Logical Block Protection Previous results Multithreading Benchmarks Conclusion
Tape Storage and CRC Protection
Summer Student Project 2014
Karel Ha
IT-DSS-TAB
CERN
1 / 17
Logical Block Protection Previous results Multithreading Benchmarks Conclusion
Outline
1 Logical Block Protection
2 / 17
Logical Block Protection Previous results Multithreading Benchmarks Conclusion
Outline
1 Logical Block Protection
2 Previous results
2 / 17
Logical Block Protection Previous results Multithreading Benchmarks Conclusion
Outline
1 Logical Block Protection
2 Previous results
3 Multithreading
2 / 17
Logical Block Protection Previous results Multithreading Benchmarks Conclusion
Outline
1 Logical Block Protection
2 Previous results
3 Multithreading
4 Benchmarks
2 / 17
Logical Block Protection Previous results Multithreading Benchmarks Conclusion
Outline
1 Logical Block Protection
2 Previous results
3 Multithreading
4 Benchmarks
5 Conclusion
2 / 17
Logical Block Protection Previous results Multithreading Benchmarks Conclusion
Basic picture
3 / 17
Logical Block Protection Previous results Multithreading Benchmarks Conclusion
Used CRC algorithms
CRC algorithm supported on tapes:
4 / 17
Logical Block Protection Previous results Multithreading Benchmarks Conclusion
Used CRC algorithms
CRC algorithm supported on tapes:
Reed-Solomon
4 / 17
Logical Block Protection Previous results Multithreading Benchmarks Conclusion
Used CRC algorithms
CRC algorithm supported on tapes:
Reed-Solomon
CRC32-C
4 / 17
Logical Block Protection Previous results Multithreading Benchmarks Conclusion
File verification of protection information
5 / 17
Logical Block Protection Previous results Multithreading Benchmarks Conclusion
Previous benchmarks
6 / 17
Logical Block Protection Previous results Multithreading Benchmarks Conclusion
Previous benchmarks
tape-write (no CRC protection)
cca. 250 MB/s
6 / 17
Logical Block Protection Previous results Multithreading Benchmarks Conclusion
Previous benchmarks
tape-write (no CRC protection)
cca. 250 MB/s
tape-write with Reed-Solomon CRC
cca. 130 MB/s
6 / 17
Logical Block Protection Previous results Multithreading Benchmarks Conclusion
Previous benchmarks
tape-write (no CRC protection)
cca. 250 MB/s
tape-write with Reed-Solomon CRC
cca. 130 MB/s
Reed-Solomon CRC with output to /dev/null
cca. 200 MB/s
6 / 17
Logical Block Protection Previous results Multithreading Benchmarks Conclusion
CRC concurrently
CRC computations for every block are independent of one another.
7 / 17
Logical Block Protection Previous results Multithreading Benchmarks Conclusion
CRC concurrently
CRC computations for every block are independent of one another.
Speed can be increased using parallel computing.
7 / 17
Logical Block Protection Previous results Multithreading Benchmarks Conclusion
CRC concurrently
CRC computations for every block are independent of one another.
Speed can be increased using parallel computing.
This technique is applicable for any CRC algorithm!
7 / 17
Logical Block Protection Previous results Multithreading Benchmarks Conclusion
CRC concurrently
CRC computations for every block are independent of one another.
Speed can be increased using parallel computing.
This technique is applicable for any CRC algorithm!
0
5
10
15
20
25
30
50 100 150 200 250 300 350 400 450 500
#threadsneeded
speed of the CRC algorithm (MB/s)
# threads needed to reach 250MB/s drive speed
7 / 17
Logical Block Protection Previous results Multithreading Benchmarks Conclusion
CRC concurrently
Overview
CRCs
Compute
Threads
Input
Ouput
8 / 17
Logical Block Protection Previous results Multithreading Benchmarks Conclusion
Architecture
tpsrv212
Host: tpsrv212.cern.ch
Indexes: physical
Date: mer. 17 sept. 2014 11:30:15 CEST
Machine (16GB)
Socket P#0
L3 (8192KB)
L2 (256KB) L2 (256KB) L2 (256KB) L2 (256KB)
L1d (32KB) L1d (32KB) L1d (32KB) L1d (32KB)
L1i (32KB) L1i (32KB) L1i (32KB) L1i (32KB)
Core P#0 Core P#1 Core P#2 Core P#3
PU P#0
PU P#4
PU P#1
PU P#5
PU P#2
PU P#6
PU P#3
PU P#7
9 / 17
Logical Block Protection Previous results Multithreading Benchmarks Conclusion
Architecture
tpsrv100
Host: tpsrv100.cern.ch
Indexes: physical
Date: mer. 17 sept. 2014 11:31:05 CEST
Machine (63GB)
Socket P#0
L3 (15MB)
L2 (256KB) L2 (256KB) L2 (256KB) L2 (256KB) L2 (256KB) L2 (256KB)
L1d (32KB) L1d (32KB) L1d (32KB) L1d (32KB) L1d (32KB) L1d (32KB)
L1i (32KB) L1i (32KB) L1i (32KB) L1i (32KB) L1i (32KB) L1i (32KB)
Core P#0 Core P#1 Core P#2 Core P#3 Core P#4 Core P#5
PU P#0
PU P#6
PU P#1
PU P#7
PU P#2
PU P#8
PU P#3
PU P#9
PU P#4
PU P#10
PU P#5
PU P#11
10 / 17
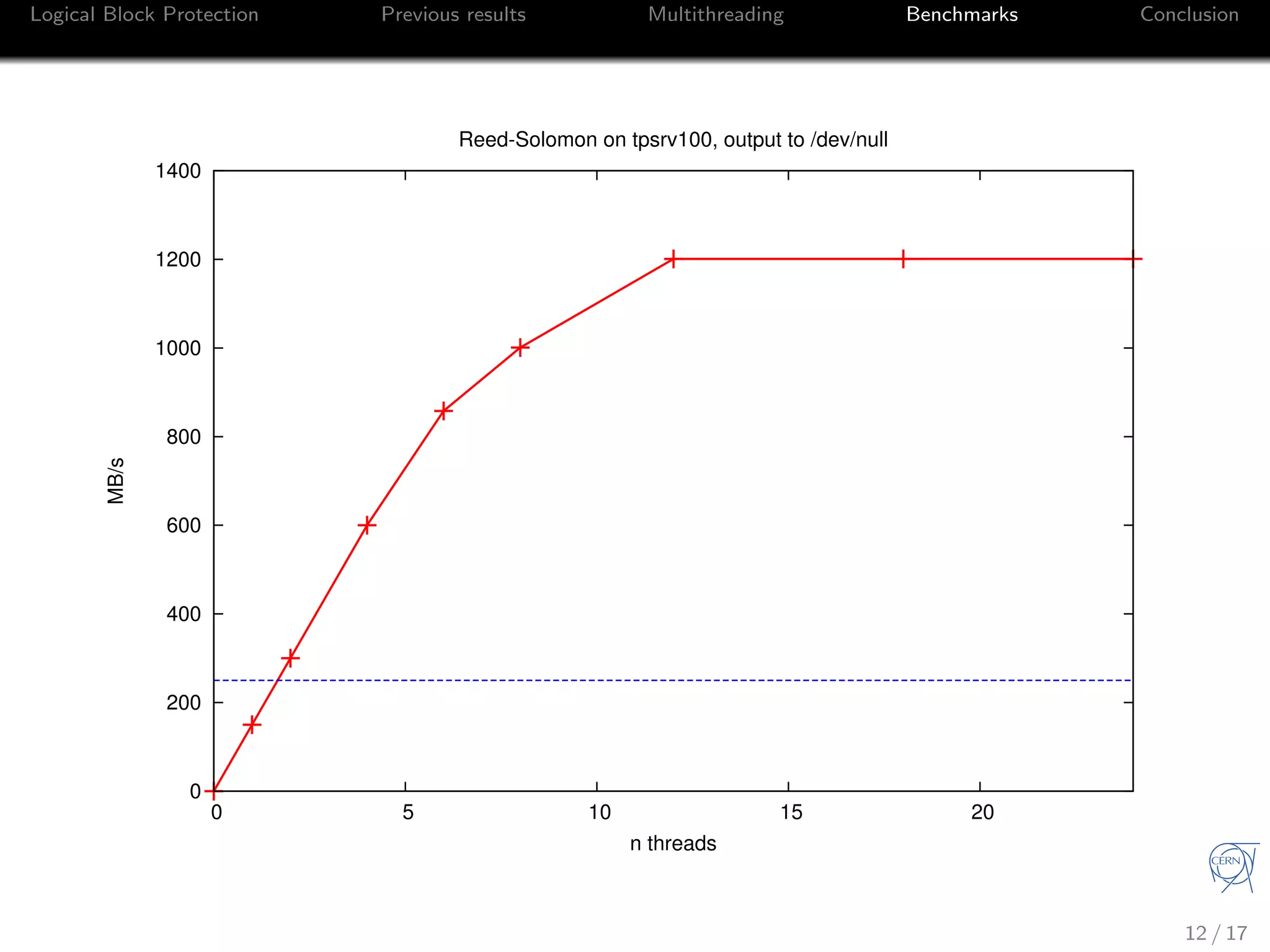
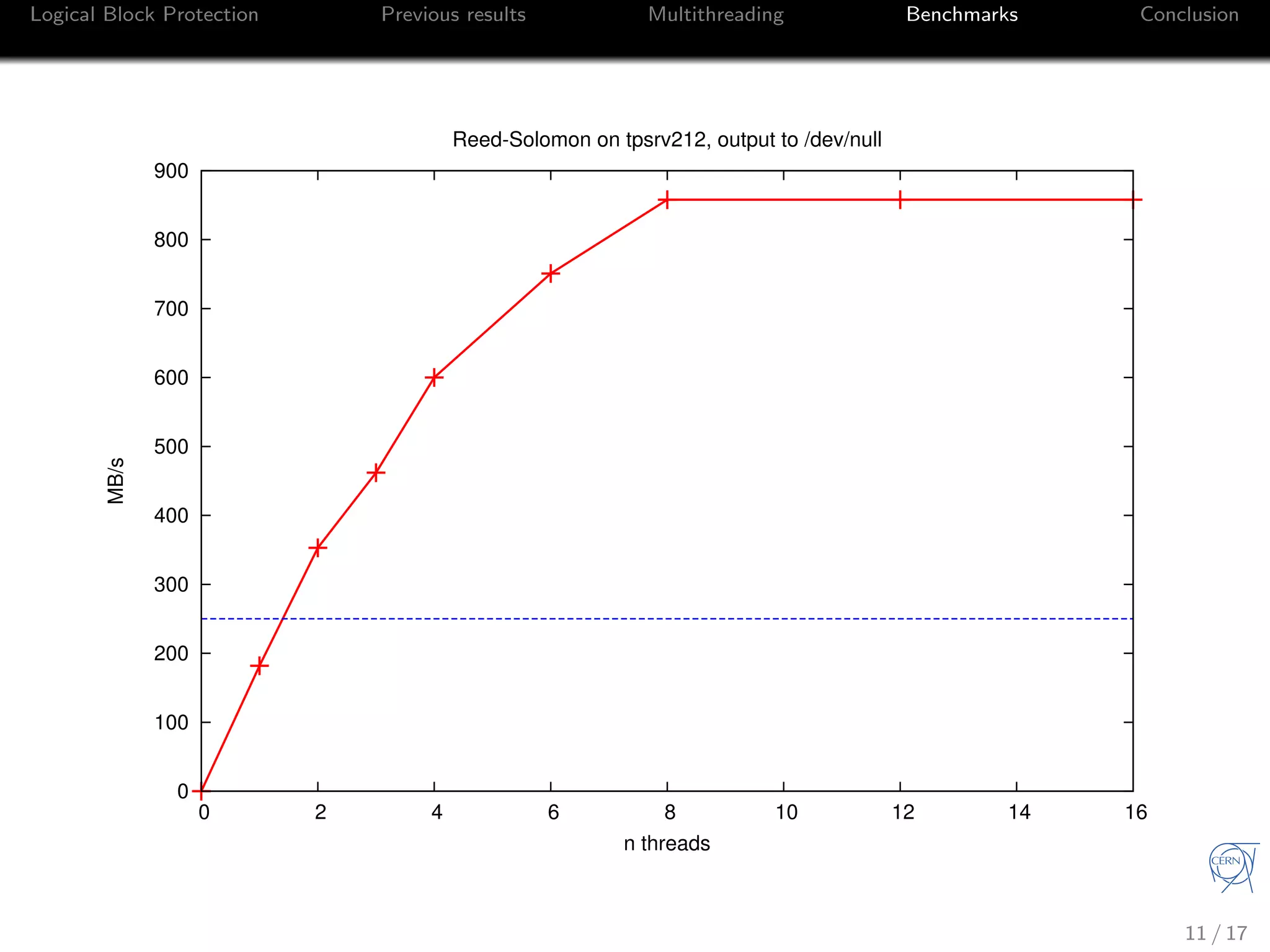
Logical Block Protection Previous results Multithreading Benchmarks Conclusion
0
100
200
300
400
500
600
700
800
900
0 2 4 6 8 10 12 14 16
MB/s
n threads
Reed-Solomon on tpsrv212, output to /dev/null
11 / 17
Logical Block Protection Previous results Multithreading Benchmarks Conclusion
0
200
400
600
800
1000
1200
1400
0 5 10 15 20
MB/s
n threads
Reed-Solomon on tpsrv100, output to /dev/null
12 / 17
Logical Block Protection Previous results Multithreading Benchmarks Conclusion
0
500
1000
1500
2000
2500
0 2 4 6 8 10 12 14 16
MB/s
n threads
CRC32-C on tpsrv212, output to /dev/null
13 / 17
Logical Block Protection Previous results Multithreading Benchmarks Conclusion
0
500
1000
1500
2000
2500
3000
3500
0 5 10 15 20 25 30
MB/s
n threads
CRC32-C on tpsrv100, output to /dev/null
14 / 17
Logical Block Protection Previous results Multithreading Benchmarks Conclusion
0
50
100
150
200
250
300
0 2 4 6 8 10 12 14 16
MB/s
n threads
Reed-Solomon on tpsrv212, output to tape
15 / 17
Logical Block Protection Previous results Multithreading Benchmarks Conclusion
Conclusion
Using only 1-2 additional threads, we are already able to reach
maximum tape speed.
16 / 17
Logical Block Protection Previous results Multithreading Benchmarks Conclusion
Conclusion
Using only 1-2 additional threads, we are already able to reach
maximum tape speed.
And CRC32-C algorithm promises even greater speeds!
16 / 17
Logical Block Protection Previous results Multithreading Benchmarks Conclusion
Thank you!
Merci!
17 / 17

Tape Storage and CRC Protection

  • 1.
    Logical Block ProtectionPrevious results Multithreading Benchmarks Conclusion Tape Storage and CRC Protection Summer Student Project 2014 Karel Ha IT-DSS-TAB CERN 1 / 17
  • 2.
    Logical Block ProtectionPrevious results Multithreading Benchmarks Conclusion Outline 1 Logical Block Protection 2 / 17
  • 3.
    Logical Block ProtectionPrevious results Multithreading Benchmarks Conclusion Outline 1 Logical Block Protection 2 Previous results 2 / 17
  • 4.
    Logical Block ProtectionPrevious results Multithreading Benchmarks Conclusion Outline 1 Logical Block Protection 2 Previous results 3 Multithreading 2 / 17
  • 5.
    Logical Block ProtectionPrevious results Multithreading Benchmarks Conclusion Outline 1 Logical Block Protection 2 Previous results 3 Multithreading 4 Benchmarks 2 / 17
  • 6.
    Logical Block ProtectionPrevious results Multithreading Benchmarks Conclusion Outline 1 Logical Block Protection 2 Previous results 3 Multithreading 4 Benchmarks 5 Conclusion 2 / 17
  • 7.
    Logical Block ProtectionPrevious results Multithreading Benchmarks Conclusion Basic picture 3 / 17
  • 8.
    Logical Block ProtectionPrevious results Multithreading Benchmarks Conclusion Used CRC algorithms CRC algorithm supported on tapes: 4 / 17
  • 9.
    Logical Block ProtectionPrevious results Multithreading Benchmarks Conclusion Used CRC algorithms CRC algorithm supported on tapes: Reed-Solomon 4 / 17
  • 10.
    Logical Block ProtectionPrevious results Multithreading Benchmarks Conclusion Used CRC algorithms CRC algorithm supported on tapes: Reed-Solomon CRC32-C 4 / 17
  • 11.
    Logical Block ProtectionPrevious results Multithreading Benchmarks Conclusion File verification of protection information 5 / 17
  • 12.
    Logical Block ProtectionPrevious results Multithreading Benchmarks Conclusion Previous benchmarks 6 / 17
  • 13.
    Logical Block ProtectionPrevious results Multithreading Benchmarks Conclusion Previous benchmarks tape-write (no CRC protection) cca. 250 MB/s 6 / 17
  • 14.
    Logical Block ProtectionPrevious results Multithreading Benchmarks Conclusion Previous benchmarks tape-write (no CRC protection) cca. 250 MB/s tape-write with Reed-Solomon CRC cca. 130 MB/s 6 / 17
  • 15.
    Logical Block ProtectionPrevious results Multithreading Benchmarks Conclusion Previous benchmarks tape-write (no CRC protection) cca. 250 MB/s tape-write with Reed-Solomon CRC cca. 130 MB/s Reed-Solomon CRC with output to /dev/null cca. 200 MB/s 6 / 17
  • 16.
    Logical Block ProtectionPrevious results Multithreading Benchmarks Conclusion CRC concurrently CRC computations for every block are independent of one another. 7 / 17
  • 17.
    Logical Block ProtectionPrevious results Multithreading Benchmarks Conclusion CRC concurrently CRC computations for every block are independent of one another. Speed can be increased using parallel computing. 7 / 17
  • 18.
    Logical Block ProtectionPrevious results Multithreading Benchmarks Conclusion CRC concurrently CRC computations for every block are independent of one another. Speed can be increased using parallel computing. This technique is applicable for any CRC algorithm! 7 / 17
  • 19.
    Logical Block ProtectionPrevious results Multithreading Benchmarks Conclusion CRC concurrently CRC computations for every block are independent of one another. Speed can be increased using parallel computing. This technique is applicable for any CRC algorithm! 0 5 10 15 20 25 30 50 100 150 200 250 300 350 400 450 500 #threadsneeded speed of the CRC algorithm (MB/s) # threads needed to reach 250MB/s drive speed 7 / 17
  • 20.
    Logical Block ProtectionPrevious results Multithreading Benchmarks Conclusion CRC concurrently Overview CRCs Compute Threads Input Ouput 8 / 17
  • 21.
    Logical Block ProtectionPrevious results Multithreading Benchmarks Conclusion Architecture tpsrv212 Host: tpsrv212.cern.ch Indexes: physical Date: mer. 17 sept. 2014 11:30:15 CEST Machine (16GB) Socket P#0 L3 (8192KB) L2 (256KB) L2 (256KB) L2 (256KB) L2 (256KB) L1d (32KB) L1d (32KB) L1d (32KB) L1d (32KB) L1i (32KB) L1i (32KB) L1i (32KB) L1i (32KB) Core P#0 Core P#1 Core P#2 Core P#3 PU P#0 PU P#4 PU P#1 PU P#5 PU P#2 PU P#6 PU P#3 PU P#7 9 / 17
  • 22.
    Logical Block ProtectionPrevious results Multithreading Benchmarks Conclusion Architecture tpsrv100 Host: tpsrv100.cern.ch Indexes: physical Date: mer. 17 sept. 2014 11:31:05 CEST Machine (63GB) Socket P#0 L3 (15MB) L2 (256KB) L2 (256KB) L2 (256KB) L2 (256KB) L2 (256KB) L2 (256KB) L1d (32KB) L1d (32KB) L1d (32KB) L1d (32KB) L1d (32KB) L1d (32KB) L1i (32KB) L1i (32KB) L1i (32KB) L1i (32KB) L1i (32KB) L1i (32KB) Core P#0 Core P#1 Core P#2 Core P#3 Core P#4 Core P#5 PU P#0 PU P#6 PU P#1 PU P#7 PU P#2 PU P#8 PU P#3 PU P#9 PU P#4 PU P#10 PU P#5 PU P#11 10 / 17
  • 23.
    Logical Block ProtectionPrevious results Multithreading Benchmarks Conclusion 0 100 200 300 400 500 600 700 800 900 0 2 4 6 8 10 12 14 16 MB/s n threads Reed-Solomon on tpsrv212, output to /dev/null 11 / 17
  • 24.
    Logical Block ProtectionPrevious results Multithreading Benchmarks Conclusion 0 200 400 600 800 1000 1200 1400 0 5 10 15 20 MB/s n threads Reed-Solomon on tpsrv100, output to /dev/null 12 / 17
  • 25.
    Logical Block ProtectionPrevious results Multithreading Benchmarks Conclusion 0 500 1000 1500 2000 2500 0 2 4 6 8 10 12 14 16 MB/s n threads CRC32-C on tpsrv212, output to /dev/null 13 / 17
  • 26.
    Logical Block ProtectionPrevious results Multithreading Benchmarks Conclusion 0 500 1000 1500 2000 2500 3000 3500 0 5 10 15 20 25 30 MB/s n threads CRC32-C on tpsrv100, output to /dev/null 14 / 17
  • 27.
    Logical Block ProtectionPrevious results Multithreading Benchmarks Conclusion 0 50 100 150 200 250 300 0 2 4 6 8 10 12 14 16 MB/s n threads Reed-Solomon on tpsrv212, output to tape 15 / 17
  • 28.
    Logical Block ProtectionPrevious results Multithreading Benchmarks Conclusion Conclusion Using only 1-2 additional threads, we are already able to reach maximum tape speed. 16 / 17
  • 29.
    Logical Block ProtectionPrevious results Multithreading Benchmarks Conclusion Conclusion Using only 1-2 additional threads, we are already able to reach maximum tape speed. And CRC32-C algorithm promises even greater speeds! 16 / 17
  • 30.
    Logical Block ProtectionPrevious results Multithreading Benchmarks Conclusion Thank you! Merci! 17 / 17