ASSIGNMENT COVER SHEET
An Assignment cover sheet needs to be included with each assignment. Please complete all details clearly.
When submitting the printed copy of this assignment, please attach this sheet to the front of your assignment. When submitting the
assignment online, please ensure this cover sheet is included as the first page of your document.
Please check with your subject lecturer for assignment submission locations.
Names: Student IDs:
Adele Lu Khai Syn 0323151
Leong Li JIng 0323628
Loh Mun Tong 0323680
Ee Hui Teng 0322548
Tam Zhao Wei 0322587
Yeap Phay Shian 0322243
Programme: Bachelor of Quantity Surveying (Honours), SCHOOL OF ARCHITECTURE, BUILDING & DESIGN
Email (Group Leader): phayshian@gmail.com Contact No (Group Leader): 0192265331
Subject code and title: QSB3413/QSB3414/FIN60203 FINANCIAL MANAGEMENT
Module Lecturer/ Tutor: Ms Tay Shir Men
Assignment number: Group Written Assignment Due date: 29/11/2018
Assignment topic as stated in the guidelines provided: Business and financial analyses and forecasts of a company.
Further Information: (e.g. state if extension was granted and attach evidence of approval and Revised Submission Date)
I have read and understood the Taylor’s University Regulations on cheating, plagiarism and collusion and state that this piece of
work is my own and does not contain any unacknowledged work from any other sources.
I authorise the University to test any work submitted by me, using text comparison software, for instances of plagiarism. I
understand this will involve the University or its contractor copying my work and storing it on a database to be used in future to test
work submitted by others.
Note: The attachment of this statement on any electronically submitted assignments will be deemed to have the same authority as a
signed statement.
Signed: Name: Date:
Adele Lu Khai Syn 29/11/2018
Leong Li Jing 29/11/2018
Loh Mun Tong 29/11/2018
Ee Hui Teng 29/11/2018
Tam Zhao Wei 29/11/2018
Yeap Phay Shian 29/11/2018
Date received from student : Received by:
1
TABLE OF CONTENTS
ITEM CONTENT PAGE
A Company’s Brief Background 2
B Principal Activities 6
C Revenue Contributions 7
D Current State of the Industry 14
E Company’s Strengths and Weaknesses 20
F Strategic Plans 22
G Major Capital Investment and Sources of Funding 23
H Analysis of Financial Condition
(i) Liquidity
(ii) Activity
(iii) Debt
(iv) Profitability
(v) Market Performance
24
30
31
34
40
I Conclusion and Recommendations 43
J References 45
K Appendices
Appendix A: Ratio Formula
Appendix B: Calculation of Ratio
Appendix C: Financial Data Summary
Appendix D: Statement of Financial Position
Appendix E: Statement of Comprehensive Income
Appendix F: Statement of Cash Flow
47
2
(A) - COMPANY’S BRIEF BACKGROUND
Introduction
Ken Holdings was first founded in 1980s as a specialist contractor for engineering works such as
underpinning, grouting and structural repair works. Today, Ken Holdings had expanded into several
segments such as property development, property investment management while still offering its
specialist services. The company is well-known for its sustainable development, making it one of the best
green developer in Malaysia thus receiving numerous awards such as the Singapore Building and
Construction Authority (BCA) Green Mark, US Green Building Council (USGBC) LEED, Carbon
Neutral Status and Futurarch Green Leadership Award.
Vision
Recognizing its responsibilities as a developer and nation builder, they will aspire to deliver
sustainable, quality developments that exceed customers’ expectations.
Mission
1. Enhance shareholders’ value through sustainable resource management and sound corporate
governance that promotes steady earnings growth;
2. committed to delivering sustainable quality homes that are efficiently planned and innovatively
designed on schedule;
3. embrace sustainable practices to preserve the environment for future generations; and
4. create learning opportunities and a conducive working environment that promote teamwork and
work life balance for sustainable job satisfaction.
3
Core Values
1. Hands On and Committed
- Accomplish, learn and coach effectively with hands-on experience; commit at all times
faithfully fulfilling their responsibilities as a developer to the communities.
2. Take Pride in Work
- Proud of their own KEN brand, and will keep the brand promise to constantly improve their
ability to contribute to customers.
- Careful, mindful, and thoughtful in all things that they do to fulfill their Vision Statement.
3. Innovative and Create Value
- Continually innovate and create value for their brand to achieve world class recognition.
4. Treat Everyone as Family
- Treat everyone in KEN as family member and will pool abilities to accomplish shared goals
5. Embrace Sustainable Practice
- Value the precious resources that they have and use them wisely, efficiently and effectively
- Embrace sustainable practices and endeavours to create more value by using lesser resources.
Board of Directors
4
Major Shareholders
Name No. of shares held Percentage (%)
1. Kencana Bahagia Sdn. Bhd 64,548,638 35.99
2. SJ Sec Nominees (Tempatan) Sdn. Bhd. Budaya
Dinamik Sdn. Bhd.
20,425,724 11.39
3. SJ Sec Nominees (Tempatan) Sdn. Bhd.
Pledged Securities Account for Seloka Aman Sdn.
Bhd
6,663,000 3.72
4. Tan Chek Siong 6,242,000 3.48
5. Tan Chek Een 6,000,000 3.35
6. Tan Chek Ying 6,000,000 3.35
7. Dato’ Tan Boon Kang 3,963,600 2.21
8. Tan Foo See 3,405,378 1.90
9. Kencana Bahagia Sdn. Bhd. 3,300,000 1.84
10. Teo Kwee Hock 3,132,500 1.75
11. Yeoh Phek Leng 3,060,000 1.71
12. Maybank Nominees (Tempatan) Sdn. Bhd.
Pledged Securities Account for Tan Kian Ling
2,640,000 1.47
13. CIMSEC Nominess (Tempatan) Sdn. Bhd. CIMB
Bank for Tan Kian Ling (MY2236)
2,500,000 1.39
14. To’ Puan Lau Pek Kuan 2,300,000 1.28
15. SJ Sec Nominees (Tempatan) Sdn. Bhd. Pledged
Securities Account for Adat Saga Sdn. Bhd.
2,095,300 1.17
5
16. I-Wen Morsingh 1,687,000 0.94
17. To’ Puan Lau Pek Kuan 1,617,000 0.90
18. Tan Chee Koon 1,530,800 0.85
19. Liew Yoon Yee 1,436,000 0.80
20. Low Siew Choong @ Liew Siew Meng 1,265,500 0.71
21. Tan Moon Hwa 1,202,680 0.67
22. DB (Malaysia) Nominee (Tempatan) Sendirian
Berhad
Exempt An for Bank of Singapore Limited
1,131,700 0.63
23. CIMSEC Nominess (Tempatan) Sdn. Bhd. CIMB
Bank for Tan Kian Aik (PBCL-0G0496)
1,000,000 0.56
24. UOB Kay Hian Nominees (Tempatan) Sdn. Bhd.
Pledged Securities Account for Teo Siew Lai
930,100 0.52
25. Universal Trustee (Malaysia) Berhad
TA Islamic Fund
828,000 0.46
26. Liew Yoon Yee 700,500 0.39
27. Lim Pay Kaon 700,000 0.39
28. Cartaban Nominees (Tempatan) Sdn. Bhd. AXA
Affin General Insurance Berhad
632,300 0.35
29. Lau Chin Kok 623,000 0.35
30. Yeo Khee Huat 593,000 0.33
Total 152,154,720 84.85
6
(B) - PRINCIPAL ACTIVITIES
Ken’s Holdings Berhad engaged mainly in the investment holding and the provision of
management services around the whole Malaysia. As for the principal activities of subsidiaries
companies, the company separated into different sectors, such as property holding, investment and
development, specialist engineering services, geotechnical, civil engineering and building works, land
reclamation and marine engineering, property management and car park management. Ken Holdings
Berhad has many developed properties including Menara Ken TTDI and Ken Rimba Township which
consist of Ken Rimba Commercial Centre, Ken Rimba Legian Residences, Ken Rimba Jimbaran
Residences, and Ken Rimba Condominium 1 (KRC1). Besides, the subsidiary companies involved in
these property development activities are Ken Property Sdn. Bhd., Ken JBCC Sdn. Bhd. and Khidmat
Tulin Sdn. Bhd.
Moreover, Ken Holdings Berhad also perform in investments and management services. Some of
the subsidiary companies that carry out investing activities for the company are Ken Projects Sdn. Bhd.,
Ken Estate Sdn. Bhd., Ken Highlands Sdn. Bhd. and Ken City Sdn. Bhd. while the subsidiary company
that overlook management services includes T.B.S Management Sdn. Bhd. which is mainly involved in
property management services and Ken Park Sdn. Bhd. which is involved in Car Park Management.
7
(C) - REVENUE CONTRIBUTIONS
Segment is generally defined as each of the parts into which something is or may be divided.
Definition of segment in business term is a division or subset of a business’ operation, that can be
identified by the products it provides or by the services or geographical locations it operates in, especially
in large corporations. In other words, segment is a single part of a business that can be distinctly separated
from the company as a whole based on its customers, products, or market places. Management often
divide companies into business segments to identify which areas of the company are performing well,
which areas need improvement and which operation or departments have to discontinue during time of
slow economic growth.
Revenue contribution will be studied based on KEN Holdings Berhad’s annual reports from
FY2013 to FY2017. The contribution of revenue in KEN group are mainly focused on two important
segments which are construction including specialist engineering services, turnkey contracts, building and
civil and engineering works, land reclamation, dredging, marine and civil engineering, as well as property
development including the development of residential and commercial properties.
The measurement of revenue can be separate into two which are the revenue from external
customer and inter-segment revenue. Revenue from external customer is basically earned by selling goods
and services especially from the property development segment by selling out goods and services to
individual household. Other than that, the inter-segment revenue is the revenue generated from one
segment of a company to another within the same company. Construction is the main inter-segment that
contributes revenue within the company. This revenue has been excluded from financial statement, as it is
not considered to be an incoming profit but income generated within the organization.
8
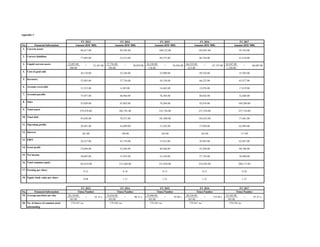
Revenue Contribution in FY 2013
Figure 1: Revenue Contribution for Year 2013
Figure 2: Revenue Contribution for Year 2013
Based on the pie chart shown in figure above, property development segment generated most
revenue in FY2013 as it occupied 61.84% of the total revenue with RM54,731,000. However, the revenue
amount of property development had decreased 3.73% compared to last year which is RM53,993,000.
Other than that, KEN group had received 38.16% of inter-segment revenue from construction over total
revenue with RM33.775,000. It had decreased by 3.73% compared to last year which is RM38,916,000.
In short, most revenue generated in FY2015 is property development segment. It had total
revenue of RM54,731,000 compared to construction segment which is RM38,916,000.
Construction
38%
Property
Development
62%
REVENUE CONTRIBUTION IN FY2013
9
Revenue Contribution in FY2014
Figure 3: Revenue Contribution for Year 2014
Figure 4: Revenue Contribution for Year 2014
Based on the pie chart shown in figure above, property development segment generated most
revenue in FY2014 as it occupied 60.95% of the total revenue with RM90,688,000. However, the revenue
amount of property development had decreased 0.89% compared to last year which is RM54,731,000.
Other than that, KEN group had received 39.05% of inter-segment revenue from construction over total
revenue with RM58,114,000. It had increased by 0.89% compared to last year which is RM33,775,000.
In short, most revenue generated in FY2015 is property development segment. It had total
revenue of RM90,688,000 compared to construction segment which is RM33,775,000.
Construction
39%
Property
Development
61%
REVENUE CONTRIBUTION IN FY2014
10
Revenue Contribution in FY2015
Figure 5: Revenue Contribution for Year 2015
Figure 6: Revenue Contribution for Year 2015
Based on the pie chart shown in figure above, property development segment generated most
revenue in FY2015 as it occupied 51.13% of the total revenue with RM73,789,000. However, the revenue
amount of property development had decreased 9.82% compared to last year which is RM90,688,000.
Other than that, KEN group had received 48.87% of inter-segment revenue from construction over total
revenue with RM70,522,000. It had increased by 9.82% compared to last year which is RM58,144,000.
In short, most revenue generated in FY2015 is property development segment. It had total
revenue of RM73,789,000 compared to construction segment which is RM70,522,000.
Construction
49%
Property
Development
51%
REVENUE CONTRIBUTION IN FY2015
11
Revenue Contribution in FY2016
Figure 7: Revenue Contribution for Year 2016
Figure 8: Revenue Contribution for Year 2016
Based on the pie chart shown in figure above, property development segment generated most
revenue in FY2016 as it occupied 49.14% of the total revenue with RM92,492,000. However, the revenue
amount of property development had decreased 1.99% compared to last year which is RM73,789,000.
Other than that, KEN group had received 50.86% of inter-segment revenue from construction over total
revenue with RM95,718,000. It had increased by 1.99% compared to last year which is RM58,144,000.
In short, most revenue generated in FY2016 is property development segment. It had total
revenue of RM92,492,000 compared to construction segment which is RM58,144,000.
Construction
51%
Property
Development
49%
REVENUE CONTRIBUTION IN FY2016
12
Revenue Contribution in FY2017
Figure 9: Revenue Contribution for Year 2017
Figure 10: Revenue Contribution for Year 2017
Based on the pie chart shown in figure above, property development segment generated most
revenue in FY2017 as it occupied 63.89% of the total revenue with RM101,555,000. However, the
revenue amount of property development had increased 14.75% compared to last year which is
RM92,492,000. Other than that, KEN group had received 36.11% of inter-segment revenue from
construction over total revenue with RM57,408,000. It had increased by 14.75% compared to last year
which is RM95,718,000.
In short, most revenue generated in FY2017 is property development segment. It had total
revenue of RM101,555,000 compared to construction segment which is RM95,718,000.
Construction
36%
Property
Development
64%
REVENUE CONTRIBUTION IN FY2017
13
Figure 11: Analysis of Revenue Contribution from FY2013 to FY2017
YEAR 2013
RM (‘000)
2014
RM (‘000)
2015
RM (‘000)
2016
RM (‘000)
2017
RM (‘000)
CONSTRUCTION 33,775 58,114 70,522 95,718 57,408
(%) 38.16 39.05 48.87 50.86 36.11
PROPERTY
DEVELOPMENT
54,731 90,688 73,789 92,492 101,555
(%) 61.84 60.95 51.13 49.14 63.89
TOTAL 88,506 148,802 144,311 188,210 158,963
(%) 100% 100% 100% 100% 100%
Table 1: Analysis of Revenue Contribution from FY2013 to FY2017
Referring to the summarize revenue contribution presented in the table and figure above, property
development segment is the main revenue contributor to KEN Holdings Berhad from FY2013 to FY2017,
except for FY2016 where the construction segment contributes slightly higher than property development.
In the early year in FY2013 and FY2014, the portion of revenue is obviously mainly from
property development with 61.84% and 60.95% over total revenue contribution respectively. In FY2015,
0
10
20
30
40
50
60
70
2013 2014 2015 2016 2017
ANALYSIS OF REVENUE CONTRIBUTION
Construction Property Development
14
the construction segment began to growth for the company and increase its’s contribution to 48.87% over
total revenue contribution, which makes the company generate revenue evenly from both major segments.
In FY2016, the revenue contribution generated is even within both segment but with higher portion in
construction segment of 50.86% over total revenue contribution. Construction segment is then become the
major revenue of the company in FY2016. However, the revenue contributed by construction segment
decreased exaggeratedly by 15% in FY2017, which is from 50.86% to 36.11%; while the property
development revenue contribution has increased gradually and became the major revenue in the company
with 14.75% of increase.
In short, the revenue contribution in KEN Holdings Berhad is interdependent between these two
important segments. From the analysis above, we can conclude that KEN group focused mostly on
property development throughout the years.
(D) - CURRENT STATE OF THE INDUSTRY
Current Size of the Market
KEN Holdings Berhad was established in the year 1980 as a specialist contractor that provides
engineering services and has now grown to become one of the most reputable property development
company in Malaysia today. KEN Holdings Berhad is also Malaysia’s first multiple award-winning green
developer. In the year 2009, KEN Property launched Malaysia’s first BCA Green Mark Gold Plus Award
building, KEN Bangsar. This development has marked the company as a pioneer and authority in the
green building construction sector. Few years later, KEN Holdings strived in making its mark as the
country’s leading green developer by launching Malaysia’s first green township, KEN Rimba.
In order to drive the country’s economic growth in terms of offering numerous economic
opportunities and potential in the field of economic regeneration, innovation and wealth creation, the
embracement of green technology has now been widely accepted and implemented by the construction
industry in Malaysia. The Government of Malaysia continues to promote and encourage the
implementation of green and sustainable housing development. Appropriate actions were taken by the
Malaysian Government to assure the achievement of this goal. For instance, the establishment of the
15
Green Building Index (GBI) in the year 2008 and Malaysia Green Building Confederation (MGBC) in the
year 2007. Both of these organisations are supported by the two professional organisations, the
Pertubuhan Akitek Malaysia (PAM) and the Association of Consulting Engineers Malaysia (ACEM). The
GBI is set up mainly to develop and promote Green-rated buildings’ certifications and accreditations. On
the other hand, the MGBC is set up to ensure the development of a sustainable built environment via
collaboration and supporting the government and the industry.
The main reason of marching towards the green and sustainable construction development is due
to the benefits that can be brought about by this implementation and practice. For an example, at a
building level, the KEN Rimba developed by KEN Holdings Berhad has achieved a certified GBI rating
as Provisional Certified Townships (PA) in the year 2017. This is due to the fulfilment of a few parts set
up by the GBI organisation which are Energy Efficient (EE), Indoor Environment Quality (EQ),
Sustainable Site Planning & Management (SM), Materials & Resources (MR), Water Efficiency (WE)
and Innovation (IN). All of these parts are set with a maximum points that can be achieved. KEN Rimba
has fulfilled these points and thus awarded a certified GBI rating. Besides the achievement in GBI rating,
the KEN Rimba Legian Residences that is located at Shah Alam was also awarded the Building and
Construction Authority (BCA) Green Mark Gold.
16
Besides this township of KEN Holdings Berhad that have achieved the key features of a green
and sustainable development, many other projects developed by this company have also been listed as
green construction development. Below is the list of developments with the award milestone from year
2009 to 2017 acquired from KEN Holdings Berhad 2017 Annual Report:
The KEN Holdings Berhad with a paid-up capital of RN95.9 million consists of 191,720,000
ordinary shares of RM0.50 per share after share split and 12,375,400 treasury shares
On the other hand, the growth of Malaysia’s economy greatly depends on the construction line.
This is because the construction sector’s development can bring about the prosperous of secondary sectors
such as manufacturing, services and etcetera. According to the Department of Statistics Malaysia
(DOSM), Malaysia’s economy has grown by 4.5% in the second quarter of 2018 (Q2 2018). This growth
rate is slightly lower than the first quarter (Q1 2018) of 5.4%. However, the Services, Manufacturing and
Construction sectors are growing positively. Referring to the breakdown of Gross Domestic Product
(GDP) by kind of economic activity in Q2 2018, the growth rate of the construction sector eased to 4.7%
from 4.9% in Q1 2018. The growth of the construction sector is mainly driven by the vibrant momentum
of Civil Engineering construction which rosed up to 18.9%. Contrarily, the growth rate of non-residential
and residential buildings declined to 4.6% and 7.3% respectively. This has caused an impact to the
moderation in the construction sector.
Even though with this current construction industry, the KEN Holdings Berhad never stops to
strive higher. There are more future developments planned by KEN Holdings Berhad and it will be
further discussed in the coming topic.
Prospects for Future Growth
According to the Budget 2019 Malaysia, the Government expects the GDP to grow 4.9% despite
the uncertainties in the global economy. Plus, the Sustainable Development Fund in Malaysia will be
financed with RM1 billion with aim to support and encourage sustainable development, Agenda 2030 for
Sustainable Development and the 17 Sustainable Development Goals (SDG) of the United Nations
Development Programme (UNDP). The growth of Sustainable and Green Construction Development is
17
further supported by the steps and initiatives introduced by the Government in the Budget 2019. For
instance, for first-time home owners purchasing properties priced up to RM500,000, they will be eligible
to stamp duty waived up to RM300,000. This initiative supported the targeted buyers of KEN Holdings
Berhad which is first-time buyers and also the younger generation. Furthermore, the exemption of SST
charges on construction and building materials have encourage more construction development to be
undertaken. Moreover, the Government also introduced RM1 billion fund which offers home loans at a
concessionary rate from as low as 3.5% per annum. All of these actions are taken to promote the growth
of the construction sector.
With the support from the Malaysia Government, KEN Holdings Berhad is all set to take on
another great accomplishment. The KEN Holdings Berhad is currently planning two major green
development namely KEN Johor Bahru and KEN Kota Bharu.
The KEN Johor Bahru will be located at the heart of the city, near Woodsland checkpoint, Johor
Bahru, and is roughly 2.5km far from the Malaysia-Singapore causeway. This major development will be
an integrated development consisting of residential and commercial units with a hotel, service suites and a
shopping mall. As mentioned by Sam Tan, the managing director of KEN, at The Edge Financial Daily,
2014, ‘it is quite a big master plan. we are planning for this to be a top rating green district. apart from
that, property has become unaffordable especially for the locals. we are trying, especially in the first
phase to offer a product that is still affordable.’
Figure 12: KEN Johor Bahru
The other future development of KEN Holdings Berhad is the KEN Kota Bharu which is located
next to the KB Mall at Seksyen 16, Jalan Hamzah, 15050 Kota Bharu, Kelantan. Once again, this
proposed construction project is a proposed mixed-green development that features a condominium with
18
200 units and a hotel with 150 rooms. Similar to other projects of KEN, this development will incorporate
the KEN properties signature green features that are rainwater harvesting and louvred windows.
Figure 13: KEN Kota Bharu
As mentioned by the Group Executive Chairman of KEN Holdings Berhad, Data’ Tan Boon
Kang in the Annual Report 2017, the conception in the property market is expected to remain lackluster in
2018 with certain sub-sectors being in an oversupplied position. However, Dato’ Tan believes that with
the Group’s exceptional offerings of affordable high rated green developments that is bound to the
Group’s resonating brand and values, many buyers of the younger generation and first-time home owners
will continue to be appealed to the purchase. The Group will also focus more on growing its recurring
income base due to the subdued demand for properties caused by the slow growth of the operating
environment. Nevertheless, the Group is still confident that their performance will remain resilient in the
coming year.
KEN Holdings Berhad’s Group Managing Director, Tan Check Siong mentioned the company’s
future prospects will be focused on completing the KEN Rimba Condominium (KRC1) and look forward
to strengthen the company’s long term recurring income via rental of office and commercial spaces in
Menara KEN TTDI as well as monetizing the remaining inventories of the Group in order to achieve
more sustainable earnings for the group.
19
Challenges Facing the Industry
As published by The Star Online on the 25th
of October 2018, it is said by the Works Ministry
Secretary – General Datuk Seri Zohari Akob, the construction sector in Malaysia is expected to record a
slower growth in 2019 due to the revision of mega projects by the new Pakatan Harapan government in
line with the slowdown in the global construction industry. For instance, the Kuala Lumpur-Singapore
high-speed rail which cost around RM60 billion to RM70 billion and the mass rapid transit Line 3 (MRT
Line 3) which cost RM40 billion were being on hold thereafter. Even though it is said that there might be
a revival of these projects, but the chances of this happening in the near future is slim. Nonetheless, Datuk
Seri Zohari Akod emphasize that the construction industry’s contribution to the gross domestic product
(GDP) will remain positive in year 2019.
Due to the cut in original allocation of development expenditure for the construction industry
from RM260 billion to RM220billion for the overall 11th
Malaysia Plan, this has affected a lot of
construction decision making of bunch of construction companies.
One of the key challenge faced by the Malaysia Construction Industry is the issue of manpower
shortage which can result in a delay in completion of construction projects. This has greatly inhibited the
growth of the construction market. Hence, solutions have been identified to minimize this issue. For
example, as mentioned by Master Builders Association Malaysia (MBAM) president, Foo Chek Lee said
that the implementation of Industrial Building Systems (IBS) in the construction industry have reduced
the usage of manpower and hence speeding up the construction time. As a result, a shorter period of
project delivery can be accomplished and hence benefiting the entire industry at large.
Another issue that the construction industry is currently facing that have a direct impact on KEN
Holdings Berhad is a problem related to the construction development of residential projects. According
to Dato’ Tony Looi, the group chairman of Ban Lee Hin Group, he pointed out that the construction
development especially the residential projects might exceed the demand based on the current population
in the next few years. Plus, it is important that the residential development projects maintain optimal in
terms of affordability according to the capabilities of the local residents.
Furthermore, another crucial issue for the concern of the industry is the need to raise the quality
and delivery of projects. This problem can be tackled by the adoption of Quality Assurance System
(QLASSIC). Additionally, it is also very critical for a project to be delivered with at least an ISO
20
certification on quality. By taking all these measures, the house buyers will have more confidence in
purchasing quality houses. Nonetheless, this issue has very little impact on KEN Holdings Berhad, as the
company’s vision and mission is to deliver sustainable and quality projects.
Particularly, one of the challenges that is faced by KEN Holdings Berhad is the issue of slow
moving and obsolete inventories such as the unsold units as stated in the Annual Report 2017. This might
be affected by the current economic of the country. Due to the low income of the people, it is difficult to
own a house in the urban areas nowadays especially landed properties. As a result, there are more and
more unsold property units due to the dampening of demand and price of properties. To resolve this
matter, the KEN Holdings Berhad assessed the unsold units based on enquiries with the management in
order to address the slow-moving inventories.
(E) - COMPANY’S STRENGTHS AND WEAKNESSES
Strengths
One of the strengths of Ken Holdings Berhad is that it is Malaysia’s first ever green developer.
Due to their commitment in being a green developer, Ken Holdings Berhad endeavours to embrace
sustainable practices by carrying out activities and investing in projects the reduce carbon emission. Ken
Holdings Berhad achieved the Carbon Neutral Status consistently since the year 2010. This means that
they have been holding the title for seven years in a row now.
Besides that, Ken Holdings Berhad has won other numerous awards namely, BCA Green Mark
Gold Award, GBI Gold Award and the Edge-PAM Green Excellence Award. These prestigious awards
earned are a strength of the firm. Ken Holdings Berhad stands out from the rest because they’re not only a
developer, they’re the first green developer in Malaysia.
Ken Holdings Berhad promotes steady earnings growth by enhancing shareholders’ value through
sustainable resource management and sound corporate governance. They also embrace sustainable
21
methods to preserve the environment for the future generations. Moreover, they also committed to
delivering sustainable quality homes which are planned efficiently and designed innovatively on time.
The founder of the Group, Dato’ Tan Boon Kang, has an extensive experience in the specialist
engineering and he was the pioneer in Malaysia for the outstanding soil nailing system, that is currently
the most widely used method for slope protection. Dato’ Tan has contributed tremendously in elevating
the Group to one of the established specialist engineering companies in Malaysia and Hong Kong. Apart
from that, he also diversified the Group’s business into a property development and has created a
prominent brand name, at the same time earning loyalty from property buyers.
Since Ken Holdings Berhad is a pioneer of green developments in Malaysia, they have embarked
on sustainable building initiatives by constantly working on building developments that are built
responsibly and in accordance with international green building guidelines. Likewise, they aim to develop
buildings of sustainable lifestyles for their home purchasers.
Since the year 2009, all projects undertaken by Ken Holdings Berhad have been green-rated; this
consists of KEN Bangsar, KEN Rimba Legian Residences, KEN Rimba Commercial Centre and KEN
Rimba Jimbaran Residences, Menara KEN TTDI and KEN Rimba Condominium 1. Green-rated
buildings are recognized as being prestigious and it offers many benefits in terms of environmental,
economic and social.
All in all, Ken Holdings Berhad’s strengths are evident based on their sustainable developments
and awards.
Weaknesses
On the other hand, when there are strengths, there are also weaknesses. A company’s weakness is
known as any resource of process that a firm lacks, thereby limiting the firm’s abilities to reach its full
potential. As a matter of fact, even successful companies have their own weaknesses.
22
Based on the annual report, Ken Holdings Berhad’s inventory turnover is generally low, whereby
the inventory figures are all less than 1x. Furthermore, their inventory turnover has decreased 0.2 times
from FY 2016 to FY2017. Low inventory turnover indicates weak sales and possibly excess inventory. It
can also imply that the demand for the product is low or the customers think that the product is
overpriced. As such, low inventory turnover leads to weaker performance for the firm.
(F) - STRATEGIC PLANS
The Malaysian property market is concern with oversupply of properties, stringent lending
environment from financial institutions, hike in interest rates, increasing cost of living and cautious
consumer spending which led to the dampening of demand and prices of properties in recent years.
However, Ken Holdings Berhad believed that their company’s unique offerings of affordable high rated
green developments together with the company’s resonating brand and values will continue to appeal
buyers particularly from the younger working class and first-time buyers. In addition, given to the slow
growth operating environment and that the demand for properties will likely to remain subdued, Ken
Holdings Berhad will place emphasis on growing its recurring income base.
The company acknowledges the responsibility in the implementation of Malaysian Code of
Corporate Governance (MCCG) which was issued by the Securities Commission Malaysia in April 2017.
Therefore, the Board takes the overall responsibility and are committed in ensuring that the highest
standards of corporate governance are maintained throughout the company. They will periodically review
and update the Board Charter in accordance with the needs of the company and any new regulations to
ensure the affairs of the company are conducted with integrity and professionalism with the objective of
safeguarding shareholders’ investment and ultimately enhancing long term shareholder value.
As a pioneer of green developments in Malaysia, Ken Holdings Berhad has quality assurance on
the sustainability performance of the homes to their purchasers. The company place emphasis on the
procurement of materials to ensure the suppliers are reputable, able to deliver quality products and in a
timely manner whilst being the most cost efficient to ensure their housing development units remain
affordable to purchasers. The key design features and principles adopted by Ken Holdings Berhad’s
developments include the carbon emission and offsetting methods, transplantation at residential
23
condominium to preserve a friendly environment, energy conservation such as maximising natural
lighting and zoned-air-conditioning system, water conservation and waste management.
One of the recent sustainable developments by Ken Holdings Berhad is Menara Ken TTDI, a
corporate office tower situated at Taman Tun Dr Ismail, Kuala Lumpur. The office tower comprises of
Platinum Grade Office suits, a performing arts theatre, an art gallery, food and beverage outlets, a
gymnasium, rooftop pool and sky bar. The company believed that the integration of the needs with
today’s urbanities and corporate executives with various attractive facilities and amenities in the office
tower will give them a competitive edge in securing more tenants in the near future. The company will
continue to focus on having a broader tenant base of quality corporations with long lease periods in the
coming year to improve occupancy rate which in turn will translate to long term earnings visibility.
(G) - MAJOR CAPITAL INVESTMENT AND SOURCES OF FUNDING
The KEN Holdings Berhad is a company that primarily involves in investment holding and provision
of management services. Besides this, the company is also actively involved in property holding, investment
and development, specialist engineering services, geo-technic field, civil engineering and building work, land
reclamation, marine engineering and property management for the past three years. Except in the year 2017,
there is a new involvement in car park management by the company.
Being Malaysia’s first Green Developer, property development is the company’s major capital
investments during the last three financial years. Currently, KEN Holdings Berhad is pushing the sales for
KEN Rimba located at Shah Alam, Selangor. It is the country’s first green township. Within this township,
there are different types of development such as the KEN Rimba Commercial Centre (completed in year 2013),
KEN Rimba Legian Residences (2012), KEN Rimba Jimbaran Residences (2015) and KEN Rimba
Condominium 1 (KRC1) (2018). These developments are all carried out under the company name of Ken
Rimba Sdn. Bhd. under the property development and investment holding.
The most recent development of KEN Holdings Berhad is the KRC1 which is also the main revenue
source of the company. According to the Annual Report 2017, KEN Holdings Berhad was recorded a total
revenue of RM104.2 million, an increase of 12.3% as compared to the last financial year in 2016. With higher
revenue registered, the profit before tax have increased to RM62.9 million during the year. The higher revenue
24
was mainly contributed by the new sales registered and higher progress billings from the KRC1 project during
the year.
Besides the KRC1 major investment of the company, the Menara KEN TTDI is also one of the major
investment in the last three financial years. Referring to the Annual Report 2017, the total cash and cash
equivalents as at 31 December 2017 stood at RM2.8 million. Higher operating cashflows were used to finance
higher working capital requirements which result in the Group’s net cash generated from operations reduced to
RM10.7 million during the financial year. With the completion of the corporate office tower, Menara KEN
TTDI, the net cash used in investing activities decreased to RM10.5 million as compared to RM25.9 million in
year 2016.
As mentioned above, the KRC1 is the one of the major investment that contributes majorly to the
company’s revenue. The major source of funding for this investment is via new sales registered and progress
billing. On the other hand, the Menara KEN TTDI that is completed in year 2017 is funded by source of rental
of office and commercial spaces. As for bank loans, the principal banker for both of these investments is the
Malayan Banking Berhad.
(H) - ANALYSIS OF FINANCIAL CONDITION
(i) Liquidity
LIQUIDITY RATIOS (QUICK RATIO & CURRENT RATIO)
The financial performance of a company can be analyzed through liquidity ratios, that are current
ratio and quick ratio. These ratios indicate the firm’s ability to meet its current debt obligations based on
its current assets. For current ratio, the firm’s current assets is compared with its current liabilities.
Meanwhile, the analysis of quick ratio compares a firm’s cash and current assets (minus inventory) that
can be converted into cash during the year with the liabilities that should be paid within the year. Higher
liquidity ratios indicates that the company would have a higher safety margin to meet its current
liabilities.
25
Figure 14: Liquidity Ratio Analysis
YEARS 2013 2014 2015 2016 2017
CURRENT RATIOS 1.26 x 1.77 x 1.29 x 1.19 x 2.30 x
QUICK RATIOS 0.58 x 0.68 x 0.62 x 0.41 x 0.69 x
Table 2: The current ratios and quick ratios for FY2013 - FY2017
Based on the current ratio calculations and analysis, the current ratios for all five financial years
are higher than one, which indicates that Ken Holdings Berhad is healthy and less likely to face financial
difficulties, thus the firm should be able to remain solvent in the short term. If the current ratio is less than
one, then the firm might not have the capital on hand to meet its short-term obligations if they were all
due at the same time. The current ratio of Ken Holdings Berhad increased from FY2013 to FY2014,
followed by a decrease from FY2014 to FY2016. Although the current ratio declined from FY2014 to
FY2016, the firm managed to increase its current ratio at 2.30 times, that is the highest current ratio
among the five years analyzed. For every RM1 of current liabilities, the firm has RM2.30 current assets to
26
pay. It shows that the firm has increased their capability of paying off its short term debts and because it
has a larger proportion of short term asset value relative to the value of its short term liabilities.
As for quick ratios, it is used to indicate the firm’s short term liquidity position. The firm’s ability
to meet its short term obligations with its most liquid assets can be measured using this ratio. Quick ratio
is also known as acid test ratio and it provides a better measure of overall liquidity only when a firm’s
inventory cannot be easily converted into cash. It indicates the firm’s financial position to use its liquid
assets to pay its current liabilities. For Ken Holdings Berhad quick ratio, the trend is similar to current
ratio whereby the quick ratio in FY2013 to FY2014 increase, followed by a decrease from FY2014 to
FY2016. From FY2016 to FY2017, the quick ratio rise up, becoming the highest quick ratio for the firm
out of the five years analysed. In FY2017, Ken Holdings Berhad has RM0.69 in quick assets for every
RM1.00 in current debt. This means that if Ken Holdings Berhad pays RM1.00, the firm only has
RM0.69 to serve their debts. Thus, this shows that the firm is generally dependent on inventory in paying
their debts.
INVENTORY TURNOVER
Inventory turnover is a ratio showing the number of times a firm has sold and replaced inventory
during a certain period. Besides inventory turnover, average collection period, average payment period
and total asset turnover ratio can be used to analyse the activity of the firm. These ratios indicate the
efficiency of the firm in using its asset to generate revenue. For inventory turnover calculations, it helps
the firm to make wiser decisions on pricing, manufacturing runs as well as how and when to purchase
inventories.
27
Figure 15: Inventory Turnover Analysis
YEARS 2013 2014 2015 2016 2017
INVENTORY TURNOVER 0.38 x 0.62 x 0.60 x 0.74 x 0.54 x
Table 3: The inventory turnover ratios for FY2013 – FY2017
From FY2013 to FY2014, the increase in the inventory turnover ratio is in line with Ken
Holdings Berhad’s increase in revenue. According to its income statements, a steady increase from
RM55,828,000 in FY2013 to RM91,082,000 in FY2014 is observed. In FY2014 to FY2015, the inventory
turnover decreased slightly, as well as its revenue. This indicates that the firm has sold and replaced
inventory lesser times than FY2014. Ken Holdings Berhad’s inventory turnover bounced back and rose
gradually, along with its revenue. From FY2016 to FY2017, the inventory turnover declined; however,
the firm’s revenue increased. This means that the firm was not that efficient as a significant increase in
activity did not translate to a proportional increase in revenue. The decrease in inventory turnover from
FY2016 to FY2017 indicates that the inventory is quickly converted to sales as more sales is generated.
28
AVERAGE COLLECTION PERIOD
Average Collection Period is used to measure the amount of time it takes for a firm to receive
payments owed based on account receivables. It determines the firm’s ability to collect receivables from
its debtors.
Figure 16: Average Collection Period Analysis
YEARS 2013 2014 2015 2016 2017
AVERAGE COLLECTION PERIOD 183 Days 183 Days 183 Days 183 Days 184 Days
Table 4: The average collection period ratios for FY2013 – FY2017
For the Average Collection Period of Ken Holdings Berhad, the firm required 183 days to collect
its receivable from its debtors from FY2013 to FY2016, whereas in FY2017, there was a slight increase
of 1 extra day as compared to the past four years. Based on the Average Collection Period calculations
from the five financial years, Ken Holdings Berhad’s ability to collect receivables from its debtors is
steady and consistent throughout the five years’ performance. Hence, it shows that Ken Holdings Berhad
is performing well in collecting receivables from its debtors.
29
AVERAGE PAYMENT PERIOD
Average Payment Period is used to determine the effectiveness of the firm to pay its creditors. It
measures the average number of days it takes for a firm to pay off credit accounts payable.
Figure 17: Average Payment Period Analysis
YEARS 2013 2014 2015 2016 2017
AVERAGE PAYMENT PERIOD 1341
Days
479
Days
844
Days
596
Days
336
Days
Table 5: The average payment period ratios for FY2013 – FY2017
In FY 2013, the number of days it took for Ken Holdings Berhad to pay its debts to its creditors is
1341 days. The number of days it took for the firm to pay off its creditors decreased drastically in FY2014
to 479 days. There was an increase in FY2015, being 844 days. This was followed by a decrease in the
number of days it took for Ken Holdings Berhad to pay off its debts in FY2016, that is 596 days and
lastly, 336 days in FY2017, being the least number of days for the firm to pay its debts out of the five
financial years analyzed. A shorter payment period indicates prompt payments to creditors by the firm.
30
(ii) Activity
RETURN ON COMMON EQUITY
Return on common equity is a profitability ratio which analyses the ability of a firm to generate
profits from its shareholders investments in the company. The return on common equity shows how much
profit each RM 1 of common stockholders’ equity generates.
Figure 18: Return on Common Equity Ratio Analysis
YEARS 2013 2014 2015 2016 2017
RETURN ON COMMON
EQUITY
11.38% 15.05% 10.06% 10.91% 16.79%
Table 6: The return on common equity ratios for FY2013 – FY2017
31
There is an increase on the return on common equity of Ken Holdings Berhad with a percentage
of 11.38% in FY2013 to 15.05% in FY2014, yet in FY2015 and FY2016, the return on common equity
fell to a percentage of 10.06% and increases back to 10.91%. In FY2017, the company managed to rise its
return on common equity up to 16.79% which shows that Ken Holdings Berhad is generating profit,
increasing the shareholder’s value of their investments in the company.
(iii) Debt
The debt level of the company can be analyzed using debt ratio, time interest earned and fixed
payment coverage ratios. These three ratios can also use to determine whether is the company finance its
assets by debt or equity or both.
DEBT RATIO
Figure 19: Debt Ratio Analysis
32
YEARS 2013 2014 2015 2016 2017
DEBT RATIO 34% 25% 31% 29% 16%
Table 7: The debt ratios for FY2013 – FY2017
Debt ratio is the percentage of the firm’s assets that are financed by debt. The higher the debt
ratio, the more likely a company will experience financial difficulties as the company may fail to pay
back its liabilities on time.
Ken Holdings Berhad finance its assets by 34% of debts in FY2013; 25% in FY2014; 31% in
FY2015; 29% in FY2016 and 16% in FY2017 as shown in Table 6. As shown in Figure 6, the debt ratios
of Ken Holdings Berhad is reduced every year from FY2013 to FY2017, except for FY2014 to FY2015
with 6% of increase. The increase of ratio may be caused by the company decision to finance its assets
with debts. However, the significant decrease of ratio from FY2015 to FY2017 is a healthy and good
performance for the company as the amount of debts to finances the assets is reduced. The lower the
percentage of the debt ratio represented the company is getting good performance in financing the total
assets by total debts. This result can aids the company in obtaining loan in the future which the decrease
of debt ratio indicates the company is getting more stable compared to previous years.
33
TIME INTEREST EARNED
Figure 20: Time Interest Ratio Analysis
YEARS 2013 2014 2015 2016 2017
TIME INTEREST EARNED 108.82 x 229.52 x 300.59 x 352.86 x 538.32 x
Table 8: The time interest earned ratios for FY2013 – FY2017
Time interest earned ratio is the amount of operating income available to service interest
payments, which also is to measure a company’s ability to honor its debt payments. The higher the time
interest earned ratio, the more effective the company able to finance interest payment. Conversely, the
lower time interest earned indicate high credit risk.
The time interest earned ratio increased significantly from FY2013 to FY2017. Ken Holdings
Berhad’s ability to pay the interest expenses by using the operating profits in FY2013 is 108.82 times; 229.52
times in FY2014; 300.59 times in FY2015; 352.86 times in FY2016, and 538.32 times in FY2017 as shown in
Table 7. As shown in Figure 7, the time interest ratio increase gradually and reached its peak at FY2017 with
538.32 times. The significant rise of time interest ratio is a signal of financial health and it shows that the
company has ability to meet the interest payment by managing the debt’s interest effectively.
34
FIXED-PAYMENT COVERAGE RATIO
Fixed-payment coverage ratio measures the firm’s ability to meet all fixed-payment obligations.
The higher the fixed-payment coverage ratio, the better the company capable to sustain against the fixed
charges. However, Ken Holdings Berhad did not provide sufficient information such as lease payment,
principal payment, and preferred stock dividends to complete the ratio calculation. Therefore, the
calculation of fixed-payment coverage ratio is not included in this report.
(iv) Profitability
TOTAL ASSET TURNOVER
Total asset turnover is a ratio to measure the efficiency of a firm to generate sales using its assets.
It measures the amount of sales the company can generate with RM1 invested in assets.
Figure 21: Asset Turnover Analysis
35
YEARS 2013 2014 2015 2016 2017
ASSET TURNOVER 0.20 x 0.32 x 0.22 x 0.26 x 0.29 x
Table 9: The asset turnover ratios for FY2013 – FY2017
In FY2013, Ken Holdings Berhad had generated RM0.20 in sales for every RM1.00 invested in
asset. There is a substantial increase in FY2014 to RM0.32, which is the highest for FY2013 to FY2017
but decreases to RM0.22 in the next financial year. In FY 2016 and FY2017, the total asset turnover
increases to RM0.26 and RM0.29. Overall, the total asset turnover had increased substantially from
FY2013 to FY2017 which shows that the firm is currently more efficient in utilising their assets to
generate sales compared to FY2013.
GROSS PROFIT MARGIN
Gross profit margin is used to measure the percentage of money after deducting the cost of goods
sold. It shows how effective a firm is in controlling its cost of goods sold.
Figure 22: Gross Profit Margin Analysis
36
YEARS 2013 2014 2015 2016 2017
GROSS PROFIT MARGIN 63.94% 60.68% 54.35% 46.64% 65.93%
Table 10: The gross profit margin for FY2013 – FY2017
In FY2013, the gross profit margin is 63.94%. From the total revenue generated for FY2013,
roughly 36% of it is the cost of goods sold. The gross profit margin decreases continuously until FY2016.
The gross profit margin is 60.68%, 54.35% and 46.64% for financial year 2014, 2015 and 2016
respectively. This shows that the increased cost of goods sold is not in proportion with the total revenue.
Each product sold incurred higher cost compared to the previous years. However, the gross profit had
increased to the highest point in FY2017. This shows that the firm had successfully cut down the cost of
goods sold to generate more profit.
OPERATING PROFIT MARGIN
Operating profit margin measures how effective a firm is in managing its cost of goods sold and
operating expenses. It shows the percentage of each sales dollar remaining after deducting all expenses
for purchase of goods and operating expenses from the total revenue.
Figure 23: Operating Profit Margin Analysis
37
YEARS 2013 2014 2015 2016 2017
OPERATING PROFIT
MARGIN
50.87% 47.88% 42.50% 39.92% 60.44%
Table 11: The operating profit margin for FY2013 – FY2017
The operating profit margin is 50.87% in FY2013. It then decrease substantially over the next 3
years until FY2016. The operating profit margin is 47.88%, 42.50% and 39.92% for financial year 2014,
2015 and 2016 respectively. This shows that the company is not very effective in managing the cost of
goods sold and operating profits. However, the operating profit margin increased to 60.44% in FY2017.
This significant increase of approximately 20% shows that the firm had effectively managed its expenses
on goods and operation.
NET PROFIT MARGIN
Net profit margin measures the percentage of sales dollar remaining after deducting all cost and
expenses, including interest, taxes and preferred stock dividends. This shows the portion of earnings
available for common stockholder from the total sales generated.
Figure 24: Net Profit Margin Analysis
38
YEARS 2013 2014 2015 2016 2017
NET PROFIT MARGIN 37.43% 35.08% 31.40% 29.87% 48.36%
Table 12: The net profit margin for FY2013 – FY2017
For FY2013, the net profit margin is 37.43%. The net profit margin for financial year 2014, 2015
and 2016 is 35.08%, 31.40% and 29.87% respectively. This shows that the company had experienced a
substantial downfall in 3 consecutive years from 37.43% in FY2013 to 29.87% in FY2016. However, the
firm had successfully increased its net profit margin to 48.36% in FY2017. This indicates that the Ken
Holdings Berhad has improved in managing all its cost and expenses thus increasing the net profit.
RETURN ON TOTAL ASSETS
Return on total assets measures a company’s earnings before deducting interest and taxes (EBIT)
in relative to its total net assets. The ratio indicates on how effectively a company is using its assets to
generate earnings.
Figure 25: Return on Total Assets Ratio Analysis
39
YEARS 2013 2014 2015 2016 2017
RETURN ON TOTAL ASSETS 7.48% 11.30% 6.99% 7.76% 14.09%
Table 13: The return on total assets ratios for FY2013 – FY2017
The return on total assets of Ken Holdings Berhad in FY2013 is 7.48%. The company
experienced a decline in percentage from 11.30% to 6.99% and eventually to 7.76% in 3 consecutive
financial years of 2014, 2015 and 2016. In FY2017, there is an increase on the percentage of return on
total assets up to 14.09% which depicts the company managed to use its assets to generate earnings more
effectively as compared to the previous financial years.
EARNINGS PER SHARE (EPS)
Earnings per share measures the portion of a company’s profit allocated to each share of common stock. It
acts as an indicator of a company’s profitability.
Figure 26: Earnings Per Share Ratio Analysis
40
YEARS 2013 2014 2015 2016 2017
EARNING PER SHARE RM 0.12 RM 0.18 RM 0.13 RM 0.15 RM 0.28
Table 14: The earnings per share for FY2013 – FY2017
Earnings per share of Ken Holding Berhad in FY2013 is 12 sen. There is a decrease in EPS for
financial year 2014, 2015 and 2016 from 18 sen to 13 sen and 15 sen. However, the company had
improved its EPS up to 28 sen in FY2017 per RM1 of share making the highest earnings per share as
compared to the previous financial years.
(v) Market Performance
PRICE / EARNING (P/E) RATIO
Figure 27: Price/Earnings (P/E) Ratio Analysis
41
YEARS 2013 2014 2015 2016 2017
PRICE/EARNINGS RATIO 50.25 67.44 135.77 80.87 24.54
Table 15: The price/earnings (P/E) ratio for FY2013 – FY2017
The Price/Earnings (P/E) ratio indicates the dollar amount an investor can expect to invest in a
company in order to receive one dollar of that company’s earnings. This is why the P/E is sometimes
referred to as the price multiple because it shows how much investors are willing to pay per dollar of
earnings.
As in this graph, there is an increase from year 2013 to year 2014 at 17.19 times. Whereas from
year 2014 to year 2015, the graph shows a greater increase where it reaches 135.77 times in year 2015.
The increase in P/E ratio indicates that the investors are more willing to invest more into Ken Holdings
Berhad. Moreover, it also indicates that the company has a good performance that will gain the trusts of
fellow investors. However, there has been a drastic decrease in P/E ration since the year 2015. Year 2017
ended with rock-bottom P/E ratio of only 24.54 times.
42
PRICE / BOOK RATIO (P/E)
Figure 28: Price/Book (P/B) Ratio Analysis
YEARS 2013 2014 2015 2016 2017
PRICE/BOOK RATIO 6.28 10.94 14.59 9.12 4.38
Table 16: The price/book (P/B) ratio for FY2013 – FY2017
Price/Book (P/B) ratio compares the market value of a share of stock to the book value per share
of the reported equity found in balance sheet. P/B ratio calculated by dividing the market price per share
with the equity book value share. A ratio that is greater than 1 indicates that she shares are more valuable
than what the shareholders have originally paid.
P/B ratio of Ken Holdings Berhad has increased greatly from 6.28 times in year 2013 to 10.94
times in year 2016. It can be deducted that the firm has better growth prospects relative to its risk in year
2015. Unfortunately, the P/B ratio drops drastically to 4.38 times in year 2017. It shows that the share
value of Ken Holdings Berhad is now at risk and may affect their future cash flow. They can increase
their market price per share in order to improve the P/B ratio.
43
(I) - CONCLUSION AND RECOMMENDATIONS
KEN Holdings Berhad that is actively involved in promoting sustainable and green construction
is Malaysia’s First Multiple Award-Winning Green Developer. The company is primarily engaged in
property development has grown to own numerous subsidiary companies involving in specialist works,
engineering works, management works and etc. Detail analysis on the company’s financial statements
have been carried out to determine the company’s performance for the past five financial years.
Based on the analysis that we have conducted in this report, KEN Holdings Berhad recorded a
total revenue of RM104.2 million in financial year, 2017. The total revenue is 12.3% higher than the
previous financial year, 2016. Since their revenue rose, the profit before tax also increased RM62.9
million during the financial year. KEN Rimba Condominium 1 (KRC1) was the main contribution of the
higher revenue due to the new sales registered and higher progress billings for the project.
The total cash and cash equivalents of the company remains stagnant at RM 2.8 million in
financial year, 2017. The high operating cash flows were allocated to finance the high working capital
requirements resulted from the company’s net cash generated from the operating activities reduced to RM
10.7 million during the financial year. The net cash amount used in investing activities reduced from RM
10.5 million to RM 25.9 million as compared to last year due to the completion of the corporate office
tower, Menara Ken TTDI in 2016. The net cash used in financing activities reduces as well from the
amount of RM 4.4 million to RM 1.1 million mainly attribute to the additional borrowing for the purpose
of working capital during the financial year.
The company’s capital position remained profitable with a low gearing ratio of 0.01. The total
shareholders’ equity of the company increased by the percentage of 18.1% with the amount of RM 300.1
million and the net assets per share increased by 17.6% from RM 1.42 to RM 1.67 at financial year, 2017
with a higher revenue and profit after tax.
According to the the current ratio calculations and analysis, the current ratios for all five financial
years are higher than one, which indicates that financial status of Ken Holdings Berhad is healthy and is
less likely to face financial hardships, hence the firm should be able to remain solvent in the short term. In
aspect of profitability of the company, KEN Holdings Berhad faced downfalls from year 2014 to 2016
compared to year 2013. However, in year 2017, the company managed to improve their control on
managing expenses, hence increases the company’s profit. Furthermore, the earning per share of the
44
company increases from 2013 to 2014 but decreases in the subsequent year. Nonetheless, the company
managed to enhance the earning per share from year 2015 to 2017.
In conclusion, although there are ups and downs in the financial status of KEN Holdings Berhad,
the company is still capable to overcome any difficulties faced. Therefore, it is worth investing in this
company as of 2017.
45
(J) - REFERENCES
Average Collection Period. (2018, October 24). Retrieved from
https://www.investopedia.com/terms/a/average_collection_period.asp
Inventory Turnover. (2018, October 25). Retrieved from
https://www.investopedia.com/terms/i/inventoryturnover.asp
Current Ratio. (2018, October 23). Retrieved from https://www.investopedia.com/terms/c/currentratio.asp
Quick Ratio. (2018, October 16). Retrieved from https://www.investopedia.com/terms/q/quickratio.asp
Average Payment Period Formula | Example | Calculation Explanation. (n.d.). Retrieved from
https://www.myaccountingcourse.com/financial-ratios/average-payment-period
Return On Total Assets. (2018, November 20). Retrieved from
https://www.investopedia.com/terms/r/return_on_total_assets.asp
Return On Common Equity. (2018, November 20). Retrived from
https://www.myaccountingcourse.com/financial-ratios/return-on-equity
Earnings Per Share. (2018, November 20). Retrieved from https://www.investopedia.com/terms/e/eps.asp
Malaysia Green Building Industry Overview - Asia Green Buildings. (2018). Retrieved from
http://www.asiagreenbuildings.com/8173/malaysia-green-building-industry-overview/
Green Building Index. (2018). Retrieved from http://new.greenbuildingindex.org/organisation/gbi
About MGBC – Malaysia Green Building Confederation (MGBC). (2018). Retrieved from
http://www.mgbc.org.my/about-mgbc/
GBI Certified Buildings. (2018). Retrieved from http://new.greenbuildingindex.org/organisation/t
Green Building Index. (2018). Retrieved from http://new.greenbuildingindex.org/how/tools
46
Department of Statistics Malaysia Official Portal. (2018). Retrieved from
https://www.dosm.gov.my/v1/index.php?r=column/cthemeByCat&cat=100&bul_id=U0oyNStDWTh6R2
9rN2kwZzdxcStnQT09&menu_id=TE5CRUZCblh4ZTZMODZIbmk2aWRRQT09
Budget 2019 Highlights - Nation | The Star Online. (2018). Retrieved from
https://www.thestar.com.my/news/nation/2018/11/02/budget-2019-highlights-live/
Construction sector to record slower growth in 2019 - Business News | The Star Online. (2018). Retrieved
from https://www.thestar.com.my/business/business-news/2018/10/25/construction-sector-to-recrod-
slower-growth-in-2019/
47
(K) - APPENDICES
Appendix A: Ratio Formula
Appendix B: Calculation of Ratio
Appendix C: Financial Data Summary
Appendix D: Statement of Financial Position
Appendix E: Statement of Comprehensive Income
Appendix F: Statement of Cash Flow
Appendix A
No. Financial Ratio
1. Current ratio
2. Quick ratio / Acid-test ratio
3. Inventory turnover
4. Average collection period /
Days in receivable
5. Average payment period
6. Total asset turnover
7. Debt ratio
8. Time interest earned
9. Fixed payment coverage ratio (FPCR)
10. Gross profit margin
11. Operating profit margins
12. Net profit margin
13. Return on total assets
14. Return on common equity (ROE)
15. Earnings per share (EPS)
16. Price earning ratio
17. Price book ratio
Formulae
current assets
current assets - liquid current assets
current liabilities
sales
average purchase per day
accout payable
current liabilities
daily credit sales
account receivable
inventory
cost of good sold
total debt
total assets
gross profit
sales
interest +lease payment + {[(principal
payment + preferred stock dividends)x [1/(1-
T)]}
EBIT + lease payment
interest
total assets
operating profits
net income
market price per share
earning per share
operating profits
sales
sales
net income
net income
total assets
market price per share
equity book value per share
total common equity
no. of shares of common stock outstanding
net income
Appendix B
No. Financial Ratio
1. Current ratio 98,417.00 94,345.00 108,532.00 103,041.00 95,354.00
77,895.00 53,312.00 84,375.00 86,744.00 41,410.00
2. Quick ratio / Acid-test ratio 45,316.00 36,295.00 52,076.00 35,886.00 28,669.00
77,895.00 53,312.00 84,375.00 86,744.00 41,410.00
3. Inventory turnover 20,130.00 35,816.00 33,900.00 49,526.00 35,502.00
52,893.00 57,756.00 56,338.00 66,522.00 65,447.00
4. Average collection period / 15,353.00 6,505.00 14,462.00 12,076.00 17,819.00
Days in receivable (Days) 83.78 35.64 79.24 66.17 97.10
5. Average payment period 73,957.00 46,966.00 78,384.00 80,826.00 32,688.00
(Days) 55.15 98.13 92.88 135.69 97.27
1. Return on common equity 20,895.00 31,952.00 23,320.00 27,726.00 50,400.00
(ROE) 183,618.00 212,260.00 231,858.00 254,202.00 300,115.00
1. Debt ratio 95,858.00 70,521.00 101,898.00 103,052.00 57,601.00
279,476.00 282,781.00 333,756.00 357,254.00 357,716.00
2. Time interest earned 28,401.00 43,609.00 31,562.00 37,050.00 62,984.00
261.00 190.00 105.00 105.00 117.00
3. Fixed payment coverage ratio
(FPCR)
1. Total asset turnover 55,828.00 91,082.00 74,266.00 92,816.00 104,208.00
279,476.00 282,781.00 333,756.00 357,254.00 357,716.00
2. Gross profit margin 35,698.00 55,266.00 40,366.00 43,290.00 68,706.00
55,828.00 91,082.00 74,266.00 92,816.00 104,208.00
3. Operating profit margins 28,401.00 43,609.00 31,562.00 37,050.00 62,984.00
55,828.00 91,082.00 74,266.00 92,816.00 104,208.00
4. Net profit margin 20,895.00 31,952.00 23,320.00 27,726.00 50,400.00
55,828.00 91,082.00 74,266.00 92,816.00 104,208.00
5. Return on total assets 20,895.00 31,952.00 23,320.00 27,726.00 50,400.00
279,476.00 282,781.00 333,756.00 357,254.00 357,716.00
6. Earnings per share (EPS) 20,895.00 31,952.00 23,320.00 27,726.00 50,400.00
179,552.00 179,346.00 179,343.00 179,341.00 179,338.00
1. Price earning ratio 6.03 12.14 17.65 12.13 6.87
0.12 0.18 0.13 0.15 0.28
2. Price book ratio 6.03 12.14 17.65 12.13 6.87
0.96 1.11 1.21 1.33 1.57
=
= 80.87
9.12=
=
=
=
=
RM 0.13=
31.40
=
= 6.99 %
%
538.32= x
Insufficient Information
x0.29
48.36 %
60.44=
= 65.93 %
%
=
=
=
24.54
4.38
RM 0.28
14.09= %
= 1.19
%
336.07=
183.52== 182.50
16.00%
16.79
=
=
29.00%=
Liquidity
=
=
=
=
Activity
Debt
x
1,341.00
34.00%
%11.38
135.77
14.59
x
x
=
1.26
0.58
=
=
x
1.77
x
x
0.62
183.26
0.38
=
1.29 xx =
FY 2015
=x
=
= 0.62
= 182.50
0.60
FY 2014FY 2013
10.94
67.44
182.50
478.63
60.68
47.88
RM 0.18
%11.30
%
x
=
=
=
0.68
Insufficient Information
35.08 %
%
50.25
6.28
Insufficient Information
=
%
%
=
= x108.82
=
37.43
50.87 =
=
=
=
=
=
==
=
=
Market Performance
%63.94
x= 0.20
Profitability
%
RM 0.12
7.48
=
=
x
x
0.54
0.69
x2.30
FY 2017
=
=
FY 2016
=
= 0.74 x=x
0.41 x
=
=
=
%
%= 46.64
=
Insufficient Information
7.76
=
=
29.87 %
%
RM 0.15
= 843.96
%
352.86 x
0.26 x
39.92
595.68
10.91= %
Insufficient Information
%
=
=
x
42.50=
= 54.35
x
%
229.52
= %15.05 10.06=
25.00%
300.59
= x0.32
31.00%
0.22
==
Appendix C
No. Financial Information
1. Current assets
2. Currect liabilities
3. Liquid current assets 52,893.00 57,756.00 56,338.00 66,522.00 65,447.00
208.00 294.00 118.00 633.00 1,238.00
4. Cost of good sold
5. Inventory
6. Account receivable
7. Account payable
8. Sales
9. Total assets
10. Total debt
11. Operating profits
12. Interest
13. EBIT
14. Gross profit
15. Net income
16. Total common equity
17. Earning per share
18. Equity book value per share
No. Financial Information
19. Average purchase per day 20,130.00 35,816.00 33,900.00 49,526.00 35,502.00
365.00 365.00 365.00 365.00 365.00
20. No. of shares of common stock 179,552 no. 179,346 no. 179,343 no. 179,341 no. 179,338 no.
outstanding
74,266.00 92,816.00
279,476.00 282,781.00
73,957.00 46,966.00 78,384.00 80,826.00
55,828.00 91,082.00
31,912.00 36,945.00
33,900.00
56,338.00
15,353.00 6,505.00 14,462.00 12,076.00
=
95,354.00
41,410.00
20,130.00
52,893.00 57,756.00
98,417.00 94,345.00
77,895.00
49,526.00 35,502.0035,186.00
65,477.0066,522.00
Amount (RM '000)
53,101.00 58,050.00 56,456.00 67,155.00 66,685.00
Amount (RM '000)
FY 2015 FY 2016 FY 2017FY 2014
Amount (RM '000)
FY 2013
108,532.00 103,041.00
=
53,312.00 84,375.00 86,744.00
Amount (RM '000) Amount (RM '000)
= = =
333,756.00 357,254.00
0.13 0.15
1.21 1.31
95,858.00 70,521.00 101,898.00 103,052.00
43,609.00 31,562.00 37,050.0028,401.00
261.00 190.00 105.00 105.00
28,257.00 43,739.00
0.12 0.18
0.96 1.11
92.88 x=
Times/NumberTimes/NumberTimes/Number
=55.15 x = 98.13 x
FY 2016FY 2014 FY 2015
=
Times/Number
FY 2013
20,895.00 31,952.00 23,320.00 27,726.00
212,260.00 231,858.00 254,202.00183,618.00
40,366.00 43,290.0035,698.00 55,266.00
300,115.00
0.28
135.69 x = 97.27 x
FY 2017
Times/Number
17,819.00
1.57
32,688.00
104,208.00
57,601.00
62,984.00
117.00
62,867.00
68,706.00
50,400.00
357,716.00
Appendix D
2013 2014 2015 2016 2017
RM '000 RM '000 RM '000 RM '000 RM '000
Assets
Property, plant and equipment 13,070 12,462 14,882 14,837 14,689
Land held for property development 103,908 98,623 103,876 118,506 104,539
Investment properties 53,809 67,543 93,246 104,172 126,786
Investment in subsidiaries - - - - -
Other investments 26 26 26 26 26
Deferred tax assets 10,246 9,782 13,194 16,672 16,322
Total Non-Current Assets 181,059 188,436 225,224 254,213 262,362
Inventories 52,893 57,756 56,338 66,522 65,447
Property development costs 21,007 17,996 19,271 6,680 8,084
Current tax assets 208 294 118 633 1,238
Trade and other receivables 15,353 6,505 14,462 12,076 17,819
Cash and bank balances 8,956 11,794 18,343 17,130 2,766
Total Current Assets 98,417 94,345 108,532 103,041 95,354
Total Assets 279,476 282,781 333,756 357,254 357,716
Equity
Share capital 95,860 95,860 95,860 95,860 95,860
Reserves 87,703 116,345 135,957 163,660 209,575
Treasury shares - - - -5,362 -5,365
Equity attributable to owners of the company 183,563 212,205 231,817 254,158 300,070
Non-controlling interests 55 55 41 44 45
Total equity 183,618 212,260 231,858 254,202 300,115
Liabilities
Deferred tax liabilities 17,963 17,209 17,523 16,308 16,191
Total Non-Current Liabilities 17,963 17,209 17,523 16,308 16,191
Trade and other payables 73,957 46,966 78,384 80,826 32,688
Amount due to contract customers - - - - 198
Loans and borrowings 1,500 2,000 2,000 2,000 5,500
Current tax liabilities 2,438 4,346 3,991 3,918 3,024
Total Current Liabilities 77,895 53,312 84,375 86,744 41,410
Total Liabilities 95,858 70,521 101,898 103,052 57,601
Total Equity and Liabilities 279,476 282,781 333,756 357,254 357,716
KEN Holdings Berhad
STATEMENT OF FINANCIAL POSITION
Appendix E
2013 2014 2015 2016 2017
RM '000 RM '000 RM '000 RM '000 RM '000
Cash flows from operating activities
Profit before tax 28,257 43,970 31,912 36,945 62,867
Adjustments for:
Depreciation of investment properties 155 155 186 186 1,858
Depreciation of property, plant and equipment 680 751 705 745 625
Dividend income - - - - -
Finance income (117) (320) (455) (402) (399)
Finance costs 261 190 105 105 117
Gain on disposal of property, plant and equipment (36) (5) (40) - -
Reversal of accrual for project costs (788) (3,207) (1,060) - -
Accrual for project cost 311 - - - -
Waiver of debts owed by a subsidiary - - - - -
Unrealised (gain)/loss on foreign exchange (350) - (101) (15) 37
Operating Profit/(loss) before changes in working capital 28,373 41,534 31,252 37,564 65,105
Changes in working capital:
Inventories (4,381) (4,863) (5,238) (304) (367)
Land held for property development (1,679) (439) 1,418 3,228 2,551
Property development costs 8,115 8,734 (1,290) (813) (2,880)
Contract customer - - - - -
Trade and other payables (11,236) (22,576) 32,478 2,450 (48,336)
Trade and other receivables 8,755 8,848 (7,957) 2,384 (5,545)
Cash generated from operations 27,947 31,238 50,663 44,511 10,726
Interest received 62 275 239 128 308
Income tax paid (9,199) (10,743) (12,475) (14,610) (13,771)
Income tax refunded 219 257 188 110 38
Net cash from/(used in) operating activities 19,029 21,027 38,615 30,139 (2,699)
Cash flows from investing activities
Additions to property, plant and equipment (438) (143) (552) (708) (477)
Acquisition and subscription of subsidiaries - (478) - - -
Dividends received - - - - -
Interest income from fixed deposits 55 45 216 274 91
Additions to investment properties (11,651) (13,889) (25,889) (25,446) (10,138)
Proceeds from disposal of property, plant and equipment 36 5 40 - -
Net cash from/(used in) investing activities (11,998) (14,460) (26,185) (25,880) (10,524)
Cash flows from financing activities
Acquisition of non-controlling intest - - (495) - -
Dividends paid to owners of the Company (4,035) (4,035) (5,380) (5,380) (4,484)
Drawndown of revolving credit - - - - 3,500
Drawdown of loans and borrowings 14,500 9,350 - -
Repayment of loans and borrowings (16,500) (8,850) - -
Repurchase of treasury shares (129) (4) (2) (2) (3)
Interest paid (261) (190) (105) (105) (117)
Net cash used in financing activities (6,425) (3,729) (5,982) (5,487) (1,104)
Net increase/(decrease) in cash and cash equivalents 606 2,838 6,448 -1,228 -14,327
Effect of exchange rate fluctuations on cash held 359 - 101 15 -37
Cash and cash equivalents at 1 January 7,991 8,956 11,794 18,343 17,130
Cash and cash equivalents at 31 December 8,956 11,794 18,343 17,130 2,766
KEN Holdings Berhad
STATEMENT OF CASH FLOW
Appendix F
2013 2014 2015 2016 2017
RM '000 RM '000 RM '000 RM '000 RM '000
Revenue 55,828 91,082 74,266 92,816 104,208
Cost of sales (20,130) (35,816) (33,900) (49,526) (35,502)
Gross profit 35,698 55,266 40,366 43,290 68,706
Other income 3,014 3,150 3,826 3,935 4,475
Distribution expenses (487) (1,187) (322) (214) (156)
Adminstrative expenses (9,824) (13,620) (12,308) (9,961) (10,041)
Profit from operation 28,401 43,609 31,562 37,050 62,984
Finance cost (144) 230 350 (105) (117)
Profit before tax 28,257 43,739 31,912 36,945 62,867
Taxation (7,362) (12,018) (8,592) (9,219) (12,467)
Profit for the financial year 20,895 31,721 23,320 27,726 50,400
KEN Holdings Berhad
STATEMENT OF COMPREHENSIVE INCOME
A. A feedback form needs to be included with each assignment. Please complete all details clearly.
Student Names and IDs:
Adele Lu Khai Syn 0323151
Leong Li Jing 0323628
Loh Mun Tong 0323680
Ee Hui Teng 0322548
Tam Zhao Wei 0322587
Yeap Phay Shian 0322243
Programme: Bachelor of Quantity Surveying (Honours), SCHOOL OF ARCHITECTURE, BUILDING & DESIGN
Email : phayshian@gmail.com Contact No : 0192265331
Module code and title: QSB3413/QSB3414/FIN60203 FINANCIAL MANAGEMENT Module Lecturer/ Tutor: Ms Tay Shir Men
Assignment number: Group Written Assignment Due date: 29/11/2018 Word Count: 9602
Assignment topic as stated in the guidelines provided: Business and financial analyses and forecasts of a company.
B. This section will be completed by the lecturer/tutor assessing your assignment:
CRITERIA %
DISTINCTION
(7.5-10)
CREDIT
(6-7.4)
PASS
(5-5.9)
MARGINAL
FAIL(4-4.9)
FAIL
(0-3.9) SCORE
Executive summary,
introduction, background
and principal activities, and
strategic plans of the
company
5 # Excellent
Well-researched, objective and clearly
written.
# Good # Fair # Poor # Confusing
Shows little or no research, biased or
irrelevant, lacks clarity.
Industry analysis 10 # Excellent
Relevant, up-to-date and well-
researched.
# Good # Fair # Poor # Erroneous
Irrelevant, outdated, little evidence of
research.
Financial analysis 70 # Excellent
Accurate calculations of the latest
financial data over two years,
comparison with industry data, well-
reasoned analyses.
# Good # Fair # Poor # Erroneous
Multiple errors in calculations showing
lack of understanding, fails to evaluate
company by comparing with relevant
industry data, no reasoned analysis of
financial data.
Financial forecasts 10 # Excellent
Accurate calculations and correct
conclusions. Excellent evaluation of the
projected cash requirements.
# Good # Fair # Poor # Erroneous
Multiple errors in calculations showing
lack of understanding. Forecasts
without any basis or justification.
Missing or invalid conclusions and
analyses.
Structure and presentation,
language, reference of
sources
5 # Excellent
Excellent headings/sub-headings,
layout, pagination. Excellent grammar,
spelling. Effective/accurate use of
figures and tables. Excellent references
of sources.
# Good # Fair # Poor # Erroneous
Inappropriate or no headings, poor and
confusing layout, innappropriate or no
numbering. Weak grammar, many
spelling mistakes,
ineffective/inaccurate use of figures
and tables. Poor or no references of
sources.
Penalty
Total (100%)
Final score (25%)
Any additional comments (if there is any):Comments:
Assessed by: Date:
Sample Moderated by (if any): Date:
ASSIGNMENT FEEDBACK
GRADE/ MARK
Marking Criteria for Assignment
% Task details
DISTINCTION
(75-100)
CREDIT
(60-74)
PASS
(50-59)
MARGINAL FAIL
(40-49)
FAIL
(0-39)
Executive summary,
introduction,
background and
principal activities,
and strategic plans
of the company
5 Remember that this should
be a report and should be
presented in a professional
report format. Presentation
should include
tables/graphs to enhance
understandability.
# Excellent
Well-researched, impressive
choice and range of relevant
information, objective and
clearly written.
# Good
Good level of research, covers
all the main points, objective,
# Fair
Fair level of research, missing
some important relevant
information, some
errors/omissions.
# Poor
Poor effort in research,
missing relevant information or
contains wrong/outdated
information.
# Inadequate
Shows little or no research,
biased or irrelevant, lacks
clarity.
Industry analysis 10 You are expected to
research the industry in
which the company operates
to give context to your
financial analysis.
# Excellent
Relevant, up-to-date and well-
researched, outstanding level
of detail.
# Good
Good level of relevant
information, current and
appropriate.
# Fair
Fair level of appropriate
information, some outdated or
errors, somewhat incomplete.
# Poor
Poor effort in researching the
industry, some irrelevant or
outdated info,
# Inadequate
Irrelevant, outdated, little
evidence of research.
Financial analysis 70 This includes accurate
calculations of relevant
ratios and analyses of
trends in tables/graphs.
Comparison should be made
to competitors and/or
industry averages. Analyses
and evaluations should be
made in the context of the
current industry climate.
# Excellent
Accurate calculations of the
latest financial data over 5
years, comparison with
industry data, well-reasoned
analyses. Excellent analysis of
trends.
# Good
Accurate calculation of
relevant ratios for 5 years,
good analyses of ratios and
trends, comparison with
industry data or competitors.
# Fair
Fairly accurate calculation of
relevant ratios, fair description
of trends, lacking comparison
with industry data or
competitors. Contains some
errors or omissions.
# Poor
Errors in calculations showing
lack of understanding,
weak/limited analyses.
# Inadequate
Multiple errors in calculations
showing lack of understanding,
fails to evaluate company by
comparing with relevant
industry data, no reasoned
analysis of financial data.
Financial forecasts 10 Accurate calculations of
forecast income statement
and any required external
funding or surplus cash.
# Excellent
Accurate calculations and
correct conclusions. Excellent
evaluation of the projected
cash requirements.
# Good
Accurate calculations and
correct conclusions. Good
evaluation of the projected
cash requirements.
# Fair
Fairly accurate calculations
with conclusion that lack some
clarity and analysis.
# Poor
Some major errors in
calculations, poor or
inaccurate
conclusions/analyses.
# Inadequate
Multiple errors in calculations
showing lack of understanding.
Forecasts without any basis or
justification. Missing or invalid
conclusions and analyses.
Structure and
presentation,
language, reference
of sources
5 Professional writing and
presentation, including good
page layout, use of headers,
pagination, organisation of
sections, reference of
sources, inclusion of
relevant details in notes and
appendices.
# Excellent
Excellent headings/sub-
headings, layout, pagination.
Excellent grammar, spelling.
Effective/accurate use of
figures and tables. Excellent
references of sources.
# Good
Good use of headings, layout
is clear, good pagination,
some use of table/graphs to
illustrate trends. Good
reference of sources.
# Fair
Layout that is fairly readable
with appropriate pagination,
some spelling and
grammatical errors, lacking
logical flow in some parts,
effective use tables/graphs to
illustrate main points.
# Poor
Lacking appropriate
headings/subheadings, poor
paragraphing, many spelling
and grammatical errors,
lacking logical flow in many
parts.
# Inadequate
Inappropriate or no headings,
poor and confusing layout,
inappropriate or no numbering.
Weak grammar, many spelling
mistakes,
ineffective/inaccurate use of
figures and tables. Poor or no
references of sources.

Financial Management Final Report

  • 1.
    ASSIGNMENT COVER SHEET AnAssignment cover sheet needs to be included with each assignment. Please complete all details clearly. When submitting the printed copy of this assignment, please attach this sheet to the front of your assignment. When submitting the assignment online, please ensure this cover sheet is included as the first page of your document. Please check with your subject lecturer for assignment submission locations. Names: Student IDs: Adele Lu Khai Syn 0323151 Leong Li JIng 0323628 Loh Mun Tong 0323680 Ee Hui Teng 0322548 Tam Zhao Wei 0322587 Yeap Phay Shian 0322243 Programme: Bachelor of Quantity Surveying (Honours), SCHOOL OF ARCHITECTURE, BUILDING & DESIGN Email (Group Leader): phayshian@gmail.com Contact No (Group Leader): 0192265331 Subject code and title: QSB3413/QSB3414/FIN60203 FINANCIAL MANAGEMENT Module Lecturer/ Tutor: Ms Tay Shir Men Assignment number: Group Written Assignment Due date: 29/11/2018 Assignment topic as stated in the guidelines provided: Business and financial analyses and forecasts of a company. Further Information: (e.g. state if extension was granted and attach evidence of approval and Revised Submission Date) I have read and understood the Taylor’s University Regulations on cheating, plagiarism and collusion and state that this piece of work is my own and does not contain any unacknowledged work from any other sources. I authorise the University to test any work submitted by me, using text comparison software, for instances of plagiarism. I understand this will involve the University or its contractor copying my work and storing it on a database to be used in future to test work submitted by others. Note: The attachment of this statement on any electronically submitted assignments will be deemed to have the same authority as a signed statement. Signed: Name: Date: Adele Lu Khai Syn 29/11/2018 Leong Li Jing 29/11/2018 Loh Mun Tong 29/11/2018 Ee Hui Teng 29/11/2018 Tam Zhao Wei 29/11/2018 Yeap Phay Shian 29/11/2018 Date received from student : Received by:
  • 2.
    1 TABLE OF CONTENTS ITEMCONTENT PAGE A Company’s Brief Background 2 B Principal Activities 6 C Revenue Contributions 7 D Current State of the Industry 14 E Company’s Strengths and Weaknesses 20 F Strategic Plans 22 G Major Capital Investment and Sources of Funding 23 H Analysis of Financial Condition (i) Liquidity (ii) Activity (iii) Debt (iv) Profitability (v) Market Performance 24 30 31 34 40 I Conclusion and Recommendations 43 J References 45 K Appendices Appendix A: Ratio Formula Appendix B: Calculation of Ratio Appendix C: Financial Data Summary Appendix D: Statement of Financial Position Appendix E: Statement of Comprehensive Income Appendix F: Statement of Cash Flow 47
  • 3.
    2 (A) - COMPANY’SBRIEF BACKGROUND Introduction Ken Holdings was first founded in 1980s as a specialist contractor for engineering works such as underpinning, grouting and structural repair works. Today, Ken Holdings had expanded into several segments such as property development, property investment management while still offering its specialist services. The company is well-known for its sustainable development, making it one of the best green developer in Malaysia thus receiving numerous awards such as the Singapore Building and Construction Authority (BCA) Green Mark, US Green Building Council (USGBC) LEED, Carbon Neutral Status and Futurarch Green Leadership Award. Vision Recognizing its responsibilities as a developer and nation builder, they will aspire to deliver sustainable, quality developments that exceed customers’ expectations. Mission 1. Enhance shareholders’ value through sustainable resource management and sound corporate governance that promotes steady earnings growth; 2. committed to delivering sustainable quality homes that are efficiently planned and innovatively designed on schedule; 3. embrace sustainable practices to preserve the environment for future generations; and 4. create learning opportunities and a conducive working environment that promote teamwork and work life balance for sustainable job satisfaction.
  • 4.
    3 Core Values 1. HandsOn and Committed - Accomplish, learn and coach effectively with hands-on experience; commit at all times faithfully fulfilling their responsibilities as a developer to the communities. 2. Take Pride in Work - Proud of their own KEN brand, and will keep the brand promise to constantly improve their ability to contribute to customers. - Careful, mindful, and thoughtful in all things that they do to fulfill their Vision Statement. 3. Innovative and Create Value - Continually innovate and create value for their brand to achieve world class recognition. 4. Treat Everyone as Family - Treat everyone in KEN as family member and will pool abilities to accomplish shared goals 5. Embrace Sustainable Practice - Value the precious resources that they have and use them wisely, efficiently and effectively - Embrace sustainable practices and endeavours to create more value by using lesser resources. Board of Directors
  • 5.
    4 Major Shareholders Name No.of shares held Percentage (%) 1. Kencana Bahagia Sdn. Bhd 64,548,638 35.99 2. SJ Sec Nominees (Tempatan) Sdn. Bhd. Budaya Dinamik Sdn. Bhd. 20,425,724 11.39 3. SJ Sec Nominees (Tempatan) Sdn. Bhd. Pledged Securities Account for Seloka Aman Sdn. Bhd 6,663,000 3.72 4. Tan Chek Siong 6,242,000 3.48 5. Tan Chek Een 6,000,000 3.35 6. Tan Chek Ying 6,000,000 3.35 7. Dato’ Tan Boon Kang 3,963,600 2.21 8. Tan Foo See 3,405,378 1.90 9. Kencana Bahagia Sdn. Bhd. 3,300,000 1.84 10. Teo Kwee Hock 3,132,500 1.75 11. Yeoh Phek Leng 3,060,000 1.71 12. Maybank Nominees (Tempatan) Sdn. Bhd. Pledged Securities Account for Tan Kian Ling 2,640,000 1.47 13. CIMSEC Nominess (Tempatan) Sdn. Bhd. CIMB Bank for Tan Kian Ling (MY2236) 2,500,000 1.39 14. To’ Puan Lau Pek Kuan 2,300,000 1.28 15. SJ Sec Nominees (Tempatan) Sdn. Bhd. Pledged Securities Account for Adat Saga Sdn. Bhd. 2,095,300 1.17
  • 6.
    5 16. I-Wen Morsingh1,687,000 0.94 17. To’ Puan Lau Pek Kuan 1,617,000 0.90 18. Tan Chee Koon 1,530,800 0.85 19. Liew Yoon Yee 1,436,000 0.80 20. Low Siew Choong @ Liew Siew Meng 1,265,500 0.71 21. Tan Moon Hwa 1,202,680 0.67 22. DB (Malaysia) Nominee (Tempatan) Sendirian Berhad Exempt An for Bank of Singapore Limited 1,131,700 0.63 23. CIMSEC Nominess (Tempatan) Sdn. Bhd. CIMB Bank for Tan Kian Aik (PBCL-0G0496) 1,000,000 0.56 24. UOB Kay Hian Nominees (Tempatan) Sdn. Bhd. Pledged Securities Account for Teo Siew Lai 930,100 0.52 25. Universal Trustee (Malaysia) Berhad TA Islamic Fund 828,000 0.46 26. Liew Yoon Yee 700,500 0.39 27. Lim Pay Kaon 700,000 0.39 28. Cartaban Nominees (Tempatan) Sdn. Bhd. AXA Affin General Insurance Berhad 632,300 0.35 29. Lau Chin Kok 623,000 0.35 30. Yeo Khee Huat 593,000 0.33 Total 152,154,720 84.85
  • 7.
    6 (B) - PRINCIPALACTIVITIES Ken’s Holdings Berhad engaged mainly in the investment holding and the provision of management services around the whole Malaysia. As for the principal activities of subsidiaries companies, the company separated into different sectors, such as property holding, investment and development, specialist engineering services, geotechnical, civil engineering and building works, land reclamation and marine engineering, property management and car park management. Ken Holdings Berhad has many developed properties including Menara Ken TTDI and Ken Rimba Township which consist of Ken Rimba Commercial Centre, Ken Rimba Legian Residences, Ken Rimba Jimbaran Residences, and Ken Rimba Condominium 1 (KRC1). Besides, the subsidiary companies involved in these property development activities are Ken Property Sdn. Bhd., Ken JBCC Sdn. Bhd. and Khidmat Tulin Sdn. Bhd. Moreover, Ken Holdings Berhad also perform in investments and management services. Some of the subsidiary companies that carry out investing activities for the company are Ken Projects Sdn. Bhd., Ken Estate Sdn. Bhd., Ken Highlands Sdn. Bhd. and Ken City Sdn. Bhd. while the subsidiary company that overlook management services includes T.B.S Management Sdn. Bhd. which is mainly involved in property management services and Ken Park Sdn. Bhd. which is involved in Car Park Management.
  • 8.
    7 (C) - REVENUECONTRIBUTIONS Segment is generally defined as each of the parts into which something is or may be divided. Definition of segment in business term is a division or subset of a business’ operation, that can be identified by the products it provides or by the services or geographical locations it operates in, especially in large corporations. In other words, segment is a single part of a business that can be distinctly separated from the company as a whole based on its customers, products, or market places. Management often divide companies into business segments to identify which areas of the company are performing well, which areas need improvement and which operation or departments have to discontinue during time of slow economic growth. Revenue contribution will be studied based on KEN Holdings Berhad’s annual reports from FY2013 to FY2017. The contribution of revenue in KEN group are mainly focused on two important segments which are construction including specialist engineering services, turnkey contracts, building and civil and engineering works, land reclamation, dredging, marine and civil engineering, as well as property development including the development of residential and commercial properties. The measurement of revenue can be separate into two which are the revenue from external customer and inter-segment revenue. Revenue from external customer is basically earned by selling goods and services especially from the property development segment by selling out goods and services to individual household. Other than that, the inter-segment revenue is the revenue generated from one segment of a company to another within the same company. Construction is the main inter-segment that contributes revenue within the company. This revenue has been excluded from financial statement, as it is not considered to be an incoming profit but income generated within the organization.
  • 9.
    8 Revenue Contribution inFY 2013 Figure 1: Revenue Contribution for Year 2013 Figure 2: Revenue Contribution for Year 2013 Based on the pie chart shown in figure above, property development segment generated most revenue in FY2013 as it occupied 61.84% of the total revenue with RM54,731,000. However, the revenue amount of property development had decreased 3.73% compared to last year which is RM53,993,000. Other than that, KEN group had received 38.16% of inter-segment revenue from construction over total revenue with RM33.775,000. It had decreased by 3.73% compared to last year which is RM38,916,000. In short, most revenue generated in FY2015 is property development segment. It had total revenue of RM54,731,000 compared to construction segment which is RM38,916,000. Construction 38% Property Development 62% REVENUE CONTRIBUTION IN FY2013
  • 10.
    9 Revenue Contribution inFY2014 Figure 3: Revenue Contribution for Year 2014 Figure 4: Revenue Contribution for Year 2014 Based on the pie chart shown in figure above, property development segment generated most revenue in FY2014 as it occupied 60.95% of the total revenue with RM90,688,000. However, the revenue amount of property development had decreased 0.89% compared to last year which is RM54,731,000. Other than that, KEN group had received 39.05% of inter-segment revenue from construction over total revenue with RM58,114,000. It had increased by 0.89% compared to last year which is RM33,775,000. In short, most revenue generated in FY2015 is property development segment. It had total revenue of RM90,688,000 compared to construction segment which is RM33,775,000. Construction 39% Property Development 61% REVENUE CONTRIBUTION IN FY2014
  • 11.
    10 Revenue Contribution inFY2015 Figure 5: Revenue Contribution for Year 2015 Figure 6: Revenue Contribution for Year 2015 Based on the pie chart shown in figure above, property development segment generated most revenue in FY2015 as it occupied 51.13% of the total revenue with RM73,789,000. However, the revenue amount of property development had decreased 9.82% compared to last year which is RM90,688,000. Other than that, KEN group had received 48.87% of inter-segment revenue from construction over total revenue with RM70,522,000. It had increased by 9.82% compared to last year which is RM58,144,000. In short, most revenue generated in FY2015 is property development segment. It had total revenue of RM73,789,000 compared to construction segment which is RM70,522,000. Construction 49% Property Development 51% REVENUE CONTRIBUTION IN FY2015
  • 12.
    11 Revenue Contribution inFY2016 Figure 7: Revenue Contribution for Year 2016 Figure 8: Revenue Contribution for Year 2016 Based on the pie chart shown in figure above, property development segment generated most revenue in FY2016 as it occupied 49.14% of the total revenue with RM92,492,000. However, the revenue amount of property development had decreased 1.99% compared to last year which is RM73,789,000. Other than that, KEN group had received 50.86% of inter-segment revenue from construction over total revenue with RM95,718,000. It had increased by 1.99% compared to last year which is RM58,144,000. In short, most revenue generated in FY2016 is property development segment. It had total revenue of RM92,492,000 compared to construction segment which is RM58,144,000. Construction 51% Property Development 49% REVENUE CONTRIBUTION IN FY2016
  • 13.
    12 Revenue Contribution inFY2017 Figure 9: Revenue Contribution for Year 2017 Figure 10: Revenue Contribution for Year 2017 Based on the pie chart shown in figure above, property development segment generated most revenue in FY2017 as it occupied 63.89% of the total revenue with RM101,555,000. However, the revenue amount of property development had increased 14.75% compared to last year which is RM92,492,000. Other than that, KEN group had received 36.11% of inter-segment revenue from construction over total revenue with RM57,408,000. It had increased by 14.75% compared to last year which is RM95,718,000. In short, most revenue generated in FY2017 is property development segment. It had total revenue of RM101,555,000 compared to construction segment which is RM95,718,000. Construction 36% Property Development 64% REVENUE CONTRIBUTION IN FY2017
  • 14.
    13 Figure 11: Analysisof Revenue Contribution from FY2013 to FY2017 YEAR 2013 RM (‘000) 2014 RM (‘000) 2015 RM (‘000) 2016 RM (‘000) 2017 RM (‘000) CONSTRUCTION 33,775 58,114 70,522 95,718 57,408 (%) 38.16 39.05 48.87 50.86 36.11 PROPERTY DEVELOPMENT 54,731 90,688 73,789 92,492 101,555 (%) 61.84 60.95 51.13 49.14 63.89 TOTAL 88,506 148,802 144,311 188,210 158,963 (%) 100% 100% 100% 100% 100% Table 1: Analysis of Revenue Contribution from FY2013 to FY2017 Referring to the summarize revenue contribution presented in the table and figure above, property development segment is the main revenue contributor to KEN Holdings Berhad from FY2013 to FY2017, except for FY2016 where the construction segment contributes slightly higher than property development. In the early year in FY2013 and FY2014, the portion of revenue is obviously mainly from property development with 61.84% and 60.95% over total revenue contribution respectively. In FY2015, 0 10 20 30 40 50 60 70 2013 2014 2015 2016 2017 ANALYSIS OF REVENUE CONTRIBUTION Construction Property Development
  • 15.
    14 the construction segmentbegan to growth for the company and increase its’s contribution to 48.87% over total revenue contribution, which makes the company generate revenue evenly from both major segments. In FY2016, the revenue contribution generated is even within both segment but with higher portion in construction segment of 50.86% over total revenue contribution. Construction segment is then become the major revenue of the company in FY2016. However, the revenue contributed by construction segment decreased exaggeratedly by 15% in FY2017, which is from 50.86% to 36.11%; while the property development revenue contribution has increased gradually and became the major revenue in the company with 14.75% of increase. In short, the revenue contribution in KEN Holdings Berhad is interdependent between these two important segments. From the analysis above, we can conclude that KEN group focused mostly on property development throughout the years. (D) - CURRENT STATE OF THE INDUSTRY Current Size of the Market KEN Holdings Berhad was established in the year 1980 as a specialist contractor that provides engineering services and has now grown to become one of the most reputable property development company in Malaysia today. KEN Holdings Berhad is also Malaysia’s first multiple award-winning green developer. In the year 2009, KEN Property launched Malaysia’s first BCA Green Mark Gold Plus Award building, KEN Bangsar. This development has marked the company as a pioneer and authority in the green building construction sector. Few years later, KEN Holdings strived in making its mark as the country’s leading green developer by launching Malaysia’s first green township, KEN Rimba. In order to drive the country’s economic growth in terms of offering numerous economic opportunities and potential in the field of economic regeneration, innovation and wealth creation, the embracement of green technology has now been widely accepted and implemented by the construction industry in Malaysia. The Government of Malaysia continues to promote and encourage the implementation of green and sustainable housing development. Appropriate actions were taken by the Malaysian Government to assure the achievement of this goal. For instance, the establishment of the
  • 16.
    15 Green Building Index(GBI) in the year 2008 and Malaysia Green Building Confederation (MGBC) in the year 2007. Both of these organisations are supported by the two professional organisations, the Pertubuhan Akitek Malaysia (PAM) and the Association of Consulting Engineers Malaysia (ACEM). The GBI is set up mainly to develop and promote Green-rated buildings’ certifications and accreditations. On the other hand, the MGBC is set up to ensure the development of a sustainable built environment via collaboration and supporting the government and the industry. The main reason of marching towards the green and sustainable construction development is due to the benefits that can be brought about by this implementation and practice. For an example, at a building level, the KEN Rimba developed by KEN Holdings Berhad has achieved a certified GBI rating as Provisional Certified Townships (PA) in the year 2017. This is due to the fulfilment of a few parts set up by the GBI organisation which are Energy Efficient (EE), Indoor Environment Quality (EQ), Sustainable Site Planning & Management (SM), Materials & Resources (MR), Water Efficiency (WE) and Innovation (IN). All of these parts are set with a maximum points that can be achieved. KEN Rimba has fulfilled these points and thus awarded a certified GBI rating. Besides the achievement in GBI rating, the KEN Rimba Legian Residences that is located at Shah Alam was also awarded the Building and Construction Authority (BCA) Green Mark Gold.
  • 17.
    16 Besides this townshipof KEN Holdings Berhad that have achieved the key features of a green and sustainable development, many other projects developed by this company have also been listed as green construction development. Below is the list of developments with the award milestone from year 2009 to 2017 acquired from KEN Holdings Berhad 2017 Annual Report: The KEN Holdings Berhad with a paid-up capital of RN95.9 million consists of 191,720,000 ordinary shares of RM0.50 per share after share split and 12,375,400 treasury shares On the other hand, the growth of Malaysia’s economy greatly depends on the construction line. This is because the construction sector’s development can bring about the prosperous of secondary sectors such as manufacturing, services and etcetera. According to the Department of Statistics Malaysia (DOSM), Malaysia’s economy has grown by 4.5% in the second quarter of 2018 (Q2 2018). This growth rate is slightly lower than the first quarter (Q1 2018) of 5.4%. However, the Services, Manufacturing and Construction sectors are growing positively. Referring to the breakdown of Gross Domestic Product (GDP) by kind of economic activity in Q2 2018, the growth rate of the construction sector eased to 4.7% from 4.9% in Q1 2018. The growth of the construction sector is mainly driven by the vibrant momentum of Civil Engineering construction which rosed up to 18.9%. Contrarily, the growth rate of non-residential and residential buildings declined to 4.6% and 7.3% respectively. This has caused an impact to the moderation in the construction sector. Even though with this current construction industry, the KEN Holdings Berhad never stops to strive higher. There are more future developments planned by KEN Holdings Berhad and it will be further discussed in the coming topic. Prospects for Future Growth According to the Budget 2019 Malaysia, the Government expects the GDP to grow 4.9% despite the uncertainties in the global economy. Plus, the Sustainable Development Fund in Malaysia will be financed with RM1 billion with aim to support and encourage sustainable development, Agenda 2030 for Sustainable Development and the 17 Sustainable Development Goals (SDG) of the United Nations Development Programme (UNDP). The growth of Sustainable and Green Construction Development is
  • 18.
    17 further supported bythe steps and initiatives introduced by the Government in the Budget 2019. For instance, for first-time home owners purchasing properties priced up to RM500,000, they will be eligible to stamp duty waived up to RM300,000. This initiative supported the targeted buyers of KEN Holdings Berhad which is first-time buyers and also the younger generation. Furthermore, the exemption of SST charges on construction and building materials have encourage more construction development to be undertaken. Moreover, the Government also introduced RM1 billion fund which offers home loans at a concessionary rate from as low as 3.5% per annum. All of these actions are taken to promote the growth of the construction sector. With the support from the Malaysia Government, KEN Holdings Berhad is all set to take on another great accomplishment. The KEN Holdings Berhad is currently planning two major green development namely KEN Johor Bahru and KEN Kota Bharu. The KEN Johor Bahru will be located at the heart of the city, near Woodsland checkpoint, Johor Bahru, and is roughly 2.5km far from the Malaysia-Singapore causeway. This major development will be an integrated development consisting of residential and commercial units with a hotel, service suites and a shopping mall. As mentioned by Sam Tan, the managing director of KEN, at The Edge Financial Daily, 2014, ‘it is quite a big master plan. we are planning for this to be a top rating green district. apart from that, property has become unaffordable especially for the locals. we are trying, especially in the first phase to offer a product that is still affordable.’ Figure 12: KEN Johor Bahru The other future development of KEN Holdings Berhad is the KEN Kota Bharu which is located next to the KB Mall at Seksyen 16, Jalan Hamzah, 15050 Kota Bharu, Kelantan. Once again, this proposed construction project is a proposed mixed-green development that features a condominium with
  • 19.
    18 200 units anda hotel with 150 rooms. Similar to other projects of KEN, this development will incorporate the KEN properties signature green features that are rainwater harvesting and louvred windows. Figure 13: KEN Kota Bharu As mentioned by the Group Executive Chairman of KEN Holdings Berhad, Data’ Tan Boon Kang in the Annual Report 2017, the conception in the property market is expected to remain lackluster in 2018 with certain sub-sectors being in an oversupplied position. However, Dato’ Tan believes that with the Group’s exceptional offerings of affordable high rated green developments that is bound to the Group’s resonating brand and values, many buyers of the younger generation and first-time home owners will continue to be appealed to the purchase. The Group will also focus more on growing its recurring income base due to the subdued demand for properties caused by the slow growth of the operating environment. Nevertheless, the Group is still confident that their performance will remain resilient in the coming year. KEN Holdings Berhad’s Group Managing Director, Tan Check Siong mentioned the company’s future prospects will be focused on completing the KEN Rimba Condominium (KRC1) and look forward to strengthen the company’s long term recurring income via rental of office and commercial spaces in Menara KEN TTDI as well as monetizing the remaining inventories of the Group in order to achieve more sustainable earnings for the group.
  • 20.
    19 Challenges Facing theIndustry As published by The Star Online on the 25th of October 2018, it is said by the Works Ministry Secretary – General Datuk Seri Zohari Akob, the construction sector in Malaysia is expected to record a slower growth in 2019 due to the revision of mega projects by the new Pakatan Harapan government in line with the slowdown in the global construction industry. For instance, the Kuala Lumpur-Singapore high-speed rail which cost around RM60 billion to RM70 billion and the mass rapid transit Line 3 (MRT Line 3) which cost RM40 billion were being on hold thereafter. Even though it is said that there might be a revival of these projects, but the chances of this happening in the near future is slim. Nonetheless, Datuk Seri Zohari Akod emphasize that the construction industry’s contribution to the gross domestic product (GDP) will remain positive in year 2019. Due to the cut in original allocation of development expenditure for the construction industry from RM260 billion to RM220billion for the overall 11th Malaysia Plan, this has affected a lot of construction decision making of bunch of construction companies. One of the key challenge faced by the Malaysia Construction Industry is the issue of manpower shortage which can result in a delay in completion of construction projects. This has greatly inhibited the growth of the construction market. Hence, solutions have been identified to minimize this issue. For example, as mentioned by Master Builders Association Malaysia (MBAM) president, Foo Chek Lee said that the implementation of Industrial Building Systems (IBS) in the construction industry have reduced the usage of manpower and hence speeding up the construction time. As a result, a shorter period of project delivery can be accomplished and hence benefiting the entire industry at large. Another issue that the construction industry is currently facing that have a direct impact on KEN Holdings Berhad is a problem related to the construction development of residential projects. According to Dato’ Tony Looi, the group chairman of Ban Lee Hin Group, he pointed out that the construction development especially the residential projects might exceed the demand based on the current population in the next few years. Plus, it is important that the residential development projects maintain optimal in terms of affordability according to the capabilities of the local residents. Furthermore, another crucial issue for the concern of the industry is the need to raise the quality and delivery of projects. This problem can be tackled by the adoption of Quality Assurance System (QLASSIC). Additionally, it is also very critical for a project to be delivered with at least an ISO
  • 21.
    20 certification on quality.By taking all these measures, the house buyers will have more confidence in purchasing quality houses. Nonetheless, this issue has very little impact on KEN Holdings Berhad, as the company’s vision and mission is to deliver sustainable and quality projects. Particularly, one of the challenges that is faced by KEN Holdings Berhad is the issue of slow moving and obsolete inventories such as the unsold units as stated in the Annual Report 2017. This might be affected by the current economic of the country. Due to the low income of the people, it is difficult to own a house in the urban areas nowadays especially landed properties. As a result, there are more and more unsold property units due to the dampening of demand and price of properties. To resolve this matter, the KEN Holdings Berhad assessed the unsold units based on enquiries with the management in order to address the slow-moving inventories. (E) - COMPANY’S STRENGTHS AND WEAKNESSES Strengths One of the strengths of Ken Holdings Berhad is that it is Malaysia’s first ever green developer. Due to their commitment in being a green developer, Ken Holdings Berhad endeavours to embrace sustainable practices by carrying out activities and investing in projects the reduce carbon emission. Ken Holdings Berhad achieved the Carbon Neutral Status consistently since the year 2010. This means that they have been holding the title for seven years in a row now. Besides that, Ken Holdings Berhad has won other numerous awards namely, BCA Green Mark Gold Award, GBI Gold Award and the Edge-PAM Green Excellence Award. These prestigious awards earned are a strength of the firm. Ken Holdings Berhad stands out from the rest because they’re not only a developer, they’re the first green developer in Malaysia. Ken Holdings Berhad promotes steady earnings growth by enhancing shareholders’ value through sustainable resource management and sound corporate governance. They also embrace sustainable
  • 22.
    21 methods to preservethe environment for the future generations. Moreover, they also committed to delivering sustainable quality homes which are planned efficiently and designed innovatively on time. The founder of the Group, Dato’ Tan Boon Kang, has an extensive experience in the specialist engineering and he was the pioneer in Malaysia for the outstanding soil nailing system, that is currently the most widely used method for slope protection. Dato’ Tan has contributed tremendously in elevating the Group to one of the established specialist engineering companies in Malaysia and Hong Kong. Apart from that, he also diversified the Group’s business into a property development and has created a prominent brand name, at the same time earning loyalty from property buyers. Since Ken Holdings Berhad is a pioneer of green developments in Malaysia, they have embarked on sustainable building initiatives by constantly working on building developments that are built responsibly and in accordance with international green building guidelines. Likewise, they aim to develop buildings of sustainable lifestyles for their home purchasers. Since the year 2009, all projects undertaken by Ken Holdings Berhad have been green-rated; this consists of KEN Bangsar, KEN Rimba Legian Residences, KEN Rimba Commercial Centre and KEN Rimba Jimbaran Residences, Menara KEN TTDI and KEN Rimba Condominium 1. Green-rated buildings are recognized as being prestigious and it offers many benefits in terms of environmental, economic and social. All in all, Ken Holdings Berhad’s strengths are evident based on their sustainable developments and awards. Weaknesses On the other hand, when there are strengths, there are also weaknesses. A company’s weakness is known as any resource of process that a firm lacks, thereby limiting the firm’s abilities to reach its full potential. As a matter of fact, even successful companies have their own weaknesses.
  • 23.
    22 Based on theannual report, Ken Holdings Berhad’s inventory turnover is generally low, whereby the inventory figures are all less than 1x. Furthermore, their inventory turnover has decreased 0.2 times from FY 2016 to FY2017. Low inventory turnover indicates weak sales and possibly excess inventory. It can also imply that the demand for the product is low or the customers think that the product is overpriced. As such, low inventory turnover leads to weaker performance for the firm. (F) - STRATEGIC PLANS The Malaysian property market is concern with oversupply of properties, stringent lending environment from financial institutions, hike in interest rates, increasing cost of living and cautious consumer spending which led to the dampening of demand and prices of properties in recent years. However, Ken Holdings Berhad believed that their company’s unique offerings of affordable high rated green developments together with the company’s resonating brand and values will continue to appeal buyers particularly from the younger working class and first-time buyers. In addition, given to the slow growth operating environment and that the demand for properties will likely to remain subdued, Ken Holdings Berhad will place emphasis on growing its recurring income base. The company acknowledges the responsibility in the implementation of Malaysian Code of Corporate Governance (MCCG) which was issued by the Securities Commission Malaysia in April 2017. Therefore, the Board takes the overall responsibility and are committed in ensuring that the highest standards of corporate governance are maintained throughout the company. They will periodically review and update the Board Charter in accordance with the needs of the company and any new regulations to ensure the affairs of the company are conducted with integrity and professionalism with the objective of safeguarding shareholders’ investment and ultimately enhancing long term shareholder value. As a pioneer of green developments in Malaysia, Ken Holdings Berhad has quality assurance on the sustainability performance of the homes to their purchasers. The company place emphasis on the procurement of materials to ensure the suppliers are reputable, able to deliver quality products and in a timely manner whilst being the most cost efficient to ensure their housing development units remain affordable to purchasers. The key design features and principles adopted by Ken Holdings Berhad’s developments include the carbon emission and offsetting methods, transplantation at residential
  • 24.
    23 condominium to preservea friendly environment, energy conservation such as maximising natural lighting and zoned-air-conditioning system, water conservation and waste management. One of the recent sustainable developments by Ken Holdings Berhad is Menara Ken TTDI, a corporate office tower situated at Taman Tun Dr Ismail, Kuala Lumpur. The office tower comprises of Platinum Grade Office suits, a performing arts theatre, an art gallery, food and beverage outlets, a gymnasium, rooftop pool and sky bar. The company believed that the integration of the needs with today’s urbanities and corporate executives with various attractive facilities and amenities in the office tower will give them a competitive edge in securing more tenants in the near future. The company will continue to focus on having a broader tenant base of quality corporations with long lease periods in the coming year to improve occupancy rate which in turn will translate to long term earnings visibility. (G) - MAJOR CAPITAL INVESTMENT AND SOURCES OF FUNDING The KEN Holdings Berhad is a company that primarily involves in investment holding and provision of management services. Besides this, the company is also actively involved in property holding, investment and development, specialist engineering services, geo-technic field, civil engineering and building work, land reclamation, marine engineering and property management for the past three years. Except in the year 2017, there is a new involvement in car park management by the company. Being Malaysia’s first Green Developer, property development is the company’s major capital investments during the last three financial years. Currently, KEN Holdings Berhad is pushing the sales for KEN Rimba located at Shah Alam, Selangor. It is the country’s first green township. Within this township, there are different types of development such as the KEN Rimba Commercial Centre (completed in year 2013), KEN Rimba Legian Residences (2012), KEN Rimba Jimbaran Residences (2015) and KEN Rimba Condominium 1 (KRC1) (2018). These developments are all carried out under the company name of Ken Rimba Sdn. Bhd. under the property development and investment holding. The most recent development of KEN Holdings Berhad is the KRC1 which is also the main revenue source of the company. According to the Annual Report 2017, KEN Holdings Berhad was recorded a total revenue of RM104.2 million, an increase of 12.3% as compared to the last financial year in 2016. With higher revenue registered, the profit before tax have increased to RM62.9 million during the year. The higher revenue
  • 25.
    24 was mainly contributedby the new sales registered and higher progress billings from the KRC1 project during the year. Besides the KRC1 major investment of the company, the Menara KEN TTDI is also one of the major investment in the last three financial years. Referring to the Annual Report 2017, the total cash and cash equivalents as at 31 December 2017 stood at RM2.8 million. Higher operating cashflows were used to finance higher working capital requirements which result in the Group’s net cash generated from operations reduced to RM10.7 million during the financial year. With the completion of the corporate office tower, Menara KEN TTDI, the net cash used in investing activities decreased to RM10.5 million as compared to RM25.9 million in year 2016. As mentioned above, the KRC1 is the one of the major investment that contributes majorly to the company’s revenue. The major source of funding for this investment is via new sales registered and progress billing. On the other hand, the Menara KEN TTDI that is completed in year 2017 is funded by source of rental of office and commercial spaces. As for bank loans, the principal banker for both of these investments is the Malayan Banking Berhad. (H) - ANALYSIS OF FINANCIAL CONDITION (i) Liquidity LIQUIDITY RATIOS (QUICK RATIO & CURRENT RATIO) The financial performance of a company can be analyzed through liquidity ratios, that are current ratio and quick ratio. These ratios indicate the firm’s ability to meet its current debt obligations based on its current assets. For current ratio, the firm’s current assets is compared with its current liabilities. Meanwhile, the analysis of quick ratio compares a firm’s cash and current assets (minus inventory) that can be converted into cash during the year with the liabilities that should be paid within the year. Higher liquidity ratios indicates that the company would have a higher safety margin to meet its current liabilities.
  • 26.
    25 Figure 14: LiquidityRatio Analysis YEARS 2013 2014 2015 2016 2017 CURRENT RATIOS 1.26 x 1.77 x 1.29 x 1.19 x 2.30 x QUICK RATIOS 0.58 x 0.68 x 0.62 x 0.41 x 0.69 x Table 2: The current ratios and quick ratios for FY2013 - FY2017 Based on the current ratio calculations and analysis, the current ratios for all five financial years are higher than one, which indicates that Ken Holdings Berhad is healthy and less likely to face financial difficulties, thus the firm should be able to remain solvent in the short term. If the current ratio is less than one, then the firm might not have the capital on hand to meet its short-term obligations if they were all due at the same time. The current ratio of Ken Holdings Berhad increased from FY2013 to FY2014, followed by a decrease from FY2014 to FY2016. Although the current ratio declined from FY2014 to FY2016, the firm managed to increase its current ratio at 2.30 times, that is the highest current ratio among the five years analyzed. For every RM1 of current liabilities, the firm has RM2.30 current assets to
  • 27.
    26 pay. It showsthat the firm has increased their capability of paying off its short term debts and because it has a larger proportion of short term asset value relative to the value of its short term liabilities. As for quick ratios, it is used to indicate the firm’s short term liquidity position. The firm’s ability to meet its short term obligations with its most liquid assets can be measured using this ratio. Quick ratio is also known as acid test ratio and it provides a better measure of overall liquidity only when a firm’s inventory cannot be easily converted into cash. It indicates the firm’s financial position to use its liquid assets to pay its current liabilities. For Ken Holdings Berhad quick ratio, the trend is similar to current ratio whereby the quick ratio in FY2013 to FY2014 increase, followed by a decrease from FY2014 to FY2016. From FY2016 to FY2017, the quick ratio rise up, becoming the highest quick ratio for the firm out of the five years analysed. In FY2017, Ken Holdings Berhad has RM0.69 in quick assets for every RM1.00 in current debt. This means that if Ken Holdings Berhad pays RM1.00, the firm only has RM0.69 to serve their debts. Thus, this shows that the firm is generally dependent on inventory in paying their debts. INVENTORY TURNOVER Inventory turnover is a ratio showing the number of times a firm has sold and replaced inventory during a certain period. Besides inventory turnover, average collection period, average payment period and total asset turnover ratio can be used to analyse the activity of the firm. These ratios indicate the efficiency of the firm in using its asset to generate revenue. For inventory turnover calculations, it helps the firm to make wiser decisions on pricing, manufacturing runs as well as how and when to purchase inventories.
  • 28.
    27 Figure 15: InventoryTurnover Analysis YEARS 2013 2014 2015 2016 2017 INVENTORY TURNOVER 0.38 x 0.62 x 0.60 x 0.74 x 0.54 x Table 3: The inventory turnover ratios for FY2013 – FY2017 From FY2013 to FY2014, the increase in the inventory turnover ratio is in line with Ken Holdings Berhad’s increase in revenue. According to its income statements, a steady increase from RM55,828,000 in FY2013 to RM91,082,000 in FY2014 is observed. In FY2014 to FY2015, the inventory turnover decreased slightly, as well as its revenue. This indicates that the firm has sold and replaced inventory lesser times than FY2014. Ken Holdings Berhad’s inventory turnover bounced back and rose gradually, along with its revenue. From FY2016 to FY2017, the inventory turnover declined; however, the firm’s revenue increased. This means that the firm was not that efficient as a significant increase in activity did not translate to a proportional increase in revenue. The decrease in inventory turnover from FY2016 to FY2017 indicates that the inventory is quickly converted to sales as more sales is generated.
  • 29.
    28 AVERAGE COLLECTION PERIOD AverageCollection Period is used to measure the amount of time it takes for a firm to receive payments owed based on account receivables. It determines the firm’s ability to collect receivables from its debtors. Figure 16: Average Collection Period Analysis YEARS 2013 2014 2015 2016 2017 AVERAGE COLLECTION PERIOD 183 Days 183 Days 183 Days 183 Days 184 Days Table 4: The average collection period ratios for FY2013 – FY2017 For the Average Collection Period of Ken Holdings Berhad, the firm required 183 days to collect its receivable from its debtors from FY2013 to FY2016, whereas in FY2017, there was a slight increase of 1 extra day as compared to the past four years. Based on the Average Collection Period calculations from the five financial years, Ken Holdings Berhad’s ability to collect receivables from its debtors is steady and consistent throughout the five years’ performance. Hence, it shows that Ken Holdings Berhad is performing well in collecting receivables from its debtors.
  • 30.
    29 AVERAGE PAYMENT PERIOD AveragePayment Period is used to determine the effectiveness of the firm to pay its creditors. It measures the average number of days it takes for a firm to pay off credit accounts payable. Figure 17: Average Payment Period Analysis YEARS 2013 2014 2015 2016 2017 AVERAGE PAYMENT PERIOD 1341 Days 479 Days 844 Days 596 Days 336 Days Table 5: The average payment period ratios for FY2013 – FY2017 In FY 2013, the number of days it took for Ken Holdings Berhad to pay its debts to its creditors is 1341 days. The number of days it took for the firm to pay off its creditors decreased drastically in FY2014 to 479 days. There was an increase in FY2015, being 844 days. This was followed by a decrease in the number of days it took for Ken Holdings Berhad to pay off its debts in FY2016, that is 596 days and lastly, 336 days in FY2017, being the least number of days for the firm to pay its debts out of the five financial years analyzed. A shorter payment period indicates prompt payments to creditors by the firm.
  • 31.
    30 (ii) Activity RETURN ONCOMMON EQUITY Return on common equity is a profitability ratio which analyses the ability of a firm to generate profits from its shareholders investments in the company. The return on common equity shows how much profit each RM 1 of common stockholders’ equity generates. Figure 18: Return on Common Equity Ratio Analysis YEARS 2013 2014 2015 2016 2017 RETURN ON COMMON EQUITY 11.38% 15.05% 10.06% 10.91% 16.79% Table 6: The return on common equity ratios for FY2013 – FY2017
  • 32.
    31 There is anincrease on the return on common equity of Ken Holdings Berhad with a percentage of 11.38% in FY2013 to 15.05% in FY2014, yet in FY2015 and FY2016, the return on common equity fell to a percentage of 10.06% and increases back to 10.91%. In FY2017, the company managed to rise its return on common equity up to 16.79% which shows that Ken Holdings Berhad is generating profit, increasing the shareholder’s value of their investments in the company. (iii) Debt The debt level of the company can be analyzed using debt ratio, time interest earned and fixed payment coverage ratios. These three ratios can also use to determine whether is the company finance its assets by debt or equity or both. DEBT RATIO Figure 19: Debt Ratio Analysis
  • 33.
    32 YEARS 2013 20142015 2016 2017 DEBT RATIO 34% 25% 31% 29% 16% Table 7: The debt ratios for FY2013 – FY2017 Debt ratio is the percentage of the firm’s assets that are financed by debt. The higher the debt ratio, the more likely a company will experience financial difficulties as the company may fail to pay back its liabilities on time. Ken Holdings Berhad finance its assets by 34% of debts in FY2013; 25% in FY2014; 31% in FY2015; 29% in FY2016 and 16% in FY2017 as shown in Table 6. As shown in Figure 6, the debt ratios of Ken Holdings Berhad is reduced every year from FY2013 to FY2017, except for FY2014 to FY2015 with 6% of increase. The increase of ratio may be caused by the company decision to finance its assets with debts. However, the significant decrease of ratio from FY2015 to FY2017 is a healthy and good performance for the company as the amount of debts to finances the assets is reduced. The lower the percentage of the debt ratio represented the company is getting good performance in financing the total assets by total debts. This result can aids the company in obtaining loan in the future which the decrease of debt ratio indicates the company is getting more stable compared to previous years.
  • 34.
    33 TIME INTEREST EARNED Figure20: Time Interest Ratio Analysis YEARS 2013 2014 2015 2016 2017 TIME INTEREST EARNED 108.82 x 229.52 x 300.59 x 352.86 x 538.32 x Table 8: The time interest earned ratios for FY2013 – FY2017 Time interest earned ratio is the amount of operating income available to service interest payments, which also is to measure a company’s ability to honor its debt payments. The higher the time interest earned ratio, the more effective the company able to finance interest payment. Conversely, the lower time interest earned indicate high credit risk. The time interest earned ratio increased significantly from FY2013 to FY2017. Ken Holdings Berhad’s ability to pay the interest expenses by using the operating profits in FY2013 is 108.82 times; 229.52 times in FY2014; 300.59 times in FY2015; 352.86 times in FY2016, and 538.32 times in FY2017 as shown in Table 7. As shown in Figure 7, the time interest ratio increase gradually and reached its peak at FY2017 with 538.32 times. The significant rise of time interest ratio is a signal of financial health and it shows that the company has ability to meet the interest payment by managing the debt’s interest effectively.
  • 35.
    34 FIXED-PAYMENT COVERAGE RATIO Fixed-paymentcoverage ratio measures the firm’s ability to meet all fixed-payment obligations. The higher the fixed-payment coverage ratio, the better the company capable to sustain against the fixed charges. However, Ken Holdings Berhad did not provide sufficient information such as lease payment, principal payment, and preferred stock dividends to complete the ratio calculation. Therefore, the calculation of fixed-payment coverage ratio is not included in this report. (iv) Profitability TOTAL ASSET TURNOVER Total asset turnover is a ratio to measure the efficiency of a firm to generate sales using its assets. It measures the amount of sales the company can generate with RM1 invested in assets. Figure 21: Asset Turnover Analysis
  • 36.
    35 YEARS 2013 20142015 2016 2017 ASSET TURNOVER 0.20 x 0.32 x 0.22 x 0.26 x 0.29 x Table 9: The asset turnover ratios for FY2013 – FY2017 In FY2013, Ken Holdings Berhad had generated RM0.20 in sales for every RM1.00 invested in asset. There is a substantial increase in FY2014 to RM0.32, which is the highest for FY2013 to FY2017 but decreases to RM0.22 in the next financial year. In FY 2016 and FY2017, the total asset turnover increases to RM0.26 and RM0.29. Overall, the total asset turnover had increased substantially from FY2013 to FY2017 which shows that the firm is currently more efficient in utilising their assets to generate sales compared to FY2013. GROSS PROFIT MARGIN Gross profit margin is used to measure the percentage of money after deducting the cost of goods sold. It shows how effective a firm is in controlling its cost of goods sold. Figure 22: Gross Profit Margin Analysis
  • 37.
    36 YEARS 2013 20142015 2016 2017 GROSS PROFIT MARGIN 63.94% 60.68% 54.35% 46.64% 65.93% Table 10: The gross profit margin for FY2013 – FY2017 In FY2013, the gross profit margin is 63.94%. From the total revenue generated for FY2013, roughly 36% of it is the cost of goods sold. The gross profit margin decreases continuously until FY2016. The gross profit margin is 60.68%, 54.35% and 46.64% for financial year 2014, 2015 and 2016 respectively. This shows that the increased cost of goods sold is not in proportion with the total revenue. Each product sold incurred higher cost compared to the previous years. However, the gross profit had increased to the highest point in FY2017. This shows that the firm had successfully cut down the cost of goods sold to generate more profit. OPERATING PROFIT MARGIN Operating profit margin measures how effective a firm is in managing its cost of goods sold and operating expenses. It shows the percentage of each sales dollar remaining after deducting all expenses for purchase of goods and operating expenses from the total revenue. Figure 23: Operating Profit Margin Analysis
  • 38.
    37 YEARS 2013 20142015 2016 2017 OPERATING PROFIT MARGIN 50.87% 47.88% 42.50% 39.92% 60.44% Table 11: The operating profit margin for FY2013 – FY2017 The operating profit margin is 50.87% in FY2013. It then decrease substantially over the next 3 years until FY2016. The operating profit margin is 47.88%, 42.50% and 39.92% for financial year 2014, 2015 and 2016 respectively. This shows that the company is not very effective in managing the cost of goods sold and operating profits. However, the operating profit margin increased to 60.44% in FY2017. This significant increase of approximately 20% shows that the firm had effectively managed its expenses on goods and operation. NET PROFIT MARGIN Net profit margin measures the percentage of sales dollar remaining after deducting all cost and expenses, including interest, taxes and preferred stock dividends. This shows the portion of earnings available for common stockholder from the total sales generated. Figure 24: Net Profit Margin Analysis
  • 39.
    38 YEARS 2013 20142015 2016 2017 NET PROFIT MARGIN 37.43% 35.08% 31.40% 29.87% 48.36% Table 12: The net profit margin for FY2013 – FY2017 For FY2013, the net profit margin is 37.43%. The net profit margin for financial year 2014, 2015 and 2016 is 35.08%, 31.40% and 29.87% respectively. This shows that the company had experienced a substantial downfall in 3 consecutive years from 37.43% in FY2013 to 29.87% in FY2016. However, the firm had successfully increased its net profit margin to 48.36% in FY2017. This indicates that the Ken Holdings Berhad has improved in managing all its cost and expenses thus increasing the net profit. RETURN ON TOTAL ASSETS Return on total assets measures a company’s earnings before deducting interest and taxes (EBIT) in relative to its total net assets. The ratio indicates on how effectively a company is using its assets to generate earnings. Figure 25: Return on Total Assets Ratio Analysis
  • 40.
    39 YEARS 2013 20142015 2016 2017 RETURN ON TOTAL ASSETS 7.48% 11.30% 6.99% 7.76% 14.09% Table 13: The return on total assets ratios for FY2013 – FY2017 The return on total assets of Ken Holdings Berhad in FY2013 is 7.48%. The company experienced a decline in percentage from 11.30% to 6.99% and eventually to 7.76% in 3 consecutive financial years of 2014, 2015 and 2016. In FY2017, there is an increase on the percentage of return on total assets up to 14.09% which depicts the company managed to use its assets to generate earnings more effectively as compared to the previous financial years. EARNINGS PER SHARE (EPS) Earnings per share measures the portion of a company’s profit allocated to each share of common stock. It acts as an indicator of a company’s profitability. Figure 26: Earnings Per Share Ratio Analysis
  • 41.
    40 YEARS 2013 20142015 2016 2017 EARNING PER SHARE RM 0.12 RM 0.18 RM 0.13 RM 0.15 RM 0.28 Table 14: The earnings per share for FY2013 – FY2017 Earnings per share of Ken Holding Berhad in FY2013 is 12 sen. There is a decrease in EPS for financial year 2014, 2015 and 2016 from 18 sen to 13 sen and 15 sen. However, the company had improved its EPS up to 28 sen in FY2017 per RM1 of share making the highest earnings per share as compared to the previous financial years. (v) Market Performance PRICE / EARNING (P/E) RATIO Figure 27: Price/Earnings (P/E) Ratio Analysis
  • 42.
    41 YEARS 2013 20142015 2016 2017 PRICE/EARNINGS RATIO 50.25 67.44 135.77 80.87 24.54 Table 15: The price/earnings (P/E) ratio for FY2013 – FY2017 The Price/Earnings (P/E) ratio indicates the dollar amount an investor can expect to invest in a company in order to receive one dollar of that company’s earnings. This is why the P/E is sometimes referred to as the price multiple because it shows how much investors are willing to pay per dollar of earnings. As in this graph, there is an increase from year 2013 to year 2014 at 17.19 times. Whereas from year 2014 to year 2015, the graph shows a greater increase where it reaches 135.77 times in year 2015. The increase in P/E ratio indicates that the investors are more willing to invest more into Ken Holdings Berhad. Moreover, it also indicates that the company has a good performance that will gain the trusts of fellow investors. However, there has been a drastic decrease in P/E ration since the year 2015. Year 2017 ended with rock-bottom P/E ratio of only 24.54 times.
  • 43.
    42 PRICE / BOOKRATIO (P/E) Figure 28: Price/Book (P/B) Ratio Analysis YEARS 2013 2014 2015 2016 2017 PRICE/BOOK RATIO 6.28 10.94 14.59 9.12 4.38 Table 16: The price/book (P/B) ratio for FY2013 – FY2017 Price/Book (P/B) ratio compares the market value of a share of stock to the book value per share of the reported equity found in balance sheet. P/B ratio calculated by dividing the market price per share with the equity book value share. A ratio that is greater than 1 indicates that she shares are more valuable than what the shareholders have originally paid. P/B ratio of Ken Holdings Berhad has increased greatly from 6.28 times in year 2013 to 10.94 times in year 2016. It can be deducted that the firm has better growth prospects relative to its risk in year 2015. Unfortunately, the P/B ratio drops drastically to 4.38 times in year 2017. It shows that the share value of Ken Holdings Berhad is now at risk and may affect their future cash flow. They can increase their market price per share in order to improve the P/B ratio.
  • 44.
    43 (I) - CONCLUSIONAND RECOMMENDATIONS KEN Holdings Berhad that is actively involved in promoting sustainable and green construction is Malaysia’s First Multiple Award-Winning Green Developer. The company is primarily engaged in property development has grown to own numerous subsidiary companies involving in specialist works, engineering works, management works and etc. Detail analysis on the company’s financial statements have been carried out to determine the company’s performance for the past five financial years. Based on the analysis that we have conducted in this report, KEN Holdings Berhad recorded a total revenue of RM104.2 million in financial year, 2017. The total revenue is 12.3% higher than the previous financial year, 2016. Since their revenue rose, the profit before tax also increased RM62.9 million during the financial year. KEN Rimba Condominium 1 (KRC1) was the main contribution of the higher revenue due to the new sales registered and higher progress billings for the project. The total cash and cash equivalents of the company remains stagnant at RM 2.8 million in financial year, 2017. The high operating cash flows were allocated to finance the high working capital requirements resulted from the company’s net cash generated from the operating activities reduced to RM 10.7 million during the financial year. The net cash amount used in investing activities reduced from RM 10.5 million to RM 25.9 million as compared to last year due to the completion of the corporate office tower, Menara Ken TTDI in 2016. The net cash used in financing activities reduces as well from the amount of RM 4.4 million to RM 1.1 million mainly attribute to the additional borrowing for the purpose of working capital during the financial year. The company’s capital position remained profitable with a low gearing ratio of 0.01. The total shareholders’ equity of the company increased by the percentage of 18.1% with the amount of RM 300.1 million and the net assets per share increased by 17.6% from RM 1.42 to RM 1.67 at financial year, 2017 with a higher revenue and profit after tax. According to the the current ratio calculations and analysis, the current ratios for all five financial years are higher than one, which indicates that financial status of Ken Holdings Berhad is healthy and is less likely to face financial hardships, hence the firm should be able to remain solvent in the short term. In aspect of profitability of the company, KEN Holdings Berhad faced downfalls from year 2014 to 2016 compared to year 2013. However, in year 2017, the company managed to improve their control on managing expenses, hence increases the company’s profit. Furthermore, the earning per share of the
  • 45.
    44 company increases from2013 to 2014 but decreases in the subsequent year. Nonetheless, the company managed to enhance the earning per share from year 2015 to 2017. In conclusion, although there are ups and downs in the financial status of KEN Holdings Berhad, the company is still capable to overcome any difficulties faced. Therefore, it is worth investing in this company as of 2017.
  • 46.
    45 (J) - REFERENCES AverageCollection Period. (2018, October 24). Retrieved from https://www.investopedia.com/terms/a/average_collection_period.asp Inventory Turnover. (2018, October 25). Retrieved from https://www.investopedia.com/terms/i/inventoryturnover.asp Current Ratio. (2018, October 23). Retrieved from https://www.investopedia.com/terms/c/currentratio.asp Quick Ratio. (2018, October 16). Retrieved from https://www.investopedia.com/terms/q/quickratio.asp Average Payment Period Formula | Example | Calculation Explanation. (n.d.). Retrieved from https://www.myaccountingcourse.com/financial-ratios/average-payment-period Return On Total Assets. (2018, November 20). Retrieved from https://www.investopedia.com/terms/r/return_on_total_assets.asp Return On Common Equity. (2018, November 20). Retrived from https://www.myaccountingcourse.com/financial-ratios/return-on-equity Earnings Per Share. (2018, November 20). Retrieved from https://www.investopedia.com/terms/e/eps.asp Malaysia Green Building Industry Overview - Asia Green Buildings. (2018). Retrieved from http://www.asiagreenbuildings.com/8173/malaysia-green-building-industry-overview/ Green Building Index. (2018). Retrieved from http://new.greenbuildingindex.org/organisation/gbi About MGBC – Malaysia Green Building Confederation (MGBC). (2018). Retrieved from http://www.mgbc.org.my/about-mgbc/ GBI Certified Buildings. (2018). Retrieved from http://new.greenbuildingindex.org/organisation/t Green Building Index. (2018). Retrieved from http://new.greenbuildingindex.org/how/tools
  • 47.
    46 Department of StatisticsMalaysia Official Portal. (2018). Retrieved from https://www.dosm.gov.my/v1/index.php?r=column/cthemeByCat&cat=100&bul_id=U0oyNStDWTh6R2 9rN2kwZzdxcStnQT09&menu_id=TE5CRUZCblh4ZTZMODZIbmk2aWRRQT09 Budget 2019 Highlights - Nation | The Star Online. (2018). Retrieved from https://www.thestar.com.my/news/nation/2018/11/02/budget-2019-highlights-live/ Construction sector to record slower growth in 2019 - Business News | The Star Online. (2018). Retrieved from https://www.thestar.com.my/business/business-news/2018/10/25/construction-sector-to-recrod- slower-growth-in-2019/
  • 48.
    47 (K) - APPENDICES AppendixA: Ratio Formula Appendix B: Calculation of Ratio Appendix C: Financial Data Summary Appendix D: Statement of Financial Position Appendix E: Statement of Comprehensive Income Appendix F: Statement of Cash Flow
  • 49.
    Appendix A No. FinancialRatio 1. Current ratio 2. Quick ratio / Acid-test ratio 3. Inventory turnover 4. Average collection period / Days in receivable 5. Average payment period 6. Total asset turnover 7. Debt ratio 8. Time interest earned 9. Fixed payment coverage ratio (FPCR) 10. Gross profit margin 11. Operating profit margins 12. Net profit margin 13. Return on total assets 14. Return on common equity (ROE) 15. Earnings per share (EPS) 16. Price earning ratio 17. Price book ratio Formulae current assets current assets - liquid current assets current liabilities sales average purchase per day accout payable current liabilities daily credit sales account receivable inventory cost of good sold total debt total assets gross profit sales interest +lease payment + {[(principal payment + preferred stock dividends)x [1/(1- T)]} EBIT + lease payment interest total assets operating profits net income market price per share earning per share operating profits sales sales net income net income total assets market price per share equity book value per share total common equity no. of shares of common stock outstanding net income
  • 50.
    Appendix B No. FinancialRatio 1. Current ratio 98,417.00 94,345.00 108,532.00 103,041.00 95,354.00 77,895.00 53,312.00 84,375.00 86,744.00 41,410.00 2. Quick ratio / Acid-test ratio 45,316.00 36,295.00 52,076.00 35,886.00 28,669.00 77,895.00 53,312.00 84,375.00 86,744.00 41,410.00 3. Inventory turnover 20,130.00 35,816.00 33,900.00 49,526.00 35,502.00 52,893.00 57,756.00 56,338.00 66,522.00 65,447.00 4. Average collection period / 15,353.00 6,505.00 14,462.00 12,076.00 17,819.00 Days in receivable (Days) 83.78 35.64 79.24 66.17 97.10 5. Average payment period 73,957.00 46,966.00 78,384.00 80,826.00 32,688.00 (Days) 55.15 98.13 92.88 135.69 97.27 1. Return on common equity 20,895.00 31,952.00 23,320.00 27,726.00 50,400.00 (ROE) 183,618.00 212,260.00 231,858.00 254,202.00 300,115.00 1. Debt ratio 95,858.00 70,521.00 101,898.00 103,052.00 57,601.00 279,476.00 282,781.00 333,756.00 357,254.00 357,716.00 2. Time interest earned 28,401.00 43,609.00 31,562.00 37,050.00 62,984.00 261.00 190.00 105.00 105.00 117.00 3. Fixed payment coverage ratio (FPCR) 1. Total asset turnover 55,828.00 91,082.00 74,266.00 92,816.00 104,208.00 279,476.00 282,781.00 333,756.00 357,254.00 357,716.00 2. Gross profit margin 35,698.00 55,266.00 40,366.00 43,290.00 68,706.00 55,828.00 91,082.00 74,266.00 92,816.00 104,208.00 3. Operating profit margins 28,401.00 43,609.00 31,562.00 37,050.00 62,984.00 55,828.00 91,082.00 74,266.00 92,816.00 104,208.00 4. Net profit margin 20,895.00 31,952.00 23,320.00 27,726.00 50,400.00 55,828.00 91,082.00 74,266.00 92,816.00 104,208.00 5. Return on total assets 20,895.00 31,952.00 23,320.00 27,726.00 50,400.00 279,476.00 282,781.00 333,756.00 357,254.00 357,716.00 6. Earnings per share (EPS) 20,895.00 31,952.00 23,320.00 27,726.00 50,400.00 179,552.00 179,346.00 179,343.00 179,341.00 179,338.00 1. Price earning ratio 6.03 12.14 17.65 12.13 6.87 0.12 0.18 0.13 0.15 0.28 2. Price book ratio 6.03 12.14 17.65 12.13 6.87 0.96 1.11 1.21 1.33 1.57 = = 80.87 9.12= = = = = RM 0.13= 31.40 = = 6.99 % % 538.32= x Insufficient Information x0.29 48.36 % 60.44= = 65.93 % % = = = 24.54 4.38 RM 0.28 14.09= % = 1.19 % 336.07= 183.52== 182.50 16.00% 16.79 = = 29.00%= Liquidity = = = = Activity Debt x 1,341.00 34.00% %11.38 135.77 14.59 x x = 1.26 0.58 = = x 1.77 x x 0.62 183.26 0.38 = 1.29 xx = FY 2015 =x = = 0.62 = 182.50 0.60 FY 2014FY 2013 10.94 67.44 182.50 478.63 60.68 47.88 RM 0.18 %11.30 % x = = = 0.68 Insufficient Information 35.08 % % 50.25 6.28 Insufficient Information = % % = = x108.82 = 37.43 50.87 = = = = = = == = = Market Performance %63.94 x= 0.20 Profitability % RM 0.12 7.48 = = x x 0.54 0.69 x2.30 FY 2017 = = FY 2016 = = 0.74 x=x 0.41 x = = = % %= 46.64 = Insufficient Information 7.76 = = 29.87 % % RM 0.15 = 843.96 % 352.86 x 0.26 x 39.92 595.68 10.91= % Insufficient Information % = = x 42.50= = 54.35 x % 229.52 = %15.05 10.06= 25.00% 300.59 = x0.32 31.00% 0.22 ==
  • 51.
    Appendix C No. FinancialInformation 1. Current assets 2. Currect liabilities 3. Liquid current assets 52,893.00 57,756.00 56,338.00 66,522.00 65,447.00 208.00 294.00 118.00 633.00 1,238.00 4. Cost of good sold 5. Inventory 6. Account receivable 7. Account payable 8. Sales 9. Total assets 10. Total debt 11. Operating profits 12. Interest 13. EBIT 14. Gross profit 15. Net income 16. Total common equity 17. Earning per share 18. Equity book value per share No. Financial Information 19. Average purchase per day 20,130.00 35,816.00 33,900.00 49,526.00 35,502.00 365.00 365.00 365.00 365.00 365.00 20. No. of shares of common stock 179,552 no. 179,346 no. 179,343 no. 179,341 no. 179,338 no. outstanding 74,266.00 92,816.00 279,476.00 282,781.00 73,957.00 46,966.00 78,384.00 80,826.00 55,828.00 91,082.00 31,912.00 36,945.00 33,900.00 56,338.00 15,353.00 6,505.00 14,462.00 12,076.00 = 95,354.00 41,410.00 20,130.00 52,893.00 57,756.00 98,417.00 94,345.00 77,895.00 49,526.00 35,502.0035,186.00 65,477.0066,522.00 Amount (RM '000) 53,101.00 58,050.00 56,456.00 67,155.00 66,685.00 Amount (RM '000) FY 2015 FY 2016 FY 2017FY 2014 Amount (RM '000) FY 2013 108,532.00 103,041.00 = 53,312.00 84,375.00 86,744.00 Amount (RM '000) Amount (RM '000) = = = 333,756.00 357,254.00 0.13 0.15 1.21 1.31 95,858.00 70,521.00 101,898.00 103,052.00 43,609.00 31,562.00 37,050.0028,401.00 261.00 190.00 105.00 105.00 28,257.00 43,739.00 0.12 0.18 0.96 1.11 92.88 x= Times/NumberTimes/NumberTimes/Number =55.15 x = 98.13 x FY 2016FY 2014 FY 2015 = Times/Number FY 2013 20,895.00 31,952.00 23,320.00 27,726.00 212,260.00 231,858.00 254,202.00183,618.00 40,366.00 43,290.0035,698.00 55,266.00 300,115.00 0.28 135.69 x = 97.27 x FY 2017 Times/Number 17,819.00 1.57 32,688.00 104,208.00 57,601.00 62,984.00 117.00 62,867.00 68,706.00 50,400.00 357,716.00
  • 52.
    Appendix D 2013 20142015 2016 2017 RM '000 RM '000 RM '000 RM '000 RM '000 Assets Property, plant and equipment 13,070 12,462 14,882 14,837 14,689 Land held for property development 103,908 98,623 103,876 118,506 104,539 Investment properties 53,809 67,543 93,246 104,172 126,786 Investment in subsidiaries - - - - - Other investments 26 26 26 26 26 Deferred tax assets 10,246 9,782 13,194 16,672 16,322 Total Non-Current Assets 181,059 188,436 225,224 254,213 262,362 Inventories 52,893 57,756 56,338 66,522 65,447 Property development costs 21,007 17,996 19,271 6,680 8,084 Current tax assets 208 294 118 633 1,238 Trade and other receivables 15,353 6,505 14,462 12,076 17,819 Cash and bank balances 8,956 11,794 18,343 17,130 2,766 Total Current Assets 98,417 94,345 108,532 103,041 95,354 Total Assets 279,476 282,781 333,756 357,254 357,716 Equity Share capital 95,860 95,860 95,860 95,860 95,860 Reserves 87,703 116,345 135,957 163,660 209,575 Treasury shares - - - -5,362 -5,365 Equity attributable to owners of the company 183,563 212,205 231,817 254,158 300,070 Non-controlling interests 55 55 41 44 45 Total equity 183,618 212,260 231,858 254,202 300,115 Liabilities Deferred tax liabilities 17,963 17,209 17,523 16,308 16,191 Total Non-Current Liabilities 17,963 17,209 17,523 16,308 16,191 Trade and other payables 73,957 46,966 78,384 80,826 32,688 Amount due to contract customers - - - - 198 Loans and borrowings 1,500 2,000 2,000 2,000 5,500 Current tax liabilities 2,438 4,346 3,991 3,918 3,024 Total Current Liabilities 77,895 53,312 84,375 86,744 41,410 Total Liabilities 95,858 70,521 101,898 103,052 57,601 Total Equity and Liabilities 279,476 282,781 333,756 357,254 357,716 KEN Holdings Berhad STATEMENT OF FINANCIAL POSITION
  • 53.
    Appendix E 2013 20142015 2016 2017 RM '000 RM '000 RM '000 RM '000 RM '000 Cash flows from operating activities Profit before tax 28,257 43,970 31,912 36,945 62,867 Adjustments for: Depreciation of investment properties 155 155 186 186 1,858 Depreciation of property, plant and equipment 680 751 705 745 625 Dividend income - - - - - Finance income (117) (320) (455) (402) (399) Finance costs 261 190 105 105 117 Gain on disposal of property, plant and equipment (36) (5) (40) - - Reversal of accrual for project costs (788) (3,207) (1,060) - - Accrual for project cost 311 - - - - Waiver of debts owed by a subsidiary - - - - - Unrealised (gain)/loss on foreign exchange (350) - (101) (15) 37 Operating Profit/(loss) before changes in working capital 28,373 41,534 31,252 37,564 65,105 Changes in working capital: Inventories (4,381) (4,863) (5,238) (304) (367) Land held for property development (1,679) (439) 1,418 3,228 2,551 Property development costs 8,115 8,734 (1,290) (813) (2,880) Contract customer - - - - - Trade and other payables (11,236) (22,576) 32,478 2,450 (48,336) Trade and other receivables 8,755 8,848 (7,957) 2,384 (5,545) Cash generated from operations 27,947 31,238 50,663 44,511 10,726 Interest received 62 275 239 128 308 Income tax paid (9,199) (10,743) (12,475) (14,610) (13,771) Income tax refunded 219 257 188 110 38 Net cash from/(used in) operating activities 19,029 21,027 38,615 30,139 (2,699) Cash flows from investing activities Additions to property, plant and equipment (438) (143) (552) (708) (477) Acquisition and subscription of subsidiaries - (478) - - - Dividends received - - - - - Interest income from fixed deposits 55 45 216 274 91 Additions to investment properties (11,651) (13,889) (25,889) (25,446) (10,138) Proceeds from disposal of property, plant and equipment 36 5 40 - - Net cash from/(used in) investing activities (11,998) (14,460) (26,185) (25,880) (10,524) Cash flows from financing activities Acquisition of non-controlling intest - - (495) - - Dividends paid to owners of the Company (4,035) (4,035) (5,380) (5,380) (4,484) Drawndown of revolving credit - - - - 3,500 Drawdown of loans and borrowings 14,500 9,350 - - Repayment of loans and borrowings (16,500) (8,850) - - Repurchase of treasury shares (129) (4) (2) (2) (3) Interest paid (261) (190) (105) (105) (117) Net cash used in financing activities (6,425) (3,729) (5,982) (5,487) (1,104) Net increase/(decrease) in cash and cash equivalents 606 2,838 6,448 -1,228 -14,327 Effect of exchange rate fluctuations on cash held 359 - 101 15 -37 Cash and cash equivalents at 1 January 7,991 8,956 11,794 18,343 17,130 Cash and cash equivalents at 31 December 8,956 11,794 18,343 17,130 2,766 KEN Holdings Berhad STATEMENT OF CASH FLOW
  • 54.
    Appendix F 2013 20142015 2016 2017 RM '000 RM '000 RM '000 RM '000 RM '000 Revenue 55,828 91,082 74,266 92,816 104,208 Cost of sales (20,130) (35,816) (33,900) (49,526) (35,502) Gross profit 35,698 55,266 40,366 43,290 68,706 Other income 3,014 3,150 3,826 3,935 4,475 Distribution expenses (487) (1,187) (322) (214) (156) Adminstrative expenses (9,824) (13,620) (12,308) (9,961) (10,041) Profit from operation 28,401 43,609 31,562 37,050 62,984 Finance cost (144) 230 350 (105) (117) Profit before tax 28,257 43,739 31,912 36,945 62,867 Taxation (7,362) (12,018) (8,592) (9,219) (12,467) Profit for the financial year 20,895 31,721 23,320 27,726 50,400 KEN Holdings Berhad STATEMENT OF COMPREHENSIVE INCOME
  • 55.
    A. A feedbackform needs to be included with each assignment. Please complete all details clearly. Student Names and IDs: Adele Lu Khai Syn 0323151 Leong Li Jing 0323628 Loh Mun Tong 0323680 Ee Hui Teng 0322548 Tam Zhao Wei 0322587 Yeap Phay Shian 0322243 Programme: Bachelor of Quantity Surveying (Honours), SCHOOL OF ARCHITECTURE, BUILDING & DESIGN Email : phayshian@gmail.com Contact No : 0192265331 Module code and title: QSB3413/QSB3414/FIN60203 FINANCIAL MANAGEMENT Module Lecturer/ Tutor: Ms Tay Shir Men Assignment number: Group Written Assignment Due date: 29/11/2018 Word Count: 9602 Assignment topic as stated in the guidelines provided: Business and financial analyses and forecasts of a company. B. This section will be completed by the lecturer/tutor assessing your assignment: CRITERIA % DISTINCTION (7.5-10) CREDIT (6-7.4) PASS (5-5.9) MARGINAL FAIL(4-4.9) FAIL (0-3.9) SCORE Executive summary, introduction, background and principal activities, and strategic plans of the company 5 # Excellent Well-researched, objective and clearly written. # Good # Fair # Poor # Confusing Shows little or no research, biased or irrelevant, lacks clarity. Industry analysis 10 # Excellent Relevant, up-to-date and well- researched. # Good # Fair # Poor # Erroneous Irrelevant, outdated, little evidence of research. Financial analysis 70 # Excellent Accurate calculations of the latest financial data over two years, comparison with industry data, well- reasoned analyses. # Good # Fair # Poor # Erroneous Multiple errors in calculations showing lack of understanding, fails to evaluate company by comparing with relevant industry data, no reasoned analysis of financial data. Financial forecasts 10 # Excellent Accurate calculations and correct conclusions. Excellent evaluation of the projected cash requirements. # Good # Fair # Poor # Erroneous Multiple errors in calculations showing lack of understanding. Forecasts without any basis or justification. Missing or invalid conclusions and analyses. Structure and presentation, language, reference of sources 5 # Excellent Excellent headings/sub-headings, layout, pagination. Excellent grammar, spelling. Effective/accurate use of figures and tables. Excellent references of sources. # Good # Fair # Poor # Erroneous Inappropriate or no headings, poor and confusing layout, innappropriate or no numbering. Weak grammar, many spelling mistakes, ineffective/inaccurate use of figures and tables. Poor or no references of sources. Penalty Total (100%) Final score (25%) Any additional comments (if there is any):Comments: Assessed by: Date: Sample Moderated by (if any): Date: ASSIGNMENT FEEDBACK GRADE/ MARK
  • 56.
    Marking Criteria forAssignment % Task details DISTINCTION (75-100) CREDIT (60-74) PASS (50-59) MARGINAL FAIL (40-49) FAIL (0-39) Executive summary, introduction, background and principal activities, and strategic plans of the company 5 Remember that this should be a report and should be presented in a professional report format. Presentation should include tables/graphs to enhance understandability. # Excellent Well-researched, impressive choice and range of relevant information, objective and clearly written. # Good Good level of research, covers all the main points, objective, # Fair Fair level of research, missing some important relevant information, some errors/omissions. # Poor Poor effort in research, missing relevant information or contains wrong/outdated information. # Inadequate Shows little or no research, biased or irrelevant, lacks clarity. Industry analysis 10 You are expected to research the industry in which the company operates to give context to your financial analysis. # Excellent Relevant, up-to-date and well- researched, outstanding level of detail. # Good Good level of relevant information, current and appropriate. # Fair Fair level of appropriate information, some outdated or errors, somewhat incomplete. # Poor Poor effort in researching the industry, some irrelevant or outdated info, # Inadequate Irrelevant, outdated, little evidence of research. Financial analysis 70 This includes accurate calculations of relevant ratios and analyses of trends in tables/graphs. Comparison should be made to competitors and/or industry averages. Analyses and evaluations should be made in the context of the current industry climate. # Excellent Accurate calculations of the latest financial data over 5 years, comparison with industry data, well-reasoned analyses. Excellent analysis of trends. # Good Accurate calculation of relevant ratios for 5 years, good analyses of ratios and trends, comparison with industry data or competitors. # Fair Fairly accurate calculation of relevant ratios, fair description of trends, lacking comparison with industry data or competitors. Contains some errors or omissions. # Poor Errors in calculations showing lack of understanding, weak/limited analyses. # Inadequate Multiple errors in calculations showing lack of understanding, fails to evaluate company by comparing with relevant industry data, no reasoned analysis of financial data. Financial forecasts 10 Accurate calculations of forecast income statement and any required external funding or surplus cash. # Excellent Accurate calculations and correct conclusions. Excellent evaluation of the projected cash requirements. # Good Accurate calculations and correct conclusions. Good evaluation of the projected cash requirements. # Fair Fairly accurate calculations with conclusion that lack some clarity and analysis. # Poor Some major errors in calculations, poor or inaccurate conclusions/analyses. # Inadequate Multiple errors in calculations showing lack of understanding. Forecasts without any basis or justification. Missing or invalid conclusions and analyses. Structure and presentation, language, reference of sources 5 Professional writing and presentation, including good page layout, use of headers, pagination, organisation of sections, reference of sources, inclusion of relevant details in notes and appendices. # Excellent Excellent headings/sub- headings, layout, pagination. Excellent grammar, spelling. Effective/accurate use of figures and tables. Excellent references of sources. # Good Good use of headings, layout is clear, good pagination, some use of table/graphs to illustrate trends. Good reference of sources. # Fair Layout that is fairly readable with appropriate pagination, some spelling and grammatical errors, lacking logical flow in some parts, effective use tables/graphs to illustrate main points. # Poor Lacking appropriate headings/subheadings, poor paragraphing, many spelling and grammatical errors, lacking logical flow in many parts. # Inadequate Inappropriate or no headings, poor and confusing layout, inappropriate or no numbering. Weak grammar, many spelling mistakes, ineffective/inaccurate use of figures and tables. Poor or no references of sources.