, зорилтот зах зээлд эзлэх хувь

Техникийн үзүүлэлтүүд (Жишээ нь):
-

Кабелийн урт, сүлжээнд хамрагдах газар нутгийн хэмжээ, холболт/дэд станцуудын байршил зэрэг
физик мэдээлэл;
Байгууламжийн техник, сүлжээний техник үзүүлэлтүүд, тоон мэдээлэл;
Алсын удирдлага, эрчим хүчний холболт зэрэг нэмэлт байгууламжуудын техник үзүүлэлтүүд,
байгууламжийн техник, мэдээллүүд;

Фүнкцийн үзүүлэлтүүд:
-

МХХ-ны дэд бүтцийн төрөл, урсгалын багтаамж төрөл;
Харилцааны дээд хурд;
Төлөвлөж буй дэд бүтэц ба одоогийн МХХ-ны системийн хоорондын фүнкцийн ба физик холболтууд;
Коммутацийн төрөл, протокол, давтамжийн банд (GHz) ба чадал (kW).

3.3.4.3 Бололцооны ба хувилбарын шинжилгээ
Төслийн бололцоог баталгаажуулахад хөдөлгөөний багтаамж ба өдрийн, долоо хоногийн, улирлын
төлөв нь (хөдөлгөөний хамгийн өндөр ачаалал ба системийн гүйцэтгэх чадавхийн хоорондын зөв
шийдэл нь хамгийн оновчтой багтаамж болно) гол үүрэг гүйцэтгэдэг.
Эдгээр төрлийн төслүүдийн төрөл бүрийн хувилбарууд нь:
- Тухайн дэд бүтцийн хүрээн дэх боломжтой техникийн хувилбарууд (жишээ нь өөр өөр
төрлийн кабелууд, өөр өөр дамжуулалтын протоколууд, өөр өөр холболтын технологууд гэх
мэт);
- Радио станцуудын байршлын хувилбарууд, төлөвлөж буй дэд бүтцийн бусад глобал
хувилбарууд (оптик шилэн кабелийн оронд төстэй үйлчилгээ үзүүлэх хиймэл дагуулын
дамжуулах эсвэл агаарын кабел гэх мэт);
3.3.4.4

Санхүүгийн шинжилгээ

Санхүүгийн орох ба гарах урсгалууд:
Санхүүгийн орох урсгал




Санхүүгийн гарах урсгал

Үйлчилгээний борлуулалт (тариф)
Тоног төхөөрөмжийн түрээс
Оролтын хураамж





Хөрөнгө оруулалтын зардал
Ажиллах хүч
Ерөнхий зардал
Шинэ тоног төхөөрөмж
Үйл ажиллагааны зардал
Үйлдвэрлэлийн түүхий эд
Засвар үйлчилгээ
Техникийн болон захиргааны ажиллах
хүч
Түлш, цахилгаан

Каблийн сүлжээ ба алсын зайны кабелийн хөрөнгө оруулалтыг 20 жилээр бусад бүрэлдэхүүн
хэсгийн хувьд 10 жилээр тус тус тооцоолно.

64
3.3.4.5 Эдийн засгийн шинжилгээ
Нэмэлт үйлчилгээ, одоогийн үйлчилгээний хэрэглээний ба бүтээмжийн өсөлт нь МХХ-ны төслийн
үндсэн үр ашгуудад хамаарна.
Үр ашиг

-

-

Зардал

-

Хэмнэсэн цагийн (хүлээх цаг, дамжуулах цаг) үнэ цэнэ. Үнэлгээний зорилгоор
хэрэглэгчдийг бүлэглэж болох бөгөөд жишээ нь өрхийн хувьд өрхийн гишүүдийн
дундаж орлого, бизнесийн бүлгийн хувьд бизнесийн байгууллагын дундаж нэмүү өртөг
нь хэмнэсэн цагийг тоонд шилжүүлэх хэмжилтийн нэгж болно.
Төсөлгүйгээр авч болохгүй байх байсан нэмэлт шинэ үйлчилгээний үнэ цэнэ. Зарим
тохиолдолд хэмнэсэн цагийн аргыг үнэлгээнд ашиглаж болох боловч ихэнхи
тохиолдолд хэрэглэгчийн шинэ үйлчилгээнд төлөх-сонирхлыг таамаглаж болно.
Орон нутгийн байгаль орчинд үзүүлэх сөрөг нөлөөллийн өтрөг.

3.3.4.6 Эрсдлийн үнэлгээ

3.3.4.7 Төслийн үнэлгээний бусад аргачлалууд
Төслийн уян хатан чанар, ирээдүйн технологийн хөгжилд нийцэх чадвар нь нэг чухал үзүүлэлт
болно. Технологийн хувьд ирээдүйн хөгжлөөс (кабел уу эсвэл кабелгүй орон нутгийн сүлжээ?)
үүдэх өргөн хэрэглээнд нийцэх чадварыг шалгах нь чухал ач холбогдолтой.
Хяналтын хуудас




Урсгалын багтаамж ба өдрийн, долоо хоногийн, улирлын төлвийг таамаглах.
Утасны хувьд засгийн газраас зохицуулагдаж буй үнэ, тариф нь үнийн динамикийг
таамаглахад тусална.
Санхүүгийн орлогоос гадна дараахь эдийн засгийн нөлөөг харгалзана. Үүнд:
- МХХ-ны хэмнэсэн цагийн үнэ цэнэ (хэрэглэгчдийг бүлэглэж болно)
- Төсөлгүйгээр авч болохгүй байх байсан (төлөх-сонирхол) шинэ нэмэлт
үйлчилгээний үнэ цэнэ;

65
3.4 Бусад салбарууд
3.4.1 Боловсрол ба сургалт
3.4.1.1 Төслийн зорилтууд
Төсөл нь дараахь зорилтуудтай байж болно. Үүнд:





суурь боловсрол;
мэргэжлийн боловсрол;
дээд боловсрол (universities, business schools, etc.);
бусад;

3.4.1.2 Төслийн тодорхойлолт
Төслийн үнэлгээнд дараахь нарийвчилсан тоон мэдээлэл чухал ач холбогдолтой. Үүнд:
Хянах, шинжлэх үндсэн үзүүлэлтүүд
Техник, барилга угсралтын мэдээлэл:
-

Сургалтын (анги, танхим) ба холбогдох бусад үйл ажиллагааны (номын сан, лаборатор);
зориулалттай байгууламжийн барилгын зураг төсөл;
Орон нутгийн харилцаа холбооны сүлжээнд холбогдсон байдал;
Ач холбогдол бүхий тоног төхөөрөмжүүд;

Бусад мэдээлэл:
-

Боловсролын үйл ажиллагааны төрөл, төвшин;
Сурагчдын тоо, хамрагдах газар нутгийн хэмжээ;
Холбогдох үйлчилгээ (номын сан, спортын танхим, цайны газар гэх мэт);
Ирэх жилүүдэд санал болгох сургалтын төлөвлөгөө;
Хичээлийн үргэлжлэх хугацаа;
Сургалтын хичээлүүдийн төрөл, тоо;
Сургалтын аргачлал;
Төгсөгчдөд олгох мэргэжлийн цол, гэрчилгээ;

3.4.1.3 Бололцооны ба хувилбарын шинжилгээ
Энэ төрлийн судалгаа нь ирээдүйн боловсролын хэрэгцээг тодорхойлох хүн ам, хөдөлмөрийн зах
зээлийн төлөв, чиг хандлагад төвлөрнө. Үүнд:
-

Хүн амын бүтцийн төлөв (нас, орон нутаг);
Боловсрол, сургалтын үйлчилгээнд хамрагдсан хувь, төгсөгчид (насаар, хүйсээр,
орон нутгийн захиргааны нэгжээр);
Салбаруудын ажил эрхлэлтийн төлөв (нийгэм-эдийн засгийн бүтцэд орох
өөрчлөлтийн төлөв, мэргэжлийн ажиллах хүчний ирээдүйн хэрэгцээний өсөлт ба
бууралт);

Төслийн боломжит бусад хувилбаруудыг дараахь чиглэлээр ангилж болно. Үүнд:




Зорилт (ажилгүйчүүд, залуучуудад чиглэсэн гэх мэт);
Сургалтын хөтөлбөрт хамрагдах эдийн засгийн салбарууд;
Орон нутгийн эдийн засгийн хөгжилтэй уялдсан байдал;

66
3.4.1.4 Санхүүгийн шинжилгээ
Санхүүгийн орох ба гарах урсгалууд:
Санхүүгийн орох урсгал



Санхүүгийн гарах урсгал

Хураамж, жилийн төлбөр
Засгийн газрын дэмжлэг





Хөрөнгө оруулалтын зардал
Газар
Барилга, байгууламж
Тоног төхөөрөмж
Үйл ажиллагааны зардал
Ажиллах хүч
Бараа, үйлчилгээ
Засвар үйлчилгээ

Санхүүгийн шинжилгээг 15-20 жилээр тооцоолно.

3.4.1.5 Эдийн засгийн шинжилгээ
Эдийн засгийн үр ашгийг тодорхойлоход шаардагдах хувьсагчууд:
-

Сургалтын багтаамжтай харьцуулсан бүртгэлийн ашигт хувь;
Улирах сурагчдын хувь жил бүрээр;
Сурагчдын дундаж ирцийн хувь;
Сурагчдын төгсөлтийн хувь;
Сургалтын стандардын биелэлт;
Сургалтын материалын чанар;
Сургалтын тоног төхөөрөмжийн хэрэглээний хувь;
Багш нарын бэлтгэлийн төвшин (бодит шалгуураар);
Сургалтын агуулгын төвшин, чанар;

Хөдөлмөрийн зах зээлд үзүүлэх төслийн нийгмийн нөлөөллийн үндсэн үр ашиг ба өртгүүд:
Үр ашиг

-

-

Зардал

-

Төгсөгчдийн ажил эрхлэлтийн тоо, хувь ба тусгай сургалтад хамрагдаагүйн
улмаас ажил эрхлэлтэд бүрэн хамрагдаж чадахгүй байх сурагчдын тоо, хувь;
Хэрэв сургалтын тэргүүлэх чиглэл нь хөдөлмөрийн зах зээлд нэвтрэх
бололцоог дээшлүүлэхэд чиглэж байвал сургалтад хамрагдсан төгсөгчдийн
хөдөлмөрийн зах зээлд авч буй цалин, хөлсний өсөлтөөр сургалтын үр ашгийг
(тоогоор) илэрхийлж болно.
Ижил төстэй хувийн сургалтын дундаж төлбөр буюу сурагчийн төлөхсонирхол нь (willingness-to-pay) нийгмийн үр ашгийг тооцоолох бас нэг өөр
хувилбар байж болно. Гэхдээ энэ аргыг хэрэглэхдээ сургалтын чанарын
зөрүү, орлогын төвшнөөс хамаарах эрсдлийн зэрэг гэх мэт хүчин зүйлсийг
харгалзан үзнэ.
Санхүүгийн шинжилгээнд орсон зардлуудаас гадна өндөр нягтралтай
суурьшсан хот суурингийн өсөн нэмэгдэх тээврийн хөдөлгөөнөөс нийгэмд
учруулах нэмэлт өртөг;

67
3.4.1.6 Эрсдлийн үнэлгээ

3.4.1.7 Үнэлгээний бусад аргачлалууд
Сургалтын хөтөлбөрийн үнэлгээний хамтаар санал болгож буюу зорилтод хүрэх, нийгмийн
хэрэгцээг хангах боловсролын хөрөнгө оруулалтын чадамжийн талаархи үнэлгээг хараат бус
мэргэжилтнүүдээр хийлгэх нь зарим тохиолдолд зохимжтой байдаг.
Хяналтын хуудас




Тухайн орон нутгийн ажилгүйдлийн төвшингөөр тухайн тусгай боловсролын боломжит эрэлтийг
тодорхойлох бололцоотой болно.
Нийгэм-эдийн засгийн салбаруудын ажил эрхлэлтийн төвшинг тодорхойлсноор мэргэжлийн эрэлтийн
төлвийг тодорхойлох боломжтой болно.
Тухайн боловсролын хөтөлбөр байхгүй байсан бол ажил эрхлэлтэд бүрэн хамрагдахгүй байсан
сурагчдад шинээр нээгдэх хөдөлмөрийн зах зээл нь эдгээр боловсролын төслүүдийн эдийн засгийн
үндсэн үр ашиг болно. Үр ашгийг дараахь аргачлалаар үнэлнэ. Үүнд:
Үр ашгийг шилжүүлэх аргачлал (benefit transfer method);
Сургалтад хамрагдсан төгсөгчдийн орлогын өсөлтөөр үнэлэх;

3.4.3 Эмнэлэг ба эрүүл мэндийг хамгаалах бусад дэд бүтэц
3.4.3.1 Төслийн зорилтууд
Эдгээр төслүүдийн язгуур зорилтууд нь хүн амын наслалтыг нэмэгдүүлэх, амьдралын чанарыг
сайжруулахад оршно.

3.4.3.2 Төслийн тодорхойлолт
Эрүүл мэндийг хамгаалах дэд бүтэц өөрөө цогц учраас төслийн зорилтуудыг тодорхойлох
шаардлагагүй бөгөөд дараахь үндсэн үзүүлэлтүүдийг тайлбарлаж болно. Үүнд:
Хяналт, судалгааны үндсэн үзүүлэлтүүд
Фүнкцийн үзүүлэлтүүдийн жишээ:
-

Эмчилгээний ангилал

68
-

Зорилтот хүн ам;
Оношлогооны фүнкц;
Урт ба богино хугацааны эмчилгээ;

Үндсэн үзүүлэлтийн жишээнүүд:
-

Хэрэглэгчдийн өдөр, сар, жилийн дундаж ба дээд тоо;
Тасгуудын жагсаалт;

Физик үзүүлэлтүүд:
-

Талбайн хэмжээ;
Эмчилгээ, сувилгаа, оношлогоо, зөвлөгөөний өрөө тасалгааны тоо;
Гадуур эмчлүүлэгчдийн тасаг;

Техникийн үзүүлэлтүүд:
-

Дотоод, гадаад талбай, тохижилт;
Тоног төхөөрөмжүүд;
Барилга байгууламжийн үзүүлэлтүүд;
Харилцаа холбоо, цахилгаан ба дэд бүтцэд холбогдсон байдал;

3.4.3.3 Бололцоо ба хувилбарын шинжилгээ
Хувилбаруудын хувьд харгалзан үзэх үндсэн асуудлууд:
-

Эмчилгээ, оношлогооны харилцан адилгүй технологийн шийдлүүд;
Шинэ дэд бүтэц байгуулах эсвэл одоо байгаа дэд бүтцийг өргөжүүлэх;
Эмчилгээний өөр өөр системүүд;

3.4.3.4 Санхүүгийн шинжилгээ
Санхүүгийн орох ба гарах урсгалууд:
Санхүүгийн орох урсгал




Санхүүгийн гарах урсгал

Эмчилгээ, оношлогооны төлбөр,
хураамжууд;
Нэмэлт үйлчилгээ
Нэг ортой өрөө;
Засгийн газрын дэмжлэг;




Хөрөнгө оруулалтын зардал;
Урсгал буюу үйл ажиллагааны зардал;
Бараа, үйлчилгээний зардал;
Засвар, үйлчилгээний зардал;
Ажиллах хүчний зардал;
Эмчилгээний үйлчилгээний зардал;

Санхүүгийн шинжилгээг 20 жилээр тооцоолно.

3.4.3.5 Эдийн засгийн шинжилгээ
Эрүүл мэндийн үр ашгийг мөнгөжүүлэх нь цогц сэдэв. Үйлчилгээний зах зээлийн үнэ (төлөхсонирхол) ба амьдралын чанарт тохирсон уртассан амьдралын хүлээлтийн индекс нь эдийн
засгийн шинжилгээнд өргөн хэрэглэгддэг аргууд болно.
Статистик амьдралыг үнэлэх үндсэн 2 аргууд:

69
-

-

Оюуны хөрөнгийн аргачлал: Эрүүл мэндийн хөрөнгө оруулалт нь хөдөлмөрийн
бүтээмжийг нэмэгдүүлнэ. Зөвхөн эдийн засгийн гарцад эрүүл мэндээс үзүүлэх
нөлөөллийг хянадгаараа болон эрүүл мэндийн хэрэглээний үнэ цэнийг харгалзан
үздэггүйгээрээ энэ аргачлал нь хязгаарлагдмал.
Төлөх-сонирхол (willingness-to-pay):
Энэ нь хамгийн өргөн хүрээнд тархсан
аргачлал бөгөөд эрсдэлтэй ажлын байрны нэмэгдэл орлогын шагнал эсвэл
хэрэглэгчийн аюулгүй байдлын зардал дээр суурилдаг.

Үр ашиг

-

Зардал

-

Эмчилгээний зардлын ирээдүйн хуримтлал;
Хөдөлмөрийн
чадваргүй
байсан
хугацааны
бууралтаас
хамаарсан
үйлдвэрлэлийн алдагдлын бууралт;
Уртассан амьдралын хүлээлт, амьдралын чанарын сайжрилт;
Урьдчилан сэргийлсэн ба аварсан хүний тоо (статистик амьдралын үнэ цэнэ);
Санхүүгийн үнэлгээн дэх эдийн засгийн үнэд шилжүүлсэн зардлаас гадна өсөн
нэмэгдэх тээврийн зардлыг тооцоолж болно.

3.4.3.6 Эрсдлийн үнэлгээ

3.4.3.7 Төслийн үнэлгээний бусад аргачлалууд
Эрүүл мэндийн салбарт өргөн хэрэглэгддэг ба харьцуулахуйц тоон мэдээлэл бүхий зардал-ашигт
байдлын шинжилгээ (cost-effectiveness analysis) зэрэг энгийн физик хэмжүүрээр үр ашгийг үнэлэх
нь зарим үед зохимжтой байдаг. Энэ тохиолдолд зардал нь аварсан буюу урьдчилан сэргийлсэн
амь насаар илэрхийлэгдэнэ. Эрүүл мэндийн төслийн дотоод үнэ цэнийг хараат бус
мэргэжилтнүүдийн баг тодорхойлж болно.
Хяналтын хуудас





Төсөлд хамрагдах бүс нутагт хамаарах эмчилгээний ирээдүйн төлвийг таамаглах;
Эрүүл мэндийн (epidemiological) мэдээллийн эх үүсвэрийн сонголтод онцгой анхаарна.
Үйл ажиллагааны буюу урсгал зардлыг таамаглах;
Эрүүл мэндийн дэд бүтцийн хөрөнгө оруулалтын үр ашиг болон амьдралын үнэ цэнийн хамаарлыг
харгалзсаны дүнд шинжээчид нь статистик амьдралын үнэ цэнийн үнэлгээний аргачлалд анхаарлаа
хандуулах ѐстой.

70
3.4.5 Үйлдвэрлэлийн бүс ба технологийн парк
3.4.5.1 Төслийн зорилтууд
Эдгээр төрлийн төслүүдийн үндсэн зорилтууд:
- Үйлдвэрлэл, худалдаа, үйлчилгээний бүсийн дэд бүтцийг байгуулах;
- Нягтрал ихтэй, орчны бохирдолтой суурьшлын бүсээс үйлдвэрлэлийн
байгууламжийг нүүлгэн шилжүүлэх;
- Технологийн паркад бизнесийн байгууллагуудыг суурьшуулах;

3.4.5.2 Төслийн тодорхойлолт
Хянах, судлах үндсэн үзүүлэлтүүд
Үндсэн үзүүлэлтүүд (жишээ):
-

Талбайн хэмжээ, зорилтот сегмент ба бизнесийн байгууллагуудын тодорхойлолт;
ААН-үүдийн тоо, хэмжээ, төрөл;
Бусад худалдаа, үйлчилгээний төрөл;

Техникийн үзүүлэлтүүд (жишээ):
-

Гадаад ба дотоод дэд бүтцийн байгууламж;
Тоноглогдсон бүсийн талбай, байршил, нарийвчилсан бүтэц;
Ач холбогдол бүхий техникийн элементүүд (мулти-медиа үйлчилгээний төв гэх мэт);

3.4.5.3 Бололцоо ба хувилбарын шинжилгээ
Шинэ үйлдвэрлэлийн бүсэд шинээр суурьших ААН-н эрэлт ба шинээр байгуулагдах бизнесийн
байгууллагуудын тоогоор төслийн бололцоо буюу үндэслэлийг баталгаажуулна. Хувилбарын
шинжилгээ нь бодлогын бусад хувилбаруудыг харгалзана. Жишээ нь үл хөдлөх хөрөнгө худалдан
авах, технологийн шинэчлэл хийх, шинэ үйлдвэрлэлийн шугамыг нэвтрүүлэхэд нь ААН-д олгох
урамшууллууд гэх мэт.

3.4.5.4 Санхүүгийн шинжилгээ
Санхүүгийн орох урсгал




Санхүүгийн гарах урсгал

Газрын түрээс
Агуулахын түрээс
Үл хөдлөх хөрөнгийн үйлчилгээний
борлуулалтын үнэ





Санхүүгийн шинжилгээг 20 жилээр тооцоолно.

71

Хөрөнгө оруулалтын зардал
Ажиллах хүч
Ерөнхий зардал
Тоног төрөөрөмж
Үйл ажиллагааны буюу урсгал зардал
Дэд бүтцэд шаардлагатай бараа,
үйлчилгээний зардал
Засвар үйлчилгээ
Техник, захиргааны ажилтнуудын
зардал
Ус, цахилгаан
3.4.5.5 Эдийн засгийн шинжилгээ
Алслагдсан буюу орхигдсон бүс нутгийн эдийн засгийн хөгжилд таатай орчныг бүрдүүлэх нь энэ
төрлийн хөрөнгө оруулалтын төслийн стратеги зорилт болдог. Зорилтын хэрэгжилтийн
үзүүлэлтүүд:
-

Компаниудын бизнесийн ур чадвар, өрсөлдөх чадварыг дээшлүүлэх;
Ажилтнуудыг дахин сургах;
Үйлчилгээний байгууллагуудыг шилжүүлэн суурьшуулах, шинээр байгуулах;
Бизнесийг эхлүүлэх (start-up cost) зардлын бууралт;

Эдгээр сэдвүүдийг эдийн засгийн нөлөөллийн шинжилгээнд (economic impact analysis) бүрэн
хамруулна.
Зардал-үр ашгийн шинжилгээ:
Үр ашиг

ААН-н зах зээлд эзлэх байр суурийг бэхжүүлэх:
-

Зардал

Тээврийн зардлын хэмнэлт
Маркетингийн идэвхижүүлэлтийн нөлөө
Үйлчилгээний өртгийн бууралт
Технологийн дэвшил
Бусад үйлчилгээнд хамруулах

Санхүүгийн шинжилгээнд хамрагдаагүй бусад зардлыг харгалзан үзэх, үүнд:
-

Байгаль орчинд үзүүлэх сөрөг нөлөөллийн өртөг

3.4.5.6 Эрсдлийн үнэлгээ

Хяналтын хуудас




Үйлдвэрлэлийн шинэ бүсэд шилжин суурьших ААН-н эрэлт;
Шинээр байгуулагдах бизнесийн байгууллагын төрөл, тоо;
Эдийн засгийн үндсэн үр ашиг нь үйлдвэрлэлийн шинэ бүсэд суурьшсан ба шинээр байгуулагдсан
компаниудын үйл ажиллагааны зардлын хэмнэлт болно.

72
Дөрөвдүгээр Бүлэг
Үнэлгээний жишээнүүд
Удиртгал
Энэ бүлэгт өмнөх бүлгүүдэд танилцуулсан аргачлалуудыг хэрэглэсэн 4 жишээг тайлбарлана. Үүнд:
-

Авто замын хөрөнгө оруулалт;
Төмөр замын хөрөнгө оруулалт;
Хаягдал ус цэвэрлэх байгууламжийн хөрөнгө оруулалт;
Үйлдвэрлэлийн хөрөнгө оруулалт;

Жишээнүүд нь төслийн бүрэн үнэлгээг хараахан илэрхийлэхгүй
аргачлалуудын хэрэглээг тайлбарлах үндсэн зорилготой болно.

бөгөөд

өмнө

дурдсан

4.1 Жишээ: Авто замын хөрөнгө оруулалт
4.1.1 Удирдтгал
Замын хөдөлгөөний ачааллыг багасгах, агаарын бохирдлыг бууруулах нь төслийн үндсэн
зорилтууд болно. 72 км урт замын төсөл нь замын хөдөлгөөний нягтрал буурснаас үүдэх авто
замын осол аваарын бууралтад зохих хувь нэмэр оруулахаар төлөвлөгдсөн. Мөн цаг хэмнэлт нь
төслийн нэг үндсэн үр ашиг болно. Жишээн дээр чөлөөт ба төлбөртэй авто замын хувилбарыг
харуулав.

4.1.2 Замын хөдөлгөөний төлөв
Замын хөдөлгөөний ирээдүйн төлөв нь хүн ам, ДНБ-ий өсөлт, үндэсний замын хөдөлгөөний
төлвийн хамгийн сүүлийн шинэчилсэн судалгаан дээр тулгуурлана. Төсөлд шууд хамаарах бүс
нутгийг ба түүний харьяа бүх замын сүлжээний хөдөлгөөнийг судалгаанд хамруулав.
Зорчигч ба бараа тээвэрт харилцан адилгүй өсөлтийн хувийг ашиглав. Зохимжтой цагийн үнэ
цэнийг (values of time or VOT) хэрэглэхийн тулд зорчигчийн эрэлтийг аялалын зорилгоор нь
ангилав. Төсөлтэй ба төсөлгүй ирээдүйн хөдөлгөөний эрэлтийг “замын хөдөлгөөний загвар 55”-аар
тооцоолов.
Шинэ холболтын үр ашгийг үнэлэхийн тулд шинэ зам дээрхи нийт замын хөдөлгөөнийг 3
бүрэлдэхүүн хэсэгт ангилав. Үүнд:
-

-

Хуучин маршрутаас шинэ замд шилжих хөдөлгөөн. Шилжин ирэх хөдөлгөөн нь өндөр хурд,
бага түгжрэлээс үүдэх цагийн хэмнэлтээс үр ашиг хүртэнэ.
Хоѐр дахь бүрэлдэхүүн хэсэг нь шинэ холболтоос үүдэн шинээр үүсэх замын хөдөлгөөн.
Шинээр үүсэх хөдөлгөөний үр ашгийг аялалын ерөнхий өртгөөс (аялалын цаг, тээврийн
хэрэгслийн урсгал зардал, замын хураамж) илүү гарах зорчигчийн төлөх-сонирхлын
(willingness-to-pay) илүүдэл дүн буюу харилцагчийн илүүдлээр (consumer‟s surplus)
илэрхийлнэ. Шинээр үүсэх хөдөлгөөн нь байгаль орчны бохирдол, дулаарал, дуу чимээ
зэрэг гадаад нөлөөллөөс хамаарах өртгийг мөн бий болгоно.
Эцэст нь одоо байгаа зам дээрхи хөдөлгөөний ачаалал буурснаар цаг хэмнэх, агаарын
бохирдлыг багасгах, тээврийн хэрэгслийн урсгал зардлыг бууруулах бололцоо бүрдэнэ.
Зарим зорчигчийн цагийн хэмнэлтийн үнэ цэнэ нь замын хураамжаас хэтрэхгүй учраас
хураамжгүй замын хувилбар нь тээврийн хөдөлгөөний өсөлтөд хүргэнэ.

Тээврийн эрэлтийг BAU (business as usual) сценартай тус тусад нь харьцуулсан тээврийн нэгдсэн
зурвасын ба хувилбар тус бүрийн хувьд таамаглана. Суурь жил, ирэх 25 жил, түүний дараахь 1

73
жилийн зам тээвэр, макро ба нийгэм-эдийн засаг, хүн амын тоо мэдээлэл нь загварчлалын үйл
явцын үндсэн ач холбогдол бүхий орц болно. 25 жилээс хойшхи жилүүдийн тээврийн эрэлтийг
тогтмол байна гэж үзнэ.
Шинэ авто замын нээлтийн жилд хоѐр хотыг холбосон тээврийн зурвасын дагуух нийт ачаа тээвэр,
зорчигчийн урсгалыг хүснэгт 4.1-д нэгтгэв. Үүнд:
- BAU сценар дахь одоогийн сүлжээний замын хөдөлгөөн;
- Хураамжгүй шинэ замын хөдөлгөөн (шилжсэн, шинээр үүссэн, одоогийн сүлжээнд үлдэх);
- Замын хураамжтай шинэ замын хөдөлгөөн (шилжсэн, шинээр үүссэн, одоогийн сүлжээнд
үлдэх).

4.1.3 Хөрөнгө оруулалтын зардал
Шинэ авто замын санхүүгийн зардлын тооцоолол нь хүлээгдэж буй замын хөдөлгөөний эрэлтийн
таамаглалтай зэрэгцэн хийгдэх хоѐр дахь алхам болно. Төслийн инженерүүдийн боловсруулсан
замын хөрөнгө оруулалтын зардлыг хураамжтай зам, хураамжгүй зам гэсэн 2 хувилбараар
боловсруулав. Замын хураамж авах дэд бүтэц, байгууламж, тоног төхөөрөмжөөс шалтгаалан
хураамжтай замыг байгуулах санхүүгийн өртөг нь өндөр болно. Хөрөнгө оруулалтын зардлыг
үндсэн төрлүүдээр нь (ажиллах хүч, бараа, үйлчилгээ, тоног төхөөрөмж гэх мэт) ангилав. Энэ нь
санхүүгийн зардлыг шилжүүлгийн фактор ашиглан эдийн засгийн зардалд шилжүүлэх бололцоо
олгоно (хүснэгт 4.3).
Дэд бүтцийн теникийн ашиглалтын хугацаа нь 70 жил бөгөөд үлдэгдэл үнийг (residual value) анхны
үнийн 40 хувиар тооцов. Авто зам нь 4 жилд баригдана.

74
4.1.4 Эдийн засгийн шинжилгээ
Хураамжтай замын NPV(C) нь хураамжгүй замынхаас илүү болох нь урьдчилсан санхүүгийн
шинжилгээгээр тогтоогдсон. Бүс нутгийн хөгжлийн өнцгөөс харахад санхүүгийн шалгуур нь
шийдвэр гаргахад хүрэлцээгүй учраас эдийн засгийн шинжилгээ хийх хэрэгцээ тулгарна. Замын
эдийн засгийн үнэлгээ нь төслөөс үүдэх нийгмийн үр ашиг, зардлыг харгалзана. Эдийн засгийн
үнэлгээгээр илүү үр ашигтай гэж тооцоолсон төслийн хувилбар дээр санхүүгийн шинжилгээг хийнэ.
Эхлээд санхүүгийн хөрөнгө оруулалт ба засвар, үйлчилгээний зардлыг төсөвт тохируулсан. Мөн
ажиллах хүчний зардлыг нийгмийн даатгалын шимтгэл, орлогын албан татвараар (шилжүүлгийн
факторыг ашиглан) тохируулав. Ажилгүйдэл өндөртэй энэ бүс нутгийн цалин, хөлсний
шилжүүлгийн факторыг 0,6-аар тооцов.
Санхүүгийн зардал нь эдийн засгийн зардлыг төлөөлөх учраас бусад зардлын хувьд шилжүүлгийн
факторыг ашиглаж тохируулга хийгээгүй. Газрын үнийн шилжүүлгийн фактор 1 болно. Нэгж
бүрэлдэхүүн хэсгийн (ажил, тоног төхөөрөмж, цахилгаан гэх мэт, доорхи хүснэгийг харах)
шилжүүлгийн факторын жигнэсэн дунджаар тооцоолсон тусгай шилжүүлгийн факторыг хөрөнгө
оруулалт, засвар, үйлчилгээний зардал ба хураамжийн системд ашиглав. Түүхий эдийн стандард
шилжүүлгийн фактор нь 0,98-тай, харьцуулах нийгмийн хямдруулалтын хувь нь 5,5%-тай тус тус
тэнцэнэ.

Төслийн эерэг нөлөөллүүд:
-

Шинэ авто замаар зорчигчдийн хувьд цаг хэмнэх, тээврийн хэрэгслийн зардлыг бууруулах
эерэг үр ашигтай боловч шинэ замд орох гарах зай урт учраас эдгээр хэмнэлт нь нийт
зардлаас бага байна.
Шинэ замд шилжих хөдөлгөөнөөс үүдэн хуучин замын сүлжээний хэрэглэгчийн хувьд
хөдөлгөөний хурд нэмэгдэх, замын ачаалал багасж улмаар цаг хэмнэх үр ашигтай.

Төслийн үр ашгийн бүрэлдэхүүн хэсгүүд:
a) Хэрэглэгчийн илүүдэл (consumer‟s surplus);
b) Авто замын операторын бохир илүүдэл (gross producer‟s surplus of the motorway operator);
c) Замын зорчигчийн илүүдэл (road users producer‟s surplus);
d) Засгийн газрын төсвийн орлогод орох өөрчлөлт (шатахууны татвар);
e) Байгаль орчны цэвэр үр ашиг;
f) Осол аваарын бууралт;
Дээрхи үр ашгуудыг дараахь байдлаар тооцоолов. Үүнд:
a) Хэрэглэгчийн илүүдэл (Consumer‟s surplus):
Загварын дагуу зорчигч ба ачаа тээвэр нь тээврийн хэрэгслийн үйл ажиллагааны зардал (vehicle
operating cost or VOC) дээр үндэслэн явах маршрутаа сонгоно. VOC нь хүн тээврийн хэрэгслийн

75
хувьд шатахуун, тос, хураамж харин ачаа тээврийн хэрэгслийн хувьд шатахуун, тос, даатгал,
жолоочын цалин болно.
Хэрэглэгчийн илүүдэл нь аялалын өртгөөс хамаарна. Шинэ хуучин аль ч маршрутын аялалын цаг
богиносно. Аялалын зорилгоос хамаарч бизнесийн, хувийн аялалын ба бусад гэсэн 3 өөр аялалын
цагийг хэрэглэв. Ачаа тээврийн хувьд зөвхөн нэг аялалын цагийг ашиглав. BAU, хураамжтай мөн
хураамжгүй авто зам гэсэн ангиллаар хуваасан үйл ажиллагааны дундаж өртөг ба аялалын цагийг
хүснэгт 4.4-д харуулав. Замын хураамж болон нэмэгдэх аялалын цагаас хамаарч нийт сүлжээний
тээврийн хөдөлгөөний үйл ажиллагааны зардал нэмэгдэх боловч хэмнэсэн цагийн үр ашиг нь энэ
төрлийн зардлын өсөлтөөс илүү байна. Аялал бүрийн хүлээгдэж буй өртөг нь BAU-тай харьцуулсан
хувилбар бүрийн хувьд бага байна. Хүснэгт 4.5 нь харилцагчийн илүүдлийн тооцооллыг харуулав.
Одоогийн сүлжээн дэх ерөнхий өртгөөс хувилбар бүрийн хүлээгдэж буй өртгийг хасаж нэгжийн үр
ашгийг тооцоолно. Харин шинээр үүсэх хөдөлгөөний нэгжийн үр ашиг нь хувилбарын нэгжийн үр
3
ашгийн 50 хувьтай тэнцэнэ.
Нэгжийн үр ашгийг хувилбарын нийт багтаамжтай үржүүлж
4
хэрэглэгчийн нийт үр ашгийг тооцоолно.
b) Хүснэгт 4.6-д хурдны авто замын операторын үйлдвэрлэгчийн илүүдлийн тооцооллыг
харуулав.
c) Авто машин үйлдвэрлэгчийн илүүдэл: Авто машиний элэгдэл хорогдлын нийт дүнгээс
хүснэгт 4.4-д заасан VOC-ийг хасж мэдрээгүй (nonperceived) үйл ажиллагааны зардлыг
тооцоолно.
d) Засгийн газрын цэвэр орлого: Шинэ хурдны авто замд орох гарах маршрут уртсах учир
засгийн газрын төсөвт шатахууны татвар хэлбэрээр орж ирэх орлого нэмэгдэнэ (хүснэгт
4.7).
e) Байгаль орчны цэвэр үр ашиг: Өсөн нэмэгдэх нийт тээврийн хөдөлгөөний улмаас утааны
ялгарал нэмэгдэх боловч нягт хүн ам суурьшсан бүсээс сийрэг суурьшсан бүсэд
хөдөлгөөнийг шилжүүлэх нь гадаад орчны эерэг нөлөөлөлд хүргэнэ. Нийт шатахуун
зарцуулалт ба CO2-ийн ялгаруулалт гэсэн 2 үзүүлэлтийг хэрэглэнэ. Хүн ам нягт ба сийрэг
суурьшсан бүс нутгийн агаарын бохирдлын нөлөөллийг мөнгөжүүлэхэд ялгавартай хандах
бөгөөд эхнийх нь дүн өндөр байна. Харьцуулалтын мөнгөн дүнг ҮХШХ-ны зөвлөсөн дүнгээр
байхгүй бол Монгол Улс ба олон улсад хэрэглэж буй жишиг дүнгээр тогтооно.
f) Осол, аваарын бууралт: Европын улсуудын хувьд орон нутгийн зам ба хурдны зам дээрхи
осол аваарын хувь 0,32 ба 0,09 байдаг гэж тооцоолбол урьдчилан сэргийлсэн буюу буурах
осол, аваарын үр ашгийг олон улсад хэрэглэж буй жишиг дүнгээр тооцоолно.

3

Жишээ нь зорчигчийн хувь хураамжгүй хувилбарын нэгжийн буюу нэг аялалын үр ашиг нь (9.43 – 7.95) = 1.48 ба шинээр үүсэх
хөдөлгөөний нэгжийн үр ашиг нь (9.43 – 7.95)/2 = 0.74.
4

Жишээ нь дээрхи 2 тохиолдлын харилцагчийн илүүдэл нь 1.48 Euro*32.2 million trips = 47.6 Millions of Euros ба 0.74 Euro*0.8 million
trips = 0.6 Millions of Euros тус тус болно.

76
Хүснэгт 4.9 ба 4.10-д хоѐр хувилбарын эдийн засгийн шинжилгээ буюу нийгмийн үр ашиг, зардлын
тооцооллыг нэгтгэж харуулав. Хоѐр хувилбарын эдийн засгийн өнөөгийн цэвэр үнэ ба өгөөжийн
хувь:

Хураамжгүй хурдны авто зам нь гүйцэтгэлийн өндөр үзүүлэлттэй болхыг эдийн засгийн
шинжилгээний үр дүн харуулж байна. Хураамжтай хувилбартай харьцуулахад хурдны зам дээрхи
хөдөлгөөн нэмэгдэх бөгөөд улмаар энэ нь зорчигчдод ч мөн нийгэмд ч нэмэлт үр ашиг авчирна.
Хэрэв хураамж авбал эхний жилүүдийн замын хөдөлгөөн ашиглалтын үр ашигтай төвшинд
хүрэхгүй. Замын ачаалалтай хэсгүүдэд хураамж суутгаснаар хөдөлгөөнийг өөр маршрутад
шилжүүлж болох боловч энэ нь амьжиргааны төвшинд эерэгээр нөлөөлөхгүй. Иймд хөрөнгө
оруулалтын үр ашгийг дээд цэгт хүргэх үүднээс хураамжмйн системийг дараагийн шатанд
нэвтрүүлэх талаар хойшлуулах нь зүйтэй.

77
4.1.5 Сценарийн шинжилгээ
Дараахь хувьсагчуудын дүнгийн 20 хувийн өөрчлөлтийг харгалзсан хувилбар тус бүрээр хоѐр
сценарио шинжилгээ хийв. Үүнд:
-

Цаг хэмнэлтийн дүнг бууруулах;
Тээврийн хэрэгслийн үйл ажиллагааны зардлыг өсгөх;
Хөрөнгө оруулалтын зардлыг өсгөх;

Хураамжгүй хурдны авто замын гүйцэтгэл тогтвортой байгааг мөн түүнчлэн цагийн хэмнэлт болон
бусад гадаад нөлөөллийн хувьсагчийн өөрчлөлт нь хувилбаруудын эрэмбэд өөрчлөлт оруулахгүй
болохыг шинжилгээ харуулж байна.
Мэдрэмжийн шинжилгээг доорхи хүснэгтэд харуулав.

4.1.6 Эрсдлийн үнэлгээ
Мэдрэмжийн тестээр чухал хувьсагч болох нь тогтоогдсон хөрөнгө оруулалтын зардал дээр
эрсдлийн үнэлгээг хийв. Сонгосон хувилбар буюу хураамжгүй хурдны зам дээр зөвхөн эдийн
засгийн гүйцэтгэлийн хэмжүүрт (economic rate of return) эрсдлийн үнэлгээг хийв.
Дараахь дүнгийн зааг бүхий гурван талт магадлалын тархалтыг авав. Үүнд: хөрөнгө оруулалтын
зардал нь хүлээгдэж буй дүнгийн 20%-иас дээш буухгүй ба дээд тал нь түүнээс 2 дахин их байна.
Эдгээр суурь таамаглал нь ижил төстэй төслийн тоон мэдээлэл дээр суурилсан. Зураг 4.1-д
магадлалын тархалтыг харуулав.

78
Төслийн эдийн засгийн өгөөжийн хувь нь (ERR) нь 5,5%-иас буух магадлал 44,9% буюу төсөл
эрсдэлтэй болхыг дараахь зургуудад дүрсэлсэн шинжилгээний үр дүн харуулж байна.

4.1.7 Санхүүгийн шинжилгээ
Нийгэм-эдийн засгийн хувьд давуу болох нь тогтоогдсон хураамжгүй хурдны замын хувилбар дээр
санхүүгийн шинжилгээг хийв. Санхүүжилтийн эх үүсвэрийг дараахь байдлаар тодорхойлов. Үүнд:
- ЕХ-ны буцалтгүй тусламж €129,000,000;
- Төсвийн эх үүсвэр €723,000,000;
Санхүүгийн гүйцэтгэлийн үзүүлэлтүүд:
- Санхүүгийн өнөөгийн цэвэр үнэ (хөрөнгө оруулалт) буюу
Financial Net Present Value (investment) FNPV(C):
- Санхүүгийн өгөөжийн хувь (хөрөнгө оруулалт)
Financial Rate of Return (investment) FRR(C):
- Санхүүгийн өнөөгийн цэвэр үнэ (хөрөнгө)

79

- €755,593,000
- 5.0%
-

Financial Net Present value (capital) FNPV(K):
Санхүүгийн өгөөжийн хувь
Financial Rate of Return (capital) FRR(K):

- €641,616,000
- 4.6%

Нийгэм-эдийн засгийн өнцгөөс харсан эдийн засгийн шинжилгээгээр хураамжгүй хурдны авто
замын хувилбар нь давуу сонголт болох нь тогтоогдсон. Гэвч санхүүгийн өнцгөөс харвал зардлын
нэг хэсгийг эргүүлэн нөхөх эсвэл хувийн хөрөнгө оруулагчийг төсөлд оролцуулах замыг эрэлхийлэх
нь сонирхол татаж байна.
Нэг талаар, хураамжийн системийн давуу болон сул талыг мэдсэнээр хураамжийн давуу талыг
түүнээс үүдэх нийгмийн үр ашгийн алдагдалтай тэнцвэржүүлж болно. Өөрөөр хэлбэл харилцан
адилгүй хураамжтай эрэлтийн загварчлалаар үр ашиг нь нийгмийн зардлаас давах хураамжийн
хэмжээг тооцоолж болно.
Нөгөө талаар, сүүдрийн хураамжийг (shadow tolling) нэвтрүүлснээр төсөлд орж ирэх хувийн
хөрөнгийн урсгалыг баталгаажуулна (доорхи хүснэгтийг харах). Гэхдээ тээврийн хөдөлгөөнийг
шилжүүлснээр үүдэх нийгмийн нэмэлт өртөг нь төсвийн хөрөнгийг хэмнэх хувийн хөрөнгө
оруулалтын үр ашгаас бага байх бүрт харьцуулалтад хэрэглэх төсвийн хөрөнгийн маргинал өртгийг
зөв сонгож тооцоолох хэрэгцээ тулгарна.
Гурав дахь сонголт нь концессийн гэрээгээр дэд бүтцийн зургийг хийх, барих, санхүүжүүлэх, засвар
үйлчилгээ хийх эрхийг хувийн хөрөнгө оруулагчид олгож болно. Үүнд төслийг төлөвлөсөн
хугацаанд барихад болон төслийн удирдлагын үйл явцыг сайжруулахад онцгой анхаарах
шаардлагатай.
Шигтгээ: Сүүдрийн хураамж
Тээврийн дэд бүтцийн хувийн хөрөнгө оруулагчдад тэдний зардлыг эргүүлэн нөхөх орлогын урсгал зайлшгүй
шаардагддаг. Орлогын урсгал байхгүй бол хувийн хэвшил нь үйлчилгээний гэрээгээр төслийг санхүүжүүлэх,
засвар үйлчилгээг хийх, ажиллуулах сонирхолгүй байж болно. Энэ гэрээний хүрээнд хөрөнгө оруулагч нь
замын хөдөлгөөнөөс хамаарах төлбөрийг буюу сүүдрийн хураамжийг гэрээний хугацаагаар авдаг. Сүүдрийн
хураамжийн аргачлал нь уламжлалт төлөөд-зорч гэсэн аргачлалын нэг хувилбарт хамаарна. Энэ аргачлалаар
хөрөнгө оруулалтын зардал, тээврийн хөдөлгөөний эрсдлийг хувийн хэвшилд шилжүүлэх бөгөөд энэ нь Төр
Хувийн хэвшлийн Түншлэлд хамаарна (хавсралт G-г харах). Зорчигч шууд төлбөр хийхгүй боловч нийт
тээврийн урсгал дээр суурилсан гэрээний төлбөрийг хувийн хэвшил авна.

80
81
82
83
84
85
86
87
4.2 Жишээ: Төмөр замын хөрөнгө оруулалт
4.2.1 Оршил
Төслийн зорилтуудыг хэрэгжүүлэхийн тулд засгийн газар хөрөнгө оруулалтын хэд хэдэн
хувилбарын бололцоог судлахаар шийдвэрлэсэн. Урьдчилсан байдлаар төслийг хэрэгжүүлэхэд
техникийн саад бэрхшээлгүй болох нь тогтоогдсон. Хөрөнгө оруулалтын өртгийн ба тээврийн
урьдчилсан судалгаан дээр суурилсан техникийн хувилбаруудын урьдчилсан үнэлгээ нь одоогийн
сценар буюу BAU сценартай харьцуулах хоѐр хувилбарыг сонгох бололцоог олгоно. Үүнд:
-

BAU сценар: Төмөр замын дэд бүтэц өөрчлөгдөхгүй. Авто замын түгжрэл, агаарын
бохирдол ба байгаль орчны хохирол хэвээрээ байна.
Хувилбар 1: Нийгэм-эдийн засгийн хувьд томоохон өөрчлөлтөд хүргэхгүй хязгаарлагдмал
хөрөнгө оруулалтын шийдэл;
Хувилбар 2: Одоогийн төмөр замын дэд бүтцийг бүрэн шинэчлэх хувилбар;

Одоогийн зорчигч ба ачаа тээврийн төмөр замын үйлчилгээг 2 хувийн компани гүйцэтгэдэг ба дэд
бүтцийг засгийн газар эзэмшдэг. Менежментийг төрийн өмчит компани хариуцдаг.

4.2.2 Замын хөдөлгөөний шинжилгээ
Хувилбар 1 нь зорчигч ба ачаа тээврийн бага зэргийн өсөлтөд хүргэнэ. Харин 2 дугаар хувилбар
нь тээврийн эрэлтийн өсөлтөд дорвитой нөлөөлнө. Дараахь хүснэгтэд 2 хувилбарын ачаа
тээврийн үйлчилгээний урьдчилсан таамаглалыг харуулав.

4.2.3 Хөрөнгө оруулалтын зардал
Төмөр замын шинэчлэлийн хөрөнгө оруулалтын тооцоолол нь үнэлгээний 2 дахь алхам болно.
Хөрөнгө оруулалтын зардлын урьдчилсан таамаглалыг төслийн инженерүүд боловсруулсан болно.

88
4.2.4 Эдийн засгийн шинжилгээ
Хувилбаруудын үр ашгийг дараахь өгөгдлүүдээр хэмжив. Үүнд:
-

Одоогийн зорчигчдын цагийн хэмнэлт;
Шинэчлэлийн үр дүнд тээврийн зардлын маргинал өртөг буурснаас үүдэх ачаа тээврийн
зардлын бууралт;
Авто замаас төмөр замд шилжсэн зорчигч тээврийн цагийн болон үйл ажиллагааны
зардлын хэмнэлт;
Агаарын бохирдлын бууралт;
CO2-ийн бууралт;
Осол аваарын бууралт;

Хоѐр хувилбарын эдийн засгийн үр ашгийг дараахь категоруудад хуваана. Үүнд:
-

Хэрэглэгчийн илүүдлийн өөрчлөлт (changes in consumer‟s surplus);
Үйлдвэрлэгчийн (төмөр замын оператор) ба ашиглагчийн илүүдлийн өөрчлөлт;
Гадаад сөрөг нөлөөллийн бууралт (агаарын бохирдол, CO2, осол аваар);

Хүснэгт 4.16-д зорчигч ба ачаа тээврийн аялал бүрт ногдох ерөнхий зардлыг харуулав.

4.2.4.1 Харилцагчийн илүүдэл
Хөдөлгөөний ачааллаас ашиг хүртэх одоогийн авто замын хэрэглэгч болон төмөр замын бүх
хэрэглэгчдийн хувьд зорчигчийн харилцагчийн илүүдэлд “50%-ийн зарчим” үйлчилнэ. Дараахь
хүснэгтэд хөдөлгөөний ачааллыг болон нэгжийн үр ашгийг хувилбар тус бүрээр харуулав. Жишээ

89
нь хувилбар 1-ийн хэрэглэгчийн нэгжийн үр ашиг нь (€45.2 - €41.7) = €3.6 харин нийт үр ашиг нь 3.6
Euro * 6.3 сая зорчигч = 22.6 сая евро тус тус болно. Харин хувилбар 2-т төмөр замын ачаа
тээврийн хэрэглэгчийн нэгжийн үр ашиг нь (€11.6 - €6.5) = €5.1болно. Тэгвэл хувилбар 2-ын
тээврийн төрлийн шилжилтийн нэгжийн үр ашиг нь (€45.2 - €39) = €6.2/2 = €3.1болно.

4.2.4.2 Үйлдвэрлэгчийн илүүдэл ба засгийн газрын цэвэр ашиг
Хөрөнгө оруулалтын санхүүгийн зардлыг төсвийн бүрэлдэхүүн хэсгээр тохируулав. Жишээ нь
нийгмийн даатгалын шимтгэл ба орлогын албан татварыг хасаж ажиллах хүчний зардлыг
тохируулав. Тухайн бүс нутгийн ажилгүйдлийн харьцангуй өндөр төвшинг харгалзсан ажиллах
хүчний зардлыг шилжүүлгийн фактор 0,74-өөр тохируулав. Хөрөнгө оруулалт ба засвар
үйлчилгээний зардал, хураамж, үлдэгдэл үнэд (residual value) нэгж бүрэлдэхүүн хэсгийн
шилжүүлгийн факторын жигнэсэн дунджаар тодорхойлсон тусгай шилжүүлгийн факторыг ашиглав.
(дараахь хүснэгтийг харна уу)

2 хувилбарын эдийн засгийн гүйцэтгэлийг доорхи хүснэгтэд харуулав. Зардал, үр ашгийн
нарийвчилсан урсгалыг хүснэгт 4.21 ба 4.22-д тус тус харуулав. Харьцуулалтын нийгмийн
хямдруулалтын хувь 5,5% болно. Эдийн засгийн хувьд аль ч хувилбар бололцоотой болхыг дүн
харуулж байна. Хувилбар 1-тэй харьцуулах 2 нь илүү өндөр өнөөгийн цэвэр ашгийн үзүүлэлттэй
байга боловч арай бага эдийн засгийн өгөөжийн хувьтай байна.

90
4.2.5 Сценарийн шинжилгээ
Эдийн засгийн шинжилгээний бат бөх байдлыг үнэлэхийн тулд хоѐр хувилбар дээр хөрөнгө
оруулалтын зардал 30%-иар өсөх, тээврийн эрэлт 30%-иар багасах гэсэн пессимист сценарийн
шинжилгээг боловсруулав. Өнөөгийн цэвэр үнэ ба эдийн засгийн өгөөжийн хувьд үзүүлэх
хувилбаруудын нөлөөллийг дараахь хүснэгтэд харуулав. 2 хувилбарын эрэмб өөрчлөгдөхгүй.

4.2.6 Эрсдлийн үнэлгээ
Мэдрэмжийн шинжилгээгээр ач холбогдолтой болох нь тогтоогдсон хөрөнгө оруулалтын зардал
дээр эрсдлийн үнэлгээг хийв. Үнэлгээг сонгосон хувилбар 2 дээр гүйцэтгэв. Ижил төстэй төслийн
тоо мэдээлэл хомс байсан учраас 3 цэгтэй гарвалжингийн магадалын тархалтыг авав. Төмөр
замын хөрөнгө оруулалтын харьцангуй өндөр өөдрөг (optimist) үзлийг саармагжуулах үүднээс
өндөр пессимист сценарийг сонгов.

Зураг 4.5 ба 4.6-д харуулсан эрсдлийн үнэлгээний үр дүн маш эерэг байна. Сонгосон хувилбарийн
эдийн засгийн өгөөжийн хувь (ERR) 5,5%-иас бага байх магадлал ердөө 7% байна.

91
4.2.7 Санхүүгийн шинжилгээ
Хөрөнгө оруулалтын санхүүгийн шинжилгээг 30 жилээр тооцоолов. Хөрөнгө оруулалтын үнэлгээний
үеэс дараахь хөрөнгө оруулалтын үлдэгдэл үнийг 50 %-иар тооцоолов.
Төслийг 3 жилд барьж байгуулах бөгөөд 4 дэх жилээс ашиглалтад оруулна. Нийт хөрөнгө
оруулалтын дүн €1,660,000,000 харин засвар үйлчилгээний зардал бүх хугацаанд €26,800,000 тус
тус болно.
Санхүүгийн орох урсгал нь үйлчилгээний операторын хураамжаас хамаарна. Хомсдол ба тээврийн
маргинал зардлыг тооцоолсны үндсэнд хураамжийн хэмжээг тогтооно. Километер бүр дэх
зорчигчийн ба ачаа тээврийн чингэлгийн хураамж 1,4 ба 2,1 евро тус тус болно.
Төлөвлөсөн санхүүжилтийн эх үүсвэрүүд:
- ЕХ-ны буцалтгүй тусламж => €182,000,000;
- Төсвийн хөрөнгө оруулалт => €1,478,000,000;
Санхүүгийн гүйцэтгэлийн үзүүлэлтүүд:
- Санхүүгийн өнөөгийн цэвэр үнэ (хөрөнгө оруулалт)
Financial Net Present Value (investment) FNPV(C)
- Санхүүгийн өгөөжийн хувь (хөрөнгө оруулалт)
Financial Rate of Return (investment) FRR(C)
- САнхүүгийн өнөөгийн цэвэр үнэ (хөрөнгө)
Financial Net Present Value (capital) FNPV(K)
- Санхүүгийн өгөөжийн хувь (хөрөнгө)
Financial Rate of Return (capital) FRR(K)

92

€-1,320,810,000
-2.5%
€-1,156,029,000
-1.9%
93
94
95
96
97
4.4 Жишээ: Ус цэвэрлэх байгууламжийн хөрөнгө оруулалт
4.4.1 Төслийн тодорхойлолт
Хүн амын жилийн өсөлт нь 0,15%, 725.000 оршин суугчтай хотын ус цэвэрлэх байгууламжаас төсөл
бүрдэнэ. Цэвэрлэсэн техникийн усыг үйлвэрлэлийн ба газар тариалангийн бүсэд түгээх дэд бүтэц
бүрдсэн. Гүний усны худгаар ундны усны нийлүүлэлтийг хангаж байгаа бөгөөд гидро-геологийн
судалгаагаар ундны усны төвшин байнга багасаж байгаа. Хотын захиргаа ба хувийн хэвшлийн
хооронд байгуулагдах төр хувийн хэвшлийн түншлэлийн нэг хэлбэр болох 30 жилийн BOT (Buildown-transfer) гэрээгээр төслийг хэрэгжүүлнэ.

Усны эрэлт
Нэг хүнд ногдох 190л/өдөр усны хэрэглээгээр (бохирын шугамын алдагдал 20%) цэвэрлэх усны нийт
багтаамжийг тодорхойлов.
Усны бодит хэрэглээ:
Бодит хэрэглээ=нийт нийлүүлэлт – алдагдал
Усны эрэлтийн тооцоолол
- Цэвэр усны нийлүүлэлт: 725,000 оршин суугч x 190 л/х.ө.х 365 / 1,000 = 50.3 Mm3/y
- Байгууламжид цэвэрлэх бохир ус: 50.3 Mm3/y x 0.80 = 40.3 Mm3/y
- Үйлдвэрийн хэрэглэгчдэд нийлүүлэх цэвэрлэсэн буюу техникийн ус: 12.1 Mm3/y
- Газар тариалангийн усалгаанд хэрэглэх усны эрэлт: 3,500 he x 4,500 m3/ha y = 15.75 Mm3/y
Нийт дахин ашигласан ус нь 27,9 Mm3/y буюу нийт цэвэрлэсэн усны 70% болно.

98
Эрэлтийн динамик
Хотын оршин суугчид:
- Бүс нутгийн хүн амын жилийн өсөлт: 0,06%;
- Шилжих урсгалын жилийн өсөлт: 0.09%;
- Үр дүнд CBA-д жилийн дундаж өсөлтийг 0,15%-иар тооцоолов.
Үйлдвэрлэлийн усны эрэлтийг жил бүр -0,3%-иар буурна гэж тооцов. Газар тариалангийн усжуулах системийн
усны эрэлтийг жил бүр -0,5%-иар буурахаар мөн таамаглав. Судалгааг хялбаршуулах үүднээс эрэлтийн өөр
динамикийг хэрэглээгүй болно.

4.4.2 Санхүүгийн шинжилгээ
Дэд бүтцийг эзэмшигч хотын захиргаа нь төслийг хэрэгжүүлэгч буюу оператороос (BOT гэрээний
хувийн түнш) өөр боловч нэгдсэн санхүүгийн шинжилгээг боловсруулав. BOT-ийн дагуу хөрөнгө
оруулалтын шинжилгээг 30 жилээр тооцоолов. Шинжилгээнд тогтмол үнэ, шаардлагатай бол үнийн
өөрчлөлтүүдийг хэрэглэв. Жилийн инфляцийг 1,5%-иар тооцоолж, зарим бараа үйлчилгээний
үнийн өөрчөлтийг харгалзав. Санхүүгийн бодит хямдруулалтын хувийг 5% байхаар тооцов.

Хэрэглээний хугацаа нь богино буюу амьдралын мөчлөг харьцангуй богино бүрэлдэхүүн
хэсгүүдийн зардлын тооцооллыг хялбаршуулах зорилгоор эдгээр зардлыг төслийн 20 дахь жилд
нөхөн зарцуулахаар тооцоолов.
Хувийн түнш нь нийт хөрөнгө оруулалтын зардлын 49%-ийг (€49,410,000, 50%ийг зээлээр харин
50%ийг өөрийн хөрөнгөөр) санхүүжүүлнэ. Зээлийн хугацаа нь 10 жил бөгөөд жилийн хүү нь 5%.
Ашиглалтын хугацаа нь богино бүрэлдэхүүн хэсгүүдийн 20 дахь жилд хийх нөхөн санхүүжилтийг
хувийн түнш (50% зээл, 50% өөрийн хөрөнгө) хариуцна.

99
Төслийг хэрэгжүүлэхэд шаардагдах нэмэлт урсгал зардлууд:







Ажиллах хүч: 14 мэргэжлийн ажилтан (нэг хүн 38.000 евро/жил); 32 мэргэжлийн бус
ажилтан (нэг хүн 26.600 евро/жил); Ажиллах хүчний зардлын жилийн бодит өсөлт 0,4%;
Эрчим хүчний зардал: насос 0,017kWh/m3; цэвэрлэх байгууламжийн цахилгааны
хэрэглээ 0,024kWh/m3; Эрчим хүчний үнийн жилийн өсөлт 0.9%;
Бараа: жилийн өртөг 0,08евро/м3 цэвэрлэсэн ус; Үнийн бодит өсөлт 0,9%/жил;
Шууд хэрэглэх бараа, үйлчилгээний зардал: тогтмол зардал 1,299,000евро/жил; хувьсах
зардал 0,1евро/m3 цэвэрлэсэн ус;
Засвар, үйлчилгээний зардал: 715.000евро/жил;
Лаг цэвэрлэх зардал: жилийн €0.093/m3 цэвэрлэсэн ус; жилийн өсөлт 0,5%;

Төслийн нэгдсэн санхүүгийн үнэлгээ нь төслийн цэвэр мөнгөн урсгалыг бодитойгоор харуулах
бололцоог олгоно.
Орлогын тооцоолол
Ирээдүйн орлогыг суурь жилүүдтэй харьцуулж дараахь байдлаар тооцоолов:
- Ус цэвэрлэх үйлчилгээ: 50.3 Mm3/year* €0.283 per m3 * 0.950 = 13,523,000€/y;
- Үйлвэрлэлд ус нийлүүлэх үйлчилгээ: 12.1 Mm3/year * €0.480 per m3 * 0.995= 5,779,000€/y;
- Усжуулалтын усан хангамж: 15.75 Mm3/year * €0.030 per m3 * 0.87 = 411,000€/y;
- Хэрэглэгчийн төлбөр төлөөгүйгээс учрах алдагдлыг мөн тооцоолов. Үүнд хотын ус хангамж: 5%,
үйлдвэрлэлийн ус хангамж: 0.5%, Усжуулалтын үйлчилгээ: 13%;

Дээрхи орлого дээр мөн 30 жилийн дараахь хөрөнгийн үлдэгдлийн үнэ болох €6,030,000 нэмэгдэнэ.
Санхүүгийн гүйцэтгэлийн үзүүлэлтүүд:





Санхүүгийн өнөөгийн цэвэр үнэ (хөрөнгө оруулалт)
Financial Net Present Value (investment) FNPV(C)
Санхүүгийн өгөөжийн хувь (хөрөнгө оруулалт)
Financial Rate of Return (investment) FRR(C)
Санхүүгийн өнөөгийн цэвэр үнэ (хөрөнгө)
Financial Net Present Value (capital) FNPV(K)
Санхүүгийн өгөөжийн хувь (хөрөнгө )
Financial Rate of Return (capital) FRR(K)

100

€–29,083,911
1.9%
€–8,357,81291
3.7%
Санхүүгийн тогтвортой байдлын хувьд төслийн нэгдсэн мөнгөн урсгал нь байнга эерэг үзүүлэлттэй
байна. Хэрэв цэвэрлэсэн m3 усны үйлчилгээний хураамж 0,02 евро бол төрийн ба хувийн
хөрөнгийн санхүүгийн ашигт байдал дараахь үзүүлэлттэй гарч байна. Үүнд:
- ТХХТ-ийн төрийн түнш
FNPV(Kg) €3,491,00892
FRR(Kg) 7.8%
- ТХХТ-ийн хувийн түнш
FNPV(Kp) €5,139,536
FRR(Kp) 6.5%

4.4.3 Эдийн засгийн шинжилгээ
Санхүүгийн шинжилгээн дэх үнийг эдийн засгийн шинжилгээнд шилжүүлэхийн тулд тусгай ба
стандард (SCF=0.96) шилжүүлгийн факторыг тус тус хэрэглэв.
Хүснэгт 4.41 Эдийн засгийн шинжилгээний шилжүүлгийн факторууд
Зардлын төрөл

Тэмдэглэл

CF

Ажиллах хүч: мэргэжлийн

1,0

Хөдөлмөрийн зах зээлийн бүрэн өрсөлдөөнтэй гэж тооцов.

Ажиллах хүч: мэргэжлийн бус

0,6

Өрсөлдөөнтэй бус хөдөлмөрийн зах зээлийн сүүдрийн хөлс.
(Шилжүүлгийн факторыг сүүдрийн хөлс SW-р тооцоолно. SW = FW x (1u) x (1-t), u нь ажилгүйдлийн хувь, t нь нийгмийн даатгал ба татварын
суутгалын хувь тус тус болно. Жишээн дээр u=12% ба t=32%, учраас CF
(SW/FW) 0.60-тай тэнцэнэ.

Газар

1,34

Стандард шилжүүлгийн факторыг орон нутгийн шилжүүлгийн үнээр
(40%-иар өндөр) үржүүлэх.

Газар шорооны ажил

0,64

10% мэргэжлийн, 90% мэргэжлийн бус ажилтнууд

Барилгын бараа, материал

0,83

55% үйлдвэрлэсэн бараа, 45% барилгын материал

Түрээс

0,68

3% мэргэжлийн, 37% мэргэжлийн бус, 30% цахилгаан, 20% засвар
үйлчилгээ, 10% ашиг (CF=0)

Тээвэр

0,68

3% мэргэжлийн ажиллах хүчин, 37% мэргэжлийн бус ажиллах хүчин,
30% цахилгаан эрчим хүч, 20% үйл ажиллагааны зардал, 10% ашиг (CF
= 0)

Төслийн судалгаа, туршил, бусда
ерөнхий зардлууд

1,0

100% мэргэжлийн ажил

Тоног төхөөрөмж

0,82

50% орон нутгийн үйлдвэрлэл (SCF), 40% импорт (CF=0.85), 10% ашиг
(CF=0)

Барилгын материал

0,85

75% орон нутгийн үйлдвэрлэл (SCF), 15% импорт (CF=0.85), 10% ашиг
(CF=0)

Цахилгаан, түлш

0.96

SCF

Засвар үйлчилгээ

0,71

15% мэргэжлийн ажиллах хүч, 65% мэргэжлийн бус ажиллах хүч, 20%
бараа

Тусгай материал

0,8

30% орон нутгийн үйлдвэрлэл (SCF), 60% импорт (CF=0.85), 10% ашиг
(CF=0)

Бусад бараа, техникийн үйлчилгээ

0,71

10% мэргэжлийн ажиллах хүч, 60% мэргэжлийн бус ажилтнууд, 30%
үйлдвэрлэлийн бүтээгдэхүүн

101
Лаг цэвэрлэх

0,8

30% мэргэжлийн бус ажилтнууд, 20% тээвэр, 50% орон нутгийн
үйлчилгээ (SCF)

Захиргаа, санхүү, эдийн засгийн
үйлчилгээ

1,0

100% мэргэжлийн ажиллах хүч

Хөрөнгө оруулалтын зардлаас үлдэх үнэ
(Resulting value of investment costs)

0,76

Хөрөнгө оруулалтын зардлын төрлөөр жигнэсэн

Нөхөн орлуулах өртөг

0,82

100% машин тоног төхөөрөмж, үйлдвэрлэлийн бараа

ХАА-н бүтээгдэхүүн

0,85

68% төрөл бүрийн ХАА-н орц (CF=SCF), 2% мэргэжлийн ажилтан, 30%
мэргэжлийн бус ажиллах хүч

Эдийн засгийн шинжилгээнд харгалзан үзэх сөрөг гадаад нөлөөлөлд дуу чимээ, үнэр, газар орчны
үзэмжийн бууралт хамаарна. Гэхдээ төслийн нийт сөрөг нөлөөлөл харьцангуй багаар
тооцоологдсон.
Ус цэвэрлэх байгууламжийн нэг гадаад нөлөөлөл нь тус байгууламжтай ойролцоо байрших үл
хөдлөх хөрөнгийн түрээсийн болон газрын үнийн бууралтаар (hedonic price) хэмжигдэнэ.
Эдийн засгийн үнэлгээний үр ашгийн хувьд хотын захиргааны болон байгууламжийн операторын
орлого болох үйлчилгээний хураамж нь (өрсөлдөөнт зах зээлгүй) зохих CF-оор шилжүүлэгдсэн ч
төслийн нийгмийн үр ашгийг илэрхийлэхгүй. Давхар тооцоолохгүй байх үүднээс энэ шинжилгээнд
санхүүгийн орох урсгалыг оруулж тооцоолоогүй болно.
Ус хангамжийн төслийн үр ашгийн буюу эерэг гадаад нөлөөллийн үнэлгээний хувьд өрсөлдөөнт зах
зээлийн үйлчилгээний бүртгэлийн үнийг тогтоохын тулд төлөх-сонирхол аргачлалыг хэрэглэж
болно.
Жишээн дээр шууд үнэлгээний аргачлалыг хэрэглэсэн.
- Гүний цэвэр усны хэмнэлт ба түүнээс үүдэх гидро-геологийн тэнцвэр, байгаль орчны эерэг
үр дагавар нь төслийн үндсэн үр ашиг болно. Жишээн дээр харвал жилийн цэвэр усны
хэмнэлт нь 9,7 сая/m3 (0.8 буюу 20%-ийн алдагдлыг тооцоолов) бөгөөд энэ усны
усжуулалтад ашиглах бүртгэлийн үнэ нь 0,81евро/m3 болно.
- Газар тариалангийн бүтээгдэхүүний тоо, чанар, өргөн сонголтод орох өөрчлөлт нь
усжуулалтын системийн гол үр ашиг болно. Усжуулалтын дүнд нэг га-аас авах
бүтээгдэхүүний орлогыг 25%-иар өснө гэж тооцоолов. Баригдаагүй байгаа ус хуваарилах
сүлжээний зардлыг харгалзахын тулд нэмэлт орлогыг 0,65-ийн фактороор бууруулав.
Хэрэв нийгмийн хямдруулалтын хувийг 5.5% гэвэл дараахь гүйцэтгэлийн үзүүлэлтүүдийн үр дүнд
хүрч байна. Үүнд:
- Эдийн засгийн өнөөгийн цэвэр үнэ
Economic Net Present Value ENPV
€295,519,106
- Эдийн засгийн өгөөжийн хувь
Economic Rate of Return ERR
28.9%
- Үр ашиг-зардлын харьцаа
Benefit / Cost Ratio (B/C)
2.2

4.4.4 Эрсдлийн үнэлгээ
FRR(C), FRR(K) ба ERR-д хамаарах мэдрэмжийн шинжилгээний үр дүнг зураг 4.10, 4.11-д тус тус
харуулав. Мөн зураг 4.12-д FNPV(C), FNPV(K) ба ENPV үзүүлэлтүүдийн инфляцаас хамаарах
мэдрэмжийн нөлөөллийг харуулав. Дараахь хувьсагчууд нь санхүүгийн шинжилгээнд чухал болно.
Хүснэгтэд чухал хувьсагч -1% - +1% заагт өөрчлөгдөхөд санхүүгийн гүйцэтгэлийн үзүүлэлтүүд
болох FRR(C) ба FRR(K)-д орох өөрчлөлтийг харуулав.

102
Харин дараахь хувьсагчууд нь эдийн засгийн шинжилгээнд хамаарах чухал хувьсагчууд болно.
Чухал хувьсагчийн -1%-иас +1% хүртэлх заагт хамаарах өөрчлөлтийн улмаас ERR-т орох
харьцангуй өөрчлөлтийг хүснэгтэд харуулав.

Чухал хувьсагчуудад зохих магадлалын тархалтыг хуваарилснаар төслийн эрсдлийн шинжилгээг
хийв. Хувьсагчуудын магадлалын тархалтын таамаглалыг хүснэгт 4.44-д харуулав. Санхүүгийн ба
эдийн засгийн гүйцэтгэлийн үзүүлэлтүүдийн магадлалын тархалтыг Монте Карло-ийн аргачлалаар
тооцоолов.

103
104
105
106
107
108
109
110
111
112
113
114
115
116
4.5 Жишээ: Үйлдвэрлэлийн хөрөнгө оруулалт
4.5.1 Төслийн зорилтууд
Төсөл нь үндэсний болон гадаадын зах зээл дээрхи бүс нутгийн өрсөлдөх чадварыг бэхжүүлэх,
үйлдвэрлэлийг дэмжих, хүн амын орлогын төвшинг нэмэгдүүлэх зорилготой.

4.5.2 Төслийн тодорхойлолт
Төсөл хэрэгжих бүс нутгийн үйлдвэрлэлийн төвшин харьцангуй бага ч гэсэн уламжлалт
үйлдвэрлэлийн салбарт төвлөрсөн тухайн бүс нутгийн компаниудын хувьд энэ хөрөнгө оруулалт нь
тэдний бизнесийн орчныг сайжруулах бололцоог олгоно.
Автомашины эд ангийн үйдвэрлэлийн зах зээлийн сүүлийн 10 жилийн тогтмол өсөлт нь энэ зах
зээлийн харьцангуй найдвартай байдал, тогтворжилтийг нотолж байна. Компани нь 10 жилийн
өмнөх үетэй харьцуулахад зах зээлд эзлэх хувиа 2 хувиар өсгөж 5 хувьд хүргээд байна. Салбарын
нэг онцлог болох өндөр босгоос хамаарч зах зээлийн бүтэц нь харьцангуй тогтвортой гэж
тодорхойлогдож байна. Агаарын бохирдлыг бууруулах хууль тогтоомж нь автомашины зарим эд
ангийн үйлдвэрлэлээс шинэчлэл хийхийг шаардаж байгаа нь төсөл хэрэгжих салбарын хувьд нэг
чухал зорилт болж байна.

117
Төсөл нь техник, удирдлага, ашигт ажиллагааны хувьд хэрэгжих бололцоотой болхыг урьдчилсан
судалгаа харуулж байна.

4.5.3 Бололцоо ба хувилбарын шинжилгээ
4.5.3.1 Санхүү-эдийн засгийн найдвартай байдал
Төслийн санхүүжилт авах компани нь олон оронд автомашиний эд ангийн үйлдвэрлэлийн
салбартай бөгөөд сүүлийн жилүүдэд санхүүгийн хувьд тогтвортой үйл ажиллагаа явуулж ирсэн.
Аудиторууд тус компанийн сүүлийн 3 жилийн санхүүгийн тайланд өргөн хүрээний санхүүгийн дүн
шинжилгээ хийсэн.

4.5.3.2 Төслийн техникийн онцлог
Төслийн хүрээнд газар ба техник тоног төхөөрөмж худалдан авах ба 2 томоохон барилгыг барина.
Мөн түүнчлэн үйлдвэрлэлийн байгууламжийг хотын авто замын сүлжээтэй шинэ авто замаар
холбоно.

4.5.3.3 Хувилбарын шинжилгээ
Засгийн газар 2 хувилбарыг судална. Үүнд:
- Business as usual: Бүс нутгийн харьцангуй өндөр ажилгүйдлийн төвшин ба эдийн засгийн
бага өсөлт хэвээр хадгалагдана.
- Инновацийн салбарын хөрөнгө оруулалтын дэмжлэг: Нанотехнологийн салбарын хөрөнгө
оруулалт нь бүс нутгийн эдийн засаг, ажил эрхлэлтийн хувьд өндөр ирээдүйтэй боловч
үйлдвэрлэлийн орчны дутагдал зэрэг сул талууд нь төслийг хэт эрсдэлтэй болгож байна.
Эцэст нь засгийн газар орон нутгийн үйлдвэрлэлийн дэд бүтцэд нийцсэн, нийгмийн үр ашиг нь
өндөр болох уламжлалт үйлдвэрлэлийн салбарт хөрөнгө оруулалт хийхээр шийдвэрлэсэн.

4.5.3.4 Хөрөнгө оруулалтын төрөл
Засгийн газар нь төсөл хэрэгжүүлэх компанийн хөрөнгө оруулалтыг дараахь хамтын санхүүжилтийн
арга замуудаар дэмжиж болно. Үүнд:
-

Хүүгийн төлбөрийн дэмжлэг;
Хөрөнгийн буцалтгүй тусламж;
Татварын хөнгөлөлт/чөлөөлөлт;

Төсвийн санхүүжилтийн дүн нь тогтмол тоо учраас сонголтын үндсэн шалгуур нь цаг хугацаа
болно. Хөрөнгө оруулалтын эхний жилүүдийн бэлэн мөнгөний гарах урсгалыг санхүүжүүлэхэд
хэрэглэх “хөрөнгийн буцалтгүй тусламж” нь компанийн хувьд хамгийн давуу сонголт болно. Мөн
компанийн хувьд хамгийн өгөөж багатай сонголт нь татварын чөлөөлөлтийн хувилбар байна.

4.5.4 Санхүүгийн шинжилгээ
5 хувийн хямдруулалтыгн хувьтай санхүүгийн шинжилгээг 10 жилээр тооцоолов.

4.5.4.1 Хөрөнгө оруулалтын зардал

118
Нийт хөрөнгө оруулалтын зардал 64,5 сая евро болно. Үүнээс 62 сая нь үндсэн хөрөнгөд, 1 сая нь
үйлдвэрлэлийн өмнөх зардалд, 1,5 сая нь бусад зардалд тус тус зарцуулагдана. Үүнд:
-

3 сая еврогоор 60.000m2 газрыг (1m2 нь 50 евро) худалдан авна.
17 сая еврогоор нийт 7000m2 талбай бүхий 2 барилгыг барина.
Машин, тоног төхөөрөмж, програм хангамж худалдан авах зардал: €42 сая;
Тусгай зөвшөөрөл, оюуны өмчийн эрхийн зардал: €1 сая;

Бүх зардалд НӨАТ ороогүй.

4.5.4.2 Үйл ажиллагааны зардал
Үйл ажиллагаанд харилцан адилгүй орц шаардагдана.

Дараахь хүснэгтэд ирээдүйд шаардагдах ажиллах хүчний тоо ба нэгж ажиллах хүчний зардлыг тус
тус харуулав.

4.5.4.3 Үйл ажиллагааны орлого
Компани нь ялангуяа 2 үндсэн харилцагч болон зах зээлд зориулж 3 нэр төрлийн бүтээгдэхүүн
үйлдвэрлэнэ. Бүтээгдэхүүний үнэ, борлуултын талаархи нарийвчилсан судалгааг хийсэн (энд
харуулаагүй). Нийт 3 санхүүгийн гүйцэтгэлийн үзүүлэлтүүдийг тооцоолов. Үүнд:




Төслийн хөрөнгө оруулалтын өгөөж;
/the project‟s return on investment (FNPV(C) and FRR(C));
Төслийн үндэсний хөрөнгийн өгөөж;
/the project‟s return on national capital (FNPV(K) and FRR(K));
Төслийн хувийн /өөрийн/ хөрөнгийн өгөөж;
/the project‟s return on private equity (FNPV(Kp) and FRR(Kp));

Хөрөнгө оруулалтын санхүүгийн гүйцэтгэл нь тийм ч өндөр биш (FRR(C) нь 3.3%) боловч үндэсний
хөрөнгө ба хувийн өөрийн хөрөнгийн өгөөж харьцангуй өндөр үзүүлэлттэй байна (тус тус 9.3% ба
11.8%). Харьцангуй бага хөрөнгө оруулалтын өгөөж ба харьцангуй өндөр эрсдлээс хамаарч хувийн
хэвшил энэ төслийг дангаараа бие дааж хэрэгжүүлэхгүй байх байсан болов уу. Гэвч төсвийн
хөрөнгө оруулалтын ачаар төсөл нь өөрийн хөрөнгийн харьцангуй өндөр өгөөжийг амлаж байгаа
учраас компани төслийг хэрэгжүүлэх магадлал өндөр болж байна.

119
Санхүүгийн гүйцэтгэлийн үзүүлэлтүүд:
 Санхүүгийн өнөөгийн цэвэр үнэ (хөрөнгө оруулалт)
Financial Net Present Value (investment) FNPV(C)
 Санхүүгийн өгөөжийн хувь (хөрөнгө оруулалт)
Financial Rate of Return (investment) FRR(C)
 Санхүүгийн өнөөгийн цэвэр үнэ (хөрөнгө)
Financial Net Present Value (capital) FNPV(K)
 Санхүүгийн өгөөжийн хувь
Financial Rate of Return (capital) FRR(K)
 Санхүүгийн өнөөгийн цэвэр үнэ (өөрийн хөрөнгө)
Financial Net Present Value (private equity) FNPV(Kp)
 Санхүүгийн өгөөжийн хувь (өөрийн хөрөнгө)
Financial Rate of Return (private equity) FRR(Kp)

€5,472,500
3.3%
€10,458,180
9.3%
€14,958,180
11.8%

4.5.4.4 Санхүүгийн тогтвортой байдал
Төсөл санхүүгийн хувьд тогтвортой байхын тулд жил бүрийн цэвэр мөнгөн урсгал эерэг үзүүлэлттэй
байх нөхцлийг хангах ѐстой. Энэ нөхцийг биелүүлэхийн тулд санхүүгийн эх үүсвэрүүдийг
хуваарилна. Үүнд:
-

ЕХ-ны буцалтгүй тусламж €14,170,000;
Төсвийн хөрөнгө оруулалт €4,725,000;
Зээл €10,000,000;
Өөрийн хөрөнгө €33,608,0000;

Зээлийн хүүг 5 хувиар тооцоолов. Санхүүгийн тогтвортой байдлыг хангах, зээлийн хүүгийн зардлыг
бууруулахын тулд компани эхний 3 жилд өөрийн хөрөнгийн санхүүжилт түүний дараа зээлийн
санхүүжилт хийнэ.

4.5.5 Эдийн засгийн шинжилгээ
Эдийн засгийн шинжилгээнд тусгай болон стандард шилжүүлгийн фактороор зах зээлийн үнийг
төгс бус зах зээлд зохицсон үнээр тохируулна. Түүхий эдийн үнээс НӨАТ-ийг хасна. Мөн адил
эрчим хүчний өртөгт шингэсэн татварыг хасна. Борлуулалтын орлогоос НӨАТ-ыг мөн хасаж
тооцно. Түүнчлэн сүүдрийн хөлсийг илэрхийлэх үүднээс ажиллах хүчний зардлаас нийгмийн
даатгалын суутгал, татварыг хасна.
Орон нутгийн захиргаанаас газрыг хямдруулсан үнээр худалдан авсан тул шилжүүлгийн фактор
1,235-ийг хэрэглэв. Эцэст нь 10 жилийн дараахь үлдэгдэл үнийг (residual value) €28 сая гэж тооцов.
Нийт зах зээлийн үнийн ерөнхий гажуудлыг тусгах стандард шилжүүлгийн факторыг (0.95)
хэрэглэв.

120
Бодит хямдруулалтын хувийг 5,5% гэж тооцоолов. Шинэ авто замын бусад хэрэглэгчдийн болон
шилжин суурьшилтийн гадаад эерэг нөлөөлөл харцангуй бага тул тооцоололд оруулаагүй. Шинэ
үйлдвэртэй холбоотойгоор бий болох замын хөдөлгөөний ачааллын гадаад сөрөг нөлөөллийг
шинээр барих авто замын эерэг гадаад нөлөөлөл орлох тул эдгээр нөлөөллийн зардал, үр ашгийг
тооцоолоогүй. Харин агаарын бохирдлыг сөрөг гадаад нөлөөллийн зардлаар тооцов. Компани нь
үйлдвэрлэлийн үйл явцад үүсэх агаарын бохирдлыг үнэлэх байгаль орчны нөлөөллийн үнэлгээг
мэргэжлийн байгууллагаар хийлгүүлж үнэлгээг ирүүлнэ.
Өртгийн нийгэм-эдийн засгийн үнэлгээний үр дүнд эдийн засгийн гүйцэтгэл нь санхүүгийн
гүйцэтгэлээс давуу болох нь үнэлгээнээс харагдаж байна. Үүнд:




Эдийн засгийн өнөөгийн цэвэр үнэ:
ENPV
Эдийн засгийн дотоод өгөөжийн хувь: ERR
Үр ашиг ба зардлын харьцаа:

€3,537,540;
6.7%;
1.02;

4.5.6 Эрсдлийн үнэлгээ
Төслийн эрсдлийг үнэлэхийн тулд мэдрэмжийн шинжилгээг боловсруулав. Мөн түүнчлэн бүрэн
эрсдлийн үнэлгээг хийж гүйцэтгэв. Үйлдвэрлэлийн хөрөнгө оруулалтын төслийн хувьд борлуулалт
ба хөрөнгө оруулалтын зардал нь чухал хувьсагчууд болно.

4.5.6.1 Борлуулалт
Бүтээгдэхүүн C-ийн борлуулалтын сөрөг динамик буюу жилийн борлуулалтын өсөлт ба анхны
борлуулалт 5 хувиар тус тус буурахад төслийн гүйцэтгэл муудахыг хүснэгт харуулж байна.

4.5.6.2 Хөрөнгө оруулалтын зардал
Хөрөнгө оруулалтын зардлын нэг бүрэлдэхүүн хэсгийн нөлөөллийн судалгаа нь барилга ба шинэ
тоног төхөөрөмжийн худалдан авах зардал чухал ач холбогдолтойг тогтоосон. Энэ тохиолдолд ч
хоѐр зардлын анхны дүнгийн 5 хувийн өөрчлөлтийн дүнд санхүүгийн ба эдийн засгийн үнэлгээний
үр дүнд орох өөрчлөлтийг тооцоолов.

121
Хөрөнгө оруулалтын зардлын хувьд шинэ тоног төхөөрөмжийн зардал чухал ач холбогдолтой
болохыг шинжилгээ тодорхойлж байна. Иймд хөрөнгө оруулалтын зардал болон борлуулалтад
анхаарлаа төвлөрүүлэх шаардлагатайг судалгаа нотолж байна.
Төслийн эрсдлийг зөв үнэлэхийн тулд эрсдлийн шинжилгээг чухал хувьсагчуудын зохистой
магадлалын тархалтад суурилуулна. Бүтээгдэхүүн С-ийн борлуулалт ба шинэ тоног төхөөрөмжийн
зардал нь чухал хувьсагчууд болох нь мэдрэмжийн шинжилгээгээр тогтоогдсон.

122
Зураг 4.17-д харуулсан эрсдлийн шинжилгээгээр төсөл өндөр эрсдэлтэй болох нь харагдаж байна
(Төслийн ENPV сөрөг байх магадлал 40 гаруй хувь). Хөрөнгө оруулалтын өгөөж бага, эдийн
засгийн өгөөжийн эрсдэл өндөр тул төслийг дахин хянах, эрсдлийг бууруулах арга хэмжээг авах
шаардлага тулгарч байна.

123
124
125
126
127
128
129
ХАВСРАЛТУУД
ХАВСРАЛТ А
ЭРЭЛТИЙН ШИНЖИЛГЭЭ
Онолын суурь
Стандард микро-эдийн засгийн онолоор хэрэглэгч
хэрэглээний ашгийн (utility буюу U) фүнкц байдаг.
Max U(x1,x2…xn) (Σpixi≤ r; r: хэрэглэгчийн төсөв)

бүрт

Хэрэглэгч нь төсөвтөө багтаан өөрийн хэрэглээний ашгийг дээд
цэгт хүргэхийг зорино. Энэ асуудлын шийдлийг эрэлтийн муруй
харуулдаг.
Эрэлтийг урьдчилан таамаглах нь эрэлт, нийлүүлэлтийн тэнцвэрийг тодорхойлох нөхцөл байдалд
орох өөрчлөлтөөс шууд хамаардаг.
P: үнэ; Q: барааны тоо; S: нийлүүлэлтийн муруй;D: эрэлтийн муруй

Эрэлтийн уян хатан чанар
Эрэлтийг урьдчилан таамаглахад бараа үйлчилгээний тооны өөрчлөлт ба тухайн бараа
үйлчилгээний үнийн өөрчлөлтийн харьцаа үзүүлэлт болох эрэлтийн үнийн уян хатан чанар чухал
ач холбогдолтой байдаг. Үнийн уян хатан чанарыг илэрхийлбэл:
Eр: үнийн уян хатан чанарын коефициент;
Q1: P1 үнийн эрэлт;
Q0: одоогийн үнэ P0-ийн эрэлт;
Өөрийн үнэ төдийгүй тухайн бараа үйлчилгээг орлох бараа үйлчилгээний үнэ эрэлтэд нөлөөлдөг.
Бараа А-г Б-тэй харьцуулсан эрэлтийн үнийн уян хатан чанарыг (cross price elasticity of demand)
илэрхийлбэл:
Хэрэв Cав > 0, B нь А-ийн субститут;
Хэрэв Cав < 0, B нь А-ийн комплемент;
Хэрэв Cав = 0, А ба В-ийн хооронд уян чанар байхгүй;
Үнийн уян хатан чанар нь (price elasticity) бүтээгдэхүүнээс төдийгүй харилцан адилгүй орлоготой
нийгмийн бүлгүүдээс хамаардаг. Иймд эрэлтийн судалгааг хийхдээ нэг хүнд ногдох ДНБ-ээр
хязгаарлахгүйгээр судалгаанд нийгэм-эдийн засгийн харилцан адилгүй бүлгүүдийг хамруулах нь
зүйтэй.
Үнийн уян хатан чанар орлогоос хамаардаг бол мөн орлогын уян хатан чанар гэж байдаг. Хэрэв
өрхийн орлого өсвөл эрэлт өсдөг учраас ихэнхи бараа, үйлчилгээний хувьд орлогын уян чанар нь
эерэг байдаг. Гэхдээ зарим тохиолдолд орлого өсөхөд нийтийн тээврийн эрэлт буурах зэрэг сөрөг
уян хатан чанар мөн ажиглагддаг.

130
Эрэлтийг таамаглах техникүүд
Ирээдүйн эрэлтийг таамаглах техникийн сонголт нь бараа, үйлчилгээний шинж чанар, зах зээлийн
онцлог, тоон мэдээллийн чанараас хамаардаг. Бодлого, зохицуулалтын хүрээний өөрчлөлттэй
холбоотой таамаглалыг мөн тайлбарлана. Таамаглалд хэрэглэсэн аргыг тодорхой тайлбарлах
бөгөөд энэ нь таамаглалын мөн чанарыг ойлгоход дэмжлэг үзүүлнэ.

Мэргэжилтнүүдийн зөвлөгөө
Төсөв ба цаг хугацаанаас шалтгаалж тоон аргачлалаар эрэлтийн таамаглалыг тодорхойлох
бололцоогүй бол төслийн нөлөөллийн таамаглалын талаар хөндлөнгийн мэргэжилтнүүдээс
зөвлөгөө авч болно. Энэ арга нь өртөг багатай мөн цаг хугацааны хувьд давуу талтай боловч тоон
мэдээлэл нь таамаг төдий байдаг. Иймд таамаглалын үйл явцын хамгийн эхний шат болох
урьдчилсан дүгнэлт хийхэд энэ аргачлалыг хэрэглэх нь зохимжтой байдаг.

Чиг хандлагын экстраполяц
Өнгөрсөн үеийн тоон мэдээлэлд суурилсан ирээдүйн чиг хадлагыг тодорхойлоход регрессийн
шинжилгээг (regression analysis) хэрэглэдэг. Цаг хугацааг таамаглаж буй хувьсагчтай (жишээ нь
хүлээгдэж буй эрэлт) холбоход хэрэглэгддэг олон төрлийн математикийн харьцаанууд байдаг.
Хамгийн хялбар таамаглалыг шулуун хамаарлаар илэрхийлдэг. Үүнд:
- Y= a + bT; Y: ирээдүйн хувьсагч; T: цаг хугацаа;
Өргөн хэрэглэгддэг өөр нэг загвар нь ирээдүйн тогтмол өсөлтийг харуулдаг. Жишээ нь:
- Y= a(1+g)t; Y: ирээдүйн хувьсагч; a: тогтмол тоо; g: өсөлтийн хувь; t: цаг хугацаа;
Загварын сонголт нь ихэвчлэн тоон мэдээллээс хамаардаг. Хэрэв харилцан адилгүй цаг үеийн тоон
мэдээллүүд (жишээ нь жил бүрээр) байвал статистик аргаар хамгийн оновчтой загварыг
тодорхойлж болно. Хэрэв 2 нэгж тоон мэдээлэл байвал үндсэндээ ямар ч загварыг хэрэглэж болно.
Ийм тохиолдолд нэмэлт мэдээлэл (жишээ нь өөр төслүүдэд ажиглагдсан чиг хандлага, өөр улс
орнууд гэх мэт) шаардагдана. Практикт хамгийн хялбар хэлбэр болох разорын зарчмыг (Occam‟s
razor principle) өргөн хэрэглэдэг. Ийм шулуун чиг хандлага буюу тогтмол өсөлтийг ихэнхи
тохиолдолд ашигладаг.
Өнгөрсөн хугацаанд ажиглагдсан чиг хандлагыг үргэлжлүүлэх аргыг түгээмэл хэрэглэдэг боловч
энэ аргын дутагдалтай талуудыг орхигдуулж болохгүй. Чиг хандлагын экстраполяц нь өнгөрсөн үед
ажиглагдсан чиг хандлагын ирээдүйн үргэлжлэлийг илэрхийлэхээс биш эрэлтийг тайлбарлахгүй.
Ялангуяа томоохон төслүүдийн хувьд нийлүүлэлтийн тал дээрхи өөрчлөлт нь өнгөрсөн үеийн
хандлагыг бүрэн өөрчилдөг. Өдөөгдсөн тээврийн эрэлт нь үүний нэг жишээ.

Олон талт регрессийн загвар
Регрессийн техникийн таамаглал нь хараат (таамаглаж буй хувьсагч, жишээ нь эрэлт) ба хараат
бус (тайлбарлагч) хувьсагчуудын хоорондын шулуун хамаарал дээр суурилдаг. Зөв таамаглалын
тэгшитгэлийг олох хүртэл хараат бус хувьсагчийн өөр өөр холболтуудыг (combinations) тоон
мэдээлэл дээр туршиж болно. Хараат бус хувьсагчуудын мөн чанар нь таамаглаж буй тухайн
хувьсагчаас хамаарна.
Эрэлтийг зарим ач холбогдол бүхий хувьсагчуудтай уялдуулах тусгай загварууд байдаг. Жишээ нь
өргөн хэрэглээний бараа, бүтээгдэхүүнд хэрэглээний төвшний аргыг (consumption-level method)
өргөн хэрэглэдэг. Хэрэглэгчийн орлого нь хэрэглээний төвшний үндсэн тодорхойлогч болдог.
Регрессийн загварууд өргөнөөр хэрэглэгддэг бөгөөд таамаглалын нэг хүчтэй аргачлал болдог. Энэ
аргыг хэрэглэхэд их хэмжээний тоон мэдээлэл ба хараат бус хувьсагчуудын ирээдүйн таамаглалын
хэрэгцээ тулгардаг нь энэ аргын сул талууд болдог. Жишээ нь хэрэглээ орлогоос хамаарах бол
ирээдүйн орлогын төвшнийг таамаглах шаардлагатай болно.
Илүү боловсронгуй математик хэлбэртэй эконометрикийн шинжилгээ нь регрессийн загваруудын
нэг ерөнхий хэлбэрт хамаарна. Регрессийн загваруудтай адилаар статистик шинжилгээгээр

131
коефициентүүдийг тодорхойлдог ба таамаглал буюу хараат хувьсагч нь хараат бус хувьсагчуудын
тусгалаас (projection) хамаардаг.
Харьцаа буюу хамаарлын хамгийн хялбар жишээ нь статик, шулуун илэрхийлэл юм. Үүнд:
Тэгшитгэлээр хувьсагч Yt (жишээ нь t улирал дахь хэрэглээ) нь Xit (жишээ нь нэг цаг үе дэх орлого
ба үнэ) хувьсагчуудаас хамаарч байна. Хамгийн сүүлчийн Еt нь Yt-ийн загвараар тайлбарлаж
болохгүй алдааг илэрхийлнэ.

Хавсралт B
Суурь хүүний сонголт (Discount rate)
Санхүүгийн хямдруулалтын хувь (суурь хүү)
Санхүүгийн суурь хүү нь (the financial discount rate (FDR)) ерөнхийдөө хөрөнгийн алдагдсан
бололцооны зардлыг илэрхийлдэг. Өөрөө хэлбэл хэрэв хөрөнгийг А төсөлд зарцуулбал Б төслөөс
олох ашгийг алдана гэсэн утгатай.
Суурь хүүг тодорхойлох аргачлалуудаас:
-

-

Засгийн газрын бондын хүү, арилжааны зээлийн хүү эсвэл эдгээрийн жигнэсэн дундаж хүү;
Энэ арга нь хялбар боловч сул талуудтай байдаг. Хамгийн сайн хувилбарын төслийн өгөөж
нь дээрхи төсвийн ба хувийн хөрөнгийн хүүнээс өндөр байж болно.
Хамгийн өндөр өгөөжтэй төслийн хөрөнгө оруулалтын ашгийг суурь хүүний дээд хязгаараар
сонгох.
Тогтвортой үйл ажиллагаатай компанийн олон нийтэд арижаалж буй, хөрвөх чадвартай
үнэт цаасны өгөөжийг төлөвлөлтийн параметрээр сонгох.

Дараахь хүснэгтэд санхүүгийн суурь хүүгээр сонгож болох санхүүгийн хөрөнгийн өгөөжийн хувийн
жишээнүүдийг харуулав.

Нийгмийн суурь хүү
Хөрөнгө оруулалтын төслийн эдийн засгийн шинжилгээнд хэрэглэдэг нийгмийн суурь хүү нь (the
social discount rate (SDR)) ирээдүйн үр ашиг, зардлыг өнөөгийнхтэй яаж харьцуулах талаархи
нийгмийн үзэл бодлыг тусгадаг. Санхүүгийн зах зээлийн төгс бус чанараас хамаарч нийгмийн суурь
хүү нь санхүүгийн суурь хүүнээс өөр байж болно.
Үндсэн онолын аргачлауудаас:
- Төсвийн хөрөнгө оруулалт нь хувийн хөрөнгө оруулалтыг орлоно гэсэн үүднээс төсөв ба
хувийн хөрөнгө оруулалтууд ижил өгөөжтэй байх ѐстой гэсэн уламжлалт үзэл.
- Ирээдүйн эдийн засгийн өсөлттэй уялдуулж нийгмийн суурь хүүг тодорхойлох аргачлал.
- Ирээдүйн цаг хугацаанд өөр өөр хувийг хэрэглэх хамгийн сүүлийн үеийн аргачлал. Энэ
аргачлал нь урт хугацааны төслүүдэд илүү хамааралтай бөгөөд ирээдүй хойч үед хамаарах

132
төслийн нөлөөллийн жинг нэмэх гэсэн үндсэн загвартай. Өөрөөр хэлбэл энэ аргачлалаар
(the social time preference rate (STPR) approach) нийгмийн суурь хүү аажмаар буурдаг.
STPR аргачлал нь урт хугацааны эдийн засгийн өсөлтийн хувьд суурилдаг бөгөөд холдох цаг
хугацааны үр ашгийг илүүд үздэг.
Нийгмийн суурь хүүг өсөлтөөр тодорхойлоход өргөн хэрэглэгддэг, ерөнхий томьѐо:
- r = eg + p (r: бодит нийгмийн суурь хүү; g: төсвийн зарлагын өсөлтийн хувь; e: Төсвийн
зарлагаас хамаарах нийгмийн ханамжийн (welfare) уян хатан байдал; p: Цэвэр цагийн
преференцийн хувь);
2005 онд Франц Улс нийгмийн суурь хүүгээ 4%-иар, 2005 онд ХБНГУ 3%-иар, 2003 онд Англи 3,5%иар тус тус шинэчлэн тогтоосон. Европын Холбооноос гишүүнээр элссэн орнуудын нийгмийн суурь
хүүг (SDR) 5,5%-иар тогтоогоод байна.
Доорхи хүснэгтэд Европын зарим орнуудад хэрэглэгдэж буй нийгмийн суурь хүүг харуулав.

Хавсралт C
Төслийн гүйцэтгэлийн үзүүлэлтүүд
Өнөөгийн цэвэр үнэ цэнэ, өгөөжийн дотоод хувь ба үр ашиг-зардлын харьцаа нь (Net Present Value
(NPV), Internal Rate of Return (IRR) and the Benefit-Cost Ratio (B/C)) төслийн гүйцэтгэлийн товч
үзүүлэлтүүд бөгөөд хөрөнгө оруулалтын төслийг ач холбогдлоор нь эрэмблэх үндэслэл болдог.

Өнөөгийн цэвэр үнэ цэнэ
Төслийн өнөөгийн цэвэр үнэ нь төслийн хямдруулсан цэвэр мөнгөн урсгалын нийлбэр дүнг
илэрхийлдэг.

St: t үе дэх цэвэр мөнгөн урсгал; at: санхүүгийн суурь хүү;
NPV нь хялбар бөгөөд маш тодорхой гүйцэтгэлийн хэмжүүр. Хэрэв NPV нь эерэг бол (NPV>0)
төсөл нь эдийн засгийн ба санхүүгийн утгаараа үр ашигтайд тооцогдоно. Төслүүдийг эрэмблэхэд
хамгийн өндөр NPV-тэй төслөөс эхэлж сонгоно. Зураг C.1-ээс харахад төсөл 1 нь 2-той
харьцуулахад өндөр NPV-ийн үзүүлэлттэй байна.

133
Харин зураг C.2 дээр “Суурь хүү<х” бол төсөл 2, харин “Суурь хүү>x” бол төсөл 1 илүү давуу
хувилбар болох нь харагдаж байна. Иймд төслийн суурь хүүг зөв сонгох нь төслийн хөрөнгө
оруулалтын талаар оновчтой шийдвэр гаргахад чухал ач холбогдолтой байдаг.

Өгөөжийн дотоод хувь (The Internal Rate of Return)
Хөрөнгө оруулалтын NPV-г тэгтэй тэнцүүлэх суурь хүүг өгөөжийн дотоод хувь (IRR) гэнэ.

Төслийн цаг үеийн орлого, зардлын урсгалын онцлогоос хамаарч зарим төслүүд (жишээ нь уул
уурхай, атомын цахилгаан станцын төсөл) хэд хэдэн IRR-тай байдаг бөгөөд энэ тохиолдолд
өгөөжийн дотоод хувийг төслийн үнэлгээнд ашиглах бололцоогүй.
Төслийг IRR-аар эрэмблэх нь алдаанд хүргэж болох бөгөөд NPV нь илүү давуу шалгуур үзүүлэлт
болдог.
IRR нь төслийн нийт эдийн засгийн үнэлгээнд ч харьцангуй бага ач холбогдолтой юм. Төсөл А нь Bтэй харьцуулахад харьцангуй бага өгөөжийн дотоод хувьтай (IRRA = 40% < IRRB = 70%) боловч
эдийн засгийн хувьд зохимжтой 30%-иас бага суурь хүүгийн хувьд харьцангуй өндөр NPV-ийн
үзүүлэлтай байна (Зураг C.5).

134
Үр ашиг-зардлын харьцаа (Benefit-cost ratio (B/C))
Үр ашиг-зардлын харьцаа нь төслийн үр ашиг ба зардлын өнөөгийн үнэ тус бүрийн харьцааг
илэрхийлнэ.
BCR = PV (I)/PV (O);
I: орох урсгал; O: гарах урсгал; Хэрэв BCR >1 бол төсөл нь эдийн засгийн хувьд үр ашигтай.
IRR-тай адил энэ харьцаа нь төслийн хөрөнгө оруулалтын хэмжээнээс хамаарахгүй. Харин IRR-тай
харьцуулахад энэ харьцаа нь хоѐрдмол тохиолдолгүй учраас NPV-ийн шалгуурт дэмжлэг үзүүлэх,
ялангуяа төсвийн хязгаарлагдмал тохиолдолд төслүүдийг эрэмблэхэд өргөн хэрэглэгддэг. Төсвийн
хязгаар 100 нэгж бол төслийг эрэмблэх жишээг доорхи хүснэгтэд харуулав.

Хэрэв NPV-г шалгуураар сонговол төслийг A,C,B гэж эрэмблэнэ. Хэрэв B/C-г шалгуураар сонговол
C,B,A гэж эрэмблэнэ. Тэгвэл төсвийн хязгаар 100-д багтаан B ба C төслийг хэрэгжүүлж болох ба
энэ тохиолдолд NPV-ийн нийлбэр нь 130 болно. Энэ нь зөвхөн А-г хэрэгжүүлсэн тохиолдолд А-ийн
NPV болох 100-аас илүү давуу хувилбар болно.

Хавсралт G
ТХХТ-ийн төслийн үнэлгээ (PPP PROJECTS)
PPP-ийн тодорхойлолт
Төслийн хөрөнгө оруулалтыг бүхлээр нь эсвэл нэг хэсгийг нь хувийн түнш санхүүжүүлэх, дэд
бүтцийн үйлчилгээг хүргэхэд учрах эрсдлийн хуваарилалтын талаар төр ба хувийн түншийн
хооронд зохицуулалтын гэрээ байгуулсан төслийг төр хувийн хэвшлийн түншлэлийн төсөл буюу
PPP гэж тодорхойлдог.

Төрийн салбарын харьцуулагч (Public Sector Comparator or PSC)
Ашгийн сонирхлоос үүдэх зардлын үр бүтээмжийн өсөлт, зах зээлийн ашигт ажиллагаа нь хувийн
хэвшлийг оролцуулах үндэслэл болдог. Хувийн хөрөнгийн өртөг төсвийн хөрөнгийн өртгөөс өндөр
боловч хувийн хэвшлийн ашигт ажиллагаа нь энэ зөрүүг нөхдөг.

135
Дэд бүтцийн үйлчилгээг үзүүлэх хувийн хэвшлийн оролцоо нь үр ашигтай эсхийг шалгах буюу
мөнгөний үнийг илэрхийлэхийн тулд хувийн саналыг төрөөр санхүүжигдсэн, удирдуулсан бенчмарк
төслийн дүнтэй бодитойгоор харьцуулах шаардлагатай болно. Мөнгөний үнийг үнэлэх нэг арга бол
төрийн салбарын харьцуулагч (PSC). Хэрэв төслийг төр санхүүжүүлж, эзэмшиж, санхүүжүүлж
байгаа бол уг төслийн эрсдлээр тохируулсан (risk-adjusted) зардлыг PSC таамагладаг. Иймд
тохируулгуудын дараахь хамгийн үр ашигтай төрийн эзэмшлийн төслийн өртөгт суурилсан PSC нь
хувийн хэвшлийн саналын мөнгөний бодит үнийг тодорхойлох, хувийн хэвшлийн санхүүжилтийг
авах эсэх талаархи шийдвэр гаргах үндэс болно. PSC нь:
-

Гэрээний хугацаанд үйлчлэх засгийн газрын тусгай суурь хүүгээр илэрхийлэгдсэн мөнгөн
урсгалын өнөөгийн цэвэр өртөг байна.
Засгийн газрын хэрэгжүүлсэн хамгийн үр ашигтай ижил төрлийн төсөл дээр суурилна.
Төр ба хувийн салбарын хооронд санхүүгийн цэвэр ашгийн давуу талыг олгохгүйн тулд
өрсөлдөөний саармагжилтийн тохиргоог (Competitive Neutrality adjustments) харгалзана.
Хувийн түншэд шилжүүлэх эрсдлийн бодит үнэлгээг харуулна.

Үнэлгээний үе шатууд:
- Түүхий PSC: Төслийн хөрөнгийг төр эзэмшиж байгаа гэж үзвэл төрийн байгууллагын
худалдан авах аргачлалаар тооцоолсон төслийн суурь өртгийг тооцоолох. Үүнд PPP-ийн
гэрээний хугацаатай адил хугацаанд төслийг барьж байгуулах, засвар үйлчилгээ хийх,
үйлчилгээг хүргэхтэй холбоотой бүх үндсэн хөрөнгийн ба үйл ажиллагааны зардал
хамаарна.
- Төрөөс бие дааж хэрэгжүүлсэн харьцуулах төслийг тодорхойлох нь PSC-г тооцоолох нэг
үндэслэл болно.

-

-

Өрсөлдөөний саармагжилтийн тохиргоо (Competitive Neutrality adjustments) нь төрийн
эзэмшлийн давуу байдлаас үүдэх санхүүгийн давуу талыг саармагжуулах зорилготой. Энэ
нь PSC ба хувийн түншийн саналыг шударга, тэнцвэртэй зарчмаар харьцуулах бололцоог
олгоно.
Шилжүүлэх эрсдлээр (Transferable risk) хувийн түншэд шилжүүлэх эрсдлийг үнэлж төслийн
бодит өртгийн тооцоололд оруулна.
Хувийн түншийн саналууд нь эрсдлийн өөр өөр төвшинг агуулна. Иймд PSC-г хувийн
түншийн саналуудтай харьцуулахын тулд засгийн газраас санал болгох шилжүүлэх
эрсдлийн төвшинг тусгасан саналуудын эрсдлийн төвшинг судалж, үнэлнэ.

Саналуудыг үнэлэхэд дараахь аргуудаар тохируулна. Үүнд:
- Хэрэв саналаар засгийн газрын санал болгосноос илүү эрсдлийг хувийн түншэд
шилжүүлэхээр бол төслийн саналын тохиргоо нь сөрөг байна. (саналын нийт дүнг
бууруулах) эсвэл
- Хэрэв саналаар засгийн газрын санал болгосноос бага эрсдлийг хувийн түншэд
шилжүүлэхээр бол төслийн саналын тохиргоо нь эерэг байна. (саналын нийт дүнг өсгөх)
Авч үлдсэн эрсдлийн хувь (retained risk) тохиргооны дүнг мөн энэ аргаар тооцоолж тохируулна.

136
Санхүүгийн шинжилгээнд үзүүлэх нөлөөлөл
PPP-ийн хувьд хувийн хөрөнгийн оролцоотой байх бөгөөд төсвийн санхүүжилт хэт өндөр байх нь
зохимжгүй. Стандард санхүүгийн үзүүлэлтүүд болох NPV(K) буюу FRR(K)-ийг төслийн түншүүдэд
хувааж тус тусад харуулах нь үүнийг шалгах шууд арга болдог. NPV(Kp) нь төсвийн хөрөнгө
оруулалтыг гүйцэтгэлийн тооцооллоос хассан буюу хувийн түншийн өгөөжийг илэрхийлнэ.
(Гуравдугаар бүлэг дэх усны жишээг харах)

Хавсралт H
Эрсдлийн үнэлгээ
Өргөн утгаараа эрсдлийн үнэлгээ нь дараахь үе шатуудаас бүрдэнэ. Үүнд:
-

Мэдрэмжийн шинжилгээ;
Чухал хувьсагчуудын магадлалын тархалт;
Эрсдлийн шинжилгээ;
Эрсдлийн зохистой төвшний үнэлгээ;
Эрсдлээс сэргийлэх.

Мэдрэмжийн шинжилгээ
Тодорхой төслийн хамгийн чухал хувьсагчуудыг тодорхойлоход мэдрэмжийн
хэрэглэдэг (Бүлэг 2-ыг харах).

шинжилгээг

Чухал хувьсагчуудын магадлалын тархалт
Чухал хувьсагчуудыг тодорхойлсны дараа хувьсагч бүрийн магадлалын тархалтыг тооцоолно.
Тархалт нь тодорхой хувьсагчийн өгөгдсөн заагийн дотор тохиох магадлалыг илэрхийлнэ. Үндсэн 2
төрлийн магадлалын тархалт байдаг. Үүнд:
-

“Тусдаа магадлалын тархалт”: хувьсагчийн утга нь хязгаарлагдмал тооноос бүрдэх;
“Үргэлжлэх магадлалын тархалт”: Хэрэв тодорхой заагийн (range) доторхи аль ч утгыг
илэрхийлэх;

Тусдаа магадлалын тархалтууд
Хэрэв хангалттай мэдээлэл, судалгаан дээр тулгуурлаж шинжээч нь судалж буй хувьсагчийн утга
нь зарим нэг тодорхой дүнгээс бүрдэнэ гэсэн бүрэн итгэлтэй бол энэ төрлийн тархалтыг
хэрэглэдэг.

Үргэлжлэх тархалт

137
Гаусын (буюу хэвийн) тархалт нь магадгүй хамгийн чухал бөгөөд хамгийн түгээмэл хэрэглэгддэг
магадлалын тархалт юм. Тархалт нь үндсэндээ 2 параметрээр тодорхойлогддог. Үүнд:
-

дундаж (the mean (μ));
стандард хэлбэлзэл (the standard deviation (σ));

Дунджийг тойрсон дүнтэй хувьсагчийн утгын нягтралыг стандард хэбэлзлээр хэмждэг.

Хэрэв хувьсагчийн урьд өмнөх утгийн талаар нарийвчилсан мэдээлэл байхгүй бол гурвалжин буюу
гурван цэгт тархалтыг өргөн хэрэглэдэг. Энэ хялбар тархалтыг магадлалын тархалтын дээд цэг,
доод цэг, модал утгыг (modal value) тус тус илэрхийлэх “Өндөр Утга”, “Нам Утга” ба “Хамгийн сайн
таах Утга“-аар тайлбарлаж болно. Гурвалжин тархалтын илүү нарийвчилсан шинжилгээний болон
графикийн тодорхойлолт нь янз бүр байдаг бөгөөд дээд ба доод цэгийн утгатай уялдах модал
(modal) утганд өгсөн ач холбогдол буюу жингээс хамаарна.

Гурвалжин тархалтын 2 төрлийг зураг H3-д харуулав.

Референц таамаглал
Ижил төстэй бусад төслүүдийн үр дүнгийн статистик тархалтыг тухайн төсөлд ашиглахын тулд
дараахь алхмуудыг хэрэгжүүлнэ. Үүнд:
•
•
•

Урьд өмнө хэрэгжсэн ижил төстэй төслүүдийн референц бүлгийг тодорхойлох;
Сонгосон референц төслийн бүлгүүдийн магадлалын тархалтыг тодорхойлох;
Тухайн төслийг референц бүлгийн тархалттай харьцуулж улмаар хамгийн магадалтай үр
дүнг таамаглах буюу тооцоолох;

Байнга тохиолддоггүй төслүүдийн хувьд гадаад орчны буюу референц таамаглал нь хамгийн
зохистой байдаг.

Эрсдлийн шинжилгээ
Чухал хувьсагчуудын магадлалын тархалтыг тодорхойлсны дараа төслийн NPV (IRR;B/C ratio)
зэрэг гүйцэтгэлийн үзүүлэлтийн магадлалын тархалтыг тооцоолох бололцоотой болно. Хүснэгтэд
харуулсан хялбар тооцооллоос харахад төслийн NPV эерэг байх магадлал 95%-тай байна.

138
Төслийн гүйцэтгэлийн нөхцөлт магадлалыг тооцоолох ерөнхий аргачлал болох Монте Карло аргын
талаар 2 дугаар бүлэгт тайлбарласан.

Эрсдлээс сэргийлэх
Төслийг хэрэгжүүлэх хугацааны эрсдлийн төвшин харилцан адилгүй байдаг. Туршлагаас харахад
төслийг эхлүүлэх үе шат (Start-up) хамгийн өндөр эрсдэлтэй байдаг.

Түүнээс гадна төслийн үнэлгээчид өөдрөг үзэлтэй байдаг нь системийн хандлага. Иймд энэ
хандлагыг бууруулахын тулд өмнө хэрэгжсэн төслүүдийн тоо, баримт дээр үндэслэн төслийн
төлөвлөсөн үр ашиг, зардлын тооцооллыг тохируулахыг төслийн үнэлгээчдэд зөвлөдөг.
Төслийн хэрэгжилтийн явцад төлөвлөсөн зардал хэтрэх, орлого дутах нь дараахь хүчин зүйлүүдээс
хамаардаг. Үүнд:
-

Олон тал оролцсон шийдвэр ба төлөвлөлт;
Стандардын бус технолог;
Урт хугацааны төлөвлөлт ба цогц шийдэл;
Төслийн цар хүрээ зорилтод өөрчлөлт орох;
Төлөвлөөгүй үял явдлууд;

Бүрэн хэмжээний эрсдлийн үнэлгээнээс гадна хэт өөдрөг төлөвлөлтөөс сэргийлэх дараахь арга
хэмжээнүүдийг зөвлөдөг. Үүнд:
-

Илүү сайн таамаглалын аргачлалууд (жишээ нь референц бүлгийн таамаглал);
Илүү сайн төслийг шагнах урамшуулал;
Хариуцлагыг сайжруулах ил тод байдал ба олон нийтийн хяналт;

139
-

Хувийн эрсдэлтэй хөрөнгийн оролцоо;

Дэлхийн Банкнаас өөр өөр улсуудад хэрэгжүүлж буй төслүүдийн үнэлгээний баримт бичгээс
түүвэрлэсэн эрсдлийг бууруулах арга хэмжээний жишээнүүдийг хүснэгт H.2-д харуулав.

140

Guideline on economic cost benefit analysis Улсын төсвийн санхүүжилттэй Төсөл боловсруулах арга зүйн гарын авлага төслийн нийгэм эдийн засгийн зардал үр ашги

  • 1.
    ХӨРӨНГӨ ОРУУЛАЛТЫН ТӨСЛИЙН ЗАРДАЛ-ҮРАШГИЙН ШИНЖИЛГЭЭНИЙ ГАРЫН АВЛАГА 2010 он Дэлхийн Банкны Эдийн засгийн чадавхийг бэхжүүлэх төсөл Боловсруулсан Ч. Батхуяг 1
  • 2.
    Агуулга Нэгдүгээр бүлэг............................................................................................................................................................................. 7 УДИРТГАЛ......................................................................................................................................................................................7 1. Удирдамжийн зорилго .................................................................................................................................................. 7 1.1 Төслийн тодорхойлолт .................................................................................................................................................... 7 1.2 Мотивац .............................................................................................................................................................................. 7 1.3 Сайн үнэлгээний 6 үе шат............................................................................................................................................... 8 ХОЁРДУГААР БҮЛЭГ .................................................................................................................................................................. 9 Төслийн шинжээчийн ажлын хуваарь ..................................................................................................................................... 9 Ерөнхий .......................................................................................................................................................................................... 9 2.1 Төслийн агуулга, зорилтууд ......................................................................................................................................... 10 2.1.1 Нийгэм-эдийн засгийн агуулга ............................................................................................................................. 10 Удиртгал ............................................................................................................................................................................. 10 2.1.2 Төслийн зорилтыг тодорхойлох .......................................................................................................................... 12 2.1.3 Төслийн үр дүн, гарц, гүйцэтгэлийн хэмжүүрийг (хүрэх үр дүн) тодорхойлох .......................................... 12 2.2 Төслийг илрүүлэх ............................................................................................................................................................ 13 2.2.1 Төсөл гэж юу вэ? ..................................................................................................................................................... 13 2.2.3 Хэнд хамаарах вэ? ................................................................................................................................................. 14 2.3 ТЭЗҮ болон хувилбаруудын шинжилгээ .................................................................................................................... 14 2.3.1 Сонголтуудыг илрүүлэх ......................................................................................................................................... 14 2.3.2 ТЭЗҮ-ийн судалгаа ................................................................................................................................................. 15 2.3.3 Хувилбарын сонголт .............................................................................................................................................. 15 2.4 Санхүүгийн шинжилгээ .................................................................................................................................................. 16 2.4.1 Хөрөнгө оруулалтын нийт өртөг .......................................................................................................................... 18 2.4.1.1 Үндсэн хөрөнгийн хөрөнгө оруулалт ............................................................................................................... 18 2.4.1.2 Эхлэлтийн зардал ............................................................................................................................................... 19 2.4.1.3 Урсгал хөрөнгөд орох өөрчлөлт ....................................................................................................................... 19 2.4.2 Үйл ажиллагааны нийт зардал, орлого .............................................................................................................. 19 2.4.2.1 Үйл ажиллагааны зардал................................................................................................................................... 19 2.4.2.2 Үйл ажиллагааны орлого ................................................................................................................................... 19 2.4.3 Хөрөнгө оруулалтын санхүүгийн өгөөж ............................................................................................................. 20 2.4.4 Санхүүжилтийн эх үүсвэр ..................................................................................................................................... 21 2.4.5 Санхүүгийн тогтвортой байдал............................................................................................................................ 22 2.4.6 Хөрөнгийн санхүүгийн өгөөж ................................................................................................................................ 23 2.5 Эдийн засгийн шинжилгээ (Economic analysis) ........................................................................................................ 24 2.5.1 Зах зээлийн үнийг дансны үнэд шилжүүлэх ..................................................................................................... 26 2.5.1.1 Сүүдрийн үнийн гажуудал ................................................................................................................................. 29 2.5.1.2 Төсвийн залруулга .............................................................................................................................................. 30 2.5.2 Зах зээлийн бус нөлөөллийг мөнгөжүүлэх ....................................................................................................... 31 2.5.2.1 Төрийн өмч, хөрөнгийн бүртгэлийн үнэ .......................................................................................................... 32 2.5.3 Шууд бус нөлөөллийг хамруулах ........................................................................................................................ 32 2
  • 3.
    2.6 Эрсдлийн үнэлгээ........................................................................................................................................................... 34 2.6.1 Мэдрэмжийн шинжилгээ ....................................................................................................................................... 35 2.6.1.1 Сценарийн шинжилгээ ....................................................................................................................................... 36 2.6.2 Чухал хувьсагчуудын магадлалын тархалт ...................................................................................................... 37 2.6.3 Эрсдлийн шинжилгээ ............................................................................................................................................. 37 2.6.4 Эрсдлийн хүлээн зөвшөөрөгдөх төвшинг үнэлэх ............................................................................................ 38 2.6.5 Эрсдлээс сэргийлэх ............................................................................................................................................... 38 2.7 Төслийн үнэлгээний бусад аргачлалууд ................................................................................................................... 39 2.7.1 Зардал-ашигт байдлын шинжилгээ (Cost-effectiveness analysis)................................................................. 39 2.7.2 Олон шалгуурт шинжилгээ (Multi-criteria analysis, MCA) ................................................................................ 40 2.7.3 Эдийн засгийн нөлөөллийн шинжилгээ (Economic impact analysis) ............................................................ 41 2.8 ТЕХНИК ЭДИЙН ЗАСГИЙН ҮНДЭСЛЭЛИЙН (ТЭЗҮ) СУДАЛГААНЫ АГУУЛГА ............................................... 44 Гуравдугаар Бүлэг...................................................................................................................................................................... 47 САЛБАРУУДЫН ТӨСЛИЙН ШИНЖИЛГЭЭ .......................................................................................................................... 47 3.1 Зам тээвэр ............................................................................................................................................................................. 47 3.1.1 Тэврийн сүлжээ ............................................................................................................................................................ 47 3.1.1.1 Төслийн зорилтууд .............................................................................................................................................. 47 3.1.1.2 Төслийг илрүүлэх буюу тодорхойлох ............................................................................................................. 47 3.1.1.3 Бололцооны ба хувилбарын судалгаа ........................................................................................................... 48 3.1.1.4 Санхүүгийн шинжилгээ ........................................................................................................................................ 50 3.1.1.5 Эдийн засгийн шинжилгээ .................................................................................................................................. 50 3.1.1.6 Эрсдлийн үнэлгээ ................................................................................................................................................ 52 3.1.3 Боомт, нисэх буудал ба дамжуулах байгууламжууд ....................................................................................... 53 3.1.3.1 Төслийн зорилтууд ............................................................................................................................................... 53 3.1.3.2 Төслийг тодорхойлох ........................................................................................................................................... 53 3.1.3.3 Бололцоо ба хувилбарын шинжилгээ .............................................................................................................. 54 3.1.3.4 Санхүүгийн шинжилгээ ........................................................................................................................................ 54 3.1.3.5 Эдийн засгийн шинжилгээ .................................................................................................................................. 55 3.1.3.6 Эрсдлийн үнэлгээ ................................................................................................................................................. 55 3.3 Үйлдвэрлэл, эрчим хүч, мэдээлэл харицаа .............................................................................................................. 55 3.3.1 Үйлдвэрлэлийн хөрөнгө оруулалт ...................................................................................................................... 55 3.3.1.1 Төслийн зорилтууд .............................................................................................................................................. 55 3.3.1.2 Төслийг тодорхойлох .......................................................................................................................................... 56 3.3.1.3 Төслийн бололцооны ба хувилбарын шинжилгээ ....................................................................................... 56 3.3.1.4 Эрэлтийн шинжилгээ .......................................................................................................................................... 56 3.3.1.5 Санхүүгийн шинжилгээ ....................................................................................................................................... 57 3.3.1.6 Эдийн засгийн шинжилгээ .................................................................................................................................. 57 3.3.1.7 Эрсдлийн үнэлгээ ................................................................................................................................................. 57 3.3.1.8 Төслийн үнэлгээний бусад аргачлалууд .......................................................................................................... 58 3.3.2 Эрчим хүчний дамжуулалт ба нийлүүлэлт ........................................................................................................ 59 3.3.3 Эрчим хүчний үйлдвэрлэл ба сэргээгдэх эрчим хүч........................................................................................ 60 3.3.4 Мэдээлэл харилцаа холбооны (МХХ) дэд бүтэц ................................................................................................... 63 3.3.4.1 Төслийн зорилтууд ................................................................................................................................................ 63 3.3.4.2 Төслийн тодорхойлолт ......................................................................................................................................... 64 3.3.4.3 Бололцооны ба хувилбарын шинжилгээ ......................................................................................................... 64 3
  • 4.
    3.3.4.4 Санхүүгийн шинжилгээ................................................................................................................................. 64 3.3.4.5Эдийн засгийн шинжилгээ .................................................................................................................................. 65 3.3.4.6 Эрсдлийн үнэлгээ .......................................................................................................................................... 65 3.3.4.7 Төслийн үнэлгээний бусад аргачлалууд .......................................................................................................... 65 3.4 Бусад салбарууд................................................................................................................................................................... 66 3.4.1 Боловсрол ба сургалт ................................................................................................................................................. 66 3.4.1.1 Төслийн зорилтууд .............................................................................................................................................. 66 3.4.1.2 Төслийн тодорхойлолт ......................................................................................................................................... 66 3.4.1.3 Бололцооны ба хувилбарын шинжилгээ ......................................................................................................... 66 3.4.1.4 Санхүүгийн шинжилгээ ........................................................................................................................................ 67 3.4.1.5 Эдийн засгийн шинжилгээ .................................................................................................................................. 67 3.4.1.6 Эрсдлийн үнэлгээ ................................................................................................................................................. 68 3.4.1.7 Үнэлгээний бусад аргачлалууд .......................................................................................................................... 68 3.4.3 Эмнэлэг ба эрүүл мэндийг хамгаалах бусад дэд бүтэц ...................................................................................... 68 3.4.3.1 Төслийн зорилтууд .............................................................................................................................................. 68 3.4.3.2 Төслийн тодорхойлолт ....................................................................................................................................... 68 3.4.3.3 Бололцоо ба хувилбарын шинжилгээ ............................................................................................................. 69 3.4.3.4 Санхүүгийн шинжилгээ ....................................................................................................................................... 69 3.4.3.5 Эдийн засгийн шинжилгээ .................................................................................................................................. 69 3.4.3.6 Эрсдлийн үнэлгээ ................................................................................................................................................. 70 3.4.3.7 Төслийн үнэлгээний бусад аргачлалууд .................................................................................................. 70 3.4.5 Үйлдвэрлэлийн бүс ба технологийн парк................................................................................................................ 71 3.4.5.1 Төслийн зорилтууд ............................................................................................................................................... 71 3.4.5.2 Төслийн тодорхойлолт ......................................................................................................................................... 71 3.4.5.3 Бололцоо ба хувилбарын шинжилгээ .............................................................................................................. 71 3.4.5.4 Санхүүгийн шинжилгээ ........................................................................................................................................ 71 3.4.5.5 Эдийн засгийн шинжилгээ .................................................................................................................................. 72 3.4.5.6 Эрсдлийн үнэлгээ ................................................................................................................................................. 72 Дөрөвдүгээр Бүлэг ..................................................................................................................................................................... 73 Үнэлгээний жишээнүүд .............................................................................................................................................................. 73 4.1 Жишээ: Авто замын хөрөнгө оруулалт ............................................................................................................................ 73 4.1.1 Удирдтгал ....................................................................................................................................................................... 73 4.1.2 Замын хөдөлгөөний төлөв .......................................................................................................................................... 73 4.1.3 Хөрөнгө оруулалтын зардал ..................................................................................................................................... 74 4.1.4 Эдийн засгийн шинжилгээ .......................................................................................................................................... 75 4.1.5 Сценарийн шинжилгээ ................................................................................................................................................ 78 4.1.6 Эрсдлийн үнэлгээ ......................................................................................................................................................... 78 4.1.7 Санхүүгийн шинжилгээ ................................................................................................................................................ 79 4.2 Жишээ: Төмөр замын хөрөнгө оруулалт ......................................................................................................................... 88 4.2.1 Оршил ............................................................................................................................................................................. 88 4.2.2 Замын хөдөлгөөний шинжилгээ ................................................................................................................................ 88 4.2.3 Хөрөнгө оруулалтын зардал ...................................................................................................................................... 88 4.2.4 Эдийн засгийн шинжилгээ .......................................................................................................................................... 89 4.2.4.1 Харилцагчийн илүүдэл ........................................................................................................................................ 89 4.2.4.2 Үйлдвэрлэгчийн илүүдэл ба засгийн газрын цэвэр ашиг ............................................................................ 90 4
  • 5.
    4.2.5 Сценарийн шинжилгээ................................................................................................................................................ 91 4.2.6 Эрсдлийн үнэлгээ ......................................................................................................................................................... 91 4.2.7 Санхүүгийн шинжилгээ ................................................................................................................................................ 92 4.4 Жишээ: Ус цэвэрлэх байгууламжийн хөрөнгө оруулалт ............................................................................................. 98 4.4.1 Төслийн тодорхойлолт ............................................................................................................................................... 98 4.4.2 Санхүүгийн шинжилгээ ................................................................................................................................................ 99 4.4.3 Эдийн засгийн шинжилгээ ........................................................................................................................................ 101 4.4.4 Эрсдлийн үнэлгээ ....................................................................................................................................................... 102 4.5 Жишээ: Үйлдвэрлэлийн хөрөнгө оруулалт ................................................................................................................... 117 4.5.1 Төслийн зорилтууд ..................................................................................................................................................... 117 4.5.2 Төслийн тодорхойлолт .............................................................................................................................................. 117 4.5.3 Бололцоо ба хувилбарын шинжилгээ .................................................................................................................... 118 4.5.3.1 Санхүү-эдийн засгийн найдвартай байдал ................................................................................................... 118 4.5.3.2 Төслийн техникийн онцлог ................................................................................................................................ 118 4.5.3.3 Хувилбарын шинжилгээ .................................................................................................................................... 118 4.5.3.4 Хөрөнгө оруулалтын төрөл............................................................................................................................... 118 4.5.4 Санхүүгийн шинжилгээ .............................................................................................................................................. 118 4.5.4.1 Хөрөнгө оруулалтын зардал ............................................................................................................................ 118 4.5.4.2 Үйл ажиллагааны зардал .................................................................................................................................. 119 4.5.4.3 Үйл ажиллагааны орлого .................................................................................................................................. 119 4.5.4.4 Санхүүгийн тогтвортой байдал ........................................................................................................................ 120 4.5.5 Эдийн засгийн шинжилгээ ........................................................................................................................................ 120 4.5.6 Эрсдлийн үнэлгээ ....................................................................................................................................................... 121 4.5.6.1 Борлуулалт........................................................................................................................................................... 121 4.5.6.2 Хөрөнгө оруулалтын зардал ............................................................................................................................ 121 ХАВСРАЛТУУД ......................................................................................................................................................................... 130 ХАВСРАЛТ А ............................................................................................................................................................................. 130 ЭРЭЛТИЙН ШИНЖИЛГЭЭ ..................................................................................................................................................... 130 Хавсралт B ................................................................................................................................................................................. 132 Суурь хүүний сонголт (Discount rate) ................................................................................................................................... 132 Хавсралт C................................................................................................................................................................................. 133 Төслийн гүйцэтгэлийн үзүүлэлтүүд ...................................................................................................................................... 133 Хавсралт G ................................................................................................................................................................................ 135 ТХХТ-тйн төслийн үнэлгээ (PPP PROJECTS) .................................................................................................................... 135 Хавсралт H................................................................................................................................................................................. 137 Эрсдлийн үнэлгээ ..................................................................................................................................................................... 137 5
  • 6.
  • 7.
    Нэгдүгээр бүлэг УДИРТГАЛ Төсвийн бодлогынзохицуулалтын хүрээнд дунд хугацааны Улсын хөрөнгө оруулалтын хөтөлбөрт 1 (УХОХ) багтах хөрөнгө оруулалтын төслийн санхүү, эдийн засгийн үнэлгээ хийхэд удирдамж өгөх, төслийн үнэлгээний нэгдмэл хэлбэр, аргачлалыг тодорхойлох, төсвийн ерөнхийлөн захирагч нарын ажлын албаны хөрөнгө оруулалтын мэргэжилтнүүд болон санхүүгийн салбарт ажиллаж буй шинжээч, зөвлөхүүд бусад сонирхогчдын дунд өргөн хүрээний концепцийн хүрээг төлөвшүүлэх үүднээс энэ удирдамжийг боловсруулав. Удирдамж нь Европын Комиссын Ерөнхий бүс нутгийн 2 бодлогын газраас 2008 онд баталсан “Төслийн зардал-үр ашгийн шинжилгээний удирдамж” дээр суурилсан бөгөөд бусад улс орнуудад хэрэглэгдэж буй хөрөнгө оруулалтын төслийн үнэлгээний заавар зөвлөмжийг удирдамж болгов. 1. Удирдамжийн зорилго УХОХ-ийг боловсруулах журмын хүрээнд боловсруулсан энэ удирдамж нь хөрөнгө оруулалтын төслийн зорилтыг тодорхойлох, зөв хувилбарыг илрүүлэх, үнэлэх, ач холбогдоор нь эрэмблэх, Үндэсний Хөгжил, Шинэтгэлийн Хороо (ҮХШХ) болон Сангийн яаманд хүргүүлэх, төслийг боловсруулах, үнэлэх, ач холбогдлоор нь эрэмблэхтэй холбоотой мэдээлэл, маягтуудад шаардлагатай судалгаа, мэдээлэл, тоо баримтыг боловсруулахад дэмжлэг үзүүлэхэд энэ удирдамжийн зорилт оршино. 1.1 Төслийн тодорхойлолт Хөрөнгө оруулалтын дараахь төрлүүд нь мөн томоохон төсөлд хамаарагдана. Үүнд: - - Тодорхой техникийн фүнкцэд хамаарах буюу тодорхой зорилго бүхий, эдийн засгийн хувьд салшгүй ажил үүргийн дарааллаас бүрдэх төслүүдийн багц; Дараахь төслүүдийн бүлэг. Үүнд: Нэг байршилтай эсвэл зам тээврийн нэг шугамын дагуу байршсан; Хэмжигдэхүйц нэгэн зорилготой; Тухайн бүс нутаг эсвэл зам тээврийн шугамын ерөнхий төлөвлөгөөнд багтсан; Зохицуулах ба хянах үүрэг бүхий нэгэн байгууллагад харьяалагддаг; Эдийн засгийн хувьд бие даасан, техникийн ба санхүүгийн хувьд хараат бус төслийн мөчлөг буюу үе шатны төслүүдийн багц; 1.2 Мотивац Хөрөнгө оруулалтын шийдвэр нь хөгжлийн бодлогын тулгуур болдог. Эдийн засгийн тогтвортой өсөлт, амьжиргааны төвшин нь өндөр бүтээмжтэй хөрөнгийн хуримтлал, үйлдвэрлэл, дэд бүтэц, чадварлаг хүний нөөц бүхий байгууллагын чадавхиас шууд хамаарч байна. Харилцан адилгүй бодлогын зорилтууд, мэдээлэл бүхий талууд оролцсон, цогц хүрээнд өрнөх улсын хөрөнгө оруулалтын харилцааг тэгш бус мэдээллийн харьцааг тэнцвэржүүлсэн төслийн үнэлгээний механизмаар шийдвэрлэнэ. Олон давхарга бүхий засаглалын эрх зүй, удирдлагын зохицуулалтын орчинд харьцуулалтын стандард арга барил, гүйцэтгэлийн хэмжүүр, шалгуур үзүүлэлтийг тооцоолох нэгдсэн аргачлал, удирдамжаар хөрөнгө оруулалтын шийдвэр гаргах үйл явцыг удирдана. 1 Улсын хөрөнгө оруулалтын хөтөлбөр боловсруулах заавар, ҮХШХ/Сангийн яам 2009 он European Commission, Directorate General Regional Policy, “Guide to cost-benefit analysis of invesment projects, Structural funds, Cohesion fund and Instrument for pre-accession, final report 2008 2 7
  • 8.
    1.3 Сайн үнэлгээний6 үе шат Энэ удирдамжид 6 үе шатаас бүрдэх төслийн үнэлгээний баримт бичгийг санал болгож байна. Үүнд:  Нийгэм эдийн засгийн зорилтуудын танилцуулга, хэлэлцүүлэг Нийгэм эдийн засгийн зорилтуудад хүрэхэд шаардлагатай улсын хөрөнгө оруулалтын шууд болон шууд бус нөлөөлөл нь үнэлгээний эхний алхам болно. Төслийн зорилт нь Үндэсний хөгжлийн цогц бодлого, Бүс нутгийн хөгжлийн бодлого, Засгийн газрын үйл ажиллагааны мөрийн хөтөлбөр, тэргүүлэх чиглэлүүд болон салбарын хөгжлийн бодлого, зорилтуудтай нийцэж буй эсхийг танилцуулгад харуулна. Танилцуулга ба хэлэлцүүлэг нь санал болгож буй төслүүдийн зорилго, зорилт, үндэслэл болон төсөл ба бодлогын хоорондын нягт уялдааг үнэлэхэд дэмжлэг үзүүлнэ.  Төслийг зөв илрүүлэх Төсөл нь үнэлгээний бие даасан бүрэлдэхүүн хэсэг болно. Үнэлгээний хүрээнд төсөлд ач холбогдол бүхий ямар ч хүчин зүйл түүний дотор төслийн онцлог шинж чанар, бүрэлдэхүүн хэсгийг орхигдуулахгүй бөгөөд сүлжээний нөлөөллүүд (шууд бус) болон тэдгээрийн зардал, үр ашгийг хүрэлцэхүйц хэмжээнд харгалзан үзнэ.  Төслийн болон түүний боломжит хувилбаруудын бололцооны судалгаа Орчны нөхцөл байдал нь төсөлд тохиромжтой эсэх, төслийн ирээдүйн эрэлт хэрэгцээ хангалттай эсэх, тохиромжтой технологи бий эсэх, дэд бүтэц болон байгууламжийн ашиглалтын хувь хангалттай эсэх, хүний нөөц болон удирдлагын чадавхи бий эсэх, бусад хувилбаруудтай харьцуулсан судалгаанд суурилсан төслийн загварын (хэмжээ, байршил, технологи) шийдэл зэрэг асуултуудад ердийн бололцооны судалгаа хариулт өгдөг.  Санхүүгийн шинжилгээ Санхүүгийн шинжилгээ нь хямдруулсан мөнгөн урсгалын аргачлал дээр суурилна. ҮХШХ нь төслийн өртөг, зорилт, санхүүжилтийн хэлбэр, хэрэгжих салбар зэргээс хамаарч харилцан адилгүй санхүүгийн суурь хүү буюу хямдруулалтын хувийг тодорхой судалгааны үндсэнд тогтмол давтамжтай санал болгоно. Нягтлан бодох бүртгэлийн хүснэгтийн систем нь дараахь ангилалд хамаарах орох гарах мөнгөн урсгалыг харуулна. - Нийт хөрөнгө оруулалтын зардал; - Нийт үйл ажиллагааны орлого, зардал; - Хөрөнгө оруулалтын санхүүгийн өгөөж: Санхүүгийн өнөөгийн цэвэр үнэ (хөрөнгө) СӨЦҮ(Х) ба санхүүгийн өгөөжийн хувь (хөрөнгө) СӨХ(Х) (Financial net presen value of capial (FNPV(C)) and Financial rate or return of capital (FRR(C)); - Санхүүжилтийн эх үүсвэр; - Санхүүжилтийн тогтвортой байдал; Хөрөнгө оруулалтын шинжилгээний хугацаа нь гол гол үндсэн хөрөнгийн эдийн засгийн ашиглалтын хугацаатай нийцсэн байна. Үлдэгдэл дүнг (Residual value) сүүлчийн жилийн дансанд бүртгэнэ. Инфляци болон үнийн харьцангуй өөрчлөлтийг нягт харгалзан үзнэ. Төсвийн хөрөнгө оруулалтын төслийн хувьд FRR(C) нь ихэнхидээ сөрөг байдаг.  Эдийн засгийн шинжилгээ Зардал-үр ашгийн шинжилгээ нь (cost-benefit analysis буюу CBA) төслөөс эдийн засагт үзүүлэх цэвэр нөлөөллийн судалгааг шаарддаг. Энэ нь 5 үе шатаар хэрэгжинэ. Үүнд: - Барааны нийгмийн алдагдсан бололцооны зардлыг (the social opportunity cost of the good) илүү бодитой илэрхийлдэг сүүдрийн үнэд (shadow prices) улсын салбарын үнэ, тарифийг шилжүүлэх; - Гадаад хүчин зүйлсийг харгалзах, тэдгээрийг мөнгөн дүнгээр илэрхийлэх; - Шаардлагатай бол сүүдрийн үнээр илэрхийлэгдээгүй шууд бус нөлөөллийг харгалзах; - Зардал үр ашгийг бодит нийгмийн суурь хүү буюу хямдруулалтын хувиар (social discount rate буюу SDR benchmark value) хямдруулах (ҮХШХ нийгмийн хямдруулалтын хувийг санал болгоно.) 8
  • 9.
    - Эдийн засгийн гүйцэтгэлийнүзүүлэлтийн тооцоолол: Эдийн засгийн өнөөгийн цэвэр үнэ (economic NPV буюу ENPV), эдийн засгийн өгөөжийн хувь (economic rate of return буюу ERR) болон үр ашиг-зардлын харьцаа (the benefit-cost (B/C) ratio).  Эрсдлийн үнэлгээ Төслийн үнэлгээний баримт бичгийн нэг бүрэлдэхүүн хэсэг болох эрсдлийн үнэлгээ нь дараахь 5 үе шатаас бүрдэнэ. Үүнд: - Мэдрэмжийн шинжилгээ (чухал хувьсагчуудыг илрүүлэх, хамааралтай хувьсагчуудыг хасах, уян шинжилгээ (elasticity analysis), чухал ач холбогдолтой хувьсагчуудын сонголт, сценарийн шинжилгээ); Чухал ач холбогдолтой хувьсагч бүрийн магадлалын тархалтын таамаглал; Гүйцэтгэлийн үзүүлэлтийн тархалтын тооцоолол ( FNPV болон ENPV); Зөвшөөрөгдөхүйц эрсдлийн төвшингийн болон үр дүнгийн хэлэлцүүлэг; Эрсдлийг бууруулах арга замын талаархи хэлэлцүүлэг;  Үнэлгээний бусад арга барил Зарим тохиолдолд зардал-үр өгөөжийн шинжилгээ (cost-effectiveness analysis) нь ижил төстэй үр дүнтэй төслүүдийг харьцуулахад ашигтай байдаг боловч зардал-үр ашгийн шинжилгээг (CBA) орлохгүй. Хэрэв төсөл санаачлагч эдийн засгийн өгөөжийн хувь нь (ERR) хангалттай биш төслийг хэрэгжүүлэх сонирхолтой бол зардал-үр ашгийн судалгааг орлох олон шалгуурт шинжилгээг (multicriteria analysis) хэрэглэж болно. Маш том төслүүдийн хувьд (босго дүн тогтоох бололцоогүй) макро эдийн засгийн нөлөөллийг харуулах зорилготой эдийн засгийн нөлөөллийн шинжилгээг (economic impact analysis) зардал-үр ашгийн шинжилгээг дагалдах маягаар хийж болно. ХОЁРДУГААР БҮЛЭГ Төслийн шинжээчийн ажлын хуваарь Ерөнхий Төслийн үнэлгээний ажлын хуваарь нь 6 үе шатанд хуваагдана (Зураг 2.1). Эдгээр үе шатын зарим нь бэлтгэл ажил боловч зардал-үр ашгийн шинжилгээний зайлшгүй бүрэлдэхүүн хэсэг болно. Зардал-үр ашгийн шинжилгээний нэг салшгүй бүрэлдэхүүн хэсэг болох “Эдийн засгийн шинжилгээ”г орлох биш харин нөхөх буюу дэмжих зорилготой зардал-үр өгөөжийн, олон шалгуурт ба эдийн засгийн нөлөөллийн үнэлгээний аргачлалуудыг энэ бүлэгт мөн тайлбарлана. - Төслийн агуулга, зорилтууд - Төслийг илрүүлэх (identification) - Бололцоо, хувилбарын судалгаа - Санхүүгийн шинжилгээ - Эдийн засгийн шинжилгээ - Эрсдлийн үнэлгээ - Үнэлгээний тайлан Зураг. 2.1 Төслийн үнэлгээний бүтэц 9
  • 10.
    1. Төслийн үндэслэл,зорилтууд 2. Төслийг илрүүлэх 3. ТЭЗҮ, хувилбарын судалгаа 4. Санхүүгийн шинжилгээ - ХО-ын өртөг - Үйл ажиллагааны орлого, зардал - ХО-ын санхүүгийн өгөөж - Санхүүжилтийн эх үүсвэр - Хөрөнгийн санхүүгийн өгөөж (Financial return on capital) Хэрэв FNPV>0 Хэрэв FNPV<0 Төслийг санхүүжүүлэх шаардлагагүй. Төслийг санхүүжүүлэх шаардлагатай. 5. Эдийн засгийн шинжилгээ - Зах зээлийн үнээс бүртгэлийн үнэ - Зах зээлийн бус нөлөөллийн мөнгөн дүн - Шаардлагатай бол нэмэлт шууд бус нөлөөллийг харгалзах - Нийгмийн хүчийн зүйлийг дисконтлох - Эдийн засгийн гүйцэтгэлийн хэмжүүрүүдийг тооцоолох Хэрэв ENPV>0 Хэрэв ENPV>0 Нийгэмд төсөл шаардлагатай. Нийгэмд төсөл шаардлагагүй. (Онцгой тохиолдол: мөнгөн дүнгээр илэрхийлэгдэхгүй үр ашигтай соѐл урлаг, байгаль хамгааллын төслүүд) 6. Эрсдлийн үнэлгээ - Мэдрэмжийн үнэлгээ - Шийдвэрлэх хувьсагчийн тархалтын магадлал - Эрсдлийн шинжилгээ - Эрсдлийн хүлээн зөвшөөрөх төвшний үнэлгээ - Эрсдлээс хамгаалах 2.1 Төслийн агуулга, зорилтууд 2.1.1 Нийгэм-эдийн засгийн агуулга Удиртгал Төрийн байгууллагын зүгээс аливаа хөрөнгө оруулалтын арга хэмжээг хэрэгжүүлэхийн өмнө үндэсний, бүс нутгийн, Засгийн газрын болон салбарын бодлого, зорилтод нийцсэн төслийн эрэлт хэрэгцээг тодорхойлох нь чухал ач холбогдолтой. Хөрөнгө оруулалтын төслийн үндэслэлийн талаархи мэдээллийг боловсруулна. Төсөл, арга хэмжээний үндэслэлийг тайлбарлах асуултууд: Төсөл, арга хэмжээг хэрэгжүүлэх үндэслэл тодорхой юу? Төсөл арга хэмжээ нь зардлын хувьд үр ашигтай юу? (Үр ашиг нь зардлаасаа илүү юү?) 10
  • 11.
    Төслийн нийгэм-эдийн засагболон байгууллагын үндэслэлийг тодорхойлох нь төслийн үнэлгээний нэгдүгээр үе шатад хамаарна. Төслийн ирээдүйн зардал, үр ашгийн талаархи итгэхүйц төвшний таамаглал нь нийгэм, макро-эдийн засгийн бодит чиг хандлага дээр суурилна. Төслөөс нийлүүлэх бараа/үйлчилгээний ирээдүйн эрэлт хэрэгцээний таамаглалаас бүрдэх эрэлтийн шинжилгээнд нийгэм-эдийн засгийн үндэслэлийн нарийвчилсан судалгаа зайлшгүй шаардлагатай. Төслийн ирээдүйн орлого буюу санхүүгийн гүйцэтгэлийг таамаглахад эрэлтийн таамаглал нь гол үүрэг бүхий үзүүлэлт болно. (эрэлтийн шинжилгээний талаархи дэлгэрэнгүй мэдээллийг хавсралт А-аас харна уу). Эрэлтийн таамаглал нь орлого олохгүй төслүүдийн хувьд ч чухал ач холбогдолтой. Төслийн эдийн засгийн гүйцэтгэл нь нийгэм эдийн засгийн хүчин зүйлс болон тэдгээрийн онцлог, хувьсалаас хамаарна. Төлөвлөж буй төсөл нь олон улсын болон үндэсний хэмжээний сүлжээнд хамаарагдаж буй эсэхэд энэ үе шатанд онцгой анхаарал хандуулах шаардлагатай. Энэ нь хоорондоо нягт уялдаатай зам тээвэр, эрчим хүчний төслүүдэд хамаарах бөгөөд сүлжээнд харьяалагдах төслийн эрэлт, санхүү эдийн засгийн гүйцэтгэл нь сүлжээний төслүүдийн харилцан хамаарлын хүчин зүйлсээс хамаарна. Иймд шаардлагатай бол төслийн үндэслэлд энэ харилцан хамаарлыг харгалзан үзнэ. Судалгаа хийх Үнэлгээний анхны алхам нь төсөл арга хэмжээг хэрэгжүүлэх болсон үндэслэл, асуудлын цар хүрээг тодорхойлох судалгаа болно. Судалгаа дараахь сэдвүүдийг хамарна. Үүнд: - Хэрэв юу ч хийгдээгүй эсвэл бага зэрэг өөрчлөлт орсон бол үр дүн нь юу вэ? Зах зээлийн нөхцөл байдал (жишээ нь зах зээлийн гажуудал, ажил эрхлэлтийн төвшин) Одоогийн ба ирээдүйн чиг хандлага (жишээ нь хүн ам, үйлчилгээний цар хүрээ, эрэлт, үнэ өртөг гэх мэт); Үр ашгийг хүртэгчид ба алдагдал хүлээгчид; Технологийн хөгжил; Хөндөж буй асуудал нь цаг хугацааны туршид цар хүрээний хувьд яаж өөрчлөгдөх вэ? Засгийн газраас хэрэгжүүлэх төсөл, арга хэмжээний үндэслэлийн тайлбарыг дараахь жишээгээр харуулав. Жишээ. Мэргэжлийн сургалтыг өргөжүүлэх Мэргэжлийн ажиллах хүчин нь улс орны эдийн засгийн өсөлт, хөдөлмөрийн бүтээмжид эерэгээр нөлөөлдөг тухай баримт, нотолгоо байдаг. Тэгвэл “А” Улсад мэргэжлийн ур чадвартай ажиллах хүчин ихээхэн хэмжээгээр дутагдаж байгааг тусгай мэргэжлийн боловсролын үнэмлэхтэй иргэдийн тоо харуулж байна. Түүнээс гадна энэ ур чадварын дугагдлыг бий болгож буй зах зээлийн доголдлын 3 хэлбэр байгаа тухай баримтууд байна. 1. 2. 3. Ажил олгогчийн зүгээс сургалтад бага хөрөнгө оруулах гадаад хүчин зүйл. Ажилтны тогтвор суурьшилгүй байдлаас хамаарч сургалтад оруулсан хөрөнгө оруулалтаа нөхөж чадахгүй байх гэсэн ажил олгогчийн эмээлт. Төгс бус мэдээллээс хамаарч ажилтны зүгээс сургалтын чанар, үр ашгийг үнэлж чадахгүй байх. Энэ нь ажилтны сургалтад хамрагдах мөн сургалтын үед бага цалин, хөлсөөр ажиллах хүсэл эрмэлзлийг бууруулна. Төгс бус санхүүгийн зах зээл. Сургалтын төлбөр өндөр. Олон сурагчид сургалтын төлбөрийг банкны зээлээр төлөх сонирхолтой байдаг боловч бага цалинтай учраас зээл авах бололцоогүй байдаг. Мөн зээлийн хүү нь хэт өндөр байдаг. Нийгмийн ашиг сонирхлын өнцгөөс харахад зах зээлийн санал болгож буй мэргэжлийн сургалтын төвшин хангалттай бус гэдгийг дээрхи зах зээлийн доголдлууд харуулж байна. 11
  • 12.
    2.1.2 Төслийн зорилтыгтодорхойлох Төслийн зорилтуудыг тодорхойлох нь төслийн нийгмийн үнэ цэнийн талаархи ойлголтод хүрэх нэг алхам болно. Төслөөс нийгэм-эдийн засагт үзүүлэх цэвэр үр ашиг юу вэ гэсэн асуултын хариулт нь төслийн үнэлгээнд тавигдах нэг томоохон асуулт болно. Үр ашиг нь зөвхөн биет хэмжүүрүүд бус (замын урт-км) тоогоор илэрхийлж болох нийгэм-эдийн засгийн хувьсагчуудаар илэрхийлэгддэг. Төслийн зорилтууд нь хөгжлийн бодлого, хөтөлбөрийн тэргүүлэх чиглэлүүдтэй нягт уялдаатай байна. Төслийн нийгэм-эдийн засгийн зорилтуудыг тодорхойлох нь төслөөс нийгэм-эдийн засагт үзүүлэх нөлөөллийг таамаглахад шаардлагатай боловч төслийн бүх нөлөөллийг таамаглахад бүрэн хүрэлцэхгүй. Төслийн шинжилгээ нь макро-эдийн засгийн олон үзүүлэлтүүдийн хувьд өртөг өндөртэй байдаг. Иймд энэ зааврын аргачлал нь нийгмийн зардал-үр ашгийн шинжилгээн (ЗҮАШ) дээр (social cost-benefit analysis) суурилж байна. ЗҮАШ нь төслөөс үзүүлэх ирээдүйн бүх нөлөөллийн талаархи бүх асуултад хариулахгүй боловч төслийн нийгэм-эдийн засагт үзүүлэх нийт нөлөөллийг харуулах микро-эдийн засгийн үзүүлэлтүүдийн багц дээр төвлөрнө. Төслийн нийгэмэдийн засгийн цэвэр үр ашгийг харуулах нэг түлхүүр үзүүлэлт нь ердөө эдийн засгийн өнөөгийн цэвэр үнээр илэрхийлэгдэнэ. Хэрэв ЗҮАШ нь зөв аргачлал дээр суурилсан бол ажил эрхлэлт, байгаль орчинд үзүүлэх нөлөөлөл зэрэг олон хүчин зүйлсийг зөвхөн нэг гүйцэтгэлийн хэмжүүрээр харуулж болно. Үндэсний хөгжлийн зорилтуудтай нийцэх Төсөл санаачлагч нь төсөл, хөтөлбөрийн зорилт нь үндэсний, бүс нутгийн, салбарын хөгжлийн бодлого зорилт, Засгийн газрын мөрийн хөтөлбөр ба тэргүүлэх чиглэлдүүдтэй бүрэн нийцэж буйг тодорхой тайлбарлана. 2.1.3 Төслийн үр дүн, гарц, гүйцэтгэлийн хэмжүүрийг тодорхойлох Төслийн хэрэгжилтээс нийгэмд үзүүлэх үр ашгийг төслийн үр дүн гэнэ. Ихэнхдээ төслийн зорилтыг хүрэх гэж буй үр дүнгээр илэрхийлдэг. Заримдаа үр дүнг хэмжих бололцоогүй бөгөөд энэ тохиолдолд гарцыг тодорхойлох нь зохимжтой байдаг. Гарцыг хэмжиж, тодорхойлж болох ба гарц нь төслийн зорилтот үр дүнд хамаарах үйл ажиллагааны үр дүн болно. Төслийн зорилт, үр дүн, гарцад хүрэхэд гарч буй ахиц дэвшлийг илэрхийлэхэд “зорилтот үр дүн” (target)-г хэрэглэдэг. Зорилтот үр дүн нь SMART буюу S (Specific-Тусгай), M (Measurable-Хэмжигдэхүйц), A (AchievableХүрч болохуйц), R (Relevant-Ач холбогдолтой), T (Time bound-Цаг хугацаатай уялдсан) мөн чанаруудыг агуулна. Хүснэгт 1. Зорилтот үр дүнг тодорхойлох Дараахь асуултуудад хариулах нь зорилтот үр дүнг тодорхойлоход дөхөмтэй байдаг. Үүнд: Бид юунд хүрэхийг зорьж байна вэ? Хүрэх үр дүнгийн амжилтыг юугаар илэрхийлэх вэ? Зорилтот үр дүнг юугаар хэмжих вэ? Ахиц дэвшлийг хэмжиж болохоор зорилтыг тодорхойлсон уу? Амжилтанд ямар хүчин зүйлс чухал ач холбогдолтой вэ? Ямар SMART зорилтот үр дүнг тодорхойлж болох вэ? Хүснэгт 2. Гарц, үр дүнгийн жишээнүүд Бодлогын зорилт Гарц (output) Үр дүн Ажлын байраар хангах Дэмжлэг авсан ажил эрэгчдийн тоо Нэмэлт гарцын үнэ цэнэ, ажил эрэлтийн бүтээмжийн өсөлт Ур чадварыг хөгжүүлэх Сургалтад хамрагсдын тоо Орлогын өсөлт/ур өсөлтийн үнэ цэнэ 12 чадварын
  • 13.
    Нийгмийн гарц: Сургууль;Эрүүл мэндийн төвүүд Байгаль орчныг хамгаалах Шалтгалтын дүн (сургуууль) Эмчлүүлсэн хүний мэндийн төв) тоо Оюуны (сургууль) чадамжийн өсөлт (Эрүүл Ариутгал хийгдсэн газар (га) Эрүүл мэнд (ЭМТ) Газрын бүтээмжийн өсөлт Table 3 Жишээ: Мэргэжлийн сургалтыг өргөжүүлэх Нэгдсэн бодлогын зорилт Мэргэжлийн сургалтыг өргөжүүлснээр мэргэжлийн ажиллах хүчний нөөцийн дутагдлыг багасгах Гарц, зорилтот үр дүнгийн жишээнүүд: Бодлогын зорилт Гарц Зорилтот үр дүн Сургалтын оновчтой төвшин ДНБ-ий хувиар илэрхийлэгдэх оюуны хөрөнгө Тодорхой хугацаанд сургалтад хамрагдагсдын тоо Ажлын бүтээмжийн өсөлт Мэргэжлийн сургалтад хамрагдсан ажиллах хүчний эзлэх хувь Сургалт завсардуулах хувийн бууралт 2.2 Төслийг илрүүлэх 1.1-д төслийн тодорхойлолтын үндсэн зарчмыг тайлбарласан. Ялангуяа дараахь нөхцлүүд биелэгдсэн бол төслийг илрүүлсэнд тооцно. Үүнд:    Төсөл нь үнэлгээний бие даасан нэгж („тал гүүр нь гүүр биш”); Шууд бус буюу сүлжээний нөлөөллийг хангалттай төвшинд харгалзах; Оролцогч талуудын хувьд зөв нийгмийн чиг хандлагатай байх; 2.2.1 Төсөл гэж юу вэ? Эдийн засаг, техникийн шинж чанартай тодорхой зорилтод хүрэхэд шаардлагатай хоорондоо нягт уялдсан олон тооны ажил, үүргээс бүрдэх үйл ажиллагааг төсөл гэнэ. Жишээ: Төслийг илрүүлэх Нисэх буудал нь Б хотын ойролцоо байх бөгөөд нисэх буудал болон А хотын хооронд замын хөдөлгөөн төвлөрнө гэсэн үндэслэл бүхий А, Б хотыг холбосон хурдны замын төслийн хувьд нисэх буудал-хурдны зам гэсэн нэгдсэн системийн хувьд үнэлгээ хйигдэнэ. Шууд бус болон сүлжээний нөлөөлөл Төслийг илрүүлсний дараа төслийн үнэлгээний хязгаарыг тодорхойлно. Төсөл нь хэрэглэгч, ажилчид, хөрөнгө оруулагч, нийлүүлэгчдэд шууд харин гуравдагч талуудад шууд бусаар нөлөөлдөг. Төслийн үр ашгийг давхар тооцохгүй байхад анхаарах нь зүйтэй. Зардал-үр ашгийн шинжилгээнд сүүдрийн үнэ өгөгдсөн ч ерөнхийдөө хоѐр дахь зах зээл дэх шууд бус нөлөөллийг эдийн засгийн үнэлгээнд оруулж тооцоолохгүй. Жишээ нь хэрэв зохих сүүдрийн үнийг ашигласан бол орон нутгийн жуулчлалын салбарт үзүүлэх хурдны замын нөлөөллийг ЗҮАШ-д оруулж тооцохгүй. Хэрэв анхдагч зах зээл дэх зохистой сүүдрийн үнийг үнэлгээнд ашигласан бол хоѐр дахь зах зээл дэх зах зээлийн нөлөөллийг (тоон болон үнийн өөрчлөлт) үнэлгээнд харгалзахгүй гэсэн ерөнхий зарчмыг баримтална. Зарим тохиолдолд түүний дотор тээврийн салбарт энэ 13
  • 14.
    зарчмыг баримтлах ньбэрхшээлтэй тул нөлөөллийг давхар тооцоолохоос сэрэмжилж хоѐр дахь зах зээлийн нөлөөллийг харгалзан үзэж болно. Харин сүлжээний нөлөөллийг (жишээ нь зам тээврийн төслөөс бусад замын хөдөлгөөнд үзүүлэх нөлөөлөл) зохих таамаглалын загвараар ЗҮАШ-д оруулж тооцоолно. Энэ тусгай сэдвийг тээврийн төслийн жишээн дээр 4 дүгээр бүлэгт дэлгэрэнгүй тайлбарлана. Гадаад орчны эерэг, сөрөг нөлөөллийг (жишээ нь байгаль орчны төсөл) ЗҮАШ-д аль болох оруулж тооцоолно. Гадаад орчны нөлөөлөл санхүүгийн шинжилгээнд хамрагддаггүй учраас энэ нөлөөллийг эдийн засгийн шинжилгээгээр таамаглаж тооцоолно (2.5.2-г харах). Шигтгээ: Зам тээврийн төслийн үр ашгийг давхар тооцоолохоос сэргийлэх үүднээс эдийн засгийн шууд болон шууд бус нөлөөллийг зааглах тухай Шууд нөлөө: Төсөл хэрэгжих тээврийн сүлжээний тухайн хэсгийн хэрэглэгчдийн зүгээс (шинээр төлөвлөсөн замын хэрэглэгчдийн тоо) тухайн сүлжээн дотор хийх сонголтод үзүүлэх нөлөөлөл (шугам, хөдлөх хугацаа, давтамж, хүрэх газар) Сүлжээний шууд нөлөө: Төсөл хэрэгжих тээврийн сүлжээний тухайн хэсэгт хамаарахгүй хэрэглэгчдийн зүгээс хийх сонголтод сүлжээний урсгалаас үзүүлэх нөлөөлөл (шинэ зам төлөвлөсөн бүсийн галт тэрэгний хэрэглээнд орох өөрчлөлт) Шууд бус нөлөө: Зам тээврийн төслийн үр дүнд бий болох зам тээврийн зах зээлээс гадуурхи нөлөөлөл түүний дотор үйлдвэрлэл, хөдөлмөр эрхлэлт, оршин суугчдын тоонд орох өөрчлөлт (жишээ нь зам харицаа сайжрах тул шинэ замтай хотын оршин суугчдын тоо нэмэгдэнэ) Сүлжээний шууд бус нөлөө: Тээврийн төслийн үр дүнд бий болох өртөг, зардлын өөрчлөлтийн улмаас тээврээс бусад салбарт (хөдөлмөрийн, бүтээгдэхүүний, үл хөдлөх хөрөнгийн зах зээл г.м.) үзүүлэх нөлөөлөл. 2.2.3 Хэнд хамаарах вэ? ЗҮАШ-д хэний зардал, үр ашгийг тооцоолох вэ гэдэг асуулт чухал байр суурь эзэлдэг. Жишээ нь хоѐр том хотыг холбох хурдны төмөр зам нь байгаль орчны өнцгөөс харвал орон нутгийн иргэдэд сөргөөр нөлөөлөх боловч үндэсний төвшинд үр ашиг нь зардлаасаа өндөр үзүүлэлттэй байж болно. 2.3 ТЭЗҮ болон хувилбаруудын шинжилгээ Төслийн хувилбаруудаас зөв сонголт хийх үндсэн зарчмуудын талаар энэ хэсэгт тоймчлон тайлбарлана. 2.3.1 Сонголтуудыг илрүүлэх Төслийн нийгэм-эдийн засгийн үндэслэл болон эрэлтийг судалсны дараа төслийн зорилтуудад хүрэх хувилбаруудыг нээж, илрүүлнэ. Сонголтын түгээмэл жишээнүүд: Хувилбарын жишээнүүд       Тээврийн төслийн хувьд өөр өөр маршрут, өөр өөр барих хугацаа; Түрээслэх, барих, эсвэл худалдан авах; Эрүүл мэндийн үйлчилгээг өргөн хүрээнд тархсан орон нутгийн эмнэлгээр санал болгохын оронд эрүүл мэндийн томоохон төвүүдийг байгуулах; Хэрэглэгчийн зах зээлд ойрхон А эсвэл нийлүүлэгчдэд ойрхон Б бүсэд үйлдвэрлэлийн байршлыг сонгох; Оргил ачааллын үед эрчим хүч нийлүүлэх хувилбарууд; Шинэ цахилгаан станц барихын оронд эрчим хүчний ашиглалтыг сайжруулах; 14
  • 15.
    Хөрөнгө оруулалтын үнэлгээнийүндсэн аргачлал нь төсөлтэй төсөлгүй гэсэн 2 нөхцөл байдлыг харьцуулах зорилготой. Хамгийн сайн хувилбарыг сонгоход эхлээд суурь төлвийг (baseline scenario) дэвшүүлэх нь ашигтай байдаг. Энэ нь ирээдүйн төсөлгүй хувилбарын таамаглал буюу “жирийн” (“business as usual”) таамаглал юм. Жирийн таамаглалыг тодорхойлсны дараа (do-minimum option) техник технологи, удирдлага, зохицуулалтын хязгаарлалтууд болон эрэлт дээр суурилсан бусад бололцоотой шийдлийн хувилбаруудыг эрэлхийлэх нь зүйтэй. Үнэлгээний ач холбогдлыг бууруулах нэг эгзэгтэй эрсдэл бол зарим хувилбарууд түүний дотор өртөг багатай бусад сонголтуудыг (удирдлагын чадавхийг бэхжүүлэх, үнийн өөрчлөлт хийх, дэд бүтцийн бусад шийдлүүд) орхигдуулах явдал байдаг. Ерөнхийдөө хувилбаруудын хувьд хөрөнгө оруулалтын гүйцэтгэлд нөлөөлөх үнийн бодлого нь шийдвэрлэгч хувьсагч болдог. Иймд сонголт болон үнэ тарифийн хоорондын уялдааг судлах шаардлагатай. Жишээ нь үнийн бодлого, байршил, хөрөнгө оруулалтын зардал, үйл ажиллагааны зардлуудын олон хувилбараас цөөхөн нь л үнэлгээнд хамрагдах бололцоотой байдаг. Туршлагатай төслийн шинжээч нь ерөнхийдөө жирийн төлөв (basic scenario), “do-minimum” хувилбар болон “dosomething”-ийн цөөн тооны хувилбар дээр анхаардаг. 2.3.2 ТЭЗҮ-ийн судалгаа Техник, эдийн засгийн үндэслэл (ТЭЗҮ)-ийн судалгаа нь техник, эдийн засаг, зохицуулалт, удирдлагын хувьд учирч болох бэрхшээл, холбогдох шийдлүүдийг илрүүлэх зорилготой. Судалгааг хийхдээ учирч болох ач холбогдол бүхий (хүний нөөцийн дутагдал, газар зүйн онцлог ) болон ач холбогдол багатай (үнэ тарифийн зохицуулалт) бэрхшээлүүдийн хоорондын заагийг тодруулах нь зохимжтой байдаг. Ач холбогдол багатай бэрхшээлийг зохицуулалтын өөрчлөлтөөр шийдвэрлэж болно. Хэрэв төслийн загвар нь техник, зохицуулалт, санхүүгийн болон бусад учирч болох бэрхшээлүүдийг даван туулах чадвартай бол төслйг хэрэгжих бололцоотой гэж үзнэ. ТЭЗҮ нь ул суурьтай хянагдах ѐстой бөгөөд энэ нь төсөл бүрт тавигддаг ерөнхий шаардлага болдог. Томоохон дэд бүтцийн төслийн ТЭЗҮ-ийн судалгаа нь дараахь мэдээллийг агуулдаг. Үүнд:  Ашиглаж болох технологи;  Үйлдвэрлэлийн төлөвлөгөө (түүний дотор дэд бүтцийн ашиглалтын хувь);  Ажиллах хүчний хэрэгцээ;  Төслийн цар хүрээ, байршил, хэрэгжилтийн үе шат, өргөжилтийн үе шат, санхүүгийн төлөвлөгөө, байгаль орчны асуудлууд; Олон тохиолдолд, томоохон төслүүдийн судалгаа нь нарийвчилсан нэмэлт судалгаануудаас бүрддэг. (Хавсралт J-г харах). Шигтгээ: Эрэлтийн шинжилгээ ба ТЭЗҮ Эрэлтийн шинжилгээ нь хөрөнгө оруулалтын хэрэгцээг дараахь үнэлгээгээр тодорхойлно. Үүнд:  Одоогийн эрэлт (загварууд болон одоо байгаа тоон мэдээллийг ашиглах);  Ирээдүйн эрэлт (макро-эдйн засгийн болон салбарын таамаглал, эрэлтийг үнэ болон орлоготой уялдуулсан уян байдлын таамаглал (elasticity forecast)). Дээрхи 2 тооцоолол нь төслийн эрэлт болон эдийн засгийн хувьд оновчтой цар хүрээг тодорхойлоход чухал алхам болно. 2.3.3 Хувилбарын сонголт Салбарын онцлогыг харгалзсан сонголт хийхэд дараахь аргачлалыг хэрэглэж болно. Үүнд:   Төлөвлөж буй зорилтуудад хүрэх хувилбаруудын урт жагсаалтыг гаргах; Зарим ач холбогдол бүхий чанарын үзүүлэлтүүдийн биелэлтийн хувиар дээрхи урт жагсаалтаас боломжит хувилбаруудын богино жагсаалтыг сонгох; Хувилбаруудыг хассан үндэслэлийг баримтжуулах нь мөн чухал ач холбогдолтой байдаг. Үүний дараа санхүүгийн болон эдийн засгийн өнөөгийн үнэ цэнэ дээр тулгуурлан боломжит хувилбаруудыг ач холбогдлоор нь эрэмблэн жагсаана. 15
  • 16.
    Боломжит „do-minimum‟ болонцөөн тооны „do-something‟ хувилбаруудыг сонгосны дараа тэдгээрийг ач холбогдлоор нь эрэмблэхийн тулд хялбарчилсан ЗҮАШ-г хийнэ. Хялбарчилсан ЗҮАШ нь санхүү, эдийн засгийн түлхүүр үзүүлэлтийн хүснэгт дээр суурилдаг бөгөөд түүний тоон мэдээлэл нь бүрэн хэмжээний харьцуулалтын судалгааны тоон мэдээлэлтэй харьцуулахад нарийвчлал багатай байдаг. Ямар нэг зүйл хийх (do-something) хувилбар болон төсөлгүй жирийн төлөв (Business as usual буюу BAU scenario) тус бүрийн үр ашиг зардлын хоорондын ялгаагаар буюу өсөн нэмэгдэх цэвэр үр ашгийн аргачлалаар санхүү, эдийн засгийн гүйцэтгэлийн хэмжүүрүүдийг тооцоолдог. Зарим тохиолдолд жирийн төлвийн (BAU scenario or do-nothing) оронд хамгийг багыг хийх (do-minimum) хувилбарыг сонгох нь зохимжтой байдаг. Учир нь зарим тохиолдолд жирийн төлөв (BAU scenario or do-nothing) нь бодит байдлаас хэт зөрүүтэй үр дүнг хүргэдэг. Одоо байгаа төслийг өтгөтгөх, бүтцийн өөрчлөлт хийхтэй холбоотойгоор гардаг нэг асуулт бол өсөн нэмэгдэх мөнгөн урсгалыг одоо байгаа болон хуучин байгууламжид хуваарилах асуудал болдог. Харамсалтай нь нягтлан бодох бүртгэлийн хялбар аргачлалаар (шинэ хуучин байгууламжийн хөрөнгө оруулалтын зардлын харьцаагаар орлогыг шинэ хуучин байгууламжид хуваарилах) мөнгөн урсгалыг хуваарилах нь буруу. “Төсөлтэй” ба төсөлгүй гэсэн 2 төлвийг (scenario) бага зэрэг хазайсан замаар харьцуулах нь хамгийн зөв аргачлал болно. Иймд хураамжтай 2 урсгалтай хурдны замын өргөтгөлийн 3 дахь замын өсөн нэмэгдэх үр ашиг буюу цаг хугацаа хэмнэх үр ашиг нь ирээдүйн тухайн замын хөдөлгөөний 1/3 бус өсөн нэмэгдэх зам тээврээр хэмжигдэнэ. Зарим тохиолдолд одоогийн дэд бүтцийн өргөтгөл, шинэчлэлтэйгээр холбоотойгоор өсөн нэмэгдэх үр ашгийг тоогоор илэрхийлэх бололцоогүй байдаг. Учир нь бүтээгдэхүүн/үйлчилгээний нийлүүлэлтэд тоон өөрчлөлт орохгүй. Эдгээр тохиолдолд өсөн нэмэгдэх үр ашгийг үйлчилгээний чанар, үйл ажиллагааны зардлын бууралт зэрэг сайжруулалттай холбоотой үзүүлэлтүүдээр илэрхийлнэ. 2.4 Санхүүгийн шинжилгээ Ирээдүйн мөнгөн урсгалын таамаглалыг ашиглан цэвэр үр ашиг буюу өгөөжийг тооцоолох нь санхүүгийн шинжилгээний гол зорилго болно. Энэ зааварт Санхүүгийн Өнөөгийн Цэвэр Үнэ (Financial Net Present Value (FNPV)) болон Санхүүгийн Өгөөжийн Дотоод Хувь (Financial Internal Rate of Return (FRR)) өргөн хэрэглэгдэнэ. (Хөрөнгө оруулалтын зардлын болон үндэсний хөрөнгийн (national capital) хувьд FNPV(C), FRR(C), FNPV (K) буюу FRR (K)) Энэ зааварт санхүүгийн өгөөжийг тооцоолохдоо хямдруулсан мөнгөн урсгалын аргыг (Discounted Cash Flow, DCF) хэрэглэж байгаа нь дараахь үндэслэлтэй. Үүнд:    Зөвхөн орох гарах, мөнгөн урсгалыг харгалзана. (жишээ нь элэгдэл, нөөц сан нь мөнгөн урсгалд хамаарахгүй); Төслийн мөнгөн урсгалыг тооцоолохдоо өсөн нэмэгдэх аргыг хэрэглэнэ. Ирээдүйн мөнгөн урсгалыг нэгтгэхдээ буюу ирээдүйн мөнгөн урсгалын өнөөгийн үнэ цэнийг тооцолохдоо зохимжтой санхүүгийн суурь буюу хямдруулалтын хүүг (financial discount rate) ашиглана. (шигтгээг харна уу) Шигтгээ: Санхүүгийн суурь буюу хямдруулалтын хүү Санхүүгийн хямдруулалтын хүү нь хөрөнгийн алдагдсан бололцооны өртгийг харуулдаг. Мөнгөн урсгалыг хямдруулахад хэрэглэх харьцуулалтын хүүг таамаглах онол, практикийн олон арга байдаг (Хавсралт B-г харна уу). Санхүүгийн шинжилгээ нь дэс дараалсан, нягт уялдаатай данснуудаас бүрдэнэ. (Зураг 2.1; 2.2) Үүнд: 1. 2. 3. 4. Хөрөнгө оруулалтын нийт зардал; Үйл ажиллагааны нийт зардал, орлого; Хөрөнгө оруулалтын санхүүгийн өгөөж: FNPV(C) and FRR(C); Санхүүжилтийн эх үүсвэр; 16
  • 17.
    5. Санхүүгийн тогтвортойбайдал; 6. Үндэсний хөрөнгийн санхүүгийн өгөөж: FNPV(K) and FRR(K); 1. Хөрөнгө оруулалтын нийт зардал 3. Хөрөнгө оруулалтын санхүүгийн өгөөж FNPV (C) 2. Үйл ажиллагааны ний зардал, орлого 5. Санхүүгийн тогтвортой байдал 4. Санхүүжилтийн эх үүсвэр 6. Хөрөнгийн санхүүгийн өгөөж FNPV (K) Зураг 2.1 Санхүүгийн шинжилгээний бүтэц FNPV (C) Тогтвортой байдал (Sustainability) Газар - - Барилга, байгууламж - - Тоног төхөөрөмж - - Онцгой засвар үйлчилгээ* - - Тусгай зөвшөөрөл - - Оюуны өмч - - Үйлдвэрлэлийн өмнөх бусад зардал - - Хөдлөх хөрөнгийн өөрчлөлт - (+) - (+) Үлдэгдэл үнэ (Residual value)* + FNPV (K) Хөрөнгө оруулалтын нийт зардал + Үйл ажиллагааны нийт зардал Бараа, түүхий эд - - - Ажиллах хүч - - - Цахилгаан - - - Засвар үйлчилгээ - - - Бусад зардал - - Хүүгийн төлбөр - - Зээлийн төлбөр - Захиргааны зардал Татвар Үйл ажиллагааны нийт орлого Орлого Х + 17 + +
  • 18.
    Орлого Ү + + + Хөрөнгийн эхүүсвэр Орон нутгийн дэмжлэг + Төсөв + - Үндэсний хувийн хөрөнгө оруулалт + - Зээл + Тусламж + Бусад + Зураг 2.2 Санхүүгийн шинжилгээний ерөнхий загвар 2.4.1 Хөрөнгө оруулалтын нийт зардал Санхүүгийн шинжилгээний эхний алхам нь хөрөнгө оруулалтын нийт зардлын тооцоолол болно. Ихэнхи дэд бүтцийн төслүүдийн хувьд 20 жилээр тооцоолдог бол үйлдвэрлэлийн төслийг 10 жилээр таамагладаг. Төслүүд /салбараар/ Жил Эрчим хүч 25 Байгаль орчин, ус 30 Төмөр зам 30 Авто зам 25 Нисэх буудал 25 Цахилгаан холбоо 15 Үйлдвэрлэл 10 Бусад үйлчилгээ 15 Жилийг тодорхойлсны дараа хөрөнгө оруулалтын зардлыг дараахь байдлаар ангилна (Хүснэгт 2.3г харах). Үүнд: - Үндсэн хөрөнгийн хөрөнгө оруулалт (fixed investment); - Эхлэлтийн зардал; - Эргэлтийн хөрөнгөд (working capital) орох өөрчлөлт; 2.4.1.1 Үндсэн хөрөнгийн хөрөнгө оруулалт Хөрөнгө оруулалтын нийт зардлын дийлэнхи хэсгийг бүрдүүлдэг үндсэн хөрөнгийн хөрөнгө оруулалтын талаархи мэдээллийг төслийн ТЭЗҮ-ийн судалгаанаас авна. Үндсэн хөрөнгийн дансны үлдэгдэл үнийг (residual value) хамгийн сүүлийн жилийн үндсэн хөрөнгийн хөрөнгө оруулалтын зардлын дансанд эерэг тэмдэгтэйгээр буюу орлогоор (гарах бус орж ирэх мөнгөн урсгал) бүртгэнэ. 18
  • 19.
    2.4.1.2 Эхлэлтийн зардал Төслийгэхлүүлэхтэй холбоотой зардлыг хөрөнгө оруулалтын нийт зардалд оруулж тооцоолно. Энэ төрлийн зардалд судалгаа (ТЭЗҮ), зөвлөх үйлчилгээ, тусгай зөвшөөрөл, сургалт, хувьцаа арилжаалах зэрэг үйл ажиллагаатай холбоотой гэх мэт зардлууд хамаарна. 2.4.1.3 Эргэлтийн хөрөнгөд орох өөрчлөлт Зарим төслийн хувьд (үйлдвэрлэлийн салбар) урсгал зардлын хөрөнгө оруулалтад эзлэх хувь өндөр байдаг. Эргэлтийн хөрөнгийн дүнгээс урсгал зардлыг хасж цэвэр эргэлтийн хөрөнгийг тодорхойлж болох бөгөөд энэ нь тухайн жилийн хөрөнгө оруулалтын урсгал зардлыг харуулна. Эргэлтийн хөрөнгө: - Авлага; - Бараа, түүхий эд; - Бэлэн мөнгө; Урсгал зардалд богино хугацаатай өр төлбөр хамаарна. 2.4.2 Үйл ажиллагааны нийт орлого, зардал Үйл ажиллагааны нийт орлого, зардлыг тодорхойлох нь санхүүгийн шинжилгээ хийх 2 дахь алхам болно. 2.4.2.1 Үйл ажиллагааны зардал Худалдан авахаар төлөвлөгдөж буй бараа, үйлчилгээний өртгийг үйл ажиллагааны зардал гэнэ. Бараа үйлчилгээ нь тухайн санхүүгийн жилд хэрэглэгддэг учраас хөрөнгө оруулалтын шинж чанаргүй. - Үйлдвэрлэлийн шууд зардал (бараа үйлчилгээний хэрэглээ, ажиллах хүч, засвар үйлчилгээ, бусад үйлдвэрлэлийн зардал); - Захиргааны болон бусад зардал; - Борлуулалт, түгээлтийн зардал; Эдгээр бүрэлдэхүүн хэсгүүдийн нийлбэр нь үйл ажиллагааны зардлын дийлэнхи хэсгийг бүрдүүлдэг. Харин хямдруулсан мөнгөн урсгалын аргачлалтай нийцэхгүй тул дараахь зардлуудыг оруулж тооцоолохгүй. Үүнд: - Элэгдэл (depreciation) (бодит мөнгөн гүйлгээ биш); - Ирээдүйн зардлыг нөхөх нөөц сан (бараа, үйлчилгээний бодит хэрэглээ биш); - Эрсдлийн сан; Хүүгийн төлбөрийг хөрөнгө оруулалтын гүйцэтгэлийг (the performance of the investment FNPV(C)) тооцоолоход оруулж тооцдоггүй бол хөрөнгийн өгөөжийн шинжилгээнд (the return on capital FNPV(K)) хамруулдаг. Татварыг санхүүгийн шинжилгээнд хамруулдаг боловч хөрөнгө оруулалт болон хөрөнгийн өгөөжийн тооцоололд (FNPV(C) and FNPV(K)) оруулдаггүй. 2.4.2.2 Үйл ажиллагааны орлого Хөрөнгө оруулалтын төсөл нь бараа, үйлчилгээний борлуулалтаас (ус, цахилгаан, замын хураамж гэх мэт) орлого олж болно. Ирээдүйн орлогыг тооцоолхын тулд нийлүүлэхээр төлөвлөж буй бүтээгдэхүүн, үйлчилгээг борлуулалтын үнээр үржүүлнэ. Ирээдүйн орлогыг тооцоолохдоо дараахь зүйлийг харгалзахгүй. Үүнд: - Шилжүүлэг, татаас; НӨАТ болон бусад шимтгэл хураамж. Эдгээр нь эргээд төсвийн орлого болдог. 19
  • 20.
    2.4.3 Хөрөнгө оруулалтынсанхүүгийн өгөөж Хөрөнгө оруулалтын санхүүгийн өгөөжийн тооцоолол нь хөрөнгө оруулалтын зардал, үйл ажиллагааны орлого, зарлагын талаархи мэдээллийг нэгтгэсний дараахь санхүүгийн шинжилгээ болно. Төслийн санхүүгийн гүйцэтгэлийг хэмжих үзүүлэлтүүд: - Төслийн санхүүгийн өнөөгийн цэвэр үнэ цэнэ (FNPV); - Санхүүгийн дотоод өгөөж (FRR); FNPV нь тэгтэй тэнцэх нөхцлийг хангах хямдруулалтын хувийг (discount rate) төслийн санхүүгийн өгөөжийн дотоод хувь гэнэ. FNPV = ∑ [St / (1+FRR) t] = 0; Илүү нарийвчилбал хөрөнгө оруулалтын санхүүгийн өнөөгийн цэвэр үнэ цэнэ (FNPV(C)) болон өгөөжийн хувь нь (FRR(C)) хөрөнгө оруулалтын гүйцэтгэлийг (санхүүжилтийн эх үүсвэрээс хамааралгүйгээр) хэмждэг. FNPV(C) нь мөнгөний нэгжээр илэрхийлэгдэх бөгөөд төслийн цар хүрээнээс хамаардаг бол FRR(C) нь абсолут тоо бөгөөд төслийн цар хүрээнээс хамаарахгүй. Санхүүгийн дотоод өгөөж нь төслийн үнэ цэнийн талаар бага мэдээлэл агуулдаг тул санхүүгийн өнөөгийн цэвэр үнийг илүүтэйгээр өргөн хэрэглэдэг. (Хавсралт C-ээс нэмэлт мэдээллийг харах). Төслийн үнэлгээч нь хөрөнгө оруулалтын ирээдүйн гүйцэтгэлийг бусад төслүүдтэй харьцуулахад санхүүгийн өгөөжийн хувийг буюу FRR(C)-г хэрэглэдэг. Төслийн хөрөнгө оруулалтыг төсвийн хөрөнгөөр санхүүжүүлэх эсэх шийдвэрийг гаргахад энэ тооцооллыг хэрэглэдэг. Өөрөөр хэлбэл FRR(C) нь хэрэглэгдэж буй суурь хүүнээс (discount rate) бага эсвэл FNPV(C) нь сөрөг үзүүлэлттэй 20
  • 21.
    тохиолдолд төслийн орлогонь зарлагаасаа бага байх учраас төсвийн санхүүжилт шаардагддаг. Салбарын үнэ, тарифын бодлогоос хамаарч энэ нь дэд бүтцийн төслүүдэд илүү хамааралтай байдаг. 2.4.4 Санхүүжилтийн эх үүсвэр Төслийн нийт санхүүжилтийг тооцоолохын тулд төслийн санхүүгийн эх үүсвэрүүдийг төрөлжүүлэх нь санхүүгийн шинжилгээний 4 дэх алхам болно. Үүнд: - Төсвийн санхүүжилт; Үндэсний хувийн хөрөнгө оруулалт (жишээ нь ТХХТ дэх хувийн хөрөнгө); Буцалтгүй тусламж; Гадаадын хөнгөлттэй зээл; Бусад эх үүсвэр (жишээ нь гадаад дотоодын арилжааны зээлийн эх үүсвэр); Шигтгээ: Төр ба Хувийн хэвшлийн Түншлэл (ТХХТ) Хэрэв хувийн хэвшлийг оролцуулах орон зай байвал ТХХТ нь хөрөнгө оруулалтын төслийг санхүүжүүлэх нэг чухал хэрэгсэл болдог. Хувийн хөрөнгө оруулагчдын бизнесийн харилцан адилгүй сонирхол, эрсдлийн талаархи эмээлт нь хувийн хөрөнгө оруулагчдыг татахад тулгардаг нэг томоохон саад болдог боловч урамшууллын болзолтойгоор тэднийг хөрөнгө оруулалтын санхүүжилтэд идэвхитэй оролцуулах бололцоотой байдаг. Гэхдээ төрөөс шударга өрсөлдөөн, зах зээлд чөлөөтэй нэвтрэх, зохистой үнэ тариф зэрэг олон нийтийн сонирхлыг төслийн бүх үе шатанд хамгаална. Төслийн онцлогоос хамаарч ТХХТ-ийн олон хэлбэрүүд байдаг. Төслийн зөвшөөрөгдсөн зардалд шууд нөлөөлөх учраас ТХХТ-ын эрх зүйн тогтолцоонд онцгой анхаарал хандуулах шаардлагатай. Жишээ нь хувийн хэвшил дэх харьцангуй өндөр алдагдсан бололцооны зардлыг (opportunity cost) харгалзсаны үндсэн дээр санхүүгийн шинжилгээнд хэрэглэгдэх санхүүгийн хямдруулалтын хувийг (financial discount rate) өндөрсгөж болно. ТХХТ-ын хүрээнд төрийн түнш нь тухайн дэд бүтцийн төслийн өмчлөгч (ихэнхи тохиолдолд) боловч оператор нь хувийн хэвшлийн төлөөлөгч байдаг. Иймд зардал ба өртгийг давхар тооцоолох алдаанаас зайлсхийх үүднээс санхүүгийн шинжилгээг дан ганц дэд бүтцийн өмчлөгчийн зүгээс бус 2 талыг оролцуулсан нэгдсэн санхүүгийн шинжилгээнд хамруулна. (ТХХТ-ийн талаархи дэлгэрэнгүй мэдээллийн хавсралт G-ээс харна уу) 21
  • 22.
    2.4.5 Санхүүгийн тогтвортойбайдал Хэрэв хөрөнгө оруулалтын зардал, үйл ажиллагааны орлого, зардал болон санхүүжилтийн эх үүсвэрийг тодорхойлсон бол одоо төслийн санхүүгийн чадамжийг тодорхойлох бололцоотой болж байна. Хэрэв төсөл нь ирээдүйд бэлэн мөнгөний хомсдолд орох эрсдэл байхгүй бол төслийг санхүүгийн хувьд чадамжтай гэж үзнэ. Өөрөөр хэлбэл хэрэв төслийн он дамжсан хуримтлалаар бий болсон мөнгөн урсгалын нийлбэр нь төслийн ашиглалтын бүх жилүүдэд эерэг үзүүлэлттэй бол төслийг санхүүгийн чадамжтай гэж үзнэ. 22
  • 23.
    2.4.6 Хөрөнгийн санхүүгийнөгөөж Төсөл хэрэгжүүлэгчийн санхүүгийн гүйцэтгэлийг тодорхойлох нь хөрөнгийн санхүүгийн өгөөжийн тооцооллын зорилт болдог. Хөрөнгө оруулалтын төслийн хэрэгжилтээс үүдэн төсөл хэрэгжүүлэгчид орж ирэх хямдруулсан цэвэр мөнгөн урсгалын нийлбэрийг хөрөнгийн санхүүгийн өнөөгийн цэвэр үнэ цэнэ (FNPV(K)) гэнэ. Харин хөрөнгийн санхүүгийн өгөөжийн хувь (FRR(K)) нь тухайн төсөл хэрэгжүүлэгчдэд (төр болон хувийн хэвшлийг дамнасан) ногдох өгөөжийг тодорхойлдог. 23
  • 24.
    2.5 Эдийн засгийншинжилгээ (Economic analysis) Улс, бүс нутгийн эдийн засгийн хөгжилд оруулах төслийн хувь нэмрийг эдийн засгийн шинжилгээгээр үнэлдэг. Харин санхүүгийн шинжилгээ нь тухайн төслөөс хөрөнгө оруулагч буюу төслийн өмчлөгчид хамаарах төслийн гүйцэтгэлийг үнэлдэг. Гажуудалтай үнэ бус харин нийгмийн алдагдсан бололцооны өртөг (social opportunity cost) дээр суурилсан нягтлан бодох бүртгэлийн сүүдрийн үнийг (accounting shadow price) хэрэглэх нь энэ үнэлгээний үндсэн асуулга болдог. Нийгмийн үйлчилгээ үзүүлэх нь чөлөөт зах зээлийн хувьд ашиггүй учраас нийгэмд хандсан зарим үнэ өртөг нь нийгмийн бодит үнийг (жишээ нь нийгмийн алдагдсан бололцооны зардал буюу social opportunity cost) бүрэн илэрхийлдэггүй. Жишээ нь монопол, олигопол зах зээл, худалдааны саад нь бодит үнэ, өртгийг илэрхийлдэггүй. Төгс бус зах зээлийн болон төрийн үйлчилгээний бодлогын үнэ, 24
  • 25.
    тариф нь алдагдсанбололцооны өртөгтэй бүрэн нийцдэггүй. Иймд төслийн санхүүгийн үнэлгээ нь хөгжлийн хэмжүүрийн талаар буруу ойлголтод хүргэдэг. Иймд орц, гарцын (input and output) нийгмийн алдагдсан бололцооны зардлыг үнэн зөв тусгахгүй байгаа зах зээлийн үнийг зохих шилжүүлгийн аргаар нягтлан бодох бүртгэлийн үнэд шилжүүлдэг. (2.5.1-ийг харах). Зарим тохиолдолд төслийн орлого, зардлыг зах зээлийн үнээр илэрхийлэх бололцоогүй байж болно. Жишээ нь төслийн зорилтод хүрэхэд харгалзах шаардлагатай хүчин зүйлүүд болох төслөөс байгаль орчин, нийгэм ба хүн амын эрүүл мэндэд үзүүлэх нөлөөллийг төслийн үнэлгээнд оруулах хэрэгцээ тулгардаг. Зах эээлийн үнэлгээгүй нөлөөллийн хүчин зүйлсийг мөнгөн дүнгээр илэрхийлэх аргачлалууд байдаг бөгөөд аль аргачлалын сонголт нь тухайн хүчин зүйлсийн онцлог, мөн чанараас хамаардаг. Энэ зааварт тайлбарласан санхүүгийн шинжилгээнээс эдийн засгийн шинжилгээнд шилжих шилжилт нь олон улсын тэргүүн туршлагатай нийцсэн стандард аргачлал дээр суурилсан болно. Нийгмийн орлого, зардлыг тусгасан шинэ данс үүсгэхийн тулд орох, гарах урсгал бүрд шилжүүлгийн аргыг хэрэглэдэг (Зураг 2.3). Аргачлал нь 5 үе шатаас бүрдэнэ. Үүнд: Зах зээлийн үнийг дансны үнэд шилжүүлэх; Зах зээлийн бус нөлөөллийг мөнгөн дүнгээр илэрхийлэх; Нэмэлт шууд бус нөлөөллийг үнэлгээнд хамруулах; Таамагласан орлого, зардлыг хямдруулах; Эдийн засгийн гүйцэтгэлийн үзүүлэлтийг тооцоолох (эдийн засгийн өнөөгийн цэвэр үнэ цэнэ, эдийн засгийн өгөөжийн хувь, орлого ба зардлын харьцаа (B/C ratio); Энэ бүлгийн үлдсэн хэсэгт дээрхи 5 үе шатыг тайлбарлахын зэрэгцээ дараахь сэдвүүдийг тодруулна. Үүнд:      Стандард шилжүүлгийн фактор (standard conversion factor); Сүүдрийн ханш (the shadow exchange rate); Төсвийн сангийн маргинал өртөг; Сүүдрийн цалин; Нийгмийн хямдруулалтын хувь (the social discount rate, хавсралт B-г харах); Шигтгээ: Зардал ба орлогын шинжилгээний Хэсэгчилсэн ба ерөнхий тэнцвэрийн аргачлалууд (CBA) онолын тухай товч тайлбар: Олон улсын байгууллагуудын санаачилгаар 1970-аад онд хийгдсэн судалгаанууд CBA-ийн өөр хувилбарыг санал болгосон. Ялангуяа зах зээлийн үнийн гажуудал, төрийн оролцоо ихтэй бага хөгжилдтэй орнуудад CBAийн хэсэгчилсэн тэнцвэрчлэлийн аргачлал тохиромжгүй гэсэн дүгнэлтийг судлаачид тогтоосон ба тэд төслүүдийн нийгмийн сүүдрийн үр ашгийг (shadow social profits of projects) тооцоолоход хэд хэдэн “сүүдрийн үнийг” (shadow prices) хэрэглэхийг санал болгосон. Сүүдрийн үр ашиг буюу эдийн засгийн үр ашиг нь шууд болон шууд бус бүх нөлөөллийг хамруулсан аргачлалаар тодорхойлогдсон ерөнхий тэнцвэрийн хэмжүүрүүд болдог. Өөрөөр хэлбэл хэрэв төслийн хувьд сүүдрийн үнээр тооцоолсон өнөөгийн цэвэр үнэ нь эерэг бол төсөл нь нийгмийн хөгжил, амжиргааны төвшинг дээшлүүлнэ. Мэдээллийн хомсдол нь эдийн засгийн ерөнхий тэнцвэрчлэлийн аргаар сүүдрийн үнийг тооцоолоход бэрхшээл учруулдаг тул тооцоололд зарим хялбарчилсан аргыг хэрэглэдгээс өргөнөөр худалдаалдаг барааны хувьд “хилийн үнийн журам”, өргөн худалдаалдаггүй барааны хувьд “урт хугацааны доод өртгийн доод хязгаарын журам” нь (long rum marginal cost rule) хамгийн түгээмэл тархсан. Ер нь зардал ба орлогын шинжилгээ нь мэдээллийн дутагдалтай байнга тулгардаг бөгөөд хэсэгчилсэн ба ерөнхий тэнцвэрчлэлийн аргачлалын алийг сонгох нь тухайн үнэлгээчний сонирхлоос хамаардаг. Өнөөдөр зардал ба орлогын шинжилгээ нь хоорондоо их ба бага хэмжэгээр хамааралтай салбаруудын (ялангуяа, дэд бүтэц, байгаль орчин, эрүүл мэнд) төвшинд өөрийн түүх, хэв маягтай олон төрөл, хэлбэрээр 25
  • 26.
    хөгжиж байгаа бөгөөдтөслийн үнэлгээнд хэсэгчилсэн ба ерөнхий тэнцвэрчлэлийн аргачлалуудын холимог хувилбарыг хэрэглэж байна. Энэ заавар нь сүүдрийн үнэ ба шилжүүлгийн фактор дээр суурилсан ерөнхий тэнцвэрчлэлийн аргачлалыг санал болгож байна. Хэрэв салбарын шилжүүлгийн факторыг хэрэглэх бололцоогүй эсвэл шилжүүлгийн фактор нь цөөн тооны тодорхой салбаруудад хамаарч байвал өөр өөр аргачлалыг хэрэглэж болно. Гуравдугаар бүлэгт стандард хэсэгчилсэн тэнцвэрчлэлийн аргачлал (тээвэр) болон сүүдрийн үнэд (ус хангамж, үйлдвэрлэл) суурилсан практик жишээг танилцуулна. 2.5.1 Зах зээлийн үнийг дансны үнэд шилжүүлэх Хөрөнгө оруулалтын нийгмийн үнэ цэнийг тодорхойлох нь зардал ба орлогын шинжилгээний (CBA) зорилго болно. Зах зээлийн эсвэл засгийн газраас тогтоосон үнэ нь орц, гарцын нийгмийн алдагдсан бололцооны өртгийг бодитойгоор илэрхийлдэггүй. - Бүтээмж өндөр биш зах зээлээс хамаарч орц, гарцын бодит үнэ гажуудсан байдаг. Засгийн газраас тогтоосон нийтийн бараа, үйлчилгээний үнэ, тариф нь бодит өртгийг тусгадаггүй. 26
  • 27.
    Жишээ: Үнийн гажуудал Үйлдвэрлэлийнпаркийн төсөл. Төсөлд төрийн байгууллагаас үнэгүй олгосон газар. Өөр тохиолдолд газраас ашиг олох бололцоотой байсан. Маш бага тарифтай (төрийн татаастай) уснаас хамаарах газар тариалангийн төсөл. Бүтээгдэхүүний үнэ нь төрийн бодлогоос хамаардаг. Төрийн зохицуулалттай эрчим хүчний нийлүүлэлтээс хамаарах төсөл. Тариф нь урт хугацааны өртгөөс хямд. Орц нь үнийн өндөр гажуудалд өртөх бүр нөөцийн нийгмийн алдагдсан бололцооны зардлыг илүү сайн тусгах үүднээс төсөл санал болгогч нь дансны буюу сүүдрийн үнийг төслийн үнэлгээнд хэрэглэнэ.(2.4 дүгээр зургыг харах) Макро эдийн засгийн мөн чанартай учраас улсын ач холбогдолтой зарим зардал ба орлогын шинжилгээний параметрийг Хороо тогтооно. Экспорт, импортын үнэ дээр суурилж стандард шилжүүлгийн факторын дүнг таамагладаг. Хорооноос шилжүүлгийн фаторыг санал болгоогүй бол стандард шилжүүлгийн фактор нэгтэй тэнцүү (standard conversion factor (SCF); SCF=1) гэсэн зарчмыг баримтална. Жишээ: Стандард шилжүүлгийн факторыг тооцоолох 27
  • 28.
    Стандард шилжүүлгийн факторыгтооцоолох жишээ (сая евро): 1) нийт импорт (M) M = 2000; 2) нийт экспорт (X) X = 1500; 3) импортын татвар (Tm) Tm = 900; 4) экспортын татвар (Tx) Tx = 25; Стандард шилжүүлгийн факторыг (SCF) тооцоолох томьѐо: SCF = (M + X) / [(M + Tm) + (X - Tx)] SCF = 0.8. Худалдааны саад, үйлчилгээний салбарын зохицуулалт, салбар дамнасан харилцан адилгүй татварын төвшнөөс хамаарч практикт тооцоолол нь илүү цогц байдаг. Ажигласан үнэ болон дараахь жишиг үнийн хоорондын зөрүү нь төслийн нийгмийн өртөгт яаж нөлөөлж байгааг хянамгай үнэлэх нь төслийн шинжээчийн үүрэг юм. Үүнд: Орон нутгийн тээврийн үйлчилгээ зэрэг олон улсад арилжигдахгүй бараа/үйлчилгээний өөрийн өртөг; Үр тариа, эрчим хүч, үйлдвэрлэлийн бараа зэрэг олон улсад арилжигдах барааны хилийн үнэ. Арилжигддаггүй бараа/үйлчилгээний хувьд: Арилжигддаггүй бага дүнтэй бараа болон тусгай шилжүүлгийн факторгүй бараанд стандард шилжүүлгийн факторыг харин арилжигдаггүй томоохон бараанд салбарын тусгай шилжүүлгийн факторыг (урт хугацааны өртөг буюу төлөх-эрмэлзэл дээр суурилсан ) хэрэглэнэ. Жишээ: Салбарын тусгай шилжүүлгийн фактор Газар. SCF нь 0.8. Зах зээлийн үнийн 50 хувьтай тэнцэх хямдруулсан үнэтэй газрыг Засгийн газар олгов. Зах зээлийн нөхцөлд газрыг зарах үнэ нь худалдан авсан үнээс 2 дахин өндөр байна. Тусгай шилжүүлгийн фактор байхгүй учраас зах зээлийн үнийг хилийн үнэд шилжүүлэх шилжүүлгийн фактор нь стандард шилжүүлгийн фактор байна. Газрын шилжүүлгийн фактор: CF = 2 * 0.8 = 1.60. Барилга. Нийт өртгийн 30 хувь нь мэргэжлийн бус-ажиллах хүч (CF нь 0.48), 40% нь 23%-ийн импортын тарифтай, 10%-ийн борлуултын тарифтай импортын бараа, 20% нь дотоодын бараа ( тусгай CF=0.8), 10% нь ашгаас (CF=0) тус тус бүрдэнэ. Шилжүүлгийн фактор: (0.3*0.48)+(0.4*0.75)+(0.2*0.8)+(0.1*0) = 0.60. Тоног төхөөрөмж. Импортын татваргүй. (CF=1). Бараа, түүхий эд. Зөвхөн нэг төрлийн материал хэрэглэнэ гэвэл; Бараа татваргүй бөгөөд зах зээлийн үнэ нь FOB-той тэнцүү бол CF=1. Гарц (Output). Төсөл нь импортын бараа A ба арилжигддаггүй завсрын бараа болох Б гэсэн 2 төрлийн бараа нийлүүлнэ. Дотоодын компаниудыг хамгаалах үүднээс Засгийн газар А-д 33%-ийн импортын татвар ногдуулсан. А-ийн CF нь 100/133 = 0.75. Б-ийн хувьд тусгай шилжүүлгийн фактор (SCF) нь 0.8. Түүхий эд. Гажуудал бага бол CF=1. 28
  • 29.
    Импортолсон завсарын түүхийэд нь татвар болон тарифгүй. CF=1. Цахилгаан. Тариф нь цахилгаан үйлдвэрлэх өртгийн 40%-тай тэнцүү. Өртгийн задаргаагүй бөгөөд цахилгаан үйлдвэрлэх бүрдэл хэсэг бүрийн олон улсын болон дотоодын үнийн зөрүү нь SCF-д хамаарагдах бүх бараа хоорондын үнийн зөрүүтэй тэнцэнэ. CF = 1/0.4 * 0.8 = 2. Мэргэжлийн ажиллах хүч. Зах зээл гажаагүй. Зах зээлийн цалин хөлс нь эдийн засгийн алдагдсан бололцооны өртгийг харуулна. Мэргэжлийн бус ажиллах хүч. Нийлүүлэлт нь эрэлтээсээ илүү боловч нэг цагийн ажлын доод хөлс 5 евро. Гэвч сүүлийн ажилтнууд нь 3 еврогийн хөлстэй орон нутгаас ирсэн. Мэргэжлийн бус ажиллах хүчний ажлын хөлсний 60% нь л алдагдсан бололцооны өртгийг (opportunity cost) харуулна. Мэргэжлийн бус ажиллах хүчний гүйцэтгэсэн ажлын алдагдсан бололцооны өртгийг хилийн үнэд шилжүүлэхэд SCF-г хэрэглэнэ. CF = 0.6*0.8 = 0.48. 2.5.1.1 Сүүдрийн үнийн гажуудал Ялангуяа дэд бүтцийн хөрөнгө оруулалтын хувьд ажиллах хүч нь чухал бүрэлдэхүүн хэсэг болдог. Зарчмын хувьд цалин хөлс нь ажлын нэг нэгжид ногдох бүтээмж буюу бүтээгдэхүүний нийгмийн үнэ цэнээр илэрхийлэгддэг. Гэвч бодит байдалд цалин хөлсний гажуудал байнга тохиолддог. Төгс бус хөдөлмөрийн зах зээл, макро эдийн засгийн тэнцвэргүйжүүлэлт зэрэг хүчин зүйлсээс хамааран одоогийн цалин хөлс нь хөдөлмөрийн алдагдсан бололцооны өртгийг гажуудуулж болно. Эдгээр тохиолдолд төсөл санаачлагчийн хувьд шилжүүлгийн факторын туслалцаатайгаар сүүдрийн цалин хөлсийг тооцоолох хэрэгцээ тулгарна. Жишээ: Цалин хөлсний гажуудал - Зарим бүс нутгийн хөдөлмөр эрхлэлтийг дэмжих төрийн бодлогоос хамаарч хувийн ААН-ийн хөдөлмөрийн өртөг нь нийгмийн алдагдсан бололцооны өртгөөс бага байж болно. Мөн хөдөлмөрйин хөлс нь хуулиар тогтоосон цалин хөлсний доод хэмжээнээс бага байж болно. - Макро эдийн засгийн тэнцвэргүйжилт ба цалин хөлсний талаархи уян хатан бус зохицуулалт. - Ажилгүйдлийн өндөр төвшинтэй эдийн засгийн хувьд төслийн ажиллах хүчний алдагдсан бололцооны өртөг нь тухайн үеийн хөдөлмөрийн хөлсний хувиас бага байх нь түгээмэл тохиолддог. 29
  • 30.
    Сүүдрийн цалин хөлсийгдараахь үзүүлэлтүүдийн жигнэсэн дунджаар тодорхойлно. Үүнд: - - Өмнө ижил төстэй салбарт ажиллаж байсан мэргэжилтэй ба мэргэжилгүй ажиллах хүчний сүүдрийн цалин хөлс нь зах зээлийн цалин хөлстэй тэнцүү буюу ойролцоо байна. Төсөл дээр ажиллахын өмнө ажилгүй байсан мэргэжилгүй ажиллах хүчний сүүдрийн хөлс нь ажилгүйдлийн үед олгох нийгмийн халамжны төвшнөөс багагүй буюу түүнтэй тэнцүү байна. Хэвшмэл бус салбараас ирсэн төслийн мэргэжилгүй ажиллах хүчний сүүдрийн цалин хөлс нь урьд нь эрхэлж байсан цалин хөлстэй тэнцүү байна. Жин нь ажиллах хүчний дүнтэй шууд хамааралтай байна. Ажилгүйдлийн төвшин өндөр, нийгмийн халамж бага тохиолдолд сүүдрийн хөлс нь ажилгүйдлийн төвшинтэй урвуу хамааралтай байж болно. Хэрэв ажиллах хүчний өртгийг залруулахаас өмнө төсөл нь хүрэлцэхүйц эдийн засгийн өгөөжийн дотоод хувьтай бол сүүдрийн үнийг нарийвчлан тооцохын тулд ихээхэн цаг хугацаа, хүч зарцуулах шаардлагагүй. Гэвч зарим тохиолдолд ажиллах хүчний зүгээс төсөлд үзүүлэх нөлөөллийг няхуур харгалзах шаардлагатай байдаг. Үүнд: - - Төслийн үр дүнд шинээр нэмэгдэх ажил эрхлэлтийг тооцоолохдоо бусад салбарт үүсэх хөдөлмөр эрхлэлтийн алдагдлыг харгалзах. Ялангуяа одоо байгаа байгууламжийн засвар үйлчилгээ нь ажлын байрыг хадгалж үлдэнэ гэсэн үндэслэлийг зардлын бүтцийн болон өрсөлдөх чадавхийн (төсөлтэй ба төсөлгүй) шинжилгээгээр тайлбарлах. Залуучууд, эмэгтэйчүүд болон ажилгүйчүүдийн ажил эрхлэлтийг нэмэгдүүлэхэд чиглэсэн төслүүдийн хувьд зорилтод бүлгүүдээс үзүүлэх нөлөөллийг тус тусад харгалзан үзэх нь чухал ач холбогдолтой. 2.5.1.2 Төсвийн залруулга Санхүүгийн шинжилгээ нь нэг талаар нийгмийн доторхи гишүүдийн хоорондын цэвэр шилжүүлгийг илэрхийлдэг бол нөгөө талаар эдгээр шилжүүлэг нь эдийн засгийн нөлөөлөлгүй байдаг. Жишээ нь ААН-ийн улсад төлсөн татварын зарлага нь төсвийн орлогоор бүртгэгдэх бөгөөд эдийн засгийн балансийн дүнг өөрчлөхгүй. Шилжүүлэгтэй холбоотой гажуудлыг засах зарим ерөнхий залруулгаас: - Зардал ба орлогын шинжилгээнд хамрагдах бүх орц, гарцын (input and output) үнийн дүнгээс НӨАТ болон бусад шууд бус шимтгэл, хураамжийг хасах. Зардал ба орлогын шинжилгээнд хамрагдах орц түүний дотор ажиллах хүчний цалин, хөлсний дүнгээс татвар, хураамжийг хасах. Төрийн байгууллагаас олгосон татаас нь цэвэр шилжүүлэг бөгөөд эдийн засгийн шинжилгээ хийхдээ орлогоос хасна (CF=0). Гэвч зарим тохиолдолд шууд бус татвар, татаас нь гадаад нөлөөллийг залруулах зорилготой байдаг учраас эдгээр татварыг (татаасыг) төслийн зардал (орлого)-д тооцож болох боловч үнэлгээчин орц, гарцын дүнг давхардуулахаас сэрэмжлэх шаардлагатай. (Жишээ нь CO2-ийн татвар болон байгаль орчны нөлөөллийн дүнг үнэлгээнд давхардуулахгүй байх) ААН-ээс нийлүүлж буй бараа, үйлчилгээний солилцоонд шилжүүлж буй төрийн татаас нь цэвэр шилжүүлгэ биш бөгөөд эдийн засгийн шинжилгээнд татаасыг орлогоор тооцоолно. Гэхдээ татаас нь бараа, үйлчилгээний нийгмийн алдагдсан бололцооны өртгийг зөв тусгаж буй эсхийг хянана. Төслийн орлого нь төсвийн алдагдлыг санхүүжүүлэхэд чиглэгдсэн нэмэлт өр, татварын хэрэгцээг бууруулах учраас зарим төслөөс төсөвт үзүүлэх нөлөөлөл өндөр байдаг. 30
  • 31.
    2.5.2 Зах зээлийнбус нөлөөллийг мөнгөжүүлэх Нийгэмд ач холбогдолтой боловч зах зээлийн үнэ нь тодорхой бус төслийн нөлөөллийг үнэлэх нь эдийн засгийн шинжилгээний дараахь үе шатанд хамаарна (Төрөл бүрийн салбар дахь зах зээлийн нөлөөллийн үнэлгээний талаархи дэлгэрэнгүй мэдээллийг 2.10-аас харна уу). Төслийн хамгийн их ач холбогдол бүхий зах зээлийн бус үр ашгийг тооцоолохдоо үйл ажиллагааны орлогыг тооцоход хэрэглэдэг зохих шилжүүлгийн факторыг ашиглана. Хэрэв шилжүүлгийн фактор тодорхой бус эсвэл төсөл орлогогүй бол хэрэглэгчийн сонирхлыг илэрхийлэх төлөх-сонирхол (willingness-to-pay (WTP)) аргыг хэрэглэнэ. Хэрэв WTP аргачлал нь зохимжгүй эсвэл бололцоогүй бол урт хугацааны өөрийн өртгийн аргыг (long-run marginal cost (LRMC)) хэрэглэнэ. Ерөнхийдөө WTP нь LRMC-ээс өндөр үзүүлэлттэй бөгөөд заримдаа дээрхи 2 үзүүлэлтийн дундаж үзүүлэлт зохимжтой байдаг. Сүүдрийн үнийг тодорхойлохдоо WTP/LRMC ба шилжүүлгийн факторын аль нэгийг л ашиглана. Жишээ нь цахилгааны kWh-н үнэ нь түүний үйлдвэрлэлийн өөрийн өртгөөс бага бол kWh-г шилжүүлгийн үнээр үржүүлж эсвэл цахилгааны үнийг WTP-ээр орлуулж цахилгааны сүүдрийн үнийг тодорхойлно. Хэрэв зах зээлийн бус нөлөөлөл нь үйлдвэрлэгч болон төслийн хэрэглэгчийн хооронд бус харин гуравдагч талд үйлчилбэл үүнийг гадаад нөлөөлөл гэнэ. Өөрөөр хэлбэл гадаад нөлөөлөл нь нөхөн төлбөргүйгээр гуравдагч талд хүрч буй аливаа зардал эсвэл үр ашгийг илэрхийлдэг. Тухайн нөхцөл байдлаас хамаарч гадаад нөлөөллийг төлөх-сонирхол, урт хугцааны өөрийн өртөг, шилжүүлгийн фактор зэрэг аргуудаар илэрхийлэх хүндрэлтэй байдаг тул гадаад нөлөөллийг хүлээн зөвшөөрөх-сонирхол зэрэг аргуудаар үнэлдэг. Жишээ нь байгаль орчинд үзүүлэх сөрөг нөлөөллийг тооцоолох нь хүндрэлтэй бөгөөд энэ тохиолдолд үр ашгийг шилжүүлэх (benefits transfer) аргыг 31
  • 32.
    хэрэглэж болно. Хэрэвмэдээллийн дутагдлаас хамаарч үр ашгийг шилжүүлэх аргыг хэрэглэх бололцоогүй бол байгаль орчны нөлөөллийг чанарын үнэлгээгээр илэрхийлж шийдвэр гаргачдад илүү бодит мэдээлэл өгнө. Энэ хүрээнд олон шалгуурт шинжилгээ мөн зохимжтой байдаг. Байгаль орчны нөлөөллийг мөнгөжүүлэх аргачлалын талаархи илүү дэлгэрэнгүй мэдээллийг хавсралт F-ээс харна уу. 2.5.2.1 Төрийн өмч, хөрөнгийн бүртгэлийн үнэ Төсөлд хэрэглэгдэх төрийн өмч, хөрөнгийг албан ѐсны нягтлан бодох бүртгэлийн үнээр бус аль болох алдагдсан бололцооны өртгөөр нь (opportunity cost) үнэлэх зарчмыг баримтална. 2.5.3 Шууд бус нөлөөллийг хамруулах Хоѐр дахь зах зээл дэх тоо, үнийн өөрчлөлтөөр шууд бус нөлөөллийг тодорхойлно. Зардал ба орлогын шинжилгээнд шууд бус нөлөөллийг хамруулах эсэх нь хоѐр дахь зах зээлийн онцлогоос хамаарна. Татвар, төрийн татаас, монопол өрсөлдөөн, гадаад нөлөөлөл зэрэг хүчин зүйлс зах зээлийг гажуудуудах бөгөөд ийм зах зээлд үнэ нь нийгмийн алдагдсан бололцооны өртөгтэй тэнцдэггүй. Хэрэв анхдагч зах зээлд зохих сүүдрийн үнэ өгөгдсөн байвал үр ашигтай хоѐр дахь зах зээл дэх шууд бус нөлөөллийг төслийн үнэлгээнд хамруулахгүй. Шууд бус нөлөөллийг хэмжих, үнэлгээнд хамруулах эсэх нь нөхцөл байдал түүний дотор зах зээлийг гажуудуулах хүчин зүйлсээс хамаарна. Хагас тэнцвэрт орчинд гажуудсан хоѐр дахь зах зээл дэх шууд бус нөлөөллийг зардал ба орлогын шинжилгээнд хамруулна. Учир нь зөвхөн энэ төрлийн зах зээлд л нийгэмд сөрөг эсвэл эерэг нөлөөлөл илэрдэг. Жишээ нь хэрэв засгийн газрын оролцооны дүнд хоѐр дахь зах зээлд тоон өөрчлөлт орсон бол үүнээс үүдэх гажуудлын үр ашиг эсвэл зардлыг хэмжинэ. Гэвч практикт шууд бус нөлөөллийг тодорхойлох бус түүний хэмжээ, цар хүрээг тогтоох нь илүү хүндрэлтэй байдаг. Иймд хэмжих бололцоотой шууд бус нөлөөллийг зардал ба орлогын шинжилгээнд хамруулна. Мөн сүүдрийн үнийн зөв сонголт, гадаад нөлөөллийн мөнгөжүүлэлт нь шууд бус нөлөөллийг тооцоолоход хүрэлцээтэй. Зардал ба орлогын шинжилгээнд ямар үр ашгийг хамруулах нь практикт тэр бүр тодорхой биш байдаг. Төслийн үнэлгээчний үр ашгийн тооцоолол хийхдээ гаргадаг зарим алдаа, түүнээс сэргийлэх талаар доорхи жишээн дээр дэлгэрэнгүй тайлбарлья. Жишээ: Үр ашгийг тооцоолоход гаргадаг алдаанууд Үр ашгийг давхардуулах. Газрын үнийн өсөлт болон газрын орлогын өнөөгийн үнэ цэнийг давхардуулах бус зөвхөн нэгийг тооцоолох. Хоѐрдугаар зэрэглэлийн үр ашгийг тооцоолох. Хэрэв шинэ зам баригдсан бол замын дагуу өргөжих бизнесийн үйл ажиллагааг үр ашигт тооцож болно. Тэгвэл эдгээр бизнес өөр газраас нүүж ирсэн бол нийгмийн цэвэр ашиг нь тэгтэй тэнцэнэ. 2.5.4 Нийгмийн хүчин зүйлсийг хямдруулах (дисконтлох) Хөрөнгө оруулалтын төслийн эдийн засгийн шинжилгээнд хэрэглэгддэг нийгмийн хямдруулалтын хувь нь (the social discount rate (SDR)) ирээдүйн орлого, зардлыг өнөөдрийнхтэй харьцуулах нийгмийн үзэл бодлыг илэрхийлдэг. Хөрөнгийн зах зээл сул хөгжсөн бол SDR нь санхүүгийн хямдруулалтын хувиас ялгаатай байдаг. Хороо бүх төсвийн хөрөнгө оруулалтын төслүүдийн үнэлгээнд хамаарах Монгол Улсын нийгмийн суурь хүүг тодорхойлж болох бөгөөд энэ хүү нь Зүүн Европын шилжилтийн эдийн засагтай орнуудын хувьд 5,5 хувьтай тэнцдэг. 2.5.5 Эдийн засгийн гүйцэтгэлийн үзүүлэлтийг тооцоолох 32
  • 33.
    Хэрэв үнэ, цалинхөлсний гажуудлыг залруулж, оновчтой нийгмийн хямдруулалтын хувийг сонгосон бол төслийн эдийн засгийн гүйцэтгэлийг дараахь үзүүлэлтүүдээр тооцоолж болно. Үүнд: Эдийн засгийн өнөөгийн цэвэр үнэ цэнэ (economic net present value (ENPV)): Дисконтлсон нийгмийн үр ашиг зардлын хоорондын зөрүү; Эдийн засгийн өгөөжийн дотоод хувь (economic internal rate of return (ERR)): ENPV тэгтэй тэнцэх нөхцлийг хангах хувь; Зардал ба орлогын (B/C) харьцаа буюу эдийн засгийн хямдруулсан орлого ба зардлын харьцаа; Шигтгээ: ENPV ба FNPV FNPV-тэй харьцуулахад ENPV нь төгс бус зах зээлийн үнийн оронд бараа, үйлчилгээний алдагдсан бололцооны өртөг ба бүртгэлийн үнийг хэрэглэснээр нийгмийн болон байгаль орчны гадаад нөлөөллийг аль болох өргөнөөр тусгадаг. Эдийн засгийн шинжилгээ нь дан ганц төслийг эзэмшигчийн бус нийгмийн сонирхлыг илэрхийлдэг. Гадаад нөлөөлөл ба сүүдрийн үнийг тооцоолдог учраас ихэнхи сөрөг санхүүгийн өнөөгийн цэвэр үнэ цэнэтэй (FNPV(C)) төслүүд эерэг эдийн засгийн өнөөгийн цэвэр үнэ цэнэтэй (ENPV) байдаг. Харин төсвийн эх үүсвэр хязгаарлагдмал тохиолдолд орлого ба зардлын харьцааны (B/C ratio) аргачлал нь зохимжтой байдаг (Хавсралт С-г харах). Зарчмын хувьд эдийн засгийн өгөөж нь нийгмийн хямдруулалтын хувиас бага эсвэл ENPV нь сөрөг үзүүлэлттэй төслөөс татгалздаг. Гэвч зарим онцгой тохиолдолд мөнгөжүүлээгүй үр ашигтай төслүүдийг (байгаль орчныг хамгаалах, соѐлын өв гэх мэт) төсвийн хөрөнгөөр санхүүжүүлж болно. 33
  • 34.
    2.6 Эрсдлийн үнэлгээ Төсөлхангалттай гүйцэтгэлд хүрэх магадлалын судалгааг эрсдлийн үнэлгээ гэнэ. Магадлал нь 1 буюу хүлээгдэж буй үр дүнд 100 хувь бүрэн хүрэх, 0 буюу хүлээгдэж буй үр дүнд хүрэхгүй байх эсвэл дээрхи 2 тооны дундын аль нэг тоон үзүүлэлттэй тэнцдэг. Эрсдлийн үнэлгээний зөвлөж буй үе шатууд: - Мэдрэмжийн шинжилгээ; Чухал хувьсагчуудын магадлалын тархалт; 34
  • 35.
    - Эрсдлийн шинжилгээ; Эрсдлийн зөвшөөрөгдөхтөвшний үнэлгээ; Эрсдлээс сэргийлэх; 2.6.1 Мэдрэмжийн шинжилгээ Мэдрэмжийн шинжилгээ нь төслийн санхүүгийн ба эдийн засгийн гүйцэтгэлд үзүүлэх хамгийн их нөлөө бүхий загварын чухал параметрүүд буюу хувьсагчуудыг тодорхойлох бололцоог олгодог. Нэг хувьсагчийн өөрчлөлтөөс IRR буюу NPV-д үзүүлэх нөлөөллийг тодорхойлох замаар шинжилгээг хийдэг. Чухал хувьсагчуудыг сонгох шалгуурууд нь тухайн төслөөс хамаарах бөгөөд тухайн төсөл бүрээр нарийвчлан тодорхойлох шаардлагатай. Хувьсагчийн 1 хувийн өөрчлөлт нь NPV-ийн 1 хувиас багагүй өөрчлөлтөд авчрах бол тухайн хувьсагчийг чухал хувьсагч гэж үзэх ерөнхий шалгуурыг баримтална. Мэдрэмжийн шинжилгээ нь дараахь үе шатуудаас бүрдэнэ. Үүнд: A. Хувьсагчуудыг тодорхойлох; B. Хамааралтай хувьсагчуудыг хасах; C. Уян байдлын шинжилгээ (elasticity analysis); D. Чухал хувьсагчуудын сонголт; A. Хүснэгт 2.13-д санхүү, эдийн засгийн шинжилгээнд хамаарах орц, гарцыг тооцоолоход ашиглагддаг хувьсагчуудыг тодорхойлох жишээнүүдийг харуулав. B. Хамааралтай хувьсагчууд нь тооцооллыг давхардуулах, үр дүнг гажуудуулахад хүргэдэг. Хамааралтай хувьсагчуудын хувьд (ажлын бүтээмж, нийт бүтээмж) хамгийн чухлыг сонгоно. Эсвэл дотоод хамаарлыг арилгах үүднээс загварыг өөрчилнө. Хувьсагчууд нь аль болох хараат бус хувьсагчууд байна. Түүнчлэн хувьсагчуудыг аль болох саланги хэлбэрээр судална. Жишээ нь орлого бол нийлмэл хувьсагч бөгөөд түүнийг тоо, үнийн дүнгээр нь тус тусад нь шинжилнэ. Уян хатан чанар багатай хувьсагчуудыг сонгох зорилгоор хувьсагчийн нөлөөллийн урьдчилсан чанарын шинжилгээг хийх нь зохимжтой байдаг (хүснэгт 2.14). Дараа дараагийн тоон шинжилгээг илүү чухал хувьсагчуудаар хязгаарлана. Чухал хувьсагчуудыг сонгосны дараа тэдгээрийн нөлөөллийн уян хатан байдлыг тооцоолно. Хувьсагч бүрт их ба бага дүнг ногдуулж, NPV-г дахин тооцоолно. Хувьсагчуудын нөлөөллийн уян хатан байдал нь шулуун шугамын фүнкц байх баталгаа байхгүйв Зөрүүг өөр дүнтэй тооцооллоор дахин шалгана (эрэлт ба бүтээмжийн хувьсагчийг зураг 2.3-аас харах). 35
  • 36.
    C. Сонголтын дараацөөн тооны чухал хувьсагчууд үлдэнэ. Зураг 2.5-д мэдрэмжийн шинжилгээний жишээг харуулав: Ерөнхий шалгуураар бол (хувьсагчийн 1 хувийн өөрчлөлт нь NPV-ийн доод тал нь 1 хувйин өөрчлөлттэй уялдана), эрэлт ба бүтээмж нь чухал хувьсагчууд байхад цахилгааны өртөг, орцын үнэ нь босго дүнгээс доогуур байна. 2.6.1.1 Сценарийн шинжилгээ Сценарийн шинжилгээ нь мэдрэмжийн шинжилгээний нэг хувилбар юм. Мэдрэмжийн шинжилгээгээр чухал хувьсагч бүрийн төслийн санхүү, эдийн засгийн гүйцэтгэлд үзүүлэх нөлөөллийг судалдаг бол сценарио шинжилгээгээр чухал хувьсагчуудаас бүрдэх багцын зорилтот үзүүлэлтэд үзүүлэх нөлөөллийг судалдаг. Ялангуяа хувьсагчуудын оптимист ба пессимист (optimistic or pessimistic) үзүүлэлттэй багцуудыг ашиглах нь өөр өөр бодитой сценарийг харуулах давуу талтай байдаг (зураг 2.15-г харах). Тархалтын магадлалаар тодорхойлогдсон туйлширсан дүнг чухал хувьсагчид ногдуулж оптимист ба пессимист сценариог тодорхойлдог. . Мэдрэмжийн ба сценарио шинжилгээ нь эрсдлийн шинжилгээг орлохгүй бөгөөд эдгээрийг зөвхөн завсрын үйл явц гэж үзнэ. 36
  • 37.
    2.6.2 Чухал хувьсагчуудынмагадлалын тархалт Янз бүрийн үйл явдал тохиох магадлалыг тооцоолдоггүй нь мэдрэмжийн болон сценарийн шинжилгээний сул талуудад хамаарна. Чухал хувьсагчийн дүнг санаандгүй сонгосон хувиар өөрчлөх практик нь эдгээр хувьсагчуудын хүлээгдээж буй өөрчлөлттэй шууд хамааралгүй байдаг. Иймд санхүү, эдийн засгийн хүлээгдэж буй гүйцэтгэлийн хэмжүүрүүдийг тодорхойлохын тулд хүлээгдэж буй голч дүнгээс тодорхой хувиар зөрөх дүнгээр тодорхойлогдсон магадлалын тархалтыг чухал хувьсагчуудад ногдуулах нь дараагийн алхам болно. Чухал хувьсагчид хамаарах магадлалын тархалтыг төрөл бүрийн мэдээллийн эх үүсвэр түүний дотор туршилтын тоо баримт, ижил төстэй тохиолдлын талаар өгүүлсэн нийтлэл дэх тархалт, мэргэжилтний зөвлөгөөний тусламжтайгаар тодорхойлж болно. Мэдээж тархалт нь бодитой биш бол эрсдлийн үнэлгээний дүн нь эргэлзээтэй болно. 2.6.3 Эрсдлийн шинжилгээ Чухал хувьсагчуудын магадлалын тархалтыг тодорхойлсноор төслийн санхүүгийн өгөөжийн хувь (FRR) ба өнөөгийн цэвэр үнэ цэнийн (NPV) магадлалын тархалтыг тооцоолох бололцоотой болно. Энэ зорилгоор харьцангуй хялбар програм дээр суурилсан Monte Carlo-ийн аргыг ашиглах нь зохимжтой байдаг (Хавсралт H). Тодорхой интервалаас авсан чухал хувьсагчуудын багцуудыг давтамжтайгаар түүвэрлэх ба эдгээр тохиолдлын түүвэр багцуудаар төслийн гүйцэтгэлийн хэмжүүрийг (FRR; NPV) тооцоолох үйл явцаас энэ арга бүрддэг. Түүвэрлэх энэ үйл явцыг хэдэн зуу дахин давтсаны дараа төслийн өгөөжийн тооцооллын урьдчилан тодорхойлсон хэлбэлзлийг тогтооно. Хувьсагчийн интервал бүрээр FRR ба NPV-ийн магадлалын тархалт буюу нэгтгэсэн тархалтын хэлбэрээр үр дүнг илэрхийлэх нь хамгийн зохимжтой арга зам байдаг. Зураг 2.6 ба 2.7-д график жишээг харуулав. Нэгдсэн магадлалын муруй нь төслийн эрсдлийг үнэлэх бололцоог олгоно. Жишээ нь Зураг 2.7-д харуулсан төслийн NPV сөрөг байх магадлал 30 хувьтай байна. 37
  • 38.
    2.6.4 Эрсдлийн хүлээнзөвшөөрөгдөх төвшинг үнэлэх Төслийн үнэлгээний тайланд дурдагдах NPV, IRR нь ихэвчлэн хамгийн их магадлалтай хүлээгдэж буй дүнг илэрхийлдэг. Иймд төслийг хүлээн зөвшөөрөх шалгуур нь магадлалын тархалт дээр суурилсан хэмжүүрүүдийн хүлээгдэж буй дүн байх ѐстой. Жишээ нь төслийн эдийн засгийн өгөөж (ERR) 10%, магадлалын эрсдлийн шинжилгээгээр ERR-ийн 4 ба 10-ын хооронд байх магадлал 70%, 10 ба 13-ын хооронд байх магадлал 30% тус тус бол төслийн ERR-ийн хүлээгдэж буй дүн нь 8,35 хувьтай [average(4,10)*0.7 + average(10,13)*0.3] тэнцэнэ. Нэгтгэж хэлбэл энэ үйл ажиллагаа нь төслийн сонголтыг хийхэд хүлээгдэж буй хамгийн сайн үр дүнгийн таамаглал бус эрсдэл буюу гүйцэтгэлийг эрсдлээр жигнэсэн хялбар аргыг хэрэглэх бололцоог олгоно. Иймд зарчмын хувьд, төслийн санхүүжилт авах тухай өргөдөлд төслийн өгөөжийн хүлээгдэж буй дундаж гүйцэтгэл бус эрсдлээр жигнэсэн хүлээгдэж буй гүйцэтгэлийг тайлагнана. Шийдвэр гаргахдаа нэг талаар өндөр эрсдэлтэй боловч өндөр нийгмийн үр ашигтай, нөгөө талаар бага эрсдэлтэй боловч бага нийгмийн үр ашигтай төслүүдийн хооронд нэгдсэн тохиролцоонд хүрэх нь чухал ач холбогдолтой. Төр нь олон тооны төслийн эрсдлийг нэгтгэх чадвартай учраас ерөнхийдөө эрсдэлд саармагаар хандах буюу төвийг сахих хандлагыг зөвлөдөг. Зарим тохиолдолд төслийн шинжээч нь төвийг сахих байр сууриас хазайж эрсдлийг давууд эсвэл дутууд үзэж болох бөгөөд энэ тохиолдолд байр сууриа хамгаалсан тодорхой үндэслэлтэй байна. (Жишээ нь харьцангуй бага эдийн засагтай оронд маш том төсөл хэрэгжүүлэх). Шигтгээ: Эрсдлээс зайлсхийх буюу болгоомжлох зарчим Жишээ нь уламжлалт төслүүдтэй харьцуулбал инновацийн төсөл нь харьцангуй өндөр эрсдэлтэй байдаг. Эдгээр төслийн зорилтот үр дүнд хүрэх магадлал нь 50% бол хүлээгдэж буй нийгмийн үр ашиг нь мөн 2 дахин багасна. Гэвч инновацийг нэмэлт шагналтайгаар үнэлж түүнд давуу эрх олгохын сацуу эрсдлийг орхигдуулж болохгүй. Гэвч байгаль орчин, хүний эрүүл мэндэд сөргөөр нөлөөлөх эрсдэлтэй шинэ технологийг нэвтрүүлэх төслүүдийн хувьд магадлал, цар хүрээ, учир шалтгааны талаархи шинжлэх ухааны судалгаа байхгүй ч гэсэн эрсдлээс аль болох зай барих зарчмыг баримталдаг (болгоомжлох зарчим). 2.6.5 Эрсдлээс сэргийлэх Төслийн дараахь чухал параметрүүдийн таамаглалын талаархи төслийн үнэлгээчдийн хэт их өөдрөг үзэл нь төслийн үнэлгээний таамаглалын алдааны түгээмэл шалтгаан болдог (хөрөнгө оруулалтын өртөг, төслийн үргэлжлэх хугацаа, үйл ажиллагааны орлого ба зардал. UK Treasury Green Book, 2003). 38
  • 39.
    Хэт өөдрөг үзэлдолон шалтгааныг хамруулж болох бөгөөд зураг 2.16-д замын төсөлд хамаарах зарим жишээг харуулав. Хэт өөдрөг үзлийг саармагжуулах үүднээс зардлыг өсгөх, орлогыг багасгах замаар тохируулга хийнэ. Мэргэжилтэнтэй зөвлөх, урьд өмнөх ижил төстэй төслүүдийн тоон мэдээллийг ашиглаж тохируулгыг хийнэ. (Хавсралт H-ийг харах) Гэвч эдгээр тохиргоо нь эрсдлийн үнэлгээг орлохгүй бөгөөд харин эрсдлийн шинжилгээний илүү нарийвчилсан суурь болдог. Эрсдлийн шинжилгээ нь эрсдлийг бууруулах стратегийг тодорхойлох эрсдлийн удирдлагын нөхцөл болно. 2.7 Төслийн үнэлгээний бусад аргачлалууд Зардал ба орлогын шинжилгээ нь (cost-benefit analysis (CBA)) төсвийн хөрөнгө оруулалтын төслүүдийн үнэлгээнд хэрэглэгддэг хамгийн өргөн тархсан арга бөгөөд бусад аргачлалууд болох зардал ба ашигт байдлын шинжилгээ (Cost-Effectiveness Analysis (CEA)), олон шалгуурт шинжилгээ (Multi-Criteria Analysis (MCA)) ба эдийн засгийн нөлөөллийн шинжилгээ (Economic Impact Analysis (EIA)) нь CBA-ийг орлох бус харин зардал ба орлогын шинжилгээнд дэмжлэг үзүүлэх түүнийг хэрэгжүүлэх бололцоогүй бол ойролцоо үзүүлэлтийг тооцоолох үүрэгтэй. 2.7.1 Зардал ба ашигт байдлын шинжилгээ (Cost-effectiveness analysis) CEA нь өгөгдсөн гарцын төвшинд орцын өнөөгийн цэвэр үнэ цэнэ нь хамгийн бага эсвэл өгөгдсөн орцын төвшинд гарцын өнөөгийн цэвэр үнэ цэнэ нь хамгийн өндөр төслийг олон хувилбаруудаас сонгон шалгаруулахад хэрэглэгддэг. Энэ шинжилгээ нь төслийн гарц (output) нь тодорхой бус ч орц (input буюу зардал) нь тодорхой төслүүдийн хувьд тохиромжтой байдаг. Энэ аргачлалыг эрүүл мэнд ба байгаль орчныг хамгаалах, боловсрол, судалгаа шинжилгээний төслүүдийн эдийн засгийн үнэлгээ хийхэд өргөн ашигладаг. Эдгээр төслүүдийн хувьд CEA-ийн хялбар харьцаанууд жишээ нь эмчлүүлэгч бүрт ногдох судалгааны өртөг, оюутан бүрт ногдох боловсролын зардал, хорт утааны бууралтын нэгж бүрт ногдох зардлыг хэрэглэдэг. Хэрэв төслийн үр ашгийг дүнгээр буюу тоогоор илэрхийлэх бололцоотой бол энэ аргачлалын ач холбогдол буурдаг. Ерөнхийдөө CEA нь дараахь 2 хэлбэрээр илэрхийлэгдсэн нөөцийн оновчтой хуваарилалттай холбоотой асуудлыг шийдвэрлэдэг. Үүнд: - Тодорхой төсөв, төслийн n хувилбарууд өгөгдсөн бол ашиг байдлаар (effectiveness (E)) хэмжигдэх төслийн үр дүнг дээд цэгт хүргэх. Зорилтот ашигт байдлын төвшин (effectiveness or E) өгөгдсөн бол төслийн зардлыг (C) доод цэгт хүргэх. Зардал үр дүнгийн хялбар харьцаануудаар (C/E) хувилбаруудыг харьцуулж болох боловч зөв харьцуулалт нь өсөж буй зардал ба өсөж буй орлогын харьцаан дээр суурилдаг. Хоорондоо 39
  • 40.
    өрсөлдөгч буюу нэгнэгнийгээ үгүйсгэх төслүүдийн хувьд хамгийн бага зардалтай буюу хамгийн өндөр үр дүнтэй төслийг сонгоход энэ өсөлтийн шинжилгээг хэрэглэдэг. R = (Ca – Cb) / (Ea – Eb) = ΔC / ΔE; R нь өсөн нэмэгдэх орлогын нэгж бүрт ногдож буй өсөн нэмэгдэх буй зардлыг тодорхойлно. Энэ тохиолдолд R нь хамгийн бага төслийн хувилбарыг сонгоно. Зардлын хэмжүүр нь санхүүгийн шинжилгээтэй ижил бол орлогын хэмжүүр нь сонгосон үр дүнгийн хэлбэрээс хамаарна. CEA аргачлалд хэрэглэгддэг ашигт байдлын хэмжүүрт жишээ нь наслалтад нэмэгдсэн жилийн тоо, хөдөлмөрийн чадвараа алдсан хугацааг бууруулсан өдрийн тоо (эрүүл мэндийг хамгаалах төслүүд), шалгалтын оноо (боловсролын төсөл) багтана. Практик дээр CEA нь техникийн хувьд үр ашиггүй төслүүдийг хасах бололцоог төслийн үнэлгээчдэд олгодог. Өөрөөр хэлбэл өсөж буй зардал-ашигт байдлын (ΔC / ΔE) хамгийн бага дүнтэй төслийг хамгийн түрүүнд хэрэгжүүлж бусад төслүүдийг төсвийн хязгаарт багтаан хэрэгжүүлэх үндсэн зарчмыг баримтална. Энэ аргачлалын хувьд олон жилийн хүлээгдэж буй үр дүнг нэгтгэхтэй холбоотой асуудал байдаг. Учир нь санхүүгийн болон нийгмийн хямдруулалтын хувийн (FDR, SDR) аль нь ч оюунтны тоо, жил, шалгалтын дүнг хямдруулахад үйлчлэхгүй. Зардал-ашигт байдлын шинжилгээний хэрэглээ нь хязгаарлагдмал бөгөөд үр дүн нь мөнгөн бус хэлбэрээр буюу нэг тэнхлэгээр илэрхийлэгдэх төслүүдэд илүү хамааралтай байдаг. Үнэн хэрэгтээ хэрэв төслийн үр дүнг (жишээ нь статистик наслалтын жилийг дэд бүтцийн болон зарим байгаль орчны төслийн нийгэмд хамаарах төслийн үр дүнгийн адил) мөнгөжүүлбэл зардал ба орлогын шинжилгээнд (CBA) эргэж ирнэ. 2.7.2 Олон шалгуурт шинжилгээ (Multi-criteria analysis, MCA) MCA нь төрөл бүрийн шалгуурууд болон тэдгээрт ногдох жингийн багцаар хувилбаруудыг сонгох алгоритм шинжилгээ. Зөвхөн нэг шалгууртай (нийгмийн үр ашгийг дээд цэгт хүргэх) зардал ба орлогын шинжилгээтэй (CBA) харьцуулахад олон шалгуурт шинжилгээ нь (MCA) олон зорилтуудад хүрэх хэрэгсэл бөгөөд эдгээр зорилтуудын үр дүнг стандард CBA-ийн адил сүүдрийн үнэ, нийгмийн үр дүнгийн жингээр нэгтгэдэггүй. MCA-г загварчлах аргуудаас: - Зорилтуудыг хэмжигдэх хувьсагчуудаар илэрхийлэх; Холбогдох ач холбогдлыг нь тусгасан жинг зорилтуудад оноох; 40
  • 41.
    - Оролцогч талуудын үнэлэмжийгтусгасан үнэлгээний шалгуурыг тодорхойлох; Шалгуур бүрээс үзүүлэх нөлөөллийг харуулсан нөлөөллийн шинжилгээг хийх. Үр дүн нь тоо эсвэл чанарын хэлбэртэй байж болно. Сонгосон шалгууруудын хувьд интервенцийн нөлөөллийг таамаглах. Үр дүнг харгалзан оноо буюу тоон дүнг шалгуур бүрт ногдуулна. Интервенцэд оролцсон субьектүүдийн нэр томьѐог ба шалгуур бүрт ногдуулсан жинг тодорхойлох; Шалгуур бүрийн оноог нэгтгэх (нийлбэр дүн эсвэл шулуун бус томьѐогоор). Үр дүнг бусад ижил төстэй интервенцийн үр дүнтэй харьцуулна. Дараа нь төслийн шинжээч дараахь асуултуудыг баталгаажуулна. Үүнд: - Мөнгөн бус нөлөөллийн таамаглалыг тоон хэлбэрт бодитоор шилжүүлсэн эсэх. - Стандард зорилтуудын хувьд зардал ба орлогын шинжилгээ хийгдсэн (санхүүгийн ба эдийн засгийн шинжилгээ). - Олон шалгуурт шинжилгээний нэмэлт шалгуур үзүүлэлтүүд нь санхүү, эдийн засгийн үнэлгээнд ихээхэн нөлөөтэй улс төрийн жинтэй бол үр дүнд гарах өөрчлөлтийг тодорхойлох. Жишээ: Олон шалгуурт шинжилгээ нь (MCA) байгаль орчны төслийн үнэлгээнд дэмжлэг үзүүлэх хэрэгсэл болох нь Хэрэв төслийн зардал, үр ашгийг мөнгөжүүлэх бололцоогүй эсвэл бэрхшээлтэй бол MCA-г хэрэглэдэг. 5 хувийн хямдруулалттай (discount rate) төслийн эдийн засгийн өнөөгийг цэвэр үнэ цэнэ нь хасах нэг сая евро гэж төсөөлье. Гэвч төсөл нь мөнгөөр илэрхийлэх бололцоогүй байгаль орчинд үзүүлэх маш эерэг нөлөөлөлтэй гэж төслийн шинжээч үнэлж болно. Жишээ нь төслийн үр дүнд агаарыг бохирдуулагч Z-ийн гаралт жил бүр 10%-иар буурахаар тооцоологджээ. Тэгвэл дараахь асуултуудад хариулна. Үүнд: a) Хорт утааны бууралтын физик хэмжүүр нь бодитой эсэх. b) Нэг сая евро нь хорт утааны 10%-ийн бууралтын хүлээн зөвшөөрч болох үнэ эсэх. c) Олон улсад хэрэгжсэн ижил төстэй төслүүдэд ногдох жинтэй ийм үнэ дүйцэх эсэх. Энэ төрлийн ижил төстэй төслүүд олон улсад хэрэгжсэн эсхийг тодруулах шаардлагатай бөгөөд хэрэв нийцэх жишээний баталгаа байхгүй бол яагаад энэ төслийг санал болгосон тухай тодорхой тайлбарлана. Хэрэв төслийн үр ашгийг мөнгөн дүнгээр эсвэл физик хэмжүүрээр илэрхийлэх бололцоогүй бол чанарын шинжилгээг хийнэ. Чанарын шинжилгээ буюу олон хэмжүүрт шинжилгээний хялбар хувилбарыг зураг 2.17-д харуулав. 2.7.3 Эдийн засгийн нөлөөллийн шинжилгээ (Economic impact analysis) Улс, бүс нутгийн нийгэм эдийн засгийн хөгжилд нөлөөлөхүйц маш том төслүүдийн хувьд зардал ба орлогын шинжилгээнээс гадна макро-эдийн засагт буюу нийгэм эдийн засагт үзүүлэх нөлөөллийг харуулах эдийн засгийн нөлөөллийн шинжилгээг хийнэ. CBA нь микро эдийн засгийн шинжтэй бөгөөд нийгэмд үзүүлэх нөлөөллийг эдийн засгийн өнөөгийн цэвэр үнэ цэнэ (ENPV)-ээр илэрхийлдэг. 41
  • 42.
    Энэ төрлийн шинжилгээнь макро эдийн засгийн үзүүлэлтүүд дээр төвлөрдөг бөгөөд төслөөс эдгээр үзүүлэлтэд үзүүлэх нөлөөллийг таамагладаг. Бүс нутгийн эдийн засгийн хөгжилд үзүүлэх үр ашиг дээр үндэслэн төрийн дэмжлэг үзүүлэх эсэх тухай шийдвэрийг эдийн засгийн нөлөөллийн шинжилгээний үр дүн тодорхойлдог. Үр дүн нь дараахь ач холбогдолтой. Үүнд: - Салбарын төвшинд: бодлого тодорхойлох, чухал асуудлуудыг илрүүлэх; - Макро-эдийн засгийн төвшинд: холбогдох хувь нэмрийг тодорхойлох; Жишээ нь зорилтот орон нутагт төслөөс үзүүлэх эдийн засгийн нөлөөллийг үнэлэхэд энэ аргыг хэрэглэдэг. Томоохон төслийн хувьд нийгэм, эдийн засаг, байгаль орчны нөлөөлөл нь харилцан уялдсан байдаг бөгөөд эдгээр олон төрлийн нөлөөллийг нэгтгэх шаардлагатай. CBA-д дэмжлэг үзүүлэх зорилгоор EIA нь төслийн хэрэгжилтээс үүдэх макро эдийн засгийн нөлөөллийн талаархи нэмэлт мэдээллийг (жишээ нь бүс нутгийн худалдааны эргэлтэд үзүүлэх нөлөө, ДНБ-ий өсөлтөд үзүүлэх нөлөө гэх мэт) нийлүүлнэ. Жишээ: Эдийн засгийн нөлөөллийн шинжилгээний жишээ Швед ба Данийг холбосон хоѐр улсын эдийн засаг, соѐлын харилцааг бэхжүүлэх Оерсандын гүүрийн хувьд зардал-үр ашгийн шинжилгээнээс гадна эдийн засгийн нөлөөллийн шинжилгээ хийгдсэн байдаг. Ялангуяа төслийг хэрэгжүүлэхээс өмнө бүс нутгийн төвшинд төслөөс үзүүлэх нөлөөллийг үнэлж, тодорхойлсон. Үүнд: - Шведийн Сканийн өндөр ажилгүйдлийн төвшин ба Данийн хөдөлмөрийн зах зээл дэх ажиллах хүчний дутагдлыг харилцан балансжуулах. Данийн орон сууцны зах зээлийн хомсдлыг Шведийн орон сууцны зах зээлийн харьцангуй хямд үнэ, илүүдэл нийлүүлэлттэй харилцан балансжуулах. Хоѐр улсын 3,6 сая хэрэглэгчтэй, 220.000 ААН-ээс бүрдэх дотоодын зах зээлийг хөгжүүлэх. Төслийн үнэлгээний хяналтын хуудас АГУУЛГА БА ТӨСЛИЙН ЗОРИЛТУУД     Нийгэм, байгууллага, эдийн засгийн агуулгыг тодорхой тайлбарласан уу? Төсөл нь нийгэм-эдийн засгийн үзүүлэлтүүдээр илэрхийлсэн тодорхой зорилтуудтай юу? Төслийг хэрэгжүүлснээр нийгэм эдийн засгийн зорилтуудад хүрэх үү? Төслөөс үзүүлэх хамгийн чухал нийгэм-эдийн засгийн нөлөөллийг улс, салбар, бүс нутгийн төвшинд харгалзан үзсэн үү? Төслийн зорилтууд нь Монгол Улсын Үндэсний Хөгжлийн Цогц Бодлого, МХЗ-ууд болон ЗГ-ын нийгэм эдийн засгийг хөгжүүлэх хөтөлбөр, бүс нутаг ба салбарын хөгжлийн бодлоготой нийцэж байна уу? ТӨСЛИЙГ ТОДОРХОЙЛОХ      Төслийн үнэлгээ хийсэн шинжилгээний аргыг сонгосон үндэслэл нь юу вэ? Шууд бус нөлөөллийг харгалзан үзсэн үү? (зохих сүүдрийн үнээр тэдгээрийн нөлөөллийг оруулаагүй эсэх) Сүлжээний нөлөөллийг харгалзан үзсэн үү? Санхүү, эдийн засгийн тооцоололд хэний зардал, үр ашгийг тооцоолсон бэ? Төсөлд бүх оролцогч талын сонирхлыг харгалзсан уу? БОЛОЛЦОО БА СОНГОЛТЫН ШИНЖИЛГЭЭ    Төслийг хэрэгжүүлэх бололцоотой тухай баримт, үндэслэлийг төслийн баримт бичигт хангалттай тусгасан уу? (техник, технолог, байгууллага, удирдлага, хэрэгжилт, байгалт орчны өнцгөөс гэх мэт) Төсөлтэй, төсөлгүй гэсэн 2 нөхцөл байдлыг харьцуулах үүднээс “юу ч хийхгүй байх” сценариог (donothing scenario („business as usual‟)) тодорхойлсон уу? Өргөдөл гаргагч нь төслийн бусад бололцоотой хувилбаруудыг хүрэлцэхүйц төвшинд судалсан уу? (хамгийн багыг хийх (do-minimum) эсвэл хамгийн багыг хийх хувилбаруудын цөөн тооны сонголтууд (small number of do-something options))? 42
  • 43.
    САНХҮҮГИЙН ШИНЖИЛГЭЭ         Бодит мөнгөнурсгалд хамаарахгүй элэгдэл, нөөц/эрсдлийн сан зэрэг бүртгэлийн үзүүлэлтүүдийг шинжилгээнээс хассан уу? Мөнгөн урсгалыг өсөх аргачалын дагуу тодорхйолсон уу? Суурь хүүг яаж тодорхойлсон бэ? Түүний үндэслэл? Төслийн үнэлгээнийн жилээр илэрхийлсэн цаг хугацаа нв зөвлөсөн жилээс зөрж байна уу? Тийм бол үндэслэл нь юу вэ? Хөрөнгө оруулалтын үлдэгдэл үнийг (residual value) тооцоолсон уу? Одоогийн үнийг ашигласан бол санхүүгийн суурь хүүг тодорхойлсон уу? Гол санхүүгийн гүйцэтгэлийн үзүүлэлтүүдийг тооцоолсон уу? (FNPV(C), FRR(C), FNPV(K), FRR(K)) Хэрэв хувийн түншүүд оролцох бол тэдний бизнесийн ашиг хэвийн төвшинд байна уу? ЭДИЙН ЗАСГИЙН ШИНЖИЛГЭЭ           Орц, гарцын үнээс НӨАТ ба бусад шууд бус татварыг хассан уу? Орцын үнээс (хөдөлмөрийн хөлс) шууд татварыг хассан уу? Татаас болон цэвэр шилжүүлгийг орлогоос хассан уу? Гадаад нөлөөллийг шинжилгээнд хамруулсан уу? Хэрэглэж буй нөөцийн нийгмийн бололцооны үнийг илүү тусгах сүүдрийн үнийг хэрэглэсэн үү? Томоохон арилждаггүй бараа/үйлчилгээний хувьд салбарын шилжүүлгийн факторыг ашигласан уу? Тухайн орон нутгийн хөдөлмөрийн зах зээлийн онцлогыг харуулсан сүүдрийн цалин/хөлсийг сонгосон уу? Нийгмийн суурь хүүг сонгосон үндэслэл нь юу вэ? Эдийн засгийн гүйцэтгэлийн хэмжүүрүүдийг тодорхойлсон уу? (ENPV, ERR and B/C ratio) Эдийн засгийн өнөөгийн цэвэр үнэ нь эерэг үү? ЭРСДЛИЙН ҮНЭЛГЭЭ      Чухал хувьсагчуудын сонголт нь санал болгосон уян байдлын босго дүнтэй нийцэж байна уу? Мэдрэмжийн шинжилгээг хувьсагч бүрээр өөр өөр дүнтэйгээр гүйцэтгэсэн үү? Төслийн гүйцэтгэлийг үнэлэхдээ хүлээгдэж буй үнийн шалгуурыг хэрэглэсэн үү? Хэт өөдрөг үзлийн төвшинг доод цэг хүргэх арга замуудыг хэрэглэсэн үү? Эрсдлийг бууруулах арга хэмжээг тодорхойлсон уу? ҮНЭЛГЭЭНИЙ БУСАД АРГАЧЛАЛУУД      Хэрэв төслийн томоохон нөлөөллийг мөнгөжүүлхэд бэрхшээлтэй байсан бол нэмэлт шинжилгээ хийх бусад аргачлалуудыг (CEA, MCA) харгалзсан уу? Нэмэлт аргачлалыг сонгосон бол тэдгээр нь CEA ба MCA-г хэрэглэх тохиромжтой салбаруудтай нийцэж байна уу? CEA буюу зардал-үр бүтээмжийн шинжилгээг хийхдээ өсөлттэй зардал-үр бүтээмжийн харьцааг ашигласан уу? Олон шалгуурт шинжилгээг хэрэглэсэн бол сонгосон жин нь нийгэмд үзүүлэх нөлөөллийн ач холдогдолтой нийцэж байна уу? Хэрэв төсөл нь макро-эдийн засагт ихээхэн хэмжээгээр нөлөөлөхөөр бол эдийн засгийн нөлөөллийн шинжилгээ хийх талаар бодсон уу? 43
  • 44.
    2.8 ТЕХНИК ЭДИЙНЗАСГИЙН ҮНДЭСЛЭЛИЙН (ТЭЗҮ) СУДАЛГААНЫ АГУУЛГА A.1. Удиртгал 1.1. Төслийг дэмжигч/ивээн тэтгэгч болон бусад байгууллагууд 1.2. Үнэлгээний зорилго 1.2.1. Төслийн нэр 1.2.2. Төслийн тухай товч танилцуулга 1.2.2.1. Салбар 1.2.2.2. Байршил 1.2.2.3. Төслийн нөлөөний цар хүрээ (бүс нутаг, үндэсний, олон улсын гэх мэт) 1.3. Ивээн тэтгэгчийн зорилгууд 1.4. Ижил төстэй төслүүдийн өмнөх туршлага 1.5. Үнэлгээний тайлангийн товч танилцуулга 1.5.1. Тайланг бичсэн зохиогчид 1.5.2. Тайлангийн цар хүрээ. Бусад төслүүдтэй холбогдох нь 1.5.3. Төслийн шинжилгээний аргачлал 1.6. Шинжилгээний гол үр дүнгүүд 1.6.1. Санхүүгийн өгөөж 1.6.2. Эдийн засгийн өгөөж 1.6.3. Ажил эрхлэлтэд үзүүлэх нөлөөлөл 1.6.4. Байгаль орчинд үзүүлэх нөлөөлөл 1.6.5. Бусад үр дүн A.2. Нийгэм-эдийн засгийн агуулга 2.1. Нийгэм-эдийн засгийн гол элементүүд 2.1.1. Газар нутаг, байгаль орчин 2.1.2. Хүн ам 2.1.3. Нийгэм-соѐл, урлаг 2.1.4. Эдийн засаг 2.2. Байгууллага ба Улс төр 2.2.1. Улс төрийн ерөнхий чиг хадлага 2.2.2. Санхүүжилтийн эх үүсвэр (төсөв, орон нутаг, зээл, тусламж, хувийн ...) 2.2.3. Санхүүжилтийн дүн эх үүсвэрээр 2.2.4. Зохицуулалтын хүрээнд хүлээх үүрэг хариуцлага; Төсөлтэй холбоотой шийдвэр гаргах байгууллагууд; тусгай зөвшөөрөл/лицензүүд ба тэдгээрийн нөхцөл шаардлагууд; 2.2.5. Тусгай зөвшөөрөл/лицензийн хугацаа A.3. Төслөөс нийлүүлэх бүтээгдэхүүн/үйлчилгээний эрэлт нийлүүлэлт 3.1. Ирээдүйн эрэлтийн гол хүчин зүйлс 3.1.1. Тодорхой цаг хугацааны үед хамаарах төслийн эрэлт хэрэгцээ 3.1.2. Эрэлтийн одоогийн ба ирээдүйн чиг хандлага 3.1.3. Харилцагчийн төрлөөр эрэлтийг ангилах 3.1.4. Худалдан авалтын хэрэгсэл (Means of Purchase or Distribution) 3.1.5. Зах зээлийн судалгаа: Үр дүн 3.2. Өрсөлдөөн 3.2.1. Төстэй бүтээгдэхүүн/үйлчилгээний онцлог шинж тэмдгүүд 3.2.2. Одоо ба ирээдүйн өрсөлдөөний бүтэц 3.2.3. Амжилтын хүчин зүйлс 3.3. Санал болгож буй стратеги 3.3.1. Гарц (Output) буюу бүтээгдэхүүн/үйлчилгээ 44
  • 45.
    3.3.2. Үнэ 3.3.3. Идэвхижүүлэлт(Promotion) 3.3.4. Хүргэлт (Distribution) 3.3.5. Маркетинг 3.4. Бололцоотой хэрэглээний хувийн таамаглал (Estimate on the Percentage of Potential Use) 3.4.1. Төслийн борлуулалтын таамаглал 3.4.2. Зах зээлд эзлэх хувь (төрөл бүрийн хэрэгцээг хангах зах зээлийн хувиар) 3.4.3. Таамаглалын гипотез ба хэрэгслүүд A.4. Технологийн сонголтууд ба үйлдвэрлэлийн төлөвлөгөө 4.1. Ач холбогдол бүхий технологийн хувилбаруудын тухай 4.2. Зохимжтой технологийн сонголт 4.3. Барилга, байгууламжууд 4.4. Үйлдвэрлэлийн физик орц 4.5. Хүний нөөцөд тавигдах шаардлагууд 4.6. Эрчим хүчний шаардлагууд 4.7. Технологийг нийлүүлэгч 4.8. Хөрөнгө оруулалтын өртөг 4.8.1. Төлөвлөлт ба ноу-хау (Know-how) 4.8.2. Барилга 4.8.3. Тоног төхөөрөмж 4.9. Төсөл хэрэгжүүлэх хугацааны үйлдвэрлэлийн төлөвлөгөө 4.10. Гарцын нийлүүлэлт (Combined Output Supply) 4.11. Үйлдвэрлэлийн зохион байгуулалт A.5. Хүний нөөц 5.1. Зохион байгуулалтын бүтэц 5.2. Ажиллах хүчний жагсаалт, цалин, хөлсний параметрүүд 5.2.1. Удирдах ажилтнууд 5.2.2. Захиргааны ажилтнууд 5.2.3. Техникийн ажилтнууд 5.2.4. Туслах ажилтнууд 5.3. Гадны үйлчилгээ 5.3.1. Захиргааны ажилтнууд 5.3.2. Техникийн ажилтнууд 5.3.3. Бусад 5.4. Сонгон шалгаруулах үйл явц 5.5. Сургалтын үйл явц 5.6. Жилийн зардал (төсөл эхлэхээс өмнө ба дараа) A.6. Байршил 6.1. Байршилд тавигдах шаардлагууд 6.2. Бусад сонголтууд 6.3. Байршлын сонголт ба түүний онцлог шинж чанарууд 6.3.1. Уур амьсгал, байгаль орчны хүчин зүйлс 6.3.2. Байршил ба газар зүй 6.3.3. Тээвэрлэлт ба харилцаа холбоо 6.3.4. Ус ба цахилгаан эрчим хүчний хангамж 6.3.5. Хаягдал 6.3.6. Засгийн газрын зохицуулалт 6.3.7. Орон нутгийн захиргааны бодлого 6.3.8. Байршлын тухай (Хавсралт) 6.4. Газрын үнэ ба газрыг бэлтгэх өртөг 6.5. Газрын хүрэлцээ 6.6. Дэд бүтцэд тавигдах шаардлагууд A.7. Хэрэгжилт 7.1. Төслийн мөчлөгүүд, үе шатууд 7.1.1. Төслийн удирдлагыг сонгох 45
  • 46.
    7.1.2. Мэдээллийн системийнтодорхойлолт 7.1.3. Ноу-хау ба тоног төрөөрөмж худалдан авах хэлэлцээрүүд 7.1.4. Барилгын төлөвлөлт ба гэрээний хуваарь 7.1.5. Санхүүгийн хэлэлцээрүүд 7.1.6. Газар эзэмших /ашиглах/ эрх ба бусад тусгай зөвшөөрлүүд 7.1.7. Зохион байгуулалтын бүтэц 7.1.8. Ажилтнуудыг сонгон шалгаруулах 7.1.9. Сургалт 7.1.10. Бүтээгдэхүүн/үйлчилгээ нийлүүлэх гэрээнүүд 7.1.11. Бусад гэрээ, хэлэлцээрүүд 7.2. Гол гол мөчлөгүүдийн зураг эсвэл PERT зураг (Bar Graph or PERT chart) A.8. Санхүүгийн шинжилгээ 8.1. Санхүүгийн шинжилгээний үндсэн таамаглалууд 8.1.1. Цаг хугацааны үе 8.1.2. Төслийн гарц ба орцын үнэ 8.1.3. Бодит санхүүгийн хямдруулалтын хувь (Real Financial Discount Rate) 8.2. Үндсэн хөрөнгийн хөрөнгө оруулалт 8.3. Үйлдвэрлэлийн өмнөх зардал (Expenses before Production) 8.4. Урсгал хөрөнгийн хөрөнгө оруулалт 8.5. Нийт хөрөнгө оруулалт 8.6. Үйл ажиллагааны орлого ба зардал 8.7. Санхүүжилтийн эх үүсвэрүүд 8.8. Санхүүжилтийн төлөвлөгөө (мөнгөн урсгалыг жил бүрээр харуулсан хүснэгт) 8.9. Баланс (хөрөнгө ба өр төлбөр) 8.10. Орлого ба зарлагын тайлан 8.11. Цэвэр мөнгөн урсгалыг тодорхойлох нь 8.11.1. Төслийн хөрөнгө оруулалтын нийт өгөөжийг тооцоолох цэвэр мөнгөн урсгал 8.11.2. Хувь нийлүүлэгчдийн өөрийн хөрөнгийн өгөөжийг тооцоолох цэвэр мөнгөн урсгал (төрийн ба хувийн өмч) 8.12. Өнөөгийн цэвэр үнэ цэнэ/Дотоод өгөөжийн хувь (Net Present Value/Internal Rate of Return) A.9. Нийгэм-эдийн засгийн зардал ба үр ашгийн шинжилгээ 9.1. Зардал ба үр ашгийн шинжилгээний бүртгэлийн хямдруулалтын хувь 9.2. Нийгмийн зардлын шинжилгээ 9.2.1. Бүтээгдэхүүн ба үйлчилгээний үнийн хэлбэлзэл 9.2.2. Цалин, хөлсний хэлбэлзэл 9.2.3. Төсвийн аспектүүд 9.2.4. Бусад гадаад орчны зардлууд 9.2.5. Байгаль орчны нөлөөлөл зэрэг мөнгөжүүлээгүй зардлууд 9.3. Нийгмийн үр ашгийн шинжилгээ 9.3.1. Бүтээгдэхүүн/үйлчилгээний үнийн хэлбэлзэл 9.3.2. Нэмэгдэх ажил эрхлэлтийн нийгмийн үр ашиг 9.3.3. Төсвийн аспектүүд 9.3.4. Гадаад үр ашиг 9.3.5. Байгаль орчинд үзүүлэх нөлөө зэрэг мөнгөжүүлээгүй үр ашиг 9.4. Эдийн засгийн өгөөжийн хувь буюу Төслийн өнөөгийн цэвэр үнэ цэнэ (Economic Rate of Return or Net Present Value of the Project) 9.5. Үнэлгээний бусад шалгуурууд 9.5.1. Улс, бүс нутаг, салбарын хөгжлийн бодлого ба төслийн үр дүнгийн хоорондын уялдаа 9.5.2. Нийгмийн орлогын өсөлт 9.5.3. Бүс нутгуудын эдийн засгийн хөгжлийн ялгааг багасгах нь 9.5.4. Ажил эрхлэлтийн нэмэгдэлт 9.5.5. Байгаль орчинд үзүүлэх эерэг нөлөөлөл 9.5.6. Хөжлийн бодлогын бусад зорилтууд 46
  • 47.
    A.10. Эрсдлийн шинжилгээ 10.1.Мэдрэмжийн шинжилгээний тусламжтайгаар чухал хувьсагчуудыг тодорхойлох 10.1.1. Эрэлт ба нийлүүлэлтийн хувьсагчууд 10.1.2. Гарцын хувьсагчууд 10.1.3. Хүний нөөц 10.1.4. Цаг хугацаа ба хэрэгжилтийн хувьсагчууд 10.1.5. Санхүүгийн хувьсагчууд 10.1.6. Эдийн засгийн хувьсагчууд 10.2. Хамгийн сайн ба хамгийн муу сценарийн мэдрэмж Гуравдугаар Бүлэг САЛБАРУУДЫН ТӨСЛИЙН ШИНЖИЛГЭЭ 3.1 Зам тээвэр Энэ бүлэгт зам тээврийн дэд бүтцийг шинээр байгуулах болон засаж сайжруулахтай холбоотой хөгжлийн хөрөнгө оруулалтыг тухай өгүүлнэ. Санал болгож буй аргачлал нь авто ба төмөр замын төсөлд илүү төвлөрөх боловч ерөнхий зарчмууд нь тээврийн бусад төрлүүд болох агаарын ба усан тээвэрт мөн хамаарна. 3.1.1 Тээврийн сүлжээ 3.1.1.1 Төслийн зорилтууд Зам тээврийн төсөл нь нийгэм-эдийн засгийн дараахь үндсэн зорилтуудтай байдаг. Үүнд:   Судалгааны бүс нутгийн доторхи болон түүний гарах ба орох бараа ба зорчигч тээврийн нөхцлийг сайжруулах; Байгаль орчныг хамгаалах, хүн амын амьжиргааны төвшинг дээшлүүлэх; Илүү нарийвчилбал, тээврийн төслүүд нь дараахь төрлийн тээврийн асуудлуудтай тулгардаг. Үүнд:      Шинээр боломжит холболт буюу зам байгуулснаар замын ачааллыг багасгаж түгжрэлийг бууруулах; Тээврийн хурдыг нэмэгдүүлснээр зам тээврийн урсгалын гүйцэтгэлийг сайжруулах; Аюулгүй байдлын нэмэлт арга хэмжээг хэрэгжүүлснээр зам тээврийн ослын тоог ба үйл ажиллагааны зардлыг бууруулах; Зам тээврийн хэрэгцээг өөр төрлийн тээврээр хангах; Алслагдсан бүс нутгийн иргэдийг зам тээврийн сүлжээнд холбох; Эхний алхам бол зам тээврийн төслийн үндсэн (ачааллыг бууруулах, өөр хэлбэрт шилжүүлэх) болон байгаль орчинд хамаарах зорилтуудыг (түлш эрчим хүч хэмнэх, хорт утааг багасгах) бусад бусад шууд бус зорилтуудаас (бүс нутгийн хөгжил, ажил эрхлэлт гэх мэт) тусад нь тодорхойлно. Зорилтуудыг тодорхойлсны дараа төслийн тодорхойлолт нь төслийн зорилтуудтай нийцэж буй эсхийг хянана. 3.1.1.2 Төслийг илрүүлэх буюу тодорхойлох Хөрөнгө оруулалтын төрлүүд Хөрөнгө оруулалтын зорилтуудтай нийцсэн фүнкцүүдийн тодорхойлолт нь дэд бүтцийн төслийг тодорхойлох хамгийн эхний, хялбар бөгөөд энгийн арга хэрэгсэл болдог. Үүний дараа хөрөнгө оруулалтын хэлбэр буюу төслийн үйл ажиллагааг (шинээр зам барих, томоохон дэд бүтэцтэй холбох, одоогийн дэд бүтцийг өргөтгөх, сайжруулах гэх мэт) тайлбарлана. 47
  • 48.
    Хөрөнгө оруулалтын төрлүүд - Өсөннэмэгдэж буй тээврийн хэрэгцээг хангах шинэ дэд бүтэц (авто зам, төмөр зам, боомт, нисэх буудал); Одоогийн дэд бүтцийг бүрэн гүйцэд байгуулах (дутуу холболтыг нөхөн гүйцээх); Одоогийн дэд бүтцийг өргөтгөх; Одоогийн дэд бүтцийг шинэчлэх; Одоогийн сүлжээний аюулгүй байдлын арга хэмжээ авах; Одоогийн сүлжээний ашиглалтыг сайжруулах; Хөрвөх чадварыг сайжруулах (нисэх буудал ба боомтод нэвтрэх чадвар, шинэ уулзвар); Дэд бүтцийн удирдлагыг сайжруулах; Хөрөнгө оруулалтын фүнкцийн онцлог - Одоогийн сүлжээний багтаамжийг нэмэгдүүлэх; Зам тээврийн ачааллыг багасгах; Гадаад орчны сөрөг нөлөөллийг багасгах; Алслагдсан бүс нутагт нэвтрэх чадварыг сайжруулах; Замын дэд бүтцийн үйл ажиллагаа буюу засвар үйлчилгээний зардлыг бууруулах; Үйлчилгээний төрлүүд - Хүн амын нягтрал ихтэй бүс нутгийн дэд бүтэц; Бараа тээврийн дэд бүтэц; Зорчигч тээврийн дэд бүтэц; Алсын замын аялалын хэрэгцээний дэд бүтэц; Газар зүйн хүрээ Харгалзан үзэх хүчин зүйлүүд:    Сүлжээний нөлөөллийг харгалзахын тулд дэд бүтцийн загварыг одоо байгаа ба төлөвлөж буй дэд бүтэцтэй фүнкцийн хувьд нэгтгэх; Төсөл ба зам тээврийн салбарын хөгжлийн бодлогын харилцан уялдаа: төсвийн бодлого (түлш шатахууны татвар), технологийн стандард, санал болгож буй үнэ/хураамжийн загварчлал, салбарт орж ирэх урамшуулал/татаас, байгаль орчны асуудлууд; Зам тээврийн эрэлтэд нөлөөлөх бусад салбарт хамаарах төсөл, хөтөлбөрийг харгалзах; хөрөнгө оруулалтын бүсэд төлөвлөгдөж буй бусад хөгжлийн төсөл, хөтөлбөрийн хоорондын харилцан уялдаа; 3.1.1.3 Бололцооны ба хувилбарын судалгаа Эрэлтийн шинжилгээ Одоогийн ба ирээдүйн эрэлтийн төлвийг таамаглах нь цогц, чухал ажил бөгөөд энэ ажилд ТЭЗҮийн судалгааны зардлын нэлээд хэсэг зарцуулагддаг. Иймд хамгийн багыг хийх (do-minimum scenario) сценарийн хувьд дараахь асуудлуудыг тодруулна. Үүнд: - - Төслийн нөлөөллийн бүс нутаг: Бусад өрсөлдөх тээврийн хэлбэр, төсөл хэрэгжээгүй үеийн эрэлт, шинэ дэд бүтцийн нөлөөллийг тодорхойлох нь чухал ач холбогдолтой байдаг. Одоогийн ба ирээдүйн хэрэглээг таамаглахад хэрэглэгдэж буй аргачлалууд: нэг эсвэл олон хэлбэртэй загварууд, өмнөх чиг хандлагын шулуун/динамик экстраполяц, хэрэглэгчийн зардал/хураамж, үнэ ба зохицуулалтын бодлого, түгжрэл ба сүлжээ ханах төвшин, хүлээгдэж буй шинэ хөрөнгө оруулалт. Бусад өрсөлдөгч тээврийн хэлбэрүүд: хэрэглэгчийн зардал/хураамж, үнэ ба зохицуулалтын бодлого, ачаалал буюу сүлжээний ханах төвшин, өрсөлдөгч тээврийн хэлбэрт орж ирэх шинэ хөрөнгө оруулалт. 48
  • 49.
    Ирээдүйн эрэлтийн чигхандлага тодорхой бус байвал ДНБ-ий төлөв эсвэл макро-эдийн засгийн хувьсагчуудад хамааруулсан өөдрөг ба өөдрөг бус гэсэн 2 сценарийг зохиох нь зохимжтой байдаг. Тээврийн систем нь олон хэлбэртэй бөгөөд эдгээр нь эрэлтийн төлөө хоорондоо өрсөлддөг төдийгүй нэг хэлбэр ч (2 авто зам) хоорондоо өрсөлддөг. Ирээдүйн эрэлтийн таамаглал нь төслийн хүрээнд бий болох зам тээврийн хөдөлгөөний бүтцийг тодорхойлно. Үүнд: - Одоогийн зам тээврийн хөдөлгөөн; - Бусад тээврийн хэлбэрээс урвуулсан зам тээврийн хөдөлгөөн; - Шинээр бий болох зам тээврийн хөдөлгөөн; ТЭЭВРИЙН ЭРЭЛТИЙН ШИНЖИЛГЭЭНИЙ ХЯНАЛТЫН ХУУДАС Шинэ дэд бүтцийн эрэлт/багтаамжийн харьцааны шинжилгээ нь дараахь зүйлүүд дээр тулгуурлана. Үүнд: - - Хөдөлгөөн-багтаамжийн харьцаагаар илэрхийлэгдсэн дэд бүтцийн үйлчилгээний төвшин (замын хөдөлгөөний урсгал, зорчигчийн тоо). Тээврийн хөдөлгөөний урсгалын төрөл (дотоод, дамжин өнгөрөх) ба эх үүсвэрээр нь (тээврийн өөр хэлбэрээс шилжиж ирсэн, шинээр бий болсон) зам тээврийн хөдөлгөөний харилцан адилгүй бүрэлдэхүүн хэсгүүдийг тус тусад нь судлах нь ашигтай байдаг. Хэрэглэгчийн аялалын хугацаа ба өртөг; Тээврийн гүйцэтгэлийн хэмжүүрүүд: зорчигчийн хувьд зорчигч*km ба тээврийн хэрэгсэл*km, барааны хувьд тонн*km ба тээврийн хэрэгсэл*km; Тээврийн аюулгүй байдлын төвшин; Одоогийн зам тээврийн бүтцээр хангагдаагүй эрэлтийн тоо хэмжээ. Хэрэглээгүй орхих замын хөдөлгөөнийг олох нь төслийн хувилбаруудыг үнэлэх нэг чухал бүрэлдэхүүн хэсэг болно. Байгаль орчин, санхүү, эдийн засгийн өнцгөөс үнэлэгдсэн, ач холбогдол бүхий бусад хувилбаруудын тодорхойлолт; Хувилбаруудын шинжилгээ Харьцуулах шийдэл ба бололцоотой хувилбаруудыг сонгох гэсэн хоѐр асуудал нь төслийг үнэлэх үндсэн алхам болно. Харьцуулах шийдэл нь “байдаг л зүйл” (business as usual буюу BAU) буюу өнөөгийн нөхцөл байдлыг хэвээр халгалах гэсэн шийдэлтэй төстэй боловч энэ нь тээврийн хөдөлгөөнийг маш хүнд нөхцөлд (нийгмийн өндөр өртөг, замын ачаалал) хүргэж болохгүй. Ихээхэн ачаалал үүссэн тохиолдолд харьцуулах шийдэлд (хөрөнгө оруулалт хийхгүй байх) засвар үйлчилгээг сайжруулах, менежментийг бэхжүүлэх үйл ажиллагаа багтана. Харьцуулах шийдэл буюу өнөөгийн нөхцөл байдлыг хэвээр халгалах гэсэн хувилбарыг тодорхойлсны дараа байгаа технолог ба нөхцөл байдалд суурилсан техникийн буюу төслийн бусад бүх хувилбаруудыг илрүүлнэ. Бага өртөгтэй шийдэл, үнэ тариф ба менежментийн шинэчлэл зэрэг боломжит хувилбаруудыг орхигдуулах нь төслийн үнэлгээг гажуудуулах нэг гол нөхцөл болдог. Хөрөнгө оруулалтын ба үйл ажиллагааны зардлууд Нийт хөрөнгө оруулалт болон үйл ажиллагаа, засвар үйлчилгээний (хэвийн ба онцгой) зардлыг тооцоолж нийт дүнг төслийн бүх жилүүдэд хуваарилах үйл явц нь BAU ба төслийн хувилбаруудыг сонгосны дараахь алхам болно. Үнийн бодлого Үнэ, тарифийн бодлого нь эрэлт ба бусад тээврийн хэлбэрт шилжих эрэлтийн тархалтад шууд нөлөөлдөг учраас үнийн харилцан адилгүй бодлогын хүрээнд эрэлтийн таамаглалуудыг дэвшүүлнэ. 49
  • 50.
    Тээврийн дэд бүтцийнүнийн бодлого нь цогц асуудал бөгөөд санхүүгийн ба эдийн засгийн үнэлгээнд шууд нөлөөлдөг. Үүнд: - Төслийн орлогыг нэмэгдүүлэх хураамж: Энэ төрлийн хураамж нь төслийн өөрийн санхүүжилтийн бололцоог нэмэгдүүлнэ. Бүтээмжийн хураамж (efficiency fares) нь гадаад нөлөөллийн өртөг (замын ачааллын, байгаль орчны хохирлын, аюулгүй байдлын өртөг гэх мэт) буюу нийгмийн маргинал өртгийг тусгадаг. Өөрөөр хэлбэл бүтээжмйн хураамж нь нийгмийн маргинал өртөг буюу хэрэглэгчээс нийгэмд учруулж буй дотоод, гадаад хүчийн зүйлийн бүх өртөг дээр суурилдаг. Тээврийн дэд бүтцийн хувьд нийгмийн маргинал өртөг нь дараахь хэсгүүдээс бүрдэнэ. Үүнд: - Үйлдвэрлэгчийн маргинал өртөг: тээврийн хэрэгслээс дэд бүтцэд учруулах элэгдэл, хорогдол; Маргинал гадаад нөлөөллийн өртөг: Зам тээврийн хөдөлгөөнөөс нийгэмд учруулах өртгүүд (ачаалал, осол аваар, байгаль орчинд үзүүлэх сөрөг нөлөөлөл гэх мэт); Замын ачаалал бага тохиолдолд дэд бүтцийн ашиглалтыг нэмэгдүүлэх үүднээс бага хураамж авах, их бол илүү нэмэгдүүлсэн хураамж авах нь үнийн зөв бодлоготой ерөнхийдөө нийцдэг. 3.1.1.4 Санхүүгийн шинжилгээ 3.1.1.5 Эдийн засгийн шинжилгээ Зардал, үр ашгийн зарим нь төрийн өмчид (public goods; чөлөөт зах зээлгүй) хамаарах учраас эдийн засгийн үнэлгээ нь санхүүгийн үнэлгээнээс ихээхэн ялгардаг. Тээврийн салбарын хөрөнгө оруулалтын эдийн засгийн үнэлгээ нь олон жилийн түүхтэй бөгөөд 2 дугаар бүлэгт тайлбарласан хагас тэнцвэрийн аргачлал (partial equilibrium approach) дээр суурилдаг. Тээврийн дэд бүтцийн хөрөнгө оруулалтын хувьд нийгмийн үр ашиг нь дараахь бүрэлдэхүүн хэсгүүдийн нийлбэрээс бүрдэнэ. Үүнд: - Зорчигчийн зардлын өөрчлөлт (төлбөр хураамж, тээврийн хэрэгслийн элэгдэл хорогдол, засвар үйлчилгээ); Засгийн газрын татвар, шилжүүлгийн өөрчлөлт; Гадаад нөлөөллийн зардлын өөрчлөлт (хорт утаа, дуу чимээ, осол); Дэд бүтцийн төслийг хэрэгжүүлэгч операторын орлого, зардалд орох өөрчлөлт; Зах зээлгүй зарим бараа, үйлчилгээний хувьд тээврийн дэд бүтцийн төслийн эдийн засгийн үнэлгээ нь чухал ач холбогдолтой. Жишээ нь хэмнэсэн цагийн, байгаль орчны нөлөөллийн, урьдчилан сэргийлсэн осол, аваарын нийгмийн үнэ цэнэ гэх мэт. 50
  • 51.
    Цагийн үнэ цэнэнь тээврийн төслийн үр ашгийг илэрхийлэх хамгийн чухал хүчин зүйлийн нэг бөгөөд харьцуулалтын таамаглал (reference estimates) байхгүй бол орлогын төвшин дээр суурилсан бусад судалгаанд тохируулж зорчигчийн цагийн үнэ цэнийг таамаглаж болно. Зорчигчийн цагийн үнэ цэнэ орлогоос ихээхэн хамаардаг. Ажлын бус аялалын цагийн үнэ нь ажлын цагийн үнийн 10-42%-тай тэнцдэг бөгөөд ажлын бус цагийн аялалын цагийн хэмнэлт нь тээврийн дэд бүтцийн хөрөнгө оруулалтын үр ашгийн дийлэнхи хувийг бүрдүүлдэг байна. Байгаль орчинд үзүүлэх нөлөөллийг мөнгөжүүлэхийн тулд эрдэм шинжилгээний судалгааны материалуудаас авсан сүүдрийн үнийг ашиглаж болно. 51
  • 52.
    Эдийн засгийн нөлөөллийнүнэлгээ Тээврийн төслүүд нь бүс нутгийн эдийн засгийн бүтцэд ихээхэн нөлөө үзүүлж болно. Гэхдээ энэ нь онолын хувьд маргаантай сэдэв бөгөөд нөлөөлөл нь эерэг эсвэл сөрөг байдгыг бүх талууд хүлээн зөвшөөрдөг. Төгс биш зах зээлийн хувьд зам тээврийн сүлжээнд шинээр холбогдох алслагдсан бүс нутгийн өрсөлдөх чадвар нэмэгдэх боловч тухайн бүс нутгийн үйлдвэрлэлийн өрсөлдөх чадвар бусад бүсээс бага бол энэ нь тухайн бүс нутагт сөргөөр нөлөөлнө. Иймд ийм төрлийн үр ашгийг төсөлд хамааруулахдаа онцгой анхаарах шаардлагатай байдаг. 3.1.1.6 Эрсдлийн үнэлгээ Зах зээлгүй чухал хувьсагчид (жишээ нь цагийн үнэ, гадаад нөлөөлөл) ногдох мөнгөн дүнгийн мэдрэмжийн шинжилгээг хийхийг зөвлөдөг. Бусад мэдрэмжийн шинжилгээнүүд нь хөрөнгө оруулалтын зардал, үйл ажиллагааны зардал, хүлээгдэж буй эрэлт, шинээр бий болох зам тээврийн хөдөлгөөн зэрэг чухал хувьсагчуудад төвлөрч болно. 52
  • 53.
    3.1.3 Боомт, нисэхбуудал ба дамжуулах байгууламжууд 3.1.3.1 Төслийн зорилтууд Энэ салбарын төслүүд нь нэвтрэх чадавхийг сайжруулах, тээврийн дамжлагыг дэмжих, үндэсний ба олон улсын чанартай тээврийн сүлжээг өргөтгөх зорилготой байдаг. Түүнээс гадна эдгээр төслүүд нь орон нутгийн эдийн засгийг дэмжих, ядуурлыг бууруулах, орон нутгийн хүн амын тээврийг хэрэгцээг хангах үүрэг гүйцэтгэдэг. 3.1.3.2 Төслийг тодорхойлох Төсөл нь шинэ байгууламж, одоогийн байгууламжийн өргөтгөл эсвэл их засвар эсхийг тодорхойлох нь төслийн үнэлгээний анхны алхам болно. Түүнчлэн энэ ажлын хүрээнд төслийн цар хүрээ, зорилтууд, техник ба физик онцлог шинжийг тус тус тайлбарлана. Боомт, нисэх буудал, дамжуулах байгууламжийн хүчин чадлын ашиглалт нь дотоодын тээврийн сүлжээнд хэрхэн холбогдсоноос хамаарах учраас системийн төвшин дэх тогтвортой үйл ажиллагаанд шаардагдах холбогдох бусад хөрөнгө оруулалтын төлөвлөлтийн талаархи мэдээлэл нь төслийн тодорхойлолтын нэг хэсэг болно. 53
  • 54.
    3.1.3.3 Бололцоо бахувилбарын шинжилгээ Зорчигч ба бараа тээврийн хөдөлгөөний өнөөгийн ба ирээдүйн урсгалыг тооцоолох нь төсөл хэрэгжих бололцоог баталгаажуулах чухал нөхцөл болно. Ирээдүйн хөдөлгөөний төлөв нь тээврийн төрөл ба бусад хүчин зүйлсээс хамаарах тул зам тээврийн хөдөлгөөний төлвийг аль болох зорчигч, бараа тээврийн төрөл болон зорилгоор (хувийн , бизнес, аялал жуулчлал) ангилж харуулах нь зохимжтой байдаг. Түүнчлэн тээврийн дэд бүтэц, байгууламж нь ижил төстэй дэд бүтэцтэй өрсөлддөг учраас ирээдүйн эрэлтийг тодорхойлохдоо өрсөлдөгч дэд бүтцүүдийн стратеги төлөвлөлтийг онцгойлон тусгах шаардлагатай. Одоогийн байгууламж дэд бүтцийг өргөтгөх, шинэчлэх, шинэ техник технолог нэвтрүүлэх нь төслийн бусад хувилбаруудад багтана. Төслийн хувилбар бүрийн давуу болон сул талуудыг ул суурьтай харьцуулна. 3.1.3.4 Санхүүгийн шинжилгээ Санхүүгийн шинжилгээг хамрах хугацаа нь 30 жил байна. Санхүүгийн шинжилгээг ихэвчлэн хөрөнгө оруулагчид зориулж хийдэг тул хэрэгжүүлэгч буюу операторт зориулсан хувилбарыг мөн түүнчлэн бүх сонирхогч талуудын санхүүгийн сонирхлыг харуулсан нэгдсэн хувилбарыг ч боловсруулж болно. 54
  • 55.
    3.1.3.5 Эдийн засгийншинжилгээ Төслийн эдийн засгийн үндсэн үр ашиг, зардлын төрлүүд: 3.1.3.6 Эрсдлийн үнэлгээ 3.3 Үйлдвэрлэл, эрчим хүч, мэдээлэл харицаа 3.3.1 Үйлдвэрлэлийн хөрөнгө оруулалт 3.3.1.1 Төслийн зорилтууд Үйлдвэрлэлийн салбарын хөрөнгө оруулалтыг хамтран санхүүжүүлэх нь дараахь үндсэн зорилтуудыг агуулдаг. Үүнд: - Үйлдвэрлэлийг дэмжих; Тодорхой салбаруудад их хэмжээний анхны хөрөнгө оруулалт шаардах шинэ технологи нэвтрүүлэх хөрөнгө оруулалтыг дэмжих; Ажил эрхлэлтийн төвшинг нэмэгдүүлэх; 55
  • 56.
    3.3.1.2 Төслийг тодорхойлох Төслийгтодорхойлох эхний чухал алхмууд: - Хөрөнгө оруулалтын төслийг хэрэгжүүлэхээр сонирхож буй компанийн тухай танилцуулга (олон улсын, орон нутгийн, ЖДҮ гэх мэт); Компанийн үйл ажиллагаа эрхлэх салбар (өндөр технологийн, инновацийн, уламжлалт гэх мэт); Хөрөнгө оруулалтын төрөл хэлбэр (шинэ үйлдвэр, өргөтгөл гэх мэт); Төслийг илүү нарийвчлан тодорхойлхын тулд дараахь мэдээллийг ирүүлнэ. Үүнд: ХЯНАЛТЫН ХУУДАС Физик тоон мэдээлэл (Жишээ): - Компанийн байршил, газар нутаг ба байгууламжийн онцлог шинж чанарууд; Шингэн, хийн, хатуу хаягдлын цэгүүд ба цэвэрлэх байгууламжуудын тухай тайлбар; Хаягдал бүтээгдэхүүний төрөл, тоо ба менежмент; Зам тээврийн сүлжээтэй холбогдсон байдал; Үйлдвэрлэлийн онцлог шинж чанарууд - Компанийн үйлдвэрлэсэн бараа, үйлчилгээний ангилал (хөрөнгө оруулалтын өмнөх үеийн ба дараахь); Хөрөнгө оруулалтын өмнөх ба дараахь үеийн жилийн үйлдвэрлэлийн орц (түүхий эд, хагас боловсруулсан бүтээгдэхүүн, үйлчилгээ, ажиллах хүч); Хөрөнгө оруулалтын өмнөх ба дараахь үеийн орлого, зарлага, үйл ажиллагааны марж, өрийн харьцаа зэрэг балансийн гол гол үзүүлэлтүүд; Хөрөнгө оруулалтын өмнөх ба дараахь үеийн компанийн зах зээлд эзлэх хувь; Хөрөнгө оруулалтын өмнөх ба дараахь үеийн компанийн бүтэц зохион байгуулалт, удирдлага (удирдлагын мэдээллийн систем, чанарын удирдлагын систем); 3.3.1.3 Төслийн бололцооны ба хувилбарын шинжилгээ Технологийн (үйлдвэрлэлийн технолог) ба санхүү, эдийн засгийн (санхүүгийн тогтвортой байдал, эдийн засгийн үр ашиг, зах зээлийн төлөв) үнэлгээнд үндэслэж төслийг хэрэгжүүлэх бололцоог баталгаажуулна. Мөн түүнчлэн дараахь илүү нарийвчилсан шинжилгээг хийж болно. Үүнд: - Удирдлагын ур чадвар, бололцоо; Компанийн бизнесийн төлөвлөгөөнд орсон үйл ажиллагаанууд (тээвэр, маркетинг, бизнесийн загвар, нийлүүлэлтийн бодлого гэх мэт); Хувилбарын шинжилгээнд дараахь сэдвүүдийг хамруулна. Үүнд: - Байршил; Санхүүжилтийн боломжит хувилбарууд; Төслийн техник, технологийн бусад хувилбарууд; 3.3.1.4 Эрэлтийн шинжилгээ Бүтээгдэхүүний ирээдүйн зах зээлийн эрэлтийг тодорхойлох нь оруулалтын үр ашиг, тогтвортой байдлын үнэлгээний гол сэдэв болно. 56 үйлдвэрлэлийн хөрөнгө
  • 57.
    ДНБ-ий ирэх 10жилийн төлвийг таамаглах нь эхний алхам бөгөөд энэ төлөв дээр суурилсан тухайн салбарын хөгжлийн чиг хандлагыг дараагийн шатанд тодорхойлохдоо дараахь асуултуудад хариулна. Үүнд: - Төсөл нь инновацийн салбарт (өндөр өсөлттэй боловч өндөр эрсдэлтэй) хамаарах уу? Ирээдүйн эрэлт эдийн засгийн мөчлөгөөс яаж хамаарах вэ? Салбарыг төлвийг жил бүрийн өсөлтийн хувиар илэрхийлэх нь зохимжтой байдаг. Энэ мөчөөс эхлэн шинжээч нь салбарын төвшин дэх компанийн харьцангуй гүйцэтгэлд анхаарлаа төвлөрүүлнэ. Түүнчлэн эрэлтийн нийт нөлөөллийг үнэлэхийн тулд шинжээчид нь олон улсын зах зээл дэх бүтээгдэхүүний үнэ, ханшийн динамикийг таамаглана. Үүний дараа компанийн үнийн бодлоготой динамикийг тохируулна. 3.3.1.5 Санхүүгийн шинжилгээ Зарим хөрөнгийн эдийн засгийн ашиглалтын харьцангуй богино хугацаанаас хамаарч төслийн шинжилгээ нь ихэвчлэн 10 гаруй жил байдаг. Хөрөнгө оруулалтын төсөлд хамаарах орох, гарах санхүүгийн урсгалууд: 3.3.1.6 Эдийн засгийн шинжилгээ Бусад салбарын хөрөнгө оруулалттай харьцуулахад үйлдвэрлэлийн салбарын хөрөнгө оруулалтын санхүү, эдийн засгийн гүйцэтгэл нь харьцангуй өндөр байдаг. Эдийн засгийн үнэлгээ нь сүүдрийн үнэ, ялангуяа сүүдрийн цалин хөлс болон санхүүгийн үнийг тохируулах шилжүүлгийн фактор дээр илүү төвлөрдөг. Зарим ач холбогдол бүхий гадаад нөлөөллөөс үүдэх үр ашиг, зардал нь хөрөнгө оруулалтын байгаль орчны нөлөөлөлтэй хамааралтай байдаг. Шинэ үйлдвэр нь агаарын бохирдлыг нэмэгдүүлэх бол одоо байгаа үйлдвэрийн шинэчлэл нь хорт утааны ялгаруулалтыг багасгаж болно. Бусад санхүүгийн бус үр ашиг, зардал нь ажилтнуудын хөдөлмөрийн аюулгүй байдлын нөхцөл сайжирсан, муудсан эсхээс мөн хамаарна. 3.3.1.7 Эрсдлийн үнэлгээ 57
  • 58.
    3.3.1.8 Төслийн үнэлгээнийбусад аргачлалууд Тооцоолох, үнэлэхэд хүндрэлтэй төслийн шууд бус үр дагавар болох төслийн орон нутгийн хөгжил, ажил эрхлэлтэд үзүүлэх нөлөөллийг харгалзана. Зөвхөн физик хэмжүүрээр илэрхийлсэн ч гэсэн эдгээр нөлөөллийг ул суурьтай үнэлэх нь төслийн үнэлгээг бүрэн төгөлдөржүүлэхэд чухал ач холбогдолтой. Ялангуяа ажил эрхлэлтийг нэмэгдүүлэх нь үйлдвэрлэлийн салбарын төсөл, хөтөлбөрийн гол зорилт учраас үүнд анхаарлаа төвлөрүүлэх нэг чухал сэдэв болно. Эдгээр төрлийн төслүүдийн эдийн засгийн гол үр дагаврууд: - - Төсөл хэрэгжүүлэх компанид бүтээгдэхүүн, үйлчилгээ нийлүүлэх шинэ ААН-үүд; Шилжих хөдөлгөөн: ЖДҮ-үүд өөр газраас төслийн бүс нутагт шилжин суурьших; Орлох үр дагавар: Төсөл хэрэгжүүлэх компанийн давуу байдлаас ААН-үүд төслийн бүс нутгаас гадагш шилжих; Компаниуд хорших, нэгдэх (synergy): Тухайн бүс нутгийн хамааралтай салбаруудын компаниуд шинээр байгуулагдах төслийн үйлдвэртэй үйл ажиллагаагаа хослуулснаар бүс нутагт шинээр үнэ цэнэ бүрдүүлэх; Ажиллах хүчний нөөцийг нэмэгдүүлэх; Шинэ бизнесийн загвар, менежментийн know-how нэвтрэх; Хяналтын хуудас      Сегментийн өсөлтийн динамик ба тухайн салбарын нийт гүйцэтгэлтэй харьцуулсан төслийн эдийн засаг ба санхүүгийн харьцангуй гүйцэтгэлийг урьдчилан таамаглах; Үнийн ирээдүйн төлөв ба бүтээгдэхүүний борлуулалтын үнийн таамаглал: Үнийн өөрчлөлтийн хувьд илүүтэйгээр хуучныг баримтлах; Үйл ажиллагааны зардлыг орлогын хувиар буюу маржаар илэрхийлэх. Хэрэв өссөн үйл ажиллагааны зардлыг борлуулалтын үнэд шингээвэл энэ хувь тогтвортой байна. Эсрэгээр бол үйл ажиллагааны марж буурна. Эдийн засгийн үнэлгээний хувьд эдийн засгийн үнэ ба байгаль орчны нөлөөллийг илүү тусгах шилжүүлгийн фактороор хувиргасан санхүүгийн мөнгөн урсгалыг харгалзана. Агаарын бохирдлын хувьд үр ашгийг шилжүүлэх аргыг (benefit transfer method) хэрэглэх нь зүйтэй. 58
  • 59.
    3.3.2 Эрчим хүчнийдамжуулалт ба нийлүүлэлт 3.3.2.1 Төслийн зорилтууд Энэ салбарт дараахь төслүүд хамаарна. Үүнд: - Эрчим хүч дамжуулах шугам, станцуудыг барих; Орон нутгийг эрчим хүчээр хангах; 3.3.2.2 Төслийн тодорхойлолт Төслийн тодорхойлолтод дараахь зүйлүүд хамаарна. Үүнд: - Зах зээлийн судалгаа ба төслийн цар хүрээг тодорхойлох; Дэд бүтцийн техник, технологийн онцлог шинж чанарууд, үзүүлэлтүүд; Үүнд:  Үндсэн үзүүлэлтүүд: Дамжуулах шугамын хүчин чадал, багтаамж, хэрэглэгчдийн тоо, нэг хэрэглэгчид ногдох эрчим хүч, сүлжээнд хамрагдах орон нутгийн талбайн хэмжээ; Физик үзүүлэлтүүд: Дамжуулах шугамын маршрут, урт; Сүлжээний үзүүлэлтүүд; Дамжуулах шугамын байгууламжийн ерөнхий үзүүлэлтүүд; Дамжуулах байгууламжийн техникийн үзүүлэлтүүд; Бусад үйлчилгээний дэд бүтцийн техникийн үзүүлэлтүүд; Чухал техникийн элементүүд: Алсын удирдлагатай харилцаа холбооны систем (техникийн зураг, тоон мэдээ);       3.3.2.3 Төслийн бололцоо ба хувилбарын шинжилгээ Урт хугацаатай, улирлын чанартай эрчим хүчний эрэлт, өдрийн стандард хэрэглээний муруй нь чухал мэдээлэл болно. Хувилбарын шинжилгээнд жишээ нь эрчим хүчийг дамжуулах технологийн төрлүүд, эрчим хүчний шугамын бусад боломжит маршрутууд, харилцан адилгүй дэд сүлжээнүүд, эрчим хүчний эрэлтийг хангах бусад хувилбарууд (зөвхөн цахилгаан эрчим хүч бус хийг мөн ашиглах гэх мэт) хамаарна. 3.3.2.4 Санхү ү гийн шинжилгээ Санхүүгийн орох гарах урсгалууд: Санхүүгийн орох урсгал   Санхүүгийн гарах урсгал Эрчим хүч дамжуулалтын хураамж Бусад орлого  Хөрөнгө оруулалтын зардал -  Үйл ажиллагааны зардал - - Санхүүгийн шинжилгээг 15-25 жилээр тооцоолно. 59 Зураг төсөл Газар Урсгал ба үндсэн хөрөнгийн зардал Дэд бүтцийн туршилт Бараа үйлчилгээний зардал Засвар, үйлчилгээ Техникийн ба захиргааны ажиллах хүчний зардал Түлш ба цахилгаан
  • 60.
    3.3.2.5 Эдийн засгийншинжилгээ Байгаль орчны нөлөөлөл ба эрсдлийн үнэлгээ нь эдийн засгийн шинжилгээний хувьд чухал ач холбогдолтой. Дараахь гадаад нөлөөллийг харгалзан үзнэ. Үүнд: Үр ашиг - Эрчим хүч нийлүүлэх бүс нутгийн эдийн засагт үзүүлэх эерэг нөлөөлөл (газрын үнэ, үйлдвэрлэл гэх мэт); Зардал - Байгаль орчинд үзүүлэх сөрөг нөлөөллүүд (ан амьтан); Суурин газарт үзүүлэх сөрөг нөлөөллүүд (хөдөө аж ахуй, дэд бүтэц, бизнесийн байгууллагууд, иргэдийн орон сууц); 3.3.2.6 Эрсдлийн үнэлгээ 3.3.3 Эрчим хүчний үйлдвэрлэл ба сэргээгдэх эрчим хүч 3.3.3.1 Төслийн зорилтууд Энэ салбарт хэрэгжих төслүүд: - Сэргээгдэх эрчим хүчний эх үүсвэрээс эрчим хүч үйлдвэрлэх байгууламж; - Эрчим хүчийг хэмнэхэд чиглэсэн хөрөнгө оруулалт; - Бусад эх үүсвэрээс эрчим хүч үйлдвэрлэх барилга байгууламж; - Газрын тос, байгалийн хийн эрэл хайгуул, өрөмдлөг. Зорилтуудын жишээнүүд: - Эрчим хүчний эх үүсвэрийн бүтцэд өөрчлөлт оруулах (Хүлэмжийн хийн ялгаралтыг багасгах зорилгоор эрчим хүчний баланс дахь сэргээгдэх эрчим хүчний эзлэх хувийг нэмэгдүүлэх); - Байгаль орчныг хамгаалах үүднээс эрчим хүч үйлдвэрлэлийн одоогийн барилга, байгууламжийг шинэчлэх; - Эрчим хүчний импортыг дотоодын эх үүсвэрээр орлуулах; - Өсөж буй эрчим хүчний эрэлтийг хангах; 3.3.3.2 Төслийг тодорхойлох Төслийн фүнкцийг тодорхойлоход дараахь алхмуудыг хийх нь зохимжтой байдаг. Үүнд: - Эрчим хүчээр хангагдах бүс нутгийн газар зүй, байршил; 60
  • 61.
            Төслийн бодлогын зорилт,эрх зүйн зохицуулалт ба байгууллагын зорилт (institutional context) Ялангуяа эрчим хүчний борлуулалтын үнэ тариф, урамшуулал, шилжүүлэг, доод үнэ, татварын хөнгөлөлт (жишээ нь сэргээгдэх эрчим хүчний үйлдвэрлэл); Хөрөнгө оруулалтын үе шатуудыг тодорхойлох (жишээ нь газрын тосны тандалт, судалгаа, туршилтын өрөмдлөг, олборлох, хаах, нөхөн сэтгээлт гэх мэт); Техник технологийн онцлог шинж чанарууд; эрчим хүчний сүлжээний техникийн багтаамж; Дэд бүтцийн техникийн үзүүлэлтүүдийг тайлбарлах. Үүнд: Үндсэн фүнкцийн тухай тоо баримт: Эрчим хүч үйлдвэрлэх байгууламжийн төрөл, суурилуулах хүчин чадал (MW), эрчим хүчний үйлдвэрлэл (TWh/жил); Цооногийн жилийн хүчин чадал (сая баррэл/жил эсвэл сая m3/жил), хэмнэсэн нүүрстөрөгч (CO2 тонн); Сэргээгдэх эрчим хүчний байгууламжийн үндсэн параметрүүд: Нөөцийн эрсдлийн төвшин (салхи/hydro), тамаглаж буй ачаалал, оргил ачааллын үеийн нийлүүлэлт, үйлдвэрлэлийн өртөг; Газар зүй, байршлын онцлог; Үйлдвэрлэлийн байгууламжид хамаарах барилгын, технологийн ба боловсруулалтын технолог; Уул уурхайн цооногийн байгууламжийн техникийн онцлог; Бусад үйлчилгээний байгууламжийн техникийн онцлог, барилгын технолог; Бохир ус цэвэрлэх систем; Чухал техникийн үзүүлэлтүүд (автомат хяналтын систем, цахилгаан холбооны систем, хаягдлын техникийн шийдэл, далангийн техникийн үзүүлэлт гэх мэт). 3.3.3.3 Бололцооын ба хувилбарын шинжилгээ Үндсэн мэлээлэл: Эрчим хүчний эрэлт, урт хугацааны ба улирлын төлөв чиг хандлага, ердийн өдрийн эрчим хүчний хэрэглээний муруй. Хувилбарын шинжилгээн дэх харьцуулалт нь тухайн дэд бүтцийн доторхи боломжит хувилбаруудыг харгалзана. (жишээ нь өрөмдлөгийн ба үйлдвэрлэлийн өөр өөр технологууд, хаягдал боловсруулах харилцан адилгүй технологууд гэх мэт). Эрчим хүчний үйлдвэрлэлийн боломжит хувилбаруудыг мөн харгалзана. (жишээ нь эрчим хүчний шинэ станцыг байгуулахын оронд эрчим хүчийг хэмнэхэд чиглэсэн бодлого, үйл ажиллагааг нэвтрүүлэх). 3.3.3.4 Санхүүгийн шинжилгээ Санхүүгийн орох ба гарах урсгалууд: Санхүүгийн орох урсгал   Санхүүгийн гарах урсгал Эрчим хүчний борлуулалт Хийн борлуулалт Цахилгааны борлуулалт Дулааны борлуулалт Засгийн газрын урамшуулал, шилжүүлэг   Санхүүгийн шинжилгээ нь 15-20 жилийг хамаарна. Дараахь таамаглалуудыг хийнэ. Үүнд: - Эрчим хүчний үнэ, тарифийн динамик; - Үнийн динамик; 61 Хөрөнгө оруулалтын зардал Урсгал ба үндсэн хөрөнгийн зардал Газар Дэд бүтцийн туршилт Үйл ажиллагааны зардал Үйлдвэрлэлийн бараа, үйлчилгээ Засвар, үйлчилгээ Техникийн ба захиргааны ажиллах хүчний зардал Түлш ба эрчим хүчний хэрэглээ
  • 62.
    - Бусал салбаруудын хөгжлийнтөлөв. Эрчим хүчний эрэлт ба бусад салбарын хөгжлийн динамик хоорондоо шууд уялдана. 3.3.3.5 Эдийн засгийн шинжилгээ Үр ашиг - - - Зардал - - Үр ашгийн мөнгөн дүн. Эрчим хүчний борлуулалтын орлогыг зохих сүүдрийн үнээр мөнгөн дүнд шилжүүлнэ. Сүүдрийн үнийг хэрэглэгчийн эрчим хүч худалдан авах хүсэл (willingness-to-pay) эсвэл маргинал өртгөөр (эрчим хүчний хувийн эх үүсвэрийг ашиглах, суурилуулахтай холбоотой хэрэглэгчийн зардал) тодорхойлж болно. Сэргээгдэх эрчим хүч ашиглах эсвэл эрчим хүчийг хэмнэх төслүүдээс орж ирэх нийгэм-эдийн засгийн нэмэлт үр ашиг нь дээр дурдсан бүртгэлийн үнэд орохгүй. Эдгээр үр ашиг нь ерөнхий, өргөн хүрээний ойлголт бөгөөд хүний эрүүл мэнд, байгаль орчинд сөргөөр нөлөөлөх хорт биет, шингэн, хийн үйлвэрлэлийн бууралттай холбоотой. Түүнээс гадна хэмнэсэн сэргээгдэхгүй эрчим хүчний эх үүсвэрийг бусад зорилгоор ашиглаж болохоос гадна ирээдүйд хэрэглэх үүднээс хадгалж болно. Энэ үр ашгийг мөнгөжүүлэхийн тулд стандард сүүдрийн үнийг хэрэглэхийг зөвлөдөг. (жишээ нь нүүрсхүчлийн хийн ялгаралтын бууралт; байгаль орчны нөлөөллийн үнэлгээний талаар хавсралт F-ээс харах) Хэрэв дээрхи аргачлалын тоон мэдээлэл байхгүй бол сэргээгдэх эх үүсвэрийн эрчим хүчний үйлдвэрлэлийн урамшуулалд ногдох санхүүгийн дүнг худалдан авах хүслийн (нийгмийн) оронд хэрэглэж болно. Эрчим хүч хэмнэх төслүүдийн хувьд дээрхи сүүдрийн үнийг хэмнэсэн эрчим хүчийг үнэлэхэд хэрэглэж болно. Гадаадын эрчим хүчний хараат байдалд ногдох үнэлгээ. Зохих сүүдрийн үнийг орлуулсан импортын эрчим хүчинд хэрэглэснээр үнэлгээг хийнэ. Эрчим хүчний байгууламжийн барилга угсралт, үйл ажиллагааны байгаль орчинд үзүүлэх сөрөг үр дагаврыг саармагжуулахад чиглэсэн үйл ажиллагааны зардал; Сөрөг гадаад нөлөөллийн үр дагаврын өртөг (байгалийн унаган төрх алдагдах нь нөхөн сэргээгдэхгүй); Төрөл бүрийн орцын (input) алдагдсан бололцооны өртгийг тодорхойлох. Хамгийн сайн хэрэглээний хувилбараас холдуулснаар түүхийн эдийн нийгэмд учруулах хохирлыг харгалзсанаар эдийн засаг дахь түүхий эдийн өртгийг тодорхойлно. Үүнд зохих шилжүүлгийн факторыг (conversion factors or CF‟s) ашиглана. 62
  • 63.
    3.3.3.6 Эрсдлийн шинжилгээ 3.3.3.7Төслийн үнэлгээний бусад аргачлалууд - Холбогдох хууль тогтоомжийн хүрээнд хийгдэх байгаль орчны нөлөөллийн үнэлгээ нь төслийн үнэлгээний үйл явцын нэг бүрэлдэхүүн хэсэг байна. Эдийн засгийн шууд бус зардлын үнэлгээ (төслийн олон шалгуурт шинжилгээнд орох стандард физик үзүүлэлтээр хэмжих); Өмнө дурдсан аргачлалыг хэрэглэх бололцоогүй бол сэргээгдэх эх үүсвэрийн хэрэглээнээс үүдэх эдийн засгийн шууд бус үр ашгийг үнэлэх зорилгоор дээрхитэй ижил төстэй аргачлалуудыг хэрэглэж болно. Олон шалгуурт шинжилгээнд орох стандард физик үзүүлэлтээр эдгээр эдийн засгийн үнэ цэнийг хэмжиж болно. 3.3.4 Мэдээлэл харилцаа холбооны (МХХ) дэд бүтэц 3.3.4.1 Төслийн зорилтууд Төслөөс хамаарч зорилтууд нь өөр өөр байдаг. Цар хүрээнээс нь хамаарч МХХ-ы дэд бүтцийг үндсэн 1 төрөлд ангилж болно. Орон нутгийн төслүүд: - Хамрагдаагүй орон нутагт үйлчилгээг хүргэж өргөтгөх орон нутгийн кабелийн буюу рэлэй систем; - Хурдтай, хүчтэй сүлжээгээр хот, хүн амын төвлөрлийн буюу үйлдвэрлэлийн бүсийг кабелжуулах; - Тусгаарлагдсан бүс нутгийг холбох рэлэй буюу хиймэл дагуулын станцуудын барилга угсралт ба кабел тавих; Өргөн хүрээний төслүүд: - Хурд, хүч, чадлыг нэмэгдүүлэх олон улсын харилцаа, хобооны системийн хөгжил (жишээ нь харилцаа, холбооны хиймэл дагуул, хиймэл дагуулын радио станц барих гэх мэт); - Бүс нутаг хоорондын МХХ-ы чадал, хүч, хурдыг нэмэгдүүлэх; - Шинэ үйлчилгээ нэвтрүүлэх зорилгоор сүлжээний технологийн шинэчлэл хийх. (Жишээ нь мулти-медиа үйлчилгээ, зөөврийн утас, кабелийн телевиз гэх мэт). 63
  • 64.
    3.3.4.2 Төслийн тодорхойлолт Хянахшинжлэх гол үзүүлэлтүүд Төслийн нарийвчилсан мэдээлэл: - МХХ-ны үйлчилгээний төрөл Хэрэгжүүлэх хөтөлбөр, зорилтот зах зээлд эзлэх хувь Техникийн үзүүлэлтүүд (Жишээ нь): - Кабелийн урт, сүлжээнд хамрагдах газар нутгийн хэмжээ, холболт/дэд станцуудын байршил зэрэг физик мэдээлэл; Байгууламжийн техник, сүлжээний техник үзүүлэлтүүд, тоон мэдээлэл; Алсын удирдлага, эрчим хүчний холболт зэрэг нэмэлт байгууламжуудын техник үзүүлэлтүүд, байгууламжийн техник, мэдээллүүд; Фүнкцийн үзүүлэлтүүд: - МХХ-ны дэд бүтцийн төрөл, урсгалын багтаамж төрөл; Харилцааны дээд хурд; Төлөвлөж буй дэд бүтэц ба одоогийн МХХ-ны системийн хоорондын фүнкцийн ба физик холболтууд; Коммутацийн төрөл, протокол, давтамжийн банд (GHz) ба чадал (kW). 3.3.4.3 Бололцооны ба хувилбарын шинжилгээ Төслийн бололцоог баталгаажуулахад хөдөлгөөний багтаамж ба өдрийн, долоо хоногийн, улирлын төлөв нь (хөдөлгөөний хамгийн өндөр ачаалал ба системийн гүйцэтгэх чадавхийн хоорондын зөв шийдэл нь хамгийн оновчтой багтаамж болно) гол үүрэг гүйцэтгэдэг. Эдгээр төрлийн төслүүдийн төрөл бүрийн хувилбарууд нь: - Тухайн дэд бүтцийн хүрээн дэх боломжтой техникийн хувилбарууд (жишээ нь өөр өөр төрлийн кабелууд, өөр өөр дамжуулалтын протоколууд, өөр өөр холболтын технологууд гэх мэт); - Радио станцуудын байршлын хувилбарууд, төлөвлөж буй дэд бүтцийн бусад глобал хувилбарууд (оптик шилэн кабелийн оронд төстэй үйлчилгээ үзүүлэх хиймэл дагуулын дамжуулах эсвэл агаарын кабел гэх мэт); 3.3.4.4 Санхүүгийн шинжилгээ Санхүүгийн орох ба гарах урсгалууд: Санхүүгийн орох урсгал    Санхүүгийн гарах урсгал Үйлчилгээний борлуулалт (тариф) Тоног төхөөрөмжийн түрээс Оролтын хураамж   Хөрөнгө оруулалтын зардал Ажиллах хүч Ерөнхий зардал Шинэ тоног төхөөрөмж Үйл ажиллагааны зардал Үйлдвэрлэлийн түүхий эд Засвар үйлчилгээ Техникийн болон захиргааны ажиллах хүч Түлш, цахилгаан Каблийн сүлжээ ба алсын зайны кабелийн хөрөнгө оруулалтыг 20 жилээр бусад бүрэлдэхүүн хэсгийн хувьд 10 жилээр тус тус тооцоолно. 64
  • 65.
    3.3.4.5 Эдийн засгийншинжилгээ Нэмэлт үйлчилгээ, одоогийн үйлчилгээний хэрэглээний ба бүтээмжийн өсөлт нь МХХ-ны төслийн үндсэн үр ашгуудад хамаарна. Үр ашиг - - Зардал - Хэмнэсэн цагийн (хүлээх цаг, дамжуулах цаг) үнэ цэнэ. Үнэлгээний зорилгоор хэрэглэгчдийг бүлэглэж болох бөгөөд жишээ нь өрхийн хувьд өрхийн гишүүдийн дундаж орлого, бизнесийн бүлгийн хувьд бизнесийн байгууллагын дундаж нэмүү өртөг нь хэмнэсэн цагийг тоонд шилжүүлэх хэмжилтийн нэгж болно. Төсөлгүйгээр авч болохгүй байх байсан нэмэлт шинэ үйлчилгээний үнэ цэнэ. Зарим тохиолдолд хэмнэсэн цагийн аргыг үнэлгээнд ашиглаж болох боловч ихэнхи тохиолдолд хэрэглэгчийн шинэ үйлчилгээнд төлөх-сонирхлыг таамаглаж болно. Орон нутгийн байгаль орчинд үзүүлэх сөрөг нөлөөллийн өтрөг. 3.3.4.6 Эрсдлийн үнэлгээ 3.3.4.7 Төслийн үнэлгээний бусад аргачлалууд Төслийн уян хатан чанар, ирээдүйн технологийн хөгжилд нийцэх чадвар нь нэг чухал үзүүлэлт болно. Технологийн хувьд ирээдүйн хөгжлөөс (кабел уу эсвэл кабелгүй орон нутгийн сүлжээ?) үүдэх өргөн хэрэглээнд нийцэх чадварыг шалгах нь чухал ач холбогдолтой. Хяналтын хуудас    Урсгалын багтаамж ба өдрийн, долоо хоногийн, улирлын төлвийг таамаглах. Утасны хувьд засгийн газраас зохицуулагдаж буй үнэ, тариф нь үнийн динамикийг таамаглахад тусална. Санхүүгийн орлогоос гадна дараахь эдийн засгийн нөлөөг харгалзана. Үүнд: - МХХ-ны хэмнэсэн цагийн үнэ цэнэ (хэрэглэгчдийг бүлэглэж болно) - Төсөлгүйгээр авч болохгүй байх байсан (төлөх-сонирхол) шинэ нэмэлт үйлчилгээний үнэ цэнэ; 65
  • 66.
    3.4 Бусад салбарууд 3.4.1Боловсрол ба сургалт 3.4.1.1 Төслийн зорилтууд Төсөл нь дараахь зорилтуудтай байж болно. Үүнд:     суурь боловсрол; мэргэжлийн боловсрол; дээд боловсрол (universities, business schools, etc.); бусад; 3.4.1.2 Төслийн тодорхойлолт Төслийн үнэлгээнд дараахь нарийвчилсан тоон мэдээлэл чухал ач холбогдолтой. Үүнд: Хянах, шинжлэх үндсэн үзүүлэлтүүд Техник, барилга угсралтын мэдээлэл: - Сургалтын (анги, танхим) ба холбогдох бусад үйл ажиллагааны (номын сан, лаборатор); зориулалттай байгууламжийн барилгын зураг төсөл; Орон нутгийн харилцаа холбооны сүлжээнд холбогдсон байдал; Ач холбогдол бүхий тоног төхөөрөмжүүд; Бусад мэдээлэл: - Боловсролын үйл ажиллагааны төрөл, төвшин; Сурагчдын тоо, хамрагдах газар нутгийн хэмжээ; Холбогдох үйлчилгээ (номын сан, спортын танхим, цайны газар гэх мэт); Ирэх жилүүдэд санал болгох сургалтын төлөвлөгөө; Хичээлийн үргэлжлэх хугацаа; Сургалтын хичээлүүдийн төрөл, тоо; Сургалтын аргачлал; Төгсөгчдөд олгох мэргэжлийн цол, гэрчилгээ; 3.4.1.3 Бололцооны ба хувилбарын шинжилгээ Энэ төрлийн судалгаа нь ирээдүйн боловсролын хэрэгцээг тодорхойлох хүн ам, хөдөлмөрийн зах зээлийн төлөв, чиг хандлагад төвлөрнө. Үүнд: - Хүн амын бүтцийн төлөв (нас, орон нутаг); Боловсрол, сургалтын үйлчилгээнд хамрагдсан хувь, төгсөгчид (насаар, хүйсээр, орон нутгийн захиргааны нэгжээр); Салбаруудын ажил эрхлэлтийн төлөв (нийгэм-эдийн засгийн бүтцэд орох өөрчлөлтийн төлөв, мэргэжлийн ажиллах хүчний ирээдүйн хэрэгцээний өсөлт ба бууралт); Төслийн боломжит бусад хувилбаруудыг дараахь чиглэлээр ангилж болно. Үүнд:    Зорилт (ажилгүйчүүд, залуучуудад чиглэсэн гэх мэт); Сургалтын хөтөлбөрт хамрагдах эдийн засгийн салбарууд; Орон нутгийн эдийн засгийн хөгжилтэй уялдсан байдал; 66
  • 67.
    3.4.1.4 Санхүүгийн шинжилгээ Санхүүгийнорох ба гарах урсгалууд: Санхүүгийн орох урсгал   Санхүүгийн гарах урсгал Хураамж, жилийн төлбөр Засгийн газрын дэмжлэг   Хөрөнгө оруулалтын зардал Газар Барилга, байгууламж Тоног төхөөрөмж Үйл ажиллагааны зардал Ажиллах хүч Бараа, үйлчилгээ Засвар үйлчилгээ Санхүүгийн шинжилгээг 15-20 жилээр тооцоолно. 3.4.1.5 Эдийн засгийн шинжилгээ Эдийн засгийн үр ашгийг тодорхойлоход шаардагдах хувьсагчууд: - Сургалтын багтаамжтай харьцуулсан бүртгэлийн ашигт хувь; Улирах сурагчдын хувь жил бүрээр; Сурагчдын дундаж ирцийн хувь; Сурагчдын төгсөлтийн хувь; Сургалтын стандардын биелэлт; Сургалтын материалын чанар; Сургалтын тоног төхөөрөмжийн хэрэглээний хувь; Багш нарын бэлтгэлийн төвшин (бодит шалгуураар); Сургалтын агуулгын төвшин, чанар; Хөдөлмөрийн зах зээлд үзүүлэх төслийн нийгмийн нөлөөллийн үндсэн үр ашиг ба өртгүүд: Үр ашиг - - Зардал - Төгсөгчдийн ажил эрхлэлтийн тоо, хувь ба тусгай сургалтад хамрагдаагүйн улмаас ажил эрхлэлтэд бүрэн хамрагдаж чадахгүй байх сурагчдын тоо, хувь; Хэрэв сургалтын тэргүүлэх чиглэл нь хөдөлмөрийн зах зээлд нэвтрэх бололцоог дээшлүүлэхэд чиглэж байвал сургалтад хамрагдсан төгсөгчдийн хөдөлмөрийн зах зээлд авч буй цалин, хөлсний өсөлтөөр сургалтын үр ашгийг (тоогоор) илэрхийлж болно. Ижил төстэй хувийн сургалтын дундаж төлбөр буюу сурагчийн төлөхсонирхол нь (willingness-to-pay) нийгмийн үр ашгийг тооцоолох бас нэг өөр хувилбар байж болно. Гэхдээ энэ аргыг хэрэглэхдээ сургалтын чанарын зөрүү, орлогын төвшнөөс хамаарах эрсдлийн зэрэг гэх мэт хүчин зүйлсийг харгалзан үзнэ. Санхүүгийн шинжилгээнд орсон зардлуудаас гадна өндөр нягтралтай суурьшсан хот суурингийн өсөн нэмэгдэх тээврийн хөдөлгөөнөөс нийгэмд учруулах нэмэлт өртөг; 67
  • 68.
    3.4.1.6 Эрсдлийн үнэлгээ 3.4.1.7Үнэлгээний бусад аргачлалууд Сургалтын хөтөлбөрийн үнэлгээний хамтаар санал болгож буюу зорилтод хүрэх, нийгмийн хэрэгцээг хангах боловсролын хөрөнгө оруулалтын чадамжийн талаархи үнэлгээг хараат бус мэргэжилтнүүдээр хийлгэх нь зарим тохиолдолд зохимжтой байдаг. Хяналтын хуудас    Тухайн орон нутгийн ажилгүйдлийн төвшингөөр тухайн тусгай боловсролын боломжит эрэлтийг тодорхойлох бололцоотой болно. Нийгэм-эдийн засгийн салбаруудын ажил эрхлэлтийн төвшинг тодорхойлсноор мэргэжлийн эрэлтийн төлвийг тодорхойлох боломжтой болно. Тухайн боловсролын хөтөлбөр байхгүй байсан бол ажил эрхлэлтэд бүрэн хамрагдахгүй байсан сурагчдад шинээр нээгдэх хөдөлмөрийн зах зээл нь эдгээр боловсролын төслүүдийн эдийн засгийн үндсэн үр ашиг болно. Үр ашгийг дараахь аргачлалаар үнэлнэ. Үүнд: Үр ашгийг шилжүүлэх аргачлал (benefit transfer method); Сургалтад хамрагдсан төгсөгчдийн орлогын өсөлтөөр үнэлэх; 3.4.3 Эмнэлэг ба эрүүл мэндийг хамгаалах бусад дэд бүтэц 3.4.3.1 Төслийн зорилтууд Эдгээр төслүүдийн язгуур зорилтууд нь хүн амын наслалтыг нэмэгдүүлэх, амьдралын чанарыг сайжруулахад оршно. 3.4.3.2 Төслийн тодорхойлолт Эрүүл мэндийг хамгаалах дэд бүтэц өөрөө цогц учраас төслийн зорилтуудыг тодорхойлох шаардлагагүй бөгөөд дараахь үндсэн үзүүлэлтүүдийг тайлбарлаж болно. Үүнд: Хяналт, судалгааны үндсэн үзүүлэлтүүд Фүнкцийн үзүүлэлтүүдийн жишээ: - Эмчилгээний ангилал 68
  • 69.
    - Зорилтот хүн ам; Оношлогооныфүнкц; Урт ба богино хугацааны эмчилгээ; Үндсэн үзүүлэлтийн жишээнүүд: - Хэрэглэгчдийн өдөр, сар, жилийн дундаж ба дээд тоо; Тасгуудын жагсаалт; Физик үзүүлэлтүүд: - Талбайн хэмжээ; Эмчилгээ, сувилгаа, оношлогоо, зөвлөгөөний өрөө тасалгааны тоо; Гадуур эмчлүүлэгчдийн тасаг; Техникийн үзүүлэлтүүд: - Дотоод, гадаад талбай, тохижилт; Тоног төхөөрөмжүүд; Барилга байгууламжийн үзүүлэлтүүд; Харилцаа холбоо, цахилгаан ба дэд бүтцэд холбогдсон байдал; 3.4.3.3 Бололцоо ба хувилбарын шинжилгээ Хувилбаруудын хувьд харгалзан үзэх үндсэн асуудлууд: - Эмчилгээ, оношлогооны харилцан адилгүй технологийн шийдлүүд; Шинэ дэд бүтэц байгуулах эсвэл одоо байгаа дэд бүтцийг өргөжүүлэх; Эмчилгээний өөр өөр системүүд; 3.4.3.4 Санхүүгийн шинжилгээ Санхүүгийн орох ба гарах урсгалууд: Санхүүгийн орох урсгал    Санхүүгийн гарах урсгал Эмчилгээ, оношлогооны төлбөр, хураамжууд; Нэмэлт үйлчилгээ Нэг ортой өрөө; Засгийн газрын дэмжлэг;   Хөрөнгө оруулалтын зардал; Урсгал буюу үйл ажиллагааны зардал; Бараа, үйлчилгээний зардал; Засвар, үйлчилгээний зардал; Ажиллах хүчний зардал; Эмчилгээний үйлчилгээний зардал; Санхүүгийн шинжилгээг 20 жилээр тооцоолно. 3.4.3.5 Эдийн засгийн шинжилгээ Эрүүл мэндийн үр ашгийг мөнгөжүүлэх нь цогц сэдэв. Үйлчилгээний зах зээлийн үнэ (төлөхсонирхол) ба амьдралын чанарт тохирсон уртассан амьдралын хүлээлтийн индекс нь эдийн засгийн шинжилгээнд өргөн хэрэглэгддэг аргууд болно. Статистик амьдралыг үнэлэх үндсэн 2 аргууд: 69
  • 70.
    - - Оюуны хөрөнгийн аргачлал:Эрүүл мэндийн хөрөнгө оруулалт нь хөдөлмөрийн бүтээмжийг нэмэгдүүлнэ. Зөвхөн эдийн засгийн гарцад эрүүл мэндээс үзүүлэх нөлөөллийг хянадгаараа болон эрүүл мэндийн хэрэглээний үнэ цэнийг харгалзан үздэггүйгээрээ энэ аргачлал нь хязгаарлагдмал. Төлөх-сонирхол (willingness-to-pay): Энэ нь хамгийн өргөн хүрээнд тархсан аргачлал бөгөөд эрсдэлтэй ажлын байрны нэмэгдэл орлогын шагнал эсвэл хэрэглэгчийн аюулгүй байдлын зардал дээр суурилдаг. Үр ашиг - Зардал - Эмчилгээний зардлын ирээдүйн хуримтлал; Хөдөлмөрийн чадваргүй байсан хугацааны бууралтаас хамаарсан үйлдвэрлэлийн алдагдлын бууралт; Уртассан амьдралын хүлээлт, амьдралын чанарын сайжрилт; Урьдчилан сэргийлсэн ба аварсан хүний тоо (статистик амьдралын үнэ цэнэ); Санхүүгийн үнэлгээн дэх эдийн засгийн үнэд шилжүүлсэн зардлаас гадна өсөн нэмэгдэх тээврийн зардлыг тооцоолж болно. 3.4.3.6 Эрсдлийн үнэлгээ 3.4.3.7 Төслийн үнэлгээний бусад аргачлалууд Эрүүл мэндийн салбарт өргөн хэрэглэгддэг ба харьцуулахуйц тоон мэдээлэл бүхий зардал-ашигт байдлын шинжилгээ (cost-effectiveness analysis) зэрэг энгийн физик хэмжүүрээр үр ашгийг үнэлэх нь зарим үед зохимжтой байдаг. Энэ тохиолдолд зардал нь аварсан буюу урьдчилан сэргийлсэн амь насаар илэрхийлэгдэнэ. Эрүүл мэндийн төслийн дотоод үнэ цэнийг хараат бус мэргэжилтнүүдийн баг тодорхойлж болно. Хяналтын хуудас     Төсөлд хамрагдах бүс нутагт хамаарах эмчилгээний ирээдүйн төлвийг таамаглах; Эрүүл мэндийн (epidemiological) мэдээллийн эх үүсвэрийн сонголтод онцгой анхаарна. Үйл ажиллагааны буюу урсгал зардлыг таамаглах; Эрүүл мэндийн дэд бүтцийн хөрөнгө оруулалтын үр ашиг болон амьдралын үнэ цэнийн хамаарлыг харгалзсаны дүнд шинжээчид нь статистик амьдралын үнэ цэнийн үнэлгээний аргачлалд анхаарлаа хандуулах ѐстой. 70
  • 71.
    3.4.5 Үйлдвэрлэлийн бүсба технологийн парк 3.4.5.1 Төслийн зорилтууд Эдгээр төрлийн төслүүдийн үндсэн зорилтууд: - Үйлдвэрлэл, худалдаа, үйлчилгээний бүсийн дэд бүтцийг байгуулах; - Нягтрал ихтэй, орчны бохирдолтой суурьшлын бүсээс үйлдвэрлэлийн байгууламжийг нүүлгэн шилжүүлэх; - Технологийн паркад бизнесийн байгууллагуудыг суурьшуулах; 3.4.5.2 Төслийн тодорхойлолт Хянах, судлах үндсэн үзүүлэлтүүд Үндсэн үзүүлэлтүүд (жишээ): - Талбайн хэмжээ, зорилтот сегмент ба бизнесийн байгууллагуудын тодорхойлолт; ААН-үүдийн тоо, хэмжээ, төрөл; Бусад худалдаа, үйлчилгээний төрөл; Техникийн үзүүлэлтүүд (жишээ): - Гадаад ба дотоод дэд бүтцийн байгууламж; Тоноглогдсон бүсийн талбай, байршил, нарийвчилсан бүтэц; Ач холбогдол бүхий техникийн элементүүд (мулти-медиа үйлчилгээний төв гэх мэт); 3.4.5.3 Бололцоо ба хувилбарын шинжилгээ Шинэ үйлдвэрлэлийн бүсэд шинээр суурьших ААН-н эрэлт ба шинээр байгуулагдах бизнесийн байгууллагуудын тоогоор төслийн бололцоо буюу үндэслэлийг баталгаажуулна. Хувилбарын шинжилгээ нь бодлогын бусад хувилбаруудыг харгалзана. Жишээ нь үл хөдлөх хөрөнгө худалдан авах, технологийн шинэчлэл хийх, шинэ үйлдвэрлэлийн шугамыг нэвтрүүлэхэд нь ААН-д олгох урамшууллууд гэх мэт. 3.4.5.4 Санхүүгийн шинжилгээ Санхүүгийн орох урсгал    Санхүүгийн гарах урсгал Газрын түрээс Агуулахын түрээс Үл хөдлөх хөрөнгийн үйлчилгээний борлуулалтын үнэ   Санхүүгийн шинжилгээг 20 жилээр тооцоолно. 71 Хөрөнгө оруулалтын зардал Ажиллах хүч Ерөнхий зардал Тоног төрөөрөмж Үйл ажиллагааны буюу урсгал зардал Дэд бүтцэд шаардлагатай бараа, үйлчилгээний зардал Засвар үйлчилгээ Техник, захиргааны ажилтнуудын зардал Ус, цахилгаан
  • 72.
    3.4.5.5 Эдийн засгийншинжилгээ Алслагдсан буюу орхигдсон бүс нутгийн эдийн засгийн хөгжилд таатай орчныг бүрдүүлэх нь энэ төрлийн хөрөнгө оруулалтын төслийн стратеги зорилт болдог. Зорилтын хэрэгжилтийн үзүүлэлтүүд: - Компаниудын бизнесийн ур чадвар, өрсөлдөх чадварыг дээшлүүлэх; Ажилтнуудыг дахин сургах; Үйлчилгээний байгууллагуудыг шилжүүлэн суурьшуулах, шинээр байгуулах; Бизнесийг эхлүүлэх (start-up cost) зардлын бууралт; Эдгээр сэдвүүдийг эдийн засгийн нөлөөллийн шинжилгээнд (economic impact analysis) бүрэн хамруулна. Зардал-үр ашгийн шинжилгээ: Үр ашиг ААН-н зах зээлд эзлэх байр суурийг бэхжүүлэх: - Зардал Тээврийн зардлын хэмнэлт Маркетингийн идэвхижүүлэлтийн нөлөө Үйлчилгээний өртгийн бууралт Технологийн дэвшил Бусад үйлчилгээнд хамруулах Санхүүгийн шинжилгээнд хамрагдаагүй бусад зардлыг харгалзан үзэх, үүнд: - Байгаль орчинд үзүүлэх сөрөг нөлөөллийн өртөг 3.4.5.6 Эрсдлийн үнэлгээ Хяналтын хуудас    Үйлдвэрлэлийн шинэ бүсэд шилжин суурьших ААН-н эрэлт; Шинээр байгуулагдах бизнесийн байгууллагын төрөл, тоо; Эдийн засгийн үндсэн үр ашиг нь үйлдвэрлэлийн шинэ бүсэд суурьшсан ба шинээр байгуулагдсан компаниудын үйл ажиллагааны зардлын хэмнэлт болно. 72
  • 73.
    Дөрөвдүгээр Бүлэг Үнэлгээний жишээнүүд Удиртгал Энэбүлэгт өмнөх бүлгүүдэд танилцуулсан аргачлалуудыг хэрэглэсэн 4 жишээг тайлбарлана. Үүнд: - Авто замын хөрөнгө оруулалт; Төмөр замын хөрөнгө оруулалт; Хаягдал ус цэвэрлэх байгууламжийн хөрөнгө оруулалт; Үйлдвэрлэлийн хөрөнгө оруулалт; Жишээнүүд нь төслийн бүрэн үнэлгээг хараахан илэрхийлэхгүй аргачлалуудын хэрэглээг тайлбарлах үндсэн зорилготой болно. бөгөөд өмнө дурдсан 4.1 Жишээ: Авто замын хөрөнгө оруулалт 4.1.1 Удирдтгал Замын хөдөлгөөний ачааллыг багасгах, агаарын бохирдлыг бууруулах нь төслийн үндсэн зорилтууд болно. 72 км урт замын төсөл нь замын хөдөлгөөний нягтрал буурснаас үүдэх авто замын осол аваарын бууралтад зохих хувь нэмэр оруулахаар төлөвлөгдсөн. Мөн цаг хэмнэлт нь төслийн нэг үндсэн үр ашиг болно. Жишээн дээр чөлөөт ба төлбөртэй авто замын хувилбарыг харуулав. 4.1.2 Замын хөдөлгөөний төлөв Замын хөдөлгөөний ирээдүйн төлөв нь хүн ам, ДНБ-ий өсөлт, үндэсний замын хөдөлгөөний төлвийн хамгийн сүүлийн шинэчилсэн судалгаан дээр тулгуурлана. Төсөлд шууд хамаарах бүс нутгийг ба түүний харьяа бүх замын сүлжээний хөдөлгөөнийг судалгаанд хамруулав. Зорчигч ба бараа тээвэрт харилцан адилгүй өсөлтийн хувийг ашиглав. Зохимжтой цагийн үнэ цэнийг (values of time or VOT) хэрэглэхийн тулд зорчигчийн эрэлтийг аялалын зорилгоор нь ангилав. Төсөлтэй ба төсөлгүй ирээдүйн хөдөлгөөний эрэлтийг “замын хөдөлгөөний загвар 55”-аар тооцоолов. Шинэ холболтын үр ашгийг үнэлэхийн тулд шинэ зам дээрхи нийт замын хөдөлгөөнийг 3 бүрэлдэхүүн хэсэгт ангилав. Үүнд: - - Хуучин маршрутаас шинэ замд шилжих хөдөлгөөн. Шилжин ирэх хөдөлгөөн нь өндөр хурд, бага түгжрэлээс үүдэх цагийн хэмнэлтээс үр ашиг хүртэнэ. Хоѐр дахь бүрэлдэхүүн хэсэг нь шинэ холболтоос үүдэн шинээр үүсэх замын хөдөлгөөн. Шинээр үүсэх хөдөлгөөний үр ашгийг аялалын ерөнхий өртгөөс (аялалын цаг, тээврийн хэрэгслийн урсгал зардал, замын хураамж) илүү гарах зорчигчийн төлөх-сонирхлын (willingness-to-pay) илүүдэл дүн буюу харилцагчийн илүүдлээр (consumer‟s surplus) илэрхийлнэ. Шинээр үүсэх хөдөлгөөн нь байгаль орчны бохирдол, дулаарал, дуу чимээ зэрэг гадаад нөлөөллөөс хамаарах өртгийг мөн бий болгоно. Эцэст нь одоо байгаа зам дээрхи хөдөлгөөний ачаалал буурснаар цаг хэмнэх, агаарын бохирдлыг багасгах, тээврийн хэрэгслийн урсгал зардлыг бууруулах бололцоо бүрдэнэ. Зарим зорчигчийн цагийн хэмнэлтийн үнэ цэнэ нь замын хураамжаас хэтрэхгүй учраас хураамжгүй замын хувилбар нь тээврийн хөдөлгөөний өсөлтөд хүргэнэ. Тээврийн эрэлтийг BAU (business as usual) сценартай тус тусад нь харьцуулсан тээврийн нэгдсэн зурвасын ба хувилбар тус бүрийн хувьд таамаглана. Суурь жил, ирэх 25 жил, түүний дараахь 1 73
  • 74.
    жилийн зам тээвэр,макро ба нийгэм-эдийн засаг, хүн амын тоо мэдээлэл нь загварчлалын үйл явцын үндсэн ач холбогдол бүхий орц болно. 25 жилээс хойшхи жилүүдийн тээврийн эрэлтийг тогтмол байна гэж үзнэ. Шинэ авто замын нээлтийн жилд хоѐр хотыг холбосон тээврийн зурвасын дагуух нийт ачаа тээвэр, зорчигчийн урсгалыг хүснэгт 4.1-д нэгтгэв. Үүнд: - BAU сценар дахь одоогийн сүлжээний замын хөдөлгөөн; - Хураамжгүй шинэ замын хөдөлгөөн (шилжсэн, шинээр үүссэн, одоогийн сүлжээнд үлдэх); - Замын хураамжтай шинэ замын хөдөлгөөн (шилжсэн, шинээр үүссэн, одоогийн сүлжээнд үлдэх). 4.1.3 Хөрөнгө оруулалтын зардал Шинэ авто замын санхүүгийн зардлын тооцоолол нь хүлээгдэж буй замын хөдөлгөөний эрэлтийн таамаглалтай зэрэгцэн хийгдэх хоѐр дахь алхам болно. Төслийн инженерүүдийн боловсруулсан замын хөрөнгө оруулалтын зардлыг хураамжтай зам, хураамжгүй зам гэсэн 2 хувилбараар боловсруулав. Замын хураамж авах дэд бүтэц, байгууламж, тоног төхөөрөмжөөс шалтгаалан хураамжтай замыг байгуулах санхүүгийн өртөг нь өндөр болно. Хөрөнгө оруулалтын зардлыг үндсэн төрлүүдээр нь (ажиллах хүч, бараа, үйлчилгээ, тоног төхөөрөмж гэх мэт) ангилав. Энэ нь санхүүгийн зардлыг шилжүүлгийн фактор ашиглан эдийн засгийн зардалд шилжүүлэх бололцоо олгоно (хүснэгт 4.3). Дэд бүтцийн теникийн ашиглалтын хугацаа нь 70 жил бөгөөд үлдэгдэл үнийг (residual value) анхны үнийн 40 хувиар тооцов. Авто зам нь 4 жилд баригдана. 74
  • 75.
    4.1.4 Эдийн засгийншинжилгээ Хураамжтай замын NPV(C) нь хураамжгүй замынхаас илүү болох нь урьдчилсан санхүүгийн шинжилгээгээр тогтоогдсон. Бүс нутгийн хөгжлийн өнцгөөс харахад санхүүгийн шалгуур нь шийдвэр гаргахад хүрэлцээгүй учраас эдийн засгийн шинжилгээ хийх хэрэгцээ тулгарна. Замын эдийн засгийн үнэлгээ нь төслөөс үүдэх нийгмийн үр ашиг, зардлыг харгалзана. Эдийн засгийн үнэлгээгээр илүү үр ашигтай гэж тооцоолсон төслийн хувилбар дээр санхүүгийн шинжилгээг хийнэ. Эхлээд санхүүгийн хөрөнгө оруулалт ба засвар, үйлчилгээний зардлыг төсөвт тохируулсан. Мөн ажиллах хүчний зардлыг нийгмийн даатгалын шимтгэл, орлогын албан татвараар (шилжүүлгийн факторыг ашиглан) тохируулав. Ажилгүйдэл өндөртэй энэ бүс нутгийн цалин, хөлсний шилжүүлгийн факторыг 0,6-аар тооцов. Санхүүгийн зардал нь эдийн засгийн зардлыг төлөөлөх учраас бусад зардлын хувьд шилжүүлгийн факторыг ашиглаж тохируулга хийгээгүй. Газрын үнийн шилжүүлгийн фактор 1 болно. Нэгж бүрэлдэхүүн хэсгийн (ажил, тоног төхөөрөмж, цахилгаан гэх мэт, доорхи хүснэгийг харах) шилжүүлгийн факторын жигнэсэн дунджаар тооцоолсон тусгай шилжүүлгийн факторыг хөрөнгө оруулалт, засвар, үйлчилгээний зардал ба хураамжийн системд ашиглав. Түүхий эдийн стандард шилжүүлгийн фактор нь 0,98-тай, харьцуулах нийгмийн хямдруулалтын хувь нь 5,5%-тай тус тус тэнцэнэ. Төслийн эерэг нөлөөллүүд: - Шинэ авто замаар зорчигчдийн хувьд цаг хэмнэх, тээврийн хэрэгслийн зардлыг бууруулах эерэг үр ашигтай боловч шинэ замд орох гарах зай урт учраас эдгээр хэмнэлт нь нийт зардлаас бага байна. Шинэ замд шилжих хөдөлгөөнөөс үүдэн хуучин замын сүлжээний хэрэглэгчийн хувьд хөдөлгөөний хурд нэмэгдэх, замын ачаалал багасж улмаар цаг хэмнэх үр ашигтай. Төслийн үр ашгийн бүрэлдэхүүн хэсгүүд: a) Хэрэглэгчийн илүүдэл (consumer‟s surplus); b) Авто замын операторын бохир илүүдэл (gross producer‟s surplus of the motorway operator); c) Замын зорчигчийн илүүдэл (road users producer‟s surplus); d) Засгийн газрын төсвийн орлогод орох өөрчлөлт (шатахууны татвар); e) Байгаль орчны цэвэр үр ашиг; f) Осол аваарын бууралт; Дээрхи үр ашгуудыг дараахь байдлаар тооцоолов. Үүнд: a) Хэрэглэгчийн илүүдэл (Consumer‟s surplus): Загварын дагуу зорчигч ба ачаа тээвэр нь тээврийн хэрэгслийн үйл ажиллагааны зардал (vehicle operating cost or VOC) дээр үндэслэн явах маршрутаа сонгоно. VOC нь хүн тээврийн хэрэгслийн 75
  • 76.
    хувьд шатахуун, тос,хураамж харин ачаа тээврийн хэрэгслийн хувьд шатахуун, тос, даатгал, жолоочын цалин болно. Хэрэглэгчийн илүүдэл нь аялалын өртгөөс хамаарна. Шинэ хуучин аль ч маршрутын аялалын цаг богиносно. Аялалын зорилгоос хамаарч бизнесийн, хувийн аялалын ба бусад гэсэн 3 өөр аялалын цагийг хэрэглэв. Ачаа тээврийн хувьд зөвхөн нэг аялалын цагийг ашиглав. BAU, хураамжтай мөн хураамжгүй авто зам гэсэн ангиллаар хуваасан үйл ажиллагааны дундаж өртөг ба аялалын цагийг хүснэгт 4.4-д харуулав. Замын хураамж болон нэмэгдэх аялалын цагаас хамаарч нийт сүлжээний тээврийн хөдөлгөөний үйл ажиллагааны зардал нэмэгдэх боловч хэмнэсэн цагийн үр ашиг нь энэ төрлийн зардлын өсөлтөөс илүү байна. Аялал бүрийн хүлээгдэж буй өртөг нь BAU-тай харьцуулсан хувилбар бүрийн хувьд бага байна. Хүснэгт 4.5 нь харилцагчийн илүүдлийн тооцооллыг харуулав. Одоогийн сүлжээн дэх ерөнхий өртгөөс хувилбар бүрийн хүлээгдэж буй өртгийг хасаж нэгжийн үр ашгийг тооцоолно. Харин шинээр үүсэх хөдөлгөөний нэгжийн үр ашиг нь хувилбарын нэгжийн үр 3 ашгийн 50 хувьтай тэнцэнэ. Нэгжийн үр ашгийг хувилбарын нийт багтаамжтай үржүүлж 4 хэрэглэгчийн нийт үр ашгийг тооцоолно. b) Хүснэгт 4.6-д хурдны авто замын операторын үйлдвэрлэгчийн илүүдлийн тооцооллыг харуулав. c) Авто машин үйлдвэрлэгчийн илүүдэл: Авто машиний элэгдэл хорогдлын нийт дүнгээс хүснэгт 4.4-д заасан VOC-ийг хасж мэдрээгүй (nonperceived) үйл ажиллагааны зардлыг тооцоолно. d) Засгийн газрын цэвэр орлого: Шинэ хурдны авто замд орох гарах маршрут уртсах учир засгийн газрын төсөвт шатахууны татвар хэлбэрээр орж ирэх орлого нэмэгдэнэ (хүснэгт 4.7). e) Байгаль орчны цэвэр үр ашиг: Өсөн нэмэгдэх нийт тээврийн хөдөлгөөний улмаас утааны ялгарал нэмэгдэх боловч нягт хүн ам суурьшсан бүсээс сийрэг суурьшсан бүсэд хөдөлгөөнийг шилжүүлэх нь гадаад орчны эерэг нөлөөлөлд хүргэнэ. Нийт шатахуун зарцуулалт ба CO2-ийн ялгаруулалт гэсэн 2 үзүүлэлтийг хэрэглэнэ. Хүн ам нягт ба сийрэг суурьшсан бүс нутгийн агаарын бохирдлын нөлөөллийг мөнгөжүүлэхэд ялгавартай хандах бөгөөд эхнийх нь дүн өндөр байна. Харьцуулалтын мөнгөн дүнг ҮХШХ-ны зөвлөсөн дүнгээр байхгүй бол Монгол Улс ба олон улсад хэрэглэж буй жишиг дүнгээр тогтооно. f) Осол, аваарын бууралт: Европын улсуудын хувьд орон нутгийн зам ба хурдны зам дээрхи осол аваарын хувь 0,32 ба 0,09 байдаг гэж тооцоолбол урьдчилан сэргийлсэн буюу буурах осол, аваарын үр ашгийг олон улсад хэрэглэж буй жишиг дүнгээр тооцоолно. 3 Жишээ нь зорчигчийн хувь хураамжгүй хувилбарын нэгжийн буюу нэг аялалын үр ашиг нь (9.43 – 7.95) = 1.48 ба шинээр үүсэх хөдөлгөөний нэгжийн үр ашиг нь (9.43 – 7.95)/2 = 0.74. 4 Жишээ нь дээрхи 2 тохиолдлын харилцагчийн илүүдэл нь 1.48 Euro*32.2 million trips = 47.6 Millions of Euros ба 0.74 Euro*0.8 million trips = 0.6 Millions of Euros тус тус болно. 76
  • 77.
    Хүснэгт 4.9 ба4.10-д хоѐр хувилбарын эдийн засгийн шинжилгээ буюу нийгмийн үр ашиг, зардлын тооцооллыг нэгтгэж харуулав. Хоѐр хувилбарын эдийн засгийн өнөөгийн цэвэр үнэ ба өгөөжийн хувь: Хураамжгүй хурдны авто зам нь гүйцэтгэлийн өндөр үзүүлэлттэй болхыг эдийн засгийн шинжилгээний үр дүн харуулж байна. Хураамжтай хувилбартай харьцуулахад хурдны зам дээрхи хөдөлгөөн нэмэгдэх бөгөөд улмаар энэ нь зорчигчдод ч мөн нийгэмд ч нэмэлт үр ашиг авчирна. Хэрэв хураамж авбал эхний жилүүдийн замын хөдөлгөөн ашиглалтын үр ашигтай төвшинд хүрэхгүй. Замын ачаалалтай хэсгүүдэд хураамж суутгаснаар хөдөлгөөнийг өөр маршрутад шилжүүлж болох боловч энэ нь амьжиргааны төвшинд эерэгээр нөлөөлөхгүй. Иймд хөрөнгө оруулалтын үр ашгийг дээд цэгт хүргэх үүднээс хураамжмйн системийг дараагийн шатанд нэвтрүүлэх талаар хойшлуулах нь зүйтэй. 77
  • 78.
    4.1.5 Сценарийн шинжилгээ Дараахьхувьсагчуудын дүнгийн 20 хувийн өөрчлөлтийг харгалзсан хувилбар тус бүрээр хоѐр сценарио шинжилгээ хийв. Үүнд: - Цаг хэмнэлтийн дүнг бууруулах; Тээврийн хэрэгслийн үйл ажиллагааны зардлыг өсгөх; Хөрөнгө оруулалтын зардлыг өсгөх; Хураамжгүй хурдны авто замын гүйцэтгэл тогтвортой байгааг мөн түүнчлэн цагийн хэмнэлт болон бусад гадаад нөлөөллийн хувьсагчийн өөрчлөлт нь хувилбаруудын эрэмбэд өөрчлөлт оруулахгүй болохыг шинжилгээ харуулж байна. Мэдрэмжийн шинжилгээг доорхи хүснэгтэд харуулав. 4.1.6 Эрсдлийн үнэлгээ Мэдрэмжийн тестээр чухал хувьсагч болох нь тогтоогдсон хөрөнгө оруулалтын зардал дээр эрсдлийн үнэлгээг хийв. Сонгосон хувилбар буюу хураамжгүй хурдны зам дээр зөвхөн эдийн засгийн гүйцэтгэлийн хэмжүүрт (economic rate of return) эрсдлийн үнэлгээг хийв. Дараахь дүнгийн зааг бүхий гурван талт магадлалын тархалтыг авав. Үүнд: хөрөнгө оруулалтын зардал нь хүлээгдэж буй дүнгийн 20%-иас дээш буухгүй ба дээд тал нь түүнээс 2 дахин их байна. Эдгээр суурь таамаглал нь ижил төстэй төслийн тоон мэдээлэл дээр суурилсан. Зураг 4.1-д магадлалын тархалтыг харуулав. 78
  • 79.
    Төслийн эдийн засгийнөгөөжийн хувь нь (ERR) нь 5,5%-иас буух магадлал 44,9% буюу төсөл эрсдэлтэй болхыг дараахь зургуудад дүрсэлсэн шинжилгээний үр дүн харуулж байна. 4.1.7 Санхүүгийн шинжилгээ Нийгэм-эдийн засгийн хувьд давуу болох нь тогтоогдсон хураамжгүй хурдны замын хувилбар дээр санхүүгийн шинжилгээг хийв. Санхүүжилтийн эх үүсвэрийг дараахь байдлаар тодорхойлов. Үүнд: - ЕХ-ны буцалтгүй тусламж €129,000,000; - Төсвийн эх үүсвэр €723,000,000; Санхүүгийн гүйцэтгэлийн үзүүлэлтүүд: - Санхүүгийн өнөөгийн цэвэр үнэ (хөрөнгө оруулалт) буюу Financial Net Present Value (investment) FNPV(C): - Санхүүгийн өгөөжийн хувь (хөрөнгө оруулалт) Financial Rate of Return (investment) FRR(C): - Санхүүгийн өнөөгийн цэвэр үнэ (хөрөнгө) 79 - €755,593,000 - 5.0%
  • 80.
    - Financial Net Presentvalue (capital) FNPV(K): Санхүүгийн өгөөжийн хувь Financial Rate of Return (capital) FRR(K): - €641,616,000 - 4.6% Нийгэм-эдийн засгийн өнцгөөс харсан эдийн засгийн шинжилгээгээр хураамжгүй хурдны авто замын хувилбар нь давуу сонголт болох нь тогтоогдсон. Гэвч санхүүгийн өнцгөөс харвал зардлын нэг хэсгийг эргүүлэн нөхөх эсвэл хувийн хөрөнгө оруулагчийг төсөлд оролцуулах замыг эрэлхийлэх нь сонирхол татаж байна. Нэг талаар, хураамжийн системийн давуу болон сул талыг мэдсэнээр хураамжийн давуу талыг түүнээс үүдэх нийгмийн үр ашгийн алдагдалтай тэнцвэржүүлж болно. Өөрөөр хэлбэл харилцан адилгүй хураамжтай эрэлтийн загварчлалаар үр ашиг нь нийгмийн зардлаас давах хураамжийн хэмжээг тооцоолж болно. Нөгөө талаар, сүүдрийн хураамжийг (shadow tolling) нэвтрүүлснээр төсөлд орж ирэх хувийн хөрөнгийн урсгалыг баталгаажуулна (доорхи хүснэгтийг харах). Гэхдээ тээврийн хөдөлгөөнийг шилжүүлснээр үүдэх нийгмийн нэмэлт өртөг нь төсвийн хөрөнгийг хэмнэх хувийн хөрөнгө оруулалтын үр ашгаас бага байх бүрт харьцуулалтад хэрэглэх төсвийн хөрөнгийн маргинал өртгийг зөв сонгож тооцоолох хэрэгцээ тулгарна. Гурав дахь сонголт нь концессийн гэрээгээр дэд бүтцийн зургийг хийх, барих, санхүүжүүлэх, засвар үйлчилгээ хийх эрхийг хувийн хөрөнгө оруулагчид олгож болно. Үүнд төслийг төлөвлөсөн хугацаанд барихад болон төслийн удирдлагын үйл явцыг сайжруулахад онцгой анхаарах шаардлагатай. Шигтгээ: Сүүдрийн хураамж Тээврийн дэд бүтцийн хувийн хөрөнгө оруулагчдад тэдний зардлыг эргүүлэн нөхөх орлогын урсгал зайлшгүй шаардагддаг. Орлогын урсгал байхгүй бол хувийн хэвшил нь үйлчилгээний гэрээгээр төслийг санхүүжүүлэх, засвар үйлчилгээг хийх, ажиллуулах сонирхолгүй байж болно. Энэ гэрээний хүрээнд хөрөнгө оруулагч нь замын хөдөлгөөнөөс хамаарах төлбөрийг буюу сүүдрийн хураамжийг гэрээний хугацаагаар авдаг. Сүүдрийн хураамжийн аргачлал нь уламжлалт төлөөд-зорч гэсэн аргачлалын нэг хувилбарт хамаарна. Энэ аргачлалаар хөрөнгө оруулалтын зардал, тээврийн хөдөлгөөний эрсдлийг хувийн хэвшилд шилжүүлэх бөгөөд энэ нь Төр Хувийн хэвшлийн Түншлэлд хамаарна (хавсралт G-г харах). Зорчигч шууд төлбөр хийхгүй боловч нийт тээврийн урсгал дээр суурилсан гэрээний төлбөрийг хувийн хэвшил авна. 80
  • 81.
  • 82.
  • 83.
  • 84.
  • 85.
  • 86.
  • 87.
  • 88.
    4.2 Жишээ: Төмөрзамын хөрөнгө оруулалт 4.2.1 Оршил Төслийн зорилтуудыг хэрэгжүүлэхийн тулд засгийн газар хөрөнгө оруулалтын хэд хэдэн хувилбарын бололцоог судлахаар шийдвэрлэсэн. Урьдчилсан байдлаар төслийг хэрэгжүүлэхэд техникийн саад бэрхшээлгүй болох нь тогтоогдсон. Хөрөнгө оруулалтын өртгийн ба тээврийн урьдчилсан судалгаан дээр суурилсан техникийн хувилбаруудын урьдчилсан үнэлгээ нь одоогийн сценар буюу BAU сценартай харьцуулах хоѐр хувилбарыг сонгох бололцоог олгоно. Үүнд: - BAU сценар: Төмөр замын дэд бүтэц өөрчлөгдөхгүй. Авто замын түгжрэл, агаарын бохирдол ба байгаль орчны хохирол хэвээрээ байна. Хувилбар 1: Нийгэм-эдийн засгийн хувьд томоохон өөрчлөлтөд хүргэхгүй хязгаарлагдмал хөрөнгө оруулалтын шийдэл; Хувилбар 2: Одоогийн төмөр замын дэд бүтцийг бүрэн шинэчлэх хувилбар; Одоогийн зорчигч ба ачаа тээврийн төмөр замын үйлчилгээг 2 хувийн компани гүйцэтгэдэг ба дэд бүтцийг засгийн газар эзэмшдэг. Менежментийг төрийн өмчит компани хариуцдаг. 4.2.2 Замын хөдөлгөөний шинжилгээ Хувилбар 1 нь зорчигч ба ачаа тээврийн бага зэргийн өсөлтөд хүргэнэ. Харин 2 дугаар хувилбар нь тээврийн эрэлтийн өсөлтөд дорвитой нөлөөлнө. Дараахь хүснэгтэд 2 хувилбарын ачаа тээврийн үйлчилгээний урьдчилсан таамаглалыг харуулав. 4.2.3 Хөрөнгө оруулалтын зардал Төмөр замын шинэчлэлийн хөрөнгө оруулалтын тооцоолол нь үнэлгээний 2 дахь алхам болно. Хөрөнгө оруулалтын зардлын урьдчилсан таамаглалыг төслийн инженерүүд боловсруулсан болно. 88
  • 89.
    4.2.4 Эдийн засгийншинжилгээ Хувилбаруудын үр ашгийг дараахь өгөгдлүүдээр хэмжив. Үүнд: - Одоогийн зорчигчдын цагийн хэмнэлт; Шинэчлэлийн үр дүнд тээврийн зардлын маргинал өртөг буурснаас үүдэх ачаа тээврийн зардлын бууралт; Авто замаас төмөр замд шилжсэн зорчигч тээврийн цагийн болон үйл ажиллагааны зардлын хэмнэлт; Агаарын бохирдлын бууралт; CO2-ийн бууралт; Осол аваарын бууралт; Хоѐр хувилбарын эдийн засгийн үр ашгийг дараахь категоруудад хуваана. Үүнд: - Хэрэглэгчийн илүүдлийн өөрчлөлт (changes in consumer‟s surplus); Үйлдвэрлэгчийн (төмөр замын оператор) ба ашиглагчийн илүүдлийн өөрчлөлт; Гадаад сөрөг нөлөөллийн бууралт (агаарын бохирдол, CO2, осол аваар); Хүснэгт 4.16-д зорчигч ба ачаа тээврийн аялал бүрт ногдох ерөнхий зардлыг харуулав. 4.2.4.1 Харилцагчийн илүүдэл Хөдөлгөөний ачааллаас ашиг хүртэх одоогийн авто замын хэрэглэгч болон төмөр замын бүх хэрэглэгчдийн хувьд зорчигчийн харилцагчийн илүүдэлд “50%-ийн зарчим” үйлчилнэ. Дараахь хүснэгтэд хөдөлгөөний ачааллыг болон нэгжийн үр ашгийг хувилбар тус бүрээр харуулав. Жишээ 89
  • 90.
    нь хувилбар 1-ийнхэрэглэгчийн нэгжийн үр ашиг нь (€45.2 - €41.7) = €3.6 харин нийт үр ашиг нь 3.6 Euro * 6.3 сая зорчигч = 22.6 сая евро тус тус болно. Харин хувилбар 2-т төмөр замын ачаа тээврийн хэрэглэгчийн нэгжийн үр ашиг нь (€11.6 - €6.5) = €5.1болно. Тэгвэл хувилбар 2-ын тээврийн төрлийн шилжилтийн нэгжийн үр ашиг нь (€45.2 - €39) = €6.2/2 = €3.1болно. 4.2.4.2 Үйлдвэрлэгчийн илүүдэл ба засгийн газрын цэвэр ашиг Хөрөнгө оруулалтын санхүүгийн зардлыг төсвийн бүрэлдэхүүн хэсгээр тохируулав. Жишээ нь нийгмийн даатгалын шимтгэл ба орлогын албан татварыг хасаж ажиллах хүчний зардлыг тохируулав. Тухайн бүс нутгийн ажилгүйдлийн харьцангуй өндөр төвшинг харгалзсан ажиллах хүчний зардлыг шилжүүлгийн фактор 0,74-өөр тохируулав. Хөрөнгө оруулалт ба засвар үйлчилгээний зардал, хураамж, үлдэгдэл үнэд (residual value) нэгж бүрэлдэхүүн хэсгийн шилжүүлгийн факторын жигнэсэн дунджаар тодорхойлсон тусгай шилжүүлгийн факторыг ашиглав. (дараахь хүснэгтийг харна уу) 2 хувилбарын эдийн засгийн гүйцэтгэлийг доорхи хүснэгтэд харуулав. Зардал, үр ашгийн нарийвчилсан урсгалыг хүснэгт 4.21 ба 4.22-д тус тус харуулав. Харьцуулалтын нийгмийн хямдруулалтын хувь 5,5% болно. Эдийн засгийн хувьд аль ч хувилбар бололцоотой болхыг дүн харуулж байна. Хувилбар 1-тэй харьцуулах 2 нь илүү өндөр өнөөгийн цэвэр ашгийн үзүүлэлттэй байга боловч арай бага эдийн засгийн өгөөжийн хувьтай байна. 90
  • 91.
    4.2.5 Сценарийн шинжилгээ Эдийнзасгийн шинжилгээний бат бөх байдлыг үнэлэхийн тулд хоѐр хувилбар дээр хөрөнгө оруулалтын зардал 30%-иар өсөх, тээврийн эрэлт 30%-иар багасах гэсэн пессимист сценарийн шинжилгээг боловсруулав. Өнөөгийн цэвэр үнэ ба эдийн засгийн өгөөжийн хувьд үзүүлэх хувилбаруудын нөлөөллийг дараахь хүснэгтэд харуулав. 2 хувилбарын эрэмб өөрчлөгдөхгүй. 4.2.6 Эрсдлийн үнэлгээ Мэдрэмжийн шинжилгээгээр ач холбогдолтой болох нь тогтоогдсон хөрөнгө оруулалтын зардал дээр эрсдлийн үнэлгээг хийв. Үнэлгээг сонгосон хувилбар 2 дээр гүйцэтгэв. Ижил төстэй төслийн тоо мэдээлэл хомс байсан учраас 3 цэгтэй гарвалжингийн магадалын тархалтыг авав. Төмөр замын хөрөнгө оруулалтын харьцангуй өндөр өөдрөг (optimist) үзлийг саармагжуулах үүднээс өндөр пессимист сценарийг сонгов. Зураг 4.5 ба 4.6-д харуулсан эрсдлийн үнэлгээний үр дүн маш эерэг байна. Сонгосон хувилбарийн эдийн засгийн өгөөжийн хувь (ERR) 5,5%-иас бага байх магадлал ердөө 7% байна. 91
  • 92.
    4.2.7 Санхүүгийн шинжилгээ Хөрөнгөоруулалтын санхүүгийн шинжилгээг 30 жилээр тооцоолов. Хөрөнгө оруулалтын үнэлгээний үеэс дараахь хөрөнгө оруулалтын үлдэгдэл үнийг 50 %-иар тооцоолов. Төслийг 3 жилд барьж байгуулах бөгөөд 4 дэх жилээс ашиглалтад оруулна. Нийт хөрөнгө оруулалтын дүн €1,660,000,000 харин засвар үйлчилгээний зардал бүх хугацаанд €26,800,000 тус тус болно. Санхүүгийн орох урсгал нь үйлчилгээний операторын хураамжаас хамаарна. Хомсдол ба тээврийн маргинал зардлыг тооцоолсны үндсэнд хураамжийн хэмжээг тогтооно. Километер бүр дэх зорчигчийн ба ачаа тээврийн чингэлгийн хураамж 1,4 ба 2,1 евро тус тус болно. Төлөвлөсөн санхүүжилтийн эх үүсвэрүүд: - ЕХ-ны буцалтгүй тусламж => €182,000,000; - Төсвийн хөрөнгө оруулалт => €1,478,000,000; Санхүүгийн гүйцэтгэлийн үзүүлэлтүүд: - Санхүүгийн өнөөгийн цэвэр үнэ (хөрөнгө оруулалт) Financial Net Present Value (investment) FNPV(C) - Санхүүгийн өгөөжийн хувь (хөрөнгө оруулалт) Financial Rate of Return (investment) FRR(C) - САнхүүгийн өнөөгийн цэвэр үнэ (хөрөнгө) Financial Net Present Value (capital) FNPV(K) - Санхүүгийн өгөөжийн хувь (хөрөнгө) Financial Rate of Return (capital) FRR(K) 92 €-1,320,810,000 -2.5% €-1,156,029,000 -1.9%
  • 93.
  • 94.
  • 95.
  • 96.
  • 97.
  • 98.
    4.4 Жишээ: Усцэвэрлэх байгууламжийн хөрөнгө оруулалт 4.4.1 Төслийн тодорхойлолт Хүн амын жилийн өсөлт нь 0,15%, 725.000 оршин суугчтай хотын ус цэвэрлэх байгууламжаас төсөл бүрдэнэ. Цэвэрлэсэн техникийн усыг үйлвэрлэлийн ба газар тариалангийн бүсэд түгээх дэд бүтэц бүрдсэн. Гүний усны худгаар ундны усны нийлүүлэлтийг хангаж байгаа бөгөөд гидро-геологийн судалгаагаар ундны усны төвшин байнга багасаж байгаа. Хотын захиргаа ба хувийн хэвшлийн хооронд байгуулагдах төр хувийн хэвшлийн түншлэлийн нэг хэлбэр болох 30 жилийн BOT (Buildown-transfer) гэрээгээр төслийг хэрэгжүүлнэ. Усны эрэлт Нэг хүнд ногдох 190л/өдөр усны хэрэглээгээр (бохирын шугамын алдагдал 20%) цэвэрлэх усны нийт багтаамжийг тодорхойлов. Усны бодит хэрэглээ: Бодит хэрэглээ=нийт нийлүүлэлт – алдагдал Усны эрэлтийн тооцоолол - Цэвэр усны нийлүүлэлт: 725,000 оршин суугч x 190 л/х.ө.х 365 / 1,000 = 50.3 Mm3/y - Байгууламжид цэвэрлэх бохир ус: 50.3 Mm3/y x 0.80 = 40.3 Mm3/y - Үйлдвэрийн хэрэглэгчдэд нийлүүлэх цэвэрлэсэн буюу техникийн ус: 12.1 Mm3/y - Газар тариалангийн усалгаанд хэрэглэх усны эрэлт: 3,500 he x 4,500 m3/ha y = 15.75 Mm3/y Нийт дахин ашигласан ус нь 27,9 Mm3/y буюу нийт цэвэрлэсэн усны 70% болно. 98
  • 99.
    Эрэлтийн динамик Хотын оршинсуугчид: - Бүс нутгийн хүн амын жилийн өсөлт: 0,06%; - Шилжих урсгалын жилийн өсөлт: 0.09%; - Үр дүнд CBA-д жилийн дундаж өсөлтийг 0,15%-иар тооцоолов. Үйлдвэрлэлийн усны эрэлтийг жил бүр -0,3%-иар буурна гэж тооцов. Газар тариалангийн усжуулах системийн усны эрэлтийг жил бүр -0,5%-иар буурахаар мөн таамаглав. Судалгааг хялбаршуулах үүднээс эрэлтийн өөр динамикийг хэрэглээгүй болно. 4.4.2 Санхүүгийн шинжилгээ Дэд бүтцийг эзэмшигч хотын захиргаа нь төслийг хэрэгжүүлэгч буюу оператороос (BOT гэрээний хувийн түнш) өөр боловч нэгдсэн санхүүгийн шинжилгээг боловсруулав. BOT-ийн дагуу хөрөнгө оруулалтын шинжилгээг 30 жилээр тооцоолов. Шинжилгээнд тогтмол үнэ, шаардлагатай бол үнийн өөрчлөлтүүдийг хэрэглэв. Жилийн инфляцийг 1,5%-иар тооцоолж, зарим бараа үйлчилгээний үнийн өөрчөлтийг харгалзав. Санхүүгийн бодит хямдруулалтын хувийг 5% байхаар тооцов. Хэрэглээний хугацаа нь богино буюу амьдралын мөчлөг харьцангуй богино бүрэлдэхүүн хэсгүүдийн зардлын тооцооллыг хялбаршуулах зорилгоор эдгээр зардлыг төслийн 20 дахь жилд нөхөн зарцуулахаар тооцоолов. Хувийн түнш нь нийт хөрөнгө оруулалтын зардлын 49%-ийг (€49,410,000, 50%ийг зээлээр харин 50%ийг өөрийн хөрөнгөөр) санхүүжүүлнэ. Зээлийн хугацаа нь 10 жил бөгөөд жилийн хүү нь 5%. Ашиглалтын хугацаа нь богино бүрэлдэхүүн хэсгүүдийн 20 дахь жилд хийх нөхөн санхүүжилтийг хувийн түнш (50% зээл, 50% өөрийн хөрөнгө) хариуцна. 99
  • 100.
    Төслийг хэрэгжүүлэхэд шаардагдахнэмэлт урсгал зардлууд:       Ажиллах хүч: 14 мэргэжлийн ажилтан (нэг хүн 38.000 евро/жил); 32 мэргэжлийн бус ажилтан (нэг хүн 26.600 евро/жил); Ажиллах хүчний зардлын жилийн бодит өсөлт 0,4%; Эрчим хүчний зардал: насос 0,017kWh/m3; цэвэрлэх байгууламжийн цахилгааны хэрэглээ 0,024kWh/m3; Эрчим хүчний үнийн жилийн өсөлт 0.9%; Бараа: жилийн өртөг 0,08евро/м3 цэвэрлэсэн ус; Үнийн бодит өсөлт 0,9%/жил; Шууд хэрэглэх бараа, үйлчилгээний зардал: тогтмол зардал 1,299,000евро/жил; хувьсах зардал 0,1евро/m3 цэвэрлэсэн ус; Засвар, үйлчилгээний зардал: 715.000евро/жил; Лаг цэвэрлэх зардал: жилийн €0.093/m3 цэвэрлэсэн ус; жилийн өсөлт 0,5%; Төслийн нэгдсэн санхүүгийн үнэлгээ нь төслийн цэвэр мөнгөн урсгалыг бодитойгоор харуулах бололцоог олгоно. Орлогын тооцоолол Ирээдүйн орлогыг суурь жилүүдтэй харьцуулж дараахь байдлаар тооцоолов: - Ус цэвэрлэх үйлчилгээ: 50.3 Mm3/year* €0.283 per m3 * 0.950 = 13,523,000€/y; - Үйлвэрлэлд ус нийлүүлэх үйлчилгээ: 12.1 Mm3/year * €0.480 per m3 * 0.995= 5,779,000€/y; - Усжуулалтын усан хангамж: 15.75 Mm3/year * €0.030 per m3 * 0.87 = 411,000€/y; - Хэрэглэгчийн төлбөр төлөөгүйгээс учрах алдагдлыг мөн тооцоолов. Үүнд хотын ус хангамж: 5%, үйлдвэрлэлийн ус хангамж: 0.5%, Усжуулалтын үйлчилгээ: 13%; Дээрхи орлого дээр мөн 30 жилийн дараахь хөрөнгийн үлдэгдлийн үнэ болох €6,030,000 нэмэгдэнэ. Санхүүгийн гүйцэтгэлийн үзүүлэлтүүд:     Санхүүгийн өнөөгийн цэвэр үнэ (хөрөнгө оруулалт) Financial Net Present Value (investment) FNPV(C) Санхүүгийн өгөөжийн хувь (хөрөнгө оруулалт) Financial Rate of Return (investment) FRR(C) Санхүүгийн өнөөгийн цэвэр үнэ (хөрөнгө) Financial Net Present Value (capital) FNPV(K) Санхүүгийн өгөөжийн хувь (хөрөнгө ) Financial Rate of Return (capital) FRR(K) 100 €–29,083,911 1.9% €–8,357,81291 3.7%
  • 101.
    Санхүүгийн тогтвортой байдлынхувьд төслийн нэгдсэн мөнгөн урсгал нь байнга эерэг үзүүлэлттэй байна. Хэрэв цэвэрлэсэн m3 усны үйлчилгээний хураамж 0,02 евро бол төрийн ба хувийн хөрөнгийн санхүүгийн ашигт байдал дараахь үзүүлэлттэй гарч байна. Үүнд: - ТХХТ-ийн төрийн түнш FNPV(Kg) €3,491,00892 FRR(Kg) 7.8% - ТХХТ-ийн хувийн түнш FNPV(Kp) €5,139,536 FRR(Kp) 6.5% 4.4.3 Эдийн засгийн шинжилгээ Санхүүгийн шинжилгээн дэх үнийг эдийн засгийн шинжилгээнд шилжүүлэхийн тулд тусгай ба стандард (SCF=0.96) шилжүүлгийн факторыг тус тус хэрэглэв. Хүснэгт 4.41 Эдийн засгийн шинжилгээний шилжүүлгийн факторууд Зардлын төрөл Тэмдэглэл CF Ажиллах хүч: мэргэжлийн 1,0 Хөдөлмөрийн зах зээлийн бүрэн өрсөлдөөнтэй гэж тооцов. Ажиллах хүч: мэргэжлийн бус 0,6 Өрсөлдөөнтэй бус хөдөлмөрийн зах зээлийн сүүдрийн хөлс. (Шилжүүлгийн факторыг сүүдрийн хөлс SW-р тооцоолно. SW = FW x (1u) x (1-t), u нь ажилгүйдлийн хувь, t нь нийгмийн даатгал ба татварын суутгалын хувь тус тус болно. Жишээн дээр u=12% ба t=32%, учраас CF (SW/FW) 0.60-тай тэнцэнэ. Газар 1,34 Стандард шилжүүлгийн факторыг орон нутгийн шилжүүлгийн үнээр (40%-иар өндөр) үржүүлэх. Газар шорооны ажил 0,64 10% мэргэжлийн, 90% мэргэжлийн бус ажилтнууд Барилгын бараа, материал 0,83 55% үйлдвэрлэсэн бараа, 45% барилгын материал Түрээс 0,68 3% мэргэжлийн, 37% мэргэжлийн бус, 30% цахилгаан, 20% засвар үйлчилгээ, 10% ашиг (CF=0) Тээвэр 0,68 3% мэргэжлийн ажиллах хүчин, 37% мэргэжлийн бус ажиллах хүчин, 30% цахилгаан эрчим хүч, 20% үйл ажиллагааны зардал, 10% ашиг (CF = 0) Төслийн судалгаа, туршил, бусда ерөнхий зардлууд 1,0 100% мэргэжлийн ажил Тоног төхөөрөмж 0,82 50% орон нутгийн үйлдвэрлэл (SCF), 40% импорт (CF=0.85), 10% ашиг (CF=0) Барилгын материал 0,85 75% орон нутгийн үйлдвэрлэл (SCF), 15% импорт (CF=0.85), 10% ашиг (CF=0) Цахилгаан, түлш 0.96 SCF Засвар үйлчилгээ 0,71 15% мэргэжлийн ажиллах хүч, 65% мэргэжлийн бус ажиллах хүч, 20% бараа Тусгай материал 0,8 30% орон нутгийн үйлдвэрлэл (SCF), 60% импорт (CF=0.85), 10% ашиг (CF=0) Бусад бараа, техникийн үйлчилгээ 0,71 10% мэргэжлийн ажиллах хүч, 60% мэргэжлийн бус ажилтнууд, 30% үйлдвэрлэлийн бүтээгдэхүүн 101
  • 102.
    Лаг цэвэрлэх 0,8 30% мэргэжлийнбус ажилтнууд, 20% тээвэр, 50% орон нутгийн үйлчилгээ (SCF) Захиргаа, санхүү, эдийн засгийн үйлчилгээ 1,0 100% мэргэжлийн ажиллах хүч Хөрөнгө оруулалтын зардлаас үлдэх үнэ (Resulting value of investment costs) 0,76 Хөрөнгө оруулалтын зардлын төрлөөр жигнэсэн Нөхөн орлуулах өртөг 0,82 100% машин тоног төхөөрөмж, үйлдвэрлэлийн бараа ХАА-н бүтээгдэхүүн 0,85 68% төрөл бүрийн ХАА-н орц (CF=SCF), 2% мэргэжлийн ажилтан, 30% мэргэжлийн бус ажиллах хүч Эдийн засгийн шинжилгээнд харгалзан үзэх сөрөг гадаад нөлөөлөлд дуу чимээ, үнэр, газар орчны үзэмжийн бууралт хамаарна. Гэхдээ төслийн нийт сөрөг нөлөөлөл харьцангуй багаар тооцоологдсон. Ус цэвэрлэх байгууламжийн нэг гадаад нөлөөлөл нь тус байгууламжтай ойролцоо байрших үл хөдлөх хөрөнгийн түрээсийн болон газрын үнийн бууралтаар (hedonic price) хэмжигдэнэ. Эдийн засгийн үнэлгээний үр ашгийн хувьд хотын захиргааны болон байгууламжийн операторын орлого болох үйлчилгээний хураамж нь (өрсөлдөөнт зах зээлгүй) зохих CF-оор шилжүүлэгдсэн ч төслийн нийгмийн үр ашгийг илэрхийлэхгүй. Давхар тооцоолохгүй байх үүднээс энэ шинжилгээнд санхүүгийн орох урсгалыг оруулж тооцоолоогүй болно. Ус хангамжийн төслийн үр ашгийн буюу эерэг гадаад нөлөөллийн үнэлгээний хувьд өрсөлдөөнт зах зээлийн үйлчилгээний бүртгэлийн үнийг тогтоохын тулд төлөх-сонирхол аргачлалыг хэрэглэж болно. Жишээн дээр шууд үнэлгээний аргачлалыг хэрэглэсэн. - Гүний цэвэр усны хэмнэлт ба түүнээс үүдэх гидро-геологийн тэнцвэр, байгаль орчны эерэг үр дагавар нь төслийн үндсэн үр ашиг болно. Жишээн дээр харвал жилийн цэвэр усны хэмнэлт нь 9,7 сая/m3 (0.8 буюу 20%-ийн алдагдлыг тооцоолов) бөгөөд энэ усны усжуулалтад ашиглах бүртгэлийн үнэ нь 0,81евро/m3 болно. - Газар тариалангийн бүтээгдэхүүний тоо, чанар, өргөн сонголтод орох өөрчлөлт нь усжуулалтын системийн гол үр ашиг болно. Усжуулалтын дүнд нэг га-аас авах бүтээгдэхүүний орлогыг 25%-иар өснө гэж тооцоолов. Баригдаагүй байгаа ус хуваарилах сүлжээний зардлыг харгалзахын тулд нэмэлт орлогыг 0,65-ийн фактороор бууруулав. Хэрэв нийгмийн хямдруулалтын хувийг 5.5% гэвэл дараахь гүйцэтгэлийн үзүүлэлтүүдийн үр дүнд хүрч байна. Үүнд: - Эдийн засгийн өнөөгийн цэвэр үнэ Economic Net Present Value ENPV €295,519,106 - Эдийн засгийн өгөөжийн хувь Economic Rate of Return ERR 28.9% - Үр ашиг-зардлын харьцаа Benefit / Cost Ratio (B/C) 2.2 4.4.4 Эрсдлийн үнэлгээ FRR(C), FRR(K) ба ERR-д хамаарах мэдрэмжийн шинжилгээний үр дүнг зураг 4.10, 4.11-д тус тус харуулав. Мөн зураг 4.12-д FNPV(C), FNPV(K) ба ENPV үзүүлэлтүүдийн инфляцаас хамаарах мэдрэмжийн нөлөөллийг харуулав. Дараахь хувьсагчууд нь санхүүгийн шинжилгээнд чухал болно. Хүснэгтэд чухал хувьсагч -1% - +1% заагт өөрчлөгдөхөд санхүүгийн гүйцэтгэлийн үзүүлэлтүүд болох FRR(C) ба FRR(K)-д орох өөрчлөлтийг харуулав. 102
  • 103.
    Харин дараахь хувьсагчууднь эдийн засгийн шинжилгээнд хамаарах чухал хувьсагчууд болно. Чухал хувьсагчийн -1%-иас +1% хүртэлх заагт хамаарах өөрчлөлтийн улмаас ERR-т орох харьцангуй өөрчлөлтийг хүснэгтэд харуулав. Чухал хувьсагчуудад зохих магадлалын тархалтыг хуваарилснаар төслийн эрсдлийн шинжилгээг хийв. Хувьсагчуудын магадлалын тархалтын таамаглалыг хүснэгт 4.44-д харуулав. Санхүүгийн ба эдийн засгийн гүйцэтгэлийн үзүүлэлтүүдийн магадлалын тархалтыг Монте Карло-ийн аргачлалаар тооцоолов. 103
  • 104.
  • 105.
  • 106.
  • 107.
  • 108.
  • 109.
  • 110.
  • 111.
  • 112.
  • 113.
  • 114.
  • 115.
  • 116.
  • 117.
    4.5 Жишээ: Үйлдвэрлэлийнхөрөнгө оруулалт 4.5.1 Төслийн зорилтууд Төсөл нь үндэсний болон гадаадын зах зээл дээрхи бүс нутгийн өрсөлдөх чадварыг бэхжүүлэх, үйлдвэрлэлийг дэмжих, хүн амын орлогын төвшинг нэмэгдүүлэх зорилготой. 4.5.2 Төслийн тодорхойлолт Төсөл хэрэгжих бүс нутгийн үйлдвэрлэлийн төвшин харьцангуй бага ч гэсэн уламжлалт үйлдвэрлэлийн салбарт төвлөрсөн тухайн бүс нутгийн компаниудын хувьд энэ хөрөнгө оруулалт нь тэдний бизнесийн орчныг сайжруулах бололцоог олгоно. Автомашины эд ангийн үйдвэрлэлийн зах зээлийн сүүлийн 10 жилийн тогтмол өсөлт нь энэ зах зээлийн харьцангуй найдвартай байдал, тогтворжилтийг нотолж байна. Компани нь 10 жилийн өмнөх үетэй харьцуулахад зах зээлд эзлэх хувиа 2 хувиар өсгөж 5 хувьд хүргээд байна. Салбарын нэг онцлог болох өндөр босгоос хамаарч зах зээлийн бүтэц нь харьцангуй тогтвортой гэж тодорхойлогдож байна. Агаарын бохирдлыг бууруулах хууль тогтоомж нь автомашины зарим эд ангийн үйлдвэрлэлээс шинэчлэл хийхийг шаардаж байгаа нь төсөл хэрэгжих салбарын хувьд нэг чухал зорилт болж байна. 117
  • 118.
    Төсөл нь техник,удирдлага, ашигт ажиллагааны хувьд хэрэгжих бололцоотой болхыг урьдчилсан судалгаа харуулж байна. 4.5.3 Бололцоо ба хувилбарын шинжилгээ 4.5.3.1 Санхүү-эдийн засгийн найдвартай байдал Төслийн санхүүжилт авах компани нь олон оронд автомашиний эд ангийн үйлдвэрлэлийн салбартай бөгөөд сүүлийн жилүүдэд санхүүгийн хувьд тогтвортой үйл ажиллагаа явуулж ирсэн. Аудиторууд тус компанийн сүүлийн 3 жилийн санхүүгийн тайланд өргөн хүрээний санхүүгийн дүн шинжилгээ хийсэн. 4.5.3.2 Төслийн техникийн онцлог Төслийн хүрээнд газар ба техник тоног төхөөрөмж худалдан авах ба 2 томоохон барилгыг барина. Мөн түүнчлэн үйлдвэрлэлийн байгууламжийг хотын авто замын сүлжээтэй шинэ авто замаар холбоно. 4.5.3.3 Хувилбарын шинжилгээ Засгийн газар 2 хувилбарыг судална. Үүнд: - Business as usual: Бүс нутгийн харьцангуй өндөр ажилгүйдлийн төвшин ба эдийн засгийн бага өсөлт хэвээр хадгалагдана. - Инновацийн салбарын хөрөнгө оруулалтын дэмжлэг: Нанотехнологийн салбарын хөрөнгө оруулалт нь бүс нутгийн эдийн засаг, ажил эрхлэлтийн хувьд өндөр ирээдүйтэй боловч үйлдвэрлэлийн орчны дутагдал зэрэг сул талууд нь төслийг хэт эрсдэлтэй болгож байна. Эцэст нь засгийн газар орон нутгийн үйлдвэрлэлийн дэд бүтцэд нийцсэн, нийгмийн үр ашиг нь өндөр болох уламжлалт үйлдвэрлэлийн салбарт хөрөнгө оруулалт хийхээр шийдвэрлэсэн. 4.5.3.4 Хөрөнгө оруулалтын төрөл Засгийн газар нь төсөл хэрэгжүүлэх компанийн хөрөнгө оруулалтыг дараахь хамтын санхүүжилтийн арга замуудаар дэмжиж болно. Үүнд: - Хүүгийн төлбөрийн дэмжлэг; Хөрөнгийн буцалтгүй тусламж; Татварын хөнгөлөлт/чөлөөлөлт; Төсвийн санхүүжилтийн дүн нь тогтмол тоо учраас сонголтын үндсэн шалгуур нь цаг хугацаа болно. Хөрөнгө оруулалтын эхний жилүүдийн бэлэн мөнгөний гарах урсгалыг санхүүжүүлэхэд хэрэглэх “хөрөнгийн буцалтгүй тусламж” нь компанийн хувьд хамгийн давуу сонголт болно. Мөн компанийн хувьд хамгийн өгөөж багатай сонголт нь татварын чөлөөлөлтийн хувилбар байна. 4.5.4 Санхүүгийн шинжилгээ 5 хувийн хямдруулалтыгн хувьтай санхүүгийн шинжилгээг 10 жилээр тооцоолов. 4.5.4.1 Хөрөнгө оруулалтын зардал 118
  • 119.
    Нийт хөрөнгө оруулалтынзардал 64,5 сая евро болно. Үүнээс 62 сая нь үндсэн хөрөнгөд, 1 сая нь үйлдвэрлэлийн өмнөх зардалд, 1,5 сая нь бусад зардалд тус тус зарцуулагдана. Үүнд: - 3 сая еврогоор 60.000m2 газрыг (1m2 нь 50 евро) худалдан авна. 17 сая еврогоор нийт 7000m2 талбай бүхий 2 барилгыг барина. Машин, тоног төхөөрөмж, програм хангамж худалдан авах зардал: €42 сая; Тусгай зөвшөөрөл, оюуны өмчийн эрхийн зардал: €1 сая; Бүх зардалд НӨАТ ороогүй. 4.5.4.2 Үйл ажиллагааны зардал Үйл ажиллагаанд харилцан адилгүй орц шаардагдана. Дараахь хүснэгтэд ирээдүйд шаардагдах ажиллах хүчний тоо ба нэгж ажиллах хүчний зардлыг тус тус харуулав. 4.5.4.3 Үйл ажиллагааны орлого Компани нь ялангуяа 2 үндсэн харилцагч болон зах зээлд зориулж 3 нэр төрлийн бүтээгдэхүүн үйлдвэрлэнэ. Бүтээгдэхүүний үнэ, борлуултын талаархи нарийвчилсан судалгааг хийсэн (энд харуулаагүй). Нийт 3 санхүүгийн гүйцэтгэлийн үзүүлэлтүүдийг тооцоолов. Үүнд:    Төслийн хөрөнгө оруулалтын өгөөж; /the project‟s return on investment (FNPV(C) and FRR(C)); Төслийн үндэсний хөрөнгийн өгөөж; /the project‟s return on national capital (FNPV(K) and FRR(K)); Төслийн хувийн /өөрийн/ хөрөнгийн өгөөж; /the project‟s return on private equity (FNPV(Kp) and FRR(Kp)); Хөрөнгө оруулалтын санхүүгийн гүйцэтгэл нь тийм ч өндөр биш (FRR(C) нь 3.3%) боловч үндэсний хөрөнгө ба хувийн өөрийн хөрөнгийн өгөөж харьцангуй өндөр үзүүлэлттэй байна (тус тус 9.3% ба 11.8%). Харьцангуй бага хөрөнгө оруулалтын өгөөж ба харьцангуй өндөр эрсдлээс хамаарч хувийн хэвшил энэ төслийг дангаараа бие дааж хэрэгжүүлэхгүй байх байсан болов уу. Гэвч төсвийн хөрөнгө оруулалтын ачаар төсөл нь өөрийн хөрөнгийн харьцангуй өндөр өгөөжийг амлаж байгаа учраас компани төслийг хэрэгжүүлэх магадлал өндөр болж байна. 119
  • 120.
    Санхүүгийн гүйцэтгэлийн үзүүлэлтүүд: Санхүүгийн өнөөгийн цэвэр үнэ (хөрөнгө оруулалт) Financial Net Present Value (investment) FNPV(C)  Санхүүгийн өгөөжийн хувь (хөрөнгө оруулалт) Financial Rate of Return (investment) FRR(C)  Санхүүгийн өнөөгийн цэвэр үнэ (хөрөнгө) Financial Net Present Value (capital) FNPV(K)  Санхүүгийн өгөөжийн хувь Financial Rate of Return (capital) FRR(K)  Санхүүгийн өнөөгийн цэвэр үнэ (өөрийн хөрөнгө) Financial Net Present Value (private equity) FNPV(Kp)  Санхүүгийн өгөөжийн хувь (өөрийн хөрөнгө) Financial Rate of Return (private equity) FRR(Kp) €5,472,500 3.3% €10,458,180 9.3% €14,958,180 11.8% 4.5.4.4 Санхүүгийн тогтвортой байдал Төсөл санхүүгийн хувьд тогтвортой байхын тулд жил бүрийн цэвэр мөнгөн урсгал эерэг үзүүлэлттэй байх нөхцлийг хангах ѐстой. Энэ нөхцийг биелүүлэхийн тулд санхүүгийн эх үүсвэрүүдийг хуваарилна. Үүнд: - ЕХ-ны буцалтгүй тусламж €14,170,000; Төсвийн хөрөнгө оруулалт €4,725,000; Зээл €10,000,000; Өөрийн хөрөнгө €33,608,0000; Зээлийн хүүг 5 хувиар тооцоолов. Санхүүгийн тогтвортой байдлыг хангах, зээлийн хүүгийн зардлыг бууруулахын тулд компани эхний 3 жилд өөрийн хөрөнгийн санхүүжилт түүний дараа зээлийн санхүүжилт хийнэ. 4.5.5 Эдийн засгийн шинжилгээ Эдийн засгийн шинжилгээнд тусгай болон стандард шилжүүлгийн фактороор зах зээлийн үнийг төгс бус зах зээлд зохицсон үнээр тохируулна. Түүхий эдийн үнээс НӨАТ-ийг хасна. Мөн адил эрчим хүчний өртөгт шингэсэн татварыг хасна. Борлуулалтын орлогоос НӨАТ-ыг мөн хасаж тооцно. Түүнчлэн сүүдрийн хөлсийг илэрхийлэх үүднээс ажиллах хүчний зардлаас нийгмийн даатгалын суутгал, татварыг хасна. Орон нутгийн захиргаанаас газрыг хямдруулсан үнээр худалдан авсан тул шилжүүлгийн фактор 1,235-ийг хэрэглэв. Эцэст нь 10 жилийн дараахь үлдэгдэл үнийг (residual value) €28 сая гэж тооцов. Нийт зах зээлийн үнийн ерөнхий гажуудлыг тусгах стандард шилжүүлгийн факторыг (0.95) хэрэглэв. 120
  • 121.
    Бодит хямдруулалтын хувийг5,5% гэж тооцоолов. Шинэ авто замын бусад хэрэглэгчдийн болон шилжин суурьшилтийн гадаад эерэг нөлөөлөл харцангуй бага тул тооцоололд оруулаагүй. Шинэ үйлдвэртэй холбоотойгоор бий болох замын хөдөлгөөний ачааллын гадаад сөрөг нөлөөллийг шинээр барих авто замын эерэг гадаад нөлөөлөл орлох тул эдгээр нөлөөллийн зардал, үр ашгийг тооцоолоогүй. Харин агаарын бохирдлыг сөрөг гадаад нөлөөллийн зардлаар тооцов. Компани нь үйлдвэрлэлийн үйл явцад үүсэх агаарын бохирдлыг үнэлэх байгаль орчны нөлөөллийн үнэлгээг мэргэжлийн байгууллагаар хийлгүүлж үнэлгээг ирүүлнэ. Өртгийн нийгэм-эдийн засгийн үнэлгээний үр дүнд эдийн засгийн гүйцэтгэл нь санхүүгийн гүйцэтгэлээс давуу болох нь үнэлгээнээс харагдаж байна. Үүнд:    Эдийн засгийн өнөөгийн цэвэр үнэ: ENPV Эдийн засгийн дотоод өгөөжийн хувь: ERR Үр ашиг ба зардлын харьцаа: €3,537,540; 6.7%; 1.02; 4.5.6 Эрсдлийн үнэлгээ Төслийн эрсдлийг үнэлэхийн тулд мэдрэмжийн шинжилгээг боловсруулав. Мөн түүнчлэн бүрэн эрсдлийн үнэлгээг хийж гүйцэтгэв. Үйлдвэрлэлийн хөрөнгө оруулалтын төслийн хувьд борлуулалт ба хөрөнгө оруулалтын зардал нь чухал хувьсагчууд болно. 4.5.6.1 Борлуулалт Бүтээгдэхүүн C-ийн борлуулалтын сөрөг динамик буюу жилийн борлуулалтын өсөлт ба анхны борлуулалт 5 хувиар тус тус буурахад төслийн гүйцэтгэл муудахыг хүснэгт харуулж байна. 4.5.6.2 Хөрөнгө оруулалтын зардал Хөрөнгө оруулалтын зардлын нэг бүрэлдэхүүн хэсгийн нөлөөллийн судалгаа нь барилга ба шинэ тоног төхөөрөмжийн худалдан авах зардал чухал ач холбогдолтойг тогтоосон. Энэ тохиолдолд ч хоѐр зардлын анхны дүнгийн 5 хувийн өөрчлөлтийн дүнд санхүүгийн ба эдийн засгийн үнэлгээний үр дүнд орох өөрчлөлтийг тооцоолов. 121
  • 122.
    Хөрөнгө оруулалтын зардлынхувьд шинэ тоног төхөөрөмжийн зардал чухал ач холбогдолтой болохыг шинжилгээ тодорхойлж байна. Иймд хөрөнгө оруулалтын зардал болон борлуулалтад анхаарлаа төвлөрүүлэх шаардлагатайг судалгаа нотолж байна. Төслийн эрсдлийг зөв үнэлэхийн тулд эрсдлийн шинжилгээг чухал хувьсагчуудын зохистой магадлалын тархалтад суурилуулна. Бүтээгдэхүүн С-ийн борлуулалт ба шинэ тоног төхөөрөмжийн зардал нь чухал хувьсагчууд болох нь мэдрэмжийн шинжилгээгээр тогтоогдсон. 122
  • 123.
    Зураг 4.17-д харуулсанэрсдлийн шинжилгээгээр төсөл өндөр эрсдэлтэй болох нь харагдаж байна (Төслийн ENPV сөрөг байх магадлал 40 гаруй хувь). Хөрөнгө оруулалтын өгөөж бага, эдийн засгийн өгөөжийн эрсдэл өндөр тул төслийг дахин хянах, эрсдлийг бууруулах арга хэмжээг авах шаардлага тулгарч байна. 123
  • 124.
  • 125.
  • 126.
  • 127.
  • 128.
  • 129.
  • 130.
    ХАВСРАЛТУУД ХАВСРАЛТ А ЭРЭЛТИЙН ШИНЖИЛГЭЭ Онолынсуурь Стандард микро-эдийн засгийн онолоор хэрэглэгч хэрэглээний ашгийн (utility буюу U) фүнкц байдаг. Max U(x1,x2…xn) (Σpixi≤ r; r: хэрэглэгчийн төсөв) бүрт Хэрэглэгч нь төсөвтөө багтаан өөрийн хэрэглээний ашгийг дээд цэгт хүргэхийг зорино. Энэ асуудлын шийдлийг эрэлтийн муруй харуулдаг. Эрэлтийг урьдчилан таамаглах нь эрэлт, нийлүүлэлтийн тэнцвэрийг тодорхойлох нөхцөл байдалд орох өөрчлөлтөөс шууд хамаардаг. P: үнэ; Q: барааны тоо; S: нийлүүлэлтийн муруй;D: эрэлтийн муруй Эрэлтийн уян хатан чанар Эрэлтийг урьдчилан таамаглахад бараа үйлчилгээний тооны өөрчлөлт ба тухайн бараа үйлчилгээний үнийн өөрчлөлтийн харьцаа үзүүлэлт болох эрэлтийн үнийн уян хатан чанар чухал ач холбогдолтой байдаг. Үнийн уян хатан чанарыг илэрхийлбэл: Eр: үнийн уян хатан чанарын коефициент; Q1: P1 үнийн эрэлт; Q0: одоогийн үнэ P0-ийн эрэлт; Өөрийн үнэ төдийгүй тухайн бараа үйлчилгээг орлох бараа үйлчилгээний үнэ эрэлтэд нөлөөлдөг. Бараа А-г Б-тэй харьцуулсан эрэлтийн үнийн уян хатан чанарыг (cross price elasticity of demand) илэрхийлбэл: Хэрэв Cав > 0, B нь А-ийн субститут; Хэрэв Cав < 0, B нь А-ийн комплемент; Хэрэв Cав = 0, А ба В-ийн хооронд уян чанар байхгүй; Үнийн уян хатан чанар нь (price elasticity) бүтээгдэхүүнээс төдийгүй харилцан адилгүй орлоготой нийгмийн бүлгүүдээс хамаардаг. Иймд эрэлтийн судалгааг хийхдээ нэг хүнд ногдох ДНБ-ээр хязгаарлахгүйгээр судалгаанд нийгэм-эдийн засгийн харилцан адилгүй бүлгүүдийг хамруулах нь зүйтэй. Үнийн уян хатан чанар орлогоос хамаардаг бол мөн орлогын уян хатан чанар гэж байдаг. Хэрэв өрхийн орлого өсвөл эрэлт өсдөг учраас ихэнхи бараа, үйлчилгээний хувьд орлогын уян чанар нь эерэг байдаг. Гэхдээ зарим тохиолдолд орлого өсөхөд нийтийн тээврийн эрэлт буурах зэрэг сөрөг уян хатан чанар мөн ажиглагддаг. 130
  • 131.
    Эрэлтийг таамаглах техникүүд Ирээдүйнэрэлтийг таамаглах техникийн сонголт нь бараа, үйлчилгээний шинж чанар, зах зээлийн онцлог, тоон мэдээллийн чанараас хамаардаг. Бодлого, зохицуулалтын хүрээний өөрчлөлттэй холбоотой таамаглалыг мөн тайлбарлана. Таамаглалд хэрэглэсэн аргыг тодорхой тайлбарлах бөгөөд энэ нь таамаглалын мөн чанарыг ойлгоход дэмжлэг үзүүлнэ. Мэргэжилтнүүдийн зөвлөгөө Төсөв ба цаг хугацаанаас шалтгаалж тоон аргачлалаар эрэлтийн таамаглалыг тодорхойлох бололцоогүй бол төслийн нөлөөллийн таамаглалын талаар хөндлөнгийн мэргэжилтнүүдээс зөвлөгөө авч болно. Энэ арга нь өртөг багатай мөн цаг хугацааны хувьд давуу талтай боловч тоон мэдээлэл нь таамаг төдий байдаг. Иймд таамаглалын үйл явцын хамгийн эхний шат болох урьдчилсан дүгнэлт хийхэд энэ аргачлалыг хэрэглэх нь зохимжтой байдаг. Чиг хандлагын экстраполяц Өнгөрсөн үеийн тоон мэдээлэлд суурилсан ирээдүйн чиг хадлагыг тодорхойлоход регрессийн шинжилгээг (regression analysis) хэрэглэдэг. Цаг хугацааг таамаглаж буй хувьсагчтай (жишээ нь хүлээгдэж буй эрэлт) холбоход хэрэглэгддэг олон төрлийн математикийн харьцаанууд байдаг. Хамгийн хялбар таамаглалыг шулуун хамаарлаар илэрхийлдэг. Үүнд: - Y= a + bT; Y: ирээдүйн хувьсагч; T: цаг хугацаа; Өргөн хэрэглэгддэг өөр нэг загвар нь ирээдүйн тогтмол өсөлтийг харуулдаг. Жишээ нь: - Y= a(1+g)t; Y: ирээдүйн хувьсагч; a: тогтмол тоо; g: өсөлтийн хувь; t: цаг хугацаа; Загварын сонголт нь ихэвчлэн тоон мэдээллээс хамаардаг. Хэрэв харилцан адилгүй цаг үеийн тоон мэдээллүүд (жишээ нь жил бүрээр) байвал статистик аргаар хамгийн оновчтой загварыг тодорхойлж болно. Хэрэв 2 нэгж тоон мэдээлэл байвал үндсэндээ ямар ч загварыг хэрэглэж болно. Ийм тохиолдолд нэмэлт мэдээлэл (жишээ нь өөр төслүүдэд ажиглагдсан чиг хандлага, өөр улс орнууд гэх мэт) шаардагдана. Практикт хамгийн хялбар хэлбэр болох разорын зарчмыг (Occam‟s razor principle) өргөн хэрэглэдэг. Ийм шулуун чиг хандлага буюу тогтмол өсөлтийг ихэнхи тохиолдолд ашигладаг. Өнгөрсөн хугацаанд ажиглагдсан чиг хандлагыг үргэлжлүүлэх аргыг түгээмэл хэрэглэдэг боловч энэ аргын дутагдалтай талуудыг орхигдуулж болохгүй. Чиг хандлагын экстраполяц нь өнгөрсөн үед ажиглагдсан чиг хандлагын ирээдүйн үргэлжлэлийг илэрхийлэхээс биш эрэлтийг тайлбарлахгүй. Ялангуяа томоохон төслүүдийн хувьд нийлүүлэлтийн тал дээрхи өөрчлөлт нь өнгөрсөн үеийн хандлагыг бүрэн өөрчилдөг. Өдөөгдсөн тээврийн эрэлт нь үүний нэг жишээ. Олон талт регрессийн загвар Регрессийн техникийн таамаглал нь хараат (таамаглаж буй хувьсагч, жишээ нь эрэлт) ба хараат бус (тайлбарлагч) хувьсагчуудын хоорондын шулуун хамаарал дээр суурилдаг. Зөв таамаглалын тэгшитгэлийг олох хүртэл хараат бус хувьсагчийн өөр өөр холболтуудыг (combinations) тоон мэдээлэл дээр туршиж болно. Хараат бус хувьсагчуудын мөн чанар нь таамаглаж буй тухайн хувьсагчаас хамаарна. Эрэлтийг зарим ач холбогдол бүхий хувьсагчуудтай уялдуулах тусгай загварууд байдаг. Жишээ нь өргөн хэрэглээний бараа, бүтээгдэхүүнд хэрэглээний төвшний аргыг (consumption-level method) өргөн хэрэглэдэг. Хэрэглэгчийн орлого нь хэрэглээний төвшний үндсэн тодорхойлогч болдог. Регрессийн загварууд өргөнөөр хэрэглэгддэг бөгөөд таамаглалын нэг хүчтэй аргачлал болдог. Энэ аргыг хэрэглэхэд их хэмжээний тоон мэдээлэл ба хараат бус хувьсагчуудын ирээдүйн таамаглалын хэрэгцээ тулгардаг нь энэ аргын сул талууд болдог. Жишээ нь хэрэглээ орлогоос хамаарах бол ирээдүйн орлогын төвшнийг таамаглах шаардлагатай болно. Илүү боловсронгуй математик хэлбэртэй эконометрикийн шинжилгээ нь регрессийн загваруудын нэг ерөнхий хэлбэрт хамаарна. Регрессийн загваруудтай адилаар статистик шинжилгээгээр 131
  • 132.
    коефициентүүдийг тодорхойлдог батаамаглал буюу хараат хувьсагч нь хараат бус хувьсагчуудын тусгалаас (projection) хамаардаг. Харьцаа буюу хамаарлын хамгийн хялбар жишээ нь статик, шулуун илэрхийлэл юм. Үүнд: Тэгшитгэлээр хувьсагч Yt (жишээ нь t улирал дахь хэрэглээ) нь Xit (жишээ нь нэг цаг үе дэх орлого ба үнэ) хувьсагчуудаас хамаарч байна. Хамгийн сүүлчийн Еt нь Yt-ийн загвараар тайлбарлаж болохгүй алдааг илэрхийлнэ. Хавсралт B Суурь хүүний сонголт (Discount rate) Санхүүгийн хямдруулалтын хувь (суурь хүү) Санхүүгийн суурь хүү нь (the financial discount rate (FDR)) ерөнхийдөө хөрөнгийн алдагдсан бололцооны зардлыг илэрхийлдэг. Өөрөө хэлбэл хэрэв хөрөнгийг А төсөлд зарцуулбал Б төслөөс олох ашгийг алдана гэсэн утгатай. Суурь хүүг тодорхойлох аргачлалуудаас: - - Засгийн газрын бондын хүү, арилжааны зээлийн хүү эсвэл эдгээрийн жигнэсэн дундаж хүү; Энэ арга нь хялбар боловч сул талуудтай байдаг. Хамгийн сайн хувилбарын төслийн өгөөж нь дээрхи төсвийн ба хувийн хөрөнгийн хүүнээс өндөр байж болно. Хамгийн өндөр өгөөжтэй төслийн хөрөнгө оруулалтын ашгийг суурь хүүний дээд хязгаараар сонгох. Тогтвортой үйл ажиллагаатай компанийн олон нийтэд арижаалж буй, хөрвөх чадвартай үнэт цаасны өгөөжийг төлөвлөлтийн параметрээр сонгох. Дараахь хүснэгтэд санхүүгийн суурь хүүгээр сонгож болох санхүүгийн хөрөнгийн өгөөжийн хувийн жишээнүүдийг харуулав. Нийгмийн суурь хүү Хөрөнгө оруулалтын төслийн эдийн засгийн шинжилгээнд хэрэглэдэг нийгмийн суурь хүү нь (the social discount rate (SDR)) ирээдүйн үр ашиг, зардлыг өнөөгийнхтэй яаж харьцуулах талаархи нийгмийн үзэл бодлыг тусгадаг. Санхүүгийн зах зээлийн төгс бус чанараас хамаарч нийгмийн суурь хүү нь санхүүгийн суурь хүүнээс өөр байж болно. Үндсэн онолын аргачлауудаас: - Төсвийн хөрөнгө оруулалт нь хувийн хөрөнгө оруулалтыг орлоно гэсэн үүднээс төсөв ба хувийн хөрөнгө оруулалтууд ижил өгөөжтэй байх ѐстой гэсэн уламжлалт үзэл. - Ирээдүйн эдийн засгийн өсөлттэй уялдуулж нийгмийн суурь хүүг тодорхойлох аргачлал. - Ирээдүйн цаг хугацаанд өөр өөр хувийг хэрэглэх хамгийн сүүлийн үеийн аргачлал. Энэ аргачлал нь урт хугацааны төслүүдэд илүү хамааралтай бөгөөд ирээдүй хойч үед хамаарах 132
  • 133.
    төслийн нөлөөллийн жингнэмэх гэсэн үндсэн загвартай. Өөрөөр хэлбэл энэ аргачлалаар (the social time preference rate (STPR) approach) нийгмийн суурь хүү аажмаар буурдаг. STPR аргачлал нь урт хугацааны эдийн засгийн өсөлтийн хувьд суурилдаг бөгөөд холдох цаг хугацааны үр ашгийг илүүд үздэг. Нийгмийн суурь хүүг өсөлтөөр тодорхойлоход өргөн хэрэглэгддэг, ерөнхий томьѐо: - r = eg + p (r: бодит нийгмийн суурь хүү; g: төсвийн зарлагын өсөлтийн хувь; e: Төсвийн зарлагаас хамаарах нийгмийн ханамжийн (welfare) уян хатан байдал; p: Цэвэр цагийн преференцийн хувь); 2005 онд Франц Улс нийгмийн суурь хүүгээ 4%-иар, 2005 онд ХБНГУ 3%-иар, 2003 онд Англи 3,5%иар тус тус шинэчлэн тогтоосон. Европын Холбооноос гишүүнээр элссэн орнуудын нийгмийн суурь хүүг (SDR) 5,5%-иар тогтоогоод байна. Доорхи хүснэгтэд Европын зарим орнуудад хэрэглэгдэж буй нийгмийн суурь хүүг харуулав. Хавсралт C Төслийн гүйцэтгэлийн үзүүлэлтүүд Өнөөгийн цэвэр үнэ цэнэ, өгөөжийн дотоод хувь ба үр ашиг-зардлын харьцаа нь (Net Present Value (NPV), Internal Rate of Return (IRR) and the Benefit-Cost Ratio (B/C)) төслийн гүйцэтгэлийн товч үзүүлэлтүүд бөгөөд хөрөнгө оруулалтын төслийг ач холбогдлоор нь эрэмблэх үндэслэл болдог. Өнөөгийн цэвэр үнэ цэнэ Төслийн өнөөгийн цэвэр үнэ нь төслийн хямдруулсан цэвэр мөнгөн урсгалын нийлбэр дүнг илэрхийлдэг. St: t үе дэх цэвэр мөнгөн урсгал; at: санхүүгийн суурь хүү; NPV нь хялбар бөгөөд маш тодорхой гүйцэтгэлийн хэмжүүр. Хэрэв NPV нь эерэг бол (NPV>0) төсөл нь эдийн засгийн ба санхүүгийн утгаараа үр ашигтайд тооцогдоно. Төслүүдийг эрэмблэхэд хамгийн өндөр NPV-тэй төслөөс эхэлж сонгоно. Зураг C.1-ээс харахад төсөл 1 нь 2-той харьцуулахад өндөр NPV-ийн үзүүлэлттэй байна. 133
  • 134.
    Харин зураг C.2дээр “Суурь хүү<х” бол төсөл 2, харин “Суурь хүү>x” бол төсөл 1 илүү давуу хувилбар болох нь харагдаж байна. Иймд төслийн суурь хүүг зөв сонгох нь төслийн хөрөнгө оруулалтын талаар оновчтой шийдвэр гаргахад чухал ач холбогдолтой байдаг. Өгөөжийн дотоод хувь (The Internal Rate of Return) Хөрөнгө оруулалтын NPV-г тэгтэй тэнцүүлэх суурь хүүг өгөөжийн дотоод хувь (IRR) гэнэ. Төслийн цаг үеийн орлого, зардлын урсгалын онцлогоос хамаарч зарим төслүүд (жишээ нь уул уурхай, атомын цахилгаан станцын төсөл) хэд хэдэн IRR-тай байдаг бөгөөд энэ тохиолдолд өгөөжийн дотоод хувийг төслийн үнэлгээнд ашиглах бололцоогүй. Төслийг IRR-аар эрэмблэх нь алдаанд хүргэж болох бөгөөд NPV нь илүү давуу шалгуур үзүүлэлт болдог. IRR нь төслийн нийт эдийн засгийн үнэлгээнд ч харьцангуй бага ач холбогдолтой юм. Төсөл А нь Bтэй харьцуулахад харьцангуй бага өгөөжийн дотоод хувьтай (IRRA = 40% < IRRB = 70%) боловч эдийн засгийн хувьд зохимжтой 30%-иас бага суурь хүүгийн хувьд харьцангуй өндөр NPV-ийн үзүүлэлтай байна (Зураг C.5). 134
  • 135.
    Үр ашиг-зардлын харьцаа(Benefit-cost ratio (B/C)) Үр ашиг-зардлын харьцаа нь төслийн үр ашиг ба зардлын өнөөгийн үнэ тус бүрийн харьцааг илэрхийлнэ. BCR = PV (I)/PV (O); I: орох урсгал; O: гарах урсгал; Хэрэв BCR >1 бол төсөл нь эдийн засгийн хувьд үр ашигтай. IRR-тай адил энэ харьцаа нь төслийн хөрөнгө оруулалтын хэмжээнээс хамаарахгүй. Харин IRR-тай харьцуулахад энэ харьцаа нь хоѐрдмол тохиолдолгүй учраас NPV-ийн шалгуурт дэмжлэг үзүүлэх, ялангуяа төсвийн хязгаарлагдмал тохиолдолд төслүүдийг эрэмблэхэд өргөн хэрэглэгддэг. Төсвийн хязгаар 100 нэгж бол төслийг эрэмблэх жишээг доорхи хүснэгтэд харуулав. Хэрэв NPV-г шалгуураар сонговол төслийг A,C,B гэж эрэмблэнэ. Хэрэв B/C-г шалгуураар сонговол C,B,A гэж эрэмблэнэ. Тэгвэл төсвийн хязгаар 100-д багтаан B ба C төслийг хэрэгжүүлж болох ба энэ тохиолдолд NPV-ийн нийлбэр нь 130 болно. Энэ нь зөвхөн А-г хэрэгжүүлсэн тохиолдолд А-ийн NPV болох 100-аас илүү давуу хувилбар болно. Хавсралт G ТХХТ-ийн төслийн үнэлгээ (PPP PROJECTS) PPP-ийн тодорхойлолт Төслийн хөрөнгө оруулалтыг бүхлээр нь эсвэл нэг хэсгийг нь хувийн түнш санхүүжүүлэх, дэд бүтцийн үйлчилгээг хүргэхэд учрах эрсдлийн хуваарилалтын талаар төр ба хувийн түншийн хооронд зохицуулалтын гэрээ байгуулсан төслийг төр хувийн хэвшлийн түншлэлийн төсөл буюу PPP гэж тодорхойлдог. Төрийн салбарын харьцуулагч (Public Sector Comparator or PSC) Ашгийн сонирхлоос үүдэх зардлын үр бүтээмжийн өсөлт, зах зээлийн ашигт ажиллагаа нь хувийн хэвшлийг оролцуулах үндэслэл болдог. Хувийн хөрөнгийн өртөг төсвийн хөрөнгийн өртгөөс өндөр боловч хувийн хэвшлийн ашигт ажиллагаа нь энэ зөрүүг нөхдөг. 135
  • 136.
    Дэд бүтцийн үйлчилгээгүзүүлэх хувийн хэвшлийн оролцоо нь үр ашигтай эсхийг шалгах буюу мөнгөний үнийг илэрхийлэхийн тулд хувийн саналыг төрөөр санхүүжигдсэн, удирдуулсан бенчмарк төслийн дүнтэй бодитойгоор харьцуулах шаардлагатай болно. Мөнгөний үнийг үнэлэх нэг арга бол төрийн салбарын харьцуулагч (PSC). Хэрэв төслийг төр санхүүжүүлж, эзэмшиж, санхүүжүүлж байгаа бол уг төслийн эрсдлээр тохируулсан (risk-adjusted) зардлыг PSC таамагладаг. Иймд тохируулгуудын дараахь хамгийн үр ашигтай төрийн эзэмшлийн төслийн өртөгт суурилсан PSC нь хувийн хэвшлийн саналын мөнгөний бодит үнийг тодорхойлох, хувийн хэвшлийн санхүүжилтийг авах эсэх талаархи шийдвэр гаргах үндэс болно. PSC нь: - Гэрээний хугацаанд үйлчлэх засгийн газрын тусгай суурь хүүгээр илэрхийлэгдсэн мөнгөн урсгалын өнөөгийн цэвэр өртөг байна. Засгийн газрын хэрэгжүүлсэн хамгийн үр ашигтай ижил төрлийн төсөл дээр суурилна. Төр ба хувийн салбарын хооронд санхүүгийн цэвэр ашгийн давуу талыг олгохгүйн тулд өрсөлдөөний саармагжилтийн тохиргоог (Competitive Neutrality adjustments) харгалзана. Хувийн түншэд шилжүүлэх эрсдлийн бодит үнэлгээг харуулна. Үнэлгээний үе шатууд: - Түүхий PSC: Төслийн хөрөнгийг төр эзэмшиж байгаа гэж үзвэл төрийн байгууллагын худалдан авах аргачлалаар тооцоолсон төслийн суурь өртгийг тооцоолох. Үүнд PPP-ийн гэрээний хугацаатай адил хугацаанд төслийг барьж байгуулах, засвар үйлчилгээ хийх, үйлчилгээг хүргэхтэй холбоотой бүх үндсэн хөрөнгийн ба үйл ажиллагааны зардал хамаарна. - Төрөөс бие дааж хэрэгжүүлсэн харьцуулах төслийг тодорхойлох нь PSC-г тооцоолох нэг үндэслэл болно. - - Өрсөлдөөний саармагжилтийн тохиргоо (Competitive Neutrality adjustments) нь төрийн эзэмшлийн давуу байдлаас үүдэх санхүүгийн давуу талыг саармагжуулах зорилготой. Энэ нь PSC ба хувийн түншийн саналыг шударга, тэнцвэртэй зарчмаар харьцуулах бололцоог олгоно. Шилжүүлэх эрсдлээр (Transferable risk) хувийн түншэд шилжүүлэх эрсдлийг үнэлж төслийн бодит өртгийн тооцоололд оруулна. Хувийн түншийн саналууд нь эрсдлийн өөр өөр төвшинг агуулна. Иймд PSC-г хувийн түншийн саналуудтай харьцуулахын тулд засгийн газраас санал болгох шилжүүлэх эрсдлийн төвшинг тусгасан саналуудын эрсдлийн төвшинг судалж, үнэлнэ. Саналуудыг үнэлэхэд дараахь аргуудаар тохируулна. Үүнд: - Хэрэв саналаар засгийн газрын санал болгосноос илүү эрсдлийг хувийн түншэд шилжүүлэхээр бол төслийн саналын тохиргоо нь сөрөг байна. (саналын нийт дүнг бууруулах) эсвэл - Хэрэв саналаар засгийн газрын санал болгосноос бага эрсдлийг хувийн түншэд шилжүүлэхээр бол төслийн саналын тохиргоо нь эерэг байна. (саналын нийт дүнг өсгөх) Авч үлдсэн эрсдлийн хувь (retained risk) тохиргооны дүнг мөн энэ аргаар тооцоолж тохируулна. 136
  • 137.
    Санхүүгийн шинжилгээнд үзүүлэхнөлөөлөл PPP-ийн хувьд хувийн хөрөнгийн оролцоотой байх бөгөөд төсвийн санхүүжилт хэт өндөр байх нь зохимжгүй. Стандард санхүүгийн үзүүлэлтүүд болох NPV(K) буюу FRR(K)-ийг төслийн түншүүдэд хувааж тус тусад харуулах нь үүнийг шалгах шууд арга болдог. NPV(Kp) нь төсвийн хөрөнгө оруулалтыг гүйцэтгэлийн тооцооллоос хассан буюу хувийн түншийн өгөөжийг илэрхийлнэ. (Гуравдугаар бүлэг дэх усны жишээг харах) Хавсралт H Эрсдлийн үнэлгээ Өргөн утгаараа эрсдлийн үнэлгээ нь дараахь үе шатуудаас бүрдэнэ. Үүнд: - Мэдрэмжийн шинжилгээ; Чухал хувьсагчуудын магадлалын тархалт; Эрсдлийн шинжилгээ; Эрсдлийн зохистой төвшний үнэлгээ; Эрсдлээс сэргийлэх. Мэдрэмжийн шинжилгээ Тодорхой төслийн хамгийн чухал хувьсагчуудыг тодорхойлоход мэдрэмжийн хэрэглэдэг (Бүлэг 2-ыг харах). шинжилгээг Чухал хувьсагчуудын магадлалын тархалт Чухал хувьсагчуудыг тодорхойлсны дараа хувьсагч бүрийн магадлалын тархалтыг тооцоолно. Тархалт нь тодорхой хувьсагчийн өгөгдсөн заагийн дотор тохиох магадлалыг илэрхийлнэ. Үндсэн 2 төрлийн магадлалын тархалт байдаг. Үүнд: - “Тусдаа магадлалын тархалт”: хувьсагчийн утга нь хязгаарлагдмал тооноос бүрдэх; “Үргэлжлэх магадлалын тархалт”: Хэрэв тодорхой заагийн (range) доторхи аль ч утгыг илэрхийлэх; Тусдаа магадлалын тархалтууд Хэрэв хангалттай мэдээлэл, судалгаан дээр тулгуурлаж шинжээч нь судалж буй хувьсагчийн утга нь зарим нэг тодорхой дүнгээс бүрдэнэ гэсэн бүрэн итгэлтэй бол энэ төрлийн тархалтыг хэрэглэдэг. Үргэлжлэх тархалт 137
  • 138.
    Гаусын (буюу хэвийн)тархалт нь магадгүй хамгийн чухал бөгөөд хамгийн түгээмэл хэрэглэгддэг магадлалын тархалт юм. Тархалт нь үндсэндээ 2 параметрээр тодорхойлогддог. Үүнд: - дундаж (the mean (μ)); стандард хэлбэлзэл (the standard deviation (σ)); Дунджийг тойрсон дүнтэй хувьсагчийн утгын нягтралыг стандард хэбэлзлээр хэмждэг. Хэрэв хувьсагчийн урьд өмнөх утгийн талаар нарийвчилсан мэдээлэл байхгүй бол гурвалжин буюу гурван цэгт тархалтыг өргөн хэрэглэдэг. Энэ хялбар тархалтыг магадлалын тархалтын дээд цэг, доод цэг, модал утгыг (modal value) тус тус илэрхийлэх “Өндөр Утга”, “Нам Утга” ба “Хамгийн сайн таах Утга“-аар тайлбарлаж болно. Гурвалжин тархалтын илүү нарийвчилсан шинжилгээний болон графикийн тодорхойлолт нь янз бүр байдаг бөгөөд дээд ба доод цэгийн утгатай уялдах модал (modal) утганд өгсөн ач холбогдол буюу жингээс хамаарна. Гурвалжин тархалтын 2 төрлийг зураг H3-д харуулав. Референц таамаглал Ижил төстэй бусад төслүүдийн үр дүнгийн статистик тархалтыг тухайн төсөлд ашиглахын тулд дараахь алхмуудыг хэрэгжүүлнэ. Үүнд: • • • Урьд өмнө хэрэгжсэн ижил төстэй төслүүдийн референц бүлгийг тодорхойлох; Сонгосон референц төслийн бүлгүүдийн магадлалын тархалтыг тодорхойлох; Тухайн төслийг референц бүлгийн тархалттай харьцуулж улмаар хамгийн магадалтай үр дүнг таамаглах буюу тооцоолох; Байнга тохиолддоггүй төслүүдийн хувьд гадаад орчны буюу референц таамаглал нь хамгийн зохистой байдаг. Эрсдлийн шинжилгээ Чухал хувьсагчуудын магадлалын тархалтыг тодорхойлсны дараа төслийн NPV (IRR;B/C ratio) зэрэг гүйцэтгэлийн үзүүлэлтийн магадлалын тархалтыг тооцоолох бололцоотой болно. Хүснэгтэд харуулсан хялбар тооцооллоос харахад төслийн NPV эерэг байх магадлал 95%-тай байна. 138
  • 139.
    Төслийн гүйцэтгэлийн нөхцөлтмагадлалыг тооцоолох ерөнхий аргачлал болох Монте Карло аргын талаар 2 дугаар бүлэгт тайлбарласан. Эрсдлээс сэргийлэх Төслийг хэрэгжүүлэх хугацааны эрсдлийн төвшин харилцан адилгүй байдаг. Туршлагаас харахад төслийг эхлүүлэх үе шат (Start-up) хамгийн өндөр эрсдэлтэй байдаг. Түүнээс гадна төслийн үнэлгээчид өөдрөг үзэлтэй байдаг нь системийн хандлага. Иймд энэ хандлагыг бууруулахын тулд өмнө хэрэгжсэн төслүүдийн тоо, баримт дээр үндэслэн төслийн төлөвлөсөн үр ашиг, зардлын тооцооллыг тохируулахыг төслийн үнэлгээчдэд зөвлөдөг. Төслийн хэрэгжилтийн явцад төлөвлөсөн зардал хэтрэх, орлого дутах нь дараахь хүчин зүйлүүдээс хамаардаг. Үүнд: - Олон тал оролцсон шийдвэр ба төлөвлөлт; Стандардын бус технолог; Урт хугацааны төлөвлөлт ба цогц шийдэл; Төслийн цар хүрээ зорилтод өөрчлөлт орох; Төлөвлөөгүй үял явдлууд; Бүрэн хэмжээний эрсдлийн үнэлгээнээс гадна хэт өөдрөг төлөвлөлтөөс сэргийлэх дараахь арга хэмжээнүүдийг зөвлөдөг. Үүнд: - Илүү сайн таамаглалын аргачлалууд (жишээ нь референц бүлгийн таамаглал); Илүү сайн төслийг шагнах урамшуулал; Хариуцлагыг сайжруулах ил тод байдал ба олон нийтийн хяналт; 139
  • 140.
    - Хувийн эрсдэлтэй хөрөнгийноролцоо; Дэлхийн Банкнаас өөр өөр улсуудад хэрэгжүүлж буй төслүүдийн үнэлгээний баримт бичгээс түүвэрлэсэн эрсдлийг бууруулах арга хэмжээний жишээнүүдийг хүснэгт H.2-д харуулав. 140