Embed presentation
Download as PDF, PPTX


































































































































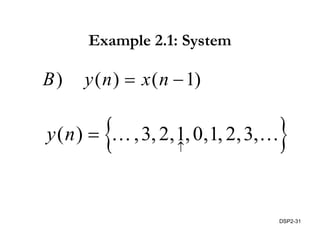
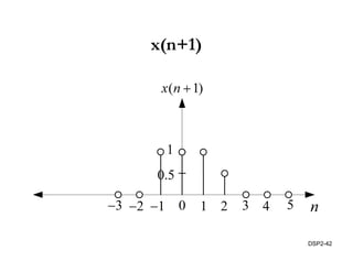
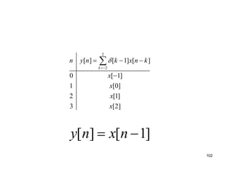
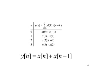
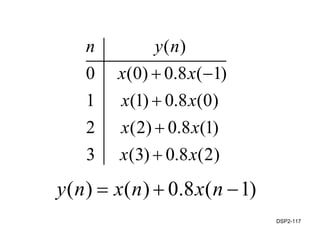
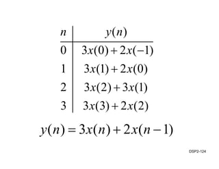
This document discusses discrete-time signals and systems. It defines discrete-time signals as continuous-amplitude signals that are represented by a discrete sequence of values obtained through sampling a continuous-time signal. Linear time-invariant systems are introduced as systems where the output is the input convolved with the system's impulse response. Examples of discrete-time signals and systems are provided to illustrate concepts such as shifting signals by adding or subtracting from the time index n.
































































































































