DATA ANALYTICS
Introduction to Big data
• Data are everywhere.
• IBM projects that every day 2.5 quintillion bytes of data was
generated
• 90 percent of the data has been created in the last two years.
• 85 percent of organizations will be unable to exploit big data for
competitive advantage.
• 4.4 million jobs will be created around big data
Largest Data Sets Analysis by KDnuggets
Data Size Percentage
Less than 1 MB (12) 3.3
1.1 to 10 MB (8) 2.5
11 to 100 MB (14) 4.3
101 MB to 1 GB (50) 15.5
1.1 to 10 GB (59) 18
11 to 100 GB (52) 16
101 GB to 1 TB(59) 18
1.1 to 10 TB (39) 12
11 to 100 TB (15) 4.7
101 TB to 1 PB (6) 1.9
1.1 to 10 PB (2) 0.6
11 to 100 PB (0) 0
Over 100 PetaByte (6) 1.9
Example Applications
• Mail box analysis
• Internet Bill
• Electricity Bill
• Social Media
Analytics Process Model
ANALYTICS
• Analytics is a term that is often used interchangeably with data
science, data mining and knowledge discovery.
• It refers to extracting useful business patterns or mathematical
decision models from a preprocessed data set.
• Different underlying techniques can be used for this purpose,
• Statistics (Linear and logistics regression)
• Machine Learning (Decision tree)
• Biology (Neural Network)
• Kernel Methods (SVM)
Predictive and Descriptive - Distinction
• Predictive
• Target is available
• Categorical or continues
• Descriptive
• Target is not available
• Association rules, Sequence rules, and Clustering
Analytical Model Requirements
• A first critical success factor is business relevance
• The analytical model should actually solve the business
problem for which it was developed.
• It makes no sense to have a working analytical model
that got sidetracked from the original problem
statement.
• In order to achieve business relevance, the business
problem to be solved is appropriately defined,
qualified, and agreed upon by all parties involved at the
outset of the analysis.
Analytical Model Requirements
• A second criterion is statistical performance.
• The model should have statistical significance and
predictive power.
• Depending upon the application Analytical models should
also be
• Interpretable - understanding the patterns that the
analytical model captures
• Justifiable - the degree to which a model corresponds
to previous business knowledge
Analytical Model Requirements
• Analytical models should also be operationally efficient.
• the efforts needed to collect the data,
• preprocess the model,
• evaluate the model
• feed its outputs to the business application
• The economic cost needed to set up the analytical model
• Analytical models should also comply with both local and
international regulation.
STANDARDIZING AND CATEGORIZING
• Data standardization is the process of converting data to a
common format to enable users to process and analyze it
• Data standardization is the critical process of bringing data into a
common format that allows for
• collaborative research,
• large-scale analytics,
• sharing of sophisticated tools and methodologies.
Steps to standardize data
• Four steps to standardize customer data for better insights
• Step 1: Conduct a data source audit.
• Step 2: Define standards for data formats.
• Step 3: Standardize the format of external data sources.
• Step 4: Standardize existing data in the database.
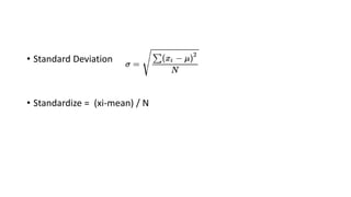
• Standard Deviation
• Standardize = (xi-mean) / N
CATEGORIZATION
• Categorization is a major component of qualitative data analysis by
which investigators attempt to group patterns observed in the data
into meaningful units or categories.
• Categorization is also referred as coarse classification, classing,
grouping, binning, etc.
• For categorical variables, it is needed to reduce the number of
categories.
• E.g. Purpose of loan – has 50 values.
• 49 dummy variables are needed to estimate one variable.
Categorization Methods
• Two very basic methods are used for categorization.
• equal interval binning
• equal frequency binning.
• Consider, for example, the income values 1,000, 1,200, 1,300, 2,000, 1,800,
and 1,400.
• Equal interval binning would create two bins with the same range—Bin 1:
1,000, 1,500 and
• Bin 2: 1,500, 2,000
• Equal frequency binning would create two bins with the same number of
observations—
• Bin 1: 1,000, 1,200, 1,300;
• Bin 2: 1,400, 1,800,2,000.
Weight of Evidence Coding
• Variable transformation of independent variables.
• Used for grouping, variable selection etc.
• The weight of evidence tells the predictive power of an independent
variable in relation to the dependent variable.
Weight of Evidence Coding
• Example: Predict good or bad customer based on age or income
• Model 1:
• Customer type = a + b (income) ----> Predicts 70% correctly
• Model 2:
• Customer type = a + b (age) ----> Predicts 60% correctly
• So the ability of “income” to separate good and bad is more than
“age” and hence the weight
Weight of Evidence Coding
• Definition:
• Since it evolved from credit scoring world, it is generally described as
a measure of the separation of good and bad customers.
• "Bad Customers" refers to the customers who defaulted on a loan.
and "Good Customers" refers to the customers who paid back loan.
• Positive WOE means Distribution of Goods > Distribution of Bad’s
Negative WOE means Distribution of Goods < Distribution of Bad’s
Weight of Evidence Coding
DATA SEGMENTATION
• Sometimes data is segmented before the analytical modeling starts.
• The segmentation can be conducted
• using the experience and knowledge from a business expert
• based on statistical analysis using decision trees, k‐means, or self‐organizing
maps
• Segmentation is used to estimate different analytical models each
personalized to a specific segment.
• This process must be done careful because it may lead to increase the
production, monitoring and maintenance cost.
DATA SEGMENTATION
• Data Segmentation is the process of taking the data you hold and
dividing it up and grouping similar data together based on the chosen
parameters
• So that you can use it more efficiently within marketing and
operations
• It is the process of grouping your data into at least two subsets
F TEST
• The F-test is used to carry out the test for the equality of the two
population variances.
• If a researcher wants to test whether or not two independent
samples have been drawn from a normal population with the same
variability, then he generally employs the F-test.
F-TEST
• It is a statistical test used to compare any two different data sets
• It gives the mean, variance, observations etc details
• F-Test :
• compares your model with zero predictor variables and decides whether
your added coefficients improved the model.
T-distribution
• The t-distribution is used as an alternative to the normal distribution
when sample sizes are small in order to estimate confidence
• It also determine critical values that an observation is a given distance
from the mean.

DA-Module 1.pptx

  • 1.
  • 2.
    Introduction to Bigdata • Data are everywhere. • IBM projects that every day 2.5 quintillion bytes of data was generated • 90 percent of the data has been created in the last two years. • 85 percent of organizations will be unable to exploit big data for competitive advantage. • 4.4 million jobs will be created around big data
  • 3.
    Largest Data SetsAnalysis by KDnuggets Data Size Percentage Less than 1 MB (12) 3.3 1.1 to 10 MB (8) 2.5 11 to 100 MB (14) 4.3 101 MB to 1 GB (50) 15.5 1.1 to 10 GB (59) 18 11 to 100 GB (52) 16 101 GB to 1 TB(59) 18 1.1 to 10 TB (39) 12 11 to 100 TB (15) 4.7 101 TB to 1 PB (6) 1.9 1.1 to 10 PB (2) 0.6 11 to 100 PB (0) 0 Over 100 PetaByte (6) 1.9
  • 4.
    Example Applications • Mailbox analysis • Internet Bill • Electricity Bill • Social Media
  • 5.
  • 6.
    ANALYTICS • Analytics isa term that is often used interchangeably with data science, data mining and knowledge discovery. • It refers to extracting useful business patterns or mathematical decision models from a preprocessed data set. • Different underlying techniques can be used for this purpose, • Statistics (Linear and logistics regression) • Machine Learning (Decision tree) • Biology (Neural Network) • Kernel Methods (SVM)
  • 7.
    Predictive and Descriptive- Distinction • Predictive • Target is available • Categorical or continues • Descriptive • Target is not available • Association rules, Sequence rules, and Clustering
  • 8.
    Analytical Model Requirements •A first critical success factor is business relevance • The analytical model should actually solve the business problem for which it was developed. • It makes no sense to have a working analytical model that got sidetracked from the original problem statement. • In order to achieve business relevance, the business problem to be solved is appropriately defined, qualified, and agreed upon by all parties involved at the outset of the analysis.
  • 9.
    Analytical Model Requirements •A second criterion is statistical performance. • The model should have statistical significance and predictive power. • Depending upon the application Analytical models should also be • Interpretable - understanding the patterns that the analytical model captures • Justifiable - the degree to which a model corresponds to previous business knowledge
  • 10.
    Analytical Model Requirements •Analytical models should also be operationally efficient. • the efforts needed to collect the data, • preprocess the model, • evaluate the model • feed its outputs to the business application • The economic cost needed to set up the analytical model • Analytical models should also comply with both local and international regulation.
  • 11.
    STANDARDIZING AND CATEGORIZING •Data standardization is the process of converting data to a common format to enable users to process and analyze it • Data standardization is the critical process of bringing data into a common format that allows for • collaborative research, • large-scale analytics, • sharing of sophisticated tools and methodologies.
  • 12.
    Steps to standardizedata • Four steps to standardize customer data for better insights • Step 1: Conduct a data source audit. • Step 2: Define standards for data formats. • Step 3: Standardize the format of external data sources. • Step 4: Standardize existing data in the database.
  • 13.
    • Standard Deviation •Standardize = (xi-mean) / N
  • 14.
    CATEGORIZATION • Categorization isa major component of qualitative data analysis by which investigators attempt to group patterns observed in the data into meaningful units or categories. • Categorization is also referred as coarse classification, classing, grouping, binning, etc. • For categorical variables, it is needed to reduce the number of categories. • E.g. Purpose of loan – has 50 values. • 49 dummy variables are needed to estimate one variable.
  • 15.
    Categorization Methods • Twovery basic methods are used for categorization. • equal interval binning • equal frequency binning. • Consider, for example, the income values 1,000, 1,200, 1,300, 2,000, 1,800, and 1,400. • Equal interval binning would create two bins with the same range—Bin 1: 1,000, 1,500 and • Bin 2: 1,500, 2,000 • Equal frequency binning would create two bins with the same number of observations— • Bin 1: 1,000, 1,200, 1,300; • Bin 2: 1,400, 1,800,2,000.
  • 16.
    Weight of EvidenceCoding • Variable transformation of independent variables. • Used for grouping, variable selection etc. • The weight of evidence tells the predictive power of an independent variable in relation to the dependent variable.
  • 17.
    Weight of EvidenceCoding • Example: Predict good or bad customer based on age or income • Model 1: • Customer type = a + b (income) ----> Predicts 70% correctly • Model 2: • Customer type = a + b (age) ----> Predicts 60% correctly • So the ability of “income” to separate good and bad is more than “age” and hence the weight
  • 18.
    Weight of EvidenceCoding • Definition: • Since it evolved from credit scoring world, it is generally described as a measure of the separation of good and bad customers. • "Bad Customers" refers to the customers who defaulted on a loan. and "Good Customers" refers to the customers who paid back loan. • Positive WOE means Distribution of Goods > Distribution of Bad’s Negative WOE means Distribution of Goods < Distribution of Bad’s
  • 19.
  • 20.
    DATA SEGMENTATION • Sometimesdata is segmented before the analytical modeling starts. • The segmentation can be conducted • using the experience and knowledge from a business expert • based on statistical analysis using decision trees, k‐means, or self‐organizing maps • Segmentation is used to estimate different analytical models each personalized to a specific segment. • This process must be done careful because it may lead to increase the production, monitoring and maintenance cost.
  • 21.
    DATA SEGMENTATION • DataSegmentation is the process of taking the data you hold and dividing it up and grouping similar data together based on the chosen parameters • So that you can use it more efficiently within marketing and operations • It is the process of grouping your data into at least two subsets
  • 22.
    F TEST • TheF-test is used to carry out the test for the equality of the two population variances. • If a researcher wants to test whether or not two independent samples have been drawn from a normal population with the same variability, then he generally employs the F-test.
  • 23.
    F-TEST • It isa statistical test used to compare any two different data sets • It gives the mean, variance, observations etc details • F-Test : • compares your model with zero predictor variables and decides whether your added coefficients improved the model.
  • 24.
    T-distribution • The t-distributionis used as an alternative to the normal distribution when sample sizes are small in order to estimate confidence • It also determine critical values that an observation is a given distance from the mean.