Female Hormones: Synthesis and Function
Reproductive System Hormone
Though endocrine, paracrine signaling also important here
Cross-talk Between different cells within each gonad and
Between endocrine and germ cells that are close
to each other
Between cells of maternal and fetal origin
Autocrine function also important
In addition, peptides that are synthesized in the
hypothalamus and that initiate functioning of the
hypothalamic-pituitary-gonadal axis may also be produced
locally within the gonads and placenta, where
they may have additional functions
Steroid Hormones
Synthesized from cholesterol
Steroid Hormones
17-ketosteroids
17-hydroxycorticoids or
17-hydroxycorticosteroids
OH
20,22-desmolase
17-hydroxylase
Gonadal Hormones Synthesis
3β-ol-dehydrogenase and
Δ4,5-isomerase
17,20-desmolase
aromatase
Gonadal Hormones Synthesis
3β-ol-
dehydrogenase
and
Δ4,5-isomerase
aromatase
aromatase
17β-OH-steroid dehydrogenase
3β-ol-dehydrogenase and
Δ4,5-isomerase
Gonadal Hormones Synthesis
17β-OH-steroid dehydrogenase
5α-reductase
3α-reductase
3β-ol-dehydrogenase and
Δ4,5-isomerase
aromatase
Gonadal Hormones Synthesis
Ovary
ovary orchestrates the development and
release of a mature oocyte and also
elaborates hormones (e.g., estrogen,
progesterone, inhibin) that are critical for
pubertal development and preparation of
the uterus for conception, implantation, and
the early stages of pregnancy
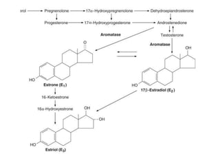
Estrogen production in the ovary
Feed back pathway
Harmonal level during menstrual cycle
Levels of FSH & LH Hormones
Effects on the Female Genitalia
Effects on Endocrine Organs
Effects on the Central Nervous System
Effects on the Breasts
Female Secondary Sex Characteristics
significant plasma cholesterol-lowering action
Function of estrogen
Progesterone
Principal target organs of progesterone are the
uterus, the breasts, and the brain
Cyclic changes in the cervix and vagina
Maintenance of Pregnancy
Function of Progesterone
progesterone receptor is bound to a heat shock
protein in the absence of the steroid, and
progesterone binding releases the heat shock
protein, exposing the DNA-binding domain of the
receptor. The synthetic steroid mifepristone (RU 486)
binds to the receptor but does not release the heat
shock protein, and it blocks the binding of
progesterone.
Substances that mimic the action of progesterone
are sometimes called progestational agents,
gestagens, or progestins. They are used along with
synthetic estrogens as oral contraceptive agents
Mechanism of Action of Progesterone
Polycystic Ovary Syndrome
Essentials of Diagnosis
Clinical or biochemical evidence of
hyperandrogenism.
Oligoovulation or anovulation.
Polycystic ovaries on
ultrasonography.
Polycystic ovary syndrome (PCOS) is a common endocrine disorder
affecting 4–7% of women of reproductive age and is a common
source of chronic anovulation. The underlying etiology is unknown,
although most of these women have an aberration of gonadotropin
stimulation. This is manifested by an increased release of luteinizing
hormone (LH) relative to follicle-stimulating hormone (FSH), resulting
in an increased production of androstenedione and testosterone by
ovarian theca cells
Polycystic Ovary Syndrome
Females…
Females…
ď‚— The female reproductive
system is much more
complicated than the male
reproductive system.
ď‚— The male produces sperm at
a constant rate, whereas the
female goes through a
complicated cycle in which
an egg matures and is
released over the course of
a month.
ď‚— The hormonal levels of the
female fluctuate throughout
her reproductive years until
menopause.
ď‚— The creation of an ovum is called oogenesis: Ovaries contain
follicles. Follicles are made up of the primary oocyte and the
granulosa cells. The primary oocyte undergoes meiosis and
becomes a mature ovum. The granulosa cells provide nutrients for
the oocyte.
ď‚— Although the ovary contains around 400 000 follicles, only about
400 or so will develop into mature ovum (from age 12 to about age
50).
ď‚— Since many genetic disorders occur to the offspring of older
mothers, it is theorized that as the follicles mature, they become
genetically inferior.
ď‚— Menopause signals the end of the female reproductive life as all
ovarian hormones, the female sex hormones, cease to be secreted.
ď‚— As the primary oocyte goes through meiosis I, one of the cells
garners the majority of the cytoplasm and grows to a much larger
size... this is the secondary oocyte. The remaining portion is termed
a polar body. The secondary oocyte pushes against the ovary wall
and eventually bursts through... ovulation.
ď‚— Surrounding follicle cells around the burst form the corpus luteum
which secretes hormones essential for pregnancy. If pregnancy
does not happen, the corpus luteum degenerates after about 10
days.
ď‚— The secondary oocyte undergoes meiosis II in the oviduct. The one
garnering all the cytoplasm this time is the mature ovum. The other
is another polar body.
ď‚— As with the male, there is a negative feedback loop that regulates
the production of female sex hormones (progesterone and
estrogen).
The Feedback Loop
ď‚— Hypothalamus releases
gonadotropic releasing hormone
(GnRH) to the pituitary
ď‚— Pituitary releases FSH to stimulate
the follicles in the ovary to mature
ď‚— The follicle releases estrogen
which causes the endometrial
lining of the uterus to thicken
ď‚— This estrogen, at midcycle, also
causes the pituitary to release LH
and stop secreting FSH.
The Feedback Loop
ď‚— The rise in LH secretions cause
ovulation to occur .
ď‚— LH makes the remaining follicles
turn into the corpus luteum.
ď‚— The corpus luteum secretes both
progesterone and a small level of
estrogen which promote the
building up of the endometrium.
ď‚— As progesterone and estrogen build
up in the female, they inhibit the
release of FSH and LH from the
pituitary.
ď‚— This causes the corpus luteum to
deteriorate and thus decrease the
levels of estrogen and progesterone
which causes menstruation.
Menstrual Cycle
ď‚— The whole thing lasts about 28 days,
but can be irregular due to a number
of factors.
ď‚— There are 4 phases to the menstrual
cycle.
ď‚— Flow Phase: Days 1-5: This is the
shedding of the endometrial lining
and is the only phase of the female
cycle that can be determined
externally. It takes about 5 days for
the entire lining to be shed.
ď‚— Follicular Phase: Days 6-13: The
follicles are developing inside the
ovary and as they mature they are
releasing estrogen.
Menstrual Cycle
ď‚— Ovulation: Day 14: The egg bursts from
the ovary and is caught by the fimbriae
and sent into the oviduct. The corpus
luteum is made from the follicles around
where the egg burst. Slight dip in
estrogen level when the burst occurs.
ď‚— Luteal Phase: Days 15-28:Estrogen and
progesterone are secreted by the corpus
luteum. Progesterone continues to
stimulate the thickening of the uterine
lining as well as preventing further
ovulation and uterine contractions. If the
egg is not fertilized, the concentrations of
estrogen and progesterone drop which
causes a return to the flow phase.
ď‚— Birth control pills contain high
concentrations of progesterone which
inhibits ovulation and thereby prevents
conception.
Thank you

Female hormones

  • 1.
  • 2.
    Reproductive System Hormone Thoughendocrine, paracrine signaling also important here Cross-talk Between different cells within each gonad and Between endocrine and germ cells that are close to each other Between cells of maternal and fetal origin Autocrine function also important In addition, peptides that are synthesized in the hypothalamus and that initiate functioning of the hypothalamic-pituitary-gonadal axis may also be produced locally within the gonads and placenta, where they may have additional functions
  • 3.
  • 4.
  • 5.
  • 6.
  • 7.
  • 8.
  • 10.
  • 12.
    ovary orchestrates thedevelopment and release of a mature oocyte and also elaborates hormones (e.g., estrogen, progesterone, inhibin) that are critical for pubertal development and preparation of the uterus for conception, implantation, and the early stages of pregnancy
  • 13.
  • 14.
  • 15.
    Harmonal level duringmenstrual cycle
  • 17.
    Levels of FSH& LH Hormones
  • 18.
    Effects on theFemale Genitalia Effects on Endocrine Organs Effects on the Central Nervous System Effects on the Breasts Female Secondary Sex Characteristics significant plasma cholesterol-lowering action Function of estrogen
  • 19.
  • 20.
    Principal target organsof progesterone are the uterus, the breasts, and the brain Cyclic changes in the cervix and vagina Maintenance of Pregnancy Function of Progesterone
  • 21.
    progesterone receptor isbound to a heat shock protein in the absence of the steroid, and progesterone binding releases the heat shock protein, exposing the DNA-binding domain of the receptor. The synthetic steroid mifepristone (RU 486) binds to the receptor but does not release the heat shock protein, and it blocks the binding of progesterone. Substances that mimic the action of progesterone are sometimes called progestational agents, gestagens, or progestins. They are used along with synthetic estrogens as oral contraceptive agents Mechanism of Action of Progesterone
  • 22.
    Polycystic Ovary Syndrome Essentialsof Diagnosis Clinical or biochemical evidence of hyperandrogenism. Oligoovulation or anovulation. Polycystic ovaries on ultrasonography. Polycystic ovary syndrome (PCOS) is a common endocrine disorder affecting 4–7% of women of reproductive age and is a common source of chronic anovulation. The underlying etiology is unknown, although most of these women have an aberration of gonadotropin stimulation. This is manifested by an increased release of luteinizing hormone (LH) relative to follicle-stimulating hormone (FSH), resulting in an increased production of androstenedione and testosterone by ovarian theca cells Polycystic Ovary Syndrome
  • 23.
  • 24.
    Females…  The femalereproductive system is much more complicated than the male reproductive system.  The male produces sperm at a constant rate, whereas the female goes through a complicated cycle in which an egg matures and is released over the course of a month.  The hormonal levels of the female fluctuate throughout her reproductive years until menopause.
  • 25.
    ď‚— The creationof an ovum is called oogenesis: Ovaries contain follicles. Follicles are made up of the primary oocyte and the granulosa cells. The primary oocyte undergoes meiosis and becomes a mature ovum. The granulosa cells provide nutrients for the oocyte. ď‚— Although the ovary contains around 400 000 follicles, only about 400 or so will develop into mature ovum (from age 12 to about age 50). ď‚— Since many genetic disorders occur to the offspring of older mothers, it is theorized that as the follicles mature, they become genetically inferior. ď‚— Menopause signals the end of the female reproductive life as all ovarian hormones, the female sex hormones, cease to be secreted.
  • 26.
    ď‚— As theprimary oocyte goes through meiosis I, one of the cells garners the majority of the cytoplasm and grows to a much larger size... this is the secondary oocyte. The remaining portion is termed a polar body. The secondary oocyte pushes against the ovary wall and eventually bursts through... ovulation. ď‚— Surrounding follicle cells around the burst form the corpus luteum which secretes hormones essential for pregnancy. If pregnancy does not happen, the corpus luteum degenerates after about 10 days. ď‚— The secondary oocyte undergoes meiosis II in the oviduct. The one garnering all the cytoplasm this time is the mature ovum. The other is another polar body. ď‚— As with the male, there is a negative feedback loop that regulates the production of female sex hormones (progesterone and estrogen).
  • 27.
    The Feedback Loop ď‚—Hypothalamus releases gonadotropic releasing hormone (GnRH) to the pituitary ď‚— Pituitary releases FSH to stimulate the follicles in the ovary to mature ď‚— The follicle releases estrogen which causes the endometrial lining of the uterus to thicken ď‚— This estrogen, at midcycle, also causes the pituitary to release LH and stop secreting FSH.
  • 28.
    The Feedback Loop ď‚—The rise in LH secretions cause ovulation to occur . ď‚— LH makes the remaining follicles turn into the corpus luteum. ď‚— The corpus luteum secretes both progesterone and a small level of estrogen which promote the building up of the endometrium. ď‚— As progesterone and estrogen build up in the female, they inhibit the release of FSH and LH from the pituitary. ď‚— This causes the corpus luteum to deteriorate and thus decrease the levels of estrogen and progesterone which causes menstruation.
  • 29.
    Menstrual Cycle ď‚— Thewhole thing lasts about 28 days, but can be irregular due to a number of factors. ď‚— There are 4 phases to the menstrual cycle. ď‚— Flow Phase: Days 1-5: This is the shedding of the endometrial lining and is the only phase of the female cycle that can be determined externally. It takes about 5 days for the entire lining to be shed. ď‚— Follicular Phase: Days 6-13: The follicles are developing inside the ovary and as they mature they are releasing estrogen.
  • 30.
    Menstrual Cycle ď‚— Ovulation:Day 14: The egg bursts from the ovary and is caught by the fimbriae and sent into the oviduct. The corpus luteum is made from the follicles around where the egg burst. Slight dip in estrogen level when the burst occurs. ď‚— Luteal Phase: Days 15-28:Estrogen and progesterone are secreted by the corpus luteum. Progesterone continues to stimulate the thickening of the uterine lining as well as preventing further ovulation and uterine contractions. If the egg is not fertilized, the concentrations of estrogen and progesterone drop which causes a return to the flow phase. ď‚— Birth control pills contain high concentrations of progesterone which inhibits ovulation and thereby prevents conception.
  • 31.