Cholestrol
Metabolism
By Medical Slides
CHOLESTEROL
1
• Cholesterol is found in animals, therefore
it is called as animal sterol.
Total content of cholesterol in an adult is
around 2 g/kg body weight.
It is amphipathic in nature, (hydrophilic
and hydrophobic).
2020/8/2
Structural
component of cell
membrane.
Fatty acids are
transported to liver
as cholesteryl
esters for oxidation.
Essential ingredient
in the structure of
lipoproteins.
01 02 03 04
Precursor for the
synthesis of all other
steroids in the body.
E.g. steroid hormones,
vitamin D and bile
acids.
Functions Of Cholestrol:
2Synthesis Of
Cholestrol
• All tissues can produce cholesterol. But the largest is produced by:
– Liver (50%), Intestine (15%), Skin, Adrenal
Cortex, Reproductive Tissue etc.
• Enzymes are found: In the cytosol and microsomal fractions of the
cell.
• Acetate of acetyl CoA provides : carbon atoms.
• The reducing equivalents are supplied by NADPH while ATP
provides energy.
• Requirement for the production of 1 mole of cholesterol:
– 18 moles of acetyl CoA
– 36 moles of ATP
– 16 moles of NADPH.
Cholestrol Biosynthesis:
5 Stages Of Cholestrol Synthesis:
Production of
isoprenoid units
(5C)
Synthesis of
squalene (30C)
Formation of
mevalonate (6C)
Synthesis of HMG
CoA
02
01
03
04 05
Conversion of
squalene to
cholesterol (27C)
• Two moles of acetyl CoA condense to form acetoacetyl CoA.
Another molecule of acetyl CoA is then added to produce HMG
CoA.
• Cholesterol synthesis occurs in cytosol.
• Two isoenzymes of HMG CoA synthase are known.
 Cytosomal enzyme: for cholesterol synthesis
 Mitochondrial enzyme: for ketone body synthesis
1.Synthesis of β-hydroxy β -methylglutaryl CoA (HMGCoA):
2020/8/2
• HMG CoA reductase is the rate limiting enzyme in
cholesterol biosynthesis.
• This enzyme is present in endoplasmic reticulum and catalyses the
reduction of HMG CoA to mevalonate.
• The reducing equivalents are supplied by NADPH.
2. Formation of mevalonate:
2020/8/2
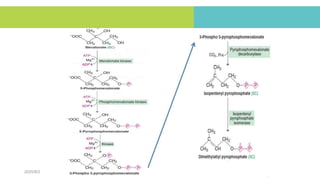
• 3 step reaction catalysed by kinases, mevalonate is converted to 3-
phospho 5 pyrophosphomevalonate which on decarboxylation
forms isopentenyl pyrophosphate (IPP).
• The latter isomerizes to dimethylallyl pyrophosphate (DPP).
• Both IPP and DPP are 5-carbon isoprenoid units.
3.Production of isoprenoid units:
2020/8/2
• IPP and DPP condense to produce a 10-carbon geranyl
pyrophosphate (GPP).
• Another molecule of IPP condenses with GPP to form a 15-carbon
farnesyl pyrophosphate (FPP).
• Two units of farnesyl pyrophosphate unite and get reduced to
produce a 30-carbon squalene.
4. S y n t h e s i s O f S q u e l e n e :
2020/8/2
• Squalene undergoes hydroxylation and cyclization utilizing O2 and
NADPH and gets converted to lanosterol.
• The formation of cholesterol from lanosterol is a multistep process
with a series of about 19 enzymatic reactions.
• The following are the most important reactions:
– Reducing the carbon atoms from 30 to 27.
– Removal of two methyl groups from C4 and one methyl group
from C14.
– Shift of double bond from C8 to C5.
– Reduction in the double bond present between C24 and C25.
• 14- Desmethyl lanosterol, zymosterol, cholestadienol and
desmosterol: Intermediates in the cholesterol biosynthesis.
• The penultimate product is 7-dehydrocholesterol which, on
reduction, finally yields cholesterol.
5. C onversion of squalene to cholesterol:
2020/8/2
2020/8/2
Outline Of Cholestrol Synthesis
The bile acids possess 24 carbon atoms, 2 or 3 hydroxyl groups in the
steroid nucleus and a side chain ending in carboxyl group.
The bile acids are amphipathic in nature.
They serve as emulsifying agents in the intestine and helps in the
digestion and absorption of lipids.
The synthesis takes place in the liver.
• The step catalysed by 7 α-hydroxylase is the rate limiting reaction.
And the reaction is inhibited by bile acids.
• Cholic acid and chenodeoxycholic acid are the primary bile acids.
Synthesis Of Bilesacids From Cholestrol:
• On conjugation with glycine or taurine, conjugated bile acids
(glycocholic acid, taurocholic acid etc.) are formed .
• In the bile, the conjugated bile acids exist as sodium and
potassium salts which are known as bile salts.
In the intestine, a portion of primary bile acids undergoes
deconjugation and dehydroxylation to form secondary bile acids
(deoxycholic acid and lithocholic acid).
These reactions are catalysed by bacterial enzymes in the
intestine.
Synthesis Of Bilesacids From Cholestrol:
2020/8/2
Cholesterol is the precursor for the
synthesis of all the five classes of
steroid hormones
(a)Glucocorticoids (e.g. cortisol)
(b)Mineralocorticoids (e.g.
aldosterone)
(c)Progestins (e.g. progesterone)
(d)Androgens (e.g. testosterone)
(e)Estrogens (e.g. estradiol).
Synthesis Of Steroid Harmone From Cholestrol:
2020/8/2
2020/8/2
• 7-Dehydrocholesterol, an
intermediate in the synthesis of
cholesterol, is converted to
cholecalciferol (vitamin D3) by
ultraviolet rays in the skin.
Synthesis Of Vitamin D:
3Clinical Significance
• Biochmistry of Cholesterol is a wax like
nature that has tendency to stick in the
vessels. The Atherosclerosis is the
disease process in which cholesterol is
deposited in the intima of small artries
especially carotid and coronary artries
owing to unknown reason causing the
narrowing of artries and subsequen MI
and Stroke.
• It is the decreased level of circulating
LDL-Cholesterol in the blood. It could
be the result of
Malnutrition,Malabsorption,Malignancy,
Haemorrhage, Hyperthyroidism,lipid
lowring drugs, old age. It is diagnosed
by Lipid profile and treated according
to cause/reason.
Hypocholestrolemia:
• It is increased level of circulating blood cholesterol. It is of two
types
1. Hereditary: In this disorder LDL receptors are absent on the liver
resulting in the failure of LDL particles from circulation. It is
characterized by premature atherosclerosis,Obesity,gall stones
(i-e in young age).Diagnosed by Lipid profile treated by
lifestyle,dietary restrictions and lipid lowring drugs.
2. Acquired: It is due to High fat diet, High carb and sugary diet,
lack of excersie, Hypothyroidism,Daibetes Mellitus. It is
characterized by Atherosclerosis, Obesity, Gall stones in midlle
and/or old age. It is diagnosed and treated as above.
Hypercholestrolemia:
By Medical Slides
Thanks !

Cholestrol metabolism

  • 1.
  • 2.
  • 3.
    • Cholesterol isfound in animals, therefore it is called as animal sterol. Total content of cholesterol in an adult is around 2 g/kg body weight. It is amphipathic in nature, (hydrophilic and hydrophobic). 2020/8/2
  • 4.
    Structural component of cell membrane. Fattyacids are transported to liver as cholesteryl esters for oxidation. Essential ingredient in the structure of lipoproteins. 01 02 03 04 Precursor for the synthesis of all other steroids in the body. E.g. steroid hormones, vitamin D and bile acids. Functions Of Cholestrol:
  • 5.
  • 6.
    • All tissuescan produce cholesterol. But the largest is produced by: – Liver (50%), Intestine (15%), Skin, Adrenal Cortex, Reproductive Tissue etc. • Enzymes are found: In the cytosol and microsomal fractions of the cell. • Acetate of acetyl CoA provides : carbon atoms. • The reducing equivalents are supplied by NADPH while ATP provides energy. • Requirement for the production of 1 mole of cholesterol: – 18 moles of acetyl CoA – 36 moles of ATP – 16 moles of NADPH. Cholestrol Biosynthesis:
  • 7.
    5 Stages OfCholestrol Synthesis: Production of isoprenoid units (5C) Synthesis of squalene (30C) Formation of mevalonate (6C) Synthesis of HMG CoA 02 01 03 04 05 Conversion of squalene to cholesterol (27C)
  • 8.
    • Two molesof acetyl CoA condense to form acetoacetyl CoA. Another molecule of acetyl CoA is then added to produce HMG CoA. • Cholesterol synthesis occurs in cytosol. • Two isoenzymes of HMG CoA synthase are known.  Cytosomal enzyme: for cholesterol synthesis  Mitochondrial enzyme: for ketone body synthesis 1.Synthesis of β-hydroxy β -methylglutaryl CoA (HMGCoA):
  • 9.
  • 10.
    • HMG CoAreductase is the rate limiting enzyme in cholesterol biosynthesis. • This enzyme is present in endoplasmic reticulum and catalyses the reduction of HMG CoA to mevalonate. • The reducing equivalents are supplied by NADPH. 2. Formation of mevalonate:
  • 11.
  • 12.
    • 3 stepreaction catalysed by kinases, mevalonate is converted to 3- phospho 5 pyrophosphomevalonate which on decarboxylation forms isopentenyl pyrophosphate (IPP). • The latter isomerizes to dimethylallyl pyrophosphate (DPP). • Both IPP and DPP are 5-carbon isoprenoid units. 3.Production of isoprenoid units:
  • 13.
  • 14.
    • IPP andDPP condense to produce a 10-carbon geranyl pyrophosphate (GPP). • Another molecule of IPP condenses with GPP to form a 15-carbon farnesyl pyrophosphate (FPP). • Two units of farnesyl pyrophosphate unite and get reduced to produce a 30-carbon squalene. 4. S y n t h e s i s O f S q u e l e n e :
  • 15.
  • 16.
    • Squalene undergoeshydroxylation and cyclization utilizing O2 and NADPH and gets converted to lanosterol. • The formation of cholesterol from lanosterol is a multistep process with a series of about 19 enzymatic reactions. • The following are the most important reactions: – Reducing the carbon atoms from 30 to 27. – Removal of two methyl groups from C4 and one methyl group from C14. – Shift of double bond from C8 to C5. – Reduction in the double bond present between C24 and C25. • 14- Desmethyl lanosterol, zymosterol, cholestadienol and desmosterol: Intermediates in the cholesterol biosynthesis. • The penultimate product is 7-dehydrocholesterol which, on reduction, finally yields cholesterol. 5. C onversion of squalene to cholesterol:
  • 17.
  • 18.
  • 19.
    The bile acidspossess 24 carbon atoms, 2 or 3 hydroxyl groups in the steroid nucleus and a side chain ending in carboxyl group. The bile acids are amphipathic in nature. They serve as emulsifying agents in the intestine and helps in the digestion and absorption of lipids. The synthesis takes place in the liver. • The step catalysed by 7 α-hydroxylase is the rate limiting reaction. And the reaction is inhibited by bile acids. • Cholic acid and chenodeoxycholic acid are the primary bile acids. Synthesis Of Bilesacids From Cholestrol:
  • 20.
    • On conjugationwith glycine or taurine, conjugated bile acids (glycocholic acid, taurocholic acid etc.) are formed . • In the bile, the conjugated bile acids exist as sodium and potassium salts which are known as bile salts. In the intestine, a portion of primary bile acids undergoes deconjugation and dehydroxylation to form secondary bile acids (deoxycholic acid and lithocholic acid). These reactions are catalysed by bacterial enzymes in the intestine. Synthesis Of Bilesacids From Cholestrol:
  • 21.
  • 22.
    Cholesterol is theprecursor for the synthesis of all the five classes of steroid hormones (a)Glucocorticoids (e.g. cortisol) (b)Mineralocorticoids (e.g. aldosterone) (c)Progestins (e.g. progesterone) (d)Androgens (e.g. testosterone) (e)Estrogens (e.g. estradiol). Synthesis Of Steroid Harmone From Cholestrol:
  • 23.
  • 24.
  • 25.
    • 7-Dehydrocholesterol, an intermediatein the synthesis of cholesterol, is converted to cholecalciferol (vitamin D3) by ultraviolet rays in the skin. Synthesis Of Vitamin D:
  • 26.
  • 27.
    • Biochmistry ofCholesterol is a wax like nature that has tendency to stick in the vessels. The Atherosclerosis is the disease process in which cholesterol is deposited in the intima of small artries especially carotid and coronary artries owing to unknown reason causing the narrowing of artries and subsequen MI and Stroke.
  • 28.
    • It isthe decreased level of circulating LDL-Cholesterol in the blood. It could be the result of Malnutrition,Malabsorption,Malignancy, Haemorrhage, Hyperthyroidism,lipid lowring drugs, old age. It is diagnosed by Lipid profile and treated according to cause/reason. Hypocholestrolemia:
  • 29.
    • It isincreased level of circulating blood cholesterol. It is of two types 1. Hereditary: In this disorder LDL receptors are absent on the liver resulting in the failure of LDL particles from circulation. It is characterized by premature atherosclerosis,Obesity,gall stones (i-e in young age).Diagnosed by Lipid profile treated by lifestyle,dietary restrictions and lipid lowring drugs. 2. Acquired: It is due to High fat diet, High carb and sugary diet, lack of excersie, Hypothyroidism,Daibetes Mellitus. It is characterized by Atherosclerosis, Obesity, Gall stones in midlle and/or old age. It is diagnosed and treated as above. Hypercholestrolemia:
  • 30.