Quantifying the Physiological Positional Demands of Elite Netball
during a 5-day International Tournament
A dissertation submitted in partial fulfilment of the requirements for the award
BSc (Hons) Sport and Exercise Science
James McCabe
B00580498
Research Project SLS506 (64860)
University of Ulster, Jordanstown
Supervisor: Dr. Conor McClean
Submission Date: 06/05/2014
Word Count: 3,581
Journal of Sports Science
Acknowledgements
The author would like to thank and extend my appreciation to Dr. Conor McClean for
his help and guidance throughout this research.
The author would also like to thank the Sports Institute of Northern Ireland,
specifically Damian Martin for the continuous support as he provided both the
opportunity and facilities to undertake this study whilst constantly providing a source
of information and guidance throughout.
Abstract
Objective: The purpose of this study is to assess the physiological demands in elite
netball using an accelerometer (Catapult Minimax V4) in an attempt of define the
variability between positions in the elite netball. The completion of this objective
should provide adequate data, which may be utilised by high performance netball
coaches in an attempt to generate both, training programmes and individualised
recovery protocols in an attempt to optimise performance.
Methods: 12 Northern Irish netballers, mean (±SD) age, height and mass of 25.58 ±
3.99 years old, 175.00 ± 5.76 cm and 72.3 ± 10.93 kg respectively, competed in a 5
day international tournament. During which they wore a Catapult MiniMax V4 by
which Accelerometer Load (LoadTM·min-1) was recorded. Daily Creatine Kinase,
hydration and body mass was also collected, whilst additional subjective variables
were recorded as part of a daily diary.
Results: The appropriate application of these methods produced the required results
necessary for the fulfilment of the objective outlined at the beginning of this research.
The major finding of this research is that Load TM.
min -1
(au) measured using tri-axial
accelerometers sampling at 100Hz, provided specific and useful results that
highlighted the differences across the various positions in netball. It is evident from
the results that the Centre Court player has the greatest Load TM.
min -1
(au) on
average over the five-day tournament (185.58). Furthermore player load was
quantified for each position providing data that will be useful to coaches when aiming
to optimize performance. On average over a 5-day tournament, the player load for a;
Goal Keeper (103.35 Load TM.
min -1
), Goal Defence (139.38 Load TM.
min -1
), Wing
Defence (147.25 Load TM.
min -1
), Wing Attack (133.19 Load TM.
min -1
), Goal Attack
(122.38 Load TM.
min -1
) and Goal Shooter (75.50 Load TM.
min -1
).
The Pearson’s Correlation Co-efficient found no significant relationship when
examining the individual variables with peak creatine kinase levels (Decelerations
and Peak CK – r = 0.17), (Accelerations and Peak CK – r = 0.22) and (Total Jumps
and Peak CK – r = 0.2).
Conclusion: The purpose of the study was to assess the physiological demands in
elite netball using an accelerometer (Catapult Minimax V4) in order to provide data
that will be utilized by high-performance coaches. The findings of this research show
the centre court player to induce the greatest player load throughout each game of a
tournament. This research should allow specific training programs and individualised
recovery programmes to be generated.
Furthermore, we found no significant relationship between peak creatine kinase
levels and the assessed variables. It can therefore be concluded that, both the
integration of these variables and the continuous nature of netball tournaments may
induce the high creatine kinase levels.
Keywords; netball, elite, accelerometer, catapult minimax, player load
(Load TM.
min -1
), physiological demands
Introduction
Netball is predominantly a female team court sport, which is played by approximately
20 million people worldwide according to the International Netball Federation (INF).
Each team consists of seven players, and competition comprises of 4 X 15 minute
quarters conducted on a 15.25 X 30.5 court that is divided into thirds; outlining the
areas in which particular positions are allowed to move. Whilst there are strict rules
and regulations regarding contact, the most prominent distinctive aspect of the game
is that players are not permitted to move whilst in possession (Cormack et al, 2013).
Netball has been described as a dynamic and physically demanding game that
requires various movement patterns (Williams & O’Donoghue, 2005).
Nowadays, the value of success has increased dramatically, providing a need for an
industry of specialists capable of harnessing maximum potential. Each sport has its
own specific physiological demands and characteristics. These demands are
resultant of the rules and structure imposed, as well as the skill and tactical ability of
all players involved. An understanding of these requirements will aid in the
development of athletes with a view to optimising performance.
At present research related specifically to netball is scarce (Cormack et al, 2013).
This may be due to the lack of structure during match play (Allison, 1978). Much of
the research into netball has used time-motion analysis and/or individual
physiological fitness testing protocols. Intervention style research during competition
is minimal for netball; yet vast for other intermittent sports e.g. soccer (Mohr et al,
2003; Rampini et al, 2007b). The relatively small amount of netball physiology
research suggests that the game does have similarities to other intermittent sports.
However there are some well-defined differences specifically in the movement
patterns performed during a netball game. This discrete set of specific movements
makes the use of research using time-motion analysis and/or physiological data from
other sports implausible when investigating netball. The use of an up-to-date, state of
the art accelerometer and/or GPS may improve both reliability and specificity when
quantifying the physiological profile of netball players. The current paucity of
research has provided the rationale for this study.
Numerous researchers have assessed the quantification of physiological load in
netball; Steele and Chad (1991), Otago (1983), have utilised different methods of
analysing netball competition and practice. The methods used during these studies
however have incurred scrutiny as Hughes (2008a) claims them to be subjective and
qualitative in nature, as they are characterized by the observational techniques and
coaches evaluations as a measure. However recent enhancements in technology
has allowed for the quantification of physiological load during competition using a
non-invasive method. Petersen, Pyne, Portus and Dawson (2009) indicate that the
minimax V4 performs extremely well during short sprints and changes of direction.
This conclusion emphasizes the possibility of this accelerometer’s use when
quantifying the load in a netball tournament. Furthermore Cormack et al (2013)
claims the minimax v4 to provide an innovative and useful tool for the assessment of
the activity profiles in both lower and higher standards of netball.
It was hypothesised prior to data collection, based on previous literature, that player
load would be greatest in a centre due to the court restrictions in netball (Davison &
Trewartha, 2008). The centre has the greatest distance to cover; therefore this
should correlate with the load placed on that individual. It was also hypothesised that
the total number of decelerations throughout the tournament will have a significant
relationship with peak creatine kinase levels for each player. To put this hypothesis
into context, it is established based on the understanding that damage caused to the
sarcoplasmic reticulum as a result of exercise causes a leakage of CK, thus allowing
CK to be utilized as a marker for the amount of muscle damage. The eccentric nature
of decelerations, which is a variable recorded by the Catapult Minimax V4, therefore
generated an interest into this possible relationship. Also, if proved correct,
numerous sports including netball, can improve their training by increasing the
amount of eccentric contractions done during gym session, therefore training the
muscle to deal with the physiological stress it incurs during performance, minimising
the amount of muscle damage and possibly injury (Lindstedt, LaStayo & Reich,
2001).
The aim of this study was to highlight the variability between positions in netball
providing coaches with adequate data to produce individual training programmes,
and recovery protocols.
Methods
Participants
Twelve netballers with a mean (±SD) age, height and mass of 25.58 ± 3.99 years
old, 175.00 ± 5.76 cm and 72.3 ± 10.93 kg respectively, that were selected for the
Northern Irish Netball team were recruited to participate in the study. The squad
participated in a 5-day international tournament in the Antrim Forum Leisure Centre
from the 30th
October – 3rd
November. Approval from the University Research Ethics
Committee, informed consent and each participant’s health history was gathered
from prior to commencement with the data collection.
Design
Data was collected from each individual involved in the study during the four
matches. During each match, accelerometer load TM
min -1
(au) was collected for
each individual player. The position each player was allocated was recorded allowing
comparison during data analysis.
Study Period
Data Collection took place at the Antrim Forum Leisure Centre from the 31st
October
until the 3rd
October 2013. Prior to the tournament, the athletes completed a YoYo
Intermittent Test to establish baseline fitness parameters e.g. max heart rate. This
fitness testing was carried out on the 23rd
October 2013.
Methodology
Participants match activity profile (mean 3 ± 1.4 samples per player) was recorded by
an accelerometer sampling at 100 Hz, contained inside a motion detection unit
(MinimaxX, Team 2.5, Catapult Innovations, Scoresby, Australia). Units were housed
in a custom made harness that prevented unwanted movement and held the units in
place in the middle of the upper back. Therefore limiting any potential hindrance on
performance. Accelerometer data (Load TM.
min -1
(au) from individual X-medio-lateral,
Y- anterior/posterior, and Z-vertical vectors) was downloaded post match using
manufacturer specific software (Logan Plus v. 4.46.0) and divided by playing time to
calculate Load TM.
min -1
(au). Load TM.
min -1
(au) has demonstrated high levels of
validity and reliability in team sport specific movements (CV = 1.9 %).
Further subjective and objective measures were collected throughout the tournament
to compliment the research examining the differences across positions regarding the
physiological demands associated with that specific role. Objectively, each
participants Creatine Kinase (CK) levels were recorded the morning after competition
in an attempt to gauge muscle damage. This was gathered using a Reflotron Plus
system. Another objective measure was hydration; this was gathered using
osmocheck and recorded in the individual’s daily diary. Individuals body mass was
also recorded pre and post match in an attempt to quantify the amount of water lost
during competition.
Subjectively, each participant kept a daily dairy that consisted of a specific template
which would be completed both pre and post match-play (Figure 1). This diary
incorporated numerous factors that were divided, as they had to be completed at
different times. The pre exercise factors included; muscle condition, quality of sleep,
appetite, perceived mental & physical fatigue, mood states and any injuries or illness.
Post exercise consisted of similar questions with the addition of any recovery
protocols used post match e.g. Ice bath, foam roller, contrast showers etc. and the
perceived rate of exertion of the game (Borg’s scale).
Statistical Analysis
Load TM.
min -1
(au) values from each individual was analyzed to assess the different
demands placed on each playing position. The data was recorded and processed
using Microsoft Excel (2010). Load TM.
min -1
(au) values are presented as mean ±SD
and graphed to highlight the evident differences across positions.
SPSS statistical tests were not utilized as throughout the tournament the players in
each position varied, also substitutions provided a hindrance. A Pearsons Correlation
Co-Efficient was used however to examine the relationship between variables (total
jumps, total accelerations and total decelerations) with the individuals peak CK
levels.
Results
The average player load (Load TM.
min -1
(au)) for each position throughout the
tournament is highlighted in Figure 1. The mean ±SD Load TM.
min -1
(au) throughout
this competition was 129.52 ± 34.69. It is evident that the Centre position is
associated with the highest demand as the average player load was 185.58, which is
38.33 greater than Wing Defence that has the second greatest player load.
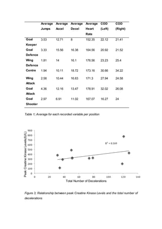
Table 1 shows the average between the positions across the numerous variables
assessed. This therefore allows an association between player load and specific
movements, by identifying the different demands associated with each position. The
Centre position does have the greatest number of decelerations (18.72) and also the
highest overall amount of changes in direction (64.88). Surprisingly the Goal Attack
position incorporated the greatest number of jumps (4.36) and the Goal Defence had
the greatest number of accelerations (15.56) and yet the overall player load for each
position is similar to the average (129.52) with each measuring 139.38 and 122.38
respectively. The Pearson’s Correlation Co-efficient (see figures 3,4 & 5) found no
significant relationship when examining the individual variables with the peak
creatine kinase of the participants (Decelerations and Peak CK – r = 0.17),
(Accelerations and Peak CK – r = 0.22) and (Total Jumps and Peak CK – r = 0.2).
Figure 1; Average player load for each position during the tournament
0.00
50.00
100.00
150.00
200.00
250.00
Goal
Keeper
Goal
Defence
Wing
Defence
Centre Wing Attack Goal Attack Goal
Shooter
PlayerLoad(LoadTM·min-1)
Position
Table 1; Average for each recorded variable per position
Figure 3; Relationship between peak Creatine Kinase Levels and the total number of
decelerations
Average
Jumps
Average
Accel
Average
Decel
Average
Heart
Rate
COD
(Left)
COD
(Right)
Goal
Keeper
3.53 12.71 8 152.35 22.12 21.41
Goal
Defence
3.33 15.56 16.38 164.56 20.92 21.52
Wing
Defence
1.81 14 16.1 176.56 23.23 25.4
Centre 1.94 10.11 18.72 173.16 30.66 34.22
Wing
Attack
2.58 10.44 16.63 171.3 27.94 24.58
Goal
Attack
4.36 12.16 13.47 178.91 32.02 26.08
Goal
Shooter
2.97 6.91 11.02 167.07 16.27 24
R² = 0.169
0
100
200
300
400
500
600
700
800
900
0 20 40 60 80 100 120 140
PeakCreatineKinaseLevels(IU/L)
Total Number of Decelerations
Figure 4; Relationship between peak Creatine Kinase Levels and the total number of
accelerations.
Figure 5; Relationship between peak Creatine Kinase Levels and the total number of
jumps.
R² = 0.2196
0
100
200
300
400
500
600
700
800
900
0 10 20 30 40 50 60 70 80 90
PeakCreatineKinaseLevel(IU/L)
Total Number of Accelerations
R² = 0.2006
0
100
200
300
400
500
600
700
800
900
0 10 20 30 40 50 60 70 80 90 100
PeakCreatineKinaseLevels(IU/L)
Total Number of Jumps
Participant Peak CK Levels (IU/L)
1 328
2 774
3 117
4 320
5 383
6 489
7 201
8 316
9 N/a
10 293
11 428
12 325
Table 2; Peak Creatine Kinase Levels throughout the competition for each participant
Discussion
While games analysis studies of netball have been regularly undertaken over the
past 30 years (Davidson & Trewartha, 2008; Loughran & O’Donoghue, 1999; Otago,
1983; Steele (1990), Steele & Chad (1991) only two studies have examined these at
the elite level in this time period (Otago, 1983; Fox et al, 2013). Therefore, the aim of
this study was to examine the current activity of elite level netball during competition
in order to provide coaches with up to date quantitative knowledge of the associated
demands of specific positions as a basis for the design of sport specific training
programmes and adequate recovery protocols.
The major finding of this research is that Load TM.
min -1
(au) measured using tri-axial
accelerometers sampling at 100Hz demonstrated consistent, practically meaningful
differences across the different positions in netball. It is evident from the results that
the Centre Court player has the greatest player load on average over the five-day
tournament (Figure 1). The quantification of Load TM.
min -1
(au) during netball
competition may be affected by numerous factors, such as; court restrictions, game
difficulty, tactics employed and the individual’s style of play/attitude. Each of these
influencing factors will be discussed in an attempt to provide a justification of the
results.
Court Restrictions
Due to the relatively small court and the rules of the games that restrict player
movement during netball, it could be said that each of the seven positions has its
own set of physiological demands (Woolford & Angove, 1991). The Centre court
players, who have less rule-imposed limitations on their court movement in
comparison with the other positions, corresponds with the high player load inflicted
on them as seen in Figure 1. In conjunction with the aforementioned, those positions
with the greatest court restrictions (GK & GS) player load had the least on average
over the four matches. (Wright, Slattery and Howell; Cormack et al, 2013).
Previous work has suggested that distance covered and Load TM.
min -1
(au) had a
very strong relationship in research examining Australian Football Players (Aughey,
2011). This may provide reasoning as to how the Centre Court player’s Load TM.
min -1
(au) was greater than that of the six other positions. This is perhaps evident in the
results seen in Table 1 as both, accelerations and jumps were higher in other
positions, yet the player load still remained highest in the Centre Court position.
Results from research by Davidson and Trewartha (2008) found that Centre players
in Britain cover 8km during a 60minunte match, which is significantly further than
both the GK and GS for example who both travelled on average 4.2km. However,
this study’s data collection procedures may not provide a true objective quantification
of the total distance covered. Therefore, to truly gauge the validity of this relationship,
a study using an indoor GPS system may provide a more reliable result for this
speculation.
Game Difficultly and Tactics Utilized
A study by Cormak et al (2013) examined the differences in Load TM.
min -1
(au)
across two different playing standards finding that during higher standard games in
comparison with that of a lower standard, Load TM.
min -1
(au) is considerably higher.
The possibility of this factor influencing this data set is minimal, as the data is
collected over four games in a competitive setting. Also the teams participating in the
competition included, Barbados, St Lucia and Botswana that are ranked 9th
, 15th and
19th
respectively in the world rankings, with the Northern Irish squad ranked at 11th
worldwide, this should highlight the competitiveness of the assessed tournament.
The difficulty of the game, and/or standard of the opponent may however, affect
results of this nature, as how the coach tactically approaches the game may alter
according to these variables. It is essential therefore to assess the demands of
netball across numerous games and various playing styles.
Player Attitudes and Style of Play
It is evident across numerous sports, that each individual player has their own
particular playing style; this is also the case in netball at all levels. This therefore may
prevent this data set being useful to other countries in the development of specific
training programmes for performance enhancement, as the high play load associated
with the Northern Irish Centre Court may not correspond with that of other
international teams.
If this possible mechanism is true, the protocol utilized during this research and the
rich data set reaped from this work, should provide a basic blueprint for other
countries. The specificity of the results gathered using the Catapult Minimax V4
highlights both its practicality due to its lack of interference with the players and
effectiveness in assessing player activity (See Table 1).
Measured Variables vs. Peak Creatine Kinase
It was hypothesized prior to data collection that the total number of decelerations
throughout the tournament will have a significant relationship with peak Creatine
Kinase levels for each player. As aforementioned, a Pearsons Correlation Co-
efficient test was carried out to assess this relationship and found no relationship
between these two variables.
This hypothesis was based on the understanding that damage caused to the
sarcoplasmic reticulum as a result of exercise causes a leakage of CK, thus allowing
CK to be utilized as a marker for the amount of muscle damage induced (Tiidus,
Tupling & Houston, 2012). A study by Newham, Jones and Edwards (2004) found
that eccentric contractions are responsible for the large efflux of the enzyme creatine
kinase. Due to the eccentric nature of decelerations it was hypothesised that there
would be a significant relationship between CK and the number of decelerations.
Upon completion of this analysis, with the test producing no significant relationship (r
= 0.17), the other variables gathered by the accelerometer were tested in an attempt
to try and gain an understanding into whether any individual movement caused the
high CK levels (See Table 2). However, of the variables assessed; total jumps (r =
0.20) and accelerations (r = 0.22) neither proved to have a significant relationship
with peak CK levels.
It can therefore be assumed that a combination of these variables; total jumps, total
number of accelerations and total number of decelerations may all play their own
particular role in the damage caused to the working muscles during a netball match.
These variables, as well as distance covered and the consecutive nature of this
tournament will all constitute towards the high CK levels recorded in the results.
Conclusion and Future Directions
In conclusion we can accept our first hypothesis, which is in agreement with previous
literature in this area that the Centre Court play does in fact incur the greatest
amount of load during both a one-off match and therefore throughout the tournament.
This conclusion provides coaches of teams with a greater understanding into the
physiological stresses the human body is placed under during an international
tournament. This understanding will allow coaches to plan their training to suit the
individual requirements of each player with a view to optimizing the teams overall
performance.
Due to the nature of netball competition at an international level, an understanding of
this nature is of huge benefit to the coaches and the other backroom staff associated
with the squad. An understanding of the demands placed on these athletes will allow
the production of individualised recovery programmes to ensure that injury risk is
minimised and a high level of performance is maintained throughout the tournament.
However we must reject our secondary hypothesis that there was a significant
relationship between the total number of decelerations completed during the
tournament and the peak creatine kinase level.
This research should be of value to the entire netball community, as the information
collected from the Catapult Minimax V4 has provided a respected analysis for the
Northern Irish netball squad. The usefulness of this data may cause a need for
coaches of other squads to utilize this protocol in an attempt to optimise their team’s
performance.
With regards to future directions for this research, the above-mentioned variables
may have affected the results gathered. Not least, the tactics employed by the
particular coach and the individual players attitude/style of play. Therefore, to gain a
greater insight into the sport of netball meanwhile furthering this research, it is
essential that this protocol is utilized on other international squads.
This data provides an understanding into how netball is played in Northern Ireland at
elite level and therefore it would be thoughtless to assume that netball worldwide will
provide the same results. Future research may also compare this data set with other
factors such as fitness levels, strength and power qualities of the athletes.
Limitations
Prior to the commencement of this investigation it was recognised that the possibility
of injury is high due to the participant’s high volume of training and participation in
sport in general. During data collection, it is essential to note that an injury to the
upper body area (ribs) occurred to one of the participants preventing them from
wearing the Catapult (Accelerometer). However, data was collected from this
participant during a few of the quarters in which she participated allowing player load
to be recorded for that position.
Another limitation of this study is the lack of statistical analysis, as the ever-changing
team scenario e.g. substitutions and changes in position provided a interference
when trying to use SPSS. This interference arose as our subject number would have
varied for each position or the assessment would have examined the physiological
demand placed on the individual regardless of position, which would not have
coincided with the aims of the research.
Acknowledgements
The author would like to thank and extend my appreciation to Dr. Conor McClean for
his help and guidance throughout this research.
The author would also like to thank the Sports Institute of Northern Ireland,
specifically Damian Martin for the continuous support as he provided both the
opportunity and facilities to undertake this study whilst constantly providing a source
of information and guidance throughout.
References
Aughey, R. (2011) Increased high intensity activity in elite Australian football finals
matches. International Journal of Sports Physiology and Performance 6, 367-379
Allison, B. (1978). A practical application of specificity in netball training. Sports
Coaching. 2 (2), 9-13.
Cormack, S.J., Smith, R.L., Mooney, M.M., Young, W.B., O'Brien, B.J. (2013).
Accelerometer Load as a Measure of Activity Profile in Different Standards of Netball
Match Play. International Journal of Sports Physiology and Performance. 1 (1).
Davidson, A., Trewartha, G. (2008). Understanding the Physiological Demands of
Netball: A Time- Motion Investigation. International Journal of Sports Physiology and
Performance. 8 (1), 1-17.
Fox, A., Spittle, M., Otago, L, and Saunders, N. (2013). Activity profiles of the
Australian female netball team players during international competition: implications
for training practice. Journal of Sport Science. 31 (14), 1588-95.
Hughes, M. (2008a). Examples of notation systems. In M. Hughes and I.M. Franks
(Eds.), The Essentials of Performance Analysis An Introduction (pp. 111-149).
London: Routledge.
International Netball Federation. (2014). Netball for Life. Available:
http://www.netball.org/sustainable-global-development/netball-for-life. Last accessed
17th March 2014.
Lindstedt, S.L., LaStayo, P.C., Reich, T.E. (2001). When Active Muscles Lengthen:
Properties and Consequences of Eccentric Contractions. American Physiological
Society. 16 (1), 256-61.
Loughran, B.J. and O’Donoghue, P.G. (1999). Time-motion analysis of work- rate in
club netball. Journal of Human Movement Studies, 36, 37-50.
Mohr, M., Krustrup, P., and Bangsbo, J. (2003). Match performance of high-standard
soccer players with special reference to development of fatigue. Journal of Sports
Sciences, 21, 519-528.
Newham, J., Jones, D.A., Edwards, R.H.T. (1986). Plasma creatine kinase changes
after eccentric and concentric contractions. Muscle & Nerve. 9 (1), 59-63.
Otago, L. (1983). A game analysis of the activity patterns of netball players. Sports
Coach, 7 (1), 24-28.
Petersen, C., Pyne, D., Portus, M. and Dawson, B. (2009) Validity and reliability of
GPS units to monitor cricket-specific movement patterns. International Journal of
Sports Physiology and Per- formance 4, 381-393.
Rampini, E., Coutts, A.J., Castagna, C., Sassi, R., and Impellizzeri, F.M. (2007b).
Variation in top level soccer match performance. International Journal of Sports
Medicine, 28, 1018-1024.
Steele, J.R. (1990). Biomechanical factors affecting performance in netball:
Implications for improving performance and injury reduction. Journal of Sports
Medicine . 10 (1), 88-102.
Steele, J.R., and Chad, K.E. (1991). Relationship between movement patterns
performed in match play and in training by skilled netball players. Journal of Human
Movement Studies, 20, 249-278.
Tiidus, P.M. (2012). Energy Systems and Bioenergetics. In: Tupling, A.R. and
Houston, M.E. Biochemistry Primer for Exercise Science. 4th ed. Champaign, IL:
Human Kinetics. 234-321.
Williams, R. and O’Donoghue, P. (2005). Lower limb injury risk in netball: a time-
motion analysis investigation. Journal of Human Movement Studies, 49, 315-331.
Woolford, S, and Angrove, M. (1991). A comparison of training techniques and game
intensities for national level netball player. Sports Coaching. 14 (1), 18-21.
Wright, R., Slattery, K. and Howell, J. Using Session-RPE to Monitor Training Load in
Netballers. Available: http://old.netball.asn.au/_uploads/res/1_248473.pdf. Last
accessed 29th April.
Appendix 1
Competition
Diary
Netball Tornament, Antrim
Forum Oct - Nov 13
Date 30 31 1 2 3
1 - 10 Borg Rating of
PercievedExertion
Day
We
d
Thu
Fr
i
Sa
t
Su
n
MorningPre-exercise
Muscle
condition Fan
(F)
OK
(OK)
Poor
(P)
1 Rest
Mood state 2
Quality of
sleep
3
Appetite 4 Sort of Hard
Fatigue
(physical)
0 =
None
5 =
Extrem
ely
5 Hard
Fatigue
(mental)
6
Illness Yes /
No
Explain
7 Really Hard
Injury 8
Body Mass (kg) 9 Really, Really hard
Hydration
(mOsm
/L)
1
0
Max - Hardest ever
game
Evening / Post-exercise
Recovery
Muscle
condition
Fan /
OK /
PoorMood state A Pool
Fatigue
(physical)
0 =
None
5 =
Extrem
ely
B Ice Bath
Fatigue
(mental)
C Contrast Show er
Illness Yes /
No
Explain
D Massage
Injury E Foam Roller
Game RPE 1-10 F
Compression
Garments
Body Mass (kg) G
Gym (Cycle, Cross
Trainer)
Recovery A - H H Other
Notes
Appendix 1; Daily Dairy template that was completed by each individual player
throughout the tournament.
Appendix Two
Appendix Two; An Individual’s Daily Diary processed using Microsoft Excel.

Dissertation Paper

  • 1.
    Quantifying the PhysiologicalPositional Demands of Elite Netball during a 5-day International Tournament A dissertation submitted in partial fulfilment of the requirements for the award BSc (Hons) Sport and Exercise Science James McCabe B00580498 Research Project SLS506 (64860) University of Ulster, Jordanstown Supervisor: Dr. Conor McClean Submission Date: 06/05/2014 Word Count: 3,581 Journal of Sports Science
  • 2.
    Acknowledgements The author wouldlike to thank and extend my appreciation to Dr. Conor McClean for his help and guidance throughout this research. The author would also like to thank the Sports Institute of Northern Ireland, specifically Damian Martin for the continuous support as he provided both the opportunity and facilities to undertake this study whilst constantly providing a source of information and guidance throughout.
  • 3.
    Abstract Objective: The purposeof this study is to assess the physiological demands in elite netball using an accelerometer (Catapult Minimax V4) in an attempt of define the variability between positions in the elite netball. The completion of this objective should provide adequate data, which may be utilised by high performance netball coaches in an attempt to generate both, training programmes and individualised recovery protocols in an attempt to optimise performance. Methods: 12 Northern Irish netballers, mean (±SD) age, height and mass of 25.58 ± 3.99 years old, 175.00 ± 5.76 cm and 72.3 ± 10.93 kg respectively, competed in a 5 day international tournament. During which they wore a Catapult MiniMax V4 by which Accelerometer Load (LoadTM·min-1) was recorded. Daily Creatine Kinase, hydration and body mass was also collected, whilst additional subjective variables were recorded as part of a daily diary. Results: The appropriate application of these methods produced the required results necessary for the fulfilment of the objective outlined at the beginning of this research. The major finding of this research is that Load TM. min -1 (au) measured using tri-axial accelerometers sampling at 100Hz, provided specific and useful results that highlighted the differences across the various positions in netball. It is evident from the results that the Centre Court player has the greatest Load TM. min -1 (au) on average over the five-day tournament (185.58). Furthermore player load was quantified for each position providing data that will be useful to coaches when aiming to optimize performance. On average over a 5-day tournament, the player load for a; Goal Keeper (103.35 Load TM. min -1 ), Goal Defence (139.38 Load TM. min -1 ), Wing Defence (147.25 Load TM. min -1 ), Wing Attack (133.19 Load TM. min -1 ), Goal Attack (122.38 Load TM. min -1 ) and Goal Shooter (75.50 Load TM. min -1 ). The Pearson’s Correlation Co-efficient found no significant relationship when examining the individual variables with peak creatine kinase levels (Decelerations
  • 4.
    and Peak CK– r = 0.17), (Accelerations and Peak CK – r = 0.22) and (Total Jumps and Peak CK – r = 0.2). Conclusion: The purpose of the study was to assess the physiological demands in elite netball using an accelerometer (Catapult Minimax V4) in order to provide data that will be utilized by high-performance coaches. The findings of this research show the centre court player to induce the greatest player load throughout each game of a tournament. This research should allow specific training programs and individualised recovery programmes to be generated. Furthermore, we found no significant relationship between peak creatine kinase levels and the assessed variables. It can therefore be concluded that, both the integration of these variables and the continuous nature of netball tournaments may induce the high creatine kinase levels. Keywords; netball, elite, accelerometer, catapult minimax, player load (Load TM. min -1 ), physiological demands
  • 5.
    Introduction Netball is predominantlya female team court sport, which is played by approximately 20 million people worldwide according to the International Netball Federation (INF). Each team consists of seven players, and competition comprises of 4 X 15 minute quarters conducted on a 15.25 X 30.5 court that is divided into thirds; outlining the areas in which particular positions are allowed to move. Whilst there are strict rules and regulations regarding contact, the most prominent distinctive aspect of the game is that players are not permitted to move whilst in possession (Cormack et al, 2013). Netball has been described as a dynamic and physically demanding game that requires various movement patterns (Williams & O’Donoghue, 2005). Nowadays, the value of success has increased dramatically, providing a need for an industry of specialists capable of harnessing maximum potential. Each sport has its own specific physiological demands and characteristics. These demands are resultant of the rules and structure imposed, as well as the skill and tactical ability of all players involved. An understanding of these requirements will aid in the development of athletes with a view to optimising performance. At present research related specifically to netball is scarce (Cormack et al, 2013). This may be due to the lack of structure during match play (Allison, 1978). Much of the research into netball has used time-motion analysis and/or individual physiological fitness testing protocols. Intervention style research during competition is minimal for netball; yet vast for other intermittent sports e.g. soccer (Mohr et al, 2003; Rampini et al, 2007b). The relatively small amount of netball physiology research suggests that the game does have similarities to other intermittent sports. However there are some well-defined differences specifically in the movement patterns performed during a netball game. This discrete set of specific movements makes the use of research using time-motion analysis and/or physiological data from other sports implausible when investigating netball. The use of an up-to-date, state of the art accelerometer and/or GPS may improve both reliability and specificity when
  • 6.
    quantifying the physiologicalprofile of netball players. The current paucity of research has provided the rationale for this study. Numerous researchers have assessed the quantification of physiological load in netball; Steele and Chad (1991), Otago (1983), have utilised different methods of analysing netball competition and practice. The methods used during these studies however have incurred scrutiny as Hughes (2008a) claims them to be subjective and qualitative in nature, as they are characterized by the observational techniques and coaches evaluations as a measure. However recent enhancements in technology has allowed for the quantification of physiological load during competition using a non-invasive method. Petersen, Pyne, Portus and Dawson (2009) indicate that the minimax V4 performs extremely well during short sprints and changes of direction. This conclusion emphasizes the possibility of this accelerometer’s use when quantifying the load in a netball tournament. Furthermore Cormack et al (2013) claims the minimax v4 to provide an innovative and useful tool for the assessment of the activity profiles in both lower and higher standards of netball. It was hypothesised prior to data collection, based on previous literature, that player load would be greatest in a centre due to the court restrictions in netball (Davison & Trewartha, 2008). The centre has the greatest distance to cover; therefore this should correlate with the load placed on that individual. It was also hypothesised that the total number of decelerations throughout the tournament will have a significant relationship with peak creatine kinase levels for each player. To put this hypothesis into context, it is established based on the understanding that damage caused to the sarcoplasmic reticulum as a result of exercise causes a leakage of CK, thus allowing CK to be utilized as a marker for the amount of muscle damage. The eccentric nature of decelerations, which is a variable recorded by the Catapult Minimax V4, therefore generated an interest into this possible relationship. Also, if proved correct, numerous sports including netball, can improve their training by increasing the amount of eccentric contractions done during gym session, therefore training the
  • 7.
    muscle to dealwith the physiological stress it incurs during performance, minimising the amount of muscle damage and possibly injury (Lindstedt, LaStayo & Reich, 2001). The aim of this study was to highlight the variability between positions in netball providing coaches with adequate data to produce individual training programmes, and recovery protocols. Methods Participants Twelve netballers with a mean (±SD) age, height and mass of 25.58 ± 3.99 years old, 175.00 ± 5.76 cm and 72.3 ± 10.93 kg respectively, that were selected for the Northern Irish Netball team were recruited to participate in the study. The squad participated in a 5-day international tournament in the Antrim Forum Leisure Centre from the 30th October – 3rd November. Approval from the University Research Ethics Committee, informed consent and each participant’s health history was gathered from prior to commencement with the data collection. Design Data was collected from each individual involved in the study during the four matches. During each match, accelerometer load TM min -1 (au) was collected for each individual player. The position each player was allocated was recorded allowing comparison during data analysis. Study Period Data Collection took place at the Antrim Forum Leisure Centre from the 31st October until the 3rd October 2013. Prior to the tournament, the athletes completed a YoYo Intermittent Test to establish baseline fitness parameters e.g. max heart rate. This fitness testing was carried out on the 23rd October 2013.
  • 8.
    Methodology Participants match activityprofile (mean 3 ± 1.4 samples per player) was recorded by an accelerometer sampling at 100 Hz, contained inside a motion detection unit (MinimaxX, Team 2.5, Catapult Innovations, Scoresby, Australia). Units were housed in a custom made harness that prevented unwanted movement and held the units in place in the middle of the upper back. Therefore limiting any potential hindrance on performance. Accelerometer data (Load TM. min -1 (au) from individual X-medio-lateral, Y- anterior/posterior, and Z-vertical vectors) was downloaded post match using manufacturer specific software (Logan Plus v. 4.46.0) and divided by playing time to calculate Load TM. min -1 (au). Load TM. min -1 (au) has demonstrated high levels of validity and reliability in team sport specific movements (CV = 1.9 %). Further subjective and objective measures were collected throughout the tournament to compliment the research examining the differences across positions regarding the physiological demands associated with that specific role. Objectively, each participants Creatine Kinase (CK) levels were recorded the morning after competition in an attempt to gauge muscle damage. This was gathered using a Reflotron Plus system. Another objective measure was hydration; this was gathered using osmocheck and recorded in the individual’s daily diary. Individuals body mass was also recorded pre and post match in an attempt to quantify the amount of water lost during competition. Subjectively, each participant kept a daily dairy that consisted of a specific template which would be completed both pre and post match-play (Figure 1). This diary incorporated numerous factors that were divided, as they had to be completed at different times. The pre exercise factors included; muscle condition, quality of sleep, appetite, perceived mental & physical fatigue, mood states and any injuries or illness. Post exercise consisted of similar questions with the addition of any recovery
  • 9.
    protocols used postmatch e.g. Ice bath, foam roller, contrast showers etc. and the perceived rate of exertion of the game (Borg’s scale). Statistical Analysis Load TM. min -1 (au) values from each individual was analyzed to assess the different demands placed on each playing position. The data was recorded and processed using Microsoft Excel (2010). Load TM. min -1 (au) values are presented as mean ±SD and graphed to highlight the evident differences across positions. SPSS statistical tests were not utilized as throughout the tournament the players in each position varied, also substitutions provided a hindrance. A Pearsons Correlation Co-Efficient was used however to examine the relationship between variables (total jumps, total accelerations and total decelerations) with the individuals peak CK levels. Results The average player load (Load TM. min -1 (au)) for each position throughout the tournament is highlighted in Figure 1. The mean ±SD Load TM. min -1 (au) throughout this competition was 129.52 ± 34.69. It is evident that the Centre position is associated with the highest demand as the average player load was 185.58, which is 38.33 greater than Wing Defence that has the second greatest player load. Table 1 shows the average between the positions across the numerous variables assessed. This therefore allows an association between player load and specific movements, by identifying the different demands associated with each position. The Centre position does have the greatest number of decelerations (18.72) and also the highest overall amount of changes in direction (64.88). Surprisingly the Goal Attack position incorporated the greatest number of jumps (4.36) and the Goal Defence had the greatest number of accelerations (15.56) and yet the overall player load for each position is similar to the average (129.52) with each measuring 139.38 and 122.38
  • 10.
    respectively. The Pearson’sCorrelation Co-efficient (see figures 3,4 & 5) found no significant relationship when examining the individual variables with the peak creatine kinase of the participants (Decelerations and Peak CK – r = 0.17), (Accelerations and Peak CK – r = 0.22) and (Total Jumps and Peak CK – r = 0.2). Figure 1; Average player load for each position during the tournament 0.00 50.00 100.00 150.00 200.00 250.00 Goal Keeper Goal Defence Wing Defence Centre Wing Attack Goal Attack Goal Shooter PlayerLoad(LoadTM·min-1) Position
  • 11.
    Table 1; Averagefor each recorded variable per position Figure 3; Relationship between peak Creatine Kinase Levels and the total number of decelerations Average Jumps Average Accel Average Decel Average Heart Rate COD (Left) COD (Right) Goal Keeper 3.53 12.71 8 152.35 22.12 21.41 Goal Defence 3.33 15.56 16.38 164.56 20.92 21.52 Wing Defence 1.81 14 16.1 176.56 23.23 25.4 Centre 1.94 10.11 18.72 173.16 30.66 34.22 Wing Attack 2.58 10.44 16.63 171.3 27.94 24.58 Goal Attack 4.36 12.16 13.47 178.91 32.02 26.08 Goal Shooter 2.97 6.91 11.02 167.07 16.27 24 R² = 0.169 0 100 200 300 400 500 600 700 800 900 0 20 40 60 80 100 120 140 PeakCreatineKinaseLevels(IU/L) Total Number of Decelerations
  • 12.
    Figure 4; Relationshipbetween peak Creatine Kinase Levels and the total number of accelerations. Figure 5; Relationship between peak Creatine Kinase Levels and the total number of jumps. R² = 0.2196 0 100 200 300 400 500 600 700 800 900 0 10 20 30 40 50 60 70 80 90 PeakCreatineKinaseLevel(IU/L) Total Number of Accelerations R² = 0.2006 0 100 200 300 400 500 600 700 800 900 0 10 20 30 40 50 60 70 80 90 100 PeakCreatineKinaseLevels(IU/L) Total Number of Jumps
  • 13.
    Participant Peak CKLevels (IU/L) 1 328 2 774 3 117 4 320 5 383 6 489 7 201 8 316 9 N/a 10 293 11 428 12 325 Table 2; Peak Creatine Kinase Levels throughout the competition for each participant Discussion While games analysis studies of netball have been regularly undertaken over the past 30 years (Davidson & Trewartha, 2008; Loughran & O’Donoghue, 1999; Otago, 1983; Steele (1990), Steele & Chad (1991) only two studies have examined these at the elite level in this time period (Otago, 1983; Fox et al, 2013). Therefore, the aim of this study was to examine the current activity of elite level netball during competition in order to provide coaches with up to date quantitative knowledge of the associated demands of specific positions as a basis for the design of sport specific training programmes and adequate recovery protocols. The major finding of this research is that Load TM. min -1 (au) measured using tri-axial accelerometers sampling at 100Hz demonstrated consistent, practically meaningful differences across the different positions in netball. It is evident from the results that the Centre Court player has the greatest player load on average over the five-day tournament (Figure 1). The quantification of Load TM. min -1 (au) during netball competition may be affected by numerous factors, such as; court restrictions, game
  • 14.
    difficulty, tactics employedand the individual’s style of play/attitude. Each of these influencing factors will be discussed in an attempt to provide a justification of the results. Court Restrictions Due to the relatively small court and the rules of the games that restrict player movement during netball, it could be said that each of the seven positions has its own set of physiological demands (Woolford & Angove, 1991). The Centre court players, who have less rule-imposed limitations on their court movement in comparison with the other positions, corresponds with the high player load inflicted on them as seen in Figure 1. In conjunction with the aforementioned, those positions with the greatest court restrictions (GK & GS) player load had the least on average over the four matches. (Wright, Slattery and Howell; Cormack et al, 2013). Previous work has suggested that distance covered and Load TM. min -1 (au) had a very strong relationship in research examining Australian Football Players (Aughey, 2011). This may provide reasoning as to how the Centre Court player’s Load TM. min -1 (au) was greater than that of the six other positions. This is perhaps evident in the results seen in Table 1 as both, accelerations and jumps were higher in other positions, yet the player load still remained highest in the Centre Court position. Results from research by Davidson and Trewartha (2008) found that Centre players in Britain cover 8km during a 60minunte match, which is significantly further than both the GK and GS for example who both travelled on average 4.2km. However, this study’s data collection procedures may not provide a true objective quantification of the total distance covered. Therefore, to truly gauge the validity of this relationship, a study using an indoor GPS system may provide a more reliable result for this speculation.
  • 15.
    Game Difficultly andTactics Utilized A study by Cormak et al (2013) examined the differences in Load TM. min -1 (au) across two different playing standards finding that during higher standard games in comparison with that of a lower standard, Load TM. min -1 (au) is considerably higher. The possibility of this factor influencing this data set is minimal, as the data is collected over four games in a competitive setting. Also the teams participating in the competition included, Barbados, St Lucia and Botswana that are ranked 9th , 15th and 19th respectively in the world rankings, with the Northern Irish squad ranked at 11th worldwide, this should highlight the competitiveness of the assessed tournament. The difficulty of the game, and/or standard of the opponent may however, affect results of this nature, as how the coach tactically approaches the game may alter according to these variables. It is essential therefore to assess the demands of netball across numerous games and various playing styles. Player Attitudes and Style of Play It is evident across numerous sports, that each individual player has their own particular playing style; this is also the case in netball at all levels. This therefore may prevent this data set being useful to other countries in the development of specific training programmes for performance enhancement, as the high play load associated with the Northern Irish Centre Court may not correspond with that of other international teams. If this possible mechanism is true, the protocol utilized during this research and the rich data set reaped from this work, should provide a basic blueprint for other countries. The specificity of the results gathered using the Catapult Minimax V4 highlights both its practicality due to its lack of interference with the players and effectiveness in assessing player activity (See Table 1).
  • 16.
    Measured Variables vs.Peak Creatine Kinase It was hypothesized prior to data collection that the total number of decelerations throughout the tournament will have a significant relationship with peak Creatine Kinase levels for each player. As aforementioned, a Pearsons Correlation Co- efficient test was carried out to assess this relationship and found no relationship between these two variables. This hypothesis was based on the understanding that damage caused to the sarcoplasmic reticulum as a result of exercise causes a leakage of CK, thus allowing CK to be utilized as a marker for the amount of muscle damage induced (Tiidus, Tupling & Houston, 2012). A study by Newham, Jones and Edwards (2004) found that eccentric contractions are responsible for the large efflux of the enzyme creatine kinase. Due to the eccentric nature of decelerations it was hypothesised that there would be a significant relationship between CK and the number of decelerations. Upon completion of this analysis, with the test producing no significant relationship (r = 0.17), the other variables gathered by the accelerometer were tested in an attempt to try and gain an understanding into whether any individual movement caused the high CK levels (See Table 2). However, of the variables assessed; total jumps (r = 0.20) and accelerations (r = 0.22) neither proved to have a significant relationship with peak CK levels. It can therefore be assumed that a combination of these variables; total jumps, total number of accelerations and total number of decelerations may all play their own particular role in the damage caused to the working muscles during a netball match. These variables, as well as distance covered and the consecutive nature of this tournament will all constitute towards the high CK levels recorded in the results.
  • 17.
    Conclusion and FutureDirections In conclusion we can accept our first hypothesis, which is in agreement with previous literature in this area that the Centre Court play does in fact incur the greatest amount of load during both a one-off match and therefore throughout the tournament. This conclusion provides coaches of teams with a greater understanding into the physiological stresses the human body is placed under during an international tournament. This understanding will allow coaches to plan their training to suit the individual requirements of each player with a view to optimizing the teams overall performance. Due to the nature of netball competition at an international level, an understanding of this nature is of huge benefit to the coaches and the other backroom staff associated with the squad. An understanding of the demands placed on these athletes will allow the production of individualised recovery programmes to ensure that injury risk is minimised and a high level of performance is maintained throughout the tournament. However we must reject our secondary hypothesis that there was a significant relationship between the total number of decelerations completed during the tournament and the peak creatine kinase level. This research should be of value to the entire netball community, as the information collected from the Catapult Minimax V4 has provided a respected analysis for the Northern Irish netball squad. The usefulness of this data may cause a need for coaches of other squads to utilize this protocol in an attempt to optimise their team’s performance. With regards to future directions for this research, the above-mentioned variables may have affected the results gathered. Not least, the tactics employed by the particular coach and the individual players attitude/style of play. Therefore, to gain a greater insight into the sport of netball meanwhile furthering this research, it is essential that this protocol is utilized on other international squads.
  • 18.
    This data providesan understanding into how netball is played in Northern Ireland at elite level and therefore it would be thoughtless to assume that netball worldwide will provide the same results. Future research may also compare this data set with other factors such as fitness levels, strength and power qualities of the athletes. Limitations Prior to the commencement of this investigation it was recognised that the possibility of injury is high due to the participant’s high volume of training and participation in sport in general. During data collection, it is essential to note that an injury to the upper body area (ribs) occurred to one of the participants preventing them from wearing the Catapult (Accelerometer). However, data was collected from this participant during a few of the quarters in which she participated allowing player load to be recorded for that position. Another limitation of this study is the lack of statistical analysis, as the ever-changing team scenario e.g. substitutions and changes in position provided a interference when trying to use SPSS. This interference arose as our subject number would have varied for each position or the assessment would have examined the physiological demand placed on the individual regardless of position, which would not have coincided with the aims of the research.
  • 19.
    Acknowledgements The author wouldlike to thank and extend my appreciation to Dr. Conor McClean for his help and guidance throughout this research. The author would also like to thank the Sports Institute of Northern Ireland, specifically Damian Martin for the continuous support as he provided both the opportunity and facilities to undertake this study whilst constantly providing a source of information and guidance throughout.
  • 20.
    References Aughey, R. (2011)Increased high intensity activity in elite Australian football finals matches. International Journal of Sports Physiology and Performance 6, 367-379 Allison, B. (1978). A practical application of specificity in netball training. Sports Coaching. 2 (2), 9-13. Cormack, S.J., Smith, R.L., Mooney, M.M., Young, W.B., O'Brien, B.J. (2013). Accelerometer Load as a Measure of Activity Profile in Different Standards of Netball Match Play. International Journal of Sports Physiology and Performance. 1 (1). Davidson, A., Trewartha, G. (2008). Understanding the Physiological Demands of Netball: A Time- Motion Investigation. International Journal of Sports Physiology and Performance. 8 (1), 1-17. Fox, A., Spittle, M., Otago, L, and Saunders, N. (2013). Activity profiles of the Australian female netball team players during international competition: implications for training practice. Journal of Sport Science. 31 (14), 1588-95. Hughes, M. (2008a). Examples of notation systems. In M. Hughes and I.M. Franks (Eds.), The Essentials of Performance Analysis An Introduction (pp. 111-149). London: Routledge. International Netball Federation. (2014). Netball for Life. Available: http://www.netball.org/sustainable-global-development/netball-for-life. Last accessed 17th March 2014.
  • 21.
    Lindstedt, S.L., LaStayo,P.C., Reich, T.E. (2001). When Active Muscles Lengthen: Properties and Consequences of Eccentric Contractions. American Physiological Society. 16 (1), 256-61. Loughran, B.J. and O’Donoghue, P.G. (1999). Time-motion analysis of work- rate in club netball. Journal of Human Movement Studies, 36, 37-50. Mohr, M., Krustrup, P., and Bangsbo, J. (2003). Match performance of high-standard soccer players with special reference to development of fatigue. Journal of Sports Sciences, 21, 519-528. Newham, J., Jones, D.A., Edwards, R.H.T. (1986). Plasma creatine kinase changes after eccentric and concentric contractions. Muscle & Nerve. 9 (1), 59-63. Otago, L. (1983). A game analysis of the activity patterns of netball players. Sports Coach, 7 (1), 24-28. Petersen, C., Pyne, D., Portus, M. and Dawson, B. (2009) Validity and reliability of GPS units to monitor cricket-specific movement patterns. International Journal of Sports Physiology and Per- formance 4, 381-393. Rampini, E., Coutts, A.J., Castagna, C., Sassi, R., and Impellizzeri, F.M. (2007b). Variation in top level soccer match performance. International Journal of Sports Medicine, 28, 1018-1024. Steele, J.R. (1990). Biomechanical factors affecting performance in netball: Implications for improving performance and injury reduction. Journal of Sports Medicine . 10 (1), 88-102.
  • 22.
    Steele, J.R., andChad, K.E. (1991). Relationship between movement patterns performed in match play and in training by skilled netball players. Journal of Human Movement Studies, 20, 249-278. Tiidus, P.M. (2012). Energy Systems and Bioenergetics. In: Tupling, A.R. and Houston, M.E. Biochemistry Primer for Exercise Science. 4th ed. Champaign, IL: Human Kinetics. 234-321. Williams, R. and O’Donoghue, P. (2005). Lower limb injury risk in netball: a time- motion analysis investigation. Journal of Human Movement Studies, 49, 315-331. Woolford, S, and Angrove, M. (1991). A comparison of training techniques and game intensities for national level netball player. Sports Coaching. 14 (1), 18-21. Wright, R., Slattery, K. and Howell, J. Using Session-RPE to Monitor Training Load in Netballers. Available: http://old.netball.asn.au/_uploads/res/1_248473.pdf. Last accessed 29th April.
  • 23.
    Appendix 1 Competition Diary Netball Tornament,Antrim Forum Oct - Nov 13 Date 30 31 1 2 3 1 - 10 Borg Rating of PercievedExertion Day We d Thu Fr i Sa t Su n MorningPre-exercise Muscle condition Fan (F) OK (OK) Poor (P) 1 Rest Mood state 2 Quality of sleep 3 Appetite 4 Sort of Hard Fatigue (physical) 0 = None 5 = Extrem ely 5 Hard Fatigue (mental) 6 Illness Yes / No Explain 7 Really Hard Injury 8 Body Mass (kg) 9 Really, Really hard Hydration (mOsm /L) 1 0 Max - Hardest ever game Evening / Post-exercise Recovery Muscle condition Fan / OK / PoorMood state A Pool Fatigue (physical) 0 = None 5 = Extrem ely B Ice Bath Fatigue (mental) C Contrast Show er Illness Yes / No Explain D Massage Injury E Foam Roller Game RPE 1-10 F Compression Garments Body Mass (kg) G Gym (Cycle, Cross Trainer) Recovery A - H H Other Notes Appendix 1; Daily Dairy template that was completed by each individual player throughout the tournament.
  • 24.
    Appendix Two Appendix Two;An Individual’s Daily Diary processed using Microsoft Excel.