Download free for 30 days
Sign in
Upload
Language (EN)
Support
Business
Mobile
Social Media
Marketing
Technology
Art & Photos
Career
Design
Education
Presentations & Public Speaking
Government & Nonprofit
Healthcare
Internet
Law
Leadership & Management
Automotive
Engineering
Software
Recruiting & HR
Retail
Sales
Services
Science
Small Business & Entrepreneurship
Food
Environment
Economy & Finance
Data & Analytics
Investor Relations
Sports
Spiritual
News & Politics
Travel
Self Improvement
Real Estate
Entertainment & Humor
Health & Medicine
Devices & Hardware
Lifestyle
Change Language
Language
English
Español
Português
Français
Deutsche
Cancel
Save
Submit search
EN
Uploaded by
schibu20
147 views
Ch02 24
Read more
0
Save
Share
Embed
Embed presentation
Download
Download to read offline
1
/ 2
2
/ 2
More Related Content
PDF
Ch02 23
by
schibu20
PDF
Càlcul numèric nombres enters
by
rrodri83
PPT
Latihan integral parsial
by
FithriFitrianii Al-Khwarizmi
PDF
Limites RESUELTOS
by
Educación
DOCX
Contoh Soal Fungsi (Operasi Aljabar dan Komposisi Fungsi)
by
siska sri asali
PDF
Solving multi step equations
by
Huron School District
PDF
Ch11 25
by
schibu20
PDF
RationalExpressionsReview.pdf
by
bwlomas
Ch02 23
by
schibu20
Càlcul numèric nombres enters
by
rrodri83
Latihan integral parsial
by
FithriFitrianii Al-Khwarizmi
Limites RESUELTOS
by
Educación
Contoh Soal Fungsi (Operasi Aljabar dan Komposisi Fungsi)
by
siska sri asali
Solving multi step equations
by
Huron School District
Ch11 25
by
schibu20
RationalExpressionsReview.pdf
by
bwlomas
What's hot
PDF
Martes 11 tareaa
by
Fabian Muñoz
PPTX
Factorizacion
by
Abraham Aranda
PDF
Adding+Subtracting Polynomials
by
mlynczyk
PDF
Lista 1 distributivas
by
Uniengenheiros2011
PDF
Solution game 3eso_-_equation_sheet_with_denominators
by
alzambra
PDF
Ejercicios resueltos polinomios
by
Carina del Milagro Ruiz
PDF
Multiplying Polynomials
by
mlynczyk
PDF
Práctica de ecuaciones de primer grado con una incógnita_prof.grettel...
by
Prof.Grettel _mate
PDF
Ejercicios inecuaciones
by
IES, ALBORÁN
PDF
Introducción a los límites con geogebra
by
Mario Suárez
PDF
203 bai-tap-gioi-han-www.mathvn.com
by
kim24101996
PDF
Práctica de operaciones con fracciones complejas
by
Prof.Grettel _mate
DOCX
Ejercicios de limites
by
Yinezkha Jimenez Jimenez
PDF
Ejercicio6
by
Miguel Silva
PDF
Max1
by
orestes
DOCX
Trabajo colaborativo tres_algebra
by
Juan Carlos Restrepo
DOCX
Factorizacion ejercicios
by
Edgar Sanchez
PDF
Limit fungsi-soal-jawab1
by
nadiahbsa
PPT
Synthetic Division of Polynomials
by
Rebekah Andrea Fullido
DOCX
Ejercicios de cálculo diferencial
by
David Pèrez
Martes 11 tareaa
by
Fabian Muñoz
Factorizacion
by
Abraham Aranda
Adding+Subtracting Polynomials
by
mlynczyk
Lista 1 distributivas
by
Uniengenheiros2011
Solution game 3eso_-_equation_sheet_with_denominators
by
alzambra
Ejercicios resueltos polinomios
by
Carina del Milagro Ruiz
Multiplying Polynomials
by
mlynczyk
Práctica de ecuaciones de primer grado con una incógnita_prof.grettel...
by
Prof.Grettel _mate
Ejercicios inecuaciones
by
IES, ALBORÁN
Introducción a los límites con geogebra
by
Mario Suárez
203 bai-tap-gioi-han-www.mathvn.com
by
kim24101996
Práctica de operaciones con fracciones complejas
by
Prof.Grettel _mate
Ejercicios de limites
by
Yinezkha Jimenez Jimenez
Ejercicio6
by
Miguel Silva
Max1
by
orestes
Trabajo colaborativo tres_algebra
by
Juan Carlos Restrepo
Factorizacion ejercicios
by
Edgar Sanchez
Limit fungsi-soal-jawab1
by
nadiahbsa
Synthetic Division of Polynomials
by
Rebekah Andrea Fullido
Ejercicios de cálculo diferencial
by
David Pèrez
Similar to Ch02 24
PDF
Guia2 mat1-2011
by
Joel Garcia
PDF
Tarea 2
by
Mynor Hernandez
PDF
Polinomios+fracciones algebraicas
by
klorofila
PDF
TALLER De ley de signos
by
Jorge Enrique Granados Dìaz
PDF
EJERCICIOS DE OPERACIONES COMBINADAS CON NÚMEROS ENTEROS
by
Educación
PDF
Phương pháp ép tích,
by
nam nam
DOC
Ejercicios de limites 01
by
Jorge Ortiz
DOC
Ejercicios de limites 01
by
Jorge Ortiz
PDF
Ejercicios del libro de algebra intermedia y baldor3
by
Alexis Daniel Landero Herrera
PDF
Ejercicios del libro de algebra intermedia y baldor
by
Alexis Daniel Landero Herrera
PDF
EJERCISIOS PALAFOXC /7-21/
by
Neftali Acosta
PDF
Ejercisios Miss Palafox
by
Neftalí Martinez Karamazov
DOC
020 limites de funciones
by
Alex Perez
DOCX
Casos de factorizacion 1
by
elnachooo
PPTX
SUEC 高中 Adv Maths (Linear Equation in 3 Variables).pptx
by
tungwc
PDF
Math ej 38 39 49
by
Neftali Acosta
PDF
ALGEBRA de Baldor
by
Gabriel Capelo
PDF
Sol bal
by
crisamrios
PDF
Solucionario de Baldor
by
Daniela Marizande
PDF
Algebra de baldor ejercicios resueltos
by
Victor Miguel Marroquin Diaz
Guia2 mat1-2011
by
Joel Garcia
Tarea 2
by
Mynor Hernandez
Polinomios+fracciones algebraicas
by
klorofila
TALLER De ley de signos
by
Jorge Enrique Granados Dìaz
EJERCICIOS DE OPERACIONES COMBINADAS CON NÚMEROS ENTEROS
by
Educación
Phương pháp ép tích,
by
nam nam
Ejercicios de limites 01
by
Jorge Ortiz
Ejercicios de limites 01
by
Jorge Ortiz
Ejercicios del libro de algebra intermedia y baldor3
by
Alexis Daniel Landero Herrera
Ejercicios del libro de algebra intermedia y baldor
by
Alexis Daniel Landero Herrera
EJERCISIOS PALAFOXC /7-21/
by
Neftali Acosta
Ejercisios Miss Palafox
by
Neftalí Martinez Karamazov
020 limites de funciones
by
Alex Perez
Casos de factorizacion 1
by
elnachooo
SUEC 高中 Adv Maths (Linear Equation in 3 Variables).pptx
by
tungwc
Math ej 38 39 49
by
Neftali Acosta
ALGEBRA de Baldor
by
Gabriel Capelo
Sol bal
by
crisamrios
Solucionario de Baldor
by
Daniela Marizande
Algebra de baldor ejercicios resueltos
by
Victor Miguel Marroquin Diaz
More from schibu20
PDF
Ch39 23
by
schibu20
PDF
Ch39 20
by
schibu20
PDF
Ch39 17
by
schibu20
PDF
Ch39 15
by
schibu20
PDF
Ch39 11
by
schibu20
PDF
Ch38 35
by
schibu20
PDF
Ch38 31
by
schibu20
PDF
Ch38 26
by
schibu20
PDF
Ch38 24
by
schibu20
PDF
Ch38 22
by
schibu20
PDF
Ch38 19
by
schibu20
PDF
Ch38 17
by
schibu20
PDF
Ch38 15
by
schibu20
PDF
Ch37 34
by
schibu20
PDF
Ch37 29
by
schibu20
PDF
Ch37 28
by
schibu20
PDF
Ch37 25
by
schibu20
PDF
Ch37 23
by
schibu20
PDF
Ch37 19
by
schibu20
PDF
Ch37 16
by
schibu20
Ch39 23
by
schibu20
Ch39 20
by
schibu20
Ch39 17
by
schibu20
Ch39 15
by
schibu20
Ch39 11
by
schibu20
Ch38 35
by
schibu20
Ch38 31
by
schibu20
Ch38 26
by
schibu20
Ch38 24
by
schibu20
Ch38 22
by
schibu20
Ch38 19
by
schibu20
Ch38 17
by
schibu20
Ch38 15
by
schibu20
Ch37 34
by
schibu20
Ch37 29
by
schibu20
Ch37 28
by
schibu20
Ch37 25
by
schibu20
Ch37 23
by
schibu20
Ch37 19
by
schibu20
Ch37 16
by
schibu20
Ch02 24
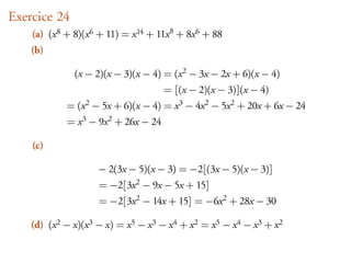
1.
Exercice 24
(a) (x 8 + 8)(x 6 + 11) = x 14 + 11x 8 + 8x 6 + 88 (b) (x − 2)(x − 3)(x − 4) = (x 2 − 3x − 2x + 6)(x − 4) = [(x − 2)(x − 3)](x − 4) = (x 2 − 5x + 6)(x − 4) = x 3 − 4x 2 − 5x 2 + 20x + 6x − 24 = x 3 − 9x 2 + 26x − 24 (c) − 2(3x − 5)(x − 3) = −2[(3x − 5)(x − 3)] = −2[3x 2 − 9x − 5x + 15] = −2[3x 2 − 14x + 15] = −6x 2 + 28x − 30 (d) (x 2 − x)(x 3 − x) = x 5 − x 3 − x 4 + x 2 = x 5 − x 4 − x 3 + x 2
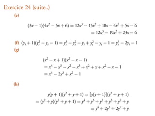
2.
Exercice 24 (suite..)
(e) (3x − 1)(4x 2 − 5x + 6) = 12x 3 − 15x 2 + 18x − 4x 2 + 5x − 6 = 12x 3 − 19x 2 + 23x − 6 (f) (yt + 1)(y2 − yt − 1) = y3 − y2 − yt + y2 − yt − 1 = y3 − 2yt − 1 t t t t t (g) (x 2 − x + 1)(x 2 − x − 1) = x4 − x3 − x2 − x3 + x2 + x + x2 − x − 1 = x 4 − 2x 3 + x 2 − 1 (h) y(y + 1)(y2 + y + 1) = [y(y + 1)](y2 + y + 1) = (y2 + y)(y2 + y + 1) = y4 + y3 + y2 + y3 + y2 + y = y4 + 2y3 + 2y2 + y
Download