Embed presentation
Download to read offline







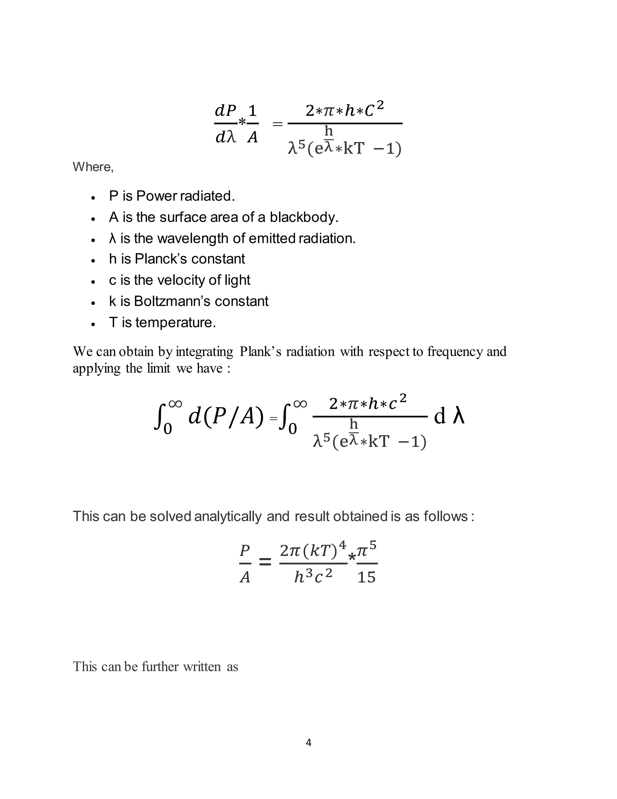
The document derives the Stefan-Boltzmann law from Planck's radiation law. It shows that Planck calculated the radiation power per unit area over all wavelengths of blackbody radiation. Integrating this and applying the limit results in the expression P=σT^4, where P is power radiated, σ is the Stefan-Boltzmann constant, and T is the absolute temperature. It then derives an expression for the temperature on the surface of the sun using energy balance considerations and the Stefan-Boltzmann law.






