Case control study - Part 2

Dr. Rizwan S A, M.D.,
Outline






Basic Concepts in the Assessment of Risk
Sample Size
Basic Method of Analysis
Multivariate Analysis
Nested Case-Control
Basic Concepts in the Assessment of
Risk
Disease Occurrence
 Relative Measures of Disease Occurrence
 Cohort and Case-Control Sampling Schemes
 Risk of Disease Attributable to Exposure
 Exposure
 Interpretation of Relative Risk
 Cumulative Risk of Disease
 Association and Testing for Significance
 Relative Risk as a measure of the Strength Of
Association
 Confounding
 Interaction
 Summary

Disease Occurrence
•

Cumulative Incidence
Number of persons with disease onset during a specified
period
Number of persons at risk in the beginning of the period
• Incidence Rate
Number of new disease events in a specified period
The sum of the subjects disease free time of follow up during
this period
• Prevalence
Number of persons with a disease at a certain point intime
Number of persons in the population at that point in time
Relative Measures of Disease Occurrence


Relative Risk: the ratio of the risk of disease in exposed
individuals to the risk of disease in non exposed
individuals.

Odds Ratio Ψ
The odds of an event can be defined as the ratio of the
number of ways the event can occur to the number of
ways the event cannot occur
Case Control study can’t determine IR of disease ass. with
+/- study exposure ,it can estimate the ratio of IR (RR)
in terms of Odds Ratio
•
Figure A, Odds ratio (OR) in a cohort study. B Odds ratio (OR) in a case-control study.
When Odds ratio a good estimate of
RR?
1. When the cases studied are representative, with regard to
history of exposure, of all people with the disease in the
population from which the cases were drawn.
2. When the controls studied are representative, with regard to
history of exposure, of all people without the disease in the
population from which the cases were drawn.
3. When the disease being studied does not occur frequently.
The odds ratio is a good estimate of the
relative risk when a disease is infrequent.

The odds ratio is not a good
estimate of relative risk when a
disease is not infrequent.
Table
Cohort Sampling-Table


The incidence rates/relative risk/odds of dis. among
exposed /non exposed estimated from sample agree with
the values in target population but odds of exposure are
different in both.
Case-Control sampling-Table


The proportion of incident cases among exposed /non
exposed individual in sample is different from target
population , but odds of exposure are same
Risk of Disease Attributable to Exposure
Q.How much of the disease that occurs can be attributed to
a certain exposure?
A.The attributable risk,defined as the amount or proportion
of disease incidence (or disease risk) that can be
attributed to a specific exposure(δ)
OR
δ=p1-p2 =(R-1)p2≈(Ψ-1)p2
Exposure-Specific Risk
IR for entire populations (p) are a weighted avg. of ExposureSpecific rates p1 and p2,
 pe=M1/N
 p=N1/N
 p=p1pe +p2(1-pe)
 p1=Rp2
 p2=p/{Rpe+(1-pe)}
 p̂2 = ̂p/{ ̂Ψ ̂pe+(1-̂pe)}
 P̂1= ̂Ψp̂2
 P(D/Ei)=P(Ei/D)P(D)/ P(Ei/D)P(D)+P(Ei/D̅)P(D̅)
The exp-sp prob of dis. can be determined given estimate of
overall probability of dis and proportion of cases and controls
in ith exp category.
Etiologic Fraction –Table1
λ =proportion of all cases in the target population
attributable to exposure.
 λ =N1-Np2/N1
 λ= pe(R-1)/[pe(R-1)+1]
 eg-Table
 p2=p(1- λ); p1= Rp(1- λ)

Exposure-table
Intensity dimension
 Time dimension
 Estimation of Population Exposure Rate From Control
Series


 Control series must be representative of individual without dis. In
target population
 Dis. must be rare.

Unconditional prob of ex in target population=weighted
avg of cond.prob of ex among dis. and non-dis.
P(E)= P(E/D)P(D)+P(E/D̅)P(D̅)
If P(D) ≈0,P(D̅) ≈1; P(E)=P(E/D̅) ,(rare- pê ,̂̂ Ψ )
λ̂= pê (̂̂Ψ -1)/[pê (̂̂ Ψ -1)+1]

Interpretation of Relative Risk-table
Relative risk as a measure of strength of
association


If X uncontrolled var. which doesn’t interact with E
accounts for all the risk due to E;R>1
• X must be R times more common among E/NE;
P(X/E)>RP(X/E̅)
• X must be as strong a risk facto as the E

•

Presence of multiple real causes reduces the apparent
relative risk for any one of them
Interaction-Table
Effect modification tells us that the association between
exposure and disease is modified by a third factor.
 When IR of a dis. in presence of 2 or > risk factors
differs from IR resulting from combination of their
individual effects-Interaction


◦ Synergism or Antagonism special case of Positive and Negative
Interaction .
◦ Additive
 (p11-p00)=(p10-p00)+(p01-p00)
 (Rxy-1)=(Rx-1)+(Ry-1)

◦ Multiplicative
 p11/p00=(p10/p00)(p01/p00)
 Rxy=RxRy
Sample Size









Sample Size and Power for Unmatched Studies
Sample Size and Power with Multiple Control
per Case
Smallest detectable Relative Risk
Optimal Allocation
Adjustment for Confounding
Sample Size and Power for Pair-Matched
Studies
Sequential Case-Control Studies
Summary
Sample size-Inroduction


Study should be large to avoid:
◦ Claiming that E is associated with D when it is not- α
◦ E is not associated with D when it is- β
 Probability of finding the sampling estimate of RR(OR) differs
sig. from unity=1- β=Power



How many subjects for case control
study(matched/unmatched)?
◦
◦
◦
◦

Relative frequency of E among controls in target population-p0
Hypothesized RR associated with E of public health imp-R
Desired level of Significance- α
Desired study power, 1- β
Sample Size and Power for
Unmatched Studies
Sample Size and Power for Unmatched
Studies
Sample Size and Power for Unmatched
Studies
Sample Size and Power with Multiple Control
per Case-With unequal controls per case
Sample Size and Power with Multiple
Control per Case-With unequal controls per
case
Sample Size and Power with Multiple
Control per Case-With unequal controls per
case
Smallest detectable Relative Risk


Given fixed n,a,p0;what is smallest R can be detected
with specified power?
Optimal Allocation


Equal Case-control cost
Optimal Allocation


Unequal cost: Max power for fixed total cost
Unequal cost: Max power for fixed total cost
Optimal Allocation


Minimum cost for Fixed Power
Adjustment for Confounding


Sample size for Case control study that use stratified
analysis to adjust for confounding must specify
◦ RR
◦ Estimated exposure rate among controls in each of k
strata po1,p02 etc
◦ Estimated proportion of cases in each strata f1,f2
◦ Significance- α
◦ power, 1- β
Eg-
Adjustment for Confounding
Adjustment for Confounding
Sample Size and Power for Pair-Matched
Studies
Exposed (+) ,Unexposed (-)
 Case, control(++)(+-)(--)(-+)
◦ For specified α,β no. of discordant pairs required for RR

Sample Size and Power for Pair-Matched
Studies
Sample Size and Power for Pair-Matched
Studies
Sequential Case-Control Studies
Rather than waiting until a predetermined no. of cases and
controls have accumulated it proceeds as data become
available over time.
 Sample size<for fixed sample size analysis.
 Data collection continues until one either obtains a significant
case-control difference or until one reaches a predetermined
maximum no of stages , S.




eg
Further consideration in estimating sample
size


Adjustment for Non response
◦ If rate of non response=r*100 percent,
◦ no of subjects to obtain final series size: na= n/1-r
◦ Eg-150/.85=177



Sub group analysis
Sub group analysis


Multiple control per case
If c control per case n’≈(c+1)n/2c1
Further consideration in estimating sample size
Dependence of sample size on parameter specification
Further consideration in estimating sample size


Dependence of sample size on parameter specification
Basic Method of Analysis











Unmatched Analysis of a Single 2*2 table
Adjustment for Confounding
Assessment of Individual and Joint Effects of Two
or More Variables
Test for Dose Response
Test-Based Control Limits
Matched Analysis with One Control Per Case
Matched Analysis with Two Control per Case
Matched Analysis with Three or more Control per
Case
Estimation of the Etiologic Fraction
Unmatched Analysis of a Single 2*2 table
Adjustment for confounding





If OR-constant across subgroups/consistently
elevated/reduced=combine them to form a summary
estimate.
Summary Estimate as having been adjusted for effects of
variables used in stratification.
Methods for obtaining point estimates , test of
significance , CI for summary OR
◦ Mantel-Haenszel Method-weighted avg of individual OR
◦ Wolfes Method-constant OR across subgroup


Mantel-Haenszel method
Test for Heterogeneity of OR
Assessment of Individual and Joint Effects
of Two or More Variables-tab
CI/test of sig=same
 Test of heterogeneity and Confidence limits are
diff.
 Adjustment for confounding-table`1

Adjustment for Confounding
Test for Dose Response-tab



Trend with Dose response
Trend with severity of dis.
Adjustment for comnfounding-tab



Test based confidence limits



*-
Matched Analysis with One Control
Per Case
Matched Analysis with One Control Per
Case-*



Test for sig and CI
Probability of exposed case is estimated by p=b/b+c
Matched Analysis with Two Control Per Case
Test of sig ,CI
Matched Analysis with Three /more
Control Per Case
Estimation of the Etiologic Fraction


Unmatched study with dichotomous E
Multivariate Analysis







Logistic Regression For Case-Control Studies
Estimation of Logistic Parameter
Application Of Logistic Regression
Matched Analysis
Confounder Score
Log linear Models
Introduction


Analysis concerned with the variability of a
Dependent variable related to multiple
Explanatory var.
Logistic Regression For Case-Control Studies
Estimation of Logistic Parameter


Discriminant Analysis
◦ to isolate relevant risk factors in a logistic model by tests of sig
Maximum Likelihood Estimation
To estimate the actual magnitude of parameters or probability of
events under the logistic model.


CI and Test of Sig.
Application Of Logistic
Regression
Application Of Logistic Regression
Matched Analysis
Matched
 Unmatched analysis of Matched data?

Confounder Score-tab






Each case and control is assigned a score that indicates
how ‘caselike’ that a person is estimated to be in absence
of exposure to study factor.
Each individual is assigned to one of strata
Stratum specific OR
Combined estimate by M-H method.
Log linear Models


Approach to analyze Case-control data when all var. are
discrete-categorical/continuous have been stratified.
Thank You

Case control study - Part 2

  • 1.
    Case control study- Part 2 Dr. Rizwan S A, M.D.,
  • 2.
    Outline      Basic Concepts inthe Assessment of Risk Sample Size Basic Method of Analysis Multivariate Analysis Nested Case-Control
  • 3.
    Basic Concepts inthe Assessment of Risk Disease Occurrence  Relative Measures of Disease Occurrence  Cohort and Case-Control Sampling Schemes  Risk of Disease Attributable to Exposure  Exposure  Interpretation of Relative Risk  Cumulative Risk of Disease  Association and Testing for Significance  Relative Risk as a measure of the Strength Of Association  Confounding  Interaction  Summary 
  • 4.
    Disease Occurrence • Cumulative Incidence Numberof persons with disease onset during a specified period Number of persons at risk in the beginning of the period • Incidence Rate Number of new disease events in a specified period The sum of the subjects disease free time of follow up during this period • Prevalence Number of persons with a disease at a certain point intime Number of persons in the population at that point in time
  • 5.
    Relative Measures ofDisease Occurrence  Relative Risk: the ratio of the risk of disease in exposed individuals to the risk of disease in non exposed individuals. Odds Ratio Ψ The odds of an event can be defined as the ratio of the number of ways the event can occur to the number of ways the event cannot occur Case Control study can’t determine IR of disease ass. with +/- study exposure ,it can estimate the ratio of IR (RR) in terms of Odds Ratio •
  • 6.
    Figure A, Oddsratio (OR) in a cohort study. B Odds ratio (OR) in a case-control study.
  • 7.
    When Odds ratioa good estimate of RR? 1. When the cases studied are representative, with regard to history of exposure, of all people with the disease in the population from which the cases were drawn. 2. When the controls studied are representative, with regard to history of exposure, of all people without the disease in the population from which the cases were drawn. 3. When the disease being studied does not occur frequently.
  • 8.
    The odds ratiois a good estimate of the relative risk when a disease is infrequent. The odds ratio is not a good estimate of relative risk when a disease is not infrequent.
  • 9.
  • 10.
    Cohort Sampling-Table  The incidencerates/relative risk/odds of dis. among exposed /non exposed estimated from sample agree with the values in target population but odds of exposure are different in both.
  • 11.
    Case-Control sampling-Table  The proportionof incident cases among exposed /non exposed individual in sample is different from target population , but odds of exposure are same
  • 12.
    Risk of DiseaseAttributable to Exposure Q.How much of the disease that occurs can be attributed to a certain exposure? A.The attributable risk,defined as the amount or proportion of disease incidence (or disease risk) that can be attributed to a specific exposure(δ) OR δ=p1-p2 =(R-1)p2≈(Ψ-1)p2
  • 13.
    Exposure-Specific Risk IR forentire populations (p) are a weighted avg. of ExposureSpecific rates p1 and p2,  pe=M1/N  p=N1/N  p=p1pe +p2(1-pe)  p1=Rp2  p2=p/{Rpe+(1-pe)}  p̂2 = ̂p/{ ̂Ψ ̂pe+(1-̂pe)}  P̂1= ̂Ψp̂2  P(D/Ei)=P(Ei/D)P(D)/ P(Ei/D)P(D)+P(Ei/D̅)P(D̅) The exp-sp prob of dis. can be determined given estimate of overall probability of dis and proportion of cases and controls in ith exp category.
  • 14.
    Etiologic Fraction –Table1 λ=proportion of all cases in the target population attributable to exposure.  λ =N1-Np2/N1  λ= pe(R-1)/[pe(R-1)+1]  eg-Table  p2=p(1- λ); p1= Rp(1- λ) 
  • 16.
    Exposure-table Intensity dimension  Timedimension  Estimation of Population Exposure Rate From Control Series   Control series must be representative of individual without dis. In target population  Dis. must be rare. Unconditional prob of ex in target population=weighted avg of cond.prob of ex among dis. and non-dis. P(E)= P(E/D)P(D)+P(E/D̅)P(D̅) If P(D) ≈0,P(D̅) ≈1; P(E)=P(E/D̅) ,(rare- pê ,̂̂ Ψ ) λ̂= pê (̂̂Ψ -1)/[pê (̂̂ Ψ -1)+1] 
  • 18.
  • 20.
    Relative risk asa measure of strength of association  If X uncontrolled var. which doesn’t interact with E accounts for all the risk due to E;R>1 • X must be R times more common among E/NE; P(X/E)>RP(X/E̅) • X must be as strong a risk facto as the E • Presence of multiple real causes reduces the apparent relative risk for any one of them
  • 21.
    Interaction-Table Effect modification tellsus that the association between exposure and disease is modified by a third factor.  When IR of a dis. in presence of 2 or > risk factors differs from IR resulting from combination of their individual effects-Interaction  ◦ Synergism or Antagonism special case of Positive and Negative Interaction . ◦ Additive  (p11-p00)=(p10-p00)+(p01-p00)  (Rxy-1)=(Rx-1)+(Ry-1) ◦ Multiplicative  p11/p00=(p10/p00)(p01/p00)  Rxy=RxRy
  • 23.
    Sample Size         Sample Sizeand Power for Unmatched Studies Sample Size and Power with Multiple Control per Case Smallest detectable Relative Risk Optimal Allocation Adjustment for Confounding Sample Size and Power for Pair-Matched Studies Sequential Case-Control Studies Summary
  • 24.
    Sample size-Inroduction  Study shouldbe large to avoid: ◦ Claiming that E is associated with D when it is not- α ◦ E is not associated with D when it is- β  Probability of finding the sampling estimate of RR(OR) differs sig. from unity=1- β=Power  How many subjects for case control study(matched/unmatched)? ◦ ◦ ◦ ◦ Relative frequency of E among controls in target population-p0 Hypothesized RR associated with E of public health imp-R Desired level of Significance- α Desired study power, 1- β
  • 25.
    Sample Size andPower for Unmatched Studies
  • 26.
    Sample Size andPower for Unmatched Studies
  • 28.
    Sample Size andPower for Unmatched Studies
  • 29.
    Sample Size andPower with Multiple Control per Case-With unequal controls per case
  • 30.
    Sample Size andPower with Multiple Control per Case-With unequal controls per case
  • 31.
    Sample Size andPower with Multiple Control per Case-With unequal controls per case
  • 32.
    Smallest detectable RelativeRisk  Given fixed n,a,p0;what is smallest R can be detected with specified power?
  • 33.
  • 34.
    Optimal Allocation  Unequal cost:Max power for fixed total cost
  • 35.
    Unequal cost: Maxpower for fixed total cost
  • 36.
  • 37.
    Adjustment for Confounding  Samplesize for Case control study that use stratified analysis to adjust for confounding must specify ◦ RR ◦ Estimated exposure rate among controls in each of k strata po1,p02 etc ◦ Estimated proportion of cases in each strata f1,f2 ◦ Significance- α ◦ power, 1- β Eg-
  • 38.
  • 39.
  • 40.
    Sample Size andPower for Pair-Matched Studies Exposed (+) ,Unexposed (-)  Case, control(++)(+-)(--)(-+) ◦ For specified α,β no. of discordant pairs required for RR 
  • 41.
    Sample Size andPower for Pair-Matched Studies
  • 42.
    Sample Size andPower for Pair-Matched Studies
  • 43.
    Sequential Case-Control Studies Ratherthan waiting until a predetermined no. of cases and controls have accumulated it proceeds as data become available over time.  Sample size<for fixed sample size analysis.  Data collection continues until one either obtains a significant case-control difference or until one reaches a predetermined maximum no of stages , S.   eg
  • 45.
    Further consideration inestimating sample size  Adjustment for Non response ◦ If rate of non response=r*100 percent, ◦ no of subjects to obtain final series size: na= n/1-r ◦ Eg-150/.85=177  Sub group analysis
  • 46.
  • 47.
     Multiple control percase If c control per case n’≈(c+1)n/2c1
  • 48.
    Further consideration inestimating sample size Dependence of sample size on parameter specification
  • 49.
    Further consideration inestimating sample size  Dependence of sample size on parameter specification
  • 50.
    Basic Method ofAnalysis          Unmatched Analysis of a Single 2*2 table Adjustment for Confounding Assessment of Individual and Joint Effects of Two or More Variables Test for Dose Response Test-Based Control Limits Matched Analysis with One Control Per Case Matched Analysis with Two Control per Case Matched Analysis with Three or more Control per Case Estimation of the Etiologic Fraction
  • 51.
    Unmatched Analysis ofa Single 2*2 table
  • 55.
    Adjustment for confounding    IfOR-constant across subgroups/consistently elevated/reduced=combine them to form a summary estimate. Summary Estimate as having been adjusted for effects of variables used in stratification. Methods for obtaining point estimates , test of significance , CI for summary OR ◦ Mantel-Haenszel Method-weighted avg of individual OR ◦ Wolfes Method-constant OR across subgroup
  • 57.
  • 63.
  • 65.
    Assessment of Individualand Joint Effects of Two or More Variables-tab CI/test of sig=same  Test of heterogeneity and Confidence limits are diff.  Adjustment for confounding-table`1 
  • 67.
  • 69.
    Test for DoseResponse-tab  Trend with Dose response Trend with severity of dis. Adjustment for comnfounding-tab  Test based confidence limits  
  • 73.
  • 76.
    Matched Analysis withOne Control Per Case
  • 77.
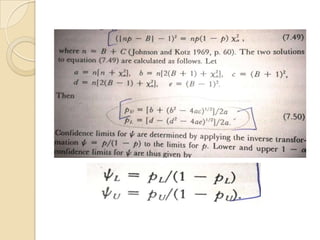
    Matched Analysis withOne Control Per Case-*   Test for sig and CI Probability of exposed case is estimated by p=b/b+c
  • 79.
    Matched Analysis withTwo Control Per Case
  • 80.
  • 81.
    Matched Analysis withThree /more Control Per Case
  • 83.
    Estimation of theEtiologic Fraction  Unmatched study with dichotomous E
  • 85.
    Multivariate Analysis       Logistic RegressionFor Case-Control Studies Estimation of Logistic Parameter Application Of Logistic Regression Matched Analysis Confounder Score Log linear Models
  • 86.
    Introduction  Analysis concerned withthe variability of a Dependent variable related to multiple Explanatory var.
  • 87.
    Logistic Regression ForCase-Control Studies
  • 93.
    Estimation of LogisticParameter  Discriminant Analysis ◦ to isolate relevant risk factors in a logistic model by tests of sig
  • 94.
    Maximum Likelihood Estimation Toestimate the actual magnitude of parameters or probability of events under the logistic model.
  • 95.
  • 96.
  • 97.
  • 100.
    Matched Analysis Matched  Unmatchedanalysis of Matched data? 
  • 105.
    Confounder Score-tab     Each caseand control is assigned a score that indicates how ‘caselike’ that a person is estimated to be in absence of exposure to study factor. Each individual is assigned to one of strata Stratum specific OR Combined estimate by M-H method.
  • 107.
    Log linear Models  Approachto analyze Case-control data when all var. are discrete-categorical/continuous have been stratified.
  • 112.