EXPERIMENTAL STUDY ON POST REPAIR PERFORMANCE OF
REINFORCED CONCRETE BEAMS REHABILITATED AND STRENGTHENED
WITH CFRP SHEETS. A THESIS
Danish Javid under guide of Assistant Professor Mr Sathish Kumar.
Department of Civil Engineering, Bharath University in Chennai,INDIA
ABSTRACT
Beam is a major structural load transferring Member that support the transverse load
which usually rest on support at its ends. According to the revised codes, beams should have been
better flexural, shear and torsion strength in addition to the load transferring capacity. It is been a
major concern in construction industry in previous many years to increase the strength of the
newly constructed beams or already existing beam. The recent researches have led to various
innovations in high strengthening of beams due to developments, such as FRP NSMR (near
surface mounted reinforcement for concrete structures). Various other materials such as Fibre
Reinforced Concrete, Light Weight concrete and High Performance Concrete.
The present study examines the shear performance and modes of failure of rectangular
simply supported reinforced concrete (RC) beams designed with shear deficiencies. These
members were strengthened with externally bonded carbon fiber reinforced polymer (CFRP)
sheets and evaluated in the laboratory.
Toward that goal, twelve RC beams were fabricated and strengthened with hybrid FRPs
having different combinations of CFRP in shear. The beams were loaded with different
magnitudes prior to strengthening in order to investigate the effect of initial loading on the
behavior of the rehabilitated beam. Then beams were retrofitted with one layer as well two
layers of CFRPs, then the load was increased until the beams reach failure. The experimental
results showed that the shear strength of the beams was significantly increased by the CFRP
sheet and that it is beneficial to orientate the FRP at 450
to the axis of the beam. The shear
strength of FRP strengthened beams is usually calculated by adding individual components of
shear resistance from the concrete, steel stirrups and FRP.
The series of results indicated that there was considerable increase in shear capacity from
18% to 35% and also provided considerable horizontal restraint.
Keywords: rehabilitation; shear; carbon fiber reinforced polymer
INTRODUCTION
Fibre-reinforced polymer (FRP) composite materials typically used in civil engineering
consist of high-strength fibres (e.g., glass, carbon) embedded in a thermosetting polymer matrix
material (e.g., epoxy, polyester, vinyl ester). Fiber reinforced polymers _FRP_ have gained
importance in rehabilitation in recent years. The main reason is their high stiffness-to-weight ratio
over steel plates. Moreover, these materials are less affected by corrosive environmental
conditions and are known to provide longer life and require less maintenance. Large structural
deformations and significant load-carrying capacity prior to ultimate failure, typically seen in
ductile material structures, are critical in civil structures in which sudden failure, and especially
the lack of warning of this sudden and generally catastrophic failure, is unacceptable.
Fibre reinforced polymer (FRP) composite materials have been successfully used in new
construction and for the repair and rehabilitation of existing structures. It is the latter use where
Fibre-reinforced polymer materials hold the greatest promise. Strengthening or stiffening of
reinforced concrete and pre-stressed concrete structures may be required as a result of an increase
in load requirements, a change in use natural or man-made degradation of the structure, or design
or construction defects. Repair with externally bonded FRP reinforcement is attractive to owners,
engineers and contractors because of the ease and speed of installation, the structural efficiency of
the repair, the corrosion resistance of the materials, and the minimal effect that these materials
have on structural dimensions aesthetics, and versatility.
Properties of Carbon Fibers
o As Carbon Fibers are very fine in nature and moreover easily breakable by
stretching (by less than 2% elongation), the fibers can easily be made fuzz. Being crushed
and shortened in unit length, staple tends to become fly or dusts with ease and dispersed
into atmosphere.
o As most Carbon Fibers have high elastic modulus and are very fine in nature, micro fiber
is occasionally allergic to human skins or mucous membranes causing pain or itch.
o As Carbon Fibers have electric conductivity, fly or waste yarn can cause a short-
circuit at electric lines.
o As Carbon Fibers are solid-structured carbons and consequently are hard to be
burned. In incinerating Carbon Fiber products wastes, Carbon Fiber users are
recommended to carefully collect unburned staple dusts to avoid possible electric
troubles.
o CFRP materials are excellent for external strengthening because of their high tensile
strength, light weight, resistance to corrosion, superior durability, and cost-effective
installation process.
o As carbon itself is thought to have good compatibility with human body tissues,
Carbon Fibers or composites of the fibers are largely used as artificial human body parts.
SCOPE AND OBJECTIVE
Scope:
o CFRP was capable of increasing the strength and the flexural stiffness to a level
comparatively higher and CFRP sheets significantly extended the fatigue life of the
reinforced concrete beams.
o Strengthening and rehabilitation of existing reinforced concrete (RC) structures is
becoming an important issue in situations such as demand in the increase of service load
levels, repair due to degradation of a member, design/construction defects, and response
to requirements of newly developed design guidelines. Carbon fiber reinforced polymer
(CFRP) sheets continue to show great promise for use in these situations.
o CFRP are of interest to rehabilitation engineers because of their high-strength to weight
ratio, high fatigue resistance, ease of installation, and the fact that they do not corrode. In
addition to the structural benefits that may be of great use, when externally bonded to
repair corrosion damaged RC elements.
o The use of fiber-reinforced polymer CFRP composites in civil engineering has recently
emerged as an alternative to the traditional methods used for rehabilitation or
reinforcement of structures due to effective bonding to a flexural member, CFRP provide
increased strength in the tension zone of a section those , been determined to be deficient
because of inadequate design or structural damage.
o CFRP in the form of sheets composed of carbon yarns (CFRPs) can be applied to the
surface of a concrete beam by the use of epoxy adhesives, and these sheets are highly
resistant to peel stresses when compared with rigid CFRP plates. This can result in
significant enhancement of the flexural behavior of the member.
o It is shown that the static and the fatigue performance of members to which CFRP sheets
have been externally bonded are significantly improved with respect to strength and
stiffness. There are outstanding benefits observed in the use of external bonding of CFRP
sheets. They have been such that the method is already being used in the field for the
rehabilitation of large structural systems.
Objective:
The main aim is explore the correct application procedure that would result in an increase
in flexural capacity, shear strength, and stiffness. Also to exploit the advantage of high tensile
strength and it’s characteristic of low coefficient of expansion and excellent corrosion resistant.
The objective is to study the effectiveness of unidirectional CFRP fabric in increasing the
shear strength of concrete beam.
The objective is achieved by conducting the following tasks:
(i)Shear testing of concrete beam wrapped with three different configuration of CFRP fabric;
(ii)Calculating the effect of CFRP fabric different layers on the shear strength;
(iii) Evaluating the failure modes.
LITERATURE
Richard Andrew Barnes and Geoffrey Charles Mays (1991) examined the fatigue performance
of CFRP-strengthened concrete beams . Five reinforced concrete beams were tested in fatigue;
two control beams and three strengthened with externally bonded CFRP plates. Three loading
options were used: (1) apply the same loads to both plated and unplated beams, (2) apply loads to
give the same stress range in the rebar in both beams, and (3) apply the same percentage of the
ultimate load capacity to each beam. It appeared that fatigue fracture of the internal reinforcement
steel is the dominant factor governing failure in reinforced concrete beams strengthened in flexure
with CFRP plates. It is therefore recommended that the criteria for the fatigue design of CFRP
plated beams should be to limit the stress range in the rebars to that permitted in an unplated
beam.
Nikolaos Plevris, et al. (1995) analyzed reliability of reinforced-concrete beams strengthened
with CFRP laminates in flexure. They proposed that the effect of each design variable on the
reliability of the system and conclude that, except for the cross-section dimensions, the laminate
length, and the initial strain, all other variables (including the ratio of live to dead load) have
important effects on reliability against flexural failure. Also the flexural behavior is quite likely to
be the dominant response of CFRP-strengthened beams, the writers recommend that the
procedures employed here be applied to additional load effects such as shear.
Oral Buyukozturk and Brian Hearing (1998) proposed a review failure modes including
delamination with the use of FRP to rehabilitate various concrete structures. They discusses
methodologies used to characterize the failure processes of the system. Strengths were shown to
increase with the addition of FRPs, but the specimens were observed to fail through a variety of
mechanisms. Parameters affecting these failure modes were discussed, and techniques used in the
analysis of these modes were reviewed.
Mohsen Shahawy and Thomas E. Beitelman (1999) proposed the feasibility of using CFRP
fabric in the rehabilitation and strengthening of RC structures with respect to both static and
fatigue performance. This applies even to severely damaged beams. They concluded, from the
static test results that strengthening with fully wrapped systems is preferable to partially wrapped
systems. The main parameters in the static test study were the concrete compressive strength, the
number of CFRP laminates Comparisons were made for the standard section and equivalent
sections with two and three layers of CFRP involving the improvements in fatigue behavior,
stiffness, and capacity. The results from the fatigue study indicated that fatigue life of reinforced
concrete beams can be significantly extended through the use of externally bonded CFRP
laminates.
Alex Li, Jules Assih and Yves Delmas (2001) performed tests which Indicated that stiffness
increases while increasing the CFRP sheet area at the flanks. They concluded to strengthen the
RC beam in shear, it is necessary at the same time to strengthen the beam in flexure. The results
obtained by the strain gauges indicate that the first cracks are always found in concrete in the
tension zone causing the flexure. The appearance of the cracks in the beam end is later. Five types
of beams with different strengthening carbon-fiber–reinforced plastic sheets were used. The
experimental results show that it is not necessary to strengthen the entire concrete beam surface.
They also studied the effect of the shear strengthening of RC beams on the stress distribution,
initial cracks, crack propagation, and ultimate strength.
Ahmed Khalifa and Antonio Nanni (2002) presented a study on the shear performance and
modes of failure of rectangular simply supported reinforced concrete (RC) beams designed with
shear deficiencies. These members were strengthened with externally bonded carbon fiber
reinforced polymer (CFRP) sheets and evaluated in the laboratory. The experimental program
consisted of twelve full-scale RC beams tested to fail in shear. The variables investigated within
this program included steel stirrups, and the shear span-to-effective depth ratio as well as amount
and distribution of CFRP. The experimental results indicated that the contribution of externally
bonded CFRP to the shear capacity was significant. The shear capacity was also shown to be
dependent upon the variables investigated.
J. Barros and S. Dias (2002) studied Shear strengthening of reinforced concrete beams with
laminate strips of CFRP. They evaluated the influence of the beam height, they conducted two
series of tests with beams of distinct height. They proposed that these last reinforcing systems
were more effective than the one based on strips of CFRP sheet, not only in terms of increasing
the load bearing capacity, but also enhancing the beam ductility besides they are also much more
simple and faster to apply.
J. F. Chen and J. G. Teng (2003) presented a new shear strength model for RC beams shear-
strengthened with FRP which fail by FRP rupture .The key contribution of the study was the
realization of the fact that the stress distribution in the FRP along the shear crack is non uniform
at shear rupture failure, as a result of the non-uniform strain distribution in the FRP Also the
linear elastic brittle behavior is due to FRP rupture as well.
Abdo AbouJouadeh and Camille A. Issa (2004) proposed Strengthening of concrete with CFRP
results in an increase in load capacity as well as an increase in stiffness. Better performances and
serviceability measures are encountered when anchorage is taken into consideration. Stiffness and
rigidity of members progress with an increased application of CFRP laminates.
Bimal Babu Adhikary and Hiroshi Mutsuyoshi (2005) presented the results of a test program
for shear strengthening characteristics of continuous unidirectional flexible carbon-fiber polymer
sheets bonded to reinforced concrete RC beams. A total of eight 150 mm 200 mm 2,600 mm
concrete beams were tested. Various sheet configurations and layouts were studied to determine
their effects on ultimate shear strength of the beams. From the tests, it was found that the
externally adhesive bonded flexible carbon-fiber sheets are effective in strengthening RC beams
in shear. Further, it was observed that the strength increases with the number of sheet layers and
the depth of sheets across the beam section. Among the various schemes of wrapping studied,
vertical U-wrap of sheet provided the most effective strengthening for concrete beam,
strengthened using this scheme showed 119% increase in shear capacity as compared to the
control beam.
Amir Mofid, et al (2005) presented the results of an experimental investigation on reinforced
concrete (RC) T-beams retrofitted in shear with prefabricated L-shaped carbon fiber–reinforced
polymer (CFRP) plates. Shear strengthening of RC beams with L-shaped fiber-reinforced
polymer (FRP) plates has proved effective. The main objective of this investigation was to
evaluate the performance of the RC beams strengthened in shear with externally bonded (EB) L-
shaped plates as affected by the embedment length of the L-shaped FRP plates. the performance
of the beams strengthened with L-shaped CFRP plates was compared with that of a similar
specimen strengthened with EB FRP sheets without embedment. Results show that the
performance of the specimens strengthened with partially and fully embedded L-shaped CFRP
plates in the beam flange was superior to that of the beams strengthened with EB FRP sheets and
L-shaped CFRP plates with no embedment.
J. G. Teng, et al (2009) proposed shear resistance mechanism of beam. The nine beams were
tested in the present study: three as control specimens, three with bonded FRP full wraps, and
three with FRP full wraps left unbonded to the beam sides. The test results show that the
unbonded FRP wraps have a slightly higher shear strength contribution than the bonded FRP
wraps, and that for both types of FRP wraps, the strain distributions along the critical shear crack
are close to parabolic at the ultimate state.
Abukhari, et al (2010) presented paper that reviews existing design guidelines for strengthening
beams in shear with carbon fibre reinforced polymer (CFRP) sheets.They also proposed a
modification to Concrete Society Technical Report TR55. It goes on to present the results of an
experimental programme which evaluated the contribution of CFRP sheets towards the shear
strength of continuous reinforced concrete (RC) beams. A total of seven, two-span concrete
continuous beams with rectangular cross-sections were tested. The control beam was not
strengthened, and the remaining six were strengthened with different arrangements of CFRP
sheets. The experimental results show that the shear strength of the beams was significantly
increased by the CFRP sheet and that it is beneficial to orientate the FRP at 450
to the axis of the
beam. This led to the indication that strengthening of continuous RC beams in shear with CFRP
sheet can be highly effective and that the contribution of the CFRP depends on its configuration
and orientation.
Prashanth, et al (2012) proposed in their experimental investigation that the when RC beams
were preloaded up to 0 to 50 % of the ultimate capacity and were applied with CFRP sheets at the
soffit of the beam. Then when compared with control beam show characteristic increases in load
carrying capacity, ductility, flexure and shear. The Load vs deflection, and crack mechanism were
studied. Hence the use of CFRP sheets in the soffit of the beam has resulted in enhanced strength
and ductility.
Prashanth, et al (2012) proposed in their experimental investigation that the when RC beams
were preloaded up to 0 to 50 % of the ultimate capacity and were applied with CFRP sheets at the
soffit of the beam. Then when compared with control beam show characteristic increases in load
carrying capacity, ductility, flexure and shear. The Load vs deflection, and crack mechanism were
studied. Hence the use of CFRP sheets in the soffit of the beam has resulted in enhanced strength
and ductility.
Lakshmikandhan K. N, Sivakumar P, Ravichandran R (2013) They performed experimental
investigation to obtain recommendation to overcome the issues in assessment on the exact
damage for simulation. The stiffness degradation method has been developed to estimate and
simulate the exact damage level into beam performed well. They proposed that the repaired
reinforced concrete beam with damage levels (load level between first crack and ultimate load)
between 40 and 90 percent of ultimate load exhibited uniform behavior. The grade of concrete
used for the section design was 60 MPa and the grade of steel was 415 MPa. The repaired beams
restore the original strength with about 30 percentage additional load capacity. Levels Flexural
tests have been conducted with two point loading on 1.5 meter length of reinforced concrete beam
with size 100 mm width and depth of 200 mm.
Sang-Wook Bae, et al (2013) investigated the shear performance of an RC beam strengthened in
shear with externally bonded carbon fiber-reinforced polymer (CFRP) strips, subjected to a cyclic
loading.
The experimental results obtained in this study and a comprehensive review of the
existing literature showed that RC beams strengthened in shear with externally bonded CFRP
could survive 2 million cycles of cyclic loading without failure. Furthermore, the residual shear
strength of the FRP-strengthened beam appeared to be greater for almost 26.3% than the static
shear strength of the unstrengthened control beam.
Shamsher B Singh (2013) addresses the shear strengthening of deficient reinforced concrete
(RC) beams using carbon fiber-reinforced polymer (CFRP) sheets. The effect of the pattern and
orientation of the strengthening fabric on the shear capacity of the strengthened beams were
examined. Three beams with various lay-ups of strengthening fabric, 45°, 0°/90°, and 0°/90°/45°
were examined, in addition to an unstrengthened control beam. Experimental results showing the
advantage of beam strengthened using the various lay-ups of CFRP sheets are discussed. It is
concluded that Beam-45°, Beam-0°/90°, and Beam-0°/90°/45° show about 25%, 19%, and 40%
increases in shear-load carrying capacity in comparison to the control beam, respectively.He
proposed that the strengthened beams exhibited significant strength and stiffness even beyond the
critical value of the shear force.
A.Karthi and P.Easwaran (2015) investigated Analytical And Experimental Investigation On
Shear Strengthened Rc Beams By Using Frp .They provided a brief review on flexural and shear
strengthening of rectangular beams using CFRP/GFRP laminate of different thickness and
scheme. Different applications of FRP laminate for external strengthening of RC beams are
reviewed in this paper. Finally, a discussion on system of strengthening and conclusions are made
along with prospective outlook approach of research.
EXPERIMENTAL PROGRAM
Test Specimen and Materials
Twelve specimens of 1.5m length and cross-section 100mm x 200mm were cast in a
horizontal steel mould. All beams were designed as under reinforced sections.
To investigate the ultimate load carrying capacity of beam, specimens are prepared and
designated as follows.
CB– Control Beam specimens.
S1 – Beam specimen with inclined CFRP wrapping without spacing.
S2– Beam specimen with single layer inclined CFRP wrapping with spacing.
S3 –Beam specimen with double layer inclined CFRP wrapping with spacing.
Preliminary tests are carried as per IS standard on the material used for concrete like
specific gravity, fineness, consistency, and initial setting time for cement. For fine and coarse
aggregates tests such as sieve analysis, specific gravity, impact value, crushing value and abrasion
value (Los Angeles) are conducted as per standards and results are tabulated.
The ingredients of concrete such as cement, fine aggregate, coarse aggregate of
maximum nominal size of 20mm are weighed accurately using the platform weighing machine.
The ingredients are mixed manually and adequate amount of water is added to the constituents of
concrete .The mixing is done till to get uniform mix of concrete is obtained. Proper design mix
proportion is arrived and the mix design.
Reinforcements used in the specimen consists of 2, 10 mm φ bars which were provided
as the main longitudinal reinforcement and 2,8 mm φ bars were used at the top.
6 mm φbars were used as stirrups at a spacing of 200 mm center to center. The reinforcements are
placed inside the mould by giving side and bottom covers respectively. Thorough oiling of the
mould was done before placing the reinforcements. Cover blocks were used to keep the
reinforcements in position.
Strengthening Schemes
The single inclined layer of CFRP wrapping , of width of 100mm and spacing of 50mm
as shown in below figure was bonded along web face, with fibers inclined at 450
to longitudinal
direction of beam. So that they may act perpendicular to inclined shear cracks.
Also to prevent debonding of CFRP layer at tension zone a supplement layer was provided,
whose fibres are along longitudinal axis of beam of width 50 mm and 1200mm length.
Another pattern in which one more inclined layer with 500mm width was inclined to
strengthen the beam in shear.
Note:If anchorages are not provided, it results in development of shear deformation at the
ends within the resins.This interfacial stress thus is responsible for peeling-off of cfrp from the
RC beam.
The two layer CFRP wrapping ,same as above, 100mm width was used but its fibres
oriented at inclination of 450
to the longitudinal axis, followed up with fibre oriented along the
longitudinal direction to be bonded to bottom edge on both sides of a specimen to prevent sheet
from prematurely peeling off from concrete surface. The spacing of 50mm was kept between
each inclined sheet as shown below. Thus giving a configuration of (450
+0).
NOTE: Application of CFRP wraps has to be implemented prior to excessive damage of
concrete.So taking any value between given number will give percentage of damage.
Percentage Of Damage: The repaired RC beam with damage level (load level between
first crack and ultimate load) that is between 40% to 85% of ultimate load exhibit uniform
behavior i.e. From the previous journals, it is inferred that the damage level between about 40 and
85 percentage exhibits uniform trend.
Test setup and Instrumentation
Reinforced concrete beams are of three types as deep, intermediate-length and common.
Deep beams have shear span-to-effective depth (a/d) ratio less than two and resist the applied
load within arch action after web cracks. However, common beams have a/d ratio over six and
obey flexural mechanism.
Intermediate-length beams have a/d ratio between 2 to 6 range which leads to variable
angle web cracks generated in web zone. Incomplete generation of arch action leads to shear
strength deficiency of intermediate-length beams. Members with shear strength deficiency have
sudden and catastrophic failure behavior. In these members, wide diagonal cracks generate along
span, propagate toward load points and lead to rupture of transverse stirrups.
The test procedure consisted of loading monotonically until the failure of the beams
occurs. All test beams were tested under a two-point loading system. The span of the beams were
1.50 m, and the distance between the loads was 0.4 m. The shear span for both sides was 0.4 m.
The loads acting on the tested beams were measured by a load cell of 200-kN capacity.
Two linear variable displacement transducers (LVDTs) were used to measure the
deflection under both loading points of RC beams subsequent crack pattern were also marked on
the beam surface as they develop during the application of load from first crack appear until the
failure of the beam. The beams are designed to fail in shear (due to an inadequate number of
stirrups) .
TEST RESULTS AND DISCUSSION
12 RC beams with a rectangular cross-section of 100 mm by 200 mm and shear span-to-
depth ratio (a/d) of 2.28 were tested. To ensure shear failure must occur with in the beam, they
were made weak in shear by providing 200mm centre to centre spacing between 6 mm diameter
steel stirrups. Beam C1 was a control specimen so was not strengthened.
All other beams were to be strengthened. But before strengthening the load of 60% of
ultimate load of control beam was to be applied on rest of beams. After which the remaining tests
investigated the contribution of different arrangements of CFRP to the shear capacity of the
beams. In total three different type of pattern or CFRP orientations were used. In first case i.e. S1
specimen the CFRP was inclined at 450
to the longitudinal direction but with out spacing .In
second case S2 specimen CFRP was used with same configuration i.e. inclined but with spacing
of 50mm in single layer. In third case S3 specimen double layer CFRP pattern were used in a
same way as previous patterns with 50mm spacing. The CFRP sheet was 0.30 mm thick. The
elastic modulus of the carbon fibres was 285*103
N/mm2
and the ultimate tensile strength was
3500 N/mm2
.
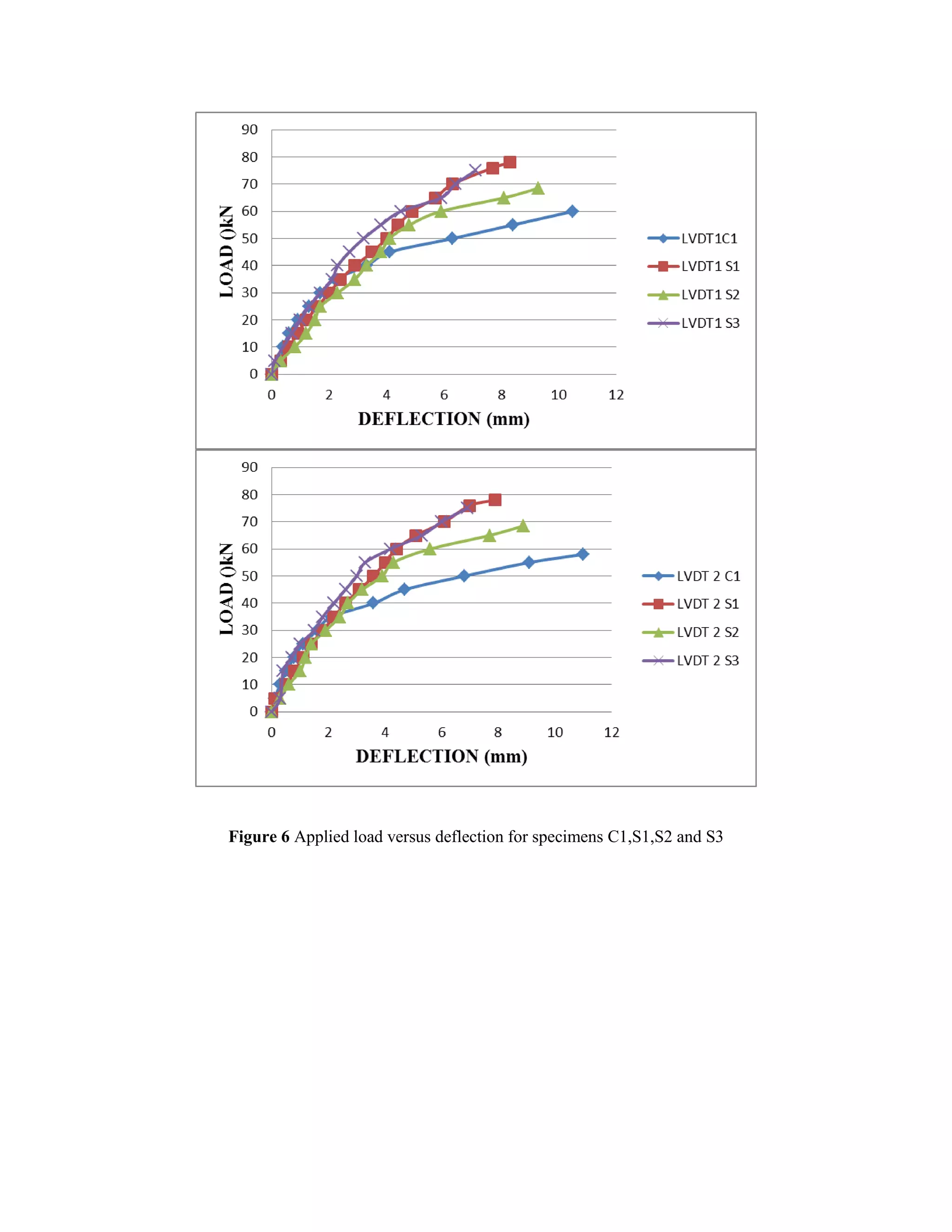
The experimental results indicate that strengthening of RC beams in shear with CFRP
sheet can be highly effective and that the contribution of the CFRP depends on its configuration
and orientation. Of the twelve beams tested, C1 was a control beam which was, consequently, not
strengthened. Beam C1 failed at total load of 58 kN as a result of a shear-tension failure. The
presence of CFRP sheets was found to alter the crack pattern from that observed in the control
beam.
Experimental results showed that shear strength is enhanced considerably if the CFRP
sheets are oriented with the main fibres at 450
The tests showed that the surface area of the CFRP
sheet can be minimised while maintaining a considerable increase in shear capacity.As already
mentioned CFRP sheets were applied with the main fibres oriented almost perpendicular to the
angle of the shear cracks at an angle of 450
to the longitudinal axis of the beam yielding of the
longitudinal reinforcement was observed at failure along with splitting of the concrete cover at
the bottom face of the beam.The failure cracks were inclined at a relatively steep angles running
from 690
-830
to the longitudinal axis of the beams i.e. mostly at the centre part of a beam in all
cases.
The first cracking load for all beams has been observed to be same as it is function of
concrete strength alone.
The depth of cracking was 40mm. Shear cracks in the control specimen C1 were
observed close to the middle of the shear span when the load reached approximately 35kN. As the
load increased, additional shear cracks formed throughout, widening and propagating up to final
failure at a load of 58 kN with depth of cracking 135mm.
In specimen S1 strengthened with CFRP (450
), no cracks were visible on the sides of the
test specimen due to the FRP wrapping, only longitudinal crack was formed from bottom of the
centre of beam to mid surface of the beam when the applied load was approximately 64 kN. The
crack also initiated close to the position of applied load from bottom portion and extended
towards the support at ultimate load of 78kN. The specimen failed by concrete splitting .This was
an increase of 35% in shear capacity compared to the control specimen C1. The load versus mid
span deflection curves for specimens are illustrated in Figure.
In beam S2, 100 mm wide and 50 mm spacing single layer CFRP sheet with was applied
with the main fibres oriented almost perpendicular to the angle of the shear cracks at an angle of
450
to the longitudinal axis of the beam as shown in Figure.
Beam S2 failed at a load of 68.5 kN, which is 18% greater than C1 i.e. control beam. As a
result of which the CFRP sheet ruptured in tension part at maximum bending point..Under the
loading point at first yielding of the longitudinal reinforcement was observed after further
increase in load , failure along with splitting of the concrete cover at the bottom face of the beam
occured. The failure crack again was inclined at a relatively steep angle.
Beam S3 was strengthened with the same configuration of CFRP sheet as beam S2 but in
double layer.The failure in beam occurred at 76kN which came out to be 31% greater than the C1
i.e. control beam.
Also it is observed that generally the deflection of beams increases with the increase in
load. But it was also noted that, as the number of CFRP layer increases, the deflection decreases
for a corresponding load.
CONCLUSIONS AND FURTHER RECOMMENDATION
An experimental investigation was conducted to study the shear behavior and the modes
of failure of simply supported rectangular section RC beams with shear deficiencies, strengthened
with CFRP sheets. This paper describes a series of tests on continuous beams strengthened in
shear with CFRP. The tests showed that it is beneficial to orientate the fibres in the CFRP sheets
at 450
so that they are approximately perpendicular to the shear cracks. The tests also support the
hypothesis that the efficiency of CFRP reduces with its axial rigidity. The parameters investigated
in this program were existence of steel shear reinforcement at spacing where beam will fail in
shear, shear span-to-effective depth ratio (a/d ratio), and CFRP amount and distribution.
The results confirmed that the strengthening technique using CFRP sheets can be used to increase
significantly shear capacity, with efficiency that varies depending on the tested variables. For the
beams tested in this program, increase in shear strength from 18% to 35% were achieved.
Conclusions that emerged from this study may be summarized as follows:
• The contribution of externally CFRP reinforcement to the shear capacity is influenced
by the a/d ratio.
• Increasing the amount of CFRP may not result in a proportional increase in the shear
strength. As the CFRP amount used to strengthen specimen S-3 was more however the strength of
that of specimen S-1 came out to be more. An end anchor is recommended if FRP debonding is to
be avoided.
• The test results indicated that contribution of CFRP benefits the shear capacity at a
greater degree for beam.
• The series of results indicated that there was considerable increase in shear capacity
from 18% to 35% and also providing considerable horizontal restraint. Recommendations for
future research are the follows:
• Experimental and analytical investigations are required to link the shear contribution of
FRP with the load condition. These studies have to consider both the longitudinal steel
reinforcement ratio and the concrete strength as parameters. Laboratory specimens should
maintain practical dimensions.
• The strengthening effectiveness of FRP has to be addressed in the cases of short and
very short shear spans in which arch action governs failure.
ACKNOWLEDGEMENT
Prima facie, I am grateful to the God for the good health and well being that is necessary
to complete a project. I wish to express my sincere thanks to P.Dayakar, Head of Department, for
providing me with all the necessary facilities for the research. I place on record, my sincere
thanks to Dean of the Faculty, for continue encouragement.
I am also grateful to guide Mr Sathish Kumar, Assistant Prof , in the Department of Civil
engineering. I am extremely thankful and indebted to him for sharing expertise, and sincere and
valuable guidance and encouragement extended to me.
I take this opportunity to express gratitude to all of the Department faculty members, for
their help and support. I also thank my parents for the unceasing encouragement, support and
attention.
I am also grateful to my colleagues who supported me through this venture.
REFERENCES
1. Alex Li, Jules Assih and Yves Delmas (2001). “Shear Strengthening Of Rc Beams With
Externally Bonded Cfrp Sheets” Journal of structural Engineering, ASCE, ISSN 0733-
9445/01/0004-0374–0380
2. A.Bukhari, R. L. Vollum, S. Ahmad and J. Sagaseta (2010) “Shear Strengthening Of Reinforced
Concrete Beams With CFRP” Journal of Engineering and Development, doi:
10.1680/macr.2008.62.1.65
3. Abdo AbouJouadeh and Camille A. Issa (2004) “Experimental Study :Carbon Fiber Reinforced
Polymer Strengthening Of Reinforced Concrete Beams” Journal
of composites of construction, ASCE,ISSN 117(11). 3434–3455.
4. Ahmed Khalifa and Antonio Nanni (2002) “Rehabilitation of Rectangular Simply Supported RC
Beams with Shear Deficiencies Using CFRP Composites” Journal of composites of construction,
DOI:pp. 135-146.
5. Amir Mofid, Sébastien Thivierge, Omar Chaallal and Yixin Shao.(2005) “Experimental
Investigation On Reinforced Concrete (RC) T-Beams Retrofitted In Shear With Prefabricated L-
Shaped Carbon Fiber–Reinforced Polymer (CFRP) Plates” Journal of structural Engineering,
ASCE, ISSN 1090-0268/2005/4-415–423
6. A.Karthi , P.Easwaran (2015) “Analytical And Experimental Investigation On Shear Strengthened
Rc Beams By Using Frp - A Review” Journal of composites of construction, ISSN (Online) : 2395
– 3837
7. Bimal Babu Adhikary and Hiroshi Mutsuyoshi. (2004) “Behavior Of Concrete Beams
Strengthened In Shear With Carbon-Fiber Sheets” Journal of composites of construction, ASCE,
ISSN 1090-0268/2004/3-258–264
8. J. Barros and S. Dias (2002) “Shear Strengthening Of Reinforced Concrete Beams With Laminate
Strips Of CFRP” Journal of composites of construction,
9. J. F. Chen and J. G. Teng (2003) “Shear Capacity Of Fiber-Reinforced Polymer Strengthened
Reinforced Concrete Beams: Fiber Reinforced Polymer Rupture” Journal of structural
Engineering, ASCE, ISSN 0733-9445/2003/5-615–625
10. J. G. Teng, G. M. Chen, O. A. Rosenboomand J. F. Chen and L. Lam (2009)
“Behavior Of Rc Beams Shear Strengthened With Bonded Or Unbonded Frp Wraps” Journal of
structural Engineering, ASCE,ISSN 1090-0268/2009/5-394–404
11. Lakshmikandhan K. N, Sivakumar P, Ravichandran R (2013) “Damage Assessment and
Strengthening of Reinforced Concrete Beams” Journal of composites of construction, DOI:
(IJMME) Volume 2 Issue 2, May 2013
12. Mohsen Shahawy and Thomas E. Beitelman (1999). “Static And Fatigue Performance Of Rc
Beams Strengthened With Cfrp Laminates” Journal of structural Engineering,
ASCE, ISSN 0733-9445/99/0006-0613–0621
13. Nikolaos Plevris, Thanasis C. Triantafillou and Daniele Veneziano.(1995)“Reliability Of Rc
Members Strengthened With Cfrp Laminates”. Journal of structural Engineering,
ASCE. ISSN 0733-9445/95/0007-1037-1044
14. Oral Buyukozturk and Brian Hearing (1998) “Failure Beravior Of Precracked Concrete Beams
Retrofitted With Frp” Journal of structural Engineering, ASCE, ISSN 1090-0268/98/0003-0138-
0144
15. Prashanth. m. h, Suraj. K, Babu Narayan. K. S and Ravikumar. C. M (2012)
“Performance Enhancement Of Preloaded Rc Beams Using Cfrp Sheets” Journal of Zhejiang
University Science ISSN 0974-5904, Volume 05, No. 06 (01)
16. Richard Andrew Barnes and Geoffrey Charles Mays. (1991) “Fatigue Performance Of Concrete
Beams Strengthened With Cfrp Plates” Journal of composites of construction,
ASCE,ISSN 1090-0268/99/0002-0063–0072
17. Sang-Wook Bae, Michael Murphy, Amir Mirmiran and Abdeldjelil Belarbi. (2013) “Behavior Of
Rc T-Beams Strengthened In Shear With Cfrp Under Cyclic Loading” Journal of structural
Engineering, ASCE, ISSN 1084-0702/2013/2-99e109
18. Shamsher B Singh (2013) “Shear Response And Design Of Rc Beams Strengthened Using Cfrp
Laminates” Journal of Zhejiang University Science DOI: /5/1/16
19. IS 456-2000, “Plain and reinforced concrete – Code of Practice” Bureau of Indian Standards, New
Delhi, India.
20. IS.383.1970, “Specification for Coarse and Fine Aggregates from Natural Sources for Concrete”
Bureau of Indian Standards, New Delhi, India.
21. IS.10262.2009, “Concrete Mix Proportioning - Guidelines” Bureau of Indian Standards, New
Delhi, India.
22. IS 13920,1993, “Ductility Detailing of Reinforced Concrete Structure” Bureau of Indian
Standards, New Delhi, India.
23. IS.1199.1959, , “Methods Of Sampling And Analysis Of Concrete” Bureau of Indian Standards,
New Delhi, India.
24. IS.2386.4.1963, “Methods Of Test For Aggregates For Concrete (Part I Particle Size And Shape)”
Bureau of Indian Standards, New Delhi, India.
25. IS.516.1959, “Methods of Tests for Strengthing of Concrete” Bureau of Indian Standards, New
Delhi, India.
26. IS 2116-1998 “Specification for Sand” Bureau of Indian Standards, New Delhi, India.
27. IS 2250-1981 (2000) “Indian Standard Code of Practice for Prepration and use of Motar”.
28. IS 1905-1987, “Code of Practice for Unstructural use of Reinforcement” Bureau of Indian
Standards, New Delhi, India.
29. IS 516-1959 (2004) “Method of Tests for Strength of Concrete” Bureau of Indian Standards, New
Delhi, India.
30. IS2770 (PART I) “ Methods of Testing Bond in Reinforced Concrete” Bureau of Indian
Standards, New Delhi, India.
31. Prasad, I.B. 2000. A text book of strength of materials, DR.N.Krishna Raju 2010 Design of
Reinforced Concrete Structures, N SUBRAMANIAM 2007 Design of Reinforced Concrete
Structures and S.K. & Chakrabarty, S. 2009. Fundamentals of structural analysis
List of Tables and Figures
Tables
Table 1: CFRP Properties
Table 2: Preliminary Test Results
Table 3: Cement Tests
Table 4: Tests on Fresh Concrete
Table 5: Compression test on Concrete cubes
Table 6: Results of Tensile tests on Concrete Cylinders
Figures
Figure 1: Configuration and reinforcement details for beam specimens
Figure 2: Schematic representation of CFRP strengthening schemes
Figure 3: Schematic representation of test set-up
Figure 4: Failure modes of series S specimens
Figure 5: Applied load versus deflection (kN vs mm)
Figure 6 :Applied load versus deflection for specimens C1,S1,S2 and S3
Table 1- CFRP Properties
PROPERTIES CARBON FIBRE
Fibre Orientation Unidirectional
Weight of Fibre 200g/m
2
Density of fibre 1.80 g/cc
Fibre thickness .30mm
Ultimate elongation(%) 1.5
Tensile strength 3500 N/mm
2
Tensile modulus 285*10
3
N/mm
2
Table 2- Preliminary Test Results
MATERIALS FINE AGGREGATES COARSE AGGREGATES
PROPERTIES
Specific Gravity 2.61 2.71
Water Absorption % 1.7 .91
Grade Zone II
Impact Value % 19.2
Crushing Value % 20
Los Angles’ Abrasion 9
Value %
Table 3 - Cement Tests
PROPERTIES VALUES
Consistency 33.5%
Fineness test .8%
Initial and Final Setting Time 55,245(min)
Table 6 - Results of Tensile tests on Concrete Cylinders
TENSILE STRENGTH(7 DAYS) TENSILE STRENGTH(28DAYS)
2.97 N/mm
2
5.1 N/mm
2
Table 4 - Tests on Fresh Concrete
TESTS VALUES
Slump 49
Compaction Factor .85
Vee-Bee Time (sec) 8
Table 5 - Compression test on Concrete
cubes
COMPRESSIVE STRENGTH(7 DAYS) COMPRESSIVE STRENGTH(28DAYS)
21.7 N/mm
2
36.4 N/mm
2
Figure 1- Configuration and reinforcement details for beam specimens
Figure 2 - Schematic representation of CFRP strengthening schemes
Figure 3 - Schematic representation of test set-up
(a) Specimen C-1
(b) Beams Subjected to 60% of ultimate load of C-1
Figure 4 - Failure modes of control beams
(a) Specimen S-1
(b) Specimen S-2
(c) Specimen S-3
Figure 4 Failure modes of series S specimens
Specimen C-1 Specimen S-2
Specimen S-3 Specimen S-1
Figure 5 Applied load versus deflection (kN vs mm)
Figure 6 Applied load versus deflection for specimens C1,S1,S2 and S3
danny report

danny report

  • 1.
    EXPERIMENTAL STUDY ONPOST REPAIR PERFORMANCE OF REINFORCED CONCRETE BEAMS REHABILITATED AND STRENGTHENED WITH CFRP SHEETS. A THESIS Danish Javid under guide of Assistant Professor Mr Sathish Kumar. Department of Civil Engineering, Bharath University in Chennai,INDIA ABSTRACT Beam is a major structural load transferring Member that support the transverse load which usually rest on support at its ends. According to the revised codes, beams should have been better flexural, shear and torsion strength in addition to the load transferring capacity. It is been a major concern in construction industry in previous many years to increase the strength of the newly constructed beams or already existing beam. The recent researches have led to various innovations in high strengthening of beams due to developments, such as FRP NSMR (near surface mounted reinforcement for concrete structures). Various other materials such as Fibre Reinforced Concrete, Light Weight concrete and High Performance Concrete. The present study examines the shear performance and modes of failure of rectangular simply supported reinforced concrete (RC) beams designed with shear deficiencies. These members were strengthened with externally bonded carbon fiber reinforced polymer (CFRP) sheets and evaluated in the laboratory. Toward that goal, twelve RC beams were fabricated and strengthened with hybrid FRPs having different combinations of CFRP in shear. The beams were loaded with different magnitudes prior to strengthening in order to investigate the effect of initial loading on the behavior of the rehabilitated beam. Then beams were retrofitted with one layer as well two layers of CFRPs, then the load was increased until the beams reach failure. The experimental results showed that the shear strength of the beams was significantly increased by the CFRP sheet and that it is beneficial to orientate the FRP at 450 to the axis of the beam. The shear strength of FRP strengthened beams is usually calculated by adding individual components of shear resistance from the concrete, steel stirrups and FRP. The series of results indicated that there was considerable increase in shear capacity from 18% to 35% and also provided considerable horizontal restraint. Keywords: rehabilitation; shear; carbon fiber reinforced polymer INTRODUCTION Fibre-reinforced polymer (FRP) composite materials typically used in civil engineering consist of high-strength fibres (e.g., glass, carbon) embedded in a thermosetting polymer matrix material (e.g., epoxy, polyester, vinyl ester). Fiber reinforced polymers _FRP_ have gained importance in rehabilitation in recent years. The main reason is their high stiffness-to-weight ratio over steel plates. Moreover, these materials are less affected by corrosive environmental conditions and are known to provide longer life and require less maintenance. Large structural deformations and significant load-carrying capacity prior to ultimate failure, typically seen in ductile material structures, are critical in civil structures in which sudden failure, and especially the lack of warning of this sudden and generally catastrophic failure, is unacceptable. Fibre reinforced polymer (FRP) composite materials have been successfully used in new construction and for the repair and rehabilitation of existing structures. It is the latter use where Fibre-reinforced polymer materials hold the greatest promise. Strengthening or stiffening of
  • 2.
    reinforced concrete andpre-stressed concrete structures may be required as a result of an increase in load requirements, a change in use natural or man-made degradation of the structure, or design or construction defects. Repair with externally bonded FRP reinforcement is attractive to owners, engineers and contractors because of the ease and speed of installation, the structural efficiency of the repair, the corrosion resistance of the materials, and the minimal effect that these materials have on structural dimensions aesthetics, and versatility. Properties of Carbon Fibers o As Carbon Fibers are very fine in nature and moreover easily breakable by stretching (by less than 2% elongation), the fibers can easily be made fuzz. Being crushed and shortened in unit length, staple tends to become fly or dusts with ease and dispersed into atmosphere. o As most Carbon Fibers have high elastic modulus and are very fine in nature, micro fiber is occasionally allergic to human skins or mucous membranes causing pain or itch. o As Carbon Fibers have electric conductivity, fly or waste yarn can cause a short- circuit at electric lines. o As Carbon Fibers are solid-structured carbons and consequently are hard to be burned. In incinerating Carbon Fiber products wastes, Carbon Fiber users are recommended to carefully collect unburned staple dusts to avoid possible electric troubles. o CFRP materials are excellent for external strengthening because of their high tensile strength, light weight, resistance to corrosion, superior durability, and cost-effective installation process. o As carbon itself is thought to have good compatibility with human body tissues, Carbon Fibers or composites of the fibers are largely used as artificial human body parts. SCOPE AND OBJECTIVE Scope: o CFRP was capable of increasing the strength and the flexural stiffness to a level comparatively higher and CFRP sheets significantly extended the fatigue life of the reinforced concrete beams. o Strengthening and rehabilitation of existing reinforced concrete (RC) structures is becoming an important issue in situations such as demand in the increase of service load levels, repair due to degradation of a member, design/construction defects, and response to requirements of newly developed design guidelines. Carbon fiber reinforced polymer (CFRP) sheets continue to show great promise for use in these situations. o CFRP are of interest to rehabilitation engineers because of their high-strength to weight ratio, high fatigue resistance, ease of installation, and the fact that they do not corrode. In addition to the structural benefits that may be of great use, when externally bonded to repair corrosion damaged RC elements. o The use of fiber-reinforced polymer CFRP composites in civil engineering has recently emerged as an alternative to the traditional methods used for rehabilitation or
  • 3.
    reinforcement of structuresdue to effective bonding to a flexural member, CFRP provide increased strength in the tension zone of a section those , been determined to be deficient because of inadequate design or structural damage. o CFRP in the form of sheets composed of carbon yarns (CFRPs) can be applied to the surface of a concrete beam by the use of epoxy adhesives, and these sheets are highly resistant to peel stresses when compared with rigid CFRP plates. This can result in significant enhancement of the flexural behavior of the member. o It is shown that the static and the fatigue performance of members to which CFRP sheets have been externally bonded are significantly improved with respect to strength and stiffness. There are outstanding benefits observed in the use of external bonding of CFRP sheets. They have been such that the method is already being used in the field for the rehabilitation of large structural systems. Objective: The main aim is explore the correct application procedure that would result in an increase in flexural capacity, shear strength, and stiffness. Also to exploit the advantage of high tensile strength and it’s characteristic of low coefficient of expansion and excellent corrosion resistant. The objective is to study the effectiveness of unidirectional CFRP fabric in increasing the shear strength of concrete beam. The objective is achieved by conducting the following tasks: (i)Shear testing of concrete beam wrapped with three different configuration of CFRP fabric; (ii)Calculating the effect of CFRP fabric different layers on the shear strength; (iii) Evaluating the failure modes. LITERATURE Richard Andrew Barnes and Geoffrey Charles Mays (1991) examined the fatigue performance of CFRP-strengthened concrete beams . Five reinforced concrete beams were tested in fatigue; two control beams and three strengthened with externally bonded CFRP plates. Three loading options were used: (1) apply the same loads to both plated and unplated beams, (2) apply loads to give the same stress range in the rebar in both beams, and (3) apply the same percentage of the ultimate load capacity to each beam. It appeared that fatigue fracture of the internal reinforcement steel is the dominant factor governing failure in reinforced concrete beams strengthened in flexure with CFRP plates. It is therefore recommended that the criteria for the fatigue design of CFRP plated beams should be to limit the stress range in the rebars to that permitted in an unplated beam. Nikolaos Plevris, et al. (1995) analyzed reliability of reinforced-concrete beams strengthened with CFRP laminates in flexure. They proposed that the effect of each design variable on the reliability of the system and conclude that, except for the cross-section dimensions, the laminate length, and the initial strain, all other variables (including the ratio of live to dead load) have important effects on reliability against flexural failure. Also the flexural behavior is quite likely to be the dominant response of CFRP-strengthened beams, the writers recommend that the procedures employed here be applied to additional load effects such as shear. Oral Buyukozturk and Brian Hearing (1998) proposed a review failure modes including delamination with the use of FRP to rehabilitate various concrete structures. They discusses methodologies used to characterize the failure processes of the system. Strengths were shown to increase with the addition of FRPs, but the specimens were observed to fail through a variety of mechanisms. Parameters affecting these failure modes were discussed, and techniques used in the analysis of these modes were reviewed. Mohsen Shahawy and Thomas E. Beitelman (1999) proposed the feasibility of using CFRP fabric in the rehabilitation and strengthening of RC structures with respect to both static and fatigue performance. This applies even to severely damaged beams. They concluded, from the static test results that strengthening with fully wrapped systems is preferable to partially wrapped systems. The main parameters in the static test study were the concrete compressive strength, the number of CFRP laminates Comparisons were made for the standard section and equivalent
  • 4.
    sections with twoand three layers of CFRP involving the improvements in fatigue behavior, stiffness, and capacity. The results from the fatigue study indicated that fatigue life of reinforced concrete beams can be significantly extended through the use of externally bonded CFRP laminates. Alex Li, Jules Assih and Yves Delmas (2001) performed tests which Indicated that stiffness increases while increasing the CFRP sheet area at the flanks. They concluded to strengthen the RC beam in shear, it is necessary at the same time to strengthen the beam in flexure. The results obtained by the strain gauges indicate that the first cracks are always found in concrete in the tension zone causing the flexure. The appearance of the cracks in the beam end is later. Five types of beams with different strengthening carbon-fiber–reinforced plastic sheets were used. The experimental results show that it is not necessary to strengthen the entire concrete beam surface. They also studied the effect of the shear strengthening of RC beams on the stress distribution, initial cracks, crack propagation, and ultimate strength. Ahmed Khalifa and Antonio Nanni (2002) presented a study on the shear performance and modes of failure of rectangular simply supported reinforced concrete (RC) beams designed with shear deficiencies. These members were strengthened with externally bonded carbon fiber reinforced polymer (CFRP) sheets and evaluated in the laboratory. The experimental program consisted of twelve full-scale RC beams tested to fail in shear. The variables investigated within this program included steel stirrups, and the shear span-to-effective depth ratio as well as amount and distribution of CFRP. The experimental results indicated that the contribution of externally bonded CFRP to the shear capacity was significant. The shear capacity was also shown to be dependent upon the variables investigated. J. Barros and S. Dias (2002) studied Shear strengthening of reinforced concrete beams with laminate strips of CFRP. They evaluated the influence of the beam height, they conducted two series of tests with beams of distinct height. They proposed that these last reinforcing systems were more effective than the one based on strips of CFRP sheet, not only in terms of increasing the load bearing capacity, but also enhancing the beam ductility besides they are also much more simple and faster to apply. J. F. Chen and J. G. Teng (2003) presented a new shear strength model for RC beams shear- strengthened with FRP which fail by FRP rupture .The key contribution of the study was the realization of the fact that the stress distribution in the FRP along the shear crack is non uniform at shear rupture failure, as a result of the non-uniform strain distribution in the FRP Also the linear elastic brittle behavior is due to FRP rupture as well. Abdo AbouJouadeh and Camille A. Issa (2004) proposed Strengthening of concrete with CFRP results in an increase in load capacity as well as an increase in stiffness. Better performances and serviceability measures are encountered when anchorage is taken into consideration. Stiffness and rigidity of members progress with an increased application of CFRP laminates. Bimal Babu Adhikary and Hiroshi Mutsuyoshi (2005) presented the results of a test program for shear strengthening characteristics of continuous unidirectional flexible carbon-fiber polymer sheets bonded to reinforced concrete RC beams. A total of eight 150 mm 200 mm 2,600 mm concrete beams were tested. Various sheet configurations and layouts were studied to determine their effects on ultimate shear strength of the beams. From the tests, it was found that the externally adhesive bonded flexible carbon-fiber sheets are effective in strengthening RC beams in shear. Further, it was observed that the strength increases with the number of sheet layers and the depth of sheets across the beam section. Among the various schemes of wrapping studied, vertical U-wrap of sheet provided the most effective strengthening for concrete beam, strengthened using this scheme showed 119% increase in shear capacity as compared to the control beam. Amir Mofid, et al (2005) presented the results of an experimental investigation on reinforced concrete (RC) T-beams retrofitted in shear with prefabricated L-shaped carbon fiber–reinforced polymer (CFRP) plates. Shear strengthening of RC beams with L-shaped fiber-reinforced polymer (FRP) plates has proved effective. The main objective of this investigation was to evaluate the performance of the RC beams strengthened in shear with externally bonded (EB) L- shaped plates as affected by the embedment length of the L-shaped FRP plates. the performance of the beams strengthened with L-shaped CFRP plates was compared with that of a similar specimen strengthened with EB FRP sheets without embedment. Results show that the performance of the specimens strengthened with partially and fully embedded L-shaped CFRP
  • 5.
    plates in thebeam flange was superior to that of the beams strengthened with EB FRP sheets and L-shaped CFRP plates with no embedment. J. G. Teng, et al (2009) proposed shear resistance mechanism of beam. The nine beams were tested in the present study: three as control specimens, three with bonded FRP full wraps, and three with FRP full wraps left unbonded to the beam sides. The test results show that the unbonded FRP wraps have a slightly higher shear strength contribution than the bonded FRP wraps, and that for both types of FRP wraps, the strain distributions along the critical shear crack are close to parabolic at the ultimate state. Abukhari, et al (2010) presented paper that reviews existing design guidelines for strengthening beams in shear with carbon fibre reinforced polymer (CFRP) sheets.They also proposed a modification to Concrete Society Technical Report TR55. It goes on to present the results of an experimental programme which evaluated the contribution of CFRP sheets towards the shear strength of continuous reinforced concrete (RC) beams. A total of seven, two-span concrete continuous beams with rectangular cross-sections were tested. The control beam was not strengthened, and the remaining six were strengthened with different arrangements of CFRP sheets. The experimental results show that the shear strength of the beams was significantly increased by the CFRP sheet and that it is beneficial to orientate the FRP at 450 to the axis of the beam. This led to the indication that strengthening of continuous RC beams in shear with CFRP sheet can be highly effective and that the contribution of the CFRP depends on its configuration and orientation. Prashanth, et al (2012) proposed in their experimental investigation that the when RC beams were preloaded up to 0 to 50 % of the ultimate capacity and were applied with CFRP sheets at the soffit of the beam. Then when compared with control beam show characteristic increases in load carrying capacity, ductility, flexure and shear. The Load vs deflection, and crack mechanism were studied. Hence the use of CFRP sheets in the soffit of the beam has resulted in enhanced strength and ductility. Prashanth, et al (2012) proposed in their experimental investigation that the when RC beams were preloaded up to 0 to 50 % of the ultimate capacity and were applied with CFRP sheets at the soffit of the beam. Then when compared with control beam show characteristic increases in load carrying capacity, ductility, flexure and shear. The Load vs deflection, and crack mechanism were studied. Hence the use of CFRP sheets in the soffit of the beam has resulted in enhanced strength and ductility. Lakshmikandhan K. N, Sivakumar P, Ravichandran R (2013) They performed experimental investigation to obtain recommendation to overcome the issues in assessment on the exact damage for simulation. The stiffness degradation method has been developed to estimate and simulate the exact damage level into beam performed well. They proposed that the repaired reinforced concrete beam with damage levels (load level between first crack and ultimate load) between 40 and 90 percent of ultimate load exhibited uniform behavior. The grade of concrete used for the section design was 60 MPa and the grade of steel was 415 MPa. The repaired beams restore the original strength with about 30 percentage additional load capacity. Levels Flexural tests have been conducted with two point loading on 1.5 meter length of reinforced concrete beam with size 100 mm width and depth of 200 mm. Sang-Wook Bae, et al (2013) investigated the shear performance of an RC beam strengthened in shear with externally bonded carbon fiber-reinforced polymer (CFRP) strips, subjected to a cyclic loading. The experimental results obtained in this study and a comprehensive review of the existing literature showed that RC beams strengthened in shear with externally bonded CFRP could survive 2 million cycles of cyclic loading without failure. Furthermore, the residual shear strength of the FRP-strengthened beam appeared to be greater for almost 26.3% than the static shear strength of the unstrengthened control beam. Shamsher B Singh (2013) addresses the shear strengthening of deficient reinforced concrete (RC) beams using carbon fiber-reinforced polymer (CFRP) sheets. The effect of the pattern and orientation of the strengthening fabric on the shear capacity of the strengthened beams were examined. Three beams with various lay-ups of strengthening fabric, 45°, 0°/90°, and 0°/90°/45° were examined, in addition to an unstrengthened control beam. Experimental results showing the advantage of beam strengthened using the various lay-ups of CFRP sheets are discussed. It is concluded that Beam-45°, Beam-0°/90°, and Beam-0°/90°/45° show about 25%, 19%, and 40%
  • 6.
    increases in shear-loadcarrying capacity in comparison to the control beam, respectively.He proposed that the strengthened beams exhibited significant strength and stiffness even beyond the critical value of the shear force. A.Karthi and P.Easwaran (2015) investigated Analytical And Experimental Investigation On Shear Strengthened Rc Beams By Using Frp .They provided a brief review on flexural and shear strengthening of rectangular beams using CFRP/GFRP laminate of different thickness and scheme. Different applications of FRP laminate for external strengthening of RC beams are reviewed in this paper. Finally, a discussion on system of strengthening and conclusions are made along with prospective outlook approach of research.
  • 7.
    EXPERIMENTAL PROGRAM Test Specimenand Materials Twelve specimens of 1.5m length and cross-section 100mm x 200mm were cast in a horizontal steel mould. All beams were designed as under reinforced sections. To investigate the ultimate load carrying capacity of beam, specimens are prepared and designated as follows. CB– Control Beam specimens. S1 – Beam specimen with inclined CFRP wrapping without spacing. S2– Beam specimen with single layer inclined CFRP wrapping with spacing. S3 –Beam specimen with double layer inclined CFRP wrapping with spacing. Preliminary tests are carried as per IS standard on the material used for concrete like specific gravity, fineness, consistency, and initial setting time for cement. For fine and coarse aggregates tests such as sieve analysis, specific gravity, impact value, crushing value and abrasion value (Los Angeles) are conducted as per standards and results are tabulated. The ingredients of concrete such as cement, fine aggregate, coarse aggregate of maximum nominal size of 20mm are weighed accurately using the platform weighing machine. The ingredients are mixed manually and adequate amount of water is added to the constituents of concrete .The mixing is done till to get uniform mix of concrete is obtained. Proper design mix proportion is arrived and the mix design. Reinforcements used in the specimen consists of 2, 10 mm φ bars which were provided as the main longitudinal reinforcement and 2,8 mm φ bars were used at the top. 6 mm φbars were used as stirrups at a spacing of 200 mm center to center. The reinforcements are placed inside the mould by giving side and bottom covers respectively. Thorough oiling of the mould was done before placing the reinforcements. Cover blocks were used to keep the reinforcements in position. Strengthening Schemes The single inclined layer of CFRP wrapping , of width of 100mm and spacing of 50mm as shown in below figure was bonded along web face, with fibers inclined at 450 to longitudinal direction of beam. So that they may act perpendicular to inclined shear cracks. Also to prevent debonding of CFRP layer at tension zone a supplement layer was provided, whose fibres are along longitudinal axis of beam of width 50 mm and 1200mm length. Another pattern in which one more inclined layer with 500mm width was inclined to strengthen the beam in shear. Note:If anchorages are not provided, it results in development of shear deformation at the ends within the resins.This interfacial stress thus is responsible for peeling-off of cfrp from the RC beam. The two layer CFRP wrapping ,same as above, 100mm width was used but its fibres oriented at inclination of 450 to the longitudinal axis, followed up with fibre oriented along the longitudinal direction to be bonded to bottom edge on both sides of a specimen to prevent sheet from prematurely peeling off from concrete surface. The spacing of 50mm was kept between each inclined sheet as shown below. Thus giving a configuration of (450 +0). NOTE: Application of CFRP wraps has to be implemented prior to excessive damage of concrete.So taking any value between given number will give percentage of damage. Percentage Of Damage: The repaired RC beam with damage level (load level between first crack and ultimate load) that is between 40% to 85% of ultimate load exhibit uniform behavior i.e. From the previous journals, it is inferred that the damage level between about 40 and 85 percentage exhibits uniform trend. Test setup and Instrumentation Reinforced concrete beams are of three types as deep, intermediate-length and common. Deep beams have shear span-to-effective depth (a/d) ratio less than two and resist the applied
  • 8.
    load within archaction after web cracks. However, common beams have a/d ratio over six and obey flexural mechanism. Intermediate-length beams have a/d ratio between 2 to 6 range which leads to variable angle web cracks generated in web zone. Incomplete generation of arch action leads to shear strength deficiency of intermediate-length beams. Members with shear strength deficiency have sudden and catastrophic failure behavior. In these members, wide diagonal cracks generate along span, propagate toward load points and lead to rupture of transverse stirrups. The test procedure consisted of loading monotonically until the failure of the beams occurs. All test beams were tested under a two-point loading system. The span of the beams were 1.50 m, and the distance between the loads was 0.4 m. The shear span for both sides was 0.4 m. The loads acting on the tested beams were measured by a load cell of 200-kN capacity. Two linear variable displacement transducers (LVDTs) were used to measure the deflection under both loading points of RC beams subsequent crack pattern were also marked on the beam surface as they develop during the application of load from first crack appear until the failure of the beam. The beams are designed to fail in shear (due to an inadequate number of stirrups) . TEST RESULTS AND DISCUSSION 12 RC beams with a rectangular cross-section of 100 mm by 200 mm and shear span-to- depth ratio (a/d) of 2.28 were tested. To ensure shear failure must occur with in the beam, they were made weak in shear by providing 200mm centre to centre spacing between 6 mm diameter steel stirrups. Beam C1 was a control specimen so was not strengthened. All other beams were to be strengthened. But before strengthening the load of 60% of ultimate load of control beam was to be applied on rest of beams. After which the remaining tests investigated the contribution of different arrangements of CFRP to the shear capacity of the beams. In total three different type of pattern or CFRP orientations were used. In first case i.e. S1 specimen the CFRP was inclined at 450 to the longitudinal direction but with out spacing .In second case S2 specimen CFRP was used with same configuration i.e. inclined but with spacing of 50mm in single layer. In third case S3 specimen double layer CFRP pattern were used in a same way as previous patterns with 50mm spacing. The CFRP sheet was 0.30 mm thick. The elastic modulus of the carbon fibres was 285*103 N/mm2 and the ultimate tensile strength was 3500 N/mm2 . The experimental results indicate that strengthening of RC beams in shear with CFRP sheet can be highly effective and that the contribution of the CFRP depends on its configuration and orientation. Of the twelve beams tested, C1 was a control beam which was, consequently, not strengthened. Beam C1 failed at total load of 58 kN as a result of a shear-tension failure. The presence of CFRP sheets was found to alter the crack pattern from that observed in the control beam. Experimental results showed that shear strength is enhanced considerably if the CFRP sheets are oriented with the main fibres at 450 The tests showed that the surface area of the CFRP sheet can be minimised while maintaining a considerable increase in shear capacity.As already mentioned CFRP sheets were applied with the main fibres oriented almost perpendicular to the angle of the shear cracks at an angle of 450 to the longitudinal axis of the beam yielding of the longitudinal reinforcement was observed at failure along with splitting of the concrete cover at the bottom face of the beam.The failure cracks were inclined at a relatively steep angles running from 690 -830 to the longitudinal axis of the beams i.e. mostly at the centre part of a beam in all cases. The first cracking load for all beams has been observed to be same as it is function of concrete strength alone. The depth of cracking was 40mm. Shear cracks in the control specimen C1 were observed close to the middle of the shear span when the load reached approximately 35kN. As the load increased, additional shear cracks formed throughout, widening and propagating up to final failure at a load of 58 kN with depth of cracking 135mm. In specimen S1 strengthened with CFRP (450 ), no cracks were visible on the sides of the test specimen due to the FRP wrapping, only longitudinal crack was formed from bottom of the
  • 9.
    centre of beamto mid surface of the beam when the applied load was approximately 64 kN. The crack also initiated close to the position of applied load from bottom portion and extended towards the support at ultimate load of 78kN. The specimen failed by concrete splitting .This was an increase of 35% in shear capacity compared to the control specimen C1. The load versus mid span deflection curves for specimens are illustrated in Figure. In beam S2, 100 mm wide and 50 mm spacing single layer CFRP sheet with was applied with the main fibres oriented almost perpendicular to the angle of the shear cracks at an angle of 450 to the longitudinal axis of the beam as shown in Figure. Beam S2 failed at a load of 68.5 kN, which is 18% greater than C1 i.e. control beam. As a result of which the CFRP sheet ruptured in tension part at maximum bending point..Under the loading point at first yielding of the longitudinal reinforcement was observed after further increase in load , failure along with splitting of the concrete cover at the bottom face of the beam occured. The failure crack again was inclined at a relatively steep angle. Beam S3 was strengthened with the same configuration of CFRP sheet as beam S2 but in double layer.The failure in beam occurred at 76kN which came out to be 31% greater than the C1 i.e. control beam. Also it is observed that generally the deflection of beams increases with the increase in load. But it was also noted that, as the number of CFRP layer increases, the deflection decreases for a corresponding load. CONCLUSIONS AND FURTHER RECOMMENDATION An experimental investigation was conducted to study the shear behavior and the modes of failure of simply supported rectangular section RC beams with shear deficiencies, strengthened with CFRP sheets. This paper describes a series of tests on continuous beams strengthened in shear with CFRP. The tests showed that it is beneficial to orientate the fibres in the CFRP sheets at 450 so that they are approximately perpendicular to the shear cracks. The tests also support the hypothesis that the efficiency of CFRP reduces with its axial rigidity. The parameters investigated in this program were existence of steel shear reinforcement at spacing where beam will fail in shear, shear span-to-effective depth ratio (a/d ratio), and CFRP amount and distribution. The results confirmed that the strengthening technique using CFRP sheets can be used to increase significantly shear capacity, with efficiency that varies depending on the tested variables. For the beams tested in this program, increase in shear strength from 18% to 35% were achieved. Conclusions that emerged from this study may be summarized as follows: • The contribution of externally CFRP reinforcement to the shear capacity is influenced by the a/d ratio. • Increasing the amount of CFRP may not result in a proportional increase in the shear strength. As the CFRP amount used to strengthen specimen S-3 was more however the strength of that of specimen S-1 came out to be more. An end anchor is recommended if FRP debonding is to be avoided. • The test results indicated that contribution of CFRP benefits the shear capacity at a greater degree for beam. • The series of results indicated that there was considerable increase in shear capacity from 18% to 35% and also providing considerable horizontal restraint. Recommendations for future research are the follows: • Experimental and analytical investigations are required to link the shear contribution of FRP with the load condition. These studies have to consider both the longitudinal steel reinforcement ratio and the concrete strength as parameters. Laboratory specimens should maintain practical dimensions. • The strengthening effectiveness of FRP has to be addressed in the cases of short and very short shear spans in which arch action governs failure.
  • 10.
    ACKNOWLEDGEMENT Prima facie, Iam grateful to the God for the good health and well being that is necessary to complete a project. I wish to express my sincere thanks to P.Dayakar, Head of Department, for providing me with all the necessary facilities for the research. I place on record, my sincere thanks to Dean of the Faculty, for continue encouragement. I am also grateful to guide Mr Sathish Kumar, Assistant Prof , in the Department of Civil engineering. I am extremely thankful and indebted to him for sharing expertise, and sincere and valuable guidance and encouragement extended to me. I take this opportunity to express gratitude to all of the Department faculty members, for their help and support. I also thank my parents for the unceasing encouragement, support and attention. I am also grateful to my colleagues who supported me through this venture. REFERENCES 1. Alex Li, Jules Assih and Yves Delmas (2001). “Shear Strengthening Of Rc Beams With Externally Bonded Cfrp Sheets” Journal of structural Engineering, ASCE, ISSN 0733- 9445/01/0004-0374–0380 2. A.Bukhari, R. L. Vollum, S. Ahmad and J. Sagaseta (2010) “Shear Strengthening Of Reinforced Concrete Beams With CFRP” Journal of Engineering and Development, doi: 10.1680/macr.2008.62.1.65 3. Abdo AbouJouadeh and Camille A. Issa (2004) “Experimental Study :Carbon Fiber Reinforced Polymer Strengthening Of Reinforced Concrete Beams” Journal of composites of construction, ASCE,ISSN 117(11). 3434–3455. 4. Ahmed Khalifa and Antonio Nanni (2002) “Rehabilitation of Rectangular Simply Supported RC Beams with Shear Deficiencies Using CFRP Composites” Journal of composites of construction, DOI:pp. 135-146. 5. Amir Mofid, Sébastien Thivierge, Omar Chaallal and Yixin Shao.(2005) “Experimental Investigation On Reinforced Concrete (RC) T-Beams Retrofitted In Shear With Prefabricated L- Shaped Carbon Fiber–Reinforced Polymer (CFRP) Plates” Journal of structural Engineering, ASCE, ISSN 1090-0268/2005/4-415–423 6. A.Karthi , P.Easwaran (2015) “Analytical And Experimental Investigation On Shear Strengthened Rc Beams By Using Frp - A Review” Journal of composites of construction, ISSN (Online) : 2395 – 3837 7. Bimal Babu Adhikary and Hiroshi Mutsuyoshi. (2004) “Behavior Of Concrete Beams Strengthened In Shear With Carbon-Fiber Sheets” Journal of composites of construction, ASCE, ISSN 1090-0268/2004/3-258–264 8. J. Barros and S. Dias (2002) “Shear Strengthening Of Reinforced Concrete Beams With Laminate Strips Of CFRP” Journal of composites of construction, 9. J. F. Chen and J. G. Teng (2003) “Shear Capacity Of Fiber-Reinforced Polymer Strengthened Reinforced Concrete Beams: Fiber Reinforced Polymer Rupture” Journal of structural Engineering, ASCE, ISSN 0733-9445/2003/5-615–625 10. J. G. Teng, G. M. Chen, O. A. Rosenboomand J. F. Chen and L. Lam (2009) “Behavior Of Rc Beams Shear Strengthened With Bonded Or Unbonded Frp Wraps” Journal of structural Engineering, ASCE,ISSN 1090-0268/2009/5-394–404 11. Lakshmikandhan K. N, Sivakumar P, Ravichandran R (2013) “Damage Assessment and Strengthening of Reinforced Concrete Beams” Journal of composites of construction, DOI: (IJMME) Volume 2 Issue 2, May 2013 12. Mohsen Shahawy and Thomas E. Beitelman (1999). “Static And Fatigue Performance Of Rc Beams Strengthened With Cfrp Laminates” Journal of structural Engineering, ASCE, ISSN 0733-9445/99/0006-0613–0621 13. Nikolaos Plevris, Thanasis C. Triantafillou and Daniele Veneziano.(1995)“Reliability Of Rc Members Strengthened With Cfrp Laminates”. Journal of structural Engineering, ASCE. ISSN 0733-9445/95/0007-1037-1044 14. Oral Buyukozturk and Brian Hearing (1998) “Failure Beravior Of Precracked Concrete Beams Retrofitted With Frp” Journal of structural Engineering, ASCE, ISSN 1090-0268/98/0003-0138- 0144 15. Prashanth. m. h, Suraj. K, Babu Narayan. K. S and Ravikumar. C. M (2012) “Performance Enhancement Of Preloaded Rc Beams Using Cfrp Sheets” Journal of Zhejiang University Science ISSN 0974-5904, Volume 05, No. 06 (01)
  • 11.
    16. Richard AndrewBarnes and Geoffrey Charles Mays. (1991) “Fatigue Performance Of Concrete Beams Strengthened With Cfrp Plates” Journal of composites of construction, ASCE,ISSN 1090-0268/99/0002-0063–0072 17. Sang-Wook Bae, Michael Murphy, Amir Mirmiran and Abdeldjelil Belarbi. (2013) “Behavior Of Rc T-Beams Strengthened In Shear With Cfrp Under Cyclic Loading” Journal of structural Engineering, ASCE, ISSN 1084-0702/2013/2-99e109 18. Shamsher B Singh (2013) “Shear Response And Design Of Rc Beams Strengthened Using Cfrp Laminates” Journal of Zhejiang University Science DOI: /5/1/16 19. IS 456-2000, “Plain and reinforced concrete – Code of Practice” Bureau of Indian Standards, New Delhi, India. 20. IS.383.1970, “Specification for Coarse and Fine Aggregates from Natural Sources for Concrete” Bureau of Indian Standards, New Delhi, India. 21. IS.10262.2009, “Concrete Mix Proportioning - Guidelines” Bureau of Indian Standards, New Delhi, India. 22. IS 13920,1993, “Ductility Detailing of Reinforced Concrete Structure” Bureau of Indian Standards, New Delhi, India. 23. IS.1199.1959, , “Methods Of Sampling And Analysis Of Concrete” Bureau of Indian Standards, New Delhi, India. 24. IS.2386.4.1963, “Methods Of Test For Aggregates For Concrete (Part I Particle Size And Shape)” Bureau of Indian Standards, New Delhi, India. 25. IS.516.1959, “Methods of Tests for Strengthing of Concrete” Bureau of Indian Standards, New Delhi, India. 26. IS 2116-1998 “Specification for Sand” Bureau of Indian Standards, New Delhi, India. 27. IS 2250-1981 (2000) “Indian Standard Code of Practice for Prepration and use of Motar”. 28. IS 1905-1987, “Code of Practice for Unstructural use of Reinforcement” Bureau of Indian Standards, New Delhi, India. 29. IS 516-1959 (2004) “Method of Tests for Strength of Concrete” Bureau of Indian Standards, New Delhi, India. 30. IS2770 (PART I) “ Methods of Testing Bond in Reinforced Concrete” Bureau of Indian Standards, New Delhi, India. 31. Prasad, I.B. 2000. A text book of strength of materials, DR.N.Krishna Raju 2010 Design of Reinforced Concrete Structures, N SUBRAMANIAM 2007 Design of Reinforced Concrete Structures and S.K. & Chakrabarty, S. 2009. Fundamentals of structural analysis
  • 12.
    List of Tablesand Figures Tables Table 1: CFRP Properties Table 2: Preliminary Test Results Table 3: Cement Tests Table 4: Tests on Fresh Concrete Table 5: Compression test on Concrete cubes Table 6: Results of Tensile tests on Concrete Cylinders Figures Figure 1: Configuration and reinforcement details for beam specimens Figure 2: Schematic representation of CFRP strengthening schemes Figure 3: Schematic representation of test set-up Figure 4: Failure modes of series S specimens Figure 5: Applied load versus deflection (kN vs mm) Figure 6 :Applied load versus deflection for specimens C1,S1,S2 and S3
  • 13.
    Table 1- CFRPProperties PROPERTIES CARBON FIBRE Fibre Orientation Unidirectional Weight of Fibre 200g/m 2 Density of fibre 1.80 g/cc Fibre thickness .30mm Ultimate elongation(%) 1.5 Tensile strength 3500 N/mm 2 Tensile modulus 285*10 3 N/mm 2
  • 14.
    Table 2- PreliminaryTest Results MATERIALS FINE AGGREGATES COARSE AGGREGATES PROPERTIES Specific Gravity 2.61 2.71 Water Absorption % 1.7 .91 Grade Zone II Impact Value % 19.2 Crushing Value % 20 Los Angles’ Abrasion 9 Value % Table 3 - Cement Tests PROPERTIES VALUES Consistency 33.5% Fineness test .8% Initial and Final Setting Time 55,245(min)
  • 15.
    Table 6 -Results of Tensile tests on Concrete Cylinders TENSILE STRENGTH(7 DAYS) TENSILE STRENGTH(28DAYS) 2.97 N/mm 2 5.1 N/mm 2 Table 4 - Tests on Fresh Concrete TESTS VALUES Slump 49 Compaction Factor .85 Vee-Bee Time (sec) 8 Table 5 - Compression test on Concrete cubes COMPRESSIVE STRENGTH(7 DAYS) COMPRESSIVE STRENGTH(28DAYS) 21.7 N/mm 2 36.4 N/mm 2
  • 16.
    Figure 1- Configurationand reinforcement details for beam specimens Figure 2 - Schematic representation of CFRP strengthening schemes
  • 17.
    Figure 3 -Schematic representation of test set-up
  • 18.
  • 19.
    (b) Beams Subjectedto 60% of ultimate load of C-1 Figure 4 - Failure modes of control beams (a) Specimen S-1
  • 20.
    (b) Specimen S-2 (c)Specimen S-3 Figure 4 Failure modes of series S specimens
  • 21.
    Specimen C-1 SpecimenS-2 Specimen S-3 Specimen S-1 Figure 5 Applied load versus deflection (kN vs mm)
  • 22.
    Figure 6 Appliedload versus deflection for specimens C1,S1,S2 and S3