1
RAGHU INSTITUTE OF TECHNOLOGY
AUTONOMOUS
DEPARTMENT OF ELECTRONICS & COMMUNICATION
ENGINEERING
II BTECH II SEMESTER
ELECTRONIC CIRCUIT ANALYSIS
UNIT II
Prepared By:
Mrs. SUSHMI NAIDU,
Mr. M. PAVAN KUMAR,
Assistant Professors
SUSHMINAIDU, M.PAVAN ECA Dept of ECE RIT‖ ‖ ‖
2
Contents:
‱ Multistage Amplifier
‱ Multistage Amplifier Configuration
‱ Cascade Amplifier Connection
 Example
‱ Cascode Amplifier Connection
 Example
‱ Darlington Connection
 Example
‱ Bootstrap Bias Amplifier
‱ Two Stage FET Amplifier
‱ Differential Amplifier
SUSHMINAIDU, M.PAVAN ECA Dept of ECE RIT‖ ‖ ‖
3
 References
‱ “Integrated Electronics”, J. Milliman and C.C. Halkias, Tata
McGraw Hill, 1972
‱ “Electronic Circuit Analysis- B.V. Rao, K.R.Rjeswari,
P.C.R.Pantulu- Pearson publication
‱ “Electronic Devices and Circuits” – Salivahanan, Suresh Kumar,
A.Vallavaraj, TATA McGraw Hill
‱ www.nptel.ac.in
‱ www.nesoacademy.org
‱ www.tutorialspoint.com
SUSHMINAIDU, M.PAVAN ECA Dept of ECE RIT‖ ‖ ‖
MULTISTAGE AMPLIFIERS
Two or more amplifiers can be connected to increase the gain of an ac
signal. The overall gain can be calculated by simply multiplying each
gain together.
A’v = Av1Av2Av3 


4
Example
Find Vout
Av1 = 5 Av2 = 10 Av3 = 6 Avn = 8
Vin = 5 mV
5
Sol:- Av=Vout/Vin
Av=Av1*Av2*Av3............*Avn
6
‱ Many applications cannot be handled with single-
transistor amplifiers in order to meet the specification of
a given amplification factor, input resistance and output
resistance
‱ As a solution – transistor amplifier circuits can be
connected in series or cascaded amplifiers
‱ This can be done either to increase the overall small-
signal voltage gain or provide an overall voltage gain
greater than 1 with a very low output resistance
Multistage Amplifiers
7
Multistage Amplifier Configuration
R C1 R C2R B
Q 1
Q 2
v i
v o
Cascade /RC coupling
8
Cascode
Multistage Amplifier Configuration
R 1
R 2
R 3
R L
Q 2
Q 1
v i
v o
9
Multistage Amplifier Configuration
Darlington/Direct coupling
v i
v o
R 1 R 2
Q 1
Q 2
10
Multistage Amplifier Configuration
Transformer coupling
R 1
T
Q 1
Q 2
v i
v o
11
 The most widely used method
 Coupling a signal from one stage to the another
stage and block dc voltage from one stage to the
another stage
 The signal developed across the collector resistor
of each stage is coupled into the base of the next
stage
 The overall gain = product of the individual gain
 Cascade connection
12
R 1
R 2
R 3
R 4
R C 1
R E 1
R C 2
R E 2
VCC +20 V
15 k℩
15 k℩
4.7 k℩ 4.7 k℩
2.2 k℩2.2 k℩
1 k℩1 k℩
ÎČ 1 = ÎČ 2 = 200
ro 1 = ro 2 = ∞
R i
R o
Example 1
Draw the AC equivalent circuit and calculate Av, Ri and Ro.
13
DC analysis
The circuit under DC
condition (stage 1 and
stage 2 are identical)
Solution
14
Applying Thevenin’s theorem, the circuit becomes;
A/V153.0
k307.1
mA979.3
ÎŒA89.19
21
21
21
21
==
℩==
==
==
mm
CQCQ
BQBQ
gg
rr
II
II
ππ
15
R B1 r π 1 r π 2
gm 1v π 1 gm 2v π 2
R B2R C 1
+
v π 1
-
+
v π 2
-
R C 2
V i V oB1
E1
C1 B2
E2
C2
AC analysis
211 // RRRB = 432 // RRRB =
The small-signal equivalent circuit (mid-band);
16
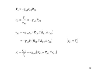
222 Cmo RvgV π−=
22
2
2 Cm
o
Rg
v
V
A −==
π
( )221112 //// πππ rRRvgv BCm−=
[ ]iVv =1π
( )2212
2
1 //// π
π
rRRg
V
v
A BCm
i
−==
( )2211 //// πrRRVg BCim−=
17
( )22122121 //// πrRRRggAAA BCCmm==
℩==== k579.37.4//15// 4321 RRRR BB
℩== 667307.1//579.3//2.2//// 221 πrRR BC
V/V343506672200153.0153.0 =×××=A
Substituting values;
The small-signal voltage gain;
18
℩=== k957.0307.1//579.3// 11 πrRR Bin
The input resistance;
The output resistance;
℩== k2.22Co RR
 A cascode connection has one transistor on top of (in
series with) another
 The i/p applied to a C-E amp. (Q1) whose output is used to
drive a C-B amp. (Q2)
 The o/p signal current of Q1 is the i/p signal of Q2
 The advantage: provides a high i/p impedance with low
voltage gain to ensure the i/p Miller capacitance is at a
min. with the C-B stage providing good high freq. operation
 Cascode connection
19
Cascode amplifier
20
Example 2
May be performed
using the following
figure;
DC analysis
Q 1
Q 2
R 1 R C
V CC
R 2
R 3 R E
21
CCB
BB
VI
I
IR
I
IRIR =ïŁ·ïŁ·
ïŁž
ïŁ¶
ïŁŹïŁŹ
ïŁ­
ïŁ«
−
+
−+ïŁ·ïŁ·
ïŁž
ïŁ¶
ïŁŹïŁŹ
ïŁ­
ïŁ«
+
−+ 1
2
11
13
2
11
1211
11 ÎČ
ÎČ
ÎČ
ÎČ
The equations are (assuming VBE = 0.7 V for both BJT’s);
( ) 111
2
11
13 17.0
1
BEB
B
IRI
I
IR ++=ïŁ·ïŁ·
ïŁž
ïŁ¶
ïŁŹïŁŹ
ïŁ­
ïŁ«
−
+
− ÎČ
ÎČ
ÎČ
The above equations may solved for the two unknown
currents namely I1 and IB1.
22
AC analysis
The equivalent circuit under AC condition
R BB
R L '
Q 1
Q 2
vs
vo
32 // RRRBB = LCL RRR //'=
23
The ac equivalent circuit using hybrid-π model for BJT
rπ 1 rπ 2
+
v π 1
-
+
vπ 2
-
g mvπ 2
g mv π 1
R BB
R L '
v s
v o
B1
E1
C1 E2
B2
C2
LCL RRR //'=
32 // RRRBB =
24
'22 Lmo Rvgv π−=
At node E2;
22
2
2
11 π
π
π
π vg
r
v
vg mm += Or; 22
121
2
1 π
ππ
π
rg
vrg
v
m
m
+
=
Substituting in (1);
sLmL
m
mm
o vRgvR
rg
rgg
v '
1
'
1 2
2
11
22
221
ïŁ·
ïŁ·
ïŁž
ïŁ¶
ïŁŹ
ïŁŹ
ïŁ­
ïŁ«
+
−=ïŁ·
ïŁ·
ïŁž
ïŁ¶
ïŁŹ
ïŁŹ
ïŁ­
ïŁ«
+
−=
ÎČ
ÎČ
π
π
π
25
When ÎČ2 >> 1
'
21
2
1 LRmg
sv
ov
vA ïŁ·
ïŁ·
ïŁž
ïŁ¶
ïŁŹ
ïŁŹ
ïŁ­
ïŁ«
+
−==
ÎČ
ÎČ
The small-signal voltage gain;
'1 LRmgvA −≅
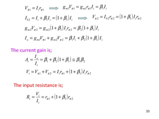
Darlington connection
Darlington pair
Internal connection;
‱ Collectors of Q1 and Q2;
‱ Emitter of Q1 and base
of Q2.
Q 1
Q 2
b1
b2e1
e2
c1
c2
B
C
E
I B
I C
Provides high current
gain : IC ≅ ÎČ2
IB
26
Currents in darlington pair
Q 1
Q 2
ÎČ 1Ι Β 1
Ι Β 1
Ι E 1 = (1+ÎČ 1)Ι Β 1 = Ι Β 2
Ι E 2 = (1+ÎČ 2)Ι Β 2 =(1+ÎČ 1)(1+ÎČ 2)Ι Β 1
Ι C 2 = ÎČ 2Ι Β 2 =ÎČ 2(1+ÎČ 1)Ι Β 1
Ι C 1 + ΙC 2 = [ÎČ 1 + ÎČ 2(1+ÎČ 1)]Ι Β 1
27
If ÎČ1 = ÎČ2 = ÎČ and assuming ÎČ is large;
Q 1
Q 2
ÎČ Î™ Β 1
Ι Β 1
Ι E 1 = (1+ÎČ )Ι Β 1 = Ι Β 2
Ι E 2 = (1+ÎČ )Ι Β 2 =(1+ÎČ )2
Ι Β 1
Ι C 2 = ÎČ Î™ Β 2 =ÎČ (1+ÎČ )Ι Β 1
Ι C 1 + ΙC 2 ≅ ÎČ 2
Ι Β 1
28
Q 1
Q 2
b1
b2e1
e2
c1
c2
B
C
E
Hybrid-π model (assuming ro1 = ro2 = ∞);
rπ 1
rπ 2
+
Vπ 1
-
+
Vπ 2
-
g m 2Vπ 2
g m 1Vπ 1
b1
b2
c2
e1
e2
c1
≡
29
Darlington pair
configuration
Darlington configuration provides;
‱ Increased current;
‱ High input resistance.
30
Small-signal equivalent circuit
31
Input voltage source
is transformed into
current source
11 ππ rIV i=
iimm IIrgVg 11111 ÎČππ ==
( ) 212 1 ππ ÎČ rIV i+=
( ) iiib IIII 112 1 ÎČÎČ +=+=
( ) ii
mmo
II
VgVgI
121
2211
1 ÎČÎČÎČ
ππ
++=
+=
( )
( ) i
im
m
I
rIg
Vg
12
212
22
1
1
ÎČÎČ
ÎČ Ï€
π
+=
+=
21 ππ VVVi +=
32
11 ππ rIV i= iimm IIrgVg 11111 ÎČππ ==
( ) iiib IIII 112 1 ÎČÎČ +=+= ( ) 21222 1 πππ ÎČ rIrIV ib +==
( ) ( ) iimm IrIgVg 1221222 11 ÎČÎČÎČ Ï€Ï€ +=+=
( ) iimmo IIVgVgI 1212211 1 ÎČÎČÎČππ ++=+=
( ) 21121 1 ÎČÎČÎČÎČÎČ â‰…++==
i
o
i
I
I
A
The current gain is;
33
( ) 21121 1 ππππ ÎČ rIrIVVV iii ++=+=
The input resistance is;
( ) 211 1 ππ ÎČ rr
I
V
R
i
i
i ++==
Example 3
Determine the;
(a) Q-point for Q1 and Q2;
(b) voltage gain vo/vs;
(c) input resistance Ris;
(d) output resistance Ro
10021 == ÎČÎČ
∞== 21 AA VV
V7.021 == BEBE VV
34
DC equivalent circuit
Using Thevenin’s theorem;
V72.2
21
2
=ïŁ·ïŁ·
ïŁž
ïŁ¶
ïŁŹïŁŹ
ïŁ­
ïŁ«
+
=
RR
R
VV CCBB
℩=
+
= k91
21
21
RR
RR
RBB
R 1
R 2
R C
R E 2
335 k℩
125 k℩
2.2 k℩
1 k℩
V CC +10 V
Q1
Q2
(a) Determination of Q-points
35
The circuit becomes;
( ) 112 1 BEB III +== ÎČ ( ) ( ) 1
2
22 11 BBE III +=+= ÎČÎČ
RC 2.2 k℩
R E 2 1 k℩
R BB
VBB
+10 VV CC
+2.72 V
91 k℩
Q1
Q2
IB 1
IB 2
IC 1
IC 2
IE 2
10021 == ÎČÎČ
∞== 21 AA VV
V7.021 == BEBE VV
36
( ) BBBEBEBBB VIRVIR =+++ 1
2
21 12 ÎČ
Substituting values;
ÎŒA8.121 =CI
mA3.12 =EI
ÎŒA93.1221 == BE II
mA293.12 =CI
( ) 72.21100k17.02k91 1
2
1 =++×+ BB II
ÎŒA128.010
10292
32.1 3
1 =×= −
BI
V3.113.12 =×=EV
( ) V127.70.01281.2932.21021 =+−== CC VV
V27.03.11 =+=EV
37
V127.52127.7111 =−=−= ECCE VVV
V827.53.1127.7222 =−=−= ECCE VVV
(a) The Q-points are;
V827.5mA;293.1:
V127.5ÎŒA;8.12:
222
111
==
==
CEQCQ
CEQCQ
VIQ
VIQ
38
The equivalent circuit under AC condition
R BB
R C
Q1
Q2
vs
R is
vo
R o
(b) The small-signal voltage gain (mid-band);
39
Using the hybrid-π model of transistor, the equivalent
circuit becomes;
40
℩=
×
== −
k25.203
10492.0
100
3
1
1
1
mg
r
ÎČ
π
℩=
×
== −
k2
1073.49
100
3
2
2
2
mg
r
ÎČ
π
mA/V492.0
mV26
A8.121
1 ===
”
T
CQ
m
V
I
g
mA/V73.49
mV26
mA293.12
2 ===
T
CQ
m
V
I
g
41
( ) Cmmo RVgVgv 2211 ππ +−=
121
1
2
211
1
1
2 ππ
π
π
ππ
π
π
π Vrg
r
r
rVg
r
V
V mm ïŁ·ïŁ·
ïŁž
ïŁ¶
ïŁŹïŁŹ
ïŁ­
ïŁ«
+=ïŁ·ïŁ·
ïŁž
ïŁ¶
ïŁŹïŁŹ
ïŁ­
ïŁ«
+=
( ) 1
1
2
12 1 π
π
π
π ÎČ V
r
r
V +=
( )
1
1
211 1
π
π
ÎČÎČÎČ
VR
r
v Co ïŁș
ïŁ»
ïŁč
ïŁŻ
ïŁ°
ïŁź ++
−=
Substituting for Vπ2 in the expression for vo and simplifying;
42
21 ππ VVvs += ( ) 1
1
2
12 1 π
π
π
π ÎČ V
r
r
V +=
Substituting for Vπ2;
( ) 1
1
2
11 1 π
π
π
π ÎČ V
r
r
Vvs ++=
( )
1
1
211 1
π
π
ÎČÎČÎČ
VR
r
v Co ïŁș
ïŁ»
ïŁč
ïŁŻ
ïŁ°
ïŁź ++
−=
( )
( ) 1
1
2
11
1
1
211
1
1
π
π
π
π
π
π
ÎČ
ÎČÎČÎČ
V
r
r
V
VR
r
v
v
A
C
s
o
v
++
ïŁș
ïŁ»
ïŁč
ïŁŻ
ïŁ°
ïŁź ++
−
==
43
[ ]
( )2100225.203
2.2100100100 2
×++
++
−=vA V/V4.55−=vA
Substituting values;
44
Simplifying;
( )[ ]
( ) 211
211
1
1
ππ ÎČ
ÎČÎČÎČ
rr
R
v
v
A C
s
o
v
++
++
−==
R BB R C
rπ 1
rπ 2
g m 1v π 1
g m 2vπ 2
+
vπ 1
−
+
v π 2
−
+
vs
-
vo
R is R oi i
i oi b
R ib
b
s
ib
i
v
R =ibBBis RRR //=
45
21 ππ VVvs +=
11 ππ riV b=
( ) ( )
( ) b
bmbmb
ir
rirgirVgiV
21
2112112
1 π
πππππ
ÎČ+=
+=+=
( ) bbs irirv 211 1 ππ ÎČ++=
( ) 211 1 ππ ÎČ rr
i
v
R
b
s
ib ++==
Substituting values; ( ) ℩=++= k40521001203ibR
46
40591
40591
//
+
×
== ibBBis RRR
℩= k6.73isR
℩== k2.2Co RR
47
Bootstrap Bias circuit
This circuit is a variation of the "voltage divider bias", with the addition of the
"bootstrapping components" R3 and C. The author explains that R3 and C are
used in order to achieve higher input resistance
48
‱With the addition of bootstrapping components (R3 and C) and assuming
that C is of negligible reactance at signal frequencies, the AC value of the
emitter resistance is given by:
R E=RE||R1||R2â€Č
‱In practice this represents a small reduction in RE.
‱Now, the voltage gain of an emitter follower with emitter resistance R
E is A=R E/(re+R E), which is very close to unity. Hence, with an inputâ€Č â€Č â€Č
signal vin applied to the base, the signal with appears at the emitter (Avin) is
applied to the lower end of R3.
‱Therefore, the signal voltage appearing across R3 is (1−A)vin, very much less
than the full input signal, and R3 now appears to have an effective value (for
AC signals) of:
R 3=R3/(1−A) R3â€Č ≫
49
Characteristics of different combination of configuration of
transistor to form a multistage amplifier
50
‱ The analogy we observed between single stage BJT and FET amplifiers
applies, to two stage amplifiers.
The correspondence is, as before, E➡S, B ➡ G, C ➡ D.
‱ The behaviour of BJT and FET configurations is very similar, except for the
difference on the input side of the small signal equivalent circuit.
‱ A very useful possibility opens up: Use a FET for one stage and a BJT for
the other. Mixed bipolar-FET two-stage combinations try to exploit the
smaller input admittance of FETs and the better frequency response and
power handling capability of bipolars at the same time.
‱ This approach gives rise to the “BiCMOS” manufacturing technologies
which use FETs for input stages and BJTs for output stages, especially line
drivers.
Two stage FET amplifiers
51
FET COMMENTS
NAME 1ST
Stg 2nd
Stg
Voltage Amp. CS CS High voltage gain
Cascode CS CG High bandwidth
Op-Amp CS CD High Zin low Zout
Current Buffer CG CS Higher Zout than CB/CG
Current Buffer CG CG Second stage to improve on CB/CG
Not common CG CD Not Commo
Not common CD CS Instead of Ce offers higher Zin
Differential Amp CD CG High voltage gain and bandwidth
Darlington CD CD High Current Gain
52
Differential amplifier
‱ Half circuit (i.e. driven from one side) is CC followed by CB
‱ Very wide frequency response
‱ Extremely high voltage gain
53
Gate Questions
1. A cascade connection of two voltage amplifiers A1 and A2 is shown in the
figure. The open loop gain Avo
, input resistance Rin
, and output resistance
Ro
for A1 and A2 are as follows:
A1 : Avo
= 10, Rin
= 10 K℩, Ro
= 1 K℩
A2 : Avo
= 5, Rin
= 5 K℩, Ro
= 200 ℩
The approximate overall voltage gain Vout
/ Vin
is 




.
Answer: 35 (2014)
2. In the silicon BJT circuit shown below, assume that the emitter area of
transistor Q1
is half that of transistor Q2
. The value of current Io
is
approximately
a. 0.5 mA
b. 2 mA
c. 9.3 mA
d. 15 mA
Answer: b (2010)
54
3. The cascode amplifier is a multistage configuration of
1.CC – CB
2.CE – CB
3.CB – CC
4.CE – CC
Answer: 2 (2005)
4.Three identical amplifiers with each one having a voltage gain of 50, input
resistance of 1 K℩ and output resistance of 250 ℩ are cascaded. The open
circuit voltage gain of the combined amplifier is
a. 49 dB
b. 51 dB
c. 98 dB
d. 102 dB
Answer: c (2003)

Eca unit 2

  • 1.
    1 RAGHU INSTITUTE OFTECHNOLOGY AUTONOMOUS DEPARTMENT OF ELECTRONICS & COMMUNICATION ENGINEERING II BTECH II SEMESTER ELECTRONIC CIRCUIT ANALYSIS UNIT II Prepared By: Mrs. SUSHMI NAIDU, Mr. M. PAVAN KUMAR, Assistant Professors SUSHMINAIDU, M.PAVAN ECA Dept of ECE RIT‖ ‖ ‖
  • 2.
    2 Contents: ‱ Multistage Amplifier ‱Multistage Amplifier Configuration ‱ Cascade Amplifier Connection  Example ‱ Cascode Amplifier Connection  Example ‱ Darlington Connection  Example ‱ Bootstrap Bias Amplifier ‱ Two Stage FET Amplifier ‱ Differential Amplifier SUSHMINAIDU, M.PAVAN ECA Dept of ECE RIT‖ ‖ ‖
  • 3.
    3  References ‱ “IntegratedElectronics”, J. Milliman and C.C. Halkias, Tata McGraw Hill, 1972 ‱ “Electronic Circuit Analysis- B.V. Rao, K.R.Rjeswari, P.C.R.Pantulu- Pearson publication ‱ “Electronic Devices and Circuits” – Salivahanan, Suresh Kumar, A.Vallavaraj, TATA McGraw Hill ‱ www.nptel.ac.in ‱ www.nesoacademy.org ‱ www.tutorialspoint.com SUSHMINAIDU, M.PAVAN ECA Dept of ECE RIT‖ ‖ ‖
  • 4.
    MULTISTAGE AMPLIFIERS Two ormore amplifiers can be connected to increase the gain of an ac signal. The overall gain can be calculated by simply multiplying each gain together. A’v = Av1Av2Av3 

 4
  • 5.
    Example Find Vout Av1 =5 Av2 = 10 Av3 = 6 Avn = 8 Vin = 5 mV 5 Sol:- Av=Vout/Vin Av=Av1*Av2*Av3............*Avn
  • 6.
  • 7.
    ‱ Many applicationscannot be handled with single- transistor amplifiers in order to meet the specification of a given amplification factor, input resistance and output resistance ‱ As a solution – transistor amplifier circuits can be connected in series or cascaded amplifiers ‱ This can be done either to increase the overall small- signal voltage gain or provide an overall voltage gain greater than 1 with a very low output resistance Multistage Amplifiers 7
  • 8.
    Multistage Amplifier Configuration RC1 R C2R B Q 1 Q 2 v i v o Cascade /RC coupling 8
  • 9.
  • 10.
  • 11.
  • 12.
     The mostwidely used method  Coupling a signal from one stage to the another stage and block dc voltage from one stage to the another stage  The signal developed across the collector resistor of each stage is coupled into the base of the next stage  The overall gain = product of the individual gain  Cascade connection 12
  • 13.
    R 1 R 2 R3 R 4 R C 1 R E 1 R C 2 R E 2 VCC +20 V 15 k℩ 15 k℩ 4.7 k℩ 4.7 k℩ 2.2 k℩2.2 k℩ 1 k℩1 k℩ ÎČ 1 = ÎČ 2 = 200 ro 1 = ro 2 = ∞ R i R o Example 1 Draw the AC equivalent circuit and calculate Av, Ri and Ro. 13
  • 14.
    DC analysis The circuitunder DC condition (stage 1 and stage 2 are identical) Solution 14
  • 15.
    Applying Thevenin’s theorem,the circuit becomes; A/V153.0 k307.1 mA979.3 ÎŒA89.19 21 21 21 21 == ℩== == == mm CQCQ BQBQ gg rr II II ππ 15
  • 16.
    R B1 rπ 1 r π 2 gm 1v π 1 gm 2v π 2 R B2R C 1 + v π 1 - + v π 2 - R C 2 V i V oB1 E1 C1 B2 E2 C2 AC analysis 211 // RRRB = 432 // RRRB = The small-signal equivalent circuit (mid-band); 16
  • 17.
    222 Cmo RvgVπ−= 22 2 2 Cm o Rg v V A −== π ( )221112 //// πππ rRRvgv BCm−= [ ]iVv =1π ( )2212 2 1 //// π π rRRg V v A BCm i −== ( )2211 //// πrRRVg BCim−= 17
  • 18.
    ( )22122121 ////πrRRRggAAA BCCmm== ℩==== k579.37.4//15// 4321 RRRR BB ℩== 667307.1//579.3//2.2//// 221 πrRR BC V/V343506672200153.0153.0 =×××=A Substituting values; The small-signal voltage gain; 18 ℩=== k957.0307.1//579.3// 11 πrRR Bin The input resistance; The output resistance; ℩== k2.22Co RR
  • 19.
     A cascodeconnection has one transistor on top of (in series with) another  The i/p applied to a C-E amp. (Q1) whose output is used to drive a C-B amp. (Q2)  The o/p signal current of Q1 is the i/p signal of Q2  The advantage: provides a high i/p impedance with low voltage gain to ensure the i/p Miller capacitance is at a min. with the C-B stage providing good high freq. operation  Cascode connection 19
  • 20.
  • 21.
    May be performed usingthe following figure; DC analysis Q 1 Q 2 R 1 R C V CC R 2 R 3 R E 21
  • 22.
    CCB BB VI I IR I IRIR =ïŁ·ïŁ· ïŁž ïŁ¶ ïŁŹïŁŹ ïŁ­ ïŁ« − + −+ïŁ·ïŁ· ïŁž ïŁ¶ ïŁŹïŁŹ ïŁ­ ïŁ« + −+ 1 2 11 13 2 11 1211 11ÎČ ÎČ ÎČ ÎČ The equations are (assuming VBE = 0.7 V for both BJT’s); ( ) 111 2 11 13 17.0 1 BEB B IRI I IR ++=ïŁ·ïŁ· ïŁž ïŁ¶ ïŁŹïŁŹ ïŁ­ ïŁ« − + − ÎČ ÎČ ÎČ The above equations may solved for the two unknown currents namely I1 and IB1. 22
  • 23.
    AC analysis The equivalentcircuit under AC condition R BB R L ' Q 1 Q 2 vs vo 32 // RRRBB = LCL RRR //'= 23
  • 24.
    The ac equivalentcircuit using hybrid-π model for BJT rπ 1 rπ 2 + v π 1 - + vπ 2 - g mvπ 2 g mv π 1 R BB R L ' v s v o B1 E1 C1 E2 B2 C2 LCL RRR //'= 32 // RRRBB = 24
  • 25.
    '22 Lmo Rvgvπ−= At node E2; 22 2 2 11 π π π π vg r v vg mm += Or; 22 121 2 1 π ππ π rg vrg v m m + = Substituting in (1); sLmL m mm o vRgvR rg rgg v ' 1 ' 1 2 2 11 22 221 ïŁ· ïŁ· ïŁž ïŁ¶ ïŁŹ ïŁŹ ïŁ­ ïŁ« + −=ïŁ· ïŁ· ïŁž ïŁ¶ ïŁŹ ïŁŹ ïŁ­ ïŁ« + −= ÎČ ÎČ Ï€ π π 25 When ÎČ2 >> 1 ' 21 2 1 LRmg sv ov vA ïŁ· ïŁ· ïŁž ïŁ¶ ïŁŹ ïŁŹ ïŁ­ ïŁ« + −== ÎČ ÎČ The small-signal voltage gain; '1 LRmgvA −≅
  • 26.
    Darlington connection Darlington pair Internalconnection; ‱ Collectors of Q1 and Q2; ‱ Emitter of Q1 and base of Q2. Q 1 Q 2 b1 b2e1 e2 c1 c2 B C E I B I C Provides high current gain : IC ≅ ÎČ2 IB 26
  • 27.
    Currents in darlingtonpair Q 1 Q 2 ÎČ 1Ι Β 1 Ι Β 1 Ι E 1 = (1+ÎČ 1)Ι Β 1 = Ι Β 2 Ι E 2 = (1+ÎČ 2)Ι Β 2 =(1+ÎČ 1)(1+ÎČ 2)Ι Β 1 Ι C 2 = ÎČ 2Ι Β 2 =ÎČ 2(1+ÎČ 1)Ι Β 1 Ι C 1 + ΙC 2 = [ÎČ 1 + ÎČ 2(1+ÎČ 1)]Ι Β 1 27
  • 28.
    If ÎČ1 =ÎČ2 = ÎČ and assuming ÎČ is large; Q 1 Q 2 ÎČ Î™ Β 1 Ι Β 1 Ι E 1 = (1+ÎČ )Ι Β 1 = Ι Β 2 Ι E 2 = (1+ÎČ )Ι Β 2 =(1+ÎČ )2 Ι Β 1 Ι C 2 = ÎČ Î™ Β 2 =ÎČ (1+ÎČ )Ι Β 1 Ι C 1 + ΙC 2 ≅ ÎČ 2 Ι Β 1 28
  • 29.
    Q 1 Q 2 b1 b2e1 e2 c1 c2 B C E Hybrid-πmodel (assuming ro1 = ro2 = ∞); rπ 1 rπ 2 + Vπ 1 - + Vπ 2 - g m 2Vπ 2 g m 1Vπ 1 b1 b2 c2 e1 e2 c1 ≡ 29
  • 30.
    Darlington pair configuration Darlington configurationprovides; ‱ Increased current; ‱ High input resistance. 30
  • 31.
  • 32.
    Input voltage source istransformed into current source 11 ππ rIV i= iimm IIrgVg 11111 ÎČππ == ( ) 212 1 ππ ÎČ rIV i+= ( ) iiib IIII 112 1 ÎČÎČ +=+= ( ) ii mmo II VgVgI 121 2211 1 ÎČÎČÎČ Ï€Ï€ ++= += ( ) ( ) i im m I rIg Vg 12 212 22 1 1 ÎČÎČ ÎČ Ï€ π += += 21 ππ VVVi += 32
  • 33.
    11 ππ rIVi= iimm IIrgVg 11111 ÎČππ == ( ) iiib IIII 112 1 ÎČÎČ +=+= ( ) 21222 1 πππ ÎČ rIrIV ib +== ( ) ( ) iimm IrIgVg 1221222 11 ÎČÎČÎČ Ï€Ï€ +=+= ( ) iimmo IIVgVgI 1212211 1 ÎČÎČÎČππ ++=+= ( ) 21121 1 ÎČÎČÎČÎČÎČ â‰…++== i o i I I A The current gain is; 33 ( ) 21121 1 ππππ ÎČ rIrIVVV iii ++=+= The input resistance is; ( ) 211 1 ππ ÎČ rr I V R i i i ++==
  • 34.
    Example 3 Determine the; (a)Q-point for Q1 and Q2; (b) voltage gain vo/vs; (c) input resistance Ris; (d) output resistance Ro 10021 == ÎČÎČ âˆž== 21 AA VV V7.021 == BEBE VV 34
  • 35.
    DC equivalent circuit UsingThevenin’s theorem; V72.2 21 2 =ïŁ·ïŁ· ïŁž ïŁ¶ ïŁŹïŁŹ ïŁ­ ïŁ« + = RR R VV CCBB ℩= + = k91 21 21 RR RR RBB R 1 R 2 R C R E 2 335 k℩ 125 k℩ 2.2 k℩ 1 k℩ V CC +10 V Q1 Q2 (a) Determination of Q-points 35
  • 36.
    The circuit becomes; () 112 1 BEB III +== ÎČ ( ) ( ) 1 2 22 11 BBE III +=+= ÎČÎČ RC 2.2 k℩ R E 2 1 k℩ R BB VBB +10 VV CC +2.72 V 91 k℩ Q1 Q2 IB 1 IB 2 IC 1 IC 2 IE 2 10021 == ÎČÎČ âˆž== 21 AA VV V7.021 == BEBE VV 36
  • 37.
    ( ) BBBEBEBBBVIRVIR =+++ 1 2 21 12 ÎČ Substituting values; ÎŒA8.121 =CI mA3.12 =EI ÎŒA93.1221 == BE II mA293.12 =CI ( ) 72.21100k17.02k91 1 2 1 =++×+ BB II ÎŒA128.010 10292 32.1 3 1 =×= − BI V3.113.12 =×=EV ( ) V127.70.01281.2932.21021 =+−== CC VV V27.03.11 =+=EV 37
  • 38.
    V127.52127.7111 =−=−= ECCEVVV V827.53.1127.7222 =−=−= ECCE VVV (a) The Q-points are; V827.5mA;293.1: V127.5ÎŒA;8.12: 222 111 == == CEQCQ CEQCQ VIQ VIQ 38
  • 39.
    The equivalent circuitunder AC condition R BB R C Q1 Q2 vs R is vo R o (b) The small-signal voltage gain (mid-band); 39
  • 40.
    Using the hybrid-πmodel of transistor, the equivalent circuit becomes; 40
  • 41.
  • 42.
    ( ) CmmoRVgVgv 2211 ππ +−= 121 1 2 211 1 1 2 ππ π π ππ π π π Vrg r r rVg r V V mm ïŁ·ïŁ· ïŁž ïŁ¶ ïŁŹïŁŹ ïŁ­ ïŁ« +=ïŁ·ïŁ· ïŁž ïŁ¶ ïŁŹïŁŹ ïŁ­ ïŁ« += ( ) 1 1 2 12 1 π π π π ÎČ V r r V += ( ) 1 1 211 1 π π ÎČÎČÎČ VR r v Co ïŁș ïŁ» ïŁč ïŁŻ ïŁ° ïŁź ++ −= Substituting for Vπ2 in the expression for vo and simplifying; 42
  • 43.
    21 ππ VVvs+= ( ) 1 1 2 12 1 π π π π ÎČ V r r V += Substituting for Vπ2; ( ) 1 1 2 11 1 π π π π ÎČ V r r Vvs ++= ( ) 1 1 211 1 π π ÎČÎČÎČ VR r v Co ïŁș ïŁ» ïŁč ïŁŻ ïŁ° ïŁź ++ −= ( ) ( ) 1 1 2 11 1 1 211 1 1 π π π π π π ÎČ ÎČÎČÎČ V r r V VR r v v A C s o v ++ ïŁș ïŁ» ïŁč ïŁŻ ïŁ° ïŁź ++ − == 43
  • 44.
    [ ] ( )2100225.203 2.21001001002 ×++ ++ −=vA V/V4.55−=vA Substituting values; 44 Simplifying; ( )[ ] ( ) 211 211 1 1 ππ ÎČ ÎČÎČÎČ rr R v v A C s o v ++ ++ −==
  • 45.
    R BB RC rπ 1 rπ 2 g m 1v π 1 g m 2vπ 2 + vπ 1 − + v π 2 − + vs - vo R is R oi i i oi b R ib b s ib i v R =ibBBis RRR //= 45
  • 46.
    21 ππ VVvs+= 11 ππ riV b= ( ) ( ) ( ) b bmbmb ir rirgirVgiV 21 2112112 1 π πππππ ÎČ+= +=+= ( ) bbs irirv 211 1 ππ ÎČ++= ( ) 211 1 ππ ÎČ rr i v R b s ib ++== Substituting values; ( ) ℩=++= k40521001203ibR 46 40591 40591 // + × == ibBBis RRR ℩= k6.73isR ℩== k2.2Co RR
  • 47.
    47 Bootstrap Bias circuit Thiscircuit is a variation of the "voltage divider bias", with the addition of the "bootstrapping components" R3 and C. The author explains that R3 and C are used in order to achieve higher input resistance
  • 48.
    48 ‱With the additionof bootstrapping components (R3 and C) and assuming that C is of negligible reactance at signal frequencies, the AC value of the emitter resistance is given by: R E=RE||R1||R2â€Č ‱In practice this represents a small reduction in RE. ‱Now, the voltage gain of an emitter follower with emitter resistance R E is A=R E/(re+R E), which is very close to unity. Hence, with an inputâ€Č â€Č â€Č signal vin applied to the base, the signal with appears at the emitter (Avin) is applied to the lower end of R3. ‱Therefore, the signal voltage appearing across R3 is (1−A)vin, very much less than the full input signal, and R3 now appears to have an effective value (for AC signals) of: R 3=R3/(1−A) R3â€Č ≫
  • 49.
    49 Characteristics of differentcombination of configuration of transistor to form a multistage amplifier
  • 50.
    50 ‱ The analogywe observed between single stage BJT and FET amplifiers applies, to two stage amplifiers. The correspondence is, as before, E➡S, B ➡ G, C ➡ D. ‱ The behaviour of BJT and FET configurations is very similar, except for the difference on the input side of the small signal equivalent circuit. ‱ A very useful possibility opens up: Use a FET for one stage and a BJT for the other. Mixed bipolar-FET two-stage combinations try to exploit the smaller input admittance of FETs and the better frequency response and power handling capability of bipolars at the same time. ‱ This approach gives rise to the “BiCMOS” manufacturing technologies which use FETs for input stages and BJTs for output stages, especially line drivers. Two stage FET amplifiers
  • 51.
    51 FET COMMENTS NAME 1ST Stg2nd Stg Voltage Amp. CS CS High voltage gain Cascode CS CG High bandwidth Op-Amp CS CD High Zin low Zout Current Buffer CG CS Higher Zout than CB/CG Current Buffer CG CG Second stage to improve on CB/CG Not common CG CD Not Commo Not common CD CS Instead of Ce offers higher Zin Differential Amp CD CG High voltage gain and bandwidth Darlington CD CD High Current Gain
  • 52.
    52 Differential amplifier ‱ Halfcircuit (i.e. driven from one side) is CC followed by CB ‱ Very wide frequency response ‱ Extremely high voltage gain
  • 53.
    53 Gate Questions 1. Acascade connection of two voltage amplifiers A1 and A2 is shown in the figure. The open loop gain Avo , input resistance Rin , and output resistance Ro for A1 and A2 are as follows: A1 : Avo = 10, Rin = 10 K℩, Ro = 1 K℩ A2 : Avo = 5, Rin = 5 K℩, Ro = 200 ℩ The approximate overall voltage gain Vout / Vin is 




. Answer: 35 (2014) 2. In the silicon BJT circuit shown below, assume that the emitter area of transistor Q1 is half that of transistor Q2 . The value of current Io is approximately a. 0.5 mA b. 2 mA c. 9.3 mA d. 15 mA Answer: b (2010)
  • 54.
    54 3. The cascodeamplifier is a multistage configuration of 1.CC – CB 2.CE – CB 3.CB – CC 4.CE – CC Answer: 2 (2005) 4.Three identical amplifiers with each one having a voltage gain of 50, input resistance of 1 K℩ and output resistance of 250 ℩ are cascaded. The open circuit voltage gain of the combined amplifier is a. 49 dB b. 51 dB c. 98 dB d. 102 dB Answer: c (2003)