ECE18R201 Network Theory
Unit1
Introduction
• Charge – fundamental concept
• Two types – positive - protons, negative –electrons
• Unit – columb
• Current - Charge in motion
• Charge conservation - neither create nor destroy electrons (or
protons) when running electric circuits
• Static charge - A quantity of charge that does not change with time is
typically represented by Q
• Time variant charge - The instantaneous amount of charge is
commonly represented by q(t) or q
Current
• “transfer of charge” or “charge in motion”
• It is a measure of the rate at which charge is moving
past a given reference point in a specified direction
• i = dq / dt
• Unit – Amphere
• The motion of positive charge
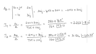
QUIZ 1
In the wire of Fig, electrons are moving
left to right to create a current of 1 mA.
Determine I1 and I2
Voltage
• Simple circuit element
• Ex - fuses, light bulbs, resistors, batteries, capacitors, generators,
and spark coils
• There are two paths by which current may enter or leave the
element
• An electrical voltage (or a potential difference) exists between the
two terminals, or that there is a voltage “across” the element
• Voltage = work done per charge
• Unit – volts,
• 1 volt = 1J/C
(a, b) These are inadequate
definitions of a voltage. (c) A correct
definition includes both a symbol for
the variable and a plus-minus symbol
pair.
(a, b) Terminal B is 5 V positive with respect to terminal A;
(c, d) terminal A is 5 V positive with respect to terminal B.
Quiz 2
For the element in Fig, v1 = 17 V.
Determine v2
Power
• If one joule of energy is expended in transferring
one coulomb of charge through the device in one
second, then the rate of energy transfer is one watt
• The absorbed power must be proportional both to
the number of coulombs transferred per second
(current) and to the energy needed to transfer one
coulomb through the element (voltage)
• P = VI or p = vi
Contd...
• The power absorbed by the element is given by the product p = vi.
Alternatively, we can say that the element generates or supplies a
power −vi.
• If the current arrow is directed into the “+” marked terminal of an
element, then p = vi yields the absorbed power. A negative value
indicates that power is actually being generated by the element
Contd...
• If the current arrow is directed out of the “+”
terminal of an element, then p = vi yields the
supplied power. A negative value in this case
indicates that power is being absorbed.
• Tutorial
Examples
Determine the power being absorbed by the
circuit element in Fig.
Quiz 3
Determine the power generated or absorbed
by the element in Fig. State whether the
power is generated or absorbed.
Quiz 4
Determine the power being generated by the circuit element in Fig.
Quiz 5
Determine the power absorbed or generated by the circuit
element A in the circuit below.
Contd...
● Based on terminal voltage-current characteristics,
sources in a circuit –
Ideal Voltage source
Ideal Current Source
● Classified further as
Independent Source
Dependent Source
Energy sources
Independent voltage sources
• An independent voltage source is characterized by a terminal
voltage which is completely independent of the current through it
• b- absorbs power, c – delivers power
• (a) DC voltage source symbol;
• (b) battery symbol; (c) ac voltage source symbol
Voltage Source in Parallel
ideal voltage sources can be connected
in parallel provided they are of the same
voltage value.
Quiz 6
What is not allowed or is not best practice, is connecting together ideal
voltage sources that have_____________________
Voltage source in series
Independent current sources
• an independent current source as having zero
voltage across its terminals while providing a
fixed current
Current Source in Parallel
whose total current
output is given as the
algebraic addition of the
individual source
currents.
Current source in series
Quiz 7
Calculate the total current
Dependent sources
• In Independent sources the value of the source
quantity is not affected in any way by activities in
the remainder of the circuit
• the dependent, or controlled, source, in which the
source quantity is determined by a voltage or
current existing at some other location in the
system being analyzed
Cont...
• The four different types of dependent sources:
(a) current-controlled current source;
(b) voltage-controlled current source;
(c) voltage-controlled voltage source;
(d) current controlled voltage source
Cont...
Problem
Calculate the power supplied or absorbed by
each element in the following figure
Quiz 8
Compute the power absorbed or supplied by
each component of the circuit
Ideal & Practical voltage source
1. Two terminal element in
which the voltage is
completely independent
of current through its
terminals
2. Practical voltage sources
have internal resistance
in series => voltage
decreases as current
increases
Ideal & Practical current source
Two terminal element in which
current is independent of
voltage across its terminals
Practical current sources have
internal resistance in parallel
=> current falls as voltage
increases
Resistor
A (linear) resistor is an element for which
• v=iR
• where the constant R is a resistance.
• The equation is known as “Ohm’s Law.”
• The unit of resistance is ohm (Ω)
• Since R is never negative, a resistor always absorbs
power
Resistors absorb power: since v=iR
p=vi = v² /R = i²R
Positive power means the device is absorbing
energy.
Power is always positive for a resistor!
Ohm’s law
I = V/R
Current is directly proportional to the voltage and inversely proportional
to the total resistance of the circuit
Problem
A 560 Ω resistor is connected to a circuit which
causes a current of 42.4 mA to flow through it.
Calculate the voltage across the resistor and the
power it is dissipating.
Sol.
v = iR = (0.0424)(560) = 23.7 V
p = i²R = (0.0424)2 (560) = 1.007 W
Quiz
An electric heater draws 8A from 250 V
supply.What is its power rating also find
resistance of heater element.
https://www.menti.com/vus6ujtsee
A dc power link is to be made between two islands
seperated by a distance of 24 miles.The operating voltage is
500 kv and the system capacity is 500MW.Calculate
maximum dc current flow and estimate resistivity of the
cable.
Sol...
Dc power=600x 10^6 W,
Operating voltage = 500 x 10^3V
I=P/V= 600x 10^6 W/500 x 10^3V=1200 A
Cable resistence= V/I=500 x 10^3V/1200= 417 Ω
Conductance
• Reciprocal of resistance (1/R), which is called
conductance (symbol G, unit siemens (S))
• A resistor R has conductance G=1/R
• The i-v equation (i.e. Ohm’s law) can be
written as i=Gv
Inductance
P = vi = Ldi/dt i
W = ∫p dt = ∫ L i di/dt = L i
2 /2
Inductor store energy even if voltage across is zero
Never dissipates energy. Only stores
Voltage across inductor is zero, if current through it is
constant
Small change in current in zero time gives infinite voltage
across the inductor
Capacitance
• Ability of a body to store an electrical charge
• Two conducting surfaces separated by an
insulating medium
• Conducting surfaces – Electrodes
• Insulating medium – dielectric
• Amount of charge per unit voltage - Capacitance
Cont….
Unit of capacitance – Farad
C= Q/V; C = q/v
i = C dv/dt => dv = 1/C x i dt =>
∫dv = 1/C ∫i dt => v(t) – v(0) =
1/C ∫i dt
v(t) = v(0) + 1/C ∫i dt
P = vi = v C dv/dt
W = ∫p dt = ½ Cv2
• Current in a capacitor is zero
if V is constant
• Open circuit to dc
• Small change in voltage
within zero time gives infinite
current
• Even if current is zero, store
finite amount of energy
• Pure capacitor never dissipate
energy
Open circuit
An open circuit between A and B means i=0.
• Voltage across an open circuit: any value.
• An open circuit is equivalent to R = ∞ Ω.
• The open circuit voltage is the voltage difference
measured between two terminals when no current is
drawn or supplied.
Quiz
What is current value in open circuit?
Short circuit
A short circuit between A and B means v=0.
• Current through a short circuit: any value.
• A short circuit is equivalent to R = 0 Ω.
The short circuit current is the current that flows when the
terminals are forced to have zero voltage difference
Quiz
What is current value in short circuit?
Node
• A point at which two or more elements have a common
connection is called a node.
• If no node was encountered more than once, then the set of
nodes and elements that we have passed through is defined
as a path.
• Mesh or Loop is a set of branches forming a closed path in a
network.
• A Branch as a single path in a network, composed of one
simple element and the node at each end of that element.
• (a) A circuit containing three
nodes and five branches.
• (b) Node 1 is redrawn to look
like two nodes; it is still one
node.
• If three is no element
between two or more
connected adjacent nodes,
these nodes can be
recombined as a single node
Quiz
A network which connects various points of the
network with one another is ____
RESISTORS IN SERIES
• All the current, voltage, and power relationships
in the remainder of the circuit will be unchanged
Equivalent resistance
Resistors in parallel
• Determine i in the circuit of Figure
• The special case of only two parallel resistors
is encountered fairly often, and is given by
Problems
• Use resistance and source combinations to determine
the current I in Figure and the power delivered by the
80 V source
• Determine v in the circuit of Figure by first
combining the three current sources, and then the
two 10 resistors.
VOLTAGE DIVISION
• If we know the total voltage over a series of resistors,
we can easily find the individual voltages over the
individual resistors.
• Since the resistors in series have the same current, the
voltage divides up among the resistors in proportion
to each individual
Cont...
To find the voltage over an individual resistance
in series, take the total series voltage and
multiply by the individual resistance over the
total resistance
Problem on voltage division
• Determine vx in the circuit of Figure
We first combine the 6 and 3 resistors,
replacing them with (6)(3)/(6 + 3) = 2Ω
vx= (12 sin t)* 2 /4 + 2 = 4 sin t volts
Quiz
Use voltage division to determine vx
Current division rule
Problem
• Write an expression for the current through
the 3 resistor in the circuit
Kirchhoff's Law
• The I-V relationship for a device tells us how current
and voltage are related within that device.
• Kirchhoff’s laws tell us how voltages relate to other
voltages in a circuit, and how currents relate to other
currents in a circuit.
• KVL: The sum of voltage drops around a closed path
must equal zero.
• KCL: The sum of currents leaving a closed surface or
point must equal zero.
KIRCHHOFF’S VOLTAGE LAW
• The algebraic sum of the voltages around any
closed path is zero
Cont...
Suppose I add up the potential
drops around the closed path,
from “a” to “b” to “c” and back
to “a”. • Since I end where I
began, the total drop in
potential I encounter along the
path must be zero: Vab + Vbc +
Vca = 0
problem
• We know the voltage across two of the three
elements in the circuit. Thus, KVL can be
applied immediately to obtain vx
-5-7+vx =0, vx= 12 V
ix= vx/R = 12/100= 120mA
Quiz
Determine ix and vx in the circuit
Problem
Find the voltage across R2 and the voltage labeled
vx
KVL equation around the loop on the left, starting at point c: 4 − 36 + vR2 =
0
vR2 = 32 V.
-32 + 12 + 14 + vx = 0=> vx=6V
KIRCHHOFF’S CURRENT LAW
• The algebraic sum of the currents entering any node is zero.
• A node is not a circuit element, and it certainly cannot store,
destroy, or generate charge
• equate the sum of the currents having reference arrows
directed into the node to the sum of those directed out of the
node
Problem
• Compute the current through resistor R3 if it
is known that the voltage source supplies a
current of 3 A
iR1-2-i+5=0=> i=3-2+5=6A
Compute the power absorbed in
each element for the circuit
shown in Figure
KVL around the loop:
−120 + v30 + 2vA − vA = 0
By ohms law
v30 = 30i and vA = −15i
−120 + 30i − 30i + 15i = 0=> i=8A
Cont...
p120v = (120)(−8) = −960 W
p30 = (8) ^2 (30) = 1920 W
pdep = (2vA)(8) = 2[(−15)(8)](8) = −1920 W
p15 = (8) ^2 *(15) = 960 W
Quiz
• In the circuit of Figure, vs1 = 120 V, vs2 = 30 V,
R1 = 30 , and R2 = 15 . Compute the power
absorbed by each element.
Tutorial
Tutorial
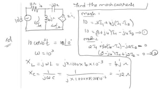
Mesh Analysis
Mesh -closed loop
Mesh-> KVL+ohm’s law
Procedure to solve mesh
1. Find the no. of meshes
2. Assign the mesh currents in clockwise direction
3. Write mesh equations by Using KVL first and
ohm’s law next
4. Solve the equations
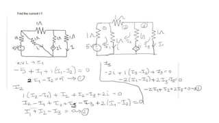
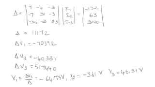
Problems
Problem
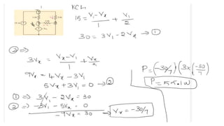
Supermesh
• a kind of “supermesh” from two meshes that have
a current source as a common element; the current
source is in the interior of the supermesh
• If the current source lies on the perimeter of the
circuit, then the single mesh in which it is found is
ignored.
• Kirchhoff’s voltage law is thus applied only to
NODAL ANALYSIS
Node -Group of branch connected at single point
Node-> KCL+ohm’s law
Procedure to solve mesh
1. Find the no. of nodes
2. Assign node voltage with reference to ground node.
3. Write nodal equations by Using KCL first and ohm’s
law next
4. Solve the equations
• Apply KCL to nodes 1 and 2
• v1 = 5 V and v2 = 2 V.
Determine the current flowing left to right through
the 15 Ω resistor of Figure
• Solving, we find that v1 = 20 V and v2 = 20 V so
that v1 − v2 = 0. In other words, zero current is
flowing through the 15 resistor in this circuit!
Tutorial 2
• For the circuit of Figure, determine the nodal
voltages v1, v2 and v3.
• Determine the power supplied by the dependent source
of Figure
Tutorial
Determine the power supplied by the
dependent source of Fig
• For the circuit of Fig., compute the voltage
across each current source
• For the circuit of Fig, determine the nodal
voltage v1 if A is (a) 2i1; (b) 2v1.
ⓘ Start presenting to display the poll results on this slide.
For the circuit of Fig, determine the nodal
voltage v1 if A is 2v
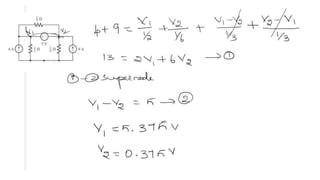
THE SUPERNODE
• The voltage source together as a sort
of supernode and apply KCL to both
nodes at the same time
• if the total current leaving node 2 is
zero and the total current leaving
node 3 is zero, then the total current
leaving the combination of the two
nodes is zero. This concept is
represented graphically
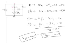
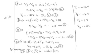
Problem
• Determine the value of the unknown node
voltage v1 in the circuit of Fig.
For the circuit, compute the voltage across each
current source.
ⓘ Start presenting to display the poll results on this slide.
Determine the potential difference between nodes P
and Q i.e. VPQ
Summary of Supernode Analysis
Procedure
• Count the number of nodes (N)
• Designate a reference node.
• Label the nodal voltages (there are N − 1 of them).
• If the circuit contains voltage sources, form a supernode about each
one.
• Write a KCL equation for each nonreference node and for each supernode
that does not contain the reference node
• Relate the voltage across each voltage source to nodal voltages Express
any additional unknowns (i.e., currents or voltages other than nodal
voltages) in terms of appropriate nodal voltages
• Organize the equations
• Solve the system of equations for the nodal voltages
Determine the node-to-reference voltages in
the circuit of Fig
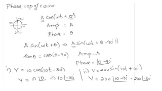
Phase shift
The time taken for any wave to
complete one full cycle is called
the period
The frequency of a wave is defined
as the number of cycles that a
wave completes in one second.
The relation between time period
and frequency is given by f=1/T
ⓘ Start presenting to display the poll results on this slide.
The period of a sine wave is 20 milliseconds.
What is the frequency?
The frequency of a sine wave is 30 Hz. What is its period?
A radian is defined as the angular distance measured along the
circumference of a circle which is equal to the radius of the circle.
Phase of a Sine Wave
• The sine wave is shifted to
the right by 90° (pi/2 rad)
• The waveform B is lagging
behind waveform A by 90°. In
other words, the sine wave A
is leading the waveform B by
90°
• The sine wave A is lagging
behind the waveform B by
90°. In both cases, the phase
difference is 90°
In general, the sine wave is represented by the equation
v(t) =Vmsin 𝝎t
When a sine wave is shifted to the left of the reference wave
by a certain angle, the general expression can be written as
v(t) =Vmsin (𝝎t+Φ)
When a sine wave is shifted to the right of the reference
wave by a certain angle
v(t) =Vmsin (𝝎t-Φ)
PHASE RELATION IN A PURE RESISTOR
When a sinusoidal voltage of certain magnitude is applied to a resistor,
a certain amount of sine wave current passes through it. The
voltage/current relation in case of a resistor is linear,
i.e. v (t) = i(t)R
Consider the function
i(t)=Imsin𝜔t=IM[Im ej𝜔t ] or Im∠0o
v(t)= ImR sin𝜔t=Vm sin𝜔t
= IM[Vm ej𝜔t ] or Vm∠0o
Where Vm = ImR
Impedance is defined as the ratio of
voltage to current function
PHASE RELATION IN A PURE INDUCTOR
v(t)= Ldi/dt
Consider the function
i(t)=Imsin𝜔t=IM[Im ej𝜔t ] or Im∠0o
v(t)= L d(Imsin𝜔t)/dt=L𝜔 Imcos𝜔t =Vmcos𝜔t or Vmsin(𝜔t+90)
= IM[Vm ej(𝜔t+90) ] or Vm∠90o
Vm= 𝜔 L Im =XL Im and ej90 =j=1 ∠90o
Voltage and current are out of phase.
The current lags behind the voltage by 90° in a
pure inductor
Impedance
The impedance which is the ratio of exponential
voltage to the corresponding current, is given by
Impedance= Vm∠90o / Im∠0o
Z= j𝜔L= j XL
Where XL = 𝜔L
Vm= 𝜔 L Im
PHASE RELATION IN A PURE CAPACITOR
v(t)=1/C∫ i(t) dt
Consider the function
i(t)=Imsin𝜔t=IM[Im ej𝜔t ] or Im∠0o
v(t)=1/C ∫Imsin𝜔t dt = 1/𝜔C Im [-cos𝜔t]= Im/𝜔C sin(𝜔t-90)
v(t)= Vmsin(𝜔t-90)=IM[Vm ej(𝜔t-90) ] or Vm∠-90o
Where Vm=Im/𝜔C
Current leads the voltage by 90°
Impedance= Vm∠-90o / Im∠0o
Z= -j/𝜔C= -j XC
Where XC =1/𝜔C
Quiz
How many cycles does a sine wave go through in
10 seconds when its frequency is 60 Hz?
Quiz
If the peak value of a certain sine wave voltage is 10 V, what is the peak-to-
peak value?
ⓘ Start presenting to display the poll results on this slide.
Sine wave A has a positive going zero
crossing at 30°. Sine wave B has a positive
going zero crossing at 45°. What is the phase
angle between two signals?
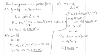
Phasor
Positive angles are measured
counterclockwise from 0°,
whereas negative angles are
measured clockwise from 0°
For positive angle 𝜽 , the
corresponding negative
angle is 𝜽-360°. the positive
angle 135° of vector A can be
represented by a negative
angle -225°, (135°-360°).
Phasor
The sine wave B lags behind
the sine wave A by 45°
The sine wave C leads the
sine wave A by 30°.
Draw the phasor diagram to represent the two
sine waves
Series RLC
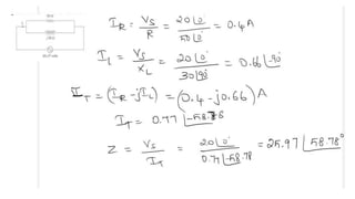
In the circuit, determine the total impedance, current I,
phase angle 𝜽, and the voltage across each element.
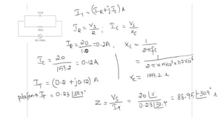
A signal generator supplies a sine wave of 20 V, 5
kHz to the circuit. Determine the total current
IT, the phase angle and total impedance in the
circuit.
Parallel RC
Parallel RL
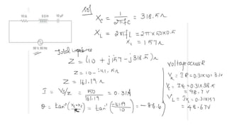
A 50 V resistor is connected in parallel with an
inductive reactance of 30 V with angle 90. A 20 V
signal is applied to the circuit. Find the total
impedance and line current in the circuit
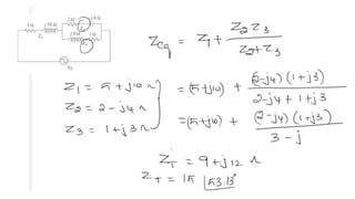
Problem
Determine the equivalent impedance for the
circuit
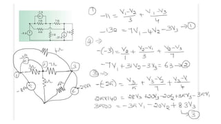
Nodal analysis- AC circuit
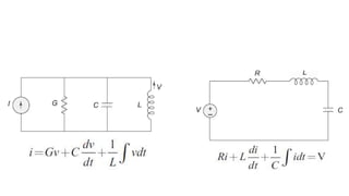
DUALITY
• In an electrical circuit itself there are pairs of
terms which can be interchanged to get new
circuits. Such pair of dual terms are given
below
Duality
To draw the dual of any network, the following steps are to
be followed.
1. In each loop of a network place a node; and place an
extra node, called the reference node, outside the
network.
2. Draw the lines connecting adjacent nodes passing
through each element, and also to the reference node, by
placing the dual of each element in the line passing through
original elements.
Problem
Draw the dual network for the given network
Draw the dual network for the given network
Solution

ECE18R201_Unit1.pptx

  • 1.
  • 2.
    Introduction • Charge –fundamental concept • Two types – positive - protons, negative –electrons • Unit – columb • Current - Charge in motion • Charge conservation - neither create nor destroy electrons (or protons) when running electric circuits • Static charge - A quantity of charge that does not change with time is typically represented by Q • Time variant charge - The instantaneous amount of charge is commonly represented by q(t) or q
  • 3.
    Current • “transfer ofcharge” or “charge in motion” • It is a measure of the rate at which charge is moving past a given reference point in a specified direction • i = dq / dt • Unit – Amphere • The motion of positive charge
  • 4.
    QUIZ 1 In thewire of Fig, electrons are moving left to right to create a current of 1 mA. Determine I1 and I2
  • 5.
    Voltage • Simple circuitelement • Ex - fuses, light bulbs, resistors, batteries, capacitors, generators, and spark coils • There are two paths by which current may enter or leave the element • An electrical voltage (or a potential difference) exists between the two terminals, or that there is a voltage “across” the element • Voltage = work done per charge • Unit – volts, • 1 volt = 1J/C
  • 6.
    (a, b) Theseare inadequate definitions of a voltage. (c) A correct definition includes both a symbol for the variable and a plus-minus symbol pair. (a, b) Terminal B is 5 V positive with respect to terminal A; (c, d) terminal A is 5 V positive with respect to terminal B.
  • 7.
    Quiz 2 For theelement in Fig, v1 = 17 V. Determine v2
  • 8.
    Power • If onejoule of energy is expended in transferring one coulomb of charge through the device in one second, then the rate of energy transfer is one watt • The absorbed power must be proportional both to the number of coulombs transferred per second (current) and to the energy needed to transfer one coulomb through the element (voltage) • P = VI or p = vi
  • 9.
    Contd... • The powerabsorbed by the element is given by the product p = vi. Alternatively, we can say that the element generates or supplies a power −vi. • If the current arrow is directed into the “+” marked terminal of an element, then p = vi yields the absorbed power. A negative value indicates that power is actually being generated by the element
  • 10.
    Contd... • If thecurrent arrow is directed out of the “+” terminal of an element, then p = vi yields the supplied power. A negative value in this case indicates that power is being absorbed. • Tutorial
  • 11.
  • 12.
    Determine the powerbeing absorbed by the circuit element in Fig. Quiz 3
  • 13.
    Determine the powergenerated or absorbed by the element in Fig. State whether the power is generated or absorbed. Quiz 4
  • 14.
    Determine the powerbeing generated by the circuit element in Fig. Quiz 5
  • 15.
    Determine the powerabsorbed or generated by the circuit element A in the circuit below. Contd...
  • 16.
    ● Based onterminal voltage-current characteristics, sources in a circuit – Ideal Voltage source Ideal Current Source ● Classified further as Independent Source Dependent Source Energy sources
  • 17.
    Independent voltage sources •An independent voltage source is characterized by a terminal voltage which is completely independent of the current through it • b- absorbs power, c – delivers power • (a) DC voltage source symbol; • (b) battery symbol; (c) ac voltage source symbol
  • 18.
    Voltage Source inParallel ideal voltage sources can be connected in parallel provided they are of the same voltage value.
  • 19.
    Quiz 6 What isnot allowed or is not best practice, is connecting together ideal voltage sources that have_____________________
  • 20.
  • 21.
    Independent current sources •an independent current source as having zero voltage across its terminals while providing a fixed current
  • 22.
    Current Source inParallel whose total current output is given as the algebraic addition of the individual source currents.
  • 23.
  • 24.
    Quiz 7 Calculate thetotal current
  • 25.
    Dependent sources • InIndependent sources the value of the source quantity is not affected in any way by activities in the remainder of the circuit • the dependent, or controlled, source, in which the source quantity is determined by a voltage or current existing at some other location in the system being analyzed
  • 26.
    Cont... • The fourdifferent types of dependent sources: (a) current-controlled current source; (b) voltage-controlled current source; (c) voltage-controlled voltage source; (d) current controlled voltage source
  • 27.
  • 28.
    Problem Calculate the powersupplied or absorbed by each element in the following figure
  • 29.
    Quiz 8 Compute thepower absorbed or supplied by each component of the circuit
  • 30.
    Ideal & Practicalvoltage source 1. Two terminal element in which the voltage is completely independent of current through its terminals 2. Practical voltage sources have internal resistance in series => voltage decreases as current increases
  • 31.
    Ideal & Practicalcurrent source Two terminal element in which current is independent of voltage across its terminals Practical current sources have internal resistance in parallel => current falls as voltage increases
  • 32.
    Resistor A (linear) resistoris an element for which • v=iR • where the constant R is a resistance. • The equation is known as “Ohm’s Law.” • The unit of resistance is ohm (Ω) • Since R is never negative, a resistor always absorbs power
  • 33.
    Resistors absorb power:since v=iR p=vi = v² /R = i²R Positive power means the device is absorbing energy. Power is always positive for a resistor!
  • 34.
    Ohm’s law I =V/R Current is directly proportional to the voltage and inversely proportional to the total resistance of the circuit
  • 35.
    Problem A 560 Ωresistor is connected to a circuit which causes a current of 42.4 mA to flow through it. Calculate the voltage across the resistor and the power it is dissipating. Sol. v = iR = (0.0424)(560) = 23.7 V p = i²R = (0.0424)2 (560) = 1.007 W
  • 36.
    Quiz An electric heaterdraws 8A from 250 V supply.What is its power rating also find resistance of heater element. https://www.menti.com/vus6ujtsee
  • 37.
    A dc powerlink is to be made between two islands seperated by a distance of 24 miles.The operating voltage is 500 kv and the system capacity is 500MW.Calculate maximum dc current flow and estimate resistivity of the cable. Sol... Dc power=600x 10^6 W, Operating voltage = 500 x 10^3V I=P/V= 600x 10^6 W/500 x 10^3V=1200 A Cable resistence= V/I=500 x 10^3V/1200= 417 Ω
  • 38.
    Conductance • Reciprocal ofresistance (1/R), which is called conductance (symbol G, unit siemens (S)) • A resistor R has conductance G=1/R • The i-v equation (i.e. Ohm’s law) can be written as i=Gv
  • 39.
    Inductance P = vi= Ldi/dt i W = ∫p dt = ∫ L i di/dt = L i 2 /2 Inductor store energy even if voltage across is zero Never dissipates energy. Only stores Voltage across inductor is zero, if current through it is constant Small change in current in zero time gives infinite voltage across the inductor
  • 40.
    Capacitance • Ability ofa body to store an electrical charge • Two conducting surfaces separated by an insulating medium • Conducting surfaces – Electrodes • Insulating medium – dielectric • Amount of charge per unit voltage - Capacitance
  • 41.
    Cont…. Unit of capacitance– Farad C= Q/V; C = q/v i = C dv/dt => dv = 1/C x i dt => ∫dv = 1/C ∫i dt => v(t) – v(0) = 1/C ∫i dt v(t) = v(0) + 1/C ∫i dt P = vi = v C dv/dt W = ∫p dt = ½ Cv2 • Current in a capacitor is zero if V is constant • Open circuit to dc • Small change in voltage within zero time gives infinite current • Even if current is zero, store finite amount of energy • Pure capacitor never dissipate energy
  • 42.
    Open circuit An opencircuit between A and B means i=0. • Voltage across an open circuit: any value. • An open circuit is equivalent to R = ∞ Ω. • The open circuit voltage is the voltage difference measured between two terminals when no current is drawn or supplied.
  • 43.
    Quiz What is currentvalue in open circuit?
  • 44.
    Short circuit A shortcircuit between A and B means v=0. • Current through a short circuit: any value. • A short circuit is equivalent to R = 0 Ω. The short circuit current is the current that flows when the terminals are forced to have zero voltage difference
  • 45.
    Quiz What is currentvalue in short circuit?
  • 46.
    Node • A pointat which two or more elements have a common connection is called a node. • If no node was encountered more than once, then the set of nodes and elements that we have passed through is defined as a path. • Mesh or Loop is a set of branches forming a closed path in a network. • A Branch as a single path in a network, composed of one simple element and the node at each end of that element.
  • 47.
    • (a) Acircuit containing three nodes and five branches. • (b) Node 1 is redrawn to look like two nodes; it is still one node. • If three is no element between two or more connected adjacent nodes, these nodes can be recombined as a single node
  • 49.
    Quiz A network whichconnects various points of the network with one another is ____
  • 50.
    RESISTORS IN SERIES •All the current, voltage, and power relationships in the remainder of the circuit will be unchanged
  • 52.
  • 53.
    Resistors in parallel •Determine i in the circuit of Figure
  • 54.
    • The specialcase of only two parallel resistors is encountered fairly often, and is given by
  • 55.
    Problems • Use resistanceand source combinations to determine the current I in Figure and the power delivered by the 80 V source
  • 56.
    • Determine vin the circuit of Figure by first combining the three current sources, and then the two 10 resistors.
  • 57.
    VOLTAGE DIVISION • Ifwe know the total voltage over a series of resistors, we can easily find the individual voltages over the individual resistors. • Since the resistors in series have the same current, the voltage divides up among the resistors in proportion to each individual
  • 58.
    Cont... To find thevoltage over an individual resistance in series, take the total series voltage and multiply by the individual resistance over the total resistance
  • 59.
    Problem on voltagedivision • Determine vx in the circuit of Figure We first combine the 6 and 3 resistors, replacing them with (6)(3)/(6 + 3) = 2Ω vx= (12 sin t)* 2 /4 + 2 = 4 sin t volts
  • 60.
  • 61.
  • 62.
    Problem • Write anexpression for the current through the 3 resistor in the circuit
  • 63.
    Kirchhoff's Law • TheI-V relationship for a device tells us how current and voltage are related within that device. • Kirchhoff’s laws tell us how voltages relate to other voltages in a circuit, and how currents relate to other currents in a circuit. • KVL: The sum of voltage drops around a closed path must equal zero. • KCL: The sum of currents leaving a closed surface or point must equal zero.
  • 64.
    KIRCHHOFF’S VOLTAGE LAW •The algebraic sum of the voltages around any closed path is zero
  • 65.
    Cont... Suppose I addup the potential drops around the closed path, from “a” to “b” to “c” and back to “a”. • Since I end where I began, the total drop in potential I encounter along the path must be zero: Vab + Vbc + Vca = 0
  • 66.
    problem • We knowthe voltage across two of the three elements in the circuit. Thus, KVL can be applied immediately to obtain vx -5-7+vx =0, vx= 12 V ix= vx/R = 12/100= 120mA
  • 67.
    Quiz Determine ix andvx in the circuit
  • 68.
    Problem Find the voltageacross R2 and the voltage labeled vx KVL equation around the loop on the left, starting at point c: 4 − 36 + vR2 = 0 vR2 = 32 V. -32 + 12 + 14 + vx = 0=> vx=6V
  • 69.
    KIRCHHOFF’S CURRENT LAW •The algebraic sum of the currents entering any node is zero. • A node is not a circuit element, and it certainly cannot store, destroy, or generate charge • equate the sum of the currents having reference arrows directed into the node to the sum of those directed out of the node
  • 70.
    Problem • Compute thecurrent through resistor R3 if it is known that the voltage source supplies a current of 3 A iR1-2-i+5=0=> i=3-2+5=6A
  • 71.
    Compute the powerabsorbed in each element for the circuit shown in Figure KVL around the loop: −120 + v30 + 2vA − vA = 0 By ohms law v30 = 30i and vA = −15i −120 + 30i − 30i + 15i = 0=> i=8A
  • 72.
    Cont... p120v = (120)(−8)= −960 W p30 = (8) ^2 (30) = 1920 W pdep = (2vA)(8) = 2[(−15)(8)](8) = −1920 W p15 = (8) ^2 *(15) = 960 W
  • 73.
    Quiz • In thecircuit of Figure, vs1 = 120 V, vs2 = 30 V, R1 = 30 , and R2 = 15 . Compute the power absorbed by each element.
  • 74.
  • 76.
  • 78.
    Mesh Analysis Mesh -closedloop Mesh-> KVL+ohm’s law Procedure to solve mesh 1. Find the no. of meshes 2. Assign the mesh currents in clockwise direction 3. Write mesh equations by Using KVL first and ohm’s law next 4. Solve the equations
  • 79.
  • 81.
  • 86.
    Supermesh • a kindof “supermesh” from two meshes that have a current source as a common element; the current source is in the interior of the supermesh • If the current source lies on the perimeter of the circuit, then the single mesh in which it is found is ignored. • Kirchhoff’s voltage law is thus applied only to
  • 89.
    NODAL ANALYSIS Node -Groupof branch connected at single point Node-> KCL+ohm’s law Procedure to solve mesh 1. Find the no. of nodes 2. Assign node voltage with reference to ground node. 3. Write nodal equations by Using KCL first and ohm’s law next 4. Solve the equations
  • 90.
    • Apply KCLto nodes 1 and 2 • v1 = 5 V and v2 = 2 V.
  • 91.
    Determine the currentflowing left to right through the 15 Ω resistor of Figure • Solving, we find that v1 = 20 V and v2 = 20 V so that v1 − v2 = 0. In other words, zero current is flowing through the 15 resistor in this circuit!
  • 93.
    Tutorial 2 • Forthe circuit of Figure, determine the nodal voltages v1, v2 and v3.
  • 96.
    • Determine thepower supplied by the dependent source of Figure
  • 98.
    Tutorial Determine the powersupplied by the dependent source of Fig
  • 100.
    • For thecircuit of Fig., compute the voltage across each current source
  • 101.
    • For thecircuit of Fig, determine the nodal voltage v1 if A is (a) 2i1; (b) 2v1.
  • 103.
    ⓘ Start presentingto display the poll results on this slide. For the circuit of Fig, determine the nodal voltage v1 if A is 2v
  • 105.
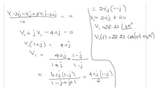
    THE SUPERNODE • Thevoltage source together as a sort of supernode and apply KCL to both nodes at the same time • if the total current leaving node 2 is zero and the total current leaving node 3 is zero, then the total current leaving the combination of the two nodes is zero. This concept is represented graphically
  • 106.
    Problem • Determine thevalue of the unknown node voltage v1 in the circuit of Fig.
  • 108.
    For the circuit,compute the voltage across each current source.
  • 110.
    ⓘ Start presentingto display the poll results on this slide. Determine the potential difference between nodes P and Q i.e. VPQ
  • 111.
    Summary of SupernodeAnalysis Procedure • Count the number of nodes (N) • Designate a reference node. • Label the nodal voltages (there are N − 1 of them). • If the circuit contains voltage sources, form a supernode about each one. • Write a KCL equation for each nonreference node and for each supernode that does not contain the reference node • Relate the voltage across each voltage source to nodal voltages Express any additional unknowns (i.e., currents or voltages other than nodal voltages) in terms of appropriate nodal voltages • Organize the equations • Solve the system of equations for the nodal voltages
  • 112.
    Determine the node-to-referencevoltages in the circuit of Fig
  • 122.
    Phase shift The timetaken for any wave to complete one full cycle is called the period The frequency of a wave is defined as the number of cycles that a wave completes in one second. The relation between time period and frequency is given by f=1/T
  • 123.
    ⓘ Start presentingto display the poll results on this slide. The period of a sine wave is 20 milliseconds. What is the frequency?
  • 124.
    The frequency ofa sine wave is 30 Hz. What is its period?
  • 125.
    A radian isdefined as the angular distance measured along the circumference of a circle which is equal to the radius of the circle.
  • 126.
    Phase of aSine Wave • The sine wave is shifted to the right by 90° (pi/2 rad) • The waveform B is lagging behind waveform A by 90°. In other words, the sine wave A is leading the waveform B by 90° • The sine wave A is lagging behind the waveform B by 90°. In both cases, the phase difference is 90°
  • 127.
    In general, thesine wave is represented by the equation v(t) =Vmsin 𝝎t When a sine wave is shifted to the left of the reference wave by a certain angle, the general expression can be written as v(t) =Vmsin (𝝎t+Φ) When a sine wave is shifted to the right of the reference wave by a certain angle v(t) =Vmsin (𝝎t-Φ)
  • 128.
    PHASE RELATION INA PURE RESISTOR When a sinusoidal voltage of certain magnitude is applied to a resistor, a certain amount of sine wave current passes through it. The voltage/current relation in case of a resistor is linear, i.e. v (t) = i(t)R Consider the function i(t)=Imsin𝜔t=IM[Im ej𝜔t ] or Im∠0o v(t)= ImR sin𝜔t=Vm sin𝜔t = IM[Vm ej𝜔t ] or Vm∠0o Where Vm = ImR Impedance is defined as the ratio of voltage to current function
  • 129.
    PHASE RELATION INA PURE INDUCTOR v(t)= Ldi/dt Consider the function i(t)=Imsin𝜔t=IM[Im ej𝜔t ] or Im∠0o v(t)= L d(Imsin𝜔t)/dt=L𝜔 Imcos𝜔t =Vmcos𝜔t or Vmsin(𝜔t+90) = IM[Vm ej(𝜔t+90) ] or Vm∠90o Vm= 𝜔 L Im =XL Im and ej90 =j=1 ∠90o Voltage and current are out of phase. The current lags behind the voltage by 90° in a pure inductor
  • 130.
    Impedance The impedance whichis the ratio of exponential voltage to the corresponding current, is given by Impedance= Vm∠90o / Im∠0o Z= j𝜔L= j XL Where XL = 𝜔L Vm= 𝜔 L Im
  • 131.
    PHASE RELATION INA PURE CAPACITOR v(t)=1/C∫ i(t) dt Consider the function i(t)=Imsin𝜔t=IM[Im ej𝜔t ] or Im∠0o v(t)=1/C ∫Imsin𝜔t dt = 1/𝜔C Im [-cos𝜔t]= Im/𝜔C sin(𝜔t-90) v(t)= Vmsin(𝜔t-90)=IM[Vm ej(𝜔t-90) ] or Vm∠-90o Where Vm=Im/𝜔C Current leads the voltage by 90° Impedance= Vm∠-90o / Im∠0o Z= -j/𝜔C= -j XC Where XC =1/𝜔C
  • 132.
    Quiz How many cyclesdoes a sine wave go through in 10 seconds when its frequency is 60 Hz?
  • 133.
    Quiz If the peakvalue of a certain sine wave voltage is 10 V, what is the peak-to- peak value?
  • 134.
    ⓘ Start presentingto display the poll results on this slide. Sine wave A has a positive going zero crossing at 30°. Sine wave B has a positive going zero crossing at 45°. What is the phase angle between two signals?
  • 135.
    Phasor Positive angles aremeasured counterclockwise from 0°, whereas negative angles are measured clockwise from 0° For positive angle 𝜽 , the corresponding negative angle is 𝜽-360°. the positive angle 135° of vector A can be represented by a negative angle -225°, (135°-360°).
  • 136.
    Phasor The sine waveB lags behind the sine wave A by 45° The sine wave C leads the sine wave A by 30°.
  • 137.
    Draw the phasordiagram to represent the two sine waves
  • 138.
    Series RLC In thecircuit, determine the total impedance, current I, phase angle 𝜽, and the voltage across each element.
  • 140.
    A signal generatorsupplies a sine wave of 20 V, 5 kHz to the circuit. Determine the total current IT, the phase angle and total impedance in the circuit. Parallel RC
  • 142.
    Parallel RL A 50V resistor is connected in parallel with an inductive reactance of 30 V with angle 90. A 20 V signal is applied to the circuit. Find the total impedance and line current in the circuit
  • 144.
    Problem Determine the equivalentimpedance for the circuit
  • 146.
  • 148.
    DUALITY • In anelectrical circuit itself there are pairs of terms which can be interchanged to get new circuits. Such pair of dual terms are given below
  • 150.
    Duality To draw thedual of any network, the following steps are to be followed. 1. In each loop of a network place a node; and place an extra node, called the reference node, outside the network. 2. Draw the lines connecting adjacent nodes passing through each element, and also to the reference node, by placing the dual of each element in the line passing through original elements.
  • 151.
    Problem Draw the dualnetwork for the given network
  • 153.
    Draw the dualnetwork for the given network
  • 154.