Download free for 30 days
Sign in
Upload
Language (EN)
Support
Business
Mobile
Social Media
Marketing
Technology
Art & Photos
Career
Design
Education
Presentations & Public Speaking
Government & Nonprofit
Healthcare
Internet
Law
Leadership & Management
Automotive
Engineering
Software
Recruiting & HR
Retail
Sales
Services
Science
Small Business & Entrepreneurship
Food
Environment
Economy & Finance
Data & Analytics
Investor Relations
Sports
Spiritual
News & Politics
Travel
Self Improvement
Real Estate
Entertainment & Humor
Health & Medicine
Devices & Hardware
Lifestyle
Change Language
Language
English
Español
Português
Français
Deutsche
Cancel
Save
Submit search
EN
Uploaded by
schibu20
98 views
Ch11 25
Read more
0
Save
Share
Embed
Embed presentation
Download
Download to read offline
1
/ 1
More Related Content
PDF
Ejercicios resueltos polinomios
by
Carina del Milagro Ruiz
PPT
Latihan integral parsial
by
FithriFitrianii Al-Khwarizmi
PDF
Limites RESUELTOS
by
Educación
DOCX
Factorizacion ejercicios
by
Edgar Sanchez
PDF
203 bai-tap-gioi-han-www.mathvn.com
by
kim24101996
PDF
Ch02 24
by
schibu20
PDF
Ejercicio6
by
Miguel Silva
PPTX
Factorizacion
by
Abraham Aranda
Ejercicios resueltos polinomios
by
Carina del Milagro Ruiz
Latihan integral parsial
by
FithriFitrianii Al-Khwarizmi
Limites RESUELTOS
by
Educación
Factorizacion ejercicios
by
Edgar Sanchez
203 bai-tap-gioi-han-www.mathvn.com
by
kim24101996
Ch02 24
by
schibu20
Ejercicio6
by
Miguel Silva
Factorizacion
by
Abraham Aranda
What's hot
PDF
Factorización
by
Jose Castellar
PDF
Solution game 3eso_-_equation_sheet_with_denominators
by
alzambra
PDF
Limit fungsi-soal-jawab1
by
nadiahbsa
PDF
RationalExpressionsReview.pdf
by
bwlomas
PDF
Práctica de operaciones con fracciones complejas
by
Prof.Grettel _mate
PDF
Ecuacionestrigono
by
rjaimeramos
PDF
Ejercicios inecuaciones
by
IES, ALBORÁN
PDF
Solving multi step equations
by
Huron School District
DOC
Ejercicios de limites 01
by
Jorge Ortiz
DOCX
Ejercicios de limites
by
Yinezkha Jimenez Jimenez
PDF
Introducción a los límites con geogebra
by
Mario Suárez
PDF
Martes 11 tareaa
by
Fabian Muñoz
PDF
Polinomios+fracciones algebraicas
by
klorofila
PDF
Max1
by
orestes
DOC
Ejercicios de limites 01
by
Jorge Ortiz
DOC
Ej. ecuaciones
by
Matemolivares1
PDF
Ejercicio3
by
Miguel Silva
DOCX
Casos de factorizacion 1
by
elnachooo
PDF
MM 201 limites_trigonometricos
by
cruzcarlosmath
PDF
Mm 201 regla_de_lhospital
by
cruzcarlosmath
Factorización
by
Jose Castellar
Solution game 3eso_-_equation_sheet_with_denominators
by
alzambra
Limit fungsi-soal-jawab1
by
nadiahbsa
RationalExpressionsReview.pdf
by
bwlomas
Práctica de operaciones con fracciones complejas
by
Prof.Grettel _mate
Ecuacionestrigono
by
rjaimeramos
Ejercicios inecuaciones
by
IES, ALBORÁN
Solving multi step equations
by
Huron School District
Ejercicios de limites 01
by
Jorge Ortiz
Ejercicios de limites
by
Yinezkha Jimenez Jimenez
Introducción a los límites con geogebra
by
Mario Suárez
Martes 11 tareaa
by
Fabian Muñoz
Polinomios+fracciones algebraicas
by
klorofila
Max1
by
orestes
Ejercicios de limites 01
by
Jorge Ortiz
Ej. ecuaciones
by
Matemolivares1
Ejercicio3
by
Miguel Silva
Casos de factorizacion 1
by
elnachooo
MM 201 limites_trigonometricos
by
cruzcarlosmath
Mm 201 regla_de_lhospital
by
cruzcarlosmath
More from schibu20
PDF
Ch37 25
by
schibu20
PDF
Ch38 35
by
schibu20
PDF
Ch39 20
by
schibu20
PDF
Ch38 19
by
schibu20
PDF
Ch37 29
by
schibu20
PDF
Ch39 23
by
schibu20
PDF
Ch37 23
by
schibu20
PDF
Ch39 15
by
schibu20
PDF
Ch38 22
by
schibu20
PDF
Ch37 19
by
schibu20
PDF
Ch37 16
by
schibu20
PDF
Ch38 15
by
schibu20
PDF
Ch38 31
by
schibu20
PDF
Ch37 34
by
schibu20
PDF
Ch38 17
by
schibu20
PDF
Ch37 28
by
schibu20
PDF
Ch38 24
by
schibu20
PDF
Ch39 11
by
schibu20
PDF
Ch38 26
by
schibu20
PDF
Ch39 17
by
schibu20
Ch37 25
by
schibu20
Ch38 35
by
schibu20
Ch39 20
by
schibu20
Ch38 19
by
schibu20
Ch37 29
by
schibu20
Ch39 23
by
schibu20
Ch37 23
by
schibu20
Ch39 15
by
schibu20
Ch38 22
by
schibu20
Ch37 19
by
schibu20
Ch37 16
by
schibu20
Ch38 15
by
schibu20
Ch38 31
by
schibu20
Ch37 34
by
schibu20
Ch38 17
by
schibu20
Ch37 28
by
schibu20
Ch38 24
by
schibu20
Ch39 11
by
schibu20
Ch38 26
by
schibu20
Ch39 17
by
schibu20
Ch11 25
1.
Exercice 25
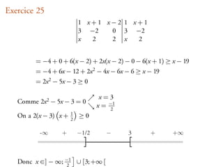
1 x+1 x−2 1 x+1 3 −2 0 3 −2 x 2 2 x 2 = −4 + 0 + 6(x − 2) + 2x(x − 2) − 0 − 6(x + 1) ≥ x − 19 = −4 + 6x − 12 + 2x 2 − 4x − 6x − 6 ≥ x − 19 = 2x 2 − 5x − 3 ≥ 0 x=3 Comme 2x 2 − 5x − 3 = 0 x = −1 2 On a 2(x − 3) x + 1 2 ≥0 -¥ + -1/2 - 3 + +¥ Donc x ∈] − ∞; −1 ∪ [3; +∞ [ 2
Download