REVERSIBLE AND IRREVERSIBLE PROCESSES
• A reversible process is defined as a process that can be
reversed without leaving any trace on the surroundings.
That is, both the system and the surroundings are
returned to their initial states at the end of the reverse
process.
• This is possible only if the net heat and net work
exchange between the system and the surroundings is
zero.
1
• Processes that are not reversible are called irreversible
processes.
• It should be pointed out that a system can be restored to its
initial state following a process, regardless of whether the
process is reversible or irreversible.
• But for reversible processes, this restoration is made without
leaving any net change on the surroundings, whereas for
irreversible processes, the surroundings usually do some
work on the system and therefore does not return to their
original state
2
3
Reversible processes actually do not occur in nature. They
are merely idealizations of actual processes.
All the processes occurring in nature are irreversible. You
may be wondering, then, why we are bothering with such
fictitious processes.
4
• There are two reasons. First, they are easy to analyze,
since a system passes through a series of equilibrium
states during a reversible process; second, they serve as
idealized models to which actual processes can be
compared.
• Engineers are interested in reversible processes
because work-producing devices such as car engines and
gas or steam turbines deliver the most work and work-
consuming devices such as compressors, fans, and
pumps consume the least work when reversible
processes are used instead of irreversible ones
5
IRREVERSIBLITIES
• The factors that cause a process to be irreversible are
called irreversibilities.
• They include friction, unrestrained expansion, mixing of
two fluids, heat transfer across a finite temperature
difference, electric resistance, inelastic deformation of
solids and chemical reactions.
• The presence of any of these effects renders a process
irreversible.
6
INTERNALLY REVERSIBLE PROCESS
• A process is called internally reversible if no
irreversibilities occur within the boundaries of the system
during the process.
• During an internally reversible process, a system
proceeds through a series of equilibrium states and when
the process is reversed, the system passes through
exactly the same equilibrium states while returning to its
initial state. That is, the paths of the forward and reverse
processes coincide for an internally reversible process.
The quasi-equilibrium process is an example of an
internally reversible process. 7
EXTERNALLY REVERSIBLE PROCESS
• A process is called externally reversible if no
irreversibilities occur outside the system boundaries
during the process.
• Heat transfer between a reservoir and a system is an
externally reversible process if the outer surface of the
system is at the temperature of the reservoir.
8
TOTALLY REVERSIBLE PROCESS
• A process is called totally reversible, or simply reversible,
if it involves no irreversibilities within the system or its
surroundings.
• A totally reversible process involves no heat transfer
through a finite temperature difference, no non quasi-
equilibrium changes and no friction or other dissipative
effects
9
10
ENTROPY
Entropy and the Clausius Inequality
The second law of thermodynamics leads to the definition of a
new property called entropy, a quantitative measure of
microscopic disorder for a system.
Entropy is a measure of energy that is no longer available to
perform useful work within the current environment.
To obtain the working definition of entropy and, thus, the second
law, let's derive the Clausius inequality. 11
Consider a heat reservoir giving up heat to
a reversible heat engine, which in turn
gives up heat to a piston-cylinder device
as shown below.
We apply the first law on an incremental
basis to the combined system composed
of the heat engine and the system.
12
E E E
Q W W dE
in out c
R rev sys c
 
  

  
( )
where Ec is the energy of the combined system.
Let Wc be the work done by the combined system. Then the
first law becomes
If we assume that the engine is totally reversible, then
13
  
 
W W W
Q W dE
c rev sys
R c c
 
 
 


Q
T
Q
T
Q T
Q
T
R
R
R R


The total net work done by the combined system becomes
Now the total work done is found by taking the cyclic integral
of the incremental work
14


W T
Q
T
dE
c R c
 
If the system, as well as the heat engine, is required to undergo
a cycle, then
and the total net work becomes
15
If Wc is positive, we have a cyclic device exchanging energy with
a single heat reservoir and producing an equivalent amount of
work; thus, the Kelvin-Planck statement of the second law is
violated.
But Wc can be zero (no work done) or negative (work is done on
the combined system) and not violate the Kelvin-Planck
statement of the second law. Therefore, since TR > 0 (absolute
temperature), we conclude
16
or
Here Q is the net heat added to the system, Qnet.
This equation is called the Clausius inequality. The equality
holds for the reversible process and the inequality holds for the
irreversible process. 17
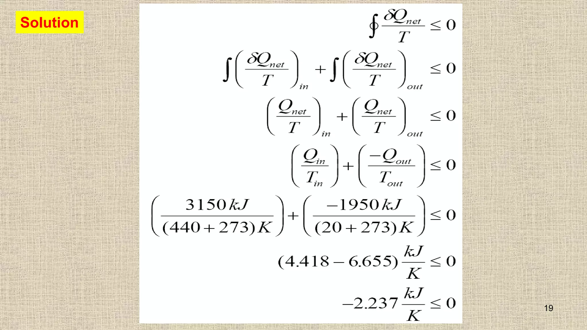
For a particular power plant, the heat added and rejected
both occur at constant temperature and no other processes
experience any heat transfer.
The heat is added in the amount of 3150 kJ at 440oC and is
rejected in the amount of 1950 kJ at 20oC.
(a)Is the Clausius inequality satisfied and is the cycle
reversible or irreversible?
(b)Calculate the net work, cycle efficiency, and Carnot
efficiency based on TH and TL for this cycle.
18
Problem 1
19
Solution
20
(3150 1950) 1200
net in out
W Q Q kJ kJ
    
,
1200
0.381 38.1%
3150
(20 273)
1 1 0.589 58.9%
(440 273)
net
th
in
L
th Carnot
H
W kJ
or
Q kJ
T K
or
T K


  

    

Part b
The Clausius inequality is satisfied. Since the inequality is less
than zero, the cycle has at least one irreversible process and the
cycle is irreversible.
For a particular power plant, the heat added and rejected
both occur at constant temperature; no other processes
experience any heat transfer.
The heat is added in the amount of 3150 kJ at 440oC and is
rejected in the amount of 1294.46 kJ at 20oC.
(a) Is the Clausius inequality satisfied and is the cycle
reversible or irreversible?
(b) Calculate the net work and cycle efficiency for this cycle.
21
Problem 2
22
Solution
The Clausius
inequality is satisfied.
Since the cyclic
integral is equal to
zero, the cycle is
made of reversible
processes
23
Part b
W Q Q kJ kJ
W
Q
kJ
kJ
or
net in out
th
net
in
    
  
( . ) .
.
. .
3150 1294 46 18554
185554
3150
0589 58 9%

Definition of Entropy
Let’s take another look at the quantity
If no irreversibilities occur within the system as well as the
reversible cyclic device, then the cycle undergone by the
combined system will be internally reversible.
As such, it can be reversed.
24
In the reversed cycle case, all the quantities will have the same
magnitude but the opposite sign.
Therefore, the work WC, which could not be a positive quantity
in the regular case, cannot be a negative quantity in the
reversed case.
Then it follows that WC,int rev = 0 since it cannot be a positive or
negative quantity, and therefore
for internally reversible cycles
25
Thus we conclude that the equality in the Clausius inequality
holds for totally or just internally reversible cycles and the
inequality for the irreversible ones.
To develop a relation for the definition of entropy, let us examine
this last equation more closely. Here we have a quantity whose
cyclic integral is zero.
Let us think for a moment what kind of quantities can have this
characteristic.
We know that the cyclic integral of work is not zero. (It is a good
thing that it is not. Otherwise, heat engines that work on a cycle
such as steam power plants would produce zero net work.)
Neither is the cyclic integral of heat. 26
Now consider the volume occupied by a gas
in a piston-cylinder device undergoing a
cycle, as shown below.
When the piston returns to its initial position
at the end of a cycle, the volume of the gas
also returns to its initial value. Thus the net
change in volume during a cycle is zero. This
is also expressed as
We see that the cyclic integral of a property is
zero. 27
A quantity whose cyclic integral is zero depends only on the
state and not on the process path; thus it is a property.
Therefore the quantity (Qnet/T)int rev must be a property.
Since the quantity (Qnet/T)int rev is independent of the path and
must be a property, we call this property the entropy S.
The entropy change occurring during a process is related to
the heat transfer and the temperature of the system. The
entropy is given the symbol S (kJ/K), and the specific entropy
is s (kJ/kgK). 28
The entropy change during a reversible process, sometimes
called an internally reversible process, is defined as
29
Notice that we have actually defined the change in entropy instead of entropy
itself. Engineers are usually concerned with the changes in entropy.
A Special Case: Internally Reversible Isothermal
Heat Transfer Processes
Isothermal heat transfer processes are internally reversible.
Therefore, the entropy change of a system during an internally
reversible isothermal heat transfer process can be determined
by performing the integration
which reduces to
30
where T0 is the constant
temperature of the system and Q is
the heat transfer for the internally
reversible process
A piston–cylinder device contains a liquid–vapor mixture of
water at 300 K. During a constant-pressure process, 750 kJ of
heat is transferred to the water. As a result, part of the liquid in
the cylinder vaporizes. Determine the entropy change of the
water during this process.
31
Problem 3
Solution
The system undergoes an internally reversible, isothermal
process, and thus its entropy change can be determined directly
from
THE INCREASE OF ENTROPY PRINCIPLE
Consider a cycle that is made up of two processes: process 1-2,
which is arbitrary (reversible or irreversible), and process 2-1,
which is internally reversible,
From the Clausius inequality
Or
32
The second integral in the previous relation is recognized as the
entropy change S1 - S2. Therefore
It can also be expressed in differential form as
33
where the equality holds for an internally reversible process and the
inequality for an irreversible process.
We may conclude from these equations that:
• the entropy change of a closed system during an irreversible
process is greater than the integral of δQ/T evaluated for that
process.
• In the limiting case of a reversible process, these two
quantities become equal.
Remember T in these relations is the thermodynamic
temperature at the boundary where the differential heat δQ is
transferred between the system and the surroundings.
34
The quantity ∆S=S2 - S1 represents the entropy change of the
system.
For a reversible process, it becomes equal to
1
2 δ𝑄
𝑇
, which
represents the entropy transfer with heat.
The inequality sign in the preceding relations is a constant
reminder that the entropy change of a closed system during an
irreversible process is always greater than the entropy transfer.
That is, some entropy is generated or created during an
irreversible process, and this generation is due entirely to the
presence of irreversibilities. 35
The entropy generated during a process is called entropy
generation and is denoted by Sgen
The difference between the entropy change of a closed system
and the entropy transfer is equal to entropy generation,
therefore
36
the entropy generation Sgen is always a positive quantity or zero.
Its value depends on the process, and thus it is not a property of
the system. Also, in the absence of any entropy transfer, the
entropy change of a system is equal to the entropy generation.
For an isolated system (or simply an adiabatic closed system),
the heat transfer is zero,
37
This equation can be expressed as the entropy of an isolated
system during a process always increases or, in the limiting case
of a reversible process, remains constant. In other words, it
never decreases. This is known as the increase of entropy
principle.
Entropy is an extensive property, and thus the total entropy of a
system is equal to the sum of the entropies of the parts of the
system.
38
Since no actual process is truly
reversible, we can conclude that some
entropy is generated during a process.
The more irreversible a process, the
larger the entropy generated during that
process.
No entropy is generated during
reversible processes (Sgen =0).
The increase of entropy principle does not imply that the entropy
of a system cannot decrease.
The entropy change of a system can be negative during a
process, but entropy generation cannot.
The increase of entropy principle can be summarized as follows:
39
A heat source at 800 K loses 2000 kJ of heat to a sink at (a)
500 K and (b) 750 K. Determine which heat transfer
process is more irreversible.
40
Problem 4
Solution
(a) For the heat transfer process to a sink at 500 K:
(b) Repeating the calculations in part (a) for a sink temperature of 750 K,
we obtain
And
The total entropy change for the process in part (b) is smaller, and
therefore it is less irreversible. This is expected since the process in (b)
involves a smaller temperature difference and thus a smaller
irreversibility. 41
ENTROPY CHANGE OF PURE SUBSTANCES
Entropy is a property, and thus the value of entropy of a system
is fixed once the state of the system is fixed. Specifying two
intensive independent properties fixes the state of a simple
compressible system, and thus the value of entropy, as well as
the values of other properties at that state.
The entropy values in the property tables are given relative to
an arbitrary reference state. In steam tables the entropy of
saturated liquid sf at 0.01°C is assigned the value of zero.
42
A rigid tank contains 5 kg of refrigerant-134a initially at 20°C
and 140 kPa. The refrigerant is now cooled while being stirred
until its pressure drops to 100 kPa. Determine the entropy
change of the refrigerant during this process.
43
Problem 5
Solution
The refrigerant is a saturated liquid–vapor mixture at the final
state since vf < v2 < vg at 100 kPa pressure.
Therefore, we need to determine the quality first:
Therefore
Then the entropy change of the refrigerant during this process
is
44
ISENTROPIC PROCESSES
The entropy of a fixed mass can be changed by
(1) heat transfer and (2) irreversibilities
The entropy of a fixed mass does not change during a process
that is internally reversible and adiabatic.
A process during which the entropy remains constant is called an
isentropic process.
45
Many engineering systems or devices such as pumps, turbines,
nozzles, and diffusers are essentially adiabatic in their
operation, and they perform best when the irreversibilities, such
as the friction associated with the process, are minimized.
Therefore, an isentropic process can serve as an appropriate
model for actual processes.
Also, isentropic processes enable us to define efficiencies for
processes to compare the actual performance of these devices
to the performance under idealized conditions. 46
Steam enters an adiabatic turbine at 5 MPa and 450°C and
leaves at a pressure of 1.4 MPa. Determine the work output of
the turbine per unit mass of steam if the process is reversible.
47
Problem 6
Solution
The inlet state is completely specified since two properties are
given. But only one property (pressure) is given at the final state,
and we need one more property to fix it. The second property
comes from the observation that the process is reversible and
adiabatic, and thus isentropic. Therefore, s2 =s1,
48
Then the work output of the turbine per unit mass of the steam
becomes
49
THE T ds RELATIONS
The differential form of the conservation of energy equation for a
closed stationary system (a fixed mass) containing a simple
compressible substance can be expressed for an internally
reversible process as
But
Therefore,
50
This equation is known as the
first T ds, or Gibbs, equation.
The second T ds equation is obtained by eliminating du by using
the definition of enthalpy (h =u +Pv):
Therefore:
The T ds relations are valid for both reversible and irreversible
processes and for both closed and open systems.
Or we can write as: and
51
ENTROPY CHANGE OF LIQUIDS AND SOLIDS
Liquids and solids can be approximated as incompressible
substances since their specific volumes remain nearly
constant during a process. Thus, dv= 0 for liquids and solids
52
since cp =cv =c and du= c dT for incompressible substances.
Then the entropy change during a process is determined by
integration to be
THE ENTROPY CHANGE OF IDEAL GASES
Since
By substituting du=cv dT and P=RT/v into Eq
The entropy change for a process is obtained by integrating this
relation between the end states:
53
A second relation for the entropy change of an ideal gas is
obtained in a similar manner by substituting dh=cp dT and
v=RT/P into Eq.
The specific heats of ideal gases depend on temperature.
The integrals in Eqs. cannot be performed unless the dependence of cv and cp on
temperature is known. Even when the cv(T) and cp(T) functions are available,
performing long integrations every time entropy change is calculated is not practical
54
Two reasonable choices are:
• Perform these integrations by simply assuming constant
specific heats
• Evaluate those integrals once and tabulate the results.
Constant Specific Heats (Approximate Analysis)
Variable Specific Heats (Exact Analysis)
The entropy-change relations for ideal gases under the constant-
specific heat assumption are easily obtained by replacing cv(T) and
cp(T) in Eqs.by cv,avg and cp,avg, respectively, and performing the
integrations.
56
Constant Specific Heats (Approximate Analysis)
Variable Specific Heats (Exact Analysis)
When the temperature change during a process is large and the specific
heats of the ideal gas vary nonlinearly within the temperature range, the
assumption of constant specific heats may lead to considerable errors in
entropy-change calculations.
For those cases, the variation of specific heats with temperature should
be properly accounted for by utilizing accurate relations for the specific
heats as a function of temperature.
The entropy change during a process is then determined by substituting
the cv(T) or cp(T) relations into Eq. and performing the integrations. 57
Instead of performing these laborious integrals each time
we have a new process, it is convenient to perform these
integrals once and tabulate the results. For this purpose, we
choose absolute zero as the reference temperature and
define a function s° as
Obviously, s° is a function of temperature alone, and its
value is zero at absolute zero temperature. The values of s°
are calculated at various temperatures, and the results are
tabulated in the appendix as a function of temperature for
air.
58
Given this definition, the integral in Eq. becomes
Therefore
59
Air is compressed from an initial state of 100 kPa and 17°C to a final
state of 600 kPa and 57°C. Determine the entropy change of air during
this compression process by using (a) property values from the air table
and (b) average specific heats.
60
Problem 7
(a) The properties of air are given in the air table (Table A 17). Reading
s° values at given temperatures and substituting, we find
Solution
(b) The entropy change of air during this process can also be
determined approximately from Eq. by using a cp value at the
average temperature of 37°C (Table A–2b) and treating it as a
constant:
61
Isentropic Processes of Ideal Gases
Several relations for the isentropic processes of ideal gases can be obtained by
setting the entropy-change relations developed previously equal to zero.
62
Constant Specific Heats (Approximate Analysis)
When the constant-specific-heat assumption is valid, the isentropic relations for
ideal gases are obtained by setting following Eqs. equal to zero.
Therefore, we get
since R =cp -cv, k cp/cv, and thus R/cv =k - 1.
63
The third isentropic relation is obtained by substituting the above Eq. in previous Eq.
and after rearranging
REVERSIBLE STEADY-FLOW WORK
The work done during a process depends on the path followed as well
as on the properties at the end states. Recall that reversible (quasi-
equilibrium) moving boundary work associated with closed systems is
expressed in terms of the fluid properties as
The quasi-equilibrium work interactions lead to the maximum work
output for work-producing devices and the minimum work input for
work-consuming devices.
64
65
Taking the positive direction of work to be from the system (work output),
the energy balance for a steady-flow device undergoing an internally
reversible process can be expressed in differential form as
Substituting this into the relation above and cancelling dh yield
When the changes in kinetic and potential energies are negligible, this
equation reduces to
66
When the working fluid is incompressible, the specific volume v remains
constant during the process and can be taken out of the integration.
MINIMIZING THE COMPRESSOR WORK
The work input to a compressor is minimized when the compression
process is executed in an internally reversible manner.
When the changes in kinetic and potential energies are negligible, the
compressor work is given by
67
Obviously one way of minimizing the compressor work is to
approximate an internally reversible process as much as possible by
minimizing the irreversibilities such as friction, turbulence, and
nonquasi-equilibrium compression.
second (and more practical) way of reducing the compressor work is to
keep the specific volume of the gas as small as possible during the
compression process.
This is done by maintaining the temperature of the gas as low as
possible during compression since the specific volume of a gas is
proportional to temperature.
Therefore, reducing the work input to a compressor requires that the
gas be cooled as it is compressed.
68
To have a better understanding of the effect of cooling during the
compression process, we compare the work input requirements for
three kinds of processes: an isentropic process (involves no cooling), a
polytropic process (involves some cooling), and an isothermal process
(involves maximum cooling).
Assuming all three processes are executed between the same
pressure levels (P1 and P2) in an internally reversible manner
and the gas behaves as an ideal gas (Pv =RT) with constant
specific heats.
The compression work is determined by performing the
integration
69
70
The three processes are plotted on a P-v
diagram in Fig. for the same inlet state
and exit pressure.
On a P-v diagram, the area to the left of
the process curve is the integral of v dP.
Thus it is a measure of the steady flow
compression work.
It is interesting to observe from this
diagram that of the three internally
reversible cases considered, the adiabatic
compression (Pvk=constant) requires the
maximum work and the isothermal
compression(T=constant or Pv =constant)
requires the minimum.
One common way of
cooling the gas during
compression is to use
cooling jackets around the
casing of the
compressors.
Multistage Compression with Intercooling
Cooling a gas as it is compressed is desirable since this
reduces the required work input to the compressor. However,
often it is not possible to have adequate cooling through the
casing of the compressor, and it becomes necessary to use
other techniques to achieve effective cooling.
One such technique is multistage compression with
intercooling, where the gas is compressed in stages and
cooled between each stage by passing it through a heat
exchanger called an intercooler. 71
Ideally, the cooling process takes place at constant pressure,
and the gas is cooled to the initial temperature T1 at each
intercooler. Multistage compression with intercooling is
especially attractive when a gas is to be compressed to very
high pressures.
72
The size of the colored area (the saved work input) varies with
the value of the intermediate pressure Px, and it is of practical
interest to determine the conditions under which this area is
maximized.
The total work input for a two-stage compressor is the sum of
the work inputs for each stage of compression, as determined
from Eq
73
The only variable in this equation is Px. The Px value that
minimizes the total work is determined by differentiating this
expression with respect to Px and setting the resulting
expression equal to zero. It yields
74
That is, to minimize compression work during two-stage
compression, the pressure ratio across each stage of the
compressor must be the same.
When this condition is satisfied, the compression work at each
stage becomes identical, that is, wcomp I,in = wcomp II,in.
ISENTROPIC EFFICIENCIES OF
STEADY-FLOW DEVICES
The more closely the actual process approximates the
idealized isentropic process, the better the device performs.
Thus, it would be desirable to have a parameter that
expresses quantitatively how efficiently an actual device
approximates an idealized one.
This parameter is the isentropic or adiabatic efficiency,
which is a measure of the deviation of actual processes
from the corresponding idealized ones.
75
76
Isentropic Efficiency of Turbines
The isentropic efficiency of a turbine is
defined as the ratio of the actual work output
of the turbine to the work output that would
be achieved if the process between the inlet
state and the exit pressure were isentropic:
77
Isentropic Efficiencies of Compressors and Pumps
The isentropic efficiency of a compressor is defined as the ratio of the work
input required to raise the pressure of a gas to a specified value in an isentropic
manner to the actual work input:
Compressors
Pumps
Important points to remember
1: Does the temperature in the Clausius inequality relation have to
be absolute temperature? Why?
Yes. Because we used the relation (QH/TH) = (QL/TL) in the proof,
which is the defining relation of absolute temperature.
2: Does a cycle for which δQ > 0 violate the Clausius inequality?
Why?
No. The δQ represents the net heat transfer during a cycle, which
could be positive.
78
3: Is a quantity whose cyclic integral is zero necessarily a
property?
Yes.
4:Does the cyclic integral of heat have to be zero (i.e., does a
system have to reject as much heat as it receives to complete a
cycle)? Explain.
No. A system may reject more (or less) heat than it receives during a
cycle. The steam in a steam power plant, for example, receives more
heat than it rejects during a cycle.
79
5: Does the cyclic integral of work have to be zero (i.e.,does a
system have to produce as much work as it consumes to complete
a cycle)? Explain.
No. A system may produce more (or less) work than it receives
during a cycle. A steam power plant, for example, produces more
work than it receives during a cycle, the difference being the net
work output.
6: A system undergoes a process between two fixed states first in
a reversible manner and then in an irreversible manner. For which
case is the entropy change greater? Why?
The entropy change will be the same for both cases since entropy
is a property and it has a fixedvalue at a fixed state.
80
7: Is the value of the integral 1
2 δ𝑄
𝑇
the same for all processes between
states 1 and 2? Explain.
No. In general, that integral will have a different value for different
processes. However, it will have the same value for all reversible
processes.
8: Is the value of the integral 1
2 δ𝑄
𝑇
the same for all reversible processes
between states 1 and 2? Why?
Yes. 81
9: To determine the entropy change for an irreversible process
between states 1 and 2, should the integral 1
2 δ𝑄
𝑇
be performed along
the actual process path or an imaginary reversible path? Explain.
That integral should be performed along a reversible path to determine
the entropy change.
10: Is an isothermal process necessarily internally reversible? Explain
your answer with an example.
No. An isothermal process can be irreversible. Example: A system that
involves paddle-wheel work while losing an equivalent amount of heat.
82
11. How do the values of the integral 1
2 δ𝑄
𝑇
compare for a reversible and
irreversible process between the same end states?
The value of this integral is always larger for reversible processes.
12. The entropy of a hot baked potato decreases as it cools. Is this a
violation of the increase of entropy principle? Explain.
No. Because the entropy of the surrounding air increases even more
during that process, making the total entropy change positive.
13. Is it possible to create entropy? Is it possible to destroy it?
It is possible to create entropy, but it is not possible to destroy it.
83
14. Is a process that is internally reversible and adiabatic necessarily
isentropic? Explain.
Yes, because an internally reversible, adiabatic process involves no
irreversibilities or heat transfer.
15. Can the entropy of an ideal gas change during an isothermal
process?
The entropy of a gas can change during an isothermal process since
entropy of an ideal gas depends on the pressure as well as the
temperature.
84
16. An ideal gas undergoes a process between two specified
temperatures, first at constant pressure and then at constant
volume. For which case will the ideal gas experience a larger
entropy change? Explain.
The entropy change relations of an ideal gas simplify to
• Δs = cp ln(T2/T1) for a constant pressure process and
• Δs = cv ln(T2/T1) for a constant volume process.
Noting that cp > cv, the entropy change will be larger for a constant
pressure process
85
17. A piston–cylinder device contains helium gas. During a reversible,
isothermal process, the entropy of the helium will (never, sometimes,
always) increase.
Sometimes.
18. A piston–cylinder device contains nitrogen gas. During a reversible,
adiabatic process, the entropy of the nitrogen will (never, sometimes,
always) increase.
Never.
19. A piston–cylinder device contains superheated steam. During an
actual adiabatic process, the entropy of the steam will (never,
sometimes, always) increase.
Always. 86
20. The entropy of the working fluid of the ideal Carnot cycle
(increases, decreases, remains the same) during the isothermal heat
addition process.
Increases.
21. The entropy of the working fluid of the ideal Carnot cycle
(increases, decreases, remains the same) during the isothermal heat
rejection process.
Decreases
22. Is it possible for the entropy change of a closed system to be zero
during an irreversible process? Explain.
Yes. This will happen when the system is losing heat, and the decrease
in entropy as a result of this heat loss is equal to the increase in entropy
as a result of irreversibilities.
87
A rigid tank contains an ideal gas at 40°C that is being stirred by a
paddle wheel. The paddle wheel does 200 kJ of work on the ideal
gas. It is observed that the temperature of the ideal gas remains
constant during this process as a result of heat transfer between the
system and the surroundings at 30°C. Determine the entropy
change of the ideal gas.
88
Problem
The temperature and the specific volume of the gas remain constant
during this process. Therefore, the initial and the final states of the
gas are the same. Then s2 = s1 since entropy is a property.
Therefore,
Solution
Refrigerant-134a enters the coils of the evaporator of a refrigeration
system as a saturated liquid–vapor mixture at a pressure of 160
kPa. The refrigerant absorbs 180 kJ of heat from the cooled space,
which is maintained at -5°C, and leaves as saturated vapor at the
same pressure. Determine
(a) the entropy change of the refrigerant,
(b) the entropy change of the cooled space, and
c) the total entropy change for this process.
89
Problem
Assumptions
Both the refrigerant and the cooled space involve no internal
irreversibilities such as friction.
Any temperature change occurs within the wall of the tube, and thus
both the refrigerant and the cooled space remain isothermal during this
process. Thus it is an isothermal, internally reversible process.
90
Solution
a) The pressure of the refrigerant is maintained constant. Therefore, the
temperature of the refrigerant also remains constant at the saturation
value,
91
(c) The total entropy change of the process is

entropy.pptx

  • 1.
    REVERSIBLE AND IRREVERSIBLEPROCESSES • A reversible process is defined as a process that can be reversed without leaving any trace on the surroundings. That is, both the system and the surroundings are returned to their initial states at the end of the reverse process. • This is possible only if the net heat and net work exchange between the system and the surroundings is zero. 1
  • 2.
    • Processes thatare not reversible are called irreversible processes. • It should be pointed out that a system can be restored to its initial state following a process, regardless of whether the process is reversible or irreversible. • But for reversible processes, this restoration is made without leaving any net change on the surroundings, whereas for irreversible processes, the surroundings usually do some work on the system and therefore does not return to their original state 2
  • 3.
  • 4.
    Reversible processes actuallydo not occur in nature. They are merely idealizations of actual processes. All the processes occurring in nature are irreversible. You may be wondering, then, why we are bothering with such fictitious processes. 4
  • 5.
    • There aretwo reasons. First, they are easy to analyze, since a system passes through a series of equilibrium states during a reversible process; second, they serve as idealized models to which actual processes can be compared. • Engineers are interested in reversible processes because work-producing devices such as car engines and gas or steam turbines deliver the most work and work- consuming devices such as compressors, fans, and pumps consume the least work when reversible processes are used instead of irreversible ones 5
  • 6.
    IRREVERSIBLITIES • The factorsthat cause a process to be irreversible are called irreversibilities. • They include friction, unrestrained expansion, mixing of two fluids, heat transfer across a finite temperature difference, electric resistance, inelastic deformation of solids and chemical reactions. • The presence of any of these effects renders a process irreversible. 6
  • 7.
    INTERNALLY REVERSIBLE PROCESS •A process is called internally reversible if no irreversibilities occur within the boundaries of the system during the process. • During an internally reversible process, a system proceeds through a series of equilibrium states and when the process is reversed, the system passes through exactly the same equilibrium states while returning to its initial state. That is, the paths of the forward and reverse processes coincide for an internally reversible process. The quasi-equilibrium process is an example of an internally reversible process. 7
  • 8.
    EXTERNALLY REVERSIBLE PROCESS •A process is called externally reversible if no irreversibilities occur outside the system boundaries during the process. • Heat transfer between a reservoir and a system is an externally reversible process if the outer surface of the system is at the temperature of the reservoir. 8
  • 9.
    TOTALLY REVERSIBLE PROCESS •A process is called totally reversible, or simply reversible, if it involves no irreversibilities within the system or its surroundings. • A totally reversible process involves no heat transfer through a finite temperature difference, no non quasi- equilibrium changes and no friction or other dissipative effects 9
  • 10.
  • 11.
    Entropy and theClausius Inequality The second law of thermodynamics leads to the definition of a new property called entropy, a quantitative measure of microscopic disorder for a system. Entropy is a measure of energy that is no longer available to perform useful work within the current environment. To obtain the working definition of entropy and, thus, the second law, let's derive the Clausius inequality. 11
  • 12.
    Consider a heatreservoir giving up heat to a reversible heat engine, which in turn gives up heat to a piston-cylinder device as shown below. We apply the first law on an incremental basis to the combined system composed of the heat engine and the system. 12 E E E Q W W dE in out c R rev sys c          ( ) where Ec is the energy of the combined system.
  • 13.
    Let Wc bethe work done by the combined system. Then the first law becomes If we assume that the engine is totally reversible, then 13      W W W Q W dE c rev sys R c c         Q T Q T Q T Q T R R R R  
  • 14.
    The total network done by the combined system becomes Now the total work done is found by taking the cyclic integral of the incremental work 14   W T Q T dE c R c  
  • 15.
    If the system,as well as the heat engine, is required to undergo a cycle, then and the total net work becomes 15
  • 16.
    If Wc ispositive, we have a cyclic device exchanging energy with a single heat reservoir and producing an equivalent amount of work; thus, the Kelvin-Planck statement of the second law is violated. But Wc can be zero (no work done) or negative (work is done on the combined system) and not violate the Kelvin-Planck statement of the second law. Therefore, since TR > 0 (absolute temperature), we conclude 16
  • 17.
    or Here Q isthe net heat added to the system, Qnet. This equation is called the Clausius inequality. The equality holds for the reversible process and the inequality holds for the irreversible process. 17
  • 18.
    For a particularpower plant, the heat added and rejected both occur at constant temperature and no other processes experience any heat transfer. The heat is added in the amount of 3150 kJ at 440oC and is rejected in the amount of 1950 kJ at 20oC. (a)Is the Clausius inequality satisfied and is the cycle reversible or irreversible? (b)Calculate the net work, cycle efficiency, and Carnot efficiency based on TH and TL for this cycle. 18 Problem 1
  • 19.
  • 20.
    20 (3150 1950) 1200 netin out W Q Q kJ kJ      , 1200 0.381 38.1% 3150 (20 273) 1 1 0.589 58.9% (440 273) net th in L th Carnot H W kJ or Q kJ T K or T K             Part b The Clausius inequality is satisfied. Since the inequality is less than zero, the cycle has at least one irreversible process and the cycle is irreversible.
  • 21.
    For a particularpower plant, the heat added and rejected both occur at constant temperature; no other processes experience any heat transfer. The heat is added in the amount of 3150 kJ at 440oC and is rejected in the amount of 1294.46 kJ at 20oC. (a) Is the Clausius inequality satisfied and is the cycle reversible or irreversible? (b) Calculate the net work and cycle efficiency for this cycle. 21 Problem 2
  • 22.
    22 Solution The Clausius inequality issatisfied. Since the cyclic integral is equal to zero, the cycle is made of reversible processes
  • 23.
    23 Part b W QQ kJ kJ W Q kJ kJ or net in out th net in         ( . ) . . . . 3150 1294 46 18554 185554 3150 0589 58 9% 
  • 24.
    Definition of Entropy Let’stake another look at the quantity If no irreversibilities occur within the system as well as the reversible cyclic device, then the cycle undergone by the combined system will be internally reversible. As such, it can be reversed. 24
  • 25.
    In the reversedcycle case, all the quantities will have the same magnitude but the opposite sign. Therefore, the work WC, which could not be a positive quantity in the regular case, cannot be a negative quantity in the reversed case. Then it follows that WC,int rev = 0 since it cannot be a positive or negative quantity, and therefore for internally reversible cycles 25
  • 26.
    Thus we concludethat the equality in the Clausius inequality holds for totally or just internally reversible cycles and the inequality for the irreversible ones. To develop a relation for the definition of entropy, let us examine this last equation more closely. Here we have a quantity whose cyclic integral is zero. Let us think for a moment what kind of quantities can have this characteristic. We know that the cyclic integral of work is not zero. (It is a good thing that it is not. Otherwise, heat engines that work on a cycle such as steam power plants would produce zero net work.) Neither is the cyclic integral of heat. 26
  • 27.
    Now consider thevolume occupied by a gas in a piston-cylinder device undergoing a cycle, as shown below. When the piston returns to its initial position at the end of a cycle, the volume of the gas also returns to its initial value. Thus the net change in volume during a cycle is zero. This is also expressed as We see that the cyclic integral of a property is zero. 27
  • 28.
    A quantity whosecyclic integral is zero depends only on the state and not on the process path; thus it is a property. Therefore the quantity (Qnet/T)int rev must be a property. Since the quantity (Qnet/T)int rev is independent of the path and must be a property, we call this property the entropy S. The entropy change occurring during a process is related to the heat transfer and the temperature of the system. The entropy is given the symbol S (kJ/K), and the specific entropy is s (kJ/kgK). 28
  • 29.
    The entropy changeduring a reversible process, sometimes called an internally reversible process, is defined as 29 Notice that we have actually defined the change in entropy instead of entropy itself. Engineers are usually concerned with the changes in entropy.
  • 30.
    A Special Case:Internally Reversible Isothermal Heat Transfer Processes Isothermal heat transfer processes are internally reversible. Therefore, the entropy change of a system during an internally reversible isothermal heat transfer process can be determined by performing the integration which reduces to 30 where T0 is the constant temperature of the system and Q is the heat transfer for the internally reversible process
  • 31.
    A piston–cylinder devicecontains a liquid–vapor mixture of water at 300 K. During a constant-pressure process, 750 kJ of heat is transferred to the water. As a result, part of the liquid in the cylinder vaporizes. Determine the entropy change of the water during this process. 31 Problem 3 Solution The system undergoes an internally reversible, isothermal process, and thus its entropy change can be determined directly from
  • 32.
    THE INCREASE OFENTROPY PRINCIPLE Consider a cycle that is made up of two processes: process 1-2, which is arbitrary (reversible or irreversible), and process 2-1, which is internally reversible, From the Clausius inequality Or 32
  • 33.
    The second integralin the previous relation is recognized as the entropy change S1 - S2. Therefore It can also be expressed in differential form as 33 where the equality holds for an internally reversible process and the inequality for an irreversible process.
  • 34.
    We may concludefrom these equations that: • the entropy change of a closed system during an irreversible process is greater than the integral of δQ/T evaluated for that process. • In the limiting case of a reversible process, these two quantities become equal. Remember T in these relations is the thermodynamic temperature at the boundary where the differential heat δQ is transferred between the system and the surroundings. 34
  • 35.
    The quantity ∆S=S2- S1 represents the entropy change of the system. For a reversible process, it becomes equal to 1 2 δ𝑄 𝑇 , which represents the entropy transfer with heat. The inequality sign in the preceding relations is a constant reminder that the entropy change of a closed system during an irreversible process is always greater than the entropy transfer. That is, some entropy is generated or created during an irreversible process, and this generation is due entirely to the presence of irreversibilities. 35
  • 36.
    The entropy generatedduring a process is called entropy generation and is denoted by Sgen The difference between the entropy change of a closed system and the entropy transfer is equal to entropy generation, therefore 36 the entropy generation Sgen is always a positive quantity or zero.
  • 37.
    Its value dependson the process, and thus it is not a property of the system. Also, in the absence of any entropy transfer, the entropy change of a system is equal to the entropy generation. For an isolated system (or simply an adiabatic closed system), the heat transfer is zero, 37 This equation can be expressed as the entropy of an isolated system during a process always increases or, in the limiting case of a reversible process, remains constant. In other words, it never decreases. This is known as the increase of entropy principle.
  • 38.
    Entropy is anextensive property, and thus the total entropy of a system is equal to the sum of the entropies of the parts of the system. 38 Since no actual process is truly reversible, we can conclude that some entropy is generated during a process. The more irreversible a process, the larger the entropy generated during that process. No entropy is generated during reversible processes (Sgen =0).
  • 39.
    The increase ofentropy principle does not imply that the entropy of a system cannot decrease. The entropy change of a system can be negative during a process, but entropy generation cannot. The increase of entropy principle can be summarized as follows: 39
  • 40.
    A heat sourceat 800 K loses 2000 kJ of heat to a sink at (a) 500 K and (b) 750 K. Determine which heat transfer process is more irreversible. 40 Problem 4 Solution (a) For the heat transfer process to a sink at 500 K:
  • 41.
    (b) Repeating thecalculations in part (a) for a sink temperature of 750 K, we obtain And The total entropy change for the process in part (b) is smaller, and therefore it is less irreversible. This is expected since the process in (b) involves a smaller temperature difference and thus a smaller irreversibility. 41
  • 42.
    ENTROPY CHANGE OFPURE SUBSTANCES Entropy is a property, and thus the value of entropy of a system is fixed once the state of the system is fixed. Specifying two intensive independent properties fixes the state of a simple compressible system, and thus the value of entropy, as well as the values of other properties at that state. The entropy values in the property tables are given relative to an arbitrary reference state. In steam tables the entropy of saturated liquid sf at 0.01°C is assigned the value of zero. 42
  • 43.
    A rigid tankcontains 5 kg of refrigerant-134a initially at 20°C and 140 kPa. The refrigerant is now cooled while being stirred until its pressure drops to 100 kPa. Determine the entropy change of the refrigerant during this process. 43 Problem 5 Solution
  • 44.
    The refrigerant isa saturated liquid–vapor mixture at the final state since vf < v2 < vg at 100 kPa pressure. Therefore, we need to determine the quality first: Therefore Then the entropy change of the refrigerant during this process is 44
  • 45.
    ISENTROPIC PROCESSES The entropyof a fixed mass can be changed by (1) heat transfer and (2) irreversibilities The entropy of a fixed mass does not change during a process that is internally reversible and adiabatic. A process during which the entropy remains constant is called an isentropic process. 45
  • 46.
    Many engineering systemsor devices such as pumps, turbines, nozzles, and diffusers are essentially adiabatic in their operation, and they perform best when the irreversibilities, such as the friction associated with the process, are minimized. Therefore, an isentropic process can serve as an appropriate model for actual processes. Also, isentropic processes enable us to define efficiencies for processes to compare the actual performance of these devices to the performance under idealized conditions. 46
  • 47.
    Steam enters anadiabatic turbine at 5 MPa and 450°C and leaves at a pressure of 1.4 MPa. Determine the work output of the turbine per unit mass of steam if the process is reversible. 47 Problem 6 Solution
  • 48.
    The inlet stateis completely specified since two properties are given. But only one property (pressure) is given at the final state, and we need one more property to fix it. The second property comes from the observation that the process is reversible and adiabatic, and thus isentropic. Therefore, s2 =s1, 48
  • 49.
    Then the workoutput of the turbine per unit mass of the steam becomes 49
  • 50.
    THE T dsRELATIONS The differential form of the conservation of energy equation for a closed stationary system (a fixed mass) containing a simple compressible substance can be expressed for an internally reversible process as But Therefore, 50 This equation is known as the first T ds, or Gibbs, equation.
  • 51.
    The second Tds equation is obtained by eliminating du by using the definition of enthalpy (h =u +Pv): Therefore: The T ds relations are valid for both reversible and irreversible processes and for both closed and open systems. Or we can write as: and 51
  • 52.
    ENTROPY CHANGE OFLIQUIDS AND SOLIDS Liquids and solids can be approximated as incompressible substances since their specific volumes remain nearly constant during a process. Thus, dv= 0 for liquids and solids 52 since cp =cv =c and du= c dT for incompressible substances. Then the entropy change during a process is determined by integration to be
  • 53.
    THE ENTROPY CHANGEOF IDEAL GASES Since By substituting du=cv dT and P=RT/v into Eq The entropy change for a process is obtained by integrating this relation between the end states: 53
  • 54.
    A second relationfor the entropy change of an ideal gas is obtained in a similar manner by substituting dh=cp dT and v=RT/P into Eq. The specific heats of ideal gases depend on temperature. The integrals in Eqs. cannot be performed unless the dependence of cv and cp on temperature is known. Even when the cv(T) and cp(T) functions are available, performing long integrations every time entropy change is calculated is not practical 54
  • 55.
    Two reasonable choicesare: • Perform these integrations by simply assuming constant specific heats • Evaluate those integrals once and tabulate the results. Constant Specific Heats (Approximate Analysis) Variable Specific Heats (Exact Analysis)
  • 56.
    The entropy-change relationsfor ideal gases under the constant- specific heat assumption are easily obtained by replacing cv(T) and cp(T) in Eqs.by cv,avg and cp,avg, respectively, and performing the integrations. 56 Constant Specific Heats (Approximate Analysis)
  • 57.
    Variable Specific Heats(Exact Analysis) When the temperature change during a process is large and the specific heats of the ideal gas vary nonlinearly within the temperature range, the assumption of constant specific heats may lead to considerable errors in entropy-change calculations. For those cases, the variation of specific heats with temperature should be properly accounted for by utilizing accurate relations for the specific heats as a function of temperature. The entropy change during a process is then determined by substituting the cv(T) or cp(T) relations into Eq. and performing the integrations. 57
  • 58.
    Instead of performingthese laborious integrals each time we have a new process, it is convenient to perform these integrals once and tabulate the results. For this purpose, we choose absolute zero as the reference temperature and define a function s° as Obviously, s° is a function of temperature alone, and its value is zero at absolute zero temperature. The values of s° are calculated at various temperatures, and the results are tabulated in the appendix as a function of temperature for air. 58
  • 59.
    Given this definition,the integral in Eq. becomes Therefore 59
  • 60.
    Air is compressedfrom an initial state of 100 kPa and 17°C to a final state of 600 kPa and 57°C. Determine the entropy change of air during this compression process by using (a) property values from the air table and (b) average specific heats. 60 Problem 7 (a) The properties of air are given in the air table (Table A 17). Reading s° values at given temperatures and substituting, we find Solution
  • 61.
    (b) The entropychange of air during this process can also be determined approximately from Eq. by using a cp value at the average temperature of 37°C (Table A–2b) and treating it as a constant: 61
  • 62.
    Isentropic Processes ofIdeal Gases Several relations for the isentropic processes of ideal gases can be obtained by setting the entropy-change relations developed previously equal to zero. 62 Constant Specific Heats (Approximate Analysis) When the constant-specific-heat assumption is valid, the isentropic relations for ideal gases are obtained by setting following Eqs. equal to zero. Therefore, we get since R =cp -cv, k cp/cv, and thus R/cv =k - 1.
  • 63.
    63 The third isentropicrelation is obtained by substituting the above Eq. in previous Eq. and after rearranging
  • 64.
    REVERSIBLE STEADY-FLOW WORK Thework done during a process depends on the path followed as well as on the properties at the end states. Recall that reversible (quasi- equilibrium) moving boundary work associated with closed systems is expressed in terms of the fluid properties as The quasi-equilibrium work interactions lead to the maximum work output for work-producing devices and the minimum work input for work-consuming devices. 64
  • 65.
    65 Taking the positivedirection of work to be from the system (work output), the energy balance for a steady-flow device undergoing an internally reversible process can be expressed in differential form as Substituting this into the relation above and cancelling dh yield
  • 66.
    When the changesin kinetic and potential energies are negligible, this equation reduces to 66 When the working fluid is incompressible, the specific volume v remains constant during the process and can be taken out of the integration.
  • 67.
    MINIMIZING THE COMPRESSORWORK The work input to a compressor is minimized when the compression process is executed in an internally reversible manner. When the changes in kinetic and potential energies are negligible, the compressor work is given by 67 Obviously one way of minimizing the compressor work is to approximate an internally reversible process as much as possible by minimizing the irreversibilities such as friction, turbulence, and nonquasi-equilibrium compression.
  • 68.
    second (and morepractical) way of reducing the compressor work is to keep the specific volume of the gas as small as possible during the compression process. This is done by maintaining the temperature of the gas as low as possible during compression since the specific volume of a gas is proportional to temperature. Therefore, reducing the work input to a compressor requires that the gas be cooled as it is compressed. 68 To have a better understanding of the effect of cooling during the compression process, we compare the work input requirements for three kinds of processes: an isentropic process (involves no cooling), a polytropic process (involves some cooling), and an isothermal process (involves maximum cooling).
  • 69.
    Assuming all threeprocesses are executed between the same pressure levels (P1 and P2) in an internally reversible manner and the gas behaves as an ideal gas (Pv =RT) with constant specific heats. The compression work is determined by performing the integration 69
  • 70.
    70 The three processesare plotted on a P-v diagram in Fig. for the same inlet state and exit pressure. On a P-v diagram, the area to the left of the process curve is the integral of v dP. Thus it is a measure of the steady flow compression work. It is interesting to observe from this diagram that of the three internally reversible cases considered, the adiabatic compression (Pvk=constant) requires the maximum work and the isothermal compression(T=constant or Pv =constant) requires the minimum. One common way of cooling the gas during compression is to use cooling jackets around the casing of the compressors.
  • 71.
    Multistage Compression withIntercooling Cooling a gas as it is compressed is desirable since this reduces the required work input to the compressor. However, often it is not possible to have adequate cooling through the casing of the compressor, and it becomes necessary to use other techniques to achieve effective cooling. One such technique is multistage compression with intercooling, where the gas is compressed in stages and cooled between each stage by passing it through a heat exchanger called an intercooler. 71
  • 72.
    Ideally, the coolingprocess takes place at constant pressure, and the gas is cooled to the initial temperature T1 at each intercooler. Multistage compression with intercooling is especially attractive when a gas is to be compressed to very high pressures. 72
  • 73.
    The size ofthe colored area (the saved work input) varies with the value of the intermediate pressure Px, and it is of practical interest to determine the conditions under which this area is maximized. The total work input for a two-stage compressor is the sum of the work inputs for each stage of compression, as determined from Eq 73
  • 74.
    The only variablein this equation is Px. The Px value that minimizes the total work is determined by differentiating this expression with respect to Px and setting the resulting expression equal to zero. It yields 74 That is, to minimize compression work during two-stage compression, the pressure ratio across each stage of the compressor must be the same. When this condition is satisfied, the compression work at each stage becomes identical, that is, wcomp I,in = wcomp II,in.
  • 75.
    ISENTROPIC EFFICIENCIES OF STEADY-FLOWDEVICES The more closely the actual process approximates the idealized isentropic process, the better the device performs. Thus, it would be desirable to have a parameter that expresses quantitatively how efficiently an actual device approximates an idealized one. This parameter is the isentropic or adiabatic efficiency, which is a measure of the deviation of actual processes from the corresponding idealized ones. 75
  • 76.
    76 Isentropic Efficiency ofTurbines The isentropic efficiency of a turbine is defined as the ratio of the actual work output of the turbine to the work output that would be achieved if the process between the inlet state and the exit pressure were isentropic:
  • 77.
    77 Isentropic Efficiencies ofCompressors and Pumps The isentropic efficiency of a compressor is defined as the ratio of the work input required to raise the pressure of a gas to a specified value in an isentropic manner to the actual work input: Compressors Pumps
  • 78.
    Important points toremember 1: Does the temperature in the Clausius inequality relation have to be absolute temperature? Why? Yes. Because we used the relation (QH/TH) = (QL/TL) in the proof, which is the defining relation of absolute temperature. 2: Does a cycle for which δQ > 0 violate the Clausius inequality? Why? No. The δQ represents the net heat transfer during a cycle, which could be positive. 78
  • 79.
    3: Is aquantity whose cyclic integral is zero necessarily a property? Yes. 4:Does the cyclic integral of heat have to be zero (i.e., does a system have to reject as much heat as it receives to complete a cycle)? Explain. No. A system may reject more (or less) heat than it receives during a cycle. The steam in a steam power plant, for example, receives more heat than it rejects during a cycle. 79
  • 80.
    5: Does thecyclic integral of work have to be zero (i.e.,does a system have to produce as much work as it consumes to complete a cycle)? Explain. No. A system may produce more (or less) work than it receives during a cycle. A steam power plant, for example, produces more work than it receives during a cycle, the difference being the net work output. 6: A system undergoes a process between two fixed states first in a reversible manner and then in an irreversible manner. For which case is the entropy change greater? Why? The entropy change will be the same for both cases since entropy is a property and it has a fixedvalue at a fixed state. 80
  • 81.
    7: Is thevalue of the integral 1 2 δ𝑄 𝑇 the same for all processes between states 1 and 2? Explain. No. In general, that integral will have a different value for different processes. However, it will have the same value for all reversible processes. 8: Is the value of the integral 1 2 δ𝑄 𝑇 the same for all reversible processes between states 1 and 2? Why? Yes. 81
  • 82.
    9: To determinethe entropy change for an irreversible process between states 1 and 2, should the integral 1 2 δ𝑄 𝑇 be performed along the actual process path or an imaginary reversible path? Explain. That integral should be performed along a reversible path to determine the entropy change. 10: Is an isothermal process necessarily internally reversible? Explain your answer with an example. No. An isothermal process can be irreversible. Example: A system that involves paddle-wheel work while losing an equivalent amount of heat. 82
  • 83.
    11. How dothe values of the integral 1 2 δ𝑄 𝑇 compare for a reversible and irreversible process between the same end states? The value of this integral is always larger for reversible processes. 12. The entropy of a hot baked potato decreases as it cools. Is this a violation of the increase of entropy principle? Explain. No. Because the entropy of the surrounding air increases even more during that process, making the total entropy change positive. 13. Is it possible to create entropy? Is it possible to destroy it? It is possible to create entropy, but it is not possible to destroy it. 83
  • 84.
    14. Is aprocess that is internally reversible and adiabatic necessarily isentropic? Explain. Yes, because an internally reversible, adiabatic process involves no irreversibilities or heat transfer. 15. Can the entropy of an ideal gas change during an isothermal process? The entropy of a gas can change during an isothermal process since entropy of an ideal gas depends on the pressure as well as the temperature. 84
  • 85.
    16. An idealgas undergoes a process between two specified temperatures, first at constant pressure and then at constant volume. For which case will the ideal gas experience a larger entropy change? Explain. The entropy change relations of an ideal gas simplify to • Δs = cp ln(T2/T1) for a constant pressure process and • Δs = cv ln(T2/T1) for a constant volume process. Noting that cp > cv, the entropy change will be larger for a constant pressure process 85
  • 86.
    17. A piston–cylinderdevice contains helium gas. During a reversible, isothermal process, the entropy of the helium will (never, sometimes, always) increase. Sometimes. 18. A piston–cylinder device contains nitrogen gas. During a reversible, adiabatic process, the entropy of the nitrogen will (never, sometimes, always) increase. Never. 19. A piston–cylinder device contains superheated steam. During an actual adiabatic process, the entropy of the steam will (never, sometimes, always) increase. Always. 86
  • 87.
    20. The entropyof the working fluid of the ideal Carnot cycle (increases, decreases, remains the same) during the isothermal heat addition process. Increases. 21. The entropy of the working fluid of the ideal Carnot cycle (increases, decreases, remains the same) during the isothermal heat rejection process. Decreases 22. Is it possible for the entropy change of a closed system to be zero during an irreversible process? Explain. Yes. This will happen when the system is losing heat, and the decrease in entropy as a result of this heat loss is equal to the increase in entropy as a result of irreversibilities. 87
  • 88.
    A rigid tankcontains an ideal gas at 40°C that is being stirred by a paddle wheel. The paddle wheel does 200 kJ of work on the ideal gas. It is observed that the temperature of the ideal gas remains constant during this process as a result of heat transfer between the system and the surroundings at 30°C. Determine the entropy change of the ideal gas. 88 Problem The temperature and the specific volume of the gas remain constant during this process. Therefore, the initial and the final states of the gas are the same. Then s2 = s1 since entropy is a property. Therefore, Solution
  • 89.
    Refrigerant-134a enters thecoils of the evaporator of a refrigeration system as a saturated liquid–vapor mixture at a pressure of 160 kPa. The refrigerant absorbs 180 kJ of heat from the cooled space, which is maintained at -5°C, and leaves as saturated vapor at the same pressure. Determine (a) the entropy change of the refrigerant, (b) the entropy change of the cooled space, and c) the total entropy change for this process. 89 Problem
  • 90.
    Assumptions Both the refrigerantand the cooled space involve no internal irreversibilities such as friction. Any temperature change occurs within the wall of the tube, and thus both the refrigerant and the cooled space remain isothermal during this process. Thus it is an isothermal, internally reversible process. 90 Solution a) The pressure of the refrigerant is maintained constant. Therefore, the temperature of the refrigerant also remains constant at the saturation value,
  • 91.
    91 (c) The totalentropy change of the process is