CHAPTER 1
INTRODUCTION
ORTHOGONAL frequency division multiplexing (OFDM) has been attracting
substantial attention due to its excellent performance under severe channel condition .
The rapidly growing application of OFDM includes WiMAX, DVB/DAB and 4G
wireless systems.
OVERVIEW
Initial proposals for OFDM were made in the 60s and the 70s. It has taken
more than a quarter of a century for this technology to move from the research
domain to the industry. The concept of OFDM is quite simple but the practicality of
implementing it has many complexities. So, it is a fully software project.OFDM
depends on Orthogonality principle. Orthogonality means, it allows the sub carriers,
which are orthogonal to each other, meaning that cross talk between co-channels is
eliminated and inter-carrier guard bands are not required. This greatly simplifies the
design of both the transmitter and receiver, unlike conventional FDM; a separate filter
for each sub channel is not required.
Orthogonal Frequency Division Multiplexing (OFDM) is a digital multi
carrier modulation scheme, which uses a large number of closely spaced orthogonal
sub-carriers.
A single stream of data is split into parallel streams each of which is coded and
modulated on to a subcarrier, a term commonly used in OFDM systems.Each sub-
carrier is modulated with a conventional modulation scheme (such as quadrature
amplitude modulation) at a low symbol rate, maintaining data rates similar to
conventional single carrier modulation schemes in the same bandwidth. Thus the high
bit rates seen before on a single carrier is reduced to lower bit rates on the subcarrier.
In practice, OFDM signals are generated and detected using the Fast Fourier
Transform algorithm. OFDM has developed into a popular scheme for wideband
digital communication, wireless as well as copper wires.Actually; FDM systems have
been common for many decades. However, in FDM, the carriers are all independent
of each other. There is a guard period in between them and no overlap whatsoever.
This works well because in FDM system each carrier carries data meant for a different
user or application. FM radio is an FDM system. FDM systems are not ideal for what
we want for wideband systems. Using FDM would waste too much bandwidth. This is
where OFDM makes sense. In OFDM, subcarriers overlap. They are orthogonal
because the peak of one subcarrier occurs when other subcarriers are at zero. This is
achieved by realizing all the subcarriers together using Inverse Fast Fourier
Transform (IFFT). The demodulator at the receiver parallel channels from an FFT
block. Note that each subcarrier can still be modulated independently.
CHAPTER 2
LITERATURE SURVEY
Background:
Most first generations systems were introduced in the mid 1980’s, and can be
Characterized by the use of analog transmission techniques and the use of simple
multiple access techniques such as Frequency Division Multiple Access (FDMA).
First generation telecommunications systems such as Advanced Mobile Phone
Service (AMPS) only provided voice communications. They also suffered from a low
user capacity, and security problems due to the simple radio interface used. Second
generation systems were introduced in the early 1990’s, and all use digital technology.
This provided an increase in the user capacity of around three times. This was
achieved by compressing the voice waveforms before transmission.
Third generation systems are an extension on the complexity of second-
generation systems and are expected to be introduced after the year 2000. The system
capacity is expected to be increased to over ten times original first generation systems.
This is going to be achieved by using complex multiple access techniques such as
Code Division Multiple Access (CDMA), or an extension of TDMA, and by
improving flexibility of services available.
The telecommunications industry faces the problem of providing telephone
services to rural areas, where the customer base is small, but the cost of installing a
wired phone network is very high. One method of reducing the high infrastructure
cost of a wired system is to use a fixed wireless radio network. The problem with this
is that for rural and urban areas, large cell sizes are required to get sufficient coverage.
Currently Global System for Mobile telecommunications (GSM) technology is
being applied to fixed wireless phone systems in rural areas. However, GSM uses
time division multiple access (TDMA), which has a high symbol rate leading to
problems with multipath causing inter-symbol interference. Several techniques are
under consideration for the next generation of digital phone systems, with the aim of
improving cell capacity, multipath immunity, and flexibility. These include CDMA
and OFDM. Both these techniques could be applied to providing a fixed wireless
system for rural areas. However, each technique as different properties, making it
more suited for specific applications.
Figure 2.1 Evolution of current networks to the next generation of wireless
networks.
Figure 2.1 shows the evolution of current services and networks to the aim of
combining them into a unified third generation network. Many currently separate
systems and services such as radio paging, cordless telephony, satellite phones and
private radio systems for companies etc,. will be combined so that all these services
will be provided by third generation telecommunications systems.
OFDM is currently being used in several new radio broadcast systems
including the proposal for high definition digital television (HDTV) and digital audio
broadcasting (DAB). However, little research has been done into the use of OFDM as
a transmission method for mobile telecommunications systems. In CDMA, all users
transmit in the same broad frequency band using specialized codes as a basis of
channelization.
Both the base station and the mobile station know these codes, which are used
to modulate the data sent. OFDM/COFDM allows many users to transmit in an
allocated band, by subdividing the available bandwidth into many narrow bandwidth
carriers. Each user is allocated several carriers in which to transmit their data. The
transmission is generated in such a way that the carriers used are orthogonal to one
another, thus allowing them to be packed together much closer than standard
frequency division multiplexing (FDM). This leads to OFDM/COFDM providing a
high spectral efficiency.
Orthogonal Frequency Division Multiplexing is a scheme used in the area of
high-data-rate mobile wireless communications such as cellular phones, satellite
communications and digital audio broadcasting. This technique is mainly utilized to
combat inter-symbol interference.
Multiple Access Techniques:
Multiple access schemes are used to allow many simultaneous users to use the
same fixed bandwidth radio spectrum. In any radio system, the bandwidth, which is
allocated to it, is always limited. For mobile phone systems the total bandwidth is
typically 50 MHz, which is split in half to provide the forward and reverse links of the
system.
Sharing of the spectrum is required in order increase the user capacity of any
wireless network. FDMA, TDMA and CDMA are the three major methods of sharing
the available bandwidth to multiple users in wireless system. There are many
extensions, and hybrid techniques for these methods, such as OFDM, and hybrid
TDMA and FDMA systems. However, an understanding of the three major methods
is required for understanding of any extensions to these methods.
F
Fr
re
eq
qu
ue
en
nc
cy
y D
Di
iv
vi
is
si
io
on
n M
Mu
ul
lt
ti
ip
pl
le
e A
Ac
cc
ce
es
ss
se
es
s (
(F
FD
DM
MA
A)
):
:
In Frequency Division Multiple Access (FDMA), the available bandwidth is
subdivided into a number of narrower band channels. Each user is allocated a unique
frequency band in which to transmit and receive on. During a call, no other user can
use the same frequency band.
Each user is allocated a forward link channel (from the base station to the
mobile phone) and a reverse channel (back to the base station), each being a single
way link. The transmitted signal on each of the channels is continuous allowing
analog transmissions. The bandwidths of FDMA channels are generally low (30 kHz)
as each channel only supports one user. FDMA is used as the primary breakup of
large allocated frequency bands and is used as part of most multi-channel systems.
Figure 2.2 & Figure 2.3 show the allocation of the available bandwidth
into several channels.
T
Ti
im
me
e D
Di
iv
vi
is
si
io
on
n M
Mu
ul
lt
ti
ip
pl
le
e A
Ac
cc
ce
es
ss
s:
:
Time Division Multiple Access (TDMA) divides the available spectrum into
multiple time slots, by giving each user a time slot in which they can transmit or
receive.
Figure 2.4 TDMA scheme, where each user is allocated a small time slot
Figure 2.4 shows how the time slots are provided to users in a round robin fashion,
with each user being allotted one time slot per frame. TDMA systems transmit data in
a buffer and burst method, thus the transmission of each channel is non-continuous.
The input data to be transmitted is buffered over the previous frame and burst
transmitted at a higher rate during the time slot for the channel. TDMA can not send
analog signals directly due to the buffering required, thus are only used for
transmitting digital data. TDMA can suffer from multipath effects, as the transmission
rate is generally very high. This leads the multipath signals causing inter-symbol
interference. TDMA is normally used in conjunction with FDMA to subdivide the
total available bandwidth into several channels. This is done to reduce the number of
users per channel allowing a lower data rate to be used. This helps reduce the effect of
delay spread on the transmission.. For GSM, the total allocated bandwidth of 25MHz
is divided into 125, 200 kHz channels using FDMA. These channels are then
subdivided further by using TDMA so that each 200 kHz channel allows 8-16 users.
Figure 2.5 TDMA/FDMA hybrid showing that the bandwidth is split into
frequency channels and time slots
Figure 2.5 shows the use of TDMA with FDMA. Each channel based on FDMA, is
further subdivided using TDMA, so that several users can transmit of the one channel.
This type of transmission technique is used by most digital second generation mobile
phone systems
C
Co
od
de
e D
Di
iv
vi
is
si
io
on
n M
Mu
ul
lt
ti
ip
pl
le
e A
Ac
cc
ce
es
ss
s:
:
Code Division Multiple Access (CDMA) is a spread spectrum technique that
uses neither frequency channels nor time slots. In CDMA, the narrow band message
(typically digitized voice data) is multiplied by a large bandwidth signal, which is a
pseudo random noise code (PN code). All users in a CDMA system use the same
frequency band and transmit simultaneously. The transmitted signal is recovered by
correlating the received signal with the PN code used by the transmitter.
Figure 2.6 Code Division Multiple Access (CDMA)
Figure 2.6 shows the general use of the spectrum using CDMA.Some of the
properties that have made CDMA useful are: Signal hiding and non-interference with
existing systems, Anti-jam and interference rejection, Information security, Accurate
Ranging, Multiple User Access, Multipath tolerance.
Figure 2.7 shows the process of a CDMA transmission. The data to be transmitted
(a) is spread before transmission by modulating the data using a PN code. This
broadens the spectrum as shown in (b). In this example the process gain is 125 as the
spread spectrum bandwidth is 125 times greater the data bandwidth. Part (c) shows
the received signal. This consists of the required signal, plus background noise, and
any interference from other CDMA users or radio sources.
The received signal is recovered by multiplying the signal by the original
spreading code. This process causes the wanted received signal to be dispread back to
the original transmitted data. However, all other signals, which are uncorrelated to the
PN spreading code used, become more spread. The wanted signal in (d) is then
filtered removing the wide spread interference and noise signals.
Figure 2.7 Basic CDMA Generation.
C
CD
DM
MA
A G
Ge
en
ne
er
ra
at
ti
io
on
n:
:
CDMA is achieved by modulating the data signal by a pseudo random noise
sequence (PN code), which has a chip rate higher then the bit rate of the data. The PN
code sequence is a sequence of ones and zeros (called chips), which alternate in a
random fashion. The data is modulated by modular-2 adding the data with the PN
code sequence. This can also be done by multiplying the signals, provided the data
and PN code is represented by 1 and -1 instead of 1 and 0.
Figure 2.8 Simple direct sequence modulator
Figure 2.8 shows a basic CDMA transmitter. The PN code used to spread the
data can be of two main types. A short PN code(Typically 10-128 chips in length),
can be used to modulate each data bit. The short PN code is then repeated for every
data bit allowing for quick and simple synchronization of the receiver.
Figure 2.9 Direct sequence signals
Figure 2.9 shows the generation of a CDMA signal using a 10-chip length
short code. Alternatively a long PN code can be used. Long codes are generally
thousands to millions of chips in length, thus are only repeated infrequently. Because
of this they are useful for added security as they are more difficult to decode.
T
Th
he
eo
or
ry
y &
& R
Re
es
se
ea
ar
rc
ch
h I
In
nt
tr
ro
od
du
uc
ct
ti
io
on
n:
:
The OFDM technology was first conceived in the 1960s and 1970s during research
into minimizing ISI, due to multipath. The expression digital communications in its
basic form is the mapping of digital information into a waveform called a carrier
signal, which is a transmitted electromagnetic pulse or wave at a steady base
frequency of alternation on which information can be imposed by increasing signal
strength, varying the base frequency, varying the wave phase, or other means. In this
instance, orthogonality is an implication of a definite and fixed relationship between
all carriers in the collection. Multiplexing is the process of sending multiple signals or
streams of information on a carrier at the same time in the form of a single, complex
signal and then recovering the separate signals at the receiving end.
Modulation is the addition of information to an electronic or optical signal
carrier. Modulation can be applied to direct current (mainly by turning it on and off),
to alternating current, and to optical signals. One can think of blanket waving as a
form of modulation used in smoke signal transmission (the carrier being a steady
stream of smoke). In telecommunications in general, a channel is a separate path
through which signals can flow. In optical fiber transmission using dense wavelength-
division multiplexing, a channel is a separate wavelength of light within a combined,
multiplexed light stream. This project focuses on the telecommunications definition of
a channel.
O
OF
FD
DM
M P
Pr
ri
in
nc
ci
ip
pl
le
es
s:
:
OFDM is a special form of Multi Carrier Modulation (MCM) with densely
spaced sub carriers with overlapping spectra, thus allowing for multiple-access.
MCM) is the principle of transmitting data by dividing the stream into several bit
streams, each of which has a much lower bit rate, and by using these sub-streams to
modulate several carriers. This technique is being investigated as the next generation
transmission scheme for mobile wireless communications networks.
F
Fo
ou
ur
ri
ie
er
r T
Tr
ra
an
ns
sf
fo
or
rm
m:
:
Back in the 1960s, the application of OFDM was not very practical. This was
because at that point, several banks of oscillators were needed to generate the carrier
frequencies necessary for sub-channel transmission. Since this proved to be difficult
to accomplish during that time period, the scheme was deemed as not feasible.
However, the advent of the Fourier Transform eliminated the initial
complexity of the OFDM scheme where the harmonically related frequencies
generated by Fourier and Inverse Fourier transforms are used to implement OFDM
systems. The Fourier transform is used in linear systems analysis, antenna studies,
etc., The Fourier transform, in essence, decomposes or separates a waveform or
function into sinusoids of different frequencies which sum to the original waveform.
It identifies or distinguishes the different frequency sinusoids and their respective
amplitudes.
The Fourier transform of f(x) is defined as:
dx
e
x
f
F x
j
 



 
 )
(
)
(
and its inverse is denoted by:





 



d
e
F
x
f x
j
)
(
2
1
)
(
However, the digital age forced a change upon the traditional form of the Fourier
transform to encompass the discrete values that exist is all digital systems. The
modified series was called the Discrete Fourier Transform (DFT). The DFT of a
discrete-time system, x(n) is defined as:







1
0
2
)
(
)
(
N
n
kn
N
j
e
n
x
k

1  k  N
and its associated inverse is denoted by:






1
0
2
)
(
1
)
(
N
n
kn
N
j
e
k
N
n
x

1  n  N
However, in OFDM, another form of the DFT is used, called the Fast Fourier
Transform (FFT), which is a DFT algorithm developed in 1965. This “new” transform
reduced the number of computations from something on the order of
2
N to .
log
2
2 N
N

O
Or
rt
th
ho
og
go
on
na
al
li
it
ty
y:
:
In geometry, orthogonal means, "involving right angles" (from Greek ortho,
meaning right, and gon meaning angled). The term has been extended to general use,
meaning the characteristic of being independent (relative to something else). It also
(1)
(2)
(3)
(4)
(5)
can mean: non-redundant, non-overlapping, or irrelevant. Orthogonality is defined for
both real and complex valued functions. The functions m(t) and n(t) are said to be
orthogonal with respect to each other over the interval a < t < b if they satisfy the
condition:
 
b
a
m
m
dt
t
t ,
0
)
(
)
(
*

 Where n  m
O
OF
FD
DM
M C
Ca
ar
rr
ri
ie
er
rs
s:
:
As fore mentioned, OFDM is a special form of MCM and the OFDM time
domain waveforms are chosen such that mutual orthogonality is ensured even though
sub-carrier spectra may over-lap. With respect to OFDM, it can be stated that
orthogonality is an implication of a definite and fixed relationship between all carriers
in the collection. It means that each carrier is positioned such that it occurs at the zero
energy frequency point of all other carriers. The sinc function, illustrated in Figure
2.10 exhibits this property and it is used as a carrier in an OFDM system.
fu is the sub-carrier spacing
Figure 2.10 OFDM sub carriers in the frequency domain
(6)
O
Or
rt
th
ho
og
go
on
na
al
l F
Fr
re
eq
qu
ue
en
nc
cy
y D
Di
iv
vi
is
si
io
on
n M
Mu
ul
lt
ti
ip
pl
le
ex
xi
in
ng
g:
:
Orthogonal Frequency Division Multiplexing (OFDM) is a multicarrier
transmission technique, which divides the available spectrum into many carriers, each
one being modulated by a low rate data stream. OFDM is similar to FDMA in that the
multiple user access is achieved by subdividing the available bandwidth into multiple
channels that are then allocated to users. However, OFDM uses the spectrum much
more efficiently by spacing the channels much closer together. This is achieved by
making all the carriers orthogonal to one another, preventing interference between the
closely spaced carriers.
Coded Orthogonal Frequency Division Multiplexing (COFDM) is the same as
OFDM except that forward error correction is applied to the signal before
transmission.
This is to overcome errors in the transmission due to lost carriers from frequency
selective fading, channel noise and other propagation effects. For this discussion the
terms OFDM and COFDM are used interchangeably, as the main focus of this thesis
is on OFDM, but it is assumed that any practical system will use forward error
correction, thus would be COFDM.
In FDMA each user is typically allocated a single channel, which is used to
transmit all the user information. The bandwidth of each channel is typically 10 kHz-
30 kHz for voice communications. However, the minimum required bandwidth for
speech is only 3 kHz. The allocated bandwidth is made wider then the minimum
amount required preventing channels from interfering with one another. This extra
bandwidth is to allow for signals from neighboring channels to be filtered out, and to
allow for any drift in the center frequency of the transmitter or receiver. In a typical
system up to 50% of the total spectrum is wasted due to the extra spacing between
channels.
This problem becomes worse as the channel bandwidth becomes narrower,
and the frequency band increases. Most digital phone systems use vocoders to
compress the digitized speech. This allows for an increased system capacity due to a
reduction in the bandwidth required for each user. Current vocoders require a data rate
somewhere between 4- 13kbps, with depending on the quality of the sound and the
type used. Thus each user only requires a minimum bandwidth of somewhere between
2-7 kHz, using QPSK modulation. However, simple FDMA does not handle such
narrow bandwidths very efficiently. TDMA partly overcomes this problem by using
wider bandwidth channels, which are used by several users. Multiple users access the
same channel by transmitting in their data in time slots. Thus, many low data rate
users can be combined together to transmit in a single channel, which has a bandwidth
sufficient so that the spectrum can be used efficiently.
There are however, two main problems with TDMA. There is an overhead
associated with the change over between users due to time slotting on the channel. A
change over time must be allocated to allow for any tolerance in the start time of each
user, due to propagation delay variations and synchronization errors. This limits the
number of users that can be sent efficiently in each channel. In addition, the symbol
rate of each channel is high (as the channel handles the information from multiple
users) resulting in problems with multipath delay spread.
OFDM overcomes most of the problems with both FDMA and TDMA.
OFDM splits the available bandwidth into many narrow band channels (typically 100-
8000). The
carriers for each channel are made orthogonal to one another, allowing them to be
spaced very close together, with no overhead as in the FDMA example. Because of
this there is no great need for users to be time multiplex as in TDMA, thus there is no
overhead associated with switching between users.
The orthogonality of the carriers means that each carrier has an integer number
of cycles over a symbol period. Due to this, the spectrum of each carrier has a null at
the center frequency of each of the other carriers in the system. This results in no
interference between the carriers, allowing then to be spaced as close as theoretically
possible. This overcomes the problem of overhead carrier spacing required in FDMA
.Each carrier in an OFDM signal has a very narrow bandwidth (i.e. 1 kHz), thus the
resulting symbol rate is low. This results in the signal having a high tolerance to
multipath delay spread, as the delay spread must be very long to cause significant ISI
(e.g > 500usec).
O
OF
FD
DM
M g
ge
en
ne
er
ra
at
ti
io
on
n:
:
To generate OFDM successfully the relationship between all the carriers must
be carefully controlled to maintain the orthogonality of the carriers. For this reason,
OFDM is generated by firstly choosing the spectrum required, based on the input
data, and modulation scheme used. Each carrier to be produced is assigned some data
to transmit. The required amplitude and phase of the carrier is then calculated based
on the modulation scheme (typically differential BPSK, QPSK, or QAM).
The required spectrum is then converted back to its time domain signal using
an Inverse Fourier Transform. In most applications, an Inverse Fast Fourier
Transform (IFFT) is used. The IFFT performs the transformation very efficiently, and
provides a simple way of ensuring the carrier signals produced are orthogonal.
The Fast Fourier Transform (FFT) transforms a cyclic time domain signal into
its equivalent frequency spectrum. This is done by finding the equivalent waveform,
generated by a sum of orthogonal sinusoidal components. The amplitude and phase of
the sinusoidal components represent the frequency spectrum of the time domain
signal.
Figure 2.11 OFDM Block Diagram
Figure 2.11 shows the setup for a basic OFDM transmitter and receiver. The
signal generated is a base band, thus the signal is filtered, then stepped up in
frequency before transmitting the signal. OFDM time domain waveforms are chosen
such that mutual orthogonality is ensured even though sub-carrier spectra may
overlap. Typically QAM or Differential Quadrature Phase Shift Keying (DQPSK)
modulation schemes are applied to the individual sub carriers. To prevent ISI, the
individual blocks are separated by guard intervals wherein the blocks are periodically
extended.
The IFFT performs the reverse process, transforming a spectrum (amplitude
and phase of each component) into a time domain signal. An IFFT converts a number
of complex data points, of length, which is a power of 2, into the time domain signal
of the same number of points. Each data point in frequency spectrum used for an FFT
or IFFT is called a bin. The orthogonal carriers required for the OFDM signal can be
easily generated by setting the amplitude and phase of each bin, then performing the
IFFT. Since each bin of an IFFT corresponds to the amplitude and phase of a set of
orthogonal sinusoids, the reverse process guarantees that the carriers generated are
orthogonal.
M
Mo
od
du
ul
la
at
ti
io
on
n T
Te
ec
ch
hn
ni
iq
qu
ue
es
s:
:
Q
Qu
ua
ad
dr
ra
at
tu
ur
re
e A
Am
mp
pl
li
it
tu
ud
de
e M
Mo
od
du
ul
la
at
ti
io
on
n (
(Q
QA
AM
M)
):
:
This modulation scheme is also called quadrature carrier multiplexing. Infact,
this modulation scheme enables to DSB-SC modulated signals to occupy the same
transmission BW at the receiver o/p. it is, therefore, known as a bandwidth-
conservation scheme. Figure 2.12 the QAM Transistor consists of two separate
balanced modulators, which are supplied, with two carrier waves of the same freq but
differing in phase by 90. The o/p of the two balanced modulators are added in the
adder and transmitted.
Figure 2.12 QAM System
The transmitted signal is thus given by
S (t) = X1 (t) A cos (2Fc t) + X2 (t) A sin (2Fc t)
Hence, the multiplexed signal consists of the in-phase component ‘A X1 (t)’
and the quadrature phase component ‘–A X2 (t)’.
B
Ba
al
la
an
nc
ce
ed
d M
Mo
od
du
ul
la
at
to
or
r:
:
A DSB-SC signal is basically the product of the modulating or base band
signal and the carrier signal. Unfortunately, a single electronic device cannot generate
a DSB-SC signal. A circuit is needed to achieve the generation of a DSB-SC signal is
called product modulator i.e., Balanced Modulator.
We know that a non-linear resistance or a non-linear device may be used to
produce AM i.e., one carrier and two sidebands. However, a DSB-SC signal contains
only 2 sidebands. Thus, if 2 non-linear devices such as diodes, transistors etc., are
connected in balanced mode so as to suppress the carriers of each other, then only
sidebands are left, i.e., a DSB-SC signal is generated. Therefore, a balanced
modulator may be defined as a circuit in which two non-linear devices are connected
in a balanced mode to produce a DSB-SC signal.
Q
Qu
ua
ad
dr
ra
at
tu
ur
re
e P
Ph
ha
as
se
e S
Sh
hi
if
ft
t K
Ke
ey
yi
in
ng
g (
(Q
QP
PS
SK
K)
) :
:
In communication systems, we have two main resources. These are:
1. Transmission Power
2. Channel bandwidth
If two or more bits are combined in some symbols, then the signaling rate will
be reduced. Thus, the frequency of the carrier needed is also reduced. This reduces the
transmission channel B.W. Hence, because of grouping of bits in symbols; the
transmission channel B.W can be reduced. In QPSK two successive bits in the data
sequence are grouped together. This reduces the bits rate or signaling rate and thus
reduces the B.W of the channel. In case of BPSK, we know that when sym. Changes
the level, the phase of the carrier is changed by 180. Because, there were only two
sym’s in BPSK, the phase shift occurs in 2 levels only. However, in QPSK, 2
successive bits are combined. Infact, this combination of two bits forms 4 distinct
sym’s. When the sym is changed to next sym, then the phase of the carrier is changed
by 45 degrees.
S.No I/p successive bits symbol phase shift in carrier
I=1 1(1v) 0(-1v) S1 /4
I=2 0(-1v) 0(-1v) S2 3/4
I=3 0(-1v) 1(1v) S3 5/4
I=4 1(1v) 1(1v) S4 7/4
G
Ge
en
ne
er
ra
at
ti
io
on
n o
of
f Q
QP
PS
SK
K:
:
From figure 2.13 the i/p binary sequence is first converted into a bipolar NRZ
type of signal. This signal is denoted by b (t). It represents binary ‘1’ by ‘+1V’ and
binary ‘0’ by ‘-1V’. The demultiplexer divides b (t) into 2 separate bit streams of the
odd numbered and even numbered bits. Here Be(t) represents even numbered
sequence and Bo (t) represents odd numbered sequence. The symbol duration of both
of these odd numbered sequences is 2Tb. Hence, each symbol consists of 2 bits.
Figure 2.13 Generation of QPSK
It may be observed that the first even bit occurs after the first odd bit. Hence,
even numbered bit sequence Be (t) starts with the delay of one bit period due to first
odd bit. Thus, first symbol of Be (t) is delayed by one bit period due to first odd bit.
Thus, first symbol of Be (t) is delayed by on bit period ‘Tb’ with respect to first
symbol of Bo (t). This delay of Tb is known as offset. This shows that the change in
the levels of Be (t) and Bo (t) can’t occur at the same time due to offset or staggering.
The bit stream Be (t) modulates carrier cosine carrier and B0(t) modulates sinusoidal
carrier. These modulators are the balanced modulators. The 2 carriers are Ps.cos
(2Fc.t) and Ps.sin (2Fc.t) have been shown in fig. Their carriers are known as
quadrature carriers. Due to the offset, the phase shift in QPSK signal is /2.
F
FF
FT
T &
& I
IF
FF
FT
T:
:
In practice, OFDM systems are implemented using a combination of FFT and
IFFT blocks that are mathematically equivalent versions of the DFT and IDFT,
respectively, but more efficient to implement.
An OFDM system treats the source symbols (e.g., the QPSK or QAM
symbols that would be present in a single carrier system) at the Tx as though they are
in the freq-domain. These sym’s are used as the i/p’s to an IFFT block that brings the
sig into the time domain. The IFFT takes in N sym’s at a time where N is the num of
sub carriers in the system. Each of these N i/p sym’s has a symbol period of T secs.
Recall that the basis functions for an IFFT are N orthogonal sinusoids. These
sinusoids each have a different freq and the lowest freq is DC. Each i/p symbol acts
like a complex weight for the corresponding sinusoidal basis fun. Since the i/p sym’s
are complex, the value of the sym determines both the amplitude and phase of the
sinusoid for that sub carrier.
From the Figure 2.14 the IFFT o/p is the summation of all N sinusoids. Thus,
the IFFT block provides a simple way to modulate data onto N orthogonal sub
carriers. The block of N o/p samples from the IFFT make up a single OFDM sym.
The length of the OFDM symbol is NT where T is the IFFT i/p symbol period
mentioned above.
Figure 2.14 FFT & IFFT diagram
After some additional processing, the time-domain sig that results from the IFFT is
transmitted across the channel. At the Rx, an FFT block is used to process the
received signal and bring it into the freq domain. Ideally, the FFT o/p will be the
original sym’s that were sent to the IFFT at the Tx. When plotted in the complex
plane, the FFT o/p samples will form a constellation, such as 16-QAM. However,
there is no notion of a constellation for the time-domain sig. When plotted on the
complex plane, the time-domain sig forms a scatter plot with no regular shape. Thus,
any Rx processing that uses the concept of a constellation (such as symbol slicing)
must occur in the frequency- domain.
A
Ad
dd
di
in
ng
g a
a G
Gu
ua
ar
rd
d P
Pe
er
ri
io
od
d t
to
o O
OF
FD
DM
M:
:
One of the most important properties of OFDM transmissions is the robustness
against multipath delay spread. This is achieved by having a long symbol period,
which minimizes the ISI. The level of robustness, can infact is increased even more
by the addition of a guard period b/w transmitted sym’s. The guard period allows time
for multipath sig’s from the previous symbol to die away before the information from
the current symbol is gathered.
The most effective guard period to use is a cyclic extension of the symbol. If a
mirror in time, of the end of the symbol waveform is put at the start of the symbol as
the guard period, this effectively extends the length of the symbol, while maintaining
the orthogonally of the waveform. Using this cyclic extended symbol the samples
required for performing the FFT (to decode the sym), can be taken anywhere over the
length of the sym. This provides multipath immunity as well as sym time
synchronization tolerance.
As long as the multipath delay echos stay within the guard period duration,
there is strictly no limitation regarding the signal level of the echos: they may even
exceed the signal level of the shorter path! The signal energy from all paths just adds
at the input to the receiver, and since the FFT is energy conservative, the whole
available power feeds the decoder.
If the delay spread is longer then the guard interval then they begins to cause
ISI. However, provided the echo’s are sufficiently small they do not cause significant
problems. This is true most of the time as multipath echo’s delayed longer than the
guard period will have been reflected of very distant objects. Other variations of guard
periods are possible. One possible variation is to have half the guard period a cyclic
extension of the symbol, as above, and the other half a zero amplitude signal. This
will result in a signal as shown in Figure 2.6.
Using this method the symbols can be easily identified. This possibly allows
for symbol timing to be recovered from the signal, simply by applying envelop
detection. The disadvantage of using this guard period method is that the zero period
does not give any multipath tolerance, thus the effective active guard period is halved
in length. It is interesting to note that this guard period method has not been
mentioned in any of the research papers read, and it is still not clear whether symbol
timing needs to be recovered using this method.
Figure 2.15 Section of an OFDM signal showing 5 symbols, using a guard
period which is half a cyclic extension of the symbol, and half a zero
amplitude signal.
C
CH
HA
AP
PT
TE
ER
R –
–3
3
P
PR
RO
OP
PA
AG
GA
AT
TI
IO
ON
N O
OF
F C
CH
HA
AN
NN
NE
EL
L C
CH
HA
AR
RA
AC
CT
TE
ER
RI
IS
ST
TI
IC
CS
S
P
Pr
ro
op
pa
ag
ga
at
ti
io
on
n C
Ch
ha
ar
ra
ac
ct
te
er
ri
is
st
ti
ic
cs
s o
of
f m
mo
ob
bi
il
le
e r
ra
ad
di
io
o c
ch
ha
an
nn
ne
el
ls
s:
:
In an ideal radio channel, the received signal would consist of only a single
direct path signal, which would be a perfect reconstruction of the transmitted signal.
However in a real channel, the signal is modified during transmission in the channel.
It is known that the performance of any wireless system’s performance is
affected by the medium of propagation, namely the characteristics of the channel. In
telecommunications in general, a channel is a separate path through which signals can
flow. In the ideal situation, a direct line of sight between the transmitter and receiver
is desired. But alas, it is not a perfect world; hence it is imperative to understand what
goes on in the channel so that the original signal can be reconstructed with the least
number of errors.
The received signal consists of a combination of attenuated, reflected,
refracted, and diffracted replicas of the transmitted signal. On top of all this, the
channel adds noise to the signal and can cause a shift in the carrier frequency if the
transmitter, or receiver is moving (Doppler effect). Understanding of these effects on
the signal is important because the performance of a radio system is dependent on the
radio channel characteristics.
A
At
tt
te
en
nu
ua
at
ti
io
on
n:
:
Attenuation is the “drop in the signal power when transmitting from one point
to another. It can be caused by the transmission path length, obstructions in the signal
path, and multipath effects”. Figure 3.1 shows some of the radio propagation effects
that cause attenuation. Any objects, which obstruct the line of sight signal from the
transmitter to the receiver, can cause attenuation.
Figure 3.1. Some channel characteristics
Shadowing of the signal can occur whenever there is an obstruction between
the transmitter and receiver. It is generally caused by buildings and hills, and is the
most important environmental attenuation factor. Shadowing is most severe in heavily
built up areas, due to the shadowing from buildings. However, hills can cause a large
problem due to the large shadow they produce.
Radio signals diffract off the boundaries of obstructions, thus preventing total
shadowing of the signals behind hills and buildings. However, the amount of
diffraction is dependent on the radio frequency used, with low frequencies diffracting
more then high frequency signals. Thus high frequency signals, especially, Ultra High
Frequencies (UHF), and microwave signals require line of sight for adequate signal
strength. To over come the problem of shadowing, transmitters are usually elevated as
high as possible to minimize the number of obstructions. Typical amounts of variation
in attenuation due to shadowing are shown in Table 3.1.
Table.3.1 Typical attenuation in a radio channel.
Shadowed areas tend to be large, resulting in the rate of change of the signal
power being slow. For this reason, it is termed slow-fading, or lognormal shadowing.
M
Mu
ul
lt
ti
ip
pa
at
th
h E
Ef
ff
fe
ec
ct
ts
s:
:
R
Ra
ay
yl
le
ei
ig
gh
h f
fa
ad
di
in
ng
g:
:
In a radio link, the RF signal from the transmitter may be reflected from
objects such as hills, buildings, or vehicles. This gives rise to multiple transmission
paths at the receiver. Fig. 3.2 show some of the possible ways in which multipath
signals can occur.
Figure 3.2 Multipath Signals
Because of the multipath phase of the signal may by that constructive or
destructive interference when it reaches to the Rx. This is experienced over very short
distances (typically at half wavelength distances), thus is given the term fast fading.
These variations can vary from 10-30dB over a short distance.
Figure 3.3 Typical Rayleigh fading while the mobile unit is moving.
The Rayleigh distribution is commonly used to describe the statistical time
varying nature of the received signal power. It describes the probability of the signal
level. Being received due to fading. Table 3.2 shows the probability of the signal
level for the Rayleigh distribution.
Table 3.2 Cumulative distributions for Rayleigh distribution
F
Fr
re
eq
qu
ue
en
nc
cy
y S
Se
el
le
ec
ct
ti
iv
ve
e F
Fa
ad
di
in
ng
g:
:
In any radio transmission, the channel spectral response is not flat. It has dips
or fades in the response due to reflections causing cancellation of certain frequencies
at the receiver. Reflections off near-by objects (e.g. ground, buildings, trees, etc) can
lead to multipath signals of similar signal power as the direct signal. This can result in
deep nulls in the received signal power due to destructive interference. For narrow
bandwidth transmissions if the null in the frequency response occurs at the
transmission frequency then the entire signal can be lost. This can be partly overcome
in two ways.
By transmitting a wide bandwidth signal or spread spectrum as CDMA, any
dips in the spectrum only result in a small loss of signal power, rather than a complete
loss. Another method is to split the transmission up into many small bandwidth
carriers, as is done in a COFDM/OFDM transmission. The original signal is spread
over a wide bandwidth thus; any nulls in the spectrum are unlikely to occur at all of
the carrier frequencies. This will result in only some of the carriers being lost, rather
then the entire signal. The information in the lost carriers can be recovered provided
enough forward error corrections are sent.
D
De
el
la
ay
y S
Sp
pr
re
ea
ad
d:
:
The received radio signal from a transmitter consists of typically a direct
signal, plus reflections of object such as buildings, mountings, and other structures.
The reflected signals arrive at a later time than the direct signal because of the extra
path length, giving rise to a slightly different arrival time of the transmitted pulse, thus
spreading the received energy. Delay spread is the “time spread between the arrival
of the first and last multipath signal seen by the receiver”.
In a digital system, the delay spread can lead to inter-symbol interference. This
is due to the delayed multipath signal overlapping with the following symbols. This
can cause significant errors in high bit rate systems, especially when using time
division multiplexing (TDMA). Fig.3.4 shows the effect of inter-symbol interference
due to delay spread on the received signal. As the transmitted bit rate is increased the
amount of inter-symbol interference also increases. The effect starts to become very
significant when the delay spread is greater then ~50% of the bit time.
Figure 3.4 Multi delay spread
shows the typical delay spread that can occur in various environments. The maximum
delay spread in an outdoor environment is approximately 20usec, thus significant
intersymbol interference can occur at bit rates as low as 25kbps.
Table. 3.3 Typical Delay Spread
Inter-symbol interference can be minimized in several ways. One method is to
reduce the symbol rate by reducing the data rate for each channel (i.e. split the
bandwidth into more channels using frequency division multiplexing). Another is to
use a coding scheme which is tolerant to inter-symbol interference such as CDMA.
D
Do
op
pp
pl
le
er
r S
Sh
hi
if
ft
t:
:
When a wave source and a receiver are moving relative to one another the
frequency of the received signal will not be the same as the source. When they are
moving toward each other the frequency of the received signal is higher then the
source, and when they are approaching each other the frequency decreases. This is
called the
Doppler Effect. An example of this is the change of pitch in a car’s horn as it
approaches then passes by. This effect becomes important when developing mobile
radio systems. The amount the frequency changes due to the Doppler effect depends
on the relative motion between the source and receiver and on the speed of
propagation of the wave. The Doppler shift in frequency can be written:
Where f is the change in frequency of the source seen at the receiver, fo is the
frequency of the source, v is the speed difference between the source and transmitter,
and c is the speed of light.
For example: Let fo = 1GHz, and v = 60km/hr (16.7m/s) then the Doppler shift will
be:
This shift of 55Hz in the carrier will generally not effect the transmission.
However,
Doppler shift can cause significant problems if the transmission technique is sensitive
to carrier frequency offsets (for example COFDM) or the relative speed is higher (for
example in low earth orbiting satellites).
I
In
nt
te
er
r S
Sy
ym
mb
bo
ol
l I
In
nt
te
er
rf
fe
er
re
en
nc
ce
e:
:
As communication systems evolve, the need for high symbol rates becomes
more apparent. However, current multiple access with high symbol rates encounter
several multi path problems, which leads to ISI. An echo is a copy of the original
signal delayed in time. ISI takes place when echoes on different-length propagation
paths result in overlapping received symbols. Problems can occur when one OFDM
symbol overlaps with the next one. There is no correlation between two consecutive
OFDM symbols and therefore interference from one symbol with the other will result
in a disturbed signal
In addition, the symbol rate of communications systems is practically limited
by the channel’s bandwidth. For the higher symbol rates, the effects of ISI must be
dealt with seriously. Several channel equalization techniques can be used to suppress
the ISIs caused by the channel. However, to do this, the CIR – channel impulse
response, must be estimated.
Recently, OFDM has been used to transmit data over a multi-path channel.
Instead of trying to cancel the effects of the channel’s ISIs, a set of sub-carriers can
be used to transmit information symbols in parallel sub-channels over the channel,
where the system’s output will be the sum of all the parallel channel’s throughputs.
This is the basis of how OFDM works. By transmitting in parallel over a set of
sub-carriers, the data rate per sub-channel is only a fraction of the data rate of a
conventional single carrier system having the same output. Hence, a system can be
designed to support high data rates while deferring the need for channel equalizations.
In addition, once the incoming signal is split into the respective transmission
sub-carriers, a guard interval is added between each symbol. Each symbol consists of
useful symbol duration, Ts and a guard interval, t, in which, part of the time, a signal
of Ts is cyclically repeated. This is shown in Fig.3.5.
Figure 3.5 Combating ISI using a guard interval
As long as the multi path propagation delays do not exceed the duration of the
interval, no inter-symbol interference occurs and no channel equalization is required.
CHANNELS We Used:
The transmission signal models of the electromagnetic wave which travels
form transmitter to receiver. Along the way the wave encounters a wide range of
different environments. Channel models represent the attempt to model these different
environments. Their aim is to introduce well defined disturbances to the transmission
signal. In this lecture we discuss channel models which are typical for DAB
transmission. We consider the effects of noise, movement, and signal reflection. The
general strategy is to have a pictorial representation of the channel environment
before we introduce the mathematical model.
Overview Diagram
The following figure shows again the block diagram of communication
system. Such a system consists of ‘Sender’, ‘Channel’ and ‘Receiver’. In this lecture
we focus on the channel aspect of the communication system. In the block diagram,
s(t) is the transmission signal and ˆs(t) is the received transmission signal.
Frequency offset channel
The frequency offset channel introduces a static frequency offset. One
possible cause for such a frequency offset is a slow drifting time base, normally a
crystal oscillator, in either transmitter or receiver. The frequency offset channel tests
the frequency correction circuit in the receiver. The following figure shows the block
diagram of the Frequency shift channel.
The mathematical model follows as:
.
AWGN channel
For the Additional White Gaussian Noise (AWGN) channel the received
signal is equal to the transmitted signal with some portion of white Gaussian white
noise added. This channel is particularly important for discrete models operating on a
restricted number space, because this allows one to optimise the circuits in terms of
their noise performance. The block diagram of the AWGN channel is given in the
next figure.
s(t) = s(t) + n(t)
where n(t) is a sample function of a Gaussian random process. This represents white
Gaussian noise.
Multi path channel
The multipath channel is the last of the static channels. It reflects the fact that
electromagnetic waves can travel over various paths from the transmission antenna to
the receiver antenna. The receiver antenna sums up all the different signals.
Therefore, the mathematical model of the multipath environment creates the received
transmission signal by summing up scaled and delayed versions of the original
transmission signal. This superposition of signals causes ISI.
The following figure shows a multipath environment.
The block diagram, shown in the next figure, details a DSP model for the multipath
environment.
The mathematical model follows as:
Fading channels
Fading channels represent a mathematical model for wireless data exchange in a
physical environment which changes over time. These changes arise for two reasons:
1. The environment is changing even though the transmitter and receiver
are fixed; examples are changes in the ionosphere, movement of foliage and
movement of reflectors and scatterers.
2. Transmitter and receiver are mobile even though the environment might be
static.
3. The next figure shows a multipath fading environment. The fading is modeled
by the fact that the environment is changing.
The block diagram, shown in the next figure, details a DSP model for the multipath
environment
Mathematically the DSP model can be formulated as follows:
DSP model and mathematical description are close to the underlying
physical phenomena. This makes them unsuitable for practical channel models. To
establish practical channel models we employ statistical methods to abstract and
generalize the fading channel models. In the following two subsections we discuss
Rayleigh and Rician fading channels. Both represent statistical channel modes, the
difference between them is that the Rayleigh model does not assume a direct or
prominent path and the Ricien model assumes a direct path. The last channel model
extends the ideas of Rayleigh and Rician fading channels with mobility aspects. The
resulting mobile fading channels model the degrading effects in the frequency domain
of wireless multipath channels.
Rayleigh fading:
Rayleigh fading is caused by multipath reception. The mobile antenna receives
a large number, say N, reflected and scattered waves. Because of wave cancellation
effects, the instantaneous received power seen by a moving antenna becomes a
random variable, dependent on the location of the antenna.
To simplify the derivation of the fading models an un-modulated carrier
of the form s(t) = Acos(2pifct) as transmission signal is used. Based on the block
diagram the complex envelope of the received signal is:
where ai (t) is the gain factor and Ti (t) is the delay for a specific path i at a specific
time t.
where rRa (t) is a sample function of a Rayleigh distributed random process:
and the is uniformly distributed in the interval [0, 2pi).
The general form of this channel model is:
again, and are amplitude and phase from a particular measurement
of a rayleigh distributed random process. This channel is called rayleigh fading
channel.
Rician fading channel
Rician fading
The model behind Rician fading is similar to that for Rayleigh fading, except that
in Rician fading a strong dominant component is present. This dominant component
can for instance be the line-of-sight wave. Refined Rician models also consider
1. that the dominant wave can be a phasor sum of two or more dominant signals,
e.g. the line-of- sight, plus a ground reflection. This combined signal is then
mostly treated as a deterministic (fully predictable) process
2. that the dominant wave can also be subject to shadow attenuation. This is a
popular
Assumption in the modeling of satellite channels. Besides the dominant component,
the mobile antenna receives a large number of reflected and Scattered waves.
A Rician fading channel indicates that there is a prominent or direct path over
which the electromagnetic wave can travel. Compared to the Rayleigh channel model,
Equation 1, the Rician fading channel model has an additional Acos(2pifct)
component to reflect the prominent path:
Above Equation can be written as:
Where rRi (t) is a sample function of a random process with a Rician distributed
probability density function (pdf):
Where I0 is the zero order modified Bessel functions of the first kind given by:
and the distribution of is:
Where is the error function defined as:
The ratio , referred as the K-factor, relates the power in un faded and
faded components. Values of K >> 1 indicate less severe fading, whereas K << 1
indicates severe fading.
The general form of the Rician channel model is:
Where rRi (t) and are amplitude and phase of a particular measurement of a
rician distributed random process.
ADVANTAGES
1. Low complexity.
2. High spectral efficiency.
3. Without any loss of data rate.
4. It offers important advantages over other PAPR reduction schemes, as it
avoids the necessity to transmit the side information, or to modify the
reception algorithm.
APPLICATION
1. Modern wireless communications due to its high spectral efficiency.
2. Generalized Multicarrier (GMC) transmission.
3. Future cognitive radios.
4. Multi-standard transceivers.
CHAPTER 4
EXISTING SCHEME OF OFDM
However, OFDM is not without drawbacks. One critical problem is its high peak-to-
average power ratio (PAPR). High PAPR increases the complexity of analog-to-
digital (A/D) and digital-to-analog (D/A) converters, and lowers the efficiency of
power amplifiers. Over the past decade various PAPR reduction techniques have been
proposed, such as block coding, selective mapping (SLM) and tone reservation, just to
name a few . Among all these techniques the simplest solution is to clip the
transmitted signal when its amplitude exceeds a desired threshold. Clipping is a
highly nonlinear process, however. It produces significant out-of-band interference
(OBI). A good remedy for the OBI is the so-called companding. The technique ‘soft’
compresses, rather than ‘hard’ clips, the signal peak and causes far less OBI. The
method was first proposed in, which employed the classical 𝜇-law transform and
showed to be rather effective. Since then many different companding transforms with
better performances have been Published. This paper proposes and evaluates a new
companding algorithm. The algorithm uses the special airy function and is able to
offer an improved bit error rate (BER) and minimized OBI while reducing PAPR
effectively. The paper is organized as follows. In the next section the PAPR problem
in OFDM is briefly reviewed.
PAPR IN OFDM
• OFDM is a powerful modulation technique being used in many new and
emerging broadband communication systems.
– Advantages:
• Robustness against frequency selective fading and time
dispersion.
• Transmission rates close to capacity can be achieved.
• Low computational complexity implementation (FFT).
– Drawbacks:
• Sensitivity to frequency offset.
• Sensitivity to nonlinear amplification.
• Compensation techniques for nonlinear effects
– Linearization (digital predistortion).
– Peak-to-average power ratio (PAPR) reduction.
– Post-processing.
• PAPR-reduction techniques:
– Varying PAPR-reduction capabilities, power, bandwidth and
complexity requirements.
– The performance of a system employing these techniques has not been
fully analyzed
– PAPR is a very well known measure of the envelope fluctuations of a
MC signal
– Used as figure of merit.
– The problem of reducing the envelope fluctuations has turned to
reducing PAPR.
– In this paper we ...
– present a quantitative study of PAPR and NL distortion
– simulate an OFDM-system employing some of these techniques
Motivation: evaluate the performance improvement capabilities of PAPR-reducing
methods.
Orthogonal Frequency Division Multiplexing
• An OFDM signal can be expressed as
𝑠𝑘 complex baseband modulated symbol
N number of subcarriers
If the OFDM signal is sampled at , the complex samples can be described as
Peak-to-average power ratio
• Let be the m-th OFDM symbol, then its PAPR is defined as
•
The CCDF of the PAPR of a non-oversampled OFDM signal is
• CCDF of PAPR increases with the number of subcarriers in the OFDM
system.
1
2 /
0
1 , 0, 1
N
j kn N
n k
k
s S e n N
N



 
 
  

 
 
2
2
PAPR
m
m
m
E N

 
 
 

s
s
   
0
0
Pr 1 1
N
e 
  
   
– It is widely believed that the more subcarriers are used in a OFDM
system, the worse the distortion caused by the nonlinearity will be.
– In-band and out-of-band distortion
• If N is large enough, the OFDM signal can be approximated as a complex
Gaussian distributed random variable. Thus its envelope is Rayleigh
distributed
where the variance of the real and imaginary parts of the signal is
• Buss gang theorem
An interesting result is that the output of a NL with Gaussian input (OFDM) can be
written as:
Considerations on PAPR reduction
• In order to improve the system performance, PAPR should predict the amount
of distortion introduced by the nonlinearity
– PAPR increases with the number of subcarriers in the OFDM signal.
 
 
 
     
   
 
  
2
var 1
2 4
with and ,
E X X
 
2
2
2
2 ,
x
X
x
f x e 



     
 
 
1
1
, where
xy
xx
R
y t x t d t
R

 

  
– The distortion term and the uniform attenuation and rotation of the
constellation only depend on the back-off.
The effect of a nonlinearity to an OFDM signal is not clearly related to its
PAPR
• The effective energy per bit at the input of the nonlinearity is
• where Eo is the average energy of the signal at the input of the nonlinearity,
K is the
• number of bits per symbol and ηp is the power efficiency.
• There will only be a a BER performance improvement when the effect of
reducing the in-band distortion becomes noticeable and more important
than the loss of power efficiency.
• This is not taken into account in the majority of the PAPR reducing
methods.
Let (0),(1), ⋅ ⋅ ⋅,𝑋(𝑁 −1) represent the data sequence to be transmitted in an OFDM
symbol with 𝑁 subcarriers. The baseband representation of the OFDM symbol is
given by:
where 𝑇 is the duration of the OFDM symbol. According to the central limit theorem,
when 𝑁 is large, both the real and imaginary parts of 𝑥(𝑡) become Gaussian
distributed, each with zero mean and a variance of E[∣𝑥(𝑡)∣2]/2, and the amplitude of
the OFDM symbol follows a Rayleigh distribution. Consequently it is possible that
the maximum amplitude of OFDM signal may well exceed its average amplitude.
Practical hardware (e.g. A/D and D/A converters, power amplifiers) has finite
dynamic range; therefore the peak amplitude of OFDM signal must be limited. PAPR
is mathematically defined as:
It is easy to see from above that PAPR reduction may be achieved by decreasing the
numerator max[∣𝑥(𝑡)∣2], increasing the denominator (1/T) ⋅ ∫ 𝑇 0 ∣𝑥(𝑡)∣2 𝑑𝑡, or both.
The effectiveness of a PAPR reduction technique is measured by the complementary
cumulative distribution function
(CCDF), which is the probability that PAPR exceeds some threshold, i.e.:
CCDF = Probability (PAPR > 𝑝0), where 𝑝0 is the threshold.
CHAPTER 5
PROPOSING SCHEME
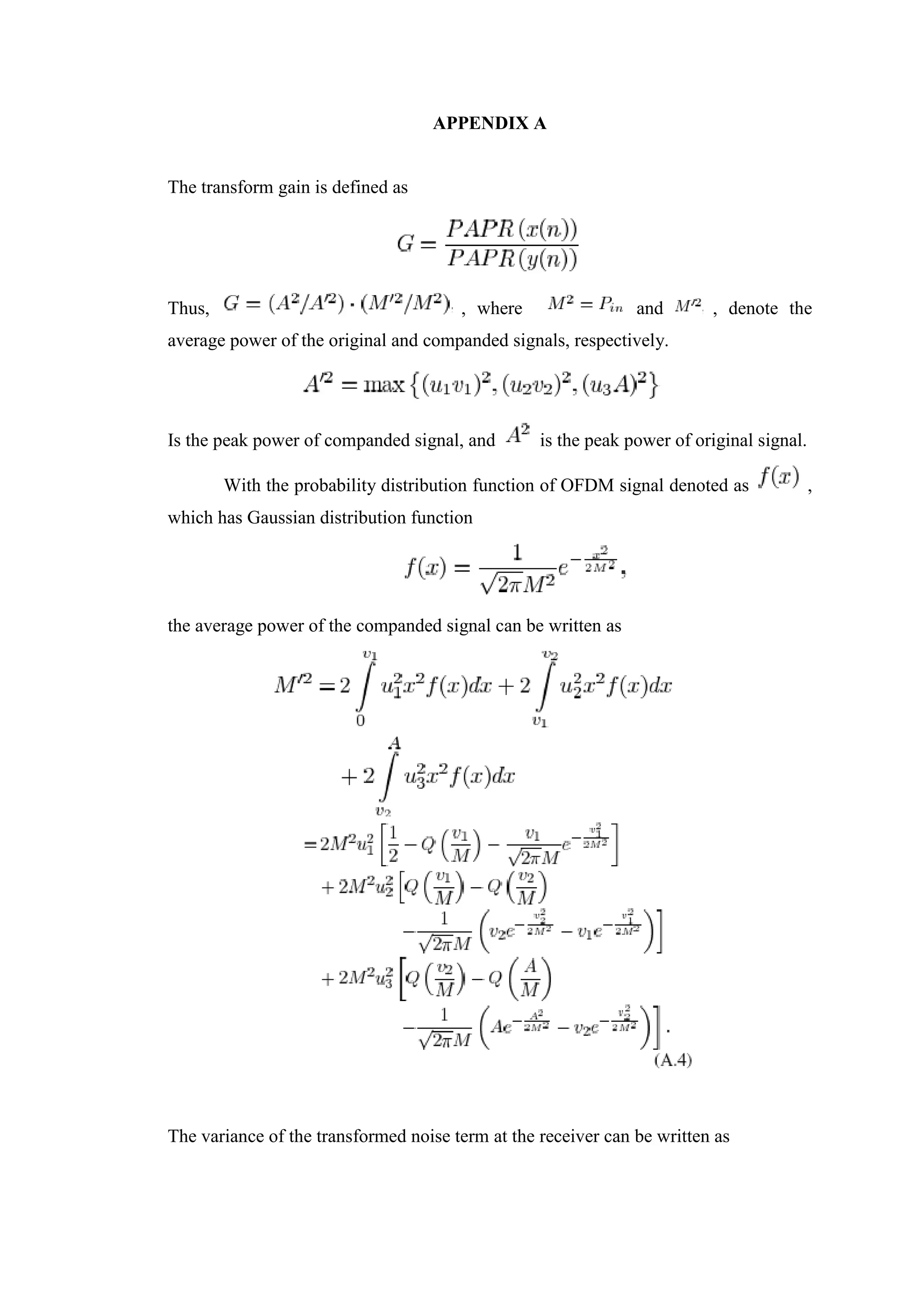
Block diagram representation is provided below with mathematical representation
A. FRFT
The meaning of FrFT states it as a chrip basis extension, which is characterizing the
revolution in time, frequency that is brought together time frequency transformation
by changing the estimation of Fractional. By changing the Fractional estimation from
0.0 to 1.0 the signal characterstics can be transformed from time to frequency
domain[5].
FrFT is defined as
𝐹
𝛼{𝑥(𝑡)}(𝑢) = ∫ 𝑥(𝑡)𝑘𝛼(𝑡, 𝑢)𝑑𝑡
∞
−∞
(1)
K𝛼(𝑡, 𝑢) = 𝐴𝛼𝑒𝑗𝜋(𝑡2+𝑢2)𝑐𝑜𝑡𝛼−𝑗2𝜋𝑡𝑢𝑐𝑠𝑐𝛼
is called the kernel transform where 𝛼 is
called the rotation angle of a transformed signal and 𝛼 =
𝑎𝜋
2
[6].By estimating the
fractional component ‘a’ improvement in BER can be achieved. FrFT appended
OFDM signal must be orthogonal as to achieve error free signal
For orthogonality condition between any two signals we must compute the
whole interval i.e(-T/2 to +T/2) Consider two
signals 𝑋𝛼,𝑚(𝑡) be the FrFt appended OFDM signal and 𝑋𝛼,𝑛
∗
(t) be its orthogonal basis
where m,n are called the subcarriers
Then from[7]
∫ 𝑋𝛼,𝑚(𝑡). 𝑋𝛼,𝑛
∗ (𝑡)𝑑𝑡
+𝑇/2
−𝑇/2
=
1
2𝜋
𝑒
𝑗
((𝑛𝑡0)2−(𝑚𝑡0)2)𝑐𝑜𝑡𝛼
2
∫ 𝑒𝑗(𝑚−𝑛)𝑡0𝑡𝑐𝑠𝑐𝛼
+𝑇/2
−𝑇/2 𝑑𝑡 ( 2)
Where 𝑡0 is the central frequency
FrFT appended OFDM
FrFT is used to detect and estimate the interference component
The original OFDM modulated signal was given by
𝑥(𝑡) = ∑ 𝑚𝑛(𝑡)sin(2𝜋𝑛𝑡)
𝑁
𝑛=1 (3)
The above signal was passed through FrFT represented by 𝐹+𝛼
and the signal is
passed through AWGN, Rayleigh, Racian, Nakagami
After passing through FrFT the signal is given by
{𝐹+𝛼
{𝑥(𝑡)}} = √
1−𝑖𝑐𝑜𝑡𝜃
2𝜋
∫ 𝑥(𝑡)𝑒
𝑗
2
(𝑢2+𝑡2)𝑐𝑜𝑡𝜃−𝑖𝑢𝑡𝑐𝑠𝑐𝜃
+
𝑇
2
−
𝑇
2
(4)
By keeping the value of x(t) from Eq (3) and Eq(4)
Becomes
{𝐹+𝛼{𝑥(𝑡)}} = √
1 − 𝑖𝑐𝑜𝑡𝜃
2𝜋
× 𝐴
Where
𝐴 = ∫ ∑ 𝑚𝑛(𝑡) sin(2𝜋𝑛𝑡) . 𝑒
𝑗
2
(𝑢2+𝑡2)𝑐𝑜𝑡𝜃−𝑖𝑢𝑡𝑐𝑠𝑐𝜃
𝑁
𝑛=1
−𝑇/2
+𝑇/2
(5)
This Eq(5) FrFT is transmitted through different wireless channels
After the channel the signal is passed through after which the signal 𝑋𝛼 is passed
through Inverse Fractional Fourier Transform(IFrFT) given by
{𝐹−𝛼
{𝐹+𝛼{𝑥(𝑡)}}} = 𝐹−𝛼
{√
1−𝑖𝑐𝑜𝑡𝜃
2𝜋
× 𝐴}
{𝐹−𝛼
{𝐹+𝛼{𝑥(𝑡)}}} = 𝑥(𝑡) (6)
The original transmitted signal is recovered after passing through IFrFT when
fractional value a=1 the conventional Fourier transform is obtained
B. Noise channels
Additional White Gaussian Noise (AWGN) channel the received signal is equal to
the transmitted signal with some portion of white Gaussian white noise added. This
channel is particularly important for discrete models operating on a restricted number
space, because this allows one to optimise the circuits in terms of their noise
performance.
𝑠(𝑡) = 𝐴 + 𝑛(𝑡)(7)
Rayleigh fading is caused by multipath reception. The mobile antenna receives a
large number, say N, reflected and scattered waves. Because of wave cancellation
effects, the instantaneous received power seen by a moving antenna becomes a
random variable, dependent on the location of the antenna. To simplify the derivation
of the fading models an un-modulated carrier of the form as transmission signal is
used.
𝑠(𝑡) = 𝐴 ∑ 𝑎𝑖(𝑡). cos{2𝜋𝑓[𝑡 − 𝜏𝑖(𝑡)]}(8)
𝐷(𝑡)−1
𝑖=0
Rician fading channel indicates that there is a prominent or direct path over which
the electromagnetic wave can travel. Compared to the Rayleigh channel model,
Equation 1, the Rician fading channel model has an additional component to reflect
the prominent path.
𝑠(𝑡) = 𝐴. cos(2𝜋𝑓𝑡) + ∑ 𝑎𝑖(𝑡). cos{2𝜋𝑓[𝑡 − 𝜏𝑖(𝑡)]}(9)
𝐷(𝑡)−1
𝑖=0
Nakagami fading model was initially proposed because it matched empirical results
for short wave ionospheric propagation. In current wireless communication, the main
role of the Nakagami model can be summarized as follows
 It describes the amplitude of received signal after maximum ratio diversity
combining.
 The sum of multiple independent and identically distributed (i.i.d.) Rayleigh-
fading signals have a Nakagami distributed signal amplitude. This is particularly
relevant to model interference from multiple sources.
 The Nakagami distribution matches some empirical data better than other models
 The Rician and the Nakagami model behave approximately equivalently near their
mean value. This observation has been used in many recent papers to advocate the
Nakagami model as an approximation for situations where a Rician model would
be more appropriate.
For Nakagami fading, the instantaneous power has the gamma pdf
𝑓𝑝𝑖
(𝑝𝑖) =
1
𝐺(𝑚)
(
𝑚
𝑝𝑖
̅
)
𝑚
𝑝𝑖
𝑚−1
𝑒
{−
𝑚𝑝𝑖
𝑝𝑖
}
(10)
where G(m) is the gamma function, with G(m + 1) = m! for integer shape factors m.
The mean value is𝑝𝑖. In the special case that m = 1, Rayleigh fading is recovered,
while for larger m the spread of the signal strength is less, and the pdf converges to a
delta function for increasing m.
Figure 5 Block Diagram of Proposing Scheme
Compared with current genome indexing methods, our indexing process
provides a faster and light-weight alternative for index generation, which is similar to
the big data retrieval systems. These indices can reduce the search space and provide
an estimation of the target sequence locations in the reference sequence. Our
implemented genome indexing technique models a nucleotide sequence as a graph by
counting the transitions between each pair of nucleotides. To be more specific, as
shown in Figure 9, we take a graph with four states according to the different types of
nucleotides and sixteen vertices according to all possible transitions between
nucleotides. We read the first nucleotide of the sequence and treat it as the initial
state. Then, we move from one state to the other state by scanning the next nucleotide
repeatedly until the end of the sequence. Afterwards, we calculate the number of
nucleotide transitions (we count how many times we pass one vertex in the graph) and
store them in a 4 × 4 matrix. Finally, we normalize the resulting matrix as follows:
𝑘𝑠𝑤 is the number that has the S-type nucleotide immediately before the W-type
nucleotide.
INPUT
DATA
Serial to
parallel
Signal
Mapper
Inverse DWT
Output Data
Parallel to
Serial
Signal
Demapper
DWT
𝐹𝛼
Parallel To
Serial
Parallel To
Serial
Noise channels 𝐹−𝛼
The goal of this step is to find similar indices based on the information of the
sequence. We define a symmetric distance function between two index matrices I and
J as follows:𝐷𝑀𝑆𝐸(𝐼, 𝐽) = ‖𝐼 − 𝐽‖𝑓, where ‖∙‖𝑓 is the Frobenius norm of the matrix.
After generating the indices of the reference sequence and the target sequence, the
𝐷𝑀𝑆𝐸distances to all of the reference sequence indices are calculated, where the best
similar indices in terms of 𝐷𝑀𝑆𝐸is chosen as our location.
CHAPTER 6
RESULTS
IV. PERFORMANCE SIMULATION
In order to evaluate and compare the performance of the proposed transform
and examine its impact on the system, a MATLAB simulation was performed,
assuming nonlinear AWGN channel and using randomly generated data bits with
QPSK modulation. Symbols are transmitted over 64 subcarriers with 256-point
IFFT/FFT (oversampling factor equal to 4). The OFDM & proposed OFDM
parameters are tabulated in Table I. Simulation results are presented in Fig. 6.
Table 1: BPSK Modulated FrFT OFDM @ Normalisation factor a = 0.3 and a=1.
Table 2: M PSK Modulated FrFT OFDM @ Normalisation factor a = 0.3 and a=1.
For BPSK
S.No Channels BER(in
dB)
Original
System(SNR)
Proposed
system(SNR)
frft_OFDM
Improvement
in SNR
aopt SNR
1. AWGN 10-2.1
5 0.3 20 15
2. RAYLEIGH 10-2.4
24.3 0.3 25 0.7
3. RICIAN 10-2.9
34 0.3 22.3 11.5
4. NAKAGAMI 10-3.1
18 0.3 30 2
For MPSK
S.No Channels BER(in
dB)
Original
System(SNR)
Proposed
system(SNR)
frft_OFDM
Improvement
in SNR
aopt SNR
1. AWGN 10-2.1
11 0.3 30 19
2. RAYLEIGH 10-2.4
34.5 0.3 35 0.5
3. RICIAN 10-2.9
42 0.3 43.5 1.5
4. NAKAGAMI 10-3.1
28 0.3 29 1
Table 3: MQAM Modulated FrFT OFDM @ Normalisation factor a = 0.3 and a=1.
M-QAM
S.No Channels BER(in
dB)
Original
System(SNR)
Proposed
system
Improvement
in SNR
aopt SNR
1. AWGN 10-2.1
25 0.3 28 3
2. RAYLEIGH 10-2.4
55 0.3 50 5
3. RICIAN 10-2.9
56 0.3 57.5 1.5
4. NAKAGAMI 10-3.1
43 0.3 45 2
FIGURE 6 AWGN CHANNEL
FIGURE 7 RAYLEIGH FRFT CHANNEL
FIGURE 8RICIAN FRFT CHANNEL
FIGURE 7 NAKAGAMI FRFT CHANNEL
Orthogonal Frequency Division Multiplexing (OFDM) is an attractive multicarrier
technique for mitigating the effects of multipath delay spread of radio channel, and
hence accepted for
APPLICATION
1. Several wireless standards as well as number of mobile multimedia applications.
2. WiMAX
3. 4G wireless systems
4. DVB/DAB
5. Wireless network in downlink and SC-FDMA in the uplink.
6. High speed wireless multiple access communication systems.
CHAPTER 7
CONCLUSION
Obtaining best results using BPSK Modulated signal using FRFT OFDM which helps
in achieving maximised BER performance under different noise channels. Here at
maximum SNR the best BER are tabulated. From that we see for Rayleigh channel
10-2.4
BER at 20dB SNR is achieved for 1024 QPSK and for racian channel 10-2.9
BER
at 25dB SNR is achieved for 1024 QAM and for Nakagami channel 10-3.1
BER at
30dB SNR is achieved for 1024 QAM and for the AWGN channel 10-2.1
BER at
22.3dB SNR is achieved for 1024 QPSK modulation.
FutureScope Encryption based DWT-FrFT will leads to securable
communication process.
APPENDIX A
The transform gain is defined as
Thus, , where and , denote the
average power of the original and companded signals, respectively.
Is the peak power of companded signal, and is the peak power of original signal.
With the probability distribution function of OFDM signal denoted as ,
which has Gaussian distribution function
the average power of the companded signal can be written as
The variance of the transformed noise term at the receiver can be written as
Where
and 𝝈𝟎
𝟐
and 𝝈𝒒
𝟐
, are variances of the Gaussian noise and the quantization error,
respectively.
MATLAB
A.1 Introduction
MATLAB is a high-performance language for technical computing. It
integrates computation, visualization, and programming in an easy-to-use
environment where problems and solutions are expressed in familiar mathematical
notation. MATLAB stands for matrix laboratory, and was written originally to
provide easy access to matrix software developed by LINPACK (linear system
package) and EISPACK (Eigen system package) projects. MATLAB is therefore built
on a foundation of sophisticated matrix software in which the basic element is array
that does not require pre dimensioning which to solve many technical computing
problems, especially those with matrix and vector formulations, in a fraction of time.
MATLAB features a family of applications specific solutions called toolboxes.
Very important to most users of MATLAB, toolboxes allow learning and applying
specialized technology. These are comprehensive collections of MATLAB functions
(M-files) that extend the MATLAB environment to solve particular classes of
problems. Areas in which toolboxes are available include signal processing, control
system, neural networks, fuzzy logic, wavelets, simulation and many others.
Typical uses of MATLAB include: Math and computation, Algorithm
development, Data acquisition, Modeling, simulation, prototyping, Data analysis,
exploration, visualization, Scientific and engineering graphics, Application
development, including graphical user interface building.
A.2 Basic Building Blocks of MATLAB
The basic building block of MATLAB is MATRIX. The fundamental data
type is the array. Vectors, scalars, real matrices and complex matrix are handled as
specific class of this basic data type. The built in functions are optimized for vector
operations. No dimension statements are required for vectors or arrays.
A.2.1 MATLAB Window
The MATLAB works based on five windows: Command window, Workspace
window, Current directory window, Command history window, Editor Window,
Graphics window and Online-help window.
A.2.1.1 Command Window
The command window is where the user types MATLAB commands and
expressions at the prompt (>>) and where the output of those commands is displayed.
It is opened when the application program is launched. All commands including user-
written programs are typed in this window at MATLAB prompt for execution.
A.2.1.2 Work Space Window
MATLAB defines the workspace as the set of variables that the user creates in
a work session. The workspace browser shows these variables and some information
about them. Double clicking on a variable in the workspace browser launches the
Array Editor, which can be used to obtain information.
A.2.1.3 Current Directory Window
The current Directory tab shows the contents of the current directory, whose
path is shown in the current directory window. For example, in the windows operating
system the path might be as follows: C:MATLABWork, indicating that directory
“work” is a subdirectory of the main directory “MATLAB”; which is installed in
drive C. Clicking on the arrow in the current directory window shows a list of recently
used paths. MATLAB uses a search path to find M-files and other MATLAB related
files. Any file run in MATLAB must reside in the current directory or in a directory
that is on search path.
A.2.1.4 Command History Window
The Command History Window contains a record of the commands a user has
entered in the command window, including both current and previous MATLAB
sessions. Previously entered MATLAB commands can be selected and re-executed
from the command history window by right clicking on a command or sequence of
commands. This is useful to select various options in addition to executing the
commands and is useful feature when experimenting with various commands in a
work session.
A.2.1.5 Editor Window
The MATLAB editor is both a text editor specialized for creating M-files and
a graphical MATLAB debugger. The editor can appear in a window by itself, or it can
be a sub window in the desktop. In this window one can write, edit, create and save
programs in files called M-files.
MATLAB editor window has numerous pull-down menus for tasks such as
saving, viewing, and debugging files. Because it performs some simple checks and
also uses color to differentiate between various elements of code, this text editor is
recommended as the tool of choice for writing and editing M-functions.
A.2.1.6 Graphics or Figure Window
The output of all graphic commands typed in the command window is seen in
this window.
A.2.1.7 Online Help Window
MATLAB provides online help for all it’s built in functions and programming
language constructs. The principal way to get help online is to use the MATLAB help
browser, opened as a separate window either by clicking on the question mark symbol
(?) on the desktop toolbar, or by typing help browser at the prompt in the command
window. The help Browser is a web browser integrated into the MATLAB desktop
that displays a Hypertext Markup Language (HTML) documents. The Help Browser
consists of two panes, the help navigator pane, used to find information, and the
display pane, used to view the information. Self-explanatory tabs other than navigator
pane are used to perform a search.
A.3 MATLAB Files
MATLAB has three types of files for storing information. They are: M-files
and MAT-files.
A.3.1 M-Files
These are standard ASCII text file with ‘m’ extension to the file name and
creating own matrices using M-files, which are text files containing MATLAB code.
MATLAB editor or another text editor is used to create a file containing the same
statements which are typed at the MATLAB command line and save the file under a
name that ends in .m. There are two types of M-files:
1. Script Files
It is an M-file with a set of MATLAB commands in it and is executed by
typing name of file on the command line. These files work on global variables
currently present in that environment.
2. Function Files
A function file is also an M-file except that the variables in a function file are
all local. This type of files begins with a function definition line.
A.3.2 MAT-Files
These are binary data files with .mat extension to the file that are created by
MATLAB when the data is saved. The data written in a special format that only
MATLAB can read. These are located into MATLAB with ‘load’ command.
A.4 the MATLAB System:
The MATLAB system consists of five main parts:
A.4.1 Development Environment:
This is the set of tools and facilities that help you use MATLAB functions and
files. Many of these tools are graphical user interfaces. It includes the MATLAB
desktop and Command Window, a command history, an editor and debugger, and
browsers for viewing help, the workspace, files, and the search path.
A.4.2 the MATLAB Mathematical Function:
This is a vast collection of computational algorithms ranging from elementary
functions like sum, sine, cosine, and complex arithmetic, to more sophisticated
functions like matrix inverse, matrix eigen values, Bessel functions, and fast Fourier
transforms.
A.4.3 the MATLAB Language:
This is a high-level matrix/array language with control flow statements,
functions, data structures, input/output, and object-oriented programming features. It
allows both "programming in the small" to rapidly create quick and dirty throw-away
programs, and "programming in the large" to create complete large and complex
application programs.
A.4.4 Graphics:
MATLAB has extensive facilities for displaying vectors and matrices as
graphs, as well as annotating and printing these graphs. It includes high-level
functions for two-dimensional and three-dimensional data visualization, image
processing, animation, and presentation graphics. It also includes low-level functions
that allow you to fully customize the appearance of graphics as well as to build
complete graphical user interfaces on your MATLAB applications.
A.4.5 the MATLAB Application Program Interface (API):
This is a library that allows you to write C and FORTRAN programs that
interact with MATLAB. It includes facilities for calling routines from MATLAB
(dynamic linking), calling MATLAB as a computational engine, and for reading and
writing MAT-files.
A.5 SOME BASIC COMMANDS:
pwd prints working directory
Demo demonstrates what is possible in Mat lab
Who lists all of the variables in your Mat lab workspace?
Whose list the variables and describes their matrix size
clear erases variables and functions from memory
clear x erases the matrix 'x' from your workspace
close by itself, closes the current figure window
figure creates an empty figure window
hold on holds the current plot and all axis properties so that subsequent graphing
commands add to the existing graph
hold off sets the next plot property of the current axes to "replace"
find find indices of nonzero elements e.g.:
d = find(x>100) returns the indices of the vector x that are greater than 100
break terminate execution of m-file or WHILE or FOR loop
for repeat statements a specific number of times, the general form of a FOR
statement is:
FOR variable = expr, statement, ..., statement END
for n=1:cc/c;
magn(n,1)=NaNmean(a((n-1)*c+1:n*c,1));
end
diff difference and approximate derivative e.g.:
DIFF(X) for a vector X, is [X(2)-X(1) X(3)-X(2) ... X(n)-X(n-1)].
NaN the arithmetic representation for Not-a-Number, a NaN is obtained as a
result of mathematically undefined operations like 0.0/0.0
INF the arithmetic representation for positive infinity, a infinity is also produced
by operations like dividing by zero, e.g. 1.0/0.0, or from overflow, e.g.
exp(1000).
save saves all the matrices defined in the current session into the file,
matlab.mat, located in the current working directory
load loads contents of matlab.mat into current workspace
save filename x y z saves the matrices x, y and z into the file titled
filename.mat
save filename x y z /ascii save the matrices x, y and z into the file titled filename.dat
load filename loads the contents of filename into current workspace; the
file can
be a binary (.mat) file
load filename.dat loads the contents of filename.dat into the variable
filename
xlabel(‘ ’) : Allows you to label x-axis
ylabel(‘ ‘) : Allows you to label y-axis
title(‘ ‘) : Allows you to give title for
plot
subplot() : Allows you to create multiple
plots in the same window
A.6 SOME BASIC PLOT COMMANDS:
Kinds of plots:
plot(x,y) creates a Cartesian plot of the vectors x & y
plot(y) creates a plot of y vs. the numerical values of the elements in the y-
vector
semilogx(x,y) plots log(x) vs y
semilogy(x,y) plots x vs log(y)
loglog(x,y) plots log(x) vs log(y)
polar(theta,r) creates a polar plot of the vectors r & theta where theta is in radians
bar(x) creates a bar graph of the vector x. (Note also the command stairs(x))
bar(x, y) creates a bar-graph of the elements of the vector y, locating the bars
according to the vector elements of 'x'
Plot description:
grid creates a grid on the graphics plot
title('text') places a title at top of graphics plot
xlabel('text') writes 'text' beneath the x-axis of a plot
ylabel('text') writes 'text' beside the y-axis of a plot
text(x,y,'text') writes 'text' at the location (x,y)
text(x,y,'text','sc') writes 'text' at point x,y assuming lower left corner is (0,0)
and upper right corner is (1,1)
axis([xmin xmax ymin ymax]) sets scaling for the x- and y-axes on the current plot
A.7 ALGEBRIC OPERATIONS IN MATLAB:
Scalar Calculations:
+ Addition
- Subtraction
* Multiplication
/ Right division (a/b means a ÷ b)
 left division (ab means b ÷ a)
^ Exponentiation
For example 3*4 executed in 'matlab' gives ans=12
4/5 gives ans=0.8
Array products: Recall that addition and subtraction of matrices
involved addition or subtraction of the individual elements of the matrices. Sometimes
it is desired to simply multiply or divide each element of an matrix by the
corresponding element of another matrix 'array operations”.
Array or element-by-element operations are executed when the operator is preceded
by a '.' (Period):
a .* b multiplies each element of a by the respective element of b
a ./ b divides each element of a by the respective element of b
a . b divides each element of b by the respective element of a
a .^ b raise each element of a by the respective b element
A.8 MATLAB WORKING ENVIRONMENT:
A.8.1 MATLAB DESKTOP
Matlab Desktop is the main Matlab application window. The desktop contains
five sub windows, the command window, the workspace browser, the current
directory window, the command history window, and one or more figure windows,
which are shown only when the user displays a graphic.
The command window is where the user types MATLAB commands and
expressions at the prompt (>>) and where the output of those commands is displayed.
MATLAB defines the workspace as the set of variables that the user creates in a work
session.
The workspace browser shows these variables and some information about
them. Double clicking on a variable in the workspace browser launches the Array
Editor, which can be used to obtain information and income instances edit certain
properties of the variable.
The current Directory tab above the workspace tab shows the contents of the
current directory, whose path is shown in the current directory window. For example,
in the windows operating system the path might be as follows: C:MATLABWork,
indicating that directory “work” is a subdirectory of the main directory “MATLAB”;
WHICH IS INSTALLED IN DRIVE C. clicking on the arrow in the current directory
window shows a list of recently used paths. Clicking on the button to the right of the
window allows the user to change the current directory.
MATLAB uses a search path to find M-files and other MATLAB related files,
which are organize in directories in the computer file system. Any file run in
MATLAB must reside in the current directory or in a directory that is on search path.
By default, the files supplied with MATLAB and math works toolboxes are included
in the search path. The easiest way to see which directories are soon the search
path, or to add or modify a search path, is to select set path from the File menu the
desktop, and then use the set path dialog box. It is good practice to add any commonly
used directories to the search path to avoid repeatedly having the change the current
directory.
The Command History Window contains a record of the commands a user has
entered in the command window, including both current and previous MATLAB
sessions. Previously entered MATLAB commands can be selected and re-executed
from the command history window by right clicking on a command or sequence of
commands.
This action launches a menu from which to select various options in addition
to executing the commands. This is useful to select various options in addition to
executing the commands. This is a useful feature when experimenting with various
commands in a work session.
A.8.2 Using the MATLAB Editor to create M-Files:
The MATLAB editor is both a text editor specialized for creating M-files and a
graphical MATLAB debugger. The editor can appear in a window by itself, or it can
be a sub window in the desktop. M-files are denoted by the extension .m, as in
pixelup.m.
The MATLAB editor window has numerous pull-down menus for tasks such
as saving, viewing, and debugging files. Because it performs some simple checks and
also uses color to differentiate between various elements of code, this text editor is
recommended as the tool of choice for writing and editing M-functions.
To open the editor , type edit at the prompt opens the M-file filename.m in an
editor window, ready for editing. As noted earlier, the file must be in the current
directory, or in a directory in the search path.
A.8.3 Getting Help:
The principal way to get help online is to use the MATLAB help browser,
opened as a separate window either by clicking on the question mark symbol (?) on
the desktop toolbar, or by typing help browser at the prompt in the command window.
The help Browser is a web browser integrated into the MATLAB desktop that
displays a Hypertext Markup Language(HTML) documents. The Help Browser
consists of two panes, the help navigator pane, used to find information, and the
display pane, used to view the information. Self-explanatory tabs other than navigator
pane are used to perform a search.
REFERENCES
[1] A. R. S. Bahai and B. R. Saltzberg, Multi-Carrier Digital Communications:
Theory and Applications of OFDM. New York: Kluwer Academic Publishers, 2002,
pp. 14–15.
[2] C. Schurgers and M. Srivastava, “A systematic approach to peak-toaverage power
ratio in OFDM,” in Proc. SPIE, 2001, vol. 4474, pp. 454–464.
[3] J. Armstrong, “Peak-to-average reduction for OFDM by repeated clipping and
frequency domain filtering,” IEE Electron. Lett., vol. 38, pp. 246–247, May 2002.
[4] X. Li and L. J. Cimini, Jr., “Effects of clipping and filtering on the performance of
OFDM,” IEEE Commun. Lett., vol. 2, no. 5, pp. 131–133, May 1998.
[5] X. Wang et al., “Reduction of peak-to-average power ratio of OFDM system using
a companding technique,” IEEE Trans. Broadcast., vol. 45, no. 3, pp. 303–307, Sep.
1999.
[6] A. Mattsson et al., “Comments on: reduction of peak-to-average Power ratio of
OFDM system using a companding technique,” IEEE Trans. Broadcast., vol. 45, no.
4, pp. 418–419, Dec. 1999.
[7] X. Wang et al., “Reply to the comments on reduction of peak-to-average power
ratio of OFDM system using A companding technique,” IEEE Trans. Broadcast., vol.
45, no. 4, pp. 420–423, Dec. 1999.
[8] X. Wang et al., “On the SER analysis of A-law companded OFDM system,” in
Proc. Global Telecommun. Conf., 2000. GLOBECOM ’00. IEEE, Dec. 2000, vol. 2,
pp. 756–760.
[9] X. Huang et al., “Reduction of peak-to-average power ratio of OFDM signals with
companding transform,” IEE Elec. Lett., vol. 37, no. 8, pp. 506–507, Apr. 2001.
[10] Y. Guo and J. R. Cavallaro, “Reducing peak-to-average power ratio in OFDM
systems by adaptive dynamic range companding,” in 3G Wireless, World Wireless
Congress, San Francisco, CA, May 2002, pp. 536–541, paper 159.
[11] T. Jiang and G. Zhu, “Nonlinear companding transform for reducing peak-to-
average power ratio of OFDM signals,” IEEE Trans. Broadcast., vol. 50, no. 3, pp.
342–346, Sep. 2004.
[12] X. Huang et al., “Companding transform for reduction in peak-to-average power
ratio of OFDM signals,” IEEE Trans. Wireless Commun., vol. 3, no. 6, pp. 2030–
2039, Nov. 2004.
[13] T. Jiang et al., “Exponential companding transform for PAPR reduction in
OFDM systems,” IEEE Trans. Broadcast., vol. 51, no. 2, pp. 244–248, Jun. 2005.
[14] T. Jiang et al., “Two novel nonlinear companding schemes with iterativereceiver
to reduce PAPR in multi-carrier modulation systems,” IEEE Trans. Broadcast., vol.
52, no. 2, pp. 268–273, Jun. 2006.
[15] T. G. Pratt et al., “OFDM link performance with companding for PAPRreduction
in the presence of non-linear amplification,” IEEE Trans. Broadcast., vol. 52, no. 2,
pp. 261–267, June 2006.
[16] C.-L. Wang and S.-J. Ku, “A low-complexity companding transform for peak-to-
average power ratio reduction in OFDM systems,” in Proc. IEEE Int. Conf. on
Acoustics, Speech and Signal Processing ICASSP 2006, 2006, vol. 4, pp. IV-329–IV-
332.
[17] S. A. Aburakhia, E. F. Badran, and D. A. E. Mohamed, “A comparison between
signal clipping and �-law companding schemes for the reduction of peak-to-average
power ratio of OFDM signals,” in Proc. 1st
Int. Conf. on Digital Commun. &
Computer Applications DCCA2007,Irbid, Jordan, Mar. 2007, pp. 423–431.
[18] M. Sharif, M. G. Alkhansari, and B. H. Khalaj, “New results on the peak power
of OFDM signals based on oversampling,” in Proc. IEEE Int. Commun. Conf.,
Helsinki, Finland, Apr. 2002, vol. 2, pp. 866–871.
[19] C. Dudak and A. T. Koc, “Solid state power amplifier (SSPA) nonlinearity
effects on quadri-phase shift keying modulation,” in Proc. 7th
European Conf. on
Wireless Technology, 2004, pp. 237–240.
[20] C. Rapp, “Effects of HPA nonlinearity on a 4-DPSK/OFDM signal for a digital
sound broadcasting system,” in Proc. 2nd European Conf. on Satellite Commun.,
Líege, Belgium, Oct. 1991, pp. 179–184.
[21] S. C. Thompson, J. G. Proakis, and J. R. Zeidler, “The effectiveness of signal
clipping for PAPR and total degradation reduction in OFDM systems,” in Proc. of the
IEEE Global Telecommun. Conf., St. Louis, Dec. 2005, vol. 5, pp. 2807–2811.
[22] R. Van Nee and R. Prasad, OFDM for Wireless Multimedia Communications.
London: Artech House, 2000, pp. 127–128.
[23]Mrs.Veena M.B. Dr.M.N.ShanmukhaSwamy,“Performance analysis of DWT
based OFDM over FFT based OFDM and implementing on FPGA” International
Journal of VLSI design & Communication Systems (VLSICS) Vol.2, No.3,
September 2011.
[24] Deepak Gupta, Vipin B Vats, Kamal K. Garg, “Performance Analysis of DFT-
OFDM, DCT-OFDM, and DWT-OFDM Systems in AWGN Channel” International
Conference on Wireless and Mobile Communications ICWMC’08, July 27 – Aug 01,
2008.
[25] Swati Sharma, Sanjeevkumar, “BER Performance Evaluation of FFT-OFDM and
DWT-OFDM”International Journal of Network and MobileTechnologiesISSN 2229-
9114 Electronic VersionVOL 2 / ISSUE 2 / MAY 2011.
[26] LalchandraPatidar, Ashish Parikh, “BER Comparison of DCT-based OFDM and
FFT-based OFDM using BPSK Modulation over AWGN and Multipath Rayleigh
Fading Channel” International Journal of Computer Applications (0975 – 8887)
Volume 31– No.10, October 2011.
[27] R. Saxena, K. Singh, Fractional Fourier transform: a novel tool for
signalprocessing, Indian Inst. Sci. 85 (2005) 11–26
[28]N. Prasad, S. Wang, N. Wang, Efficient receiver algorithms for DFT-spread
OFDM systems, IEEE Trans. Wirel. Commun. 8 (2009) 3216–3225
[29] Stefano Galli, O. Logvinov, "Recent Developments in the Standardization of
Power Line Communications within the IEEE". IEEE Communications
Magazine. 46 (7): 64–71, July 2008.
[30] StéphaneMallat, A Wavelet Tour of Signal Processing, Academic Press, 1999.
[31] C. S. Burrus, R. A. Gopinath, H. Guo, Introduction to Wavelets and Wavelet
Transforms, a primer, Prentice Hall New jersey, 1998.

doc_raj.docx

  • 1.
    CHAPTER 1 INTRODUCTION ORTHOGONAL frequencydivision multiplexing (OFDM) has been attracting substantial attention due to its excellent performance under severe channel condition . The rapidly growing application of OFDM includes WiMAX, DVB/DAB and 4G wireless systems. OVERVIEW Initial proposals for OFDM were made in the 60s and the 70s. It has taken more than a quarter of a century for this technology to move from the research domain to the industry. The concept of OFDM is quite simple but the practicality of implementing it has many complexities. So, it is a fully software project.OFDM depends on Orthogonality principle. Orthogonality means, it allows the sub carriers, which are orthogonal to each other, meaning that cross talk between co-channels is eliminated and inter-carrier guard bands are not required. This greatly simplifies the design of both the transmitter and receiver, unlike conventional FDM; a separate filter for each sub channel is not required. Orthogonal Frequency Division Multiplexing (OFDM) is a digital multi carrier modulation scheme, which uses a large number of closely spaced orthogonal sub-carriers. A single stream of data is split into parallel streams each of which is coded and modulated on to a subcarrier, a term commonly used in OFDM systems.Each sub- carrier is modulated with a conventional modulation scheme (such as quadrature amplitude modulation) at a low symbol rate, maintaining data rates similar to conventional single carrier modulation schemes in the same bandwidth. Thus the high bit rates seen before on a single carrier is reduced to lower bit rates on the subcarrier. In practice, OFDM signals are generated and detected using the Fast Fourier Transform algorithm. OFDM has developed into a popular scheme for wideband digital communication, wireless as well as copper wires.Actually; FDM systems have been common for many decades. However, in FDM, the carriers are all independent of each other. There is a guard period in between them and no overlap whatsoever. This works well because in FDM system each carrier carries data meant for a different user or application. FM radio is an FDM system. FDM systems are not ideal for what we want for wideband systems. Using FDM would waste too much bandwidth. This is
  • 2.
    where OFDM makessense. In OFDM, subcarriers overlap. They are orthogonal because the peak of one subcarrier occurs when other subcarriers are at zero. This is achieved by realizing all the subcarriers together using Inverse Fast Fourier Transform (IFFT). The demodulator at the receiver parallel channels from an FFT block. Note that each subcarrier can still be modulated independently.
  • 3.
    CHAPTER 2 LITERATURE SURVEY Background: Mostfirst generations systems were introduced in the mid 1980’s, and can be Characterized by the use of analog transmission techniques and the use of simple multiple access techniques such as Frequency Division Multiple Access (FDMA). First generation telecommunications systems such as Advanced Mobile Phone Service (AMPS) only provided voice communications. They also suffered from a low user capacity, and security problems due to the simple radio interface used. Second generation systems were introduced in the early 1990’s, and all use digital technology. This provided an increase in the user capacity of around three times. This was achieved by compressing the voice waveforms before transmission. Third generation systems are an extension on the complexity of second- generation systems and are expected to be introduced after the year 2000. The system capacity is expected to be increased to over ten times original first generation systems. This is going to be achieved by using complex multiple access techniques such as Code Division Multiple Access (CDMA), or an extension of TDMA, and by improving flexibility of services available. The telecommunications industry faces the problem of providing telephone services to rural areas, where the customer base is small, but the cost of installing a wired phone network is very high. One method of reducing the high infrastructure cost of a wired system is to use a fixed wireless radio network. The problem with this is that for rural and urban areas, large cell sizes are required to get sufficient coverage. Currently Global System for Mobile telecommunications (GSM) technology is being applied to fixed wireless phone systems in rural areas. However, GSM uses time division multiple access (TDMA), which has a high symbol rate leading to problems with multipath causing inter-symbol interference. Several techniques are under consideration for the next generation of digital phone systems, with the aim of improving cell capacity, multipath immunity, and flexibility. These include CDMA and OFDM. Both these techniques could be applied to providing a fixed wireless system for rural areas. However, each technique as different properties, making it more suited for specific applications.
  • 4.
    Figure 2.1 Evolutionof current networks to the next generation of wireless networks. Figure 2.1 shows the evolution of current services and networks to the aim of combining them into a unified third generation network. Many currently separate systems and services such as radio paging, cordless telephony, satellite phones and private radio systems for companies etc,. will be combined so that all these services will be provided by third generation telecommunications systems. OFDM is currently being used in several new radio broadcast systems including the proposal for high definition digital television (HDTV) and digital audio broadcasting (DAB). However, little research has been done into the use of OFDM as a transmission method for mobile telecommunications systems. In CDMA, all users transmit in the same broad frequency band using specialized codes as a basis of channelization. Both the base station and the mobile station know these codes, which are used to modulate the data sent. OFDM/COFDM allows many users to transmit in an allocated band, by subdividing the available bandwidth into many narrow bandwidth carriers. Each user is allocated several carriers in which to transmit their data. The transmission is generated in such a way that the carriers used are orthogonal to one another, thus allowing them to be packed together much closer than standard
  • 5.
    frequency division multiplexing(FDM). This leads to OFDM/COFDM providing a high spectral efficiency. Orthogonal Frequency Division Multiplexing is a scheme used in the area of high-data-rate mobile wireless communications such as cellular phones, satellite communications and digital audio broadcasting. This technique is mainly utilized to combat inter-symbol interference. Multiple Access Techniques: Multiple access schemes are used to allow many simultaneous users to use the same fixed bandwidth radio spectrum. In any radio system, the bandwidth, which is allocated to it, is always limited. For mobile phone systems the total bandwidth is typically 50 MHz, which is split in half to provide the forward and reverse links of the system. Sharing of the spectrum is required in order increase the user capacity of any wireless network. FDMA, TDMA and CDMA are the three major methods of sharing the available bandwidth to multiple users in wireless system. There are many extensions, and hybrid techniques for these methods, such as OFDM, and hybrid TDMA and FDMA systems. However, an understanding of the three major methods is required for understanding of any extensions to these methods. F Fr re eq qu ue en nc cy y D Di iv vi is si io on n M Mu ul lt ti ip pl le e A Ac cc ce es ss se es s ( (F FD DM MA A) ): : In Frequency Division Multiple Access (FDMA), the available bandwidth is subdivided into a number of narrower band channels. Each user is allocated a unique frequency band in which to transmit and receive on. During a call, no other user can use the same frequency band. Each user is allocated a forward link channel (from the base station to the mobile phone) and a reverse channel (back to the base station), each being a single way link. The transmitted signal on each of the channels is continuous allowing analog transmissions. The bandwidths of FDMA channels are generally low (30 kHz) as each channel only supports one user. FDMA is used as the primary breakup of large allocated frequency bands and is used as part of most multi-channel systems.
  • 6.
    Figure 2.2 &Figure 2.3 show the allocation of the available bandwidth into several channels. T Ti im me e D Di iv vi is si io on n M Mu ul lt ti ip pl le e A Ac cc ce es ss s: : Time Division Multiple Access (TDMA) divides the available spectrum into multiple time slots, by giving each user a time slot in which they can transmit or receive. Figure 2.4 TDMA scheme, where each user is allocated a small time slot Figure 2.4 shows how the time slots are provided to users in a round robin fashion, with each user being allotted one time slot per frame. TDMA systems transmit data in a buffer and burst method, thus the transmission of each channel is non-continuous. The input data to be transmitted is buffered over the previous frame and burst transmitted at a higher rate during the time slot for the channel. TDMA can not send analog signals directly due to the buffering required, thus are only used for transmitting digital data. TDMA can suffer from multipath effects, as the transmission rate is generally very high. This leads the multipath signals causing inter-symbol interference. TDMA is normally used in conjunction with FDMA to subdivide the total available bandwidth into several channels. This is done to reduce the number of users per channel allowing a lower data rate to be used. This helps reduce the effect of delay spread on the transmission.. For GSM, the total allocated bandwidth of 25MHz
  • 7.
    is divided into125, 200 kHz channels using FDMA. These channels are then subdivided further by using TDMA so that each 200 kHz channel allows 8-16 users. Figure 2.5 TDMA/FDMA hybrid showing that the bandwidth is split into frequency channels and time slots Figure 2.5 shows the use of TDMA with FDMA. Each channel based on FDMA, is further subdivided using TDMA, so that several users can transmit of the one channel. This type of transmission technique is used by most digital second generation mobile phone systems C Co od de e D Di iv vi is si io on n M Mu ul lt ti ip pl le e A Ac cc ce es ss s: : Code Division Multiple Access (CDMA) is a spread spectrum technique that uses neither frequency channels nor time slots. In CDMA, the narrow band message (typically digitized voice data) is multiplied by a large bandwidth signal, which is a pseudo random noise code (PN code). All users in a CDMA system use the same frequency band and transmit simultaneously. The transmitted signal is recovered by correlating the received signal with the PN code used by the transmitter. Figure 2.6 Code Division Multiple Access (CDMA) Figure 2.6 shows the general use of the spectrum using CDMA.Some of the properties that have made CDMA useful are: Signal hiding and non-interference with existing systems, Anti-jam and interference rejection, Information security, Accurate Ranging, Multiple User Access, Multipath tolerance.
  • 8.
    Figure 2.7 showsthe process of a CDMA transmission. The data to be transmitted (a) is spread before transmission by modulating the data using a PN code. This broadens the spectrum as shown in (b). In this example the process gain is 125 as the spread spectrum bandwidth is 125 times greater the data bandwidth. Part (c) shows the received signal. This consists of the required signal, plus background noise, and any interference from other CDMA users or radio sources. The received signal is recovered by multiplying the signal by the original spreading code. This process causes the wanted received signal to be dispread back to the original transmitted data. However, all other signals, which are uncorrelated to the PN spreading code used, become more spread. The wanted signal in (d) is then filtered removing the wide spread interference and noise signals. Figure 2.7 Basic CDMA Generation. C CD DM MA A G Ge en ne er ra at ti io on n: : CDMA is achieved by modulating the data signal by a pseudo random noise sequence (PN code), which has a chip rate higher then the bit rate of the data. The PN code sequence is a sequence of ones and zeros (called chips), which alternate in a random fashion. The data is modulated by modular-2 adding the data with the PN code sequence. This can also be done by multiplying the signals, provided the data and PN code is represented by 1 and -1 instead of 1 and 0.
  • 9.
    Figure 2.8 Simpledirect sequence modulator Figure 2.8 shows a basic CDMA transmitter. The PN code used to spread the data can be of two main types. A short PN code(Typically 10-128 chips in length), can be used to modulate each data bit. The short PN code is then repeated for every data bit allowing for quick and simple synchronization of the receiver. Figure 2.9 Direct sequence signals Figure 2.9 shows the generation of a CDMA signal using a 10-chip length short code. Alternatively a long PN code can be used. Long codes are generally thousands to millions of chips in length, thus are only repeated infrequently. Because of this they are useful for added security as they are more difficult to decode. T Th he eo or ry y & & R Re es se ea ar rc ch h I In nt tr ro od du uc ct ti io on n: : The OFDM technology was first conceived in the 1960s and 1970s during research into minimizing ISI, due to multipath. The expression digital communications in its basic form is the mapping of digital information into a waveform called a carrier signal, which is a transmitted electromagnetic pulse or wave at a steady base frequency of alternation on which information can be imposed by increasing signal strength, varying the base frequency, varying the wave phase, or other means. In this instance, orthogonality is an implication of a definite and fixed relationship between all carriers in the collection. Multiplexing is the process of sending multiple signals or
  • 10.
    streams of informationon a carrier at the same time in the form of a single, complex signal and then recovering the separate signals at the receiving end. Modulation is the addition of information to an electronic or optical signal carrier. Modulation can be applied to direct current (mainly by turning it on and off), to alternating current, and to optical signals. One can think of blanket waving as a form of modulation used in smoke signal transmission (the carrier being a steady stream of smoke). In telecommunications in general, a channel is a separate path through which signals can flow. In optical fiber transmission using dense wavelength- division multiplexing, a channel is a separate wavelength of light within a combined, multiplexed light stream. This project focuses on the telecommunications definition of a channel. O OF FD DM M P Pr ri in nc ci ip pl le es s: : OFDM is a special form of Multi Carrier Modulation (MCM) with densely spaced sub carriers with overlapping spectra, thus allowing for multiple-access. MCM) is the principle of transmitting data by dividing the stream into several bit streams, each of which has a much lower bit rate, and by using these sub-streams to modulate several carriers. This technique is being investigated as the next generation transmission scheme for mobile wireless communications networks. F Fo ou ur ri ie er r T Tr ra an ns sf fo or rm m: : Back in the 1960s, the application of OFDM was not very practical. This was because at that point, several banks of oscillators were needed to generate the carrier frequencies necessary for sub-channel transmission. Since this proved to be difficult to accomplish during that time period, the scheme was deemed as not feasible. However, the advent of the Fourier Transform eliminated the initial complexity of the OFDM scheme where the harmonically related frequencies generated by Fourier and Inverse Fourier transforms are used to implement OFDM systems. The Fourier transform is used in linear systems analysis, antenna studies, etc., The Fourier transform, in essence, decomposes or separates a waveform or function into sinusoids of different frequencies which sum to the original waveform. It identifies or distinguishes the different frequency sinusoids and their respective amplitudes.
  • 11.
    The Fourier transformof f(x) is defined as: dx e x f F x j         ) ( ) ( and its inverse is denoted by:           d e F x f x j ) ( 2 1 ) ( However, the digital age forced a change upon the traditional form of the Fourier transform to encompass the discrete values that exist is all digital systems. The modified series was called the Discrete Fourier Transform (DFT). The DFT of a discrete-time system, x(n) is defined as:        1 0 2 ) ( ) ( N n kn N j e n x k  1  k  N and its associated inverse is denoted by:       1 0 2 ) ( 1 ) ( N n kn N j e k N n x  1  n  N However, in OFDM, another form of the DFT is used, called the Fast Fourier Transform (FFT), which is a DFT algorithm developed in 1965. This “new” transform reduced the number of computations from something on the order of 2 N to . log 2 2 N N  O Or rt th ho og go on na al li it ty y: : In geometry, orthogonal means, "involving right angles" (from Greek ortho, meaning right, and gon meaning angled). The term has been extended to general use, meaning the characteristic of being independent (relative to something else). It also (1) (2) (3) (4) (5)
  • 12.
    can mean: non-redundant,non-overlapping, or irrelevant. Orthogonality is defined for both real and complex valued functions. The functions m(t) and n(t) are said to be orthogonal with respect to each other over the interval a < t < b if they satisfy the condition:   b a m m dt t t , 0 ) ( ) ( *   Where n  m O OF FD DM M C Ca ar rr ri ie er rs s: : As fore mentioned, OFDM is a special form of MCM and the OFDM time domain waveforms are chosen such that mutual orthogonality is ensured even though sub-carrier spectra may over-lap. With respect to OFDM, it can be stated that orthogonality is an implication of a definite and fixed relationship between all carriers in the collection. It means that each carrier is positioned such that it occurs at the zero energy frequency point of all other carriers. The sinc function, illustrated in Figure 2.10 exhibits this property and it is used as a carrier in an OFDM system. fu is the sub-carrier spacing Figure 2.10 OFDM sub carriers in the frequency domain (6)
  • 13.
    O Or rt th ho og go on na al l F Fr re eq qu ue en nc cy y D Di iv vi is si io on nM Mu ul lt ti ip pl le ex xi in ng g: : Orthogonal Frequency Division Multiplexing (OFDM) is a multicarrier transmission technique, which divides the available spectrum into many carriers, each one being modulated by a low rate data stream. OFDM is similar to FDMA in that the multiple user access is achieved by subdividing the available bandwidth into multiple channels that are then allocated to users. However, OFDM uses the spectrum much more efficiently by spacing the channels much closer together. This is achieved by making all the carriers orthogonal to one another, preventing interference between the closely spaced carriers. Coded Orthogonal Frequency Division Multiplexing (COFDM) is the same as OFDM except that forward error correction is applied to the signal before transmission. This is to overcome errors in the transmission due to lost carriers from frequency selective fading, channel noise and other propagation effects. For this discussion the terms OFDM and COFDM are used interchangeably, as the main focus of this thesis is on OFDM, but it is assumed that any practical system will use forward error correction, thus would be COFDM. In FDMA each user is typically allocated a single channel, which is used to transmit all the user information. The bandwidth of each channel is typically 10 kHz- 30 kHz for voice communications. However, the minimum required bandwidth for speech is only 3 kHz. The allocated bandwidth is made wider then the minimum amount required preventing channels from interfering with one another. This extra bandwidth is to allow for signals from neighboring channels to be filtered out, and to allow for any drift in the center frequency of the transmitter or receiver. In a typical system up to 50% of the total spectrum is wasted due to the extra spacing between channels. This problem becomes worse as the channel bandwidth becomes narrower, and the frequency band increases. Most digital phone systems use vocoders to compress the digitized speech. This allows for an increased system capacity due to a reduction in the bandwidth required for each user. Current vocoders require a data rate somewhere between 4- 13kbps, with depending on the quality of the sound and the type used. Thus each user only requires a minimum bandwidth of somewhere between
  • 14.
    2-7 kHz, usingQPSK modulation. However, simple FDMA does not handle such narrow bandwidths very efficiently. TDMA partly overcomes this problem by using wider bandwidth channels, which are used by several users. Multiple users access the same channel by transmitting in their data in time slots. Thus, many low data rate users can be combined together to transmit in a single channel, which has a bandwidth sufficient so that the spectrum can be used efficiently. There are however, two main problems with TDMA. There is an overhead associated with the change over between users due to time slotting on the channel. A change over time must be allocated to allow for any tolerance in the start time of each user, due to propagation delay variations and synchronization errors. This limits the number of users that can be sent efficiently in each channel. In addition, the symbol rate of each channel is high (as the channel handles the information from multiple users) resulting in problems with multipath delay spread. OFDM overcomes most of the problems with both FDMA and TDMA. OFDM splits the available bandwidth into many narrow band channels (typically 100- 8000). The carriers for each channel are made orthogonal to one another, allowing them to be spaced very close together, with no overhead as in the FDMA example. Because of this there is no great need for users to be time multiplex as in TDMA, thus there is no overhead associated with switching between users. The orthogonality of the carriers means that each carrier has an integer number of cycles over a symbol period. Due to this, the spectrum of each carrier has a null at the center frequency of each of the other carriers in the system. This results in no interference between the carriers, allowing then to be spaced as close as theoretically possible. This overcomes the problem of overhead carrier spacing required in FDMA .Each carrier in an OFDM signal has a very narrow bandwidth (i.e. 1 kHz), thus the resulting symbol rate is low. This results in the signal having a high tolerance to multipath delay spread, as the delay spread must be very long to cause significant ISI (e.g > 500usec). O OF FD DM M g ge en ne er ra at ti io on n: : To generate OFDM successfully the relationship between all the carriers must be carefully controlled to maintain the orthogonality of the carriers. For this reason,
  • 15.
    OFDM is generatedby firstly choosing the spectrum required, based on the input data, and modulation scheme used. Each carrier to be produced is assigned some data to transmit. The required amplitude and phase of the carrier is then calculated based on the modulation scheme (typically differential BPSK, QPSK, or QAM). The required spectrum is then converted back to its time domain signal using an Inverse Fourier Transform. In most applications, an Inverse Fast Fourier Transform (IFFT) is used. The IFFT performs the transformation very efficiently, and provides a simple way of ensuring the carrier signals produced are orthogonal. The Fast Fourier Transform (FFT) transforms a cyclic time domain signal into its equivalent frequency spectrum. This is done by finding the equivalent waveform, generated by a sum of orthogonal sinusoidal components. The amplitude and phase of the sinusoidal components represent the frequency spectrum of the time domain signal. Figure 2.11 OFDM Block Diagram Figure 2.11 shows the setup for a basic OFDM transmitter and receiver. The signal generated is a base band, thus the signal is filtered, then stepped up in frequency before transmitting the signal. OFDM time domain waveforms are chosen such that mutual orthogonality is ensured even though sub-carrier spectra may overlap. Typically QAM or Differential Quadrature Phase Shift Keying (DQPSK) modulation schemes are applied to the individual sub carriers. To prevent ISI, the individual blocks are separated by guard intervals wherein the blocks are periodically extended.
  • 16.
    The IFFT performsthe reverse process, transforming a spectrum (amplitude and phase of each component) into a time domain signal. An IFFT converts a number of complex data points, of length, which is a power of 2, into the time domain signal of the same number of points. Each data point in frequency spectrum used for an FFT or IFFT is called a bin. The orthogonal carriers required for the OFDM signal can be easily generated by setting the amplitude and phase of each bin, then performing the IFFT. Since each bin of an IFFT corresponds to the amplitude and phase of a set of orthogonal sinusoids, the reverse process guarantees that the carriers generated are orthogonal. M Mo od du ul la at ti io on n T Te ec ch hn ni iq qu ue es s: : Q Qu ua ad dr ra at tu ur re e A Am mp pl li it tu ud de e M Mo od du ul la at ti io on n ( (Q QA AM M) ): : This modulation scheme is also called quadrature carrier multiplexing. Infact, this modulation scheme enables to DSB-SC modulated signals to occupy the same transmission BW at the receiver o/p. it is, therefore, known as a bandwidth- conservation scheme. Figure 2.12 the QAM Transistor consists of two separate balanced modulators, which are supplied, with two carrier waves of the same freq but differing in phase by 90. The o/p of the two balanced modulators are added in the adder and transmitted. Figure 2.12 QAM System The transmitted signal is thus given by S (t) = X1 (t) A cos (2Fc t) + X2 (t) A sin (2Fc t)
  • 17.
    Hence, the multiplexedsignal consists of the in-phase component ‘A X1 (t)’ and the quadrature phase component ‘–A X2 (t)’. B Ba al la an nc ce ed d M Mo od du ul la at to or r: : A DSB-SC signal is basically the product of the modulating or base band signal and the carrier signal. Unfortunately, a single electronic device cannot generate a DSB-SC signal. A circuit is needed to achieve the generation of a DSB-SC signal is called product modulator i.e., Balanced Modulator. We know that a non-linear resistance or a non-linear device may be used to produce AM i.e., one carrier and two sidebands. However, a DSB-SC signal contains only 2 sidebands. Thus, if 2 non-linear devices such as diodes, transistors etc., are connected in balanced mode so as to suppress the carriers of each other, then only sidebands are left, i.e., a DSB-SC signal is generated. Therefore, a balanced modulator may be defined as a circuit in which two non-linear devices are connected in a balanced mode to produce a DSB-SC signal. Q Qu ua ad dr ra at tu ur re e P Ph ha as se e S Sh hi if ft t K Ke ey yi in ng g ( (Q QP PS SK K) ) : : In communication systems, we have two main resources. These are: 1. Transmission Power 2. Channel bandwidth If two or more bits are combined in some symbols, then the signaling rate will be reduced. Thus, the frequency of the carrier needed is also reduced. This reduces the transmission channel B.W. Hence, because of grouping of bits in symbols; the transmission channel B.W can be reduced. In QPSK two successive bits in the data sequence are grouped together. This reduces the bits rate or signaling rate and thus reduces the B.W of the channel. In case of BPSK, we know that when sym. Changes the level, the phase of the carrier is changed by 180. Because, there were only two sym’s in BPSK, the phase shift occurs in 2 levels only. However, in QPSK, 2 successive bits are combined. Infact, this combination of two bits forms 4 distinct sym’s. When the sym is changed to next sym, then the phase of the carrier is changed by 45 degrees.
  • 18.
    S.No I/p successivebits symbol phase shift in carrier I=1 1(1v) 0(-1v) S1 /4 I=2 0(-1v) 0(-1v) S2 3/4 I=3 0(-1v) 1(1v) S3 5/4 I=4 1(1v) 1(1v) S4 7/4 G Ge en ne er ra at ti io on n o of f Q QP PS SK K: : From figure 2.13 the i/p binary sequence is first converted into a bipolar NRZ type of signal. This signal is denoted by b (t). It represents binary ‘1’ by ‘+1V’ and binary ‘0’ by ‘-1V’. The demultiplexer divides b (t) into 2 separate bit streams of the odd numbered and even numbered bits. Here Be(t) represents even numbered sequence and Bo (t) represents odd numbered sequence. The symbol duration of both of these odd numbered sequences is 2Tb. Hence, each symbol consists of 2 bits. Figure 2.13 Generation of QPSK It may be observed that the first even bit occurs after the first odd bit. Hence, even numbered bit sequence Be (t) starts with the delay of one bit period due to first odd bit. Thus, first symbol of Be (t) is delayed by one bit period due to first odd bit. Thus, first symbol of Be (t) is delayed by on bit period ‘Tb’ with respect to first symbol of Bo (t). This delay of Tb is known as offset. This shows that the change in the levels of Be (t) and Bo (t) can’t occur at the same time due to offset or staggering. The bit stream Be (t) modulates carrier cosine carrier and B0(t) modulates sinusoidal carrier. These modulators are the balanced modulators. The 2 carriers are Ps.cos (2Fc.t) and Ps.sin (2Fc.t) have been shown in fig. Their carriers are known as quadrature carriers. Due to the offset, the phase shift in QPSK signal is /2.
  • 19.
    F FF FT T & & I IF FF FT T: : Inpractice, OFDM systems are implemented using a combination of FFT and IFFT blocks that are mathematically equivalent versions of the DFT and IDFT, respectively, but more efficient to implement. An OFDM system treats the source symbols (e.g., the QPSK or QAM symbols that would be present in a single carrier system) at the Tx as though they are in the freq-domain. These sym’s are used as the i/p’s to an IFFT block that brings the sig into the time domain. The IFFT takes in N sym’s at a time where N is the num of sub carriers in the system. Each of these N i/p sym’s has a symbol period of T secs. Recall that the basis functions for an IFFT are N orthogonal sinusoids. These sinusoids each have a different freq and the lowest freq is DC. Each i/p symbol acts like a complex weight for the corresponding sinusoidal basis fun. Since the i/p sym’s are complex, the value of the sym determines both the amplitude and phase of the sinusoid for that sub carrier. From the Figure 2.14 the IFFT o/p is the summation of all N sinusoids. Thus, the IFFT block provides a simple way to modulate data onto N orthogonal sub carriers. The block of N o/p samples from the IFFT make up a single OFDM sym. The length of the OFDM symbol is NT where T is the IFFT i/p symbol period mentioned above. Figure 2.14 FFT & IFFT diagram After some additional processing, the time-domain sig that results from the IFFT is transmitted across the channel. At the Rx, an FFT block is used to process the received signal and bring it into the freq domain. Ideally, the FFT o/p will be the original sym’s that were sent to the IFFT at the Tx. When plotted in the complex plane, the FFT o/p samples will form a constellation, such as 16-QAM. However, there is no notion of a constellation for the time-domain sig. When plotted on the
  • 20.
    complex plane, thetime-domain sig forms a scatter plot with no regular shape. Thus, any Rx processing that uses the concept of a constellation (such as symbol slicing) must occur in the frequency- domain. A Ad dd di in ng g a a G Gu ua ar rd d P Pe er ri io od d t to o O OF FD DM M: : One of the most important properties of OFDM transmissions is the robustness against multipath delay spread. This is achieved by having a long symbol period, which minimizes the ISI. The level of robustness, can infact is increased even more by the addition of a guard period b/w transmitted sym’s. The guard period allows time for multipath sig’s from the previous symbol to die away before the information from the current symbol is gathered. The most effective guard period to use is a cyclic extension of the symbol. If a mirror in time, of the end of the symbol waveform is put at the start of the symbol as the guard period, this effectively extends the length of the symbol, while maintaining the orthogonally of the waveform. Using this cyclic extended symbol the samples required for performing the FFT (to decode the sym), can be taken anywhere over the length of the sym. This provides multipath immunity as well as sym time synchronization tolerance. As long as the multipath delay echos stay within the guard period duration, there is strictly no limitation regarding the signal level of the echos: they may even exceed the signal level of the shorter path! The signal energy from all paths just adds at the input to the receiver, and since the FFT is energy conservative, the whole available power feeds the decoder. If the delay spread is longer then the guard interval then they begins to cause ISI. However, provided the echo’s are sufficiently small they do not cause significant problems. This is true most of the time as multipath echo’s delayed longer than the guard period will have been reflected of very distant objects. Other variations of guard periods are possible. One possible variation is to have half the guard period a cyclic extension of the symbol, as above, and the other half a zero amplitude signal. This will result in a signal as shown in Figure 2.6. Using this method the symbols can be easily identified. This possibly allows for symbol timing to be recovered from the signal, simply by applying envelop detection. The disadvantage of using this guard period method is that the zero period
  • 21.
    does not giveany multipath tolerance, thus the effective active guard period is halved in length. It is interesting to note that this guard period method has not been mentioned in any of the research papers read, and it is still not clear whether symbol timing needs to be recovered using this method. Figure 2.15 Section of an OFDM signal showing 5 symbols, using a guard period which is half a cyclic extension of the symbol, and half a zero amplitude signal.
  • 22.
    C CH HA AP PT TE ER R – –3 3 P PR RO OP PA AG GA AT TI IO ON N O OF FC CH HA AN NN NE EL L C CH HA AR RA AC CT TE ER RI IS ST TI IC CS S P Pr ro op pa ag ga at ti io on n C Ch ha ar ra ac ct te er ri is st ti ic cs s o of f m mo ob bi il le e r ra ad di io o c ch ha an nn ne el ls s: : In an ideal radio channel, the received signal would consist of only a single direct path signal, which would be a perfect reconstruction of the transmitted signal. However in a real channel, the signal is modified during transmission in the channel. It is known that the performance of any wireless system’s performance is affected by the medium of propagation, namely the characteristics of the channel. In telecommunications in general, a channel is a separate path through which signals can flow. In the ideal situation, a direct line of sight between the transmitter and receiver is desired. But alas, it is not a perfect world; hence it is imperative to understand what goes on in the channel so that the original signal can be reconstructed with the least number of errors. The received signal consists of a combination of attenuated, reflected, refracted, and diffracted replicas of the transmitted signal. On top of all this, the channel adds noise to the signal and can cause a shift in the carrier frequency if the transmitter, or receiver is moving (Doppler effect). Understanding of these effects on the signal is important because the performance of a radio system is dependent on the radio channel characteristics. A At tt te en nu ua at ti io on n: : Attenuation is the “drop in the signal power when transmitting from one point to another. It can be caused by the transmission path length, obstructions in the signal path, and multipath effects”. Figure 3.1 shows some of the radio propagation effects that cause attenuation. Any objects, which obstruct the line of sight signal from the transmitter to the receiver, can cause attenuation.
  • 23.
    Figure 3.1. Somechannel characteristics Shadowing of the signal can occur whenever there is an obstruction between the transmitter and receiver. It is generally caused by buildings and hills, and is the most important environmental attenuation factor. Shadowing is most severe in heavily built up areas, due to the shadowing from buildings. However, hills can cause a large problem due to the large shadow they produce. Radio signals diffract off the boundaries of obstructions, thus preventing total shadowing of the signals behind hills and buildings. However, the amount of diffraction is dependent on the radio frequency used, with low frequencies diffracting more then high frequency signals. Thus high frequency signals, especially, Ultra High Frequencies (UHF), and microwave signals require line of sight for adequate signal strength. To over come the problem of shadowing, transmitters are usually elevated as high as possible to minimize the number of obstructions. Typical amounts of variation in attenuation due to shadowing are shown in Table 3.1. Table.3.1 Typical attenuation in a radio channel. Shadowed areas tend to be large, resulting in the rate of change of the signal power being slow. For this reason, it is termed slow-fading, or lognormal shadowing.
  • 24.
    M Mu ul lt ti ip pa at th h E Ef ff fe ec ct ts s: : R Ra ay yl le ei ig gh h f fa ad di in ng g: : Ina radio link, the RF signal from the transmitter may be reflected from objects such as hills, buildings, or vehicles. This gives rise to multiple transmission paths at the receiver. Fig. 3.2 show some of the possible ways in which multipath signals can occur. Figure 3.2 Multipath Signals Because of the multipath phase of the signal may by that constructive or destructive interference when it reaches to the Rx. This is experienced over very short distances (typically at half wavelength distances), thus is given the term fast fading. These variations can vary from 10-30dB over a short distance. Figure 3.3 Typical Rayleigh fading while the mobile unit is moving. The Rayleigh distribution is commonly used to describe the statistical time varying nature of the received signal power. It describes the probability of the signal
  • 25.
    level. Being receiveddue to fading. Table 3.2 shows the probability of the signal level for the Rayleigh distribution. Table 3.2 Cumulative distributions for Rayleigh distribution F Fr re eq qu ue en nc cy y S Se el le ec ct ti iv ve e F Fa ad di in ng g: : In any radio transmission, the channel spectral response is not flat. It has dips or fades in the response due to reflections causing cancellation of certain frequencies at the receiver. Reflections off near-by objects (e.g. ground, buildings, trees, etc) can lead to multipath signals of similar signal power as the direct signal. This can result in deep nulls in the received signal power due to destructive interference. For narrow bandwidth transmissions if the null in the frequency response occurs at the transmission frequency then the entire signal can be lost. This can be partly overcome in two ways. By transmitting a wide bandwidth signal or spread spectrum as CDMA, any dips in the spectrum only result in a small loss of signal power, rather than a complete loss. Another method is to split the transmission up into many small bandwidth carriers, as is done in a COFDM/OFDM transmission. The original signal is spread over a wide bandwidth thus; any nulls in the spectrum are unlikely to occur at all of the carrier frequencies. This will result in only some of the carriers being lost, rather then the entire signal. The information in the lost carriers can be recovered provided enough forward error corrections are sent. D De el la ay y S Sp pr re ea ad d: :
  • 26.
    The received radiosignal from a transmitter consists of typically a direct signal, plus reflections of object such as buildings, mountings, and other structures. The reflected signals arrive at a later time than the direct signal because of the extra path length, giving rise to a slightly different arrival time of the transmitted pulse, thus spreading the received energy. Delay spread is the “time spread between the arrival of the first and last multipath signal seen by the receiver”. In a digital system, the delay spread can lead to inter-symbol interference. This is due to the delayed multipath signal overlapping with the following symbols. This can cause significant errors in high bit rate systems, especially when using time division multiplexing (TDMA). Fig.3.4 shows the effect of inter-symbol interference due to delay spread on the received signal. As the transmitted bit rate is increased the amount of inter-symbol interference also increases. The effect starts to become very significant when the delay spread is greater then ~50% of the bit time. Figure 3.4 Multi delay spread shows the typical delay spread that can occur in various environments. The maximum delay spread in an outdoor environment is approximately 20usec, thus significant intersymbol interference can occur at bit rates as low as 25kbps.
  • 27.
    Table. 3.3 TypicalDelay Spread Inter-symbol interference can be minimized in several ways. One method is to reduce the symbol rate by reducing the data rate for each channel (i.e. split the bandwidth into more channels using frequency division multiplexing). Another is to use a coding scheme which is tolerant to inter-symbol interference such as CDMA. D Do op pp pl le er r S Sh hi if ft t: : When a wave source and a receiver are moving relative to one another the frequency of the received signal will not be the same as the source. When they are moving toward each other the frequency of the received signal is higher then the source, and when they are approaching each other the frequency decreases. This is called the Doppler Effect. An example of this is the change of pitch in a car’s horn as it approaches then passes by. This effect becomes important when developing mobile radio systems. The amount the frequency changes due to the Doppler effect depends on the relative motion between the source and receiver and on the speed of propagation of the wave. The Doppler shift in frequency can be written: Where f is the change in frequency of the source seen at the receiver, fo is the frequency of the source, v is the speed difference between the source and transmitter, and c is the speed of light. For example: Let fo = 1GHz, and v = 60km/hr (16.7m/s) then the Doppler shift will be:
  • 28.
    This shift of55Hz in the carrier will generally not effect the transmission. However, Doppler shift can cause significant problems if the transmission technique is sensitive to carrier frequency offsets (for example COFDM) or the relative speed is higher (for example in low earth orbiting satellites). I In nt te er r S Sy ym mb bo ol l I In nt te er rf fe er re en nc ce e: : As communication systems evolve, the need for high symbol rates becomes more apparent. However, current multiple access with high symbol rates encounter several multi path problems, which leads to ISI. An echo is a copy of the original signal delayed in time. ISI takes place when echoes on different-length propagation paths result in overlapping received symbols. Problems can occur when one OFDM symbol overlaps with the next one. There is no correlation between two consecutive OFDM symbols and therefore interference from one symbol with the other will result in a disturbed signal In addition, the symbol rate of communications systems is practically limited by the channel’s bandwidth. For the higher symbol rates, the effects of ISI must be dealt with seriously. Several channel equalization techniques can be used to suppress the ISIs caused by the channel. However, to do this, the CIR – channel impulse response, must be estimated. Recently, OFDM has been used to transmit data over a multi-path channel. Instead of trying to cancel the effects of the channel’s ISIs, a set of sub-carriers can be used to transmit information symbols in parallel sub-channels over the channel, where the system’s output will be the sum of all the parallel channel’s throughputs. This is the basis of how OFDM works. By transmitting in parallel over a set of sub-carriers, the data rate per sub-channel is only a fraction of the data rate of a conventional single carrier system having the same output. Hence, a system can be designed to support high data rates while deferring the need for channel equalizations.
  • 29.
    In addition, oncethe incoming signal is split into the respective transmission sub-carriers, a guard interval is added between each symbol. Each symbol consists of useful symbol duration, Ts and a guard interval, t, in which, part of the time, a signal of Ts is cyclically repeated. This is shown in Fig.3.5. Figure 3.5 Combating ISI using a guard interval As long as the multi path propagation delays do not exceed the duration of the interval, no inter-symbol interference occurs and no channel equalization is required. CHANNELS We Used: The transmission signal models of the electromagnetic wave which travels form transmitter to receiver. Along the way the wave encounters a wide range of different environments. Channel models represent the attempt to model these different environments. Their aim is to introduce well defined disturbances to the transmission signal. In this lecture we discuss channel models which are typical for DAB transmission. We consider the effects of noise, movement, and signal reflection. The general strategy is to have a pictorial representation of the channel environment before we introduce the mathematical model. Overview Diagram
  • 30.
    The following figureshows again the block diagram of communication system. Such a system consists of ‘Sender’, ‘Channel’ and ‘Receiver’. In this lecture we focus on the channel aspect of the communication system. In the block diagram, s(t) is the transmission signal and ˆs(t) is the received transmission signal. Frequency offset channel The frequency offset channel introduces a static frequency offset. One possible cause for such a frequency offset is a slow drifting time base, normally a crystal oscillator, in either transmitter or receiver. The frequency offset channel tests the frequency correction circuit in the receiver. The following figure shows the block diagram of the Frequency shift channel. The mathematical model follows as: . AWGN channel For the Additional White Gaussian Noise (AWGN) channel the received signal is equal to the transmitted signal with some portion of white Gaussian white noise added. This channel is particularly important for discrete models operating on a restricted number space, because this allows one to optimise the circuits in terms of their noise performance. The block diagram of the AWGN channel is given in the next figure.
  • 31.
    s(t) = s(t)+ n(t) where n(t) is a sample function of a Gaussian random process. This represents white Gaussian noise. Multi path channel The multipath channel is the last of the static channels. It reflects the fact that electromagnetic waves can travel over various paths from the transmission antenna to the receiver antenna. The receiver antenna sums up all the different signals. Therefore, the mathematical model of the multipath environment creates the received transmission signal by summing up scaled and delayed versions of the original transmission signal. This superposition of signals causes ISI. The following figure shows a multipath environment. The block diagram, shown in the next figure, details a DSP model for the multipath environment.
  • 32.
    The mathematical modelfollows as: Fading channels Fading channels represent a mathematical model for wireless data exchange in a physical environment which changes over time. These changes arise for two reasons: 1. The environment is changing even though the transmitter and receiver are fixed; examples are changes in the ionosphere, movement of foliage and movement of reflectors and scatterers. 2. Transmitter and receiver are mobile even though the environment might be static. 3. The next figure shows a multipath fading environment. The fading is modeled by the fact that the environment is changing. The block diagram, shown in the next figure, details a DSP model for the multipath environment
  • 33.
    Mathematically the DSPmodel can be formulated as follows: DSP model and mathematical description are close to the underlying physical phenomena. This makes them unsuitable for practical channel models. To establish practical channel models we employ statistical methods to abstract and generalize the fading channel models. In the following two subsections we discuss Rayleigh and Rician fading channels. Both represent statistical channel modes, the difference between them is that the Rayleigh model does not assume a direct or prominent path and the Ricien model assumes a direct path. The last channel model extends the ideas of Rayleigh and Rician fading channels with mobility aspects. The resulting mobile fading channels model the degrading effects in the frequency domain of wireless multipath channels. Rayleigh fading: Rayleigh fading is caused by multipath reception. The mobile antenna receives a large number, say N, reflected and scattered waves. Because of wave cancellation effects, the instantaneous received power seen by a moving antenna becomes a random variable, dependent on the location of the antenna. To simplify the derivation of the fading models an un-modulated carrier of the form s(t) = Acos(2pifct) as transmission signal is used. Based on the block diagram the complex envelope of the received signal is: where ai (t) is the gain factor and Ti (t) is the delay for a specific path i at a specific time t. where rRa (t) is a sample function of a Rayleigh distributed random process:
  • 34.
    and the isuniformly distributed in the interval [0, 2pi). The general form of this channel model is: again, and are amplitude and phase from a particular measurement of a rayleigh distributed random process. This channel is called rayleigh fading channel. Rician fading channel Rician fading The model behind Rician fading is similar to that for Rayleigh fading, except that in Rician fading a strong dominant component is present. This dominant component can for instance be the line-of-sight wave. Refined Rician models also consider 1. that the dominant wave can be a phasor sum of two or more dominant signals, e.g. the line-of- sight, plus a ground reflection. This combined signal is then mostly treated as a deterministic (fully predictable) process 2. that the dominant wave can also be subject to shadow attenuation. This is a popular Assumption in the modeling of satellite channels. Besides the dominant component, the mobile antenna receives a large number of reflected and Scattered waves. A Rician fading channel indicates that there is a prominent or direct path over which the electromagnetic wave can travel. Compared to the Rayleigh channel model, Equation 1, the Rician fading channel model has an additional Acos(2pifct) component to reflect the prominent path: Above Equation can be written as:
  • 35.
    Where rRi (t)is a sample function of a random process with a Rician distributed probability density function (pdf): Where I0 is the zero order modified Bessel functions of the first kind given by: and the distribution of is: Where is the error function defined as: The ratio , referred as the K-factor, relates the power in un faded and faded components. Values of K >> 1 indicate less severe fading, whereas K << 1 indicates severe fading. The general form of the Rician channel model is: Where rRi (t) and are amplitude and phase of a particular measurement of a rician distributed random process.
  • 36.
    ADVANTAGES 1. Low complexity. 2.High spectral efficiency. 3. Without any loss of data rate. 4. It offers important advantages over other PAPR reduction schemes, as it avoids the necessity to transmit the side information, or to modify the reception algorithm. APPLICATION 1. Modern wireless communications due to its high spectral efficiency. 2. Generalized Multicarrier (GMC) transmission. 3. Future cognitive radios. 4. Multi-standard transceivers.
  • 37.
    CHAPTER 4 EXISTING SCHEMEOF OFDM However, OFDM is not without drawbacks. One critical problem is its high peak-to- average power ratio (PAPR). High PAPR increases the complexity of analog-to- digital (A/D) and digital-to-analog (D/A) converters, and lowers the efficiency of power amplifiers. Over the past decade various PAPR reduction techniques have been proposed, such as block coding, selective mapping (SLM) and tone reservation, just to name a few . Among all these techniques the simplest solution is to clip the transmitted signal when its amplitude exceeds a desired threshold. Clipping is a highly nonlinear process, however. It produces significant out-of-band interference (OBI). A good remedy for the OBI is the so-called companding. The technique ‘soft’ compresses, rather than ‘hard’ clips, the signal peak and causes far less OBI. The method was first proposed in, which employed the classical 𝜇-law transform and showed to be rather effective. Since then many different companding transforms with better performances have been Published. This paper proposes and evaluates a new companding algorithm. The algorithm uses the special airy function and is able to offer an improved bit error rate (BER) and minimized OBI while reducing PAPR effectively. The paper is organized as follows. In the next section the PAPR problem in OFDM is briefly reviewed. PAPR IN OFDM • OFDM is a powerful modulation technique being used in many new and emerging broadband communication systems. – Advantages: • Robustness against frequency selective fading and time dispersion. • Transmission rates close to capacity can be achieved. • Low computational complexity implementation (FFT). – Drawbacks:
  • 38.
    • Sensitivity tofrequency offset. • Sensitivity to nonlinear amplification. • Compensation techniques for nonlinear effects – Linearization (digital predistortion). – Peak-to-average power ratio (PAPR) reduction. – Post-processing. • PAPR-reduction techniques: – Varying PAPR-reduction capabilities, power, bandwidth and complexity requirements. – The performance of a system employing these techniques has not been fully analyzed – PAPR is a very well known measure of the envelope fluctuations of a MC signal – Used as figure of merit. – The problem of reducing the envelope fluctuations has turned to reducing PAPR. – In this paper we ... – present a quantitative study of PAPR and NL distortion – simulate an OFDM-system employing some of these techniques Motivation: evaluate the performance improvement capabilities of PAPR-reducing methods. Orthogonal Frequency Division Multiplexing
  • 39.
    • An OFDMsignal can be expressed as 𝑠𝑘 complex baseband modulated symbol N number of subcarriers If the OFDM signal is sampled at , the complex samples can be described as Peak-to-average power ratio • Let be the m-th OFDM symbol, then its PAPR is defined as • The CCDF of the PAPR of a non-oversampled OFDM signal is • CCDF of PAPR increases with the number of subcarriers in the OFDM system. 1 2 / 0 1 , 0, 1 N j kn N n k k s S e n N N                2 2 PAPR m m m E N         s s     0 0 Pr 1 1 N e        
  • 40.
    – It iswidely believed that the more subcarriers are used in a OFDM system, the worse the distortion caused by the nonlinearity will be. – In-band and out-of-band distortion • If N is large enough, the OFDM signal can be approximated as a complex Gaussian distributed random variable. Thus its envelope is Rayleigh distributed where the variance of the real and imaginary parts of the signal is • Buss gang theorem An interesting result is that the output of a NL with Gaussian input (OFDM) can be written as: Considerations on PAPR reduction • In order to improve the system performance, PAPR should predict the amount of distortion introduced by the nonlinearity – PAPR increases with the number of subcarriers in the OFDM signal.                      2 var 1 2 4 with and , E X X   2 2 2 2 , x X x f x e               1 1 , where xy xx R y t x t d t R       
  • 41.
    – The distortionterm and the uniform attenuation and rotation of the constellation only depend on the back-off. The effect of a nonlinearity to an OFDM signal is not clearly related to its PAPR • The effective energy per bit at the input of the nonlinearity is • where Eo is the average energy of the signal at the input of the nonlinearity, K is the • number of bits per symbol and ηp is the power efficiency. • There will only be a a BER performance improvement when the effect of reducing the in-band distortion becomes noticeable and more important than the loss of power efficiency. • This is not taken into account in the majority of the PAPR reducing methods. Let (0),(1), ⋅ ⋅ ⋅,𝑋(𝑁 −1) represent the data sequence to be transmitted in an OFDM symbol with 𝑁 subcarriers. The baseband representation of the OFDM symbol is given by: where 𝑇 is the duration of the OFDM symbol. According to the central limit theorem, when 𝑁 is large, both the real and imaginary parts of 𝑥(𝑡) become Gaussian distributed, each with zero mean and a variance of E[∣𝑥(𝑡)∣2]/2, and the amplitude of the OFDM symbol follows a Rayleigh distribution. Consequently it is possible that the maximum amplitude of OFDM signal may well exceed its average amplitude. Practical hardware (e.g. A/D and D/A converters, power amplifiers) has finite dynamic range; therefore the peak amplitude of OFDM signal must be limited. PAPR is mathematically defined as:
  • 42.
    It is easyto see from above that PAPR reduction may be achieved by decreasing the numerator max[∣𝑥(𝑡)∣2], increasing the denominator (1/T) ⋅ ∫ 𝑇 0 ∣𝑥(𝑡)∣2 𝑑𝑡, or both. The effectiveness of a PAPR reduction technique is measured by the complementary cumulative distribution function (CCDF), which is the probability that PAPR exceeds some threshold, i.e.: CCDF = Probability (PAPR > 𝑝0), where 𝑝0 is the threshold.
  • 43.
    CHAPTER 5 PROPOSING SCHEME Blockdiagram representation is provided below with mathematical representation A. FRFT The meaning of FrFT states it as a chrip basis extension, which is characterizing the revolution in time, frequency that is brought together time frequency transformation by changing the estimation of Fractional. By changing the Fractional estimation from 0.0 to 1.0 the signal characterstics can be transformed from time to frequency domain[5]. FrFT is defined as 𝐹 𝛼{𝑥(𝑡)}(𝑢) = ∫ 𝑥(𝑡)𝑘𝛼(𝑡, 𝑢)𝑑𝑡 ∞ −∞ (1) K𝛼(𝑡, 𝑢) = 𝐴𝛼𝑒𝑗𝜋(𝑡2+𝑢2)𝑐𝑜𝑡𝛼−𝑗2𝜋𝑡𝑢𝑐𝑠𝑐𝛼 is called the kernel transform where 𝛼 is called the rotation angle of a transformed signal and 𝛼 = 𝑎𝜋 2 [6].By estimating the fractional component ‘a’ improvement in BER can be achieved. FrFT appended OFDM signal must be orthogonal as to achieve error free signal For orthogonality condition between any two signals we must compute the whole interval i.e(-T/2 to +T/2) Consider two signals 𝑋𝛼,𝑚(𝑡) be the FrFt appended OFDM signal and 𝑋𝛼,𝑛 ∗ (t) be its orthogonal basis where m,n are called the subcarriers Then from[7] ∫ 𝑋𝛼,𝑚(𝑡). 𝑋𝛼,𝑛 ∗ (𝑡)𝑑𝑡 +𝑇/2 −𝑇/2 = 1 2𝜋 𝑒 𝑗 ((𝑛𝑡0)2−(𝑚𝑡0)2)𝑐𝑜𝑡𝛼 2 ∫ 𝑒𝑗(𝑚−𝑛)𝑡0𝑡𝑐𝑠𝑐𝛼 +𝑇/2 −𝑇/2 𝑑𝑡 ( 2)
  • 44.
    Where 𝑡0 isthe central frequency FrFT appended OFDM FrFT is used to detect and estimate the interference component The original OFDM modulated signal was given by 𝑥(𝑡) = ∑ 𝑚𝑛(𝑡)sin(2𝜋𝑛𝑡) 𝑁 𝑛=1 (3) The above signal was passed through FrFT represented by 𝐹+𝛼 and the signal is passed through AWGN, Rayleigh, Racian, Nakagami After passing through FrFT the signal is given by {𝐹+𝛼 {𝑥(𝑡)}} = √ 1−𝑖𝑐𝑜𝑡𝜃 2𝜋 ∫ 𝑥(𝑡)𝑒 𝑗 2 (𝑢2+𝑡2)𝑐𝑜𝑡𝜃−𝑖𝑢𝑡𝑐𝑠𝑐𝜃 + 𝑇 2 − 𝑇 2 (4) By keeping the value of x(t) from Eq (3) and Eq(4) Becomes {𝐹+𝛼{𝑥(𝑡)}} = √ 1 − 𝑖𝑐𝑜𝑡𝜃 2𝜋 × 𝐴 Where 𝐴 = ∫ ∑ 𝑚𝑛(𝑡) sin(2𝜋𝑛𝑡) . 𝑒 𝑗 2 (𝑢2+𝑡2)𝑐𝑜𝑡𝜃−𝑖𝑢𝑡𝑐𝑠𝑐𝜃 𝑁 𝑛=1 −𝑇/2 +𝑇/2 (5) This Eq(5) FrFT is transmitted through different wireless channels
  • 45.
    After the channelthe signal is passed through after which the signal 𝑋𝛼 is passed through Inverse Fractional Fourier Transform(IFrFT) given by {𝐹−𝛼 {𝐹+𝛼{𝑥(𝑡)}}} = 𝐹−𝛼 {√ 1−𝑖𝑐𝑜𝑡𝜃 2𝜋 × 𝐴} {𝐹−𝛼 {𝐹+𝛼{𝑥(𝑡)}}} = 𝑥(𝑡) (6) The original transmitted signal is recovered after passing through IFrFT when fractional value a=1 the conventional Fourier transform is obtained B. Noise channels Additional White Gaussian Noise (AWGN) channel the received signal is equal to the transmitted signal with some portion of white Gaussian white noise added. This channel is particularly important for discrete models operating on a restricted number space, because this allows one to optimise the circuits in terms of their noise performance. 𝑠(𝑡) = 𝐴 + 𝑛(𝑡)(7) Rayleigh fading is caused by multipath reception. The mobile antenna receives a large number, say N, reflected and scattered waves. Because of wave cancellation effects, the instantaneous received power seen by a moving antenna becomes a random variable, dependent on the location of the antenna. To simplify the derivation of the fading models an un-modulated carrier of the form as transmission signal is used. 𝑠(𝑡) = 𝐴 ∑ 𝑎𝑖(𝑡). cos{2𝜋𝑓[𝑡 − 𝜏𝑖(𝑡)]}(8) 𝐷(𝑡)−1 𝑖=0 Rician fading channel indicates that there is a prominent or direct path over which the electromagnetic wave can travel. Compared to the Rayleigh channel model, Equation 1, the Rician fading channel model has an additional component to reflect the prominent path.
  • 46.
    𝑠(𝑡) = 𝐴.cos(2𝜋𝑓𝑡) + ∑ 𝑎𝑖(𝑡). cos{2𝜋𝑓[𝑡 − 𝜏𝑖(𝑡)]}(9) 𝐷(𝑡)−1 𝑖=0 Nakagami fading model was initially proposed because it matched empirical results for short wave ionospheric propagation. In current wireless communication, the main role of the Nakagami model can be summarized as follows  It describes the amplitude of received signal after maximum ratio diversity combining.  The sum of multiple independent and identically distributed (i.i.d.) Rayleigh- fading signals have a Nakagami distributed signal amplitude. This is particularly relevant to model interference from multiple sources.  The Nakagami distribution matches some empirical data better than other models  The Rician and the Nakagami model behave approximately equivalently near their mean value. This observation has been used in many recent papers to advocate the Nakagami model as an approximation for situations where a Rician model would be more appropriate. For Nakagami fading, the instantaneous power has the gamma pdf 𝑓𝑝𝑖 (𝑝𝑖) = 1 𝐺(𝑚) ( 𝑚 𝑝𝑖 ̅ ) 𝑚 𝑝𝑖 𝑚−1 𝑒 {− 𝑚𝑝𝑖 𝑝𝑖 } (10) where G(m) is the gamma function, with G(m + 1) = m! for integer shape factors m. The mean value is𝑝𝑖. In the special case that m = 1, Rayleigh fading is recovered, while for larger m the spread of the signal strength is less, and the pdf converges to a delta function for increasing m.
  • 47.
    Figure 5 BlockDiagram of Proposing Scheme Compared with current genome indexing methods, our indexing process provides a faster and light-weight alternative for index generation, which is similar to the big data retrieval systems. These indices can reduce the search space and provide an estimation of the target sequence locations in the reference sequence. Our implemented genome indexing technique models a nucleotide sequence as a graph by counting the transitions between each pair of nucleotides. To be more specific, as shown in Figure 9, we take a graph with four states according to the different types of nucleotides and sixteen vertices according to all possible transitions between nucleotides. We read the first nucleotide of the sequence and treat it as the initial state. Then, we move from one state to the other state by scanning the next nucleotide repeatedly until the end of the sequence. Afterwards, we calculate the number of nucleotide transitions (we count how many times we pass one vertex in the graph) and store them in a 4 × 4 matrix. Finally, we normalize the resulting matrix as follows: 𝑘𝑠𝑤 is the number that has the S-type nucleotide immediately before the W-type nucleotide. INPUT DATA Serial to parallel Signal Mapper Inverse DWT Output Data Parallel to Serial Signal Demapper DWT 𝐹𝛼 Parallel To Serial Parallel To Serial Noise channels 𝐹−𝛼
  • 48.
    The goal ofthis step is to find similar indices based on the information of the sequence. We define a symmetric distance function between two index matrices I and J as follows:𝐷𝑀𝑆𝐸(𝐼, 𝐽) = ‖𝐼 − 𝐽‖𝑓, where ‖∙‖𝑓 is the Frobenius norm of the matrix. After generating the indices of the reference sequence and the target sequence, the 𝐷𝑀𝑆𝐸distances to all of the reference sequence indices are calculated, where the best similar indices in terms of 𝐷𝑀𝑆𝐸is chosen as our location.
  • 49.
    CHAPTER 6 RESULTS IV. PERFORMANCESIMULATION In order to evaluate and compare the performance of the proposed transform and examine its impact on the system, a MATLAB simulation was performed, assuming nonlinear AWGN channel and using randomly generated data bits with QPSK modulation. Symbols are transmitted over 64 subcarriers with 256-point IFFT/FFT (oversampling factor equal to 4). The OFDM & proposed OFDM parameters are tabulated in Table I. Simulation results are presented in Fig. 6. Table 1: BPSK Modulated FrFT OFDM @ Normalisation factor a = 0.3 and a=1. Table 2: M PSK Modulated FrFT OFDM @ Normalisation factor a = 0.3 and a=1. For BPSK S.No Channels BER(in dB) Original System(SNR) Proposed system(SNR) frft_OFDM Improvement in SNR aopt SNR 1. AWGN 10-2.1 5 0.3 20 15 2. RAYLEIGH 10-2.4 24.3 0.3 25 0.7 3. RICIAN 10-2.9 34 0.3 22.3 11.5 4. NAKAGAMI 10-3.1 18 0.3 30 2 For MPSK S.No Channels BER(in dB) Original System(SNR) Proposed system(SNR) frft_OFDM Improvement in SNR aopt SNR 1. AWGN 10-2.1 11 0.3 30 19 2. RAYLEIGH 10-2.4 34.5 0.3 35 0.5 3. RICIAN 10-2.9 42 0.3 43.5 1.5 4. NAKAGAMI 10-3.1 28 0.3 29 1
  • 50.
    Table 3: MQAMModulated FrFT OFDM @ Normalisation factor a = 0.3 and a=1. M-QAM S.No Channels BER(in dB) Original System(SNR) Proposed system Improvement in SNR aopt SNR 1. AWGN 10-2.1 25 0.3 28 3 2. RAYLEIGH 10-2.4 55 0.3 50 5 3. RICIAN 10-2.9 56 0.3 57.5 1.5 4. NAKAGAMI 10-3.1 43 0.3 45 2 FIGURE 6 AWGN CHANNEL
  • 51.
    FIGURE 7 RAYLEIGHFRFT CHANNEL FIGURE 8RICIAN FRFT CHANNEL
  • 52.
    FIGURE 7 NAKAGAMIFRFT CHANNEL Orthogonal Frequency Division Multiplexing (OFDM) is an attractive multicarrier technique for mitigating the effects of multipath delay spread of radio channel, and hence accepted for APPLICATION 1. Several wireless standards as well as number of mobile multimedia applications. 2. WiMAX 3. 4G wireless systems 4. DVB/DAB 5. Wireless network in downlink and SC-FDMA in the uplink. 6. High speed wireless multiple access communication systems.
  • 53.
    CHAPTER 7 CONCLUSION Obtaining bestresults using BPSK Modulated signal using FRFT OFDM which helps in achieving maximised BER performance under different noise channels. Here at maximum SNR the best BER are tabulated. From that we see for Rayleigh channel 10-2.4 BER at 20dB SNR is achieved for 1024 QPSK and for racian channel 10-2.9 BER at 25dB SNR is achieved for 1024 QAM and for Nakagami channel 10-3.1 BER at 30dB SNR is achieved for 1024 QAM and for the AWGN channel 10-2.1 BER at 22.3dB SNR is achieved for 1024 QPSK modulation. FutureScope Encryption based DWT-FrFT will leads to securable communication process.
  • 54.
    APPENDIX A The transformgain is defined as Thus, , where and , denote the average power of the original and companded signals, respectively. Is the peak power of companded signal, and is the peak power of original signal. With the probability distribution function of OFDM signal denoted as , which has Gaussian distribution function the average power of the companded signal can be written as The variance of the transformed noise term at the receiver can be written as
  • 55.
    Where and 𝝈𝟎 𝟐 and 𝝈𝒒 𝟐 ,are variances of the Gaussian noise and the quantization error, respectively. MATLAB A.1 Introduction MATLAB is a high-performance language for technical computing. It integrates computation, visualization, and programming in an easy-to-use environment where problems and solutions are expressed in familiar mathematical notation. MATLAB stands for matrix laboratory, and was written originally to provide easy access to matrix software developed by LINPACK (linear system package) and EISPACK (Eigen system package) projects. MATLAB is therefore built on a foundation of sophisticated matrix software in which the basic element is array that does not require pre dimensioning which to solve many technical computing problems, especially those with matrix and vector formulations, in a fraction of time. MATLAB features a family of applications specific solutions called toolboxes. Very important to most users of MATLAB, toolboxes allow learning and applying specialized technology. These are comprehensive collections of MATLAB functions (M-files) that extend the MATLAB environment to solve particular classes of
  • 56.
    problems. Areas inwhich toolboxes are available include signal processing, control system, neural networks, fuzzy logic, wavelets, simulation and many others. Typical uses of MATLAB include: Math and computation, Algorithm development, Data acquisition, Modeling, simulation, prototyping, Data analysis, exploration, visualization, Scientific and engineering graphics, Application development, including graphical user interface building. A.2 Basic Building Blocks of MATLAB The basic building block of MATLAB is MATRIX. The fundamental data type is the array. Vectors, scalars, real matrices and complex matrix are handled as specific class of this basic data type. The built in functions are optimized for vector operations. No dimension statements are required for vectors or arrays. A.2.1 MATLAB Window The MATLAB works based on five windows: Command window, Workspace window, Current directory window, Command history window, Editor Window, Graphics window and Online-help window. A.2.1.1 Command Window The command window is where the user types MATLAB commands and expressions at the prompt (>>) and where the output of those commands is displayed. It is opened when the application program is launched. All commands including user- written programs are typed in this window at MATLAB prompt for execution. A.2.1.2 Work Space Window MATLAB defines the workspace as the set of variables that the user creates in a work session. The workspace browser shows these variables and some information about them. Double clicking on a variable in the workspace browser launches the Array Editor, which can be used to obtain information. A.2.1.3 Current Directory Window The current Directory tab shows the contents of the current directory, whose path is shown in the current directory window. For example, in the windows operating system the path might be as follows: C:MATLABWork, indicating that directory “work” is a subdirectory of the main directory “MATLAB”; which is installed in drive C. Clicking on the arrow in the current directory window shows a list of recently
  • 57.
    used paths. MATLABuses a search path to find M-files and other MATLAB related files. Any file run in MATLAB must reside in the current directory or in a directory that is on search path. A.2.1.4 Command History Window The Command History Window contains a record of the commands a user has entered in the command window, including both current and previous MATLAB sessions. Previously entered MATLAB commands can be selected and re-executed from the command history window by right clicking on a command or sequence of commands. This is useful to select various options in addition to executing the commands and is useful feature when experimenting with various commands in a work session. A.2.1.5 Editor Window The MATLAB editor is both a text editor specialized for creating M-files and a graphical MATLAB debugger. The editor can appear in a window by itself, or it can be a sub window in the desktop. In this window one can write, edit, create and save programs in files called M-files. MATLAB editor window has numerous pull-down menus for tasks such as saving, viewing, and debugging files. Because it performs some simple checks and also uses color to differentiate between various elements of code, this text editor is recommended as the tool of choice for writing and editing M-functions. A.2.1.6 Graphics or Figure Window The output of all graphic commands typed in the command window is seen in this window. A.2.1.7 Online Help Window MATLAB provides online help for all it’s built in functions and programming language constructs. The principal way to get help online is to use the MATLAB help browser, opened as a separate window either by clicking on the question mark symbol (?) on the desktop toolbar, or by typing help browser at the prompt in the command window. The help Browser is a web browser integrated into the MATLAB desktop that displays a Hypertext Markup Language (HTML) documents. The Help Browser consists of two panes, the help navigator pane, used to find information, and the
  • 58.
    display pane, usedto view the information. Self-explanatory tabs other than navigator pane are used to perform a search. A.3 MATLAB Files MATLAB has three types of files for storing information. They are: M-files and MAT-files. A.3.1 M-Files These are standard ASCII text file with ‘m’ extension to the file name and creating own matrices using M-files, which are text files containing MATLAB code. MATLAB editor or another text editor is used to create a file containing the same statements which are typed at the MATLAB command line and save the file under a name that ends in .m. There are two types of M-files: 1. Script Files It is an M-file with a set of MATLAB commands in it and is executed by typing name of file on the command line. These files work on global variables currently present in that environment. 2. Function Files A function file is also an M-file except that the variables in a function file are all local. This type of files begins with a function definition line. A.3.2 MAT-Files These are binary data files with .mat extension to the file that are created by MATLAB when the data is saved. The data written in a special format that only MATLAB can read. These are located into MATLAB with ‘load’ command. A.4 the MATLAB System: The MATLAB system consists of five main parts: A.4.1 Development Environment: This is the set of tools and facilities that help you use MATLAB functions and files. Many of these tools are graphical user interfaces. It includes the MATLAB
  • 59.
    desktop and CommandWindow, a command history, an editor and debugger, and browsers for viewing help, the workspace, files, and the search path. A.4.2 the MATLAB Mathematical Function: This is a vast collection of computational algorithms ranging from elementary functions like sum, sine, cosine, and complex arithmetic, to more sophisticated functions like matrix inverse, matrix eigen values, Bessel functions, and fast Fourier transforms. A.4.3 the MATLAB Language: This is a high-level matrix/array language with control flow statements, functions, data structures, input/output, and object-oriented programming features. It allows both "programming in the small" to rapidly create quick and dirty throw-away programs, and "programming in the large" to create complete large and complex application programs. A.4.4 Graphics: MATLAB has extensive facilities for displaying vectors and matrices as graphs, as well as annotating and printing these graphs. It includes high-level functions for two-dimensional and three-dimensional data visualization, image processing, animation, and presentation graphics. It also includes low-level functions that allow you to fully customize the appearance of graphics as well as to build complete graphical user interfaces on your MATLAB applications. A.4.5 the MATLAB Application Program Interface (API): This is a library that allows you to write C and FORTRAN programs that interact with MATLAB. It includes facilities for calling routines from MATLAB (dynamic linking), calling MATLAB as a computational engine, and for reading and writing MAT-files. A.5 SOME BASIC COMMANDS: pwd prints working directory Demo demonstrates what is possible in Mat lab Who lists all of the variables in your Mat lab workspace?
  • 60.
    Whose list thevariables and describes their matrix size clear erases variables and functions from memory clear x erases the matrix 'x' from your workspace close by itself, closes the current figure window figure creates an empty figure window hold on holds the current plot and all axis properties so that subsequent graphing commands add to the existing graph hold off sets the next plot property of the current axes to "replace" find find indices of nonzero elements e.g.: d = find(x>100) returns the indices of the vector x that are greater than 100 break terminate execution of m-file or WHILE or FOR loop for repeat statements a specific number of times, the general form of a FOR statement is: FOR variable = expr, statement, ..., statement END for n=1:cc/c; magn(n,1)=NaNmean(a((n-1)*c+1:n*c,1)); end diff difference and approximate derivative e.g.: DIFF(X) for a vector X, is [X(2)-X(1) X(3)-X(2) ... X(n)-X(n-1)]. NaN the arithmetic representation for Not-a-Number, a NaN is obtained as a result of mathematically undefined operations like 0.0/0.0 INF the arithmetic representation for positive infinity, a infinity is also produced
  • 61.
    by operations likedividing by zero, e.g. 1.0/0.0, or from overflow, e.g. exp(1000). save saves all the matrices defined in the current session into the file, matlab.mat, located in the current working directory load loads contents of matlab.mat into current workspace save filename x y z saves the matrices x, y and z into the file titled filename.mat save filename x y z /ascii save the matrices x, y and z into the file titled filename.dat load filename loads the contents of filename into current workspace; the file can be a binary (.mat) file load filename.dat loads the contents of filename.dat into the variable filename xlabel(‘ ’) : Allows you to label x-axis ylabel(‘ ‘) : Allows you to label y-axis title(‘ ‘) : Allows you to give title for plot subplot() : Allows you to create multiple plots in the same window A.6 SOME BASIC PLOT COMMANDS: Kinds of plots: plot(x,y) creates a Cartesian plot of the vectors x & y plot(y) creates a plot of y vs. the numerical values of the elements in the y- vector
  • 62.
    semilogx(x,y) plots log(x)vs y semilogy(x,y) plots x vs log(y) loglog(x,y) plots log(x) vs log(y) polar(theta,r) creates a polar plot of the vectors r & theta where theta is in radians bar(x) creates a bar graph of the vector x. (Note also the command stairs(x)) bar(x, y) creates a bar-graph of the elements of the vector y, locating the bars according to the vector elements of 'x' Plot description: grid creates a grid on the graphics plot title('text') places a title at top of graphics plot xlabel('text') writes 'text' beneath the x-axis of a plot ylabel('text') writes 'text' beside the y-axis of a plot text(x,y,'text') writes 'text' at the location (x,y) text(x,y,'text','sc') writes 'text' at point x,y assuming lower left corner is (0,0) and upper right corner is (1,1) axis([xmin xmax ymin ymax]) sets scaling for the x- and y-axes on the current plot A.7 ALGEBRIC OPERATIONS IN MATLAB: Scalar Calculations: + Addition - Subtraction * Multiplication / Right division (a/b means a ÷ b) left division (ab means b ÷ a)
  • 63.
    ^ Exponentiation For example3*4 executed in 'matlab' gives ans=12 4/5 gives ans=0.8 Array products: Recall that addition and subtraction of matrices involved addition or subtraction of the individual elements of the matrices. Sometimes it is desired to simply multiply or divide each element of an matrix by the corresponding element of another matrix 'array operations”. Array or element-by-element operations are executed when the operator is preceded by a '.' (Period): a .* b multiplies each element of a by the respective element of b a ./ b divides each element of a by the respective element of b a . b divides each element of b by the respective element of a a .^ b raise each element of a by the respective b element A.8 MATLAB WORKING ENVIRONMENT: A.8.1 MATLAB DESKTOP Matlab Desktop is the main Matlab application window. The desktop contains five sub windows, the command window, the workspace browser, the current directory window, the command history window, and one or more figure windows, which are shown only when the user displays a graphic. The command window is where the user types MATLAB commands and expressions at the prompt (>>) and where the output of those commands is displayed. MATLAB defines the workspace as the set of variables that the user creates in a work session. The workspace browser shows these variables and some information about them. Double clicking on a variable in the workspace browser launches the Array
  • 64.
    Editor, which canbe used to obtain information and income instances edit certain properties of the variable. The current Directory tab above the workspace tab shows the contents of the current directory, whose path is shown in the current directory window. For example, in the windows operating system the path might be as follows: C:MATLABWork, indicating that directory “work” is a subdirectory of the main directory “MATLAB”; WHICH IS INSTALLED IN DRIVE C. clicking on the arrow in the current directory window shows a list of recently used paths. Clicking on the button to the right of the window allows the user to change the current directory. MATLAB uses a search path to find M-files and other MATLAB related files, which are organize in directories in the computer file system. Any file run in MATLAB must reside in the current directory or in a directory that is on search path. By default, the files supplied with MATLAB and math works toolboxes are included in the search path. The easiest way to see which directories are soon the search path, or to add or modify a search path, is to select set path from the File menu the desktop, and then use the set path dialog box. It is good practice to add any commonly used directories to the search path to avoid repeatedly having the change the current directory. The Command History Window contains a record of the commands a user has entered in the command window, including both current and previous MATLAB sessions. Previously entered MATLAB commands can be selected and re-executed from the command history window by right clicking on a command or sequence of commands. This action launches a menu from which to select various options in addition to executing the commands. This is useful to select various options in addition to executing the commands. This is a useful feature when experimenting with various commands in a work session.
  • 65.
    A.8.2 Using theMATLAB Editor to create M-Files: The MATLAB editor is both a text editor specialized for creating M-files and a graphical MATLAB debugger. The editor can appear in a window by itself, or it can be a sub window in the desktop. M-files are denoted by the extension .m, as in pixelup.m. The MATLAB editor window has numerous pull-down menus for tasks such as saving, viewing, and debugging files. Because it performs some simple checks and also uses color to differentiate between various elements of code, this text editor is recommended as the tool of choice for writing and editing M-functions. To open the editor , type edit at the prompt opens the M-file filename.m in an editor window, ready for editing. As noted earlier, the file must be in the current directory, or in a directory in the search path. A.8.3 Getting Help: The principal way to get help online is to use the MATLAB help browser, opened as a separate window either by clicking on the question mark symbol (?) on the desktop toolbar, or by typing help browser at the prompt in the command window. The help Browser is a web browser integrated into the MATLAB desktop that displays a Hypertext Markup Language(HTML) documents. The Help Browser consists of two panes, the help navigator pane, used to find information, and the display pane, used to view the information. Self-explanatory tabs other than navigator pane are used to perform a search.
  • 66.
    REFERENCES [1] A. R.S. Bahai and B. R. Saltzberg, Multi-Carrier Digital Communications: Theory and Applications of OFDM. New York: Kluwer Academic Publishers, 2002, pp. 14–15. [2] C. Schurgers and M. Srivastava, “A systematic approach to peak-toaverage power ratio in OFDM,” in Proc. SPIE, 2001, vol. 4474, pp. 454–464. [3] J. Armstrong, “Peak-to-average reduction for OFDM by repeated clipping and frequency domain filtering,” IEE Electron. Lett., vol. 38, pp. 246–247, May 2002. [4] X. Li and L. J. Cimini, Jr., “Effects of clipping and filtering on the performance of OFDM,” IEEE Commun. Lett., vol. 2, no. 5, pp. 131–133, May 1998. [5] X. Wang et al., “Reduction of peak-to-average power ratio of OFDM system using a companding technique,” IEEE Trans. Broadcast., vol. 45, no. 3, pp. 303–307, Sep. 1999. [6] A. Mattsson et al., “Comments on: reduction of peak-to-average Power ratio of OFDM system using a companding technique,” IEEE Trans. Broadcast., vol. 45, no. 4, pp. 418–419, Dec. 1999. [7] X. Wang et al., “Reply to the comments on reduction of peak-to-average power ratio of OFDM system using A companding technique,” IEEE Trans. Broadcast., vol. 45, no. 4, pp. 420–423, Dec. 1999. [8] X. Wang et al., “On the SER analysis of A-law companded OFDM system,” in Proc. Global Telecommun. Conf., 2000. GLOBECOM ’00. IEEE, Dec. 2000, vol. 2, pp. 756–760. [9] X. Huang et al., “Reduction of peak-to-average power ratio of OFDM signals with companding transform,” IEE Elec. Lett., vol. 37, no. 8, pp. 506–507, Apr. 2001.
  • 67.
    [10] Y. Guoand J. R. Cavallaro, “Reducing peak-to-average power ratio in OFDM systems by adaptive dynamic range companding,” in 3G Wireless, World Wireless Congress, San Francisco, CA, May 2002, pp. 536–541, paper 159. [11] T. Jiang and G. Zhu, “Nonlinear companding transform for reducing peak-to- average power ratio of OFDM signals,” IEEE Trans. Broadcast., vol. 50, no. 3, pp. 342–346, Sep. 2004. [12] X. Huang et al., “Companding transform for reduction in peak-to-average power ratio of OFDM signals,” IEEE Trans. Wireless Commun., vol. 3, no. 6, pp. 2030– 2039, Nov. 2004. [13] T. Jiang et al., “Exponential companding transform for PAPR reduction in OFDM systems,” IEEE Trans. Broadcast., vol. 51, no. 2, pp. 244–248, Jun. 2005. [14] T. Jiang et al., “Two novel nonlinear companding schemes with iterativereceiver to reduce PAPR in multi-carrier modulation systems,” IEEE Trans. Broadcast., vol. 52, no. 2, pp. 268–273, Jun. 2006. [15] T. G. Pratt et al., “OFDM link performance with companding for PAPRreduction in the presence of non-linear amplification,” IEEE Trans. Broadcast., vol. 52, no. 2, pp. 261–267, June 2006. [16] C.-L. Wang and S.-J. Ku, “A low-complexity companding transform for peak-to- average power ratio reduction in OFDM systems,” in Proc. IEEE Int. Conf. on Acoustics, Speech and Signal Processing ICASSP 2006, 2006, vol. 4, pp. IV-329–IV- 332. [17] S. A. Aburakhia, E. F. Badran, and D. A. E. Mohamed, “A comparison between signal clipping and �-law companding schemes for the reduction of peak-to-average power ratio of OFDM signals,” in Proc. 1st Int. Conf. on Digital Commun. & Computer Applications DCCA2007,Irbid, Jordan, Mar. 2007, pp. 423–431.
  • 68.
    [18] M. Sharif,M. G. Alkhansari, and B. H. Khalaj, “New results on the peak power of OFDM signals based on oversampling,” in Proc. IEEE Int. Commun. Conf., Helsinki, Finland, Apr. 2002, vol. 2, pp. 866–871. [19] C. Dudak and A. T. Koc, “Solid state power amplifier (SSPA) nonlinearity effects on quadri-phase shift keying modulation,” in Proc. 7th European Conf. on Wireless Technology, 2004, pp. 237–240. [20] C. Rapp, “Effects of HPA nonlinearity on a 4-DPSK/OFDM signal for a digital sound broadcasting system,” in Proc. 2nd European Conf. on Satellite Commun., Líege, Belgium, Oct. 1991, pp. 179–184. [21] S. C. Thompson, J. G. Proakis, and J. R. Zeidler, “The effectiveness of signal clipping for PAPR and total degradation reduction in OFDM systems,” in Proc. of the IEEE Global Telecommun. Conf., St. Louis, Dec. 2005, vol. 5, pp. 2807–2811. [22] R. Van Nee and R. Prasad, OFDM for Wireless Multimedia Communications. London: Artech House, 2000, pp. 127–128. [23]Mrs.Veena M.B. Dr.M.N.ShanmukhaSwamy,“Performance analysis of DWT based OFDM over FFT based OFDM and implementing on FPGA” International Journal of VLSI design & Communication Systems (VLSICS) Vol.2, No.3, September 2011. [24] Deepak Gupta, Vipin B Vats, Kamal K. Garg, “Performance Analysis of DFT- OFDM, DCT-OFDM, and DWT-OFDM Systems in AWGN Channel” International Conference on Wireless and Mobile Communications ICWMC’08, July 27 – Aug 01, 2008. [25] Swati Sharma, Sanjeevkumar, “BER Performance Evaluation of FFT-OFDM and DWT-OFDM”International Journal of Network and MobileTechnologiesISSN 2229- 9114 Electronic VersionVOL 2 / ISSUE 2 / MAY 2011. [26] LalchandraPatidar, Ashish Parikh, “BER Comparison of DCT-based OFDM and FFT-based OFDM using BPSK Modulation over AWGN and Multipath Rayleigh
  • 69.
    Fading Channel” InternationalJournal of Computer Applications (0975 – 8887) Volume 31– No.10, October 2011. [27] R. Saxena, K. Singh, Fractional Fourier transform: a novel tool for signalprocessing, Indian Inst. Sci. 85 (2005) 11–26 [28]N. Prasad, S. Wang, N. Wang, Efficient receiver algorithms for DFT-spread OFDM systems, IEEE Trans. Wirel. Commun. 8 (2009) 3216–3225 [29] Stefano Galli, O. Logvinov, "Recent Developments in the Standardization of Power Line Communications within the IEEE". IEEE Communications Magazine. 46 (7): 64–71, July 2008. [30] StéphaneMallat, A Wavelet Tour of Signal Processing, Academic Press, 1999. [31] C. S. Burrus, R. A. Gopinath, H. Guo, Introduction to Wavelets and Wavelet Transforms, a primer, Prentice Hall New jersey, 1998.