1
Introduction to quantum
computing:
The grover’s algorithm
Meir TOLEDANO
2
QUANTUM 101
3
Superposition
Each QBit state s can be is position 0 or 1 or in mixed state of them.
Mathematically speaking :
In other words s lives in the complex Hilbert space
4
Measure
Reading the QBit:
1. return 0 or 1 randomly with probability
1. Change the state accordingly
In order to be consistent (s lives in )
5
Entanglement
When mixing n-QBit together, there are entangled, they work together. Example for 2-
QBit.
Mathematically speaking s lives in
And now we have :
6
Operations
An operation change the state s to the state s’:
U is a 2*2 matrix that transform s in s’.
But U has to preserve the total probability, U is in the unitary group i.e.
7
QUANTUM ALGORITHMS
8
Gates
9
A SIMPLE EXAMPLE
10
The circuit
11
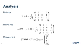
Analysis
First step
Second step
Measurement
12
Analysis
In term of probability:
So we have created two random fair coins that are completely correlated !!!
13
GROVER’S ALGORITHM:
Super search (Google killer ?)
14
Cited 5300 !!!
1996 : 24 year ago
15
Goal
● Find element that satisfy a condition in a list of size N.
● Classical algorithm run in for the worst case and in for the average case.
● In quantum computing, there is a speedup
16
SOME VECTORS
17
SOME VECTORS
We have an orthonormal basis
The uniform vector can be written
in this basis
18
SOME VECTORS
19
SOME OPERATORS
Reflection around u:
20
SOME OPERATORS
Reflection around m:
One of the contribution of Grover is
to show that this operator is
feasible for “classical” boolean
function
21
GROVER’S ALGORITHM
1. Start with the vector
1. Apply the Hadamard operator then
1. Calculate
1. Do T times
a. Apply
b. Apply
22
ANALYSIS: REFLECTION COMPOSITION
23
ANALYSIS: DYNAMIQUE
24
ANALYSIS: DYNAMIQUE
25
ANALYSIS: STOPPING
But remember
so
26
ANALYSIS: COMPLEXITY
since
Conclusion : the complexity of Grover’s algo is !!!!
so
27
QBIT PHYSICAL REALISATION
28
CLASSIC COMPUTER MECHANICAL
29
CLASSIC COMPUTER VACUUM TUBES
30
CLASSIC COMPUTER VLSI TRANSISTORS
31
QUANTUM COMPUTER JOSEPHSON JUNCTION
32
QUANTUM COMPUTER TRAPPED IONS
33
BUT ALSO...
Molecular quantum computer (First realisation of Shor algorithm)
Topological computing
Electron spin / Quantum dot
34
QUANTUM ECONOMICS
35
SMALL ECOSYSTEM
36
EMERGING BUT STILL A NICHE
37
CASH FOR QBITS
38
GLOBAL RACE
39
THANK YOU
https://www.linkedin.com/in/meirtoledano/

Grover's algorithm - Introduction to quantum computing