International School of Stavanger
Stavanger
Norway
Topic: Evaporative Cooling
by
Assia CHELAGHMA
Supervisor: Simon TAYLOR
Extended essay project submitted to International School of Stavanger, in partial fulfilment of the
requirement for the International Baccalaureate Diploma (IB) in 2012
Stavanger, November 2011
Candidate number: 000862007
Word count: 3990
Excluding: acknowledgment, abstract, glossary, lists, table of contents, footnotes, equations and their
explanations, tables, schemas, graphs and their labels, headings and appendices.
Research Question: How does the volume of water available inside a
Badgir (wind tower) affect temperature reduction due to evaporative
cooling?
ii
ACKNOWLEDGEMENTS
I would like to express my sincere gratitude to my supervisor, Simon Taylor for his patience,
assistance, guidance, encouragement and suggestions throughout this work.
Special Thanks are extended to my family for their love and support throughout my time at
Stavanger. Thank you Mom for staying up with me all nights while I was studying, thank you Dad for
you constant encouragement throughout my work on this challenging project.
And to all my friends that I have known in Stavanger.
Assia
iii
Abstract
Uncomfortably hot living around the world has led to many innovative technological solutions to
make life more comfortable for the inhabitants. In the Middle-East, one of the most successful
solutions has been the Badgirs. These are wind towers that use evaporative cooling to air condition
buildings.
This essay investigated Badgirs using a model constructed of wood and adobe to give it the thermal
properties of a Badgir. The cooling effect was tested by the model several times and was found to be
affected by the volume of water available inside the Badgir. Hence, the research question was
chosen to be:
How does the volume of water available inside a Badgir affect the temperature reduction due to
evaporative cooling?
A controlled experiment was carried out in a heated room. Wet cloths were put inside the model. A
fan was used to blow warm air inside the model to evaporate water. When evaporation took place it
caused a decrease in temperature inside the model. The hypothesis suggested that as more cloths are
used, the greater the cooling effect will be, because there will be more water and a larger surface
area exposed to evaporation. Hence, more energy will be taken in the system causing temperature
reduction inside the Model.
The results agreed with the hypothesis, suggesting that optimising the available water and
evaporative surface area would lead to a greater cooling effect.
The cooling effect can be further optimised by developing the structure of the Badgir although it
should be taken into consideration that water availability and wind temperature are the main
limiting factors.
Word count: 262
iv
Declaration of Originality
First name, Last name: Assia CHELAGHMA
Candidate number: 000862007
I hereby declare that this thesis represents my own work and that I have used no other sources except
where due acknowledgment is made in the text.
All information such as data, tables, figures and text citations derived from the published and
unpublished work of others has been acknowledged in the text and a list of references is given in the
bibliography.
Place, date Signature
Stavanger, 18st
of November 2011 ______________________
v
Lists:
List of figures
Fig 1: showing the use of evaporative cooling in ancient Egypt
Fig 2: showing the use of Badgirs in Yazd in Iran
Fig 3: showing the use of Badgirs in Yazd in Iran
Fig 4: showing the use of Badgirs in Qatar
Fig 5: showing the annual mean temperature in Earth surface
Fig 6: showing apparatus set up, the model is put on one desk and the computer& Logger Pro
Sensors on the other desk
Fig 7: showing cloths hanging inside the model and temperature sensors set up
Fig 8: showing the heaters next the model, the Model put on a desk and the fan blowing air inside it
Fig 9: showing the window from which the exhaust air expires. Temperature sensors are connected
to the computer, and the fan is turned on
Fig 10: showing sectional plans of five typical Badgir’s styles at vent level
Fig 11: explaining how Badgir cools down buildings using evaporation system
Fig 12: explaining how Badgirs cool down buildings using ventilation system
Fig 13: demonstrating the use of adobe bricks in constructing houses
Fig 14: showing houses painted using light colours to reduce the absorption of sun’s radiation in
Egypt
Fig15: showing houses with high walls and small windows & surrounded by trees to maximise shade
in Morocco
Fig 16: showing the use of double crossed walls in houses in Algeria
Fig 17: showing the use of double crossed walls filled with polystyrene for thermal & acoustic
insulation in houses in Algeria
Fig 18: showing high domes in traditional houses in Syria
Fig 19: showing the inner stucture of domes in traditional houses
Fig 20: showing the use of soil block walls
Fig 21: area A and B recives the same radiation from the sun. Area B is larger than area A, thus
radiation per unit area on B is less than that on A.
List of tables
Table 1: shows the trials of each different number of cloths (0, 1, 2, 3, 4 and 5) at 0s, 200s and 250s
Table 2: showing average temperature of all trials
vi
Table 3: showing average temperature change of each sensor after 200s
Table 4: showing average temperature change between sensors after 200s
Table 5: showing average temperature change of each sensor after 250s.
Table 6: showing average temperature change between sensors after 250s.
List of graphs
Graph 1: showing Maxwell-Boltzmann distribution
Graph 2: showing a sample graph from which the temperature values are taken
Graph 3: showing average temperature change of each sensor after 200s
Graph 4: showing average temperature changes between sensors after 200s
Graph 5: showing the best fits of temperature changes after 200s
Graph 6: showing the best fit of the cooling effect against the number of cloths
Graph 7: showing the expectation of the cooling effect for more cloths
Graph 8: showing average temperature change of each sensor after 250s
Graph 9: showing average temperature changes between sensors after 250s
List of schemas
Schema 1: showing the dispersion of water molecules in a container before and after evaporation
Schema 2: showing an opened Model
Schema 3: showing cloth attached to the tower lid
Schema 4: showing different positions of temperature sensors
vii
List of Symbols
No Symbol Definitions
01 Energy
02 Mass
03 Latent heat of vaporisation
04 Velocity
05 Boltzmann constant
06 Entropy
07 Name of the surroundings
08 Symbol used for water
viii
Glossary
No Term Definitions
01 Evaporative Cooling Absorbing energy from the air to be used as latent
heat to evaporate water and thus creating a cooling
effect. The amount of heat absorbed depends on the
amount of water that can be evaporated. The more
heat taken in, the greater the cooling effect will be.
02 Badgir Architectural device known as wind-tower or wind-
catcher. It is used to create a cooling effect in
buildings.
03 Temperature The measure of average kinetic energy of particles.
04 Entropy Entropy is the measure of disorder.
05 Evaporation The escape of water molecules from the surface of
water. It takes place at all temperatures at any time.
06 Vaporisation The evaporation of water molecules at the boiling
point of water.
07 Albedo The ratio of reflected radiation from the sun to the
incident radiation.
08 Humidity The amount of water vapour in air.
09 Adobe Natural building material that made from clay mixed
with sand, water, and some organic material (sticks,
straw, and/or manure). The mixture is shaped into
bricks using frames and then dried in the sun.
10 Qanat Underground water channel constructed to lead
water from the interior of a hill to a village below
Table of Contents
ACKNOWLEDGEMENTS...................................................................................................................ii
Abstract................................................................................................................................................ iii
Declaration of Originality.....................................................................................................................iv
Lists: ………………………………………………………………………………………………….v
List of figures.............................................................................................................................v
List of tables...............................................................................................................................v
List of graphs ............................................................................................................................vi
List of schemas .........................................................................................................................vi
List of Symbols....................................................................................................................................vii
Glossary ............................................................................................................................................. viii
Table of Contents....................................................................................................................................i
1. Introduction........................................................................................................................................1
2. Physics of evaporative cooling ..........................................................................................................5
2.1. Solar Energy and Warming up…………………………………………….…………...….5
2.2. Temperature........................................................................................................................6
2.3 Water Evaporation ...............................................................................................................8
2.4 Factors affecting Evaporation..............................................................................................9
2.5 Entropy...............................................................................................................................10
3. Investigation:....................................................................................................................................11
3.1 Design ................................................................................................................................11
3.1.1 Description..........................................................................................................11
3.1.2 Research Question ..............................................................................................12
3.1.3 Variables .............................................................................................................12
3.1.4 Hypothesis...........................................................................................................12
3.2 Preliminary Work...............................................................................................................13
3.2.1 Making a model ..................................................................................................13
3.2.2 Providing Water inside the model.......................................................................13
3.2.3 Measuring Temperature......................................................................................14
3.2.4 Providing Heat ....................................................................................................14
3.2.5 Apparatus ............................................................................................................14
3.2.6 Method................................................................................................................15
3.3 Data Collection and Processing .........................................................................................19
3.3.1 Collecting Sufficient Data...................................................................................19
3.3.2 Raw Data.............................................................................................................19
3.3.3 Processed Data....................................................................................................22
3.3.4 Presenting Data ...................................................................................................23
3.3.5 Analysis...............................................................................................................25
3.4 Concluding & Evaluating ..................................................................................................28
3.4.1 Conclusion ..........................................................................................................28
3.4.2 Evaluation & Improvement.................................................................................29
4. Final Conclusion:.............................................................................................................................31
4.1 Future Research: ................................................................................................................32
5. References:.......................................................................................................................................34
6. Bibliography: ...................................................................................................................................36
7. Appendices:......................................................................................................................................37
7.1 Appendix A........................................................................................................................37
7.1.1 Variety of Badgir Styles......................................................................................37
7.1.2 Functioning Systems of Badgirs .........................................................................37
7.1.3 Example of cooling methods in warm regions ...................................................39
7.1.4 Solar Energy and Warming up............................................................................45
7.1.5 Temperature Distribution on Earth .....................................................................45
7.2 Appendix B........................................................................................................................47
7.3 Appendix C........................................................................................................................50
1
1. Introduction
People living in warm regions near the Equator suffer from high temperatures during daytime
often above . The wind was always hot and dry and their houses got very warm
whenever the sun shines1
.
Ancient people tried to find innovative solutions to tolerate the heat, cool down their
buildings and conserve their food. However the lack of technology and limitation of cooling
equipment and technical skills led them to create simple cooling methods2
.
Plaster paintings from more than 2000 B.C showed Egyptian slaves evaporating water in large
jars to cool rooms in castles3
.
Fig 1: showing the use of evaporative cooling in ancient Egypt 4
1
Please see appendix A for more information.
2
Halacy, VITA Volunteer Daniel. " TECHNICAL PAPER #48." www.cd3wd.com - alexweir1949@gmail.com -
cd3wd - High Quality Technical Development Info for the Third World - and the SEEV fraud-proof voting system
for the Third World - last updated 2011/03. N.p., n.d. Web. 2 Aug. 2011.
<http://www.cd3wd.com/cd3wd_40/vita/coolingp/en/coolingp.htm>.
3
"Evaporative Cooling: History of Technology." AZ Evap - Engineered Solutions in Evaporative Cooling. N.p., n.d.
Web. 8 Oct. 2011. <http://www.azevap.com/EvaporativeCooling/historytechnology.php>.
4
"Evaporative Cooling: History of Technology." AZ Evap - Engineered Solutions in Evaporative Cooling. N.p., n.d.
Web. 8 Oct. 2011. <http://www.azevap.com/EvaporativeCooling/historytechnology.php>.
2
Ancient Indians used wet mats to create a cooling effect inside the rooms. They were hanging
the wet mats over doors and windows, and when the warm wind gets in contact with them, it
evaporates the water causing rooms to cool down5
.
People living in the Middle-East invented simple architectural devices called Badgirs which
are used to create natural cooling in buildings through evaporation or ventilation6
.
Fig 2: showing the use of Badgirs in Yazd in Iran 7
5
"What is evaporative cooling?." Port-A-Cool Sales & Rentals..Version 2011.N.p., n.d. Web. 2 Aug. 2011.
<www.portablecoolers.com/evap/ >.
6
"Solaripedia | Green Architecture & Building | Projects." Solaripedia | Green Architecture & Building | Intl
Passive House Day 11-13 November. N.p., n.d. Web. 16 Oct. 2011.
<http://www.solaripedia.com/13/205/2096/wind_tower_qatar.html>.
7
Sadeghi, Bijan M.. "ViewIRAN.com." ViewIRAN.com. N.p., n.d. Web. 16 Oct. 2011.
<http://www.viewiran.com/iran-yazd.php>.
3
Fig 3: showing the use of Badgirs in Yazd in Iran 8
Fig 4: showing the use of Badgirs in Qatar 9
8
Sadeghi, Bijan M.. "ViewIRAN.com." ViewIRAN.com. N.p., n.d. Web. 16 Oct. 2011.
<http://www.viewiran.com/iran-yazd.php>.
9
"Solaripedia | Green Architecture & Building | Projects." Solaripedia | Green Architecture & Building | Intl
Passive House Day 11-13 November. N.p., n.d. Web. 16 Oct. 2011.
<http://www.solaripedia.com/13/205/2096/wind_tower_qatar.html>.
4
A Badgir is a wind-tower consisting of a tower whose top is rising between 30cm to 5m
above the building and its end is connected to the underground10
. On the sides of the tower,
there is one vent or more to catch the wind and direct it inside the building. Inside the tower,
there is water in the form of wet materials attached to the tower lid, a fountain or a pool of
underground water. When the hot wind is directed inside the tower; it evaporates the water
causing a temperature reduction due to evaporative cooling11
.
Badgirs are usually constructed using adobe bricks. Adobe walls require a large input of
electrpmagnetic radiation from the sun and from the surrounding air to heat up. After the
sunset, the warm walls will transfer the heat to the interior space for several hours. Therefore,
a well-planned adobe wall of suitable thickness is very efficient at controlling the heat
collection during the day and transfering it to the inner inviroment during the night12
.
In this research, I will study Badgir’s functioning systems and answer the research question:
How does the volume of water available inside a Badgir affect temperature reduction
due to evaporative cooling?
By modelling a Badgir and conducting a controlled experiment; I will try to answer the
research question and come up with some new ideas to develop Badgirs.
Before I try to answer the question I would like to point out that there are many styles and
designs of Badgirs and many other successful cooling methods developed throughout warm
regions although their discussion is beyond the limit of this essay’s word count so I have put
the following two interesting sections in my Appendix:
10
"Badgir in traditional Iranian architecture."
http://www.inive.org/members_area/medias/pdf/Inive%5Cpalenc%5C2005%5CAzami2.pdf.N.p., n.d. Web. 29
Oct. 2011. <www.inive.org/members_area/medias/pdf/Inive%5Cpalenc%5C2005%5CAzami2.pdf>.
11
"Windcatcher - Wikipedia, the free encyclopedia." Wikipedia, the free encyclopedia. N.p., n.d. Web. 2 Sept.
2011. <http://en.wikipedia.org/wiki/Windcatcher>.
12
"Adobe - Wikipedia, the free encyclopedia." Wikipedia, the free encyclopedia. N.p., n.d. Web. 29 Oct. 2011.
<http://en.wikipedia.org/wiki/Adobe>.
5
Variety of Badgir Styles and their Functioning Systems:
Different styles of Badgirs and their functioning systems are presented in Appendix A.
Example of cooling methods in warm regions:
People developed various methods to cool down buildings. Some of the traditional common
ways of cooling are described in Appendix A.
2. Physics of evaporative cooling
2.1. Solar Energy and Warming up
The electromagnetic radiation emitted by the sun is made of photons of different energies.
The absorption of photons by air molecules causes a gain in kinetic energy and hence
molecules will move faster and get warmer. The motion of air molecules combined with Earth
rotation causes the wind13
.
Atoms that make up buildings absorb heat from light photons and from contact with warm
wind which make the buildings heat up. When the radiation received from the sun is high, the
chance to gain more photons by molecules increases, causing the buildings and the wind to
get hotter14
.
Therefore, the electromagnetic radiation received from the sun affects temperature
distribution on Earth. It determines the temperature of the wind, water and buildings. Since
regions near the Equator receive the highest amounts of electromagnetic radiation, the
temperatures are relatively high15
, often above as shown in figure 5 and the wind is
always warm and dry. Thus, cooling devices are needed to tolerate the heat. Badgirs are
among the most successful cooling methods due to water evaporation and the absorption of
energy by adobe walls.
13
See appendix for more details
14
Hamper, Chris. "Energy, power and climate change." Physics: higher level (plus standard level options)
developed specifically for the IB diploma, UK: Pearson, 2009. p297. Print.
15
See appendix for why regions near the Equator are warm.
6
Fig 5: showing the annual mean temperature on Earth surface 16
Colours also affect the amount of radiation absorbed. Dark colours with low albedo17
can
absorb great amount of radiation whereas light colours do not absorb a lot of radiation due to
their low albedo18
.
2.2. Temperature
Atoms and molecules that make up solids are cemented together into a specific structure
despite their constant movement due to intermolecular forces formed between those
molecules. In a liquid, molecules are held together by weaker intermolecular forces than those
16
"File:Annual Average Temperature Map.jpg - Wikipedia, the free encyclopedia." Wikipedia, the free
encyclopedia. N.p., n.d. Web. 19 Oct. 2011.
<http://en.wikipedia.org/wiki/File:Annual_Average_Temperature_Map.jpg>.
17
Please see glossary for definition.
18
Hamper, Chris. "Energy, power and climate change." Physics: higher level (plus standard level options)
developed specifically for the IB diploma.. UK: Pearson, 2009.p 296. Print.
7
in solids. The intermolecular forces acting on molecules in all directions result in equilibrium
inside the liquid. However molecules at the surface experience an unbalanced force from the
molecules beneath them. They are bouncing in all directions trying to escape into air but the
attraction from the liquid surface hold them back. In gases, there are no intermolecular forces
between atoms. In gases and liquids, atoms and molecules are interacting with each other
through collisions. Constant collisions cause the particles to move in random motion with
different speeds. They have different kinetic energies19
.
The distribution of speeds within a liquid or a gas of materials above absolute temperature
(0K) is given by Maxwell-Boltzmann distribution.
Graph 1: showing Maxwell-Boltzmann distribution 20
From the Maxwell-Boltzmann distribution graph, it can be seen that at low temperature, most
of molecules have low speed and some molecules have high speed. As the temperature
increases, the number of molecules at low speed decreases and the number of molecules at
high speed increases but the number of molecules remains the same.
19
"The Maxwell-Boltzmann Distribution." Energy, Ch. 7, extention 4 The Mazwell-Boltzmann Distribution. N.p.,
n.d. Web. 18 Oct. 2011. <www.physics.ohio-state.edu/~wilkins/energy/Companion/E07.4.pdf.xpdf>.
20
"The Maxwell-Boltzmann Distribution." Energy, Ch. 7, extention 4 The Mazwell-Boltzmann Distribution. N.p.,
n.d. Web. 18 Oct. 2011. <www.physics.ohio-state.edu/~wilkins/energy/Companion/E07.4.pdf.xpdf>.
8
As the temperature increases, the average kinetic energy of the particles increases. Therefore,
the average kinetic energy of particles is directly proportional to temperature and can be given
by the following equation:
Where m is molar mass of the molecules, v is its velocity, T is the temperature and K is a
constant known as Boltzmann Constant21
.
Hence, temperature is defined as the measure of the average kinetic energy of the particles22
.
2.3 Water Evaporation
Atoms that make up water molecule have different kinetic energies as shown by the Maxwell-
Boltzmann distribution. At the water surface, some molecules have high kinetic energy so
they are bouncing up at high speed to escape into the air as gas (water vapour). This escape of
surface molecules is called evaporation. It involves a change of state from liquid to gas. It can
take place all the time at any temperature23
.
During evaporation, warm wind does work on water molecules by giving them kinetic energy
to overcome the intermolecular attraction exerted on them by molecules under them. The
amount of energy absorbed by water is given by the following equation:
Where Q is the amount of energy needed to change the state of water, m is the mass of water
and L is the latent heat of vaporisation of water Joules per )24
.
21
"The Maxwell-Boltzmann Distribution." Energy, Ch. 7, extention 4 The Mazwell-Boltzmann Distribution. N.p.,
n.d. Web. 18 Oct. 2011. <www.physics.ohio-state.edu/~wilkins/energy/Companion/E07.4.pdf.xpdf>.
22
Brown, Catrin, and Mike Ford. "Energetics" Higher level Chemistry: developed specifically for the IB diploma..
UK: Pearson, 2009. p161-162. Print.
23
Hamper, Chris. "Thermal physics."Physics: higher level (plus standard level options) developed specifically for
the IB diploma.. UK: Pearson, 2009. p73-74. Print.
24
Hamper, Chris. "Thermal Physics" Physics: higher level (plus standard level options) developed specifically for
the IB diploma.. UK: Pearson, 2009.p75 Print.
9
The energy is taken from the surroundings into water as latent heat to keep water temperature
constant. Therefore, evaporation is an endothermic process that cools down the
surroundings25
.
Since evaporation is an endothermic process; Badgir can cool down buildings by evaporating
great amounts of water especially if evaporation is ensured to be at maximum rate.
2.4 Factors affecting Evaporation
Factors that increase the rate of evaporation are:
 Wind: during evaporation water molecules form a small vapour cloud above the water
surface. When there is a wind, the vapour cloud is blown away as soon as it is formed
allowing more molecules to evaporate26
.
 Wind temperature: when the wind’s temperature is high, the chance to gain enough
energy from air molecules increases. More water molecules can have the energy
needed to escape the water surface and thus more evaporative cooling will be.
 Exposed surface area: large surface area gives more molecules the chance to gain
energy from the surroundings, resulting in a higher rate of evaporation.
 Humidity: humidity refers to the amount of water vapour in air. When humidity is
high, it is more difficult for water to evaporate because the air is already filled by
water molecules. The lower the humidity is, the higher the evaporation will be27
.
In warm regions, there is a constant blowing of warm air from the desert. Water is usually
available from underground Qanats28
or mountains. The high temperature during the day
makes the wind move at high speed because of the absorption of the electromagnetic radiation
25
Brown, Catrin, and Mike Ford."Quantitative Chemistry."Higher level Chemistry: developed specifically for the
IB diploma.. UK: Pearson, 2009. P16-18. Print.
26
Hamper, Chris. "Thermal physics."Physics: higher level (plus standard level options) developed specifically for
the IB diploma.. UK: Pearson, 2009. p75. Print.
27
"Factors affecting the rate of evaporation."Virtual Teacher Aide.N.p., n.d. Web. 16 Oct. 2011.
<http://www.vtaide.com/png/evaporation.htm#>.
28
Please see glossary for definition.
10
emitted by the sun. Also, the humidity is very low because the water surfaces are limited and
the average annual raining is very low. These regions are therefore very suitable for the use of
Badgirs since conditions needed to maximise evaporation are available.
2.5 Entropy
The second law of Thermodynamics states that the total entropy29
of the universe is always
increasing. Even if there is a decrease in entropy within a system, it still causes an increase in
universe entropy30
.
Water in a container has initial entropy of . When evaporation takes place, the fastest-
moving particles leave the surface, leaving behind particles with low kinetic energy. Water
molecules left in the container move with lower speed and get in less disorder. Hence, water
entropy decreases.
Schema 1: showing the dispersion of water molecules in a container before and after evaporation
[Author]
As more molecules escape into air and spread all over, the external entropy increases.
Water will have a negative entropy change and the surroundings will have a positive
entropy change .
29
Please see glossary for definition.
30
Hamper, Chris. "Thermal physics."Physics: higher level (plus standard level options) developed specifically for
the IB diploma.. UK: Pearson, 2009. p93-94. Print.
𝑆 𝑤 𝑆 𝑤
𝑆 𝑒𝑥 𝑆 𝑒𝑥
11
From the second law of Thermodynamics, it is proven that the gain in external entropy is
higher than the loss in water entropy.
| | | |
If vapour steam formed inside the Badgir is allowed to expire into the air taking away energy
and entropy, the system will work at high efficiency. Hence, it is useful to build Badgirs with
vents on opposite sides or with small windows at the bottom of the building.
3. Investigation
3.1 Design
3.1.1 Description
My investigation will help to test Badgir’s functioning system and find out ways to develop it
and maximise its efficiency.
A Badgir will be modelled and tested through a simulated experiment. The process of making
the model is explained in my preliminary work.
While performing preliminary experiments, I noticed that the water volume available inside
the Model has an effect on the temperature reduction. Hence, I decide to focus my
investigation on the relationship between the amount of water available inside the Badgir and
the temperature reduction.
12
3.1.2 Research Question
How does the volume of water available inside a Badgir affect temperature reduction due to
evaporative cooling?
3.1.3 Variables
 Independent variable: the number of wet cloths put inside the tower.
 Dependent variable: the temperature reduction after 200s and 250s. After putting the
wet cloths inside the tower, I made the Logger Pro Sensor collect results from 0s to
300s.
 Controlled variables:
o Same initial temperature: after each trial, I opened the model and waited for 15
minutes until the room restored thermal equilibrium again and all the sensors
detected the same temperature.
o Same wind speed: the fan was used at its maximum speed throughout my
experiment.
o Cloths of the same size: I cut 05 cloths of equal sizes. They all have the same
surface area.
o Type of cloths: same cloths were used throughout the experiment
3.1.4 Hypothesis
During evaporation, water molecules in the wet cloths take energy from the warm wind to
escape into air, resulting in a decrease in temperature inside the model.
The energy required to evaporate water is given by the following equation:
Where Q is the amount of energy needed to change the state of water, m is the mass of water
which we refer to as volume and L is the latent heat of vaporisation of water.
13
As the volume of water is increased, the energy required to evaporate it increases. Therefore, I
expected that if I doubled the number of wet cloths put inside the model, the volume of water
and the surface area exposed to evaporate would have doubled. Hence, the number of
molecules that can absorb heat from the hot air would double, use more energy and cause a
greater temperature reduction inside the Model.
The system would have worked at higher efficiency if vapour steam formed inside the model
was allowed to expire through the window taking away energy and entropy.
3.2 Preliminary Work
3.2.1 Making a model
After studying Badgir’s structure and functioning, I found that real Badgirs are made of adobe
bricks. It was difficult and complicated to build a model using adobe bricks in our laboratory;
I decided therefore to use wood instead because it was easy to cut and glue.
The model I made consisted of a tower and a room. Its inner surface was covered with mud
mixed with horse straw to give it some thermal properties of a Badgir.
3.2.2 Providing Water inside the model
Water has to be available to get evaporative process inside the model. I discovered that a bath
of water would provide small surface area exposed to heat. After reading about how ancient
Indians cooled down their palaces, I found that using wet cloths attached to the lid would
offer larger area exposed to evaporate and would help me to manipulate the variables. I cut
five cloths equally sized and attached them to the tower lid so that they could hang inside the
tower.
14
3.2.3 Measuring Temperature
To measure the cooling effect, I preferred using Logger Pro sensors due to their accuracy. In
the beginning, I just used three sensors but afterwards, I used four sensors to have enough
data about the temperature change inside and outside the model.
3.2.4 Providing Heat
In the beginning, I used hair dryers as a source of heat since I conducted the experiment in a
humid and cold region and sun’s energy was not available. The results showed that there was
a lower temperature inside the tower. However, the room was restoring its low initial
temperature, so it was hard to identify if the Model is the cause of the cooling effect or the
cold weather.
I decided to use an insulated room and heat it up to 40 C and then perform the experiment
inside it. I used a fan to blow warm air inside the tower. The results showed that there was a
cooling effect but it was not significant. I repeated the experiment again and heated up the
room to 50 C. the results obtained from the final experiment showed a significant cooling
effect.
3.2.5 Apparatus
The means used for the experiment are:
 Model of a Badgir
 One Fan
 Two electrical heaters
 Five cloths of equal size
 Water container
 Four temperature sensors
 Logger pro sensor
 Computer
15
3.2.6 Method
 Set up the procedure as shown in the pictures below:
Fig 6: showing apparatus set up, the model is put on one desk and the computer& Logger Pro
Sensors on the other desk. [Author]
Fig 7: showing cloths hanging inside the model and temperature sensors set up [Author]
16
Fig 8: showing the heaters next the model, the Model put on a desk and the fan blowing air inside it
[Author]
Fig 9: showing the window from which the exhaust air expires. Temperature sensors are connected to
the computer, and the fan is turned on [Author]
17
 Heat up an insulated room to 50º C using two heaters
 Put the model of the Badgir on one table with a lid taken off
Schema 2: showing an opened Model [Author]
 Attach 5 cloths to the tower lid as shown below:
Schema 3: showing cloth attached to the tower lid [Author]
18
 Place temperature sensors as shown below:
 Sensor 1
 Sensor 2
 Sensor 3
 Sensor 4
Schema 4: showing different positions of temperature sensors [Author]
 Connect logger pro sensor to a computer
 Wait for the room to reach thermal equilibrium
 Put the lid of the model on.
 Put the cloths in water then return the lid to its place
 Turn the fan on
 Click Collect
 Wait 300s then click Stop
 Stop the fan
 Take the lid of the tower off and put the cloths in a bath of water
1
2
4
3
19
 Take the lid of the model off
 Wait 15 minutes for the room to restore thermal equilibrium again then repeat the
experiment 6 times
 Repeat the same steps for 4 cloths, 3 cloths, 2 cloths, 1 cloth and 0 cloth
 Gather the results obtained then print them off
3.3 Data Collection and Processing
3.3.1 Collecting Sufficient Data
The experiment was repeated 6 times for each of 6 different numbers of cloths starting from 0
up to 5 cloths.
3.3.2 Raw Data
The temperature was recorded from 0s to 300s. The different temperatures of the four sensors
at 0s, 200s and 250s were recorded in table 1. The values are taken from the graphs of each
different number of cloths.
20
Sample Graph:
Graph 2: showing a sample graph from which the temperature values are taken [Author]
I ignored some results because they were out of range. I kept at least five different trials for
each number of cloths.
Table 1: shows the trials of each different number of cloths (0, 1, 2, 3, 4 and 5) at 0s, 200s
and 250s. Please see Appendix B.
The average temperature of each number of clothes was calculated and recorded in table 2.
Uncertainty in temperature was estimated to be C because the sensors were accurate in
measuring temperatures, but after calculating the uncertainty from the equation:
I found that the calculated uncertainty is larger and hence I ignored the estimated uncertainty
and considered only the calculated uncertainty.
21
Cloths
Average of all the trials
/ C
Sensor 0s Uncertainty
/ C
200s Uncertainty
/ C
250s Uncertainty
/ C
0 Cloth
1 54.0 1.2 55.4 0.5 55.5 0.4
2 52.9 0.9 53.6 0.4 53.8 0.4
3 52.9 1.0 53.2 0.9 53.2 0.8
4 53.5 1.1 53.7 0.8 53.8 0.8
1 Cloth
1 53.0 1.5 55.0 0.7 55.0 0.9
2 52.4 1.3 52.1 1.0 52.1 1.1
3 52.1 1.6 51.7 1.5 51.8 1.5
4 52.9 1.6 52.7 1.2 52.7 1.2
2 Cloths
1 51.6 0.6 54.0 0.8 54.0 0.9
2 51.3 0.3 50.3 0.4 50.3 0.4
3 50.8 0.3 49.6 0.6 49.6 0.7
4 51.6 0.3 50.3 0.5 50.3 0.5
3 Cloths
1 51.1 0.8 54.3 0.3 54.4 0.4
2 50.6 0.4 49.8 0.5 49.8 0.6
3 50.3 0.6 49.2 0.5 49.2 0.5
4 50.7 0.4 49.9 0.2 49.8 0.2
4 Cloths
1 51.2 0.7 53.7 1.1 53.7 1.1
2 50.5 0.5 48.7 0.6 48.7 0.7
3 50.1 0.3 47.9 0.4 47.9 0.4
4 50.9 0.4 48.9 0.4 48.8 0.4
5 Cloths
1 50.8 1.7 53.0 1.2 53.1 1.3
2 50.2 1.2 47.3 0.8 47.2 0.7
3 49.7 0.8 47.7 1.5 47.6 1.5
4 50.1 1.1 48.6 0.5 48.5 0.5
Table 2: showing average temperature of all trials [Author]
22
3.3.3 Processed Data
Temperature at 0s represents the initial temperature; to get the temperature change after 200s
and 250s, I used the following formulae:
Positive sign shows an increase in temperature and negative sign shows a decrease in
temperature.
Cloths
Change after 200s
Sensor
1
/ C
Uncertainty
/ C
Sensor
2
/ C
Uncertainty
/ C
Sensor
3
/ C
Uncertainty
/ C
Sensor
4
/ C
Uncertainty
/ C
0 1.4 1.6 0.7 1.3 0.3 1.8 0.2 1.9
1 2.0 2.2 -0.3 2.3 -0.3 3.2 -0.2 2.7
2 2.3 1.4 -1.0 0.6 -1.2 0.9 -1.3 0.8
3 3.2 1.2 -0.8 0.9 -1.1 1.1 -0.8 0.6
4 2.5 1.8 -1.8 1.1 -2.2 0.7 -2.0 0.8
5 2.2 2.9 -2.9 1.9 -1.9 1.7 -1.5 1.7
Table 3: showing average temperature change of each sensor after 200s [Author]
Sensor 1 gives the temperature of the surroundings in which there was no evaporative cooling
effect. Hence, to get the cooling effect inside the Model, I calculated temperature change and
uncertainties using the formulae:
23
Cloths
Change After 200s
Change 1-
2
/ C
Uncertainty
/ C
Change 1-
3
/ C
Uncertainty
/ C
Change 1-
4
/ C
Uncertainty
/ C
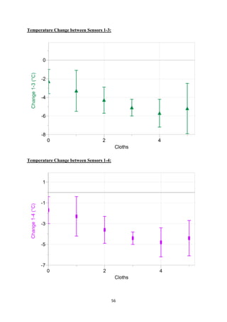
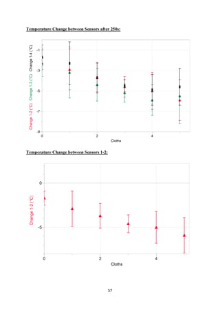
0 -1.8 0.8 -2.3 1.3 -1.7 1.3
1 -2.9 1.8 -3.3 2.2 -2.3 1.9
2 -3.7 1.2 -4.3 1.4 -3.6 1.3
3 -4.5 0.8 -5.1 0.9 -4.4 0.6
4 -5.0 1.7 -5.7 1.5 -4.8 1.4
5 -5.7 2.0 -5.2 2.7 -4.4 1.7
Table 4: showing average temperature change between sensors after 200s [Author]
Remark: please note that the calculations of temperature change after 250s are shown in
Appendix B.
3.3.4 Presenting Data
Since the number of cloths is the independent variable and the change in temperature is the
dependent variable, I plotted a graph with number of cloths on the x-axis and the change of
temperature on the y-axis.
24
Graph 3: showing average temperature change of each sensor after 200s [Author]
-4.0
-3.0
-2.0
-1.0
0.0
1.0
2.0
3.0
4.0
0 1 2 3 4 5 6
TemeratureChange/C
Number of Cloths put inside the Model
Temperature Change after 200s
Sensor 1
Sensor 2
Sensor 3
Sensor 4
25
Graph 4: showing average temperature changes between sensors after 200s [Author]
3.3.5 Analysis
The graphs are shown without uncertainties because the uncertainties were large and when I
insert them in the graphs they make the results look complicated and confusing. Hence, I
decided to make separate graphs for each change and for each sensor with error bars and
include them in Appendix C.
Temperature change of the four sensors presented in graph 3 shows that the temperature of
the surroundings detected by the first sensor has increased (positive sign) and the temperature
of the system detected by sensor 2, 3 and 4 has decreased (negative sign). Therefore, there is a
cooling effect inside the Model.
-7.0
-6.0
-5.0
-4.0
-3.0
-2.0
-1.0
0.0
0 1 2 3 4 5 6
TemperatureChangebewteenSensors/C
Number of Cloths put inside the Model
Temperature Change between Sensors after 200s
Change 1-2
Change 1-3
Change 1-4
26
Temperature of the surroundings is . Thus, the kinetic energy of air molecules is high.
When the warm air entered inside the Model, an amount of energy was absorbed by water to
break down intermolecular forces and changed the state of water from a liquid to a gas, and
some energy was transferred to the walls of the room which were covered by adobe. The
absorption of energy by water and adobe resulted in temperature reduction inside the Model.
Graph 4 shows that the more cloths are put inside the model, the more temperature reduction
will be. Hence, there will be greater cooling effect inside the Model.
The relationship between the number of cloths and temperature reduction showed a pattern
that excel gave by the best fits presented in graph 5:
Graph 5: showing the best fits of temperature changes after 200s [Author]
y = -0.7611x - 2.0211
R² = 0.9849
y = -0.6592x - 2.6694
R² = 0.8626
y = -0.6179x - 1.991
R² = 0.8457
-7.0
-6.0
-5.0
-4.0
-3.0
-2.0
-1.0
0.0
0 1 2 3 4 5 6
TemperatureChangebewteenSensors/C
Number of Cloths put inside the Model
Temperature Change between Sensors after 200s
Change 1-2
Change 1-3
Change 1-4
Linear (Change 1-2)
Linear (Change 1-3)
Linear (Change 1-4)
27
The equations of the best fits are the form of:
Where is the number of cloths, is a constant, is the temperature reduction due to adobe
walls and the expiration of vapour steam taking away energy and entropy and is the
temperature reduction inside the Model.
The average equation is:
The graph of the equation is shown in graph 5:
Graph 6: showing the best fit of the cooling effect against the number of cloths [Author]
5 10 15
−14
−12
−10
−8
−6
−4
−2
Number of cloths
Temperature reduction/ °C
28
3.4 Concluding & Evaluating
3.4.1 Conclusion
After conducting the experiment and analysing the results, I found that the results supported
my hypothesis. The more cloths I use, the greater cooling effect will be. The scientific
explanation of this phenomenon is that more cloths offer larger surface area for more water
molecules to evaporate. More evaporation results in more intake of energy, therefore greater
cooling effect will be. Also, the heat absorption of adobe walls plays a role in taking in energy
and cooling down the Model.
The linear relationship between the water volume and temperature reduction shown in graph 6
may not be valid for the availability of greater volumes of water. The cooling effect is limited
by some factors such as the volume of water that could be provided and the width of the
tower, the temperature of the wind and the humidity
I expect that as more water is available in the Model to evaporate, the cooling effect will
approach a limit. The graph will be curved rather than linear. Its equation is of the form:
√
Where is the number of cloths, is a constant, is the temperature reduction and is the
temperature reduction due to adobe walls and the expiration of vapour steam taking away
energy and entropy.
Graph 7 shows the expectation of the cooling effect as more cloths are put inside the Model:
29
Graph 7: showing the expectation of the cooling effect for more cloths [Author]
The present investigation could not prove the expected relationship since the volume of water
tested and the conditions simulated were limited, but in future research this can be
investigated further.
3.4.2 Evaluation & Improvement
In general the experiment gave sufficient data that answered the research question. However,
while doing the experiment, I found many issues and difficulties about the model which
caused having large uncertainties, forced me to repeat the experiment four times and had 85
trials in total besides other trials that were stopped during the performance of the experiment.
5 10 15
−14
−12
−10
−8
−6
−4
−2
Number of Cloths
TemperatureReduction/ °C
30
Weaknesses Significance Improvements
Adobe wasn’t prepared
according to the right
method. Only mud, straw and
water were used and mixed
randomly. The mud
contained big stones, so it
was hard to mix it with straw
and water.
The adobe layer wasn’t
strong enough and kept
breaking during the
experiment. The walls were
still standing but they weren’t
attached to the wood. Some
walls fell down right after
finishing the experiment.
Adobe should be made with
specific amounts of mud,
straw, sand and water. They
should be mixed together
very well and then exposed to
air for few days to give the
adobe strong structure.
The experiment was
conducted in a cold and
humid region, and the room
wasn’t well insulated because
it had two windows and a
large door so the cold wind
from the outside could enter.
The temperature of the room
was hard to control. It
decreases significantly every
time the door was opened
which results in having large
uncertainties.
The experiment should be
replicated in a warm region
during a very hot day to get
more accurate data.
The wet cloths had to be put
in water and then put on the
top of the tower to hang
inside where the second
sensor is being put.
The wet cloths contacted the
second sensor in many trials
and caused a significant
change in its temperature.
Those trials were deleted or
stopped right after the test
performance.
The tower of the model
should be a bit wider so that
more space will be available
for cloths and sensors.
31
The school didn’t have empty
rooms so I had to repeat the
experiment in my house. It
took two days to heat up a
room to 50 C using tow
electrical heaters.
The lady living on the next
floor felt the heat in her
house and came in to
complain about it. I explained
to her that it was a study
experiment and there was
nothing to worry about. She
was afraid of fire and forced
me to finish the experiment
in a short time.
It is preferred to repeat the
similar experiment in an
insulated room with double-
crossed walls filled with
polystyrene so that it will be
thermally isolated.
4. Final Conclusion
From the research I did, I managed to answer the research question and found that the more
cloths I put inside the Model, the greater cooling effect I would get. I also discovered that
Badgirs offer many advantages:
 Cooling down buildings and offering people and animals comfort to tolerate the heat.
 Conserving food and liquids from quick deterioration because of higher temperatures.
 Saving exhaustible energy sources like electricity, oil and gas.
 Exploiting solar energy and wind power.
 Decreasing the production of and therefore less pollution will be.
 Economising costs.
The cooling effect can be optimised further by developing the structure of Badgirs and
challenging the limiting factors:
32
 The temperature of the wind: it can’t be controlled or changed which is a limiting
factor. When the temperature of the wind is low, less energy can be taken in by water
molecules. Therefore, less evaporation will be resulting in lower temperature
reduction.
 The drought and the limited sources of water in warm regions make water a valuable
resource. It is therefore useful to have fountains or pools of underground water rather
than wet cloths attached to the lid.
 Painting Badgirs by light colours to decrease the absorption of light photo, hence less
heat will be taken in the system.
 The cloths put inside the tower should be proportional to the width of the tower; so
that they offer greater volume of water and they do not fill the tower and prevent the
warm air from contacting large surfaces. Building wider towers will provide larger
area for more cloths.
 Evaporating great amount of water will result in more entropy inside a building and
raise humidity which will make the rate of evaporation decrease. Therefore, Badgirs
should have small windows that will allow the exhaust air to expire taking away
energy and entropy. .
4.1 Future Research
In future research, I would investigate the cooling effect resulting from evaporating greater
volumes of water.
I would also investigate how the temperature of water affects the cooling effect. Cold water
needs more energy to evaporate compared to warm water. Thus, more energy will be taken in
resulting in more reduction. However, fewer molecules will evaporate so energy taken in
might not be that much. Warm water needs less energy to evaporate, but more molecules will
33
take in energy to escape. These facts make it hard to determine the best to use warm or cold
water.
34
5. References
5.1. Text
 "Adobe - Wikipedia, the free encyclopedia." Wikipedia, the free encyclopedia. N.p., n.d. Web.
29 Oct. 2011. <http://en.wikipedia.org/wiki/Adobe>.
 "Badgir in traditional Iranian architecture."
http://www.inive.org/members_area/medias/pdf/Inive%5Cpalenc%5C2005%5CAzami2.pdf.N
.p., n.d. Web. 29 Oct. 2011.
<www.inive.org/members_area/medias/pdf/Inive%5Cpalenc%5C2005%5CAzami2.pdf>.
 Brown, Catrin, and Mike Ford."Quantitative Chemistry."Higher level Chemistry: developed
specifically for the IB diploma.. UK: Pearson, 2009. P16-18. Print.
 Brown, Catrin, and Mike Ford. "Energetics" Higher level Chemistry: developed specifically for
the IB diploma.. UK: Pearson, 2009. p161-162. Print.
 "Evaporative Cooling: History of Technology." AZ Evap - Engineered Solutions in Evaporative
Cooling. N.p., n.d. Web. 8 Oct. 2011.
<http://www.azevap.com/EvaporativeCooling/historytechnology.php>.
 "Factors affecting the rate of evaporation."Virtual Teacher Aide.N.p., n.d. Web. 16 Oct. 2011.
<http://www.vtaide.com/png/evaporation.htm#>.
 "File:Annual Average Temperature Map.jpg - Wikipedia, the free encyclopedia." Wikipedia,
the free encyclopedia. N.p., n.d. Web. 19 Oct. 2011.
<http://en.wikipedia.org/wiki/File:Annual_Average_Temperature_Map.jpg>.
 Halacy, VITA Volunteer Daniel. “TECHNICAL PAPER #48." www.cd3wd.com -
alexweir1949@gmail.com - cd3wd - High Quality Technical Development Info for the Third
World - and the SEEV fraud-proof voting system for the Third World - last updated 2011/03.
N.p., n.d. Web. 10 Oct. 2011.
<http://www.cd3wd.com/cd3wd_40/vita/coolingp/en/coolingp.htm>.
 Hamper, Chris. "Thermal physics."Physics: higher level (plus standard level options)
developed specifically for the IB diploma.. UK: Pearson, 2009. p73-75. Print.
 Hamper, Chris. "Energy, power and climate change." Physics: higher level (plus standard level
options) developed specifically for the IB diploma, UK: Pearson, 2009. p294-297. Print.
 Hamper, Chris. "Thermal physics."Physics: higher level (plus standard level options)
developed specifically for the IB diploma.. UK: Pearson, 2009. p93-94. Print.
 Sadeghi, Bijan M.. "ViewIRAN.com." ViewIRAN.com. N.p., n.d. Web. 16 Oct. 2011.
<http://www.viewiran.com/iran-yazd.php>.
35
 "Solaripedia | Green Architecture & Building | Projects." Solaripedia | Green Architecture &
Building | Intl Passive House Day 11-13 November. N.p., n.d. Web. 16 Oct. 2011.
<http://www.solaripedia.com/13/205/2096/wind_tower_qatar.html>.
 "The Maxwell-Boltzmann Distribution." Energy, Ch. 7, extention 4 The Mazwell-Boltzmann
Distribution. N.p., n.d. Web. 18 Oct. 2011. <www.physics.ohio-
state.edu/~wilkins/energy/Companion/E07.4.pdf.xpdf>.
 "What is evaporative cooling?." Port-A-Cool Sales & Rentals..Version 2011.N.p., n.d. Web. 2
Aug. 2011. <www.portablecoolers.com/evap/ >.
 "Windcatcher - Wikipedia, the free encyclopedia." Wikipedia, the free encyclopedia. N.p., n.d.
Web. 2 Sept. 2011. <http://en.wikipedia.org/wiki/Windcatcher>.
5.2. Appendix
 "Adobe - Wikipedia, the free encyclopedia." Wikipedia, the free encyclopedia. N.p., n.d. Web.
29 Oct. 2011. <http://en.wikipedia.org/wiki/Adobe>.
 "Badgir in traditional Iranian architecture."
http://www.inive.org/members_area/medias/pdf/Inive%5Cpalenc%5C2005%5CAzami2.pdf.N
.p., n.d. Web. 29 Oct. 2011.
<www.inive.org/members_area/medias/pdf/Inive%5Cpalenc%5C2005%5CAzami2.pdf>.
 "Brico.be - 7.2 Isoler les murs et les planchers." Brico - Un peu de nous,beaucoup de vous -
Een beetje van ons,zoveel van jezelf. N.p., n.d. Web. 1 Nov. 2011.
<http://www.brico.be/wabs/fr/bricofiches/1895/construction/-isoler-les-murs-et-les-
planchers.do?pg=6>.
 Chung-hoi, YUNG. "Why is the equator very hot and the poles very cold?." Hong Kong
Observatory-Official Authority For Hong Kong Weather Forecast »´ä¤Ñ¤å¥x--
»´äªº©x¤è¤Ñ®ð¹w³ø³¡ªù. N.p., n.d. Web. 18 Oct. 2011.
<http://www.hko.gov.hk/education/edu06nature/ele_srad_e.htm>.
 Hamper, Chris. "Energy, power and climate change." Physics: higher level (plus standard level
options) developed specifically for the IB diploma. UK: Pearson, 2009. p294-299. Print.
 "Windcatcher - Wikipedia, the free encyclopedia." Wikipedia, the free encyclopedia. N.p., n.d.
Web. 2 Sept. 2011. <http://en.wikipedia.org/wiki/Windcatcher>.
 "Earth Architecture ." Earth Architecture . N.p., n.d. Web. 29 Oct. 2011.
<http://www.eartharchitecture.org/index.php?/archives/P8.html>.
 "Egypt - Earth Architecture." Earth Architecture . N.p., n.d. Web. 29 Oct. 2011.
<http://www.eartharchitecture.org/index.php?/categories/23-Egypt>.
 "Kaveh Farrokh » Professor S. Roaf: Badgir (Iran’s Ancient Air Conditioning System)." Kaveh
Farrokh . N.p., n.d. Web. 22 Oct. 2011. <http://www.kavehfarrokh.com/iranica/learning-
knowledge-medicine/professor-s-roaf-badgir-irans-ancient-air-conditioning-system/>.
36
 "Morocco - Earth Architecture." Earth Architecture . N.p., n.d. Web. 29 Oct. 2011.
<http://www.eartharchitecture.org/index.php?/categories/70-Morocco>.
6. Bibliography
 Joel, Rayner. "Steam and two-phase systems." Basic engineering thermodynamics in SI
units. 3rd ed. London: Longman, 1971. 82-137. Print.
 Higgins, Raymond Aurelius. “The Molecule." The properties of engineering materials.
London: Hodder and Stoughton, 1977. p20-29. Print.
 Higgins, Raymond Aurelius. “The Crystal." The properties of engineering materials.
London: Hodder and Stoughton, 1977. p30-47. Print.
 "Une bonne isolation thermique pour la maison." Choisir un radiateur électrique : Les
radiateurs économiques. N.p., n.d. Web. 1 Nov. 2011. <http://www.radiateur-
electrique.org/isolation.php>.
 Moseley, Erin. "The Best House in Hot Climates | eHow.co.uk." eHow | How to Videos,
Articles & More - Discover the expert in you. | eHow.co.uk. N.p., n.d. Web. 1 Nov. 2011.
<http://www.ehow.co.uk/list_6919316_house-hot-climates.html>.
37
7. Appendices
7.1 Appendix A
7.1.1 Variety of Badgir Styles
Badgirs vary from one region to another. They have many styles but they all create a cooling
effect31
. The figure below shows various designs of Badgirs:
A. Unidirectional.
B. Two-directional.
C. Four-directional.
D. Octagonal with two vents on each side.
E. Four-directional with two false vents on two opposite sides.
Fig 10: showing sectional plans of five typical Badgir’s styles at vent level 32
7.1.2 Functioning Systems of Badgirs
There are two major Badgir`s functioning systems:
31
"Kaveh Farrokh » Professor S. Roaf: Badgir (Iran’s Ancient Air Conditioning System)." Kaveh Farrokh . N.p., n.d.
Web. 22 Oct. 2011. <http://www.kavehfarrokh.com/iranica/learning-knowledge-medicine/professor-s-roaf-
badgir-irans-ancient-air-conditioning-system/>.
32
"Kaveh Farrokh » Professor S. Roaf: Badgir (Iran’s Ancient Air Conditioning System)." Kaveh Farrokh . N.p.,
n.d. Web. 22 Oct. 2011. <http://www.kavehfarrokh.com/iranica/learning-knowledge-medicine/professor-s-
roaf-badgir-irans-ancient-air-conditioning-system/>.
38
 Cooling by evaporation: Badgirs have vents on side from which the wind blows and
on the opposite side. During the day time; the wind enters the building and evaporates
water causing a decrease in temperature inside the building as shown in figure 6. This
style of Badgirs is dominant in dry hot regions33
.
Fig 11: explaining how Badgir cools down buildings using evaporation system 34
 Cooling by ventilation: Inside a building, the hot air rises because it is less dense
whereas cool air sinks down since it is denser; this process is shown in figure 7. When
there is no wind outside, Badgir allows the hot rising air to expire from the vents
leaving behind only cool air and thus the inner environment cools down. Also, during
daytime, Badgir’s walls that are made of adobe bricks absorb the heat due to thermal
33
"Badgir in traditional Iranian architecture."
http://www.inive.org/members_area/medias/pdf/Inive%5Cpalenc%5C2005%5CAzami2.pdf.N.p., n.d. Web. 29
Oct. 2011. <www.inive.org/members_area/medias/pdf/Inive%5Cpalenc%5C2005%5CAzami2.pdf>.
34
"Windcatcher - Wikipedia, the free encyclopedia." Wikipedia, the free encyclopedia. N.p., n.d. Web. 2 Sept.
2011. <http://en.wikipedia.org/wiki/Windcatcher>.
39
properties of adobe. During the night, the walls pass the heat absorbed to the inner
environment. This type of Badgirs is usually found in humid and warm regions35
.
Fig 12: explaining how Badgirs cool down buildings using ventilation system 36
7.1.3 Example of cooling methods in warm regions
Some common traditional cooling methods throughout warm regions are:
 Insulation: constructing buildings of thick adobe with high insulation properties
prevents the heat from entering inside. During the day, thick adobe walls absorb great
amount of sun’s radiation and energy from the warm wind to heat up. Due to adobe
thermal properties, adobe walls with the suitable thickness can reserve the heat for
35
"Badgir in traditional Iranian architecture."
http://www.inive.org/members_area/medias/pdf/Inive%5Cpalenc%5C2005%5CAzami2.pdf.N.p., n.d. Web. 29
Oct. 2011. <www.inive.org/members_area/medias/pdf/Inive%5Cpalenc%5C2005%5CAzami2.pdf>.
"Windcatcher - Wikipedia, the free encyclopedia." Wikipedia, the free encyclopedia. N.p., n.d. Web. 2 Sept.
2011. <http://en.wikipedia.org/wiki/Windcatcher>.
36
"Windcatcher - Wikipedia, the free encyclopedia." Wikipedia, the free encyclopedia. N.p., n.d. Web. 2 Sept.
2011. <http://en.wikipedia.org/wiki/Windcatcher>.
40
long time before transfer it to the inner environment through convection during the
night37
.
Fig 13: demonstrating the use of adobe bricks in constructing houses 38
 Colour reflection: Light-coloured roofs and walls absorb less radiation. Hence less
heat is taken in. People tend to paint their houses by light colours to decrease the
amount of radiation absorbed.
37
"Adobe - Wikipedia, the free encyclopedia." Wikipedia, the free encyclopedia. N.p., n.d. Web. 29 Oct. 2011.
<http://en.wikipedia.org/wiki/Adobe>.
38
"Earth Architecture ." Earth Architecture . N.p., n.d. Web. 29 Oct. 2011.
<http://www.eartharchitecture.org/index.php?/archives/P8.html>.
41
Fig 14: showing houses painted using light colours to reduce the absorption of sun’s radiation
in Egypt 39
 Supplementing shade by building high walls with small windows and planting trees.
High walls prevent sun’s radiation from entering buildings, and small windows
minimise amounts of light that passes through. Trees offer a fresh air and prevention
from sun’s radiation.
39
"Egypt - Earth Architecture." Earth Architecture . N.p., n.d. Web. 29 Oct. 2011.
<http://www.eartharchitecture.org/index.php?/categories/23-Egypt>.
42
Fig15: showing houses with high walls and small windows & surrounded by trees to maximise shade
in Morocco 40
 Double crossed walls filled with polystyrene. They keep houses insulated thermally
and acoustically 41
Fig 16: showing the use of double crossed walls in houses in Algeria [Author]
40
"Morocco - Earth Architecture." Earth Architecture . N.p., n.d. Web. 29 Oct. 2011.
<http://www.eartharchitecture.org/index.php?/categories/70-Morocco>.
41
"Brico.be - 7.2 Isoler les murs et les planchers." Brico - Un peu de nous,beaucoup de vous - Een beetje van
ons,zoveel van jezelf. N.p., n.d. Web. 1 Nov. 2011.
<http://www.brico.be/wabs/fr/bricofiches/1895/construction/-isoler-les-murs-et-les-planchers.do?pg=6>.
43
Fig 17: showing the use of double crossed walls filled with polystyrene for thermal & acoustic
insulation in houses in Algeria [Author]
 High domes. They keep the inner environment of the building thermally insulated by
their thick adobe walls and they also collect the warm air raising inside the dome and
let it expire so that the building cools down42
.
Fig 18: showing high domes in traditional houses in Syria43
42
"Earth Architecture ." Earth Architecture . N.p., n.d. Web. 29 Oct. 2011.
<http://www.eartharchitecture.org/index.php?/archives/P8.html>.
44
Fig 19: showing the inner stucture of domes in traditional houses 44
 Soil block walls: they create a warm red shade inside the buildings preventing high
amounts of sun’s radiation from entering.
Fig 20: showing the use of soil block walls 45
43
"Earth Architecture ." Earth Architecture . N.p., n.d. Web. 29 Oct. 2011.
<http://www.eartharchitecture.org/index.php?/archives/P8.html>.
44
"Earth Architecture ." Earth Architecture . N.p., n.d. Web. 29 Oct. 2011.
<http://www.eartharchitecture.org/index.php?/archives/P8.html>.
45
"Earth Architecture ." Earth Architecture . N.p., n.d. Web. 29 Oct. 2011.
<http://www.eartharchitecture.org/index.php?frontpage>.
45
7.1.4 Solar Energy and Warming up
The electromagnetic radiation that comes from the sun is made of photons of different
energies. Air is made of different atoms held together as molecules. These atoms can interact
with light photons if they have the same energy needed to excite one electron. The absorption
of photons causes atoms to gain kinetic energy and hence molecules move faster and get
warmer. The motion of air molecules combined with Earth rotation causes the wind46
.
7.1.5 Temperature Distribution on Earth
The sun emits in each second J of energy in form of electromagnetic radiation.
That radiation passes through the atmosphere and lands on earth’s surface, it is either
absorbed causing the surface to get hot or it is reflected47
. Even though the sun shines equally
on Earth, there is a great difference in temperature distribution from a region to another.
The variation in temperature distribution on Earth depends mostly on three factors 48
:
 Both the Equator and the poles receive the same amount of radiation, but the area that
receives the radiation at the poles is larger than the area the received the same amount
of radiation at the equator due to the angles. The sun is at right angle at the equator, it
is at an oblique angle at the poles. Consequently, the amount of radiation that falls on
one unit area at the poles is less than the radiation falling on one unit area at the
Equator. This can be explained clearly using the figure below:
46
Hamper, Chris. "Energy, power and climate change." Physics: higher level (plus standard level options)
developed specifically for the IB diploma.. UK: Pearson, 2009. p294-295. Print.
47
Hamper, Chris. "Energy, power and climate change." Physics: higher level (plus standard level options)
developed specifically for the IB diploma. UK: Pearson, 2009. p294-299. Print.
48
Chung-hoi, YUNG. "Why is the equator very hot and the poles very cold?." Hong Kong Observatory-Official
Authority For Hong Kong Weather Forecast »´ä¤Ñ¤å¥x-»´äªº©x¤è¤Ñ®ð¹w³ø³¡ªù. N.p., n.d. Web. 18 Oct. 2011.
<http://www.hko.gov.hk/education/edu06nature/ele_srad_e.htm>.
46
Fig 21: area A and B recives the same radiation from the sun.Area B is larger than area A, thus
radiation per unit area on B is less than that on A.49
 The amount of absorption of sun’s radiation is affected by concentration of air
molecules in the atmosphere. To reach the poles, the sun's radiation passes longer path
than reaching the Equator, which means there are more air molecules along the way.
Therefore, greater absorption will be and less radiation will reach the poles.
 When electromagnetic radiation is incident on a surface it is either absorbed, causing
the surface to get hot, or it is reflected back. The amount of light wave reflection is
affected by the nature of the surface. At the poles, the earth is covered by the snow.
Snow has high reflection ability; hence nearly 75 to 95% of the energy that reaches the
poles is reflected back. However, with the increase of global temperature and the
melting of ice on the poles, more solar energy gets absorbed.
 Regions at or near the Equator receive the largest amount of heart from the sun;
therefore the atmosphere is very warm and dry and the wind is very hot.
49
Chung-hoi, YUNG. "Why is the equator very hot and the poles very cold?." Hong Kong Observatory-Official
Authority For Hong Kong Weather Forecast »´ä¤Ñ¤å¥x-»´äªº©x¤è¤Ñ®ð¹w³ø³¡ªù. N.p., n.d. Web. 18 Oct. 2011.
<http://www.hko.gov.hk/education/edu06nature/ele_srad_e.htm>.
47
7.2 Appendix B
Results:
All the data collected from my experiment are shown in table 1:
48
Cloths
Change after 250s
Sensor
1
/ C
Uncertainty
/ C
Sensor
2
/ C
Uncertainty
/ C
Sensor
3
/ C
Uncertainty
/ C
Sensor
4
/ C
Uncertainty
/ C
0 1.5 1.6 0.9 1.3 0.3 1.8 0.3 1.9
1 2.0 2.4 -0.3 2.3 -0.3 3.2 -0.2 2.7
2 2.4 1.5 -1.0 0.7 -1.3 0.9 -1.3 0.8
3 3.3 1.2 -0.8 1.0 -1.2 1.1 -0.9 0.6
4 2.5 1.8 -1.8 1.2 -2.2 0.7 -2.1 0.8
5 2.2 3.0 -3.1 1.9 -2.1 2.3 -1.6 1.7
Table 5: showing average temperature change of each sensor after 250s [Author]
Cloths
Change after 250s
Change 1-2
/ C
Uncertainty
/ C
Change 1-3
/ C
Uncertainty
/ C
Change 1-4
/ C
Uncertainty
/ C
0 -1.7 0.8 -2.3 1.3 -1.7 1.2
1 -2.9 2.0 -3.2 2.5 -2.3 2.1
2 -3.7 1.4 -4.4 1.6 -3.7 1.5
3 -4.6 1.0 -5.2 0.9 -4.5 0.6
4 -5.0 1.8 -5.9 1.5 -4.9 1.5
5 -5.9 2.0 -5.5 2.7 -4.6 1.8
Table 6: showing average temperature change between sensors after 250s [Author]
49
Graph 8: showing average temperature change of each sensor after 250s [Author]
Graph 9: showing average temperature changes between sensors after 250s [Author]
-4.0
-3.0
-2.0
-1.0
0.0
1.0
2.0
3.0
4.0
0 1 2 3 4 5 6
TemperatureChange/C
Number of Cloths put inside the Model
Temperature Change after 250s
Sensor 1
Sensor 2
Sensor 3
Sensor 4
-7.0
-6.0
-5.0
-4.0
-3.0
-2.0
-1.0
0.0
0 1 2 3 4 5 6
TemperatureChangebetweenSensors/C
Number of Cloths put inside the Model
Temperature Change between Sensors after
250s
Change 1-2
Change 1-3
Change 1-4
50
7.3 Appendix C
Temperature Change of Sensors after 200s:
Sensor 1:
51
Sensor 2:
Sensor 3:
52
Sensor 4:
Temperature change of Sensors after 250s :
53
Sensor 1:
Sensor 2:
54
Sensor 3:
Sensor 4:
55
Temperature Change between Sensors after 200s:
Temperature Change between Sensors 1-2:
56
Temperature Change between Sensors 1-3:
Temperature Change between Sensors 1-4:
57
Temperature Change between Sensors after 250s:
Temperature Change between Sensors 1-2:
58
Temperature Change between Sensors 1-3:
Temperature Change between Sensors 1-4:
59
Results obtained from the experiment
Preliminary Work:
Trial 1: some water + some heat
In the very first trial, hair dryer was used at medium temperature with some wet clothes.
Trial 2: more water+ some heat
In this trial, the clothes were wetter with hair dryer at medium temperature.
Trial 3: No water + less heat
This one makes me confused…I don’t know why it is this way?
60
Trial 4: No water+ more heat
For this trial no clothes were used, only two hair dryers. This one makes me puzzled. I think I
will get an answer for it in the next graph.
Trial 5: Water+ more heat
I used two hair dryers at maximum, then I realised that one heater was slowing down when it
gets hot and that affected the red temperature to go up and down. I have also noticed that the
sensors initially are not at the same temperature! That’s why we were confused in the
previous one.
Trial 6: Water + heat
61
Trial 7: Heat+ Extra more water
I waited for the sensors to reach room temperature and then I conducted the experiment again
with more wet clothes. I used only one hair dryer at maximum.
Trial 8:
Temperature 22 C. One hair dryer, no water, no heater.
Trial 9:
One hair dryer, with water and no heater. Temperature 22 C.
62
Trial 10:
Water + one heater + one hair dryer.
Temperature started raising above 22C.
Trial 11:
Water + two heaters in progress + fan. Temperature goes above 26C.
After 120s, I turned on the hair dryer.
Trial 12:
Temperature exceeds 30C + two heaters at maximum + one hair dryer.
63
Trial 13:
Temperature is nearly 36C. I used water + two heaters + one hair dryer.
Trial 14:
Same procedure as trial 13.
Trial 15:
In this trial, I pointed the hair dryer at the fan, and the fan is pointed towards the tower.
Temperature is nearly 37C.
64
Trial 16:
Trial 17:
Fan + water + two heaters. No hair dryers are used.
Trial 18:
65
Trial 19:
The fan is moved closer to the tower.
Trial 20:
Done at home, using two heaters + fan (at maximum) + 4 sensors.
Red: temp1. Blue: temp2. Green: temp3 (middle). Orange: Temp4.In this trial I succeeded to
get evaporative cooling effect. However, the sensors weren’t at the same initial temperature
(nearly). The water was cold. Five clothes were used, filled by water.
Trial 21:
The same procedure as 20. It was repeated to see if I can get the same results. Temperature is
40 C.
66
Trial 22:
Same as before.
Trial 23:
Same as before. But I moved sensor three a bit towards sensor 4.
Trial 24:
I wasn’t sure whether the results I am getting are because of the water or just a random error.
So I repeated the experiment without using water. Only two heaters and a fan.
67
Trial 25:
Same as 20. I used water and I made sure that all the sensors are at the same initial
temperature. Move sensor three towards the middle. The fan was being put a bit higher.
Trial 26:
Like 25.
Trial 27:
Like 25.
Now, it is done with five clothes. So let’s do the experiment with four clothes.
68
Trial 28:
4 clothes + fan + 2 heaters.
Trial 29
: 4 clothes + fan + 2 heaters.
Done with a lot of water (that was bad  )
Trial 30: 4 clothes + fan + 2 heaters.
While doing this, I was SO sick at 05:05. All night, standing in a room at 40 C. Crazy 
69
Trial 31:
4 clothes + fan + 2 heaters.
Trial 32:
3 clothes + fan + 2 heaters. Starting the following day at 15:30.
Trial 33:
3 clothes + fan + 2 heaters.
70
Trial 34:
3 clothes + fan + 2 heaters.
Trial 35:
2 clothes + 2 heaters + fan.
Trial 36:
2 clothes + 2 heaters + fan.
71
Trial 37:
2 clothes + 2 heaters + fan. ( Done at 17:41 ).
Trial 38:
1 clothe + two heaters + fan.
Trial 39:
Same as 38.
72
Trial 40:
Same as 38.
Trial 42:
Using 5 clothes. Make sure the water doesn’t fall on the sensor.
Trial 43:
Same as 42.
73
Trial 44:
Without clothes + bath of warm water inside.
Trial 45:
Continue trial 44 without a fan.
74
The previous results were not enough to record a raw data. They don’t show a clear pattern.
Hence, I repeated the experiment again and heated my room up to 50C.
Here is the table of the trials:
Cloths Trials
5 46,47,48,49,50,51
4 52,53,54,55,56,57
3 58,59, 60,62,62,63
2 64,65,66,67,68,69
1 70,71,72,73,74,75
0 76,77,78,79,80,81,82,83,84,85,86
Trial 46:
Trial 47:
75
Trial 48:
Trial 49:
Trial 50:
76
Trial 51:
Trial 52:
Trial 53:
77
Trial 54:
Trial 55:
Trial 56:
78
Trial 57:
Trial 58:
Trial 59:
79
Trial 60:
Trial 61:
Trial 62:
80
Trial 63:
Trial 64:
Trial 65:
81
Trial 66:
Trial 67:
Trial 68:
82
Trial 69:
Trial 70:
Trial 71:
83
Trial 72:
Trial 73:
Trial 74:
84
Trial 75:
Trial 76:
Trial 77:
85
Trial 78:
Trial 79:
Trial 80:
86
Trial 81:
Trial 82:
Trial 83:
87
Trial 84:
Trial 85:
Trial 86:

Extended Essay Physics

  • 1.
    International School ofStavanger Stavanger Norway Topic: Evaporative Cooling by Assia CHELAGHMA Supervisor: Simon TAYLOR Extended essay project submitted to International School of Stavanger, in partial fulfilment of the requirement for the International Baccalaureate Diploma (IB) in 2012 Stavanger, November 2011 Candidate number: 000862007 Word count: 3990 Excluding: acknowledgment, abstract, glossary, lists, table of contents, footnotes, equations and their explanations, tables, schemas, graphs and their labels, headings and appendices. Research Question: How does the volume of water available inside a Badgir (wind tower) affect temperature reduction due to evaporative cooling?
  • 2.
    ii ACKNOWLEDGEMENTS I would liketo express my sincere gratitude to my supervisor, Simon Taylor for his patience, assistance, guidance, encouragement and suggestions throughout this work. Special Thanks are extended to my family for their love and support throughout my time at Stavanger. Thank you Mom for staying up with me all nights while I was studying, thank you Dad for you constant encouragement throughout my work on this challenging project. And to all my friends that I have known in Stavanger. Assia
  • 3.
    iii Abstract Uncomfortably hot livingaround the world has led to many innovative technological solutions to make life more comfortable for the inhabitants. In the Middle-East, one of the most successful solutions has been the Badgirs. These are wind towers that use evaporative cooling to air condition buildings. This essay investigated Badgirs using a model constructed of wood and adobe to give it the thermal properties of a Badgir. The cooling effect was tested by the model several times and was found to be affected by the volume of water available inside the Badgir. Hence, the research question was chosen to be: How does the volume of water available inside a Badgir affect the temperature reduction due to evaporative cooling? A controlled experiment was carried out in a heated room. Wet cloths were put inside the model. A fan was used to blow warm air inside the model to evaporate water. When evaporation took place it caused a decrease in temperature inside the model. The hypothesis suggested that as more cloths are used, the greater the cooling effect will be, because there will be more water and a larger surface area exposed to evaporation. Hence, more energy will be taken in the system causing temperature reduction inside the Model. The results agreed with the hypothesis, suggesting that optimising the available water and evaporative surface area would lead to a greater cooling effect. The cooling effect can be further optimised by developing the structure of the Badgir although it should be taken into consideration that water availability and wind temperature are the main limiting factors. Word count: 262
  • 4.
    iv Declaration of Originality Firstname, Last name: Assia CHELAGHMA Candidate number: 000862007 I hereby declare that this thesis represents my own work and that I have used no other sources except where due acknowledgment is made in the text. All information such as data, tables, figures and text citations derived from the published and unpublished work of others has been acknowledged in the text and a list of references is given in the bibliography. Place, date Signature Stavanger, 18st of November 2011 ______________________
  • 5.
    v Lists: List of figures Fig1: showing the use of evaporative cooling in ancient Egypt Fig 2: showing the use of Badgirs in Yazd in Iran Fig 3: showing the use of Badgirs in Yazd in Iran Fig 4: showing the use of Badgirs in Qatar Fig 5: showing the annual mean temperature in Earth surface Fig 6: showing apparatus set up, the model is put on one desk and the computer& Logger Pro Sensors on the other desk Fig 7: showing cloths hanging inside the model and temperature sensors set up Fig 8: showing the heaters next the model, the Model put on a desk and the fan blowing air inside it Fig 9: showing the window from which the exhaust air expires. Temperature sensors are connected to the computer, and the fan is turned on Fig 10: showing sectional plans of five typical Badgir’s styles at vent level Fig 11: explaining how Badgir cools down buildings using evaporation system Fig 12: explaining how Badgirs cool down buildings using ventilation system Fig 13: demonstrating the use of adobe bricks in constructing houses Fig 14: showing houses painted using light colours to reduce the absorption of sun’s radiation in Egypt Fig15: showing houses with high walls and small windows & surrounded by trees to maximise shade in Morocco Fig 16: showing the use of double crossed walls in houses in Algeria Fig 17: showing the use of double crossed walls filled with polystyrene for thermal & acoustic insulation in houses in Algeria Fig 18: showing high domes in traditional houses in Syria Fig 19: showing the inner stucture of domes in traditional houses Fig 20: showing the use of soil block walls Fig 21: area A and B recives the same radiation from the sun. Area B is larger than area A, thus radiation per unit area on B is less than that on A. List of tables Table 1: shows the trials of each different number of cloths (0, 1, 2, 3, 4 and 5) at 0s, 200s and 250s Table 2: showing average temperature of all trials
  • 6.
    vi Table 3: showingaverage temperature change of each sensor after 200s Table 4: showing average temperature change between sensors after 200s Table 5: showing average temperature change of each sensor after 250s. Table 6: showing average temperature change between sensors after 250s. List of graphs Graph 1: showing Maxwell-Boltzmann distribution Graph 2: showing a sample graph from which the temperature values are taken Graph 3: showing average temperature change of each sensor after 200s Graph 4: showing average temperature changes between sensors after 200s Graph 5: showing the best fits of temperature changes after 200s Graph 6: showing the best fit of the cooling effect against the number of cloths Graph 7: showing the expectation of the cooling effect for more cloths Graph 8: showing average temperature change of each sensor after 250s Graph 9: showing average temperature changes between sensors after 250s List of schemas Schema 1: showing the dispersion of water molecules in a container before and after evaporation Schema 2: showing an opened Model Schema 3: showing cloth attached to the tower lid Schema 4: showing different positions of temperature sensors
  • 7.
    vii List of Symbols NoSymbol Definitions 01 Energy 02 Mass 03 Latent heat of vaporisation 04 Velocity 05 Boltzmann constant 06 Entropy 07 Name of the surroundings 08 Symbol used for water
  • 8.
    viii Glossary No Term Definitions 01Evaporative Cooling Absorbing energy from the air to be used as latent heat to evaporate water and thus creating a cooling effect. The amount of heat absorbed depends on the amount of water that can be evaporated. The more heat taken in, the greater the cooling effect will be. 02 Badgir Architectural device known as wind-tower or wind- catcher. It is used to create a cooling effect in buildings. 03 Temperature The measure of average kinetic energy of particles. 04 Entropy Entropy is the measure of disorder. 05 Evaporation The escape of water molecules from the surface of water. It takes place at all temperatures at any time. 06 Vaporisation The evaporation of water molecules at the boiling point of water. 07 Albedo The ratio of reflected radiation from the sun to the incident radiation. 08 Humidity The amount of water vapour in air. 09 Adobe Natural building material that made from clay mixed with sand, water, and some organic material (sticks, straw, and/or manure). The mixture is shaped into bricks using frames and then dried in the sun. 10 Qanat Underground water channel constructed to lead water from the interior of a hill to a village below
  • 9.
    Table of Contents ACKNOWLEDGEMENTS...................................................................................................................ii Abstract................................................................................................................................................iii Declaration of Originality.....................................................................................................................iv Lists: ………………………………………………………………………………………………….v List of figures.............................................................................................................................v List of tables...............................................................................................................................v List of graphs ............................................................................................................................vi List of schemas .........................................................................................................................vi List of Symbols....................................................................................................................................vii Glossary ............................................................................................................................................. viii Table of Contents....................................................................................................................................i 1. Introduction........................................................................................................................................1 2. Physics of evaporative cooling ..........................................................................................................5 2.1. Solar Energy and Warming up…………………………………………….…………...….5 2.2. Temperature........................................................................................................................6 2.3 Water Evaporation ...............................................................................................................8 2.4 Factors affecting Evaporation..............................................................................................9 2.5 Entropy...............................................................................................................................10 3. Investigation:....................................................................................................................................11 3.1 Design ................................................................................................................................11 3.1.1 Description..........................................................................................................11 3.1.2 Research Question ..............................................................................................12 3.1.3 Variables .............................................................................................................12 3.1.4 Hypothesis...........................................................................................................12 3.2 Preliminary Work...............................................................................................................13 3.2.1 Making a model ..................................................................................................13 3.2.2 Providing Water inside the model.......................................................................13 3.2.3 Measuring Temperature......................................................................................14 3.2.4 Providing Heat ....................................................................................................14 3.2.5 Apparatus ............................................................................................................14 3.2.6 Method................................................................................................................15
  • 10.
    3.3 Data Collectionand Processing .........................................................................................19 3.3.1 Collecting Sufficient Data...................................................................................19 3.3.2 Raw Data.............................................................................................................19 3.3.3 Processed Data....................................................................................................22 3.3.4 Presenting Data ...................................................................................................23 3.3.5 Analysis...............................................................................................................25 3.4 Concluding & Evaluating ..................................................................................................28 3.4.1 Conclusion ..........................................................................................................28 3.4.2 Evaluation & Improvement.................................................................................29 4. Final Conclusion:.............................................................................................................................31 4.1 Future Research: ................................................................................................................32 5. References:.......................................................................................................................................34 6. Bibliography: ...................................................................................................................................36 7. Appendices:......................................................................................................................................37 7.1 Appendix A........................................................................................................................37 7.1.1 Variety of Badgir Styles......................................................................................37 7.1.2 Functioning Systems of Badgirs .........................................................................37 7.1.3 Example of cooling methods in warm regions ...................................................39 7.1.4 Solar Energy and Warming up............................................................................45 7.1.5 Temperature Distribution on Earth .....................................................................45 7.2 Appendix B........................................................................................................................47 7.3 Appendix C........................................................................................................................50
  • 11.
    1 1. Introduction People livingin warm regions near the Equator suffer from high temperatures during daytime often above . The wind was always hot and dry and their houses got very warm whenever the sun shines1 . Ancient people tried to find innovative solutions to tolerate the heat, cool down their buildings and conserve their food. However the lack of technology and limitation of cooling equipment and technical skills led them to create simple cooling methods2 . Plaster paintings from more than 2000 B.C showed Egyptian slaves evaporating water in large jars to cool rooms in castles3 . Fig 1: showing the use of evaporative cooling in ancient Egypt 4 1 Please see appendix A for more information. 2 Halacy, VITA Volunteer Daniel. " TECHNICAL PAPER #48." www.cd3wd.com - alexweir1949@gmail.com - cd3wd - High Quality Technical Development Info for the Third World - and the SEEV fraud-proof voting system for the Third World - last updated 2011/03. N.p., n.d. Web. 2 Aug. 2011. <http://www.cd3wd.com/cd3wd_40/vita/coolingp/en/coolingp.htm>. 3 "Evaporative Cooling: History of Technology." AZ Evap - Engineered Solutions in Evaporative Cooling. N.p., n.d. Web. 8 Oct. 2011. <http://www.azevap.com/EvaporativeCooling/historytechnology.php>. 4 "Evaporative Cooling: History of Technology." AZ Evap - Engineered Solutions in Evaporative Cooling. N.p., n.d. Web. 8 Oct. 2011. <http://www.azevap.com/EvaporativeCooling/historytechnology.php>.
  • 12.
    2 Ancient Indians usedwet mats to create a cooling effect inside the rooms. They were hanging the wet mats over doors and windows, and when the warm wind gets in contact with them, it evaporates the water causing rooms to cool down5 . People living in the Middle-East invented simple architectural devices called Badgirs which are used to create natural cooling in buildings through evaporation or ventilation6 . Fig 2: showing the use of Badgirs in Yazd in Iran 7 5 "What is evaporative cooling?." Port-A-Cool Sales & Rentals..Version 2011.N.p., n.d. Web. 2 Aug. 2011. <www.portablecoolers.com/evap/ >. 6 "Solaripedia | Green Architecture & Building | Projects." Solaripedia | Green Architecture & Building | Intl Passive House Day 11-13 November. N.p., n.d. Web. 16 Oct. 2011. <http://www.solaripedia.com/13/205/2096/wind_tower_qatar.html>. 7 Sadeghi, Bijan M.. "ViewIRAN.com." ViewIRAN.com. N.p., n.d. Web. 16 Oct. 2011. <http://www.viewiran.com/iran-yazd.php>.
  • 13.
    3 Fig 3: showingthe use of Badgirs in Yazd in Iran 8 Fig 4: showing the use of Badgirs in Qatar 9 8 Sadeghi, Bijan M.. "ViewIRAN.com." ViewIRAN.com. N.p., n.d. Web. 16 Oct. 2011. <http://www.viewiran.com/iran-yazd.php>. 9 "Solaripedia | Green Architecture & Building | Projects." Solaripedia | Green Architecture & Building | Intl Passive House Day 11-13 November. N.p., n.d. Web. 16 Oct. 2011. <http://www.solaripedia.com/13/205/2096/wind_tower_qatar.html>.
  • 14.
    4 A Badgir isa wind-tower consisting of a tower whose top is rising between 30cm to 5m above the building and its end is connected to the underground10 . On the sides of the tower, there is one vent or more to catch the wind and direct it inside the building. Inside the tower, there is water in the form of wet materials attached to the tower lid, a fountain or a pool of underground water. When the hot wind is directed inside the tower; it evaporates the water causing a temperature reduction due to evaporative cooling11 . Badgirs are usually constructed using adobe bricks. Adobe walls require a large input of electrpmagnetic radiation from the sun and from the surrounding air to heat up. After the sunset, the warm walls will transfer the heat to the interior space for several hours. Therefore, a well-planned adobe wall of suitable thickness is very efficient at controlling the heat collection during the day and transfering it to the inner inviroment during the night12 . In this research, I will study Badgir’s functioning systems and answer the research question: How does the volume of water available inside a Badgir affect temperature reduction due to evaporative cooling? By modelling a Badgir and conducting a controlled experiment; I will try to answer the research question and come up with some new ideas to develop Badgirs. Before I try to answer the question I would like to point out that there are many styles and designs of Badgirs and many other successful cooling methods developed throughout warm regions although their discussion is beyond the limit of this essay’s word count so I have put the following two interesting sections in my Appendix: 10 "Badgir in traditional Iranian architecture." http://www.inive.org/members_area/medias/pdf/Inive%5Cpalenc%5C2005%5CAzami2.pdf.N.p., n.d. Web. 29 Oct. 2011. <www.inive.org/members_area/medias/pdf/Inive%5Cpalenc%5C2005%5CAzami2.pdf>. 11 "Windcatcher - Wikipedia, the free encyclopedia." Wikipedia, the free encyclopedia. N.p., n.d. Web. 2 Sept. 2011. <http://en.wikipedia.org/wiki/Windcatcher>. 12 "Adobe - Wikipedia, the free encyclopedia." Wikipedia, the free encyclopedia. N.p., n.d. Web. 29 Oct. 2011. <http://en.wikipedia.org/wiki/Adobe>.
  • 15.
    5 Variety of BadgirStyles and their Functioning Systems: Different styles of Badgirs and their functioning systems are presented in Appendix A. Example of cooling methods in warm regions: People developed various methods to cool down buildings. Some of the traditional common ways of cooling are described in Appendix A. 2. Physics of evaporative cooling 2.1. Solar Energy and Warming up The electromagnetic radiation emitted by the sun is made of photons of different energies. The absorption of photons by air molecules causes a gain in kinetic energy and hence molecules will move faster and get warmer. The motion of air molecules combined with Earth rotation causes the wind13 . Atoms that make up buildings absorb heat from light photons and from contact with warm wind which make the buildings heat up. When the radiation received from the sun is high, the chance to gain more photons by molecules increases, causing the buildings and the wind to get hotter14 . Therefore, the electromagnetic radiation received from the sun affects temperature distribution on Earth. It determines the temperature of the wind, water and buildings. Since regions near the Equator receive the highest amounts of electromagnetic radiation, the temperatures are relatively high15 , often above as shown in figure 5 and the wind is always warm and dry. Thus, cooling devices are needed to tolerate the heat. Badgirs are among the most successful cooling methods due to water evaporation and the absorption of energy by adobe walls. 13 See appendix for more details 14 Hamper, Chris. "Energy, power and climate change." Physics: higher level (plus standard level options) developed specifically for the IB diploma, UK: Pearson, 2009. p297. Print. 15 See appendix for why regions near the Equator are warm.
  • 16.
    6 Fig 5: showingthe annual mean temperature on Earth surface 16 Colours also affect the amount of radiation absorbed. Dark colours with low albedo17 can absorb great amount of radiation whereas light colours do not absorb a lot of radiation due to their low albedo18 . 2.2. Temperature Atoms and molecules that make up solids are cemented together into a specific structure despite their constant movement due to intermolecular forces formed between those molecules. In a liquid, molecules are held together by weaker intermolecular forces than those 16 "File:Annual Average Temperature Map.jpg - Wikipedia, the free encyclopedia." Wikipedia, the free encyclopedia. N.p., n.d. Web. 19 Oct. 2011. <http://en.wikipedia.org/wiki/File:Annual_Average_Temperature_Map.jpg>. 17 Please see glossary for definition. 18 Hamper, Chris. "Energy, power and climate change." Physics: higher level (plus standard level options) developed specifically for the IB diploma.. UK: Pearson, 2009.p 296. Print.
  • 17.
    7 in solids. Theintermolecular forces acting on molecules in all directions result in equilibrium inside the liquid. However molecules at the surface experience an unbalanced force from the molecules beneath them. They are bouncing in all directions trying to escape into air but the attraction from the liquid surface hold them back. In gases, there are no intermolecular forces between atoms. In gases and liquids, atoms and molecules are interacting with each other through collisions. Constant collisions cause the particles to move in random motion with different speeds. They have different kinetic energies19 . The distribution of speeds within a liquid or a gas of materials above absolute temperature (0K) is given by Maxwell-Boltzmann distribution. Graph 1: showing Maxwell-Boltzmann distribution 20 From the Maxwell-Boltzmann distribution graph, it can be seen that at low temperature, most of molecules have low speed and some molecules have high speed. As the temperature increases, the number of molecules at low speed decreases and the number of molecules at high speed increases but the number of molecules remains the same. 19 "The Maxwell-Boltzmann Distribution." Energy, Ch. 7, extention 4 The Mazwell-Boltzmann Distribution. N.p., n.d. Web. 18 Oct. 2011. <www.physics.ohio-state.edu/~wilkins/energy/Companion/E07.4.pdf.xpdf>. 20 "The Maxwell-Boltzmann Distribution." Energy, Ch. 7, extention 4 The Mazwell-Boltzmann Distribution. N.p., n.d. Web. 18 Oct. 2011. <www.physics.ohio-state.edu/~wilkins/energy/Companion/E07.4.pdf.xpdf>.
  • 18.
    8 As the temperatureincreases, the average kinetic energy of the particles increases. Therefore, the average kinetic energy of particles is directly proportional to temperature and can be given by the following equation: Where m is molar mass of the molecules, v is its velocity, T is the temperature and K is a constant known as Boltzmann Constant21 . Hence, temperature is defined as the measure of the average kinetic energy of the particles22 . 2.3 Water Evaporation Atoms that make up water molecule have different kinetic energies as shown by the Maxwell- Boltzmann distribution. At the water surface, some molecules have high kinetic energy so they are bouncing up at high speed to escape into the air as gas (water vapour). This escape of surface molecules is called evaporation. It involves a change of state from liquid to gas. It can take place all the time at any temperature23 . During evaporation, warm wind does work on water molecules by giving them kinetic energy to overcome the intermolecular attraction exerted on them by molecules under them. The amount of energy absorbed by water is given by the following equation: Where Q is the amount of energy needed to change the state of water, m is the mass of water and L is the latent heat of vaporisation of water Joules per )24 . 21 "The Maxwell-Boltzmann Distribution." Energy, Ch. 7, extention 4 The Mazwell-Boltzmann Distribution. N.p., n.d. Web. 18 Oct. 2011. <www.physics.ohio-state.edu/~wilkins/energy/Companion/E07.4.pdf.xpdf>. 22 Brown, Catrin, and Mike Ford. "Energetics" Higher level Chemistry: developed specifically for the IB diploma.. UK: Pearson, 2009. p161-162. Print. 23 Hamper, Chris. "Thermal physics."Physics: higher level (plus standard level options) developed specifically for the IB diploma.. UK: Pearson, 2009. p73-74. Print. 24 Hamper, Chris. "Thermal Physics" Physics: higher level (plus standard level options) developed specifically for the IB diploma.. UK: Pearson, 2009.p75 Print.
  • 19.
    9 The energy istaken from the surroundings into water as latent heat to keep water temperature constant. Therefore, evaporation is an endothermic process that cools down the surroundings25 . Since evaporation is an endothermic process; Badgir can cool down buildings by evaporating great amounts of water especially if evaporation is ensured to be at maximum rate. 2.4 Factors affecting Evaporation Factors that increase the rate of evaporation are:  Wind: during evaporation water molecules form a small vapour cloud above the water surface. When there is a wind, the vapour cloud is blown away as soon as it is formed allowing more molecules to evaporate26 .  Wind temperature: when the wind’s temperature is high, the chance to gain enough energy from air molecules increases. More water molecules can have the energy needed to escape the water surface and thus more evaporative cooling will be.  Exposed surface area: large surface area gives more molecules the chance to gain energy from the surroundings, resulting in a higher rate of evaporation.  Humidity: humidity refers to the amount of water vapour in air. When humidity is high, it is more difficult for water to evaporate because the air is already filled by water molecules. The lower the humidity is, the higher the evaporation will be27 . In warm regions, there is a constant blowing of warm air from the desert. Water is usually available from underground Qanats28 or mountains. The high temperature during the day makes the wind move at high speed because of the absorption of the electromagnetic radiation 25 Brown, Catrin, and Mike Ford."Quantitative Chemistry."Higher level Chemistry: developed specifically for the IB diploma.. UK: Pearson, 2009. P16-18. Print. 26 Hamper, Chris. "Thermal physics."Physics: higher level (plus standard level options) developed specifically for the IB diploma.. UK: Pearson, 2009. p75. Print. 27 "Factors affecting the rate of evaporation."Virtual Teacher Aide.N.p., n.d. Web. 16 Oct. 2011. <http://www.vtaide.com/png/evaporation.htm#>. 28 Please see glossary for definition.
  • 20.
    10 emitted by thesun. Also, the humidity is very low because the water surfaces are limited and the average annual raining is very low. These regions are therefore very suitable for the use of Badgirs since conditions needed to maximise evaporation are available. 2.5 Entropy The second law of Thermodynamics states that the total entropy29 of the universe is always increasing. Even if there is a decrease in entropy within a system, it still causes an increase in universe entropy30 . Water in a container has initial entropy of . When evaporation takes place, the fastest- moving particles leave the surface, leaving behind particles with low kinetic energy. Water molecules left in the container move with lower speed and get in less disorder. Hence, water entropy decreases. Schema 1: showing the dispersion of water molecules in a container before and after evaporation [Author] As more molecules escape into air and spread all over, the external entropy increases. Water will have a negative entropy change and the surroundings will have a positive entropy change . 29 Please see glossary for definition. 30 Hamper, Chris. "Thermal physics."Physics: higher level (plus standard level options) developed specifically for the IB diploma.. UK: Pearson, 2009. p93-94. Print. 𝑆 𝑤 𝑆 𝑤 𝑆 𝑒𝑥 𝑆 𝑒𝑥
  • 21.
    11 From the secondlaw of Thermodynamics, it is proven that the gain in external entropy is higher than the loss in water entropy. | | | | If vapour steam formed inside the Badgir is allowed to expire into the air taking away energy and entropy, the system will work at high efficiency. Hence, it is useful to build Badgirs with vents on opposite sides or with small windows at the bottom of the building. 3. Investigation 3.1 Design 3.1.1 Description My investigation will help to test Badgir’s functioning system and find out ways to develop it and maximise its efficiency. A Badgir will be modelled and tested through a simulated experiment. The process of making the model is explained in my preliminary work. While performing preliminary experiments, I noticed that the water volume available inside the Model has an effect on the temperature reduction. Hence, I decide to focus my investigation on the relationship between the amount of water available inside the Badgir and the temperature reduction.
  • 22.
    12 3.1.2 Research Question Howdoes the volume of water available inside a Badgir affect temperature reduction due to evaporative cooling? 3.1.3 Variables  Independent variable: the number of wet cloths put inside the tower.  Dependent variable: the temperature reduction after 200s and 250s. After putting the wet cloths inside the tower, I made the Logger Pro Sensor collect results from 0s to 300s.  Controlled variables: o Same initial temperature: after each trial, I opened the model and waited for 15 minutes until the room restored thermal equilibrium again and all the sensors detected the same temperature. o Same wind speed: the fan was used at its maximum speed throughout my experiment. o Cloths of the same size: I cut 05 cloths of equal sizes. They all have the same surface area. o Type of cloths: same cloths were used throughout the experiment 3.1.4 Hypothesis During evaporation, water molecules in the wet cloths take energy from the warm wind to escape into air, resulting in a decrease in temperature inside the model. The energy required to evaporate water is given by the following equation: Where Q is the amount of energy needed to change the state of water, m is the mass of water which we refer to as volume and L is the latent heat of vaporisation of water.
  • 23.
    13 As the volumeof water is increased, the energy required to evaporate it increases. Therefore, I expected that if I doubled the number of wet cloths put inside the model, the volume of water and the surface area exposed to evaporate would have doubled. Hence, the number of molecules that can absorb heat from the hot air would double, use more energy and cause a greater temperature reduction inside the Model. The system would have worked at higher efficiency if vapour steam formed inside the model was allowed to expire through the window taking away energy and entropy. 3.2 Preliminary Work 3.2.1 Making a model After studying Badgir’s structure and functioning, I found that real Badgirs are made of adobe bricks. It was difficult and complicated to build a model using adobe bricks in our laboratory; I decided therefore to use wood instead because it was easy to cut and glue. The model I made consisted of a tower and a room. Its inner surface was covered with mud mixed with horse straw to give it some thermal properties of a Badgir. 3.2.2 Providing Water inside the model Water has to be available to get evaporative process inside the model. I discovered that a bath of water would provide small surface area exposed to heat. After reading about how ancient Indians cooled down their palaces, I found that using wet cloths attached to the lid would offer larger area exposed to evaporate and would help me to manipulate the variables. I cut five cloths equally sized and attached them to the tower lid so that they could hang inside the tower.
  • 24.
    14 3.2.3 Measuring Temperature Tomeasure the cooling effect, I preferred using Logger Pro sensors due to their accuracy. In the beginning, I just used three sensors but afterwards, I used four sensors to have enough data about the temperature change inside and outside the model. 3.2.4 Providing Heat In the beginning, I used hair dryers as a source of heat since I conducted the experiment in a humid and cold region and sun’s energy was not available. The results showed that there was a lower temperature inside the tower. However, the room was restoring its low initial temperature, so it was hard to identify if the Model is the cause of the cooling effect or the cold weather. I decided to use an insulated room and heat it up to 40 C and then perform the experiment inside it. I used a fan to blow warm air inside the tower. The results showed that there was a cooling effect but it was not significant. I repeated the experiment again and heated up the room to 50 C. the results obtained from the final experiment showed a significant cooling effect. 3.2.5 Apparatus The means used for the experiment are:  Model of a Badgir  One Fan  Two electrical heaters  Five cloths of equal size  Water container  Four temperature sensors  Logger pro sensor  Computer
  • 25.
    15 3.2.6 Method  Setup the procedure as shown in the pictures below: Fig 6: showing apparatus set up, the model is put on one desk and the computer& Logger Pro Sensors on the other desk. [Author] Fig 7: showing cloths hanging inside the model and temperature sensors set up [Author]
  • 26.
    16 Fig 8: showingthe heaters next the model, the Model put on a desk and the fan blowing air inside it [Author] Fig 9: showing the window from which the exhaust air expires. Temperature sensors are connected to the computer, and the fan is turned on [Author]
  • 27.
    17  Heat upan insulated room to 50º C using two heaters  Put the model of the Badgir on one table with a lid taken off Schema 2: showing an opened Model [Author]  Attach 5 cloths to the tower lid as shown below: Schema 3: showing cloth attached to the tower lid [Author]
  • 28.
    18  Place temperaturesensors as shown below:  Sensor 1  Sensor 2  Sensor 3  Sensor 4 Schema 4: showing different positions of temperature sensors [Author]  Connect logger pro sensor to a computer  Wait for the room to reach thermal equilibrium  Put the lid of the model on.  Put the cloths in water then return the lid to its place  Turn the fan on  Click Collect  Wait 300s then click Stop  Stop the fan  Take the lid of the tower off and put the cloths in a bath of water 1 2 4 3
  • 29.
    19  Take thelid of the model off  Wait 15 minutes for the room to restore thermal equilibrium again then repeat the experiment 6 times  Repeat the same steps for 4 cloths, 3 cloths, 2 cloths, 1 cloth and 0 cloth  Gather the results obtained then print them off 3.3 Data Collection and Processing 3.3.1 Collecting Sufficient Data The experiment was repeated 6 times for each of 6 different numbers of cloths starting from 0 up to 5 cloths. 3.3.2 Raw Data The temperature was recorded from 0s to 300s. The different temperatures of the four sensors at 0s, 200s and 250s were recorded in table 1. The values are taken from the graphs of each different number of cloths.
  • 30.
    20 Sample Graph: Graph 2:showing a sample graph from which the temperature values are taken [Author] I ignored some results because they were out of range. I kept at least five different trials for each number of cloths. Table 1: shows the trials of each different number of cloths (0, 1, 2, 3, 4 and 5) at 0s, 200s and 250s. Please see Appendix B. The average temperature of each number of clothes was calculated and recorded in table 2. Uncertainty in temperature was estimated to be C because the sensors were accurate in measuring temperatures, but after calculating the uncertainty from the equation: I found that the calculated uncertainty is larger and hence I ignored the estimated uncertainty and considered only the calculated uncertainty.
  • 31.
    21 Cloths Average of allthe trials / C Sensor 0s Uncertainty / C 200s Uncertainty / C 250s Uncertainty / C 0 Cloth 1 54.0 1.2 55.4 0.5 55.5 0.4 2 52.9 0.9 53.6 0.4 53.8 0.4 3 52.9 1.0 53.2 0.9 53.2 0.8 4 53.5 1.1 53.7 0.8 53.8 0.8 1 Cloth 1 53.0 1.5 55.0 0.7 55.0 0.9 2 52.4 1.3 52.1 1.0 52.1 1.1 3 52.1 1.6 51.7 1.5 51.8 1.5 4 52.9 1.6 52.7 1.2 52.7 1.2 2 Cloths 1 51.6 0.6 54.0 0.8 54.0 0.9 2 51.3 0.3 50.3 0.4 50.3 0.4 3 50.8 0.3 49.6 0.6 49.6 0.7 4 51.6 0.3 50.3 0.5 50.3 0.5 3 Cloths 1 51.1 0.8 54.3 0.3 54.4 0.4 2 50.6 0.4 49.8 0.5 49.8 0.6 3 50.3 0.6 49.2 0.5 49.2 0.5 4 50.7 0.4 49.9 0.2 49.8 0.2 4 Cloths 1 51.2 0.7 53.7 1.1 53.7 1.1 2 50.5 0.5 48.7 0.6 48.7 0.7 3 50.1 0.3 47.9 0.4 47.9 0.4 4 50.9 0.4 48.9 0.4 48.8 0.4 5 Cloths 1 50.8 1.7 53.0 1.2 53.1 1.3 2 50.2 1.2 47.3 0.8 47.2 0.7 3 49.7 0.8 47.7 1.5 47.6 1.5 4 50.1 1.1 48.6 0.5 48.5 0.5 Table 2: showing average temperature of all trials [Author]
  • 32.
    22 3.3.3 Processed Data Temperatureat 0s represents the initial temperature; to get the temperature change after 200s and 250s, I used the following formulae: Positive sign shows an increase in temperature and negative sign shows a decrease in temperature. Cloths Change after 200s Sensor 1 / C Uncertainty / C Sensor 2 / C Uncertainty / C Sensor 3 / C Uncertainty / C Sensor 4 / C Uncertainty / C 0 1.4 1.6 0.7 1.3 0.3 1.8 0.2 1.9 1 2.0 2.2 -0.3 2.3 -0.3 3.2 -0.2 2.7 2 2.3 1.4 -1.0 0.6 -1.2 0.9 -1.3 0.8 3 3.2 1.2 -0.8 0.9 -1.1 1.1 -0.8 0.6 4 2.5 1.8 -1.8 1.1 -2.2 0.7 -2.0 0.8 5 2.2 2.9 -2.9 1.9 -1.9 1.7 -1.5 1.7 Table 3: showing average temperature change of each sensor after 200s [Author] Sensor 1 gives the temperature of the surroundings in which there was no evaporative cooling effect. Hence, to get the cooling effect inside the Model, I calculated temperature change and uncertainties using the formulae:
  • 33.
    23 Cloths Change After 200s Change1- 2 / C Uncertainty / C Change 1- 3 / C Uncertainty / C Change 1- 4 / C Uncertainty / C 0 -1.8 0.8 -2.3 1.3 -1.7 1.3 1 -2.9 1.8 -3.3 2.2 -2.3 1.9 2 -3.7 1.2 -4.3 1.4 -3.6 1.3 3 -4.5 0.8 -5.1 0.9 -4.4 0.6 4 -5.0 1.7 -5.7 1.5 -4.8 1.4 5 -5.7 2.0 -5.2 2.7 -4.4 1.7 Table 4: showing average temperature change between sensors after 200s [Author] Remark: please note that the calculations of temperature change after 250s are shown in Appendix B. 3.3.4 Presenting Data Since the number of cloths is the independent variable and the change in temperature is the dependent variable, I plotted a graph with number of cloths on the x-axis and the change of temperature on the y-axis.
  • 34.
    24 Graph 3: showingaverage temperature change of each sensor after 200s [Author] -4.0 -3.0 -2.0 -1.0 0.0 1.0 2.0 3.0 4.0 0 1 2 3 4 5 6 TemeratureChange/C Number of Cloths put inside the Model Temperature Change after 200s Sensor 1 Sensor 2 Sensor 3 Sensor 4
  • 35.
    25 Graph 4: showingaverage temperature changes between sensors after 200s [Author] 3.3.5 Analysis The graphs are shown without uncertainties because the uncertainties were large and when I insert them in the graphs they make the results look complicated and confusing. Hence, I decided to make separate graphs for each change and for each sensor with error bars and include them in Appendix C. Temperature change of the four sensors presented in graph 3 shows that the temperature of the surroundings detected by the first sensor has increased (positive sign) and the temperature of the system detected by sensor 2, 3 and 4 has decreased (negative sign). Therefore, there is a cooling effect inside the Model. -7.0 -6.0 -5.0 -4.0 -3.0 -2.0 -1.0 0.0 0 1 2 3 4 5 6 TemperatureChangebewteenSensors/C Number of Cloths put inside the Model Temperature Change between Sensors after 200s Change 1-2 Change 1-3 Change 1-4
  • 36.
    26 Temperature of thesurroundings is . Thus, the kinetic energy of air molecules is high. When the warm air entered inside the Model, an amount of energy was absorbed by water to break down intermolecular forces and changed the state of water from a liquid to a gas, and some energy was transferred to the walls of the room which were covered by adobe. The absorption of energy by water and adobe resulted in temperature reduction inside the Model. Graph 4 shows that the more cloths are put inside the model, the more temperature reduction will be. Hence, there will be greater cooling effect inside the Model. The relationship between the number of cloths and temperature reduction showed a pattern that excel gave by the best fits presented in graph 5: Graph 5: showing the best fits of temperature changes after 200s [Author] y = -0.7611x - 2.0211 R² = 0.9849 y = -0.6592x - 2.6694 R² = 0.8626 y = -0.6179x - 1.991 R² = 0.8457 -7.0 -6.0 -5.0 -4.0 -3.0 -2.0 -1.0 0.0 0 1 2 3 4 5 6 TemperatureChangebewteenSensors/C Number of Cloths put inside the Model Temperature Change between Sensors after 200s Change 1-2 Change 1-3 Change 1-4 Linear (Change 1-2) Linear (Change 1-3) Linear (Change 1-4)
  • 37.
    27 The equations ofthe best fits are the form of: Where is the number of cloths, is a constant, is the temperature reduction due to adobe walls and the expiration of vapour steam taking away energy and entropy and is the temperature reduction inside the Model. The average equation is: The graph of the equation is shown in graph 5: Graph 6: showing the best fit of the cooling effect against the number of cloths [Author] 5 10 15 −14 −12 −10 −8 −6 −4 −2 Number of cloths Temperature reduction/ °C
  • 38.
    28 3.4 Concluding &Evaluating 3.4.1 Conclusion After conducting the experiment and analysing the results, I found that the results supported my hypothesis. The more cloths I use, the greater cooling effect will be. The scientific explanation of this phenomenon is that more cloths offer larger surface area for more water molecules to evaporate. More evaporation results in more intake of energy, therefore greater cooling effect will be. Also, the heat absorption of adobe walls plays a role in taking in energy and cooling down the Model. The linear relationship between the water volume and temperature reduction shown in graph 6 may not be valid for the availability of greater volumes of water. The cooling effect is limited by some factors such as the volume of water that could be provided and the width of the tower, the temperature of the wind and the humidity I expect that as more water is available in the Model to evaporate, the cooling effect will approach a limit. The graph will be curved rather than linear. Its equation is of the form: √ Where is the number of cloths, is a constant, is the temperature reduction and is the temperature reduction due to adobe walls and the expiration of vapour steam taking away energy and entropy. Graph 7 shows the expectation of the cooling effect as more cloths are put inside the Model:
  • 39.
    29 Graph 7: showingthe expectation of the cooling effect for more cloths [Author] The present investigation could not prove the expected relationship since the volume of water tested and the conditions simulated were limited, but in future research this can be investigated further. 3.4.2 Evaluation & Improvement In general the experiment gave sufficient data that answered the research question. However, while doing the experiment, I found many issues and difficulties about the model which caused having large uncertainties, forced me to repeat the experiment four times and had 85 trials in total besides other trials that were stopped during the performance of the experiment. 5 10 15 −14 −12 −10 −8 −6 −4 −2 Number of Cloths TemperatureReduction/ °C
  • 40.
    30 Weaknesses Significance Improvements Adobewasn’t prepared according to the right method. Only mud, straw and water were used and mixed randomly. The mud contained big stones, so it was hard to mix it with straw and water. The adobe layer wasn’t strong enough and kept breaking during the experiment. The walls were still standing but they weren’t attached to the wood. Some walls fell down right after finishing the experiment. Adobe should be made with specific amounts of mud, straw, sand and water. They should be mixed together very well and then exposed to air for few days to give the adobe strong structure. The experiment was conducted in a cold and humid region, and the room wasn’t well insulated because it had two windows and a large door so the cold wind from the outside could enter. The temperature of the room was hard to control. It decreases significantly every time the door was opened which results in having large uncertainties. The experiment should be replicated in a warm region during a very hot day to get more accurate data. The wet cloths had to be put in water and then put on the top of the tower to hang inside where the second sensor is being put. The wet cloths contacted the second sensor in many trials and caused a significant change in its temperature. Those trials were deleted or stopped right after the test performance. The tower of the model should be a bit wider so that more space will be available for cloths and sensors.
  • 41.
    31 The school didn’thave empty rooms so I had to repeat the experiment in my house. It took two days to heat up a room to 50 C using tow electrical heaters. The lady living on the next floor felt the heat in her house and came in to complain about it. I explained to her that it was a study experiment and there was nothing to worry about. She was afraid of fire and forced me to finish the experiment in a short time. It is preferred to repeat the similar experiment in an insulated room with double- crossed walls filled with polystyrene so that it will be thermally isolated. 4. Final Conclusion From the research I did, I managed to answer the research question and found that the more cloths I put inside the Model, the greater cooling effect I would get. I also discovered that Badgirs offer many advantages:  Cooling down buildings and offering people and animals comfort to tolerate the heat.  Conserving food and liquids from quick deterioration because of higher temperatures.  Saving exhaustible energy sources like electricity, oil and gas.  Exploiting solar energy and wind power.  Decreasing the production of and therefore less pollution will be.  Economising costs. The cooling effect can be optimised further by developing the structure of Badgirs and challenging the limiting factors:
  • 42.
    32  The temperatureof the wind: it can’t be controlled or changed which is a limiting factor. When the temperature of the wind is low, less energy can be taken in by water molecules. Therefore, less evaporation will be resulting in lower temperature reduction.  The drought and the limited sources of water in warm regions make water a valuable resource. It is therefore useful to have fountains or pools of underground water rather than wet cloths attached to the lid.  Painting Badgirs by light colours to decrease the absorption of light photo, hence less heat will be taken in the system.  The cloths put inside the tower should be proportional to the width of the tower; so that they offer greater volume of water and they do not fill the tower and prevent the warm air from contacting large surfaces. Building wider towers will provide larger area for more cloths.  Evaporating great amount of water will result in more entropy inside a building and raise humidity which will make the rate of evaporation decrease. Therefore, Badgirs should have small windows that will allow the exhaust air to expire taking away energy and entropy. . 4.1 Future Research In future research, I would investigate the cooling effect resulting from evaporating greater volumes of water. I would also investigate how the temperature of water affects the cooling effect. Cold water needs more energy to evaporate compared to warm water. Thus, more energy will be taken in resulting in more reduction. However, fewer molecules will evaporate so energy taken in might not be that much. Warm water needs less energy to evaporate, but more molecules will
  • 43.
    33 take in energyto escape. These facts make it hard to determine the best to use warm or cold water.
  • 44.
    34 5. References 5.1. Text "Adobe - Wikipedia, the free encyclopedia." Wikipedia, the free encyclopedia. N.p., n.d. Web. 29 Oct. 2011. <http://en.wikipedia.org/wiki/Adobe>.  "Badgir in traditional Iranian architecture." http://www.inive.org/members_area/medias/pdf/Inive%5Cpalenc%5C2005%5CAzami2.pdf.N .p., n.d. Web. 29 Oct. 2011. <www.inive.org/members_area/medias/pdf/Inive%5Cpalenc%5C2005%5CAzami2.pdf>.  Brown, Catrin, and Mike Ford."Quantitative Chemistry."Higher level Chemistry: developed specifically for the IB diploma.. UK: Pearson, 2009. P16-18. Print.  Brown, Catrin, and Mike Ford. "Energetics" Higher level Chemistry: developed specifically for the IB diploma.. UK: Pearson, 2009. p161-162. Print.  "Evaporative Cooling: History of Technology." AZ Evap - Engineered Solutions in Evaporative Cooling. N.p., n.d. Web. 8 Oct. 2011. <http://www.azevap.com/EvaporativeCooling/historytechnology.php>.  "Factors affecting the rate of evaporation."Virtual Teacher Aide.N.p., n.d. Web. 16 Oct. 2011. <http://www.vtaide.com/png/evaporation.htm#>.  "File:Annual Average Temperature Map.jpg - Wikipedia, the free encyclopedia." Wikipedia, the free encyclopedia. N.p., n.d. Web. 19 Oct. 2011. <http://en.wikipedia.org/wiki/File:Annual_Average_Temperature_Map.jpg>.  Halacy, VITA Volunteer Daniel. “TECHNICAL PAPER #48." www.cd3wd.com - alexweir1949@gmail.com - cd3wd - High Quality Technical Development Info for the Third World - and the SEEV fraud-proof voting system for the Third World - last updated 2011/03. N.p., n.d. Web. 10 Oct. 2011. <http://www.cd3wd.com/cd3wd_40/vita/coolingp/en/coolingp.htm>.  Hamper, Chris. "Thermal physics."Physics: higher level (plus standard level options) developed specifically for the IB diploma.. UK: Pearson, 2009. p73-75. Print.  Hamper, Chris. "Energy, power and climate change." Physics: higher level (plus standard level options) developed specifically for the IB diploma, UK: Pearson, 2009. p294-297. Print.  Hamper, Chris. "Thermal physics."Physics: higher level (plus standard level options) developed specifically for the IB diploma.. UK: Pearson, 2009. p93-94. Print.  Sadeghi, Bijan M.. "ViewIRAN.com." ViewIRAN.com. N.p., n.d. Web. 16 Oct. 2011. <http://www.viewiran.com/iran-yazd.php>.
  • 45.
    35  "Solaripedia |Green Architecture & Building | Projects." Solaripedia | Green Architecture & Building | Intl Passive House Day 11-13 November. N.p., n.d. Web. 16 Oct. 2011. <http://www.solaripedia.com/13/205/2096/wind_tower_qatar.html>.  "The Maxwell-Boltzmann Distribution." Energy, Ch. 7, extention 4 The Mazwell-Boltzmann Distribution. N.p., n.d. Web. 18 Oct. 2011. <www.physics.ohio- state.edu/~wilkins/energy/Companion/E07.4.pdf.xpdf>.  "What is evaporative cooling?." Port-A-Cool Sales & Rentals..Version 2011.N.p., n.d. Web. 2 Aug. 2011. <www.portablecoolers.com/evap/ >.  "Windcatcher - Wikipedia, the free encyclopedia." Wikipedia, the free encyclopedia. N.p., n.d. Web. 2 Sept. 2011. <http://en.wikipedia.org/wiki/Windcatcher>. 5.2. Appendix  "Adobe - Wikipedia, the free encyclopedia." Wikipedia, the free encyclopedia. N.p., n.d. Web. 29 Oct. 2011. <http://en.wikipedia.org/wiki/Adobe>.  "Badgir in traditional Iranian architecture." http://www.inive.org/members_area/medias/pdf/Inive%5Cpalenc%5C2005%5CAzami2.pdf.N .p., n.d. Web. 29 Oct. 2011. <www.inive.org/members_area/medias/pdf/Inive%5Cpalenc%5C2005%5CAzami2.pdf>.  "Brico.be - 7.2 Isoler les murs et les planchers." Brico - Un peu de nous,beaucoup de vous - Een beetje van ons,zoveel van jezelf. N.p., n.d. Web. 1 Nov. 2011. <http://www.brico.be/wabs/fr/bricofiches/1895/construction/-isoler-les-murs-et-les- planchers.do?pg=6>.  Chung-hoi, YUNG. "Why is the equator very hot and the poles very cold?." Hong Kong Observatory-Official Authority For Hong Kong Weather Forecast »´ä¤Ñ¤å¥x-- »´äªº©x¤è¤Ñ®ð¹w³ø³¡ªù. N.p., n.d. Web. 18 Oct. 2011. <http://www.hko.gov.hk/education/edu06nature/ele_srad_e.htm>.  Hamper, Chris. "Energy, power and climate change." Physics: higher level (plus standard level options) developed specifically for the IB diploma. UK: Pearson, 2009. p294-299. Print.  "Windcatcher - Wikipedia, the free encyclopedia." Wikipedia, the free encyclopedia. N.p., n.d. Web. 2 Sept. 2011. <http://en.wikipedia.org/wiki/Windcatcher>.  "Earth Architecture ." Earth Architecture . N.p., n.d. Web. 29 Oct. 2011. <http://www.eartharchitecture.org/index.php?/archives/P8.html>.  "Egypt - Earth Architecture." Earth Architecture . N.p., n.d. Web. 29 Oct. 2011. <http://www.eartharchitecture.org/index.php?/categories/23-Egypt>.  "Kaveh Farrokh » Professor S. Roaf: Badgir (Iran’s Ancient Air Conditioning System)." Kaveh Farrokh . N.p., n.d. Web. 22 Oct. 2011. <http://www.kavehfarrokh.com/iranica/learning- knowledge-medicine/professor-s-roaf-badgir-irans-ancient-air-conditioning-system/>.
  • 46.
    36  "Morocco -Earth Architecture." Earth Architecture . N.p., n.d. Web. 29 Oct. 2011. <http://www.eartharchitecture.org/index.php?/categories/70-Morocco>. 6. Bibliography  Joel, Rayner. "Steam and two-phase systems." Basic engineering thermodynamics in SI units. 3rd ed. London: Longman, 1971. 82-137. Print.  Higgins, Raymond Aurelius. “The Molecule." The properties of engineering materials. London: Hodder and Stoughton, 1977. p20-29. Print.  Higgins, Raymond Aurelius. “The Crystal." The properties of engineering materials. London: Hodder and Stoughton, 1977. p30-47. Print.  "Une bonne isolation thermique pour la maison." Choisir un radiateur électrique : Les radiateurs économiques. N.p., n.d. Web. 1 Nov. 2011. <http://www.radiateur- electrique.org/isolation.php>.  Moseley, Erin. "The Best House in Hot Climates | eHow.co.uk." eHow | How to Videos, Articles & More - Discover the expert in you. | eHow.co.uk. N.p., n.d. Web. 1 Nov. 2011. <http://www.ehow.co.uk/list_6919316_house-hot-climates.html>.
  • 47.
    37 7. Appendices 7.1 AppendixA 7.1.1 Variety of Badgir Styles Badgirs vary from one region to another. They have many styles but they all create a cooling effect31 . The figure below shows various designs of Badgirs: A. Unidirectional. B. Two-directional. C. Four-directional. D. Octagonal with two vents on each side. E. Four-directional with two false vents on two opposite sides. Fig 10: showing sectional plans of five typical Badgir’s styles at vent level 32 7.1.2 Functioning Systems of Badgirs There are two major Badgir`s functioning systems: 31 "Kaveh Farrokh » Professor S. Roaf: Badgir (Iran’s Ancient Air Conditioning System)." Kaveh Farrokh . N.p., n.d. Web. 22 Oct. 2011. <http://www.kavehfarrokh.com/iranica/learning-knowledge-medicine/professor-s-roaf- badgir-irans-ancient-air-conditioning-system/>. 32 "Kaveh Farrokh » Professor S. Roaf: Badgir (Iran’s Ancient Air Conditioning System)." Kaveh Farrokh . N.p., n.d. Web. 22 Oct. 2011. <http://www.kavehfarrokh.com/iranica/learning-knowledge-medicine/professor-s- roaf-badgir-irans-ancient-air-conditioning-system/>.
  • 48.
    38  Cooling byevaporation: Badgirs have vents on side from which the wind blows and on the opposite side. During the day time; the wind enters the building and evaporates water causing a decrease in temperature inside the building as shown in figure 6. This style of Badgirs is dominant in dry hot regions33 . Fig 11: explaining how Badgir cools down buildings using evaporation system 34  Cooling by ventilation: Inside a building, the hot air rises because it is less dense whereas cool air sinks down since it is denser; this process is shown in figure 7. When there is no wind outside, Badgir allows the hot rising air to expire from the vents leaving behind only cool air and thus the inner environment cools down. Also, during daytime, Badgir’s walls that are made of adobe bricks absorb the heat due to thermal 33 "Badgir in traditional Iranian architecture." http://www.inive.org/members_area/medias/pdf/Inive%5Cpalenc%5C2005%5CAzami2.pdf.N.p., n.d. Web. 29 Oct. 2011. <www.inive.org/members_area/medias/pdf/Inive%5Cpalenc%5C2005%5CAzami2.pdf>. 34 "Windcatcher - Wikipedia, the free encyclopedia." Wikipedia, the free encyclopedia. N.p., n.d. Web. 2 Sept. 2011. <http://en.wikipedia.org/wiki/Windcatcher>.
  • 49.
    39 properties of adobe.During the night, the walls pass the heat absorbed to the inner environment. This type of Badgirs is usually found in humid and warm regions35 . Fig 12: explaining how Badgirs cool down buildings using ventilation system 36 7.1.3 Example of cooling methods in warm regions Some common traditional cooling methods throughout warm regions are:  Insulation: constructing buildings of thick adobe with high insulation properties prevents the heat from entering inside. During the day, thick adobe walls absorb great amount of sun’s radiation and energy from the warm wind to heat up. Due to adobe thermal properties, adobe walls with the suitable thickness can reserve the heat for 35 "Badgir in traditional Iranian architecture." http://www.inive.org/members_area/medias/pdf/Inive%5Cpalenc%5C2005%5CAzami2.pdf.N.p., n.d. Web. 29 Oct. 2011. <www.inive.org/members_area/medias/pdf/Inive%5Cpalenc%5C2005%5CAzami2.pdf>. "Windcatcher - Wikipedia, the free encyclopedia." Wikipedia, the free encyclopedia. N.p., n.d. Web. 2 Sept. 2011. <http://en.wikipedia.org/wiki/Windcatcher>. 36 "Windcatcher - Wikipedia, the free encyclopedia." Wikipedia, the free encyclopedia. N.p., n.d. Web. 2 Sept. 2011. <http://en.wikipedia.org/wiki/Windcatcher>.
  • 50.
    40 long time beforetransfer it to the inner environment through convection during the night37 . Fig 13: demonstrating the use of adobe bricks in constructing houses 38  Colour reflection: Light-coloured roofs and walls absorb less radiation. Hence less heat is taken in. People tend to paint their houses by light colours to decrease the amount of radiation absorbed. 37 "Adobe - Wikipedia, the free encyclopedia." Wikipedia, the free encyclopedia. N.p., n.d. Web. 29 Oct. 2011. <http://en.wikipedia.org/wiki/Adobe>. 38 "Earth Architecture ." Earth Architecture . N.p., n.d. Web. 29 Oct. 2011. <http://www.eartharchitecture.org/index.php?/archives/P8.html>.
  • 51.
    41 Fig 14: showinghouses painted using light colours to reduce the absorption of sun’s radiation in Egypt 39  Supplementing shade by building high walls with small windows and planting trees. High walls prevent sun’s radiation from entering buildings, and small windows minimise amounts of light that passes through. Trees offer a fresh air and prevention from sun’s radiation. 39 "Egypt - Earth Architecture." Earth Architecture . N.p., n.d. Web. 29 Oct. 2011. <http://www.eartharchitecture.org/index.php?/categories/23-Egypt>.
  • 52.
    42 Fig15: showing houseswith high walls and small windows & surrounded by trees to maximise shade in Morocco 40  Double crossed walls filled with polystyrene. They keep houses insulated thermally and acoustically 41 Fig 16: showing the use of double crossed walls in houses in Algeria [Author] 40 "Morocco - Earth Architecture." Earth Architecture . N.p., n.d. Web. 29 Oct. 2011. <http://www.eartharchitecture.org/index.php?/categories/70-Morocco>. 41 "Brico.be - 7.2 Isoler les murs et les planchers." Brico - Un peu de nous,beaucoup de vous - Een beetje van ons,zoveel van jezelf. N.p., n.d. Web. 1 Nov. 2011. <http://www.brico.be/wabs/fr/bricofiches/1895/construction/-isoler-les-murs-et-les-planchers.do?pg=6>.
  • 53.
    43 Fig 17: showingthe use of double crossed walls filled with polystyrene for thermal & acoustic insulation in houses in Algeria [Author]  High domes. They keep the inner environment of the building thermally insulated by their thick adobe walls and they also collect the warm air raising inside the dome and let it expire so that the building cools down42 . Fig 18: showing high domes in traditional houses in Syria43 42 "Earth Architecture ." Earth Architecture . N.p., n.d. Web. 29 Oct. 2011. <http://www.eartharchitecture.org/index.php?/archives/P8.html>.
  • 54.
    44 Fig 19: showingthe inner stucture of domes in traditional houses 44  Soil block walls: they create a warm red shade inside the buildings preventing high amounts of sun’s radiation from entering. Fig 20: showing the use of soil block walls 45 43 "Earth Architecture ." Earth Architecture . N.p., n.d. Web. 29 Oct. 2011. <http://www.eartharchitecture.org/index.php?/archives/P8.html>. 44 "Earth Architecture ." Earth Architecture . N.p., n.d. Web. 29 Oct. 2011. <http://www.eartharchitecture.org/index.php?/archives/P8.html>. 45 "Earth Architecture ." Earth Architecture . N.p., n.d. Web. 29 Oct. 2011. <http://www.eartharchitecture.org/index.php?frontpage>.
  • 55.
    45 7.1.4 Solar Energyand Warming up The electromagnetic radiation that comes from the sun is made of photons of different energies. Air is made of different atoms held together as molecules. These atoms can interact with light photons if they have the same energy needed to excite one electron. The absorption of photons causes atoms to gain kinetic energy and hence molecules move faster and get warmer. The motion of air molecules combined with Earth rotation causes the wind46 . 7.1.5 Temperature Distribution on Earth The sun emits in each second J of energy in form of electromagnetic radiation. That radiation passes through the atmosphere and lands on earth’s surface, it is either absorbed causing the surface to get hot or it is reflected47 . Even though the sun shines equally on Earth, there is a great difference in temperature distribution from a region to another. The variation in temperature distribution on Earth depends mostly on three factors 48 :  Both the Equator and the poles receive the same amount of radiation, but the area that receives the radiation at the poles is larger than the area the received the same amount of radiation at the equator due to the angles. The sun is at right angle at the equator, it is at an oblique angle at the poles. Consequently, the amount of radiation that falls on one unit area at the poles is less than the radiation falling on one unit area at the Equator. This can be explained clearly using the figure below: 46 Hamper, Chris. "Energy, power and climate change." Physics: higher level (plus standard level options) developed specifically for the IB diploma.. UK: Pearson, 2009. p294-295. Print. 47 Hamper, Chris. "Energy, power and climate change." Physics: higher level (plus standard level options) developed specifically for the IB diploma. UK: Pearson, 2009. p294-299. Print. 48 Chung-hoi, YUNG. "Why is the equator very hot and the poles very cold?." Hong Kong Observatory-Official Authority For Hong Kong Weather Forecast »´ä¤Ñ¤å¥x-»´äªº©x¤è¤Ñ®ð¹w³ø³¡ªù. N.p., n.d. Web. 18 Oct. 2011. <http://www.hko.gov.hk/education/edu06nature/ele_srad_e.htm>.
  • 56.
    46 Fig 21: areaA and B recives the same radiation from the sun.Area B is larger than area A, thus radiation per unit area on B is less than that on A.49  The amount of absorption of sun’s radiation is affected by concentration of air molecules in the atmosphere. To reach the poles, the sun's radiation passes longer path than reaching the Equator, which means there are more air molecules along the way. Therefore, greater absorption will be and less radiation will reach the poles.  When electromagnetic radiation is incident on a surface it is either absorbed, causing the surface to get hot, or it is reflected back. The amount of light wave reflection is affected by the nature of the surface. At the poles, the earth is covered by the snow. Snow has high reflection ability; hence nearly 75 to 95% of the energy that reaches the poles is reflected back. However, with the increase of global temperature and the melting of ice on the poles, more solar energy gets absorbed.  Regions at or near the Equator receive the largest amount of heart from the sun; therefore the atmosphere is very warm and dry and the wind is very hot. 49 Chung-hoi, YUNG. "Why is the equator very hot and the poles very cold?." Hong Kong Observatory-Official Authority For Hong Kong Weather Forecast »´ä¤Ñ¤å¥x-»´äªº©x¤è¤Ñ®ð¹w³ø³¡ªù. N.p., n.d. Web. 18 Oct. 2011. <http://www.hko.gov.hk/education/edu06nature/ele_srad_e.htm>.
  • 57.
    47 7.2 Appendix B Results: Allthe data collected from my experiment are shown in table 1:
  • 58.
    48 Cloths Change after 250s Sensor 1 /C Uncertainty / C Sensor 2 / C Uncertainty / C Sensor 3 / C Uncertainty / C Sensor 4 / C Uncertainty / C 0 1.5 1.6 0.9 1.3 0.3 1.8 0.3 1.9 1 2.0 2.4 -0.3 2.3 -0.3 3.2 -0.2 2.7 2 2.4 1.5 -1.0 0.7 -1.3 0.9 -1.3 0.8 3 3.3 1.2 -0.8 1.0 -1.2 1.1 -0.9 0.6 4 2.5 1.8 -1.8 1.2 -2.2 0.7 -2.1 0.8 5 2.2 3.0 -3.1 1.9 -2.1 2.3 -1.6 1.7 Table 5: showing average temperature change of each sensor after 250s [Author] Cloths Change after 250s Change 1-2 / C Uncertainty / C Change 1-3 / C Uncertainty / C Change 1-4 / C Uncertainty / C 0 -1.7 0.8 -2.3 1.3 -1.7 1.2 1 -2.9 2.0 -3.2 2.5 -2.3 2.1 2 -3.7 1.4 -4.4 1.6 -3.7 1.5 3 -4.6 1.0 -5.2 0.9 -4.5 0.6 4 -5.0 1.8 -5.9 1.5 -4.9 1.5 5 -5.9 2.0 -5.5 2.7 -4.6 1.8 Table 6: showing average temperature change between sensors after 250s [Author]
  • 59.
    49 Graph 8: showingaverage temperature change of each sensor after 250s [Author] Graph 9: showing average temperature changes between sensors after 250s [Author] -4.0 -3.0 -2.0 -1.0 0.0 1.0 2.0 3.0 4.0 0 1 2 3 4 5 6 TemperatureChange/C Number of Cloths put inside the Model Temperature Change after 250s Sensor 1 Sensor 2 Sensor 3 Sensor 4 -7.0 -6.0 -5.0 -4.0 -3.0 -2.0 -1.0 0.0 0 1 2 3 4 5 6 TemperatureChangebetweenSensors/C Number of Cloths put inside the Model Temperature Change between Sensors after 250s Change 1-2 Change 1-3 Change 1-4
  • 60.
    50 7.3 Appendix C TemperatureChange of Sensors after 200s: Sensor 1:
  • 61.
  • 62.
    52 Sensor 4: Temperature changeof Sensors after 250s :
  • 63.
  • 64.
  • 65.
    55 Temperature Change betweenSensors after 200s: Temperature Change between Sensors 1-2:
  • 66.
    56 Temperature Change betweenSensors 1-3: Temperature Change between Sensors 1-4:
  • 67.
    57 Temperature Change betweenSensors after 250s: Temperature Change between Sensors 1-2:
  • 68.
    58 Temperature Change betweenSensors 1-3: Temperature Change between Sensors 1-4:
  • 69.
    59 Results obtained fromthe experiment Preliminary Work: Trial 1: some water + some heat In the very first trial, hair dryer was used at medium temperature with some wet clothes. Trial 2: more water+ some heat In this trial, the clothes were wetter with hair dryer at medium temperature. Trial 3: No water + less heat This one makes me confused…I don’t know why it is this way?
  • 70.
    60 Trial 4: Nowater+ more heat For this trial no clothes were used, only two hair dryers. This one makes me puzzled. I think I will get an answer for it in the next graph. Trial 5: Water+ more heat I used two hair dryers at maximum, then I realised that one heater was slowing down when it gets hot and that affected the red temperature to go up and down. I have also noticed that the sensors initially are not at the same temperature! That’s why we were confused in the previous one. Trial 6: Water + heat
  • 71.
    61 Trial 7: Heat+Extra more water I waited for the sensors to reach room temperature and then I conducted the experiment again with more wet clothes. I used only one hair dryer at maximum. Trial 8: Temperature 22 C. One hair dryer, no water, no heater. Trial 9: One hair dryer, with water and no heater. Temperature 22 C.
  • 72.
    62 Trial 10: Water +one heater + one hair dryer. Temperature started raising above 22C. Trial 11: Water + two heaters in progress + fan. Temperature goes above 26C. After 120s, I turned on the hair dryer. Trial 12: Temperature exceeds 30C + two heaters at maximum + one hair dryer.
  • 73.
    63 Trial 13: Temperature isnearly 36C. I used water + two heaters + one hair dryer. Trial 14: Same procedure as trial 13. Trial 15: In this trial, I pointed the hair dryer at the fan, and the fan is pointed towards the tower. Temperature is nearly 37C.
  • 74.
    64 Trial 16: Trial 17: Fan+ water + two heaters. No hair dryers are used. Trial 18:
  • 75.
    65 Trial 19: The fanis moved closer to the tower. Trial 20: Done at home, using two heaters + fan (at maximum) + 4 sensors. Red: temp1. Blue: temp2. Green: temp3 (middle). Orange: Temp4.In this trial I succeeded to get evaporative cooling effect. However, the sensors weren’t at the same initial temperature (nearly). The water was cold. Five clothes were used, filled by water. Trial 21: The same procedure as 20. It was repeated to see if I can get the same results. Temperature is 40 C.
  • 76.
    66 Trial 22: Same asbefore. Trial 23: Same as before. But I moved sensor three a bit towards sensor 4. Trial 24: I wasn’t sure whether the results I am getting are because of the water or just a random error. So I repeated the experiment without using water. Only two heaters and a fan.
  • 77.
    67 Trial 25: Same as20. I used water and I made sure that all the sensors are at the same initial temperature. Move sensor three towards the middle. The fan was being put a bit higher. Trial 26: Like 25. Trial 27: Like 25. Now, it is done with five clothes. So let’s do the experiment with four clothes.
  • 78.
    68 Trial 28: 4 clothes+ fan + 2 heaters. Trial 29 : 4 clothes + fan + 2 heaters. Done with a lot of water (that was bad  ) Trial 30: 4 clothes + fan + 2 heaters. While doing this, I was SO sick at 05:05. All night, standing in a room at 40 C. Crazy 
  • 79.
    69 Trial 31: 4 clothes+ fan + 2 heaters. Trial 32: 3 clothes + fan + 2 heaters. Starting the following day at 15:30. Trial 33: 3 clothes + fan + 2 heaters.
  • 80.
    70 Trial 34: 3 clothes+ fan + 2 heaters. Trial 35: 2 clothes + 2 heaters + fan. Trial 36: 2 clothes + 2 heaters + fan.
  • 81.
    71 Trial 37: 2 clothes+ 2 heaters + fan. ( Done at 17:41 ). Trial 38: 1 clothe + two heaters + fan. Trial 39: Same as 38.
  • 82.
    72 Trial 40: Same as38. Trial 42: Using 5 clothes. Make sure the water doesn’t fall on the sensor. Trial 43: Same as 42.
  • 83.
    73 Trial 44: Without clothes+ bath of warm water inside. Trial 45: Continue trial 44 without a fan.
  • 84.
    74 The previous resultswere not enough to record a raw data. They don’t show a clear pattern. Hence, I repeated the experiment again and heated my room up to 50C. Here is the table of the trials: Cloths Trials 5 46,47,48,49,50,51 4 52,53,54,55,56,57 3 58,59, 60,62,62,63 2 64,65,66,67,68,69 1 70,71,72,73,74,75 0 76,77,78,79,80,81,82,83,84,85,86 Trial 46: Trial 47:
  • 85.
  • 86.
  • 87.
  • 88.
  • 89.
  • 90.
  • 91.
  • 92.
  • 93.
  • 94.
  • 95.
  • 96.
  • 97.