Calculus for Economists
By: Habtamu Adane(PhD)
Introduction: Theoretical vs Mathematical Economics
• Mathematics=> Mathematical symbols and equations
• Theoretical=> Words and Sentences
• When using mathematics
The language used is more precise and concise
There are wealth of mathematical assumptions that make things simple and
lifeless costly
By forcing us to state explicitly all our assumptions as a prerequisite to the use
of mathematical theorems, it keeps us from the pitfall of an unintentional
adoption of unwanted implicit assumptions
It helps us to understand relationships among more than two economic
variables simply and neatly with which the geometric and literary approaches
are at high probability of risk of committing mistakes
Introduction: Functions
• Function is a unique mathematical rule that relates one or more variables to
determine another variable.
• It is a special type of relation in which an independent variable (domain) can
never be tied with more than one dependent variable (range)
• It is a relationship between numbers in which to each element in the input
(domain), there corresponds exactly one element in the output (range).
Introduction: Functions
Introduction: Functions
1). Is A = {(1, 5), (3, -8)} a function?
2). Is B={(2,9), (4,6), (11,5)} a function?
3). Is C={(2,9), (4,5), (11,5)} a function?
Introduction: Functions
• Functions are often defined using more than one formula
• Each individual formula describes the function on a subset of
the domain
• A function defined in this way is sometimes called a piecewise-
defined function
Introduction: Functions
Introduction: Functions
• Determining the natural domain of a function often amounts to excluding all
numbers x that result in dividing by 0 or in taking the square of a negative
numbers.
Introduction: Functions
Introduction: Methods of Representing Functions
A is not a function since domain ‘2’ is mapped to more thanoneelementin the range but B is
a function.
Introduction: Methods of Representing Functions
• Equations (commonly used in economic researches)
•
Introduction: Types of Functions
• Algebraic and Non-algebraic functions
• Algebraic functions involve only algebraic operations such as addition,
subtraction, multiplication and division, as well as fractional or rational
exponents.
• Polynomial Functions : has positive integers as exponents
Introduction: Types of Functions
• Algebraic
• Rational functions: A rational function is a function which is the ratio of two Polynomial
functions. That is,
• Square root of Polynomial function
•Non-algebraic Functions
i. Exponential function
ii. Logarithmic function
iii. Trigonometric function and
iv. Incommensurable power functions
Will be covered in this course
Introduction: Exponential Functions
• A function is exponential if where b is a positive number#1 for every
real number x.
• The domain of exponential function the set of real numbers and the
range is the set of positive real numbers
Introduction: Exponential Functions
Introduction: Logarithmic Functions
Introduction: Multivariate Functions
• Multivariate function is a function in which the dependent variable, y, is a
function of more than one independent variable.
• Two independent variables x and u
• If we have possible values of x and u, we may substitute them to obtain
corresponding value of y.
• Since there are two independent variables, we may fix one of them, say x, at
a particular value and change the other variable, z.
• Comparative statics analysis
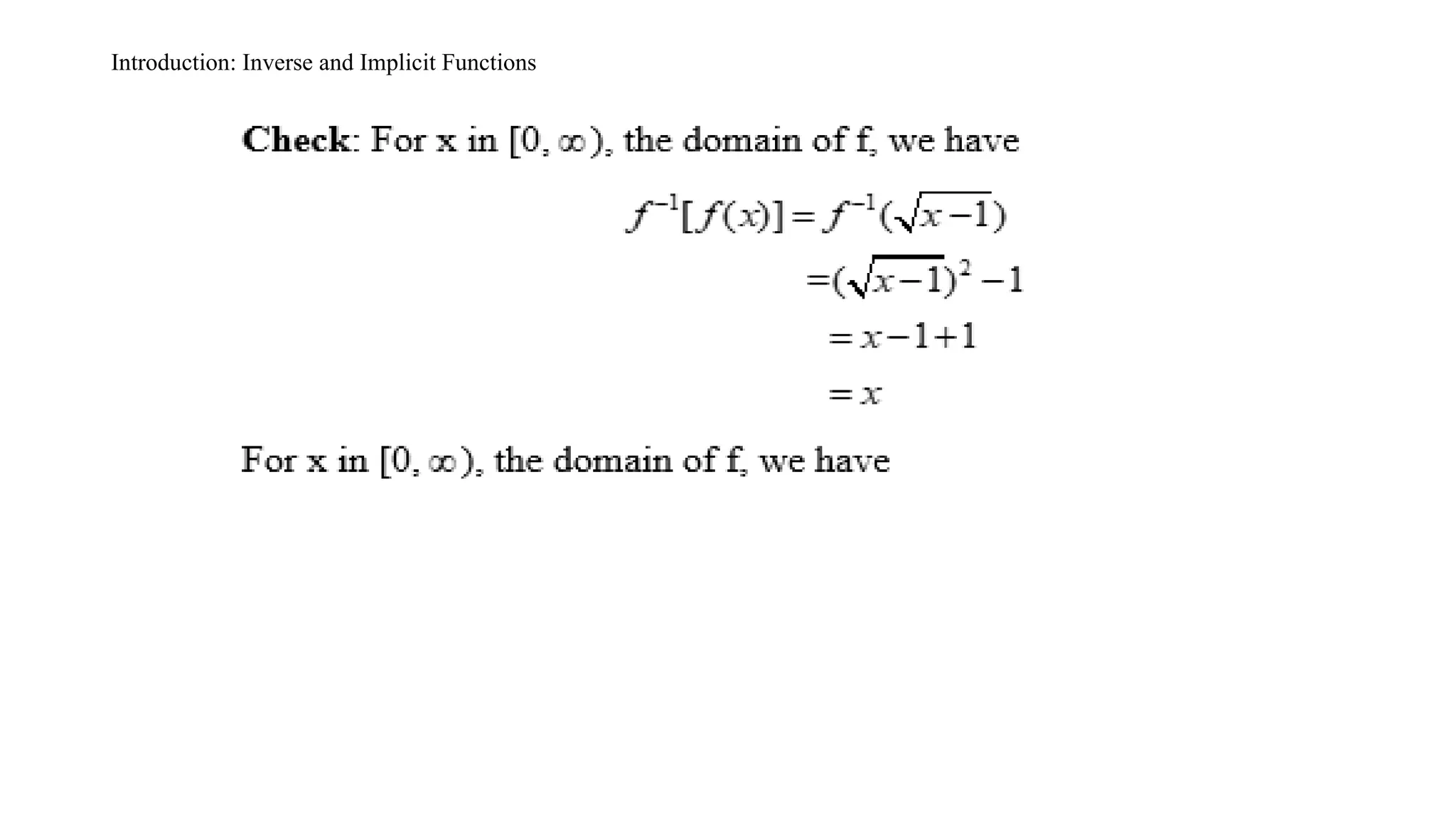
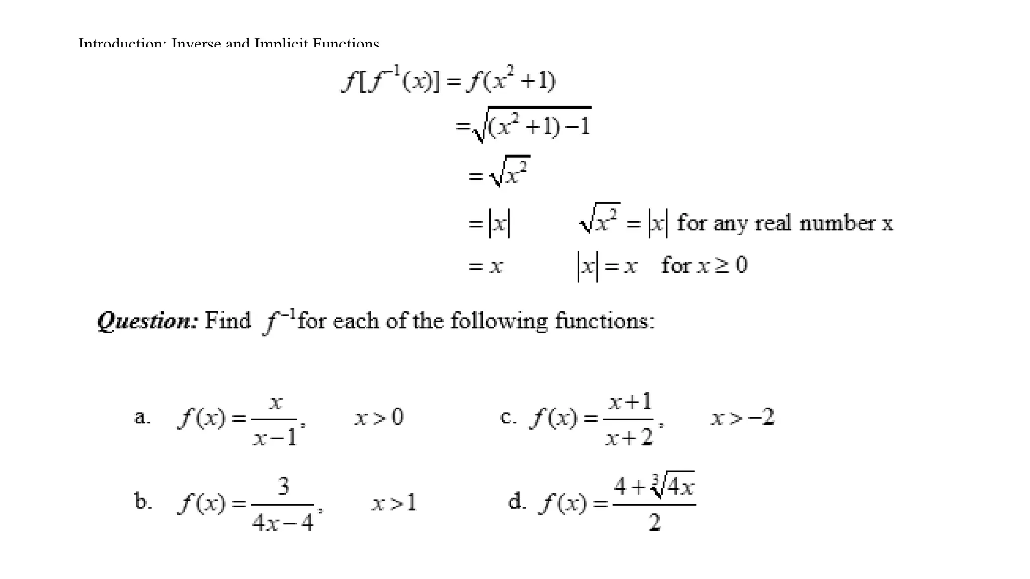
Introduction: Inverse and Implicit Functions
• Inverse Function
•Reversing the relationship between two quantities often
produces a new function.
•The new function is called the inverse of the original function
•Usually denoted by .
•One-to-one functions are the only functions that have inverse
functions
•One to one: If no two ordered pairs in the function have the
same second component and different first co
Introduction: Inverse and Implicit Functions
Introduction: Inverse and Implicit Functions
Introduction: Inverse and Implicit Functions
Introduction: Inverse and Implicit Functions
Introduction: Implicit Functions
• The independent variables mixed with the dependent variable.
• The equations which appear in economic models have both the
independent and dependent variables on the left side and a
constant on the right side.
Introduction: Implicit Functions
Introduction: Monotonic Function
• A monotonic function is a function which is either strictly increasing
or strictly decreasing in its domain.
Introduction: Monotonic Function
Introduction: Homogenous Functions
Introduction: Homogenous Functions
Introduction: Implicit Functions
Chapter Two: Limit and Continuity
Chapter Two:
Limit and
Continuity
Chapter Two:
Limit and
Continuity
Properties of limits
Properties of limits
Properties of limits
Properties of limits
Indeterminate Limits: Limits by Rewriting
Indeterminate Limits: Limits by Rewriting
Indeterminate Limits: Limits by Rewriting
Indeterminate Limits: L-Hpital’s rule
Indeterminate Limits: h-method
Indeterminate Limits: Expansion Method
Indeterminate Limits: Expansion Method
Indeterminate Limits: Expansion Method
One-sided limits
One-sided limits
Limits at Infinity
Limits at Infinity
Limits at Infinity
Limits at Infinity
Continuous function
• A function f is said to be continuous at x=c if you can draw the graph
of f at and near the point (c, f(c)) without lifting your pencil from the
paper
Continuous function
Continuous function
Continuous function
Continuous function
Continuous function
Continuous function: Intermediate value
property
Continuous function: Intermediate value
property
Continuous function: Intermediate value
property
The Derivatives :Rate of Change
• Let a function be defined as y = f(x)
• If the independent variable x changes from x0 to x1, then the
dependent variable y will change from y0 = f(x0) to y1 = f(x1)
• The change in X is said to be an increment in X and denoted as ∆X
( delta X)
• An increment in X from X0 to X1
• Written as ∆X = X1 – X0 or X1 = X0 + ∆X
• The corresponding change in y is said to be an increment in y
and denoted by ∆Y. That is an increment in y from y0 to y1
• y = y1-y0= f(x1) – f(x0)= f(x0+x) – f(x0)
The Derivatives: Rate of Change
•The average rate of change of y with respect to x is the change
in y resulted from some change in x.
•The average rate of change (difference quotient) of y between
x= x0 and x=x1 is given by
• The instantaneous rate of change of y with respect to x is a change in
y as a result of an instant change in x. It represents a change in y at a
given point of x
Average rate of change = 0 0
f(x +Δx)-f(x )
Δy
=
Δx Δx
The Derivatives: Rate of Change
The instantaneous rate of change of y at a point x = x0 is given by
Instantaneous rate = 0 0
0 0
( )- ( )
lim lim
x x
f x x f x
y
x x
   



 
It is also termed as marginal rate of change of y at x= x0
The Derivatives: Rate of Change
The Derivatives: Rate of Change
A secant line is a straight line which passes through two points on the graph of y = f(x). For
instance, line L2 which passes through P and Q in the above graph is a secant line. The slope of
the secant line which passes through the point (x0, f(x0)) and (x0+ x
 , f(x0+Δx) is given by
• Tangent line: straight line which touches but not crosses the graph of y=f(x) at
a given point
• Line L1 below is a tangent line
The Derivatives: Rate of Change
The Derivatives: Rate of Change
• As x becomes closer and closer to 0 (as x 0), the point Q
approaches to point P.
• As x 0 the secant line L2 will approach to line L1 and its slope will
approach to the slope of L1.
• This leads to the following formal definition of a tangent line.
• Given the graph of Y =f(x), the tangent line at (x0, f(x0)) is a line that
passes through this point whose slope is given by
The Derivatives: Rate of Change
Continuity and Differentiability of a Function
• A continuous function will not be differentiable at x=c if f(x)
becomes infinite at x=c or if the graph of f(x) has a “sharp” point
at P(c, f(c)) ; that is, a point where the curve makes an abrupt
change in direction
If f(x) is continuous at x c
 but '( )
f c is infinite, the graph of f may have a “vertical tangent”
at the point P(c, f(c)) => (Figure a) or a “cusp” at P (Figure b)
Continuity and Differentiability of a Function
• The absolute value function f(x)=|x| is continuous for all x but has a “sharp
point” at the origin (0, 0) (figure C)
Continuity and Differentiability of a Function
• List the points in the at which the function t is not differentiable
Rules of Differentiation
Rules of Differentiation
Rules of Differentiation
Rules of Differentiation
Rules of Differentiation
Rules of Differentiation
Rules of Differentiation
Rules of Differentiation
Rules of Differentiation
Rules of Differentiation
Rules of Differentiation
Rules of Differentiation
Rules of Differentiation
Rules of Differentiation
Rules of Differentiation
Notice that it may sometimes advantageous to check whether or not an expression can be
simplified algebraically before blindly using the quotient rule.
Rules of Differentiation
Rules of Differentiation
Rules of Differentiation
Rules of Differentiation
Rules of Differentiation
Rules of Differentiation
Implicit Differentiation
• Y implicitly a function of X
• To solve the equation for Y explicitly and then differentiate
• May not always be possible to find Y explicitly.
Example:
•Simple technique is using implicit differentiation based on the chain rule
•Differentiating both sides of the equations with respect to x, and then
solving algebraically for
•Example:
Implicit Differentiation
Implicit Differentiation
Now evaluate this derivative when 30
x  and 20
y  to conclude that
Implicit Differentiation: Related Rates
• X and Y related by an equation
• Regarded as a function of a third variable, t, which often
represents time
• Implicit differentiation can be used to relate to
• This kind of problem is said to involve related rates
Implicit Differentiation: Related Rates
Implicit Differentiation: Related Rates
Therefore, the cost of producing 1,500 units is $120,000 (C=120) and at this level of production, total cost is
increasing at the rate of $1,687.50 per week.
Derivatives of Logarithmic Functions
• If
•
Therefore,
log 1
ln
e
a
d
dx x a

Derivatives of Exponential Functions
Derivatives of Exponential Functions
Derivatives of Exponential Functions
Higher Order Derivatives
• Derivative can be first, second, third etc.
• Derivative of first order derivate is second order derivate:
• Since second order derivate is also a function, it is possible to find its
derivative ( third order derivate):
•
Higher Order Derivatives
•
The Sign of the Derivatives
Procedure for Using the Derivative to Determine Intervals of Increase and Decrease for a
Function f.
Step 1. Find all values of xfor which '( ) 0
f x  or '( )
f x is not continuous, and mark these
numbers on a number line. This divides the line into a number of open intervals.
Step 2. Choose a test number c from each interval a x b
  determined in step 1 and evaluate
'( )
f c . Then,
If '( ) 0
f c  , the graph of f(x) is increasing (graph rising) on a x b
  .
If ''( ) 0
f c  , the graph of f(x) is decreasing (graph falling) a x b
  .
The Sign of the Derivatives
The Sign of the Derivatives
The Sign of the Derivatives
Test of Concavity
• Knowing the range over which the function is increasing, decreasing, and
achieving relative extrema point is important to draw graphs of functions
but they are not all about.
• A given function increases over a range but it can increase at an increasing
rate, a constant rate or at a decreasing rate. Thus, we have to see the
concavity of graphs to add this dimension.
• A given function is concave up (changes at increasing rate) if the function
lays above all its tangent lines. A given function is concave down (changes
at a decreasing rate) if the function lies below its tangent line. Look at the
following diagram
Test of Concavity
Test of Concavity
Second Derivative Procedure for Determining Intervals of Concavity for a Function f
Step 1. Find all values of xfor which ''( ) 0
f x  or ''( )
f x does not exist, and mark these
numbers on a number line. This divides the line into a number of open intervals.
Step 2. Choose a test number c from each interval a x b
  determined in step 1 and evaluate
''( )
f x . Then,
If ''( ) 0
f c  , the graph of f(x) is concave upward ona x b
  .
If ''( ) 0
f c  , the graph of f(x) is concave downward ona x b
  .
Test of Concavity
Example
Determine intervals of concavity for the function
Test of Concavity
Test of Concavity
Test of Concavity
Test of Concavity
Remark: A function can have an inflection point only where it is continuous. In particular, if
f(c) is not defined, there cannot be an inflection point corresponding to x c
 even if f(x)
changes sign at x c
 . For example,
1
( )
f x
x
 has no inflection point at x=0 even if it changes
its sign at x=0.
Free (unconstrained) Optimization: Maximization and Minimization
• Finding the best way to do something in a given situation
DEFINITIONS: Local (Relative) Extreme Values
A function ƒ has a local maximum value at an interior point c of its domain if ( ) ( )
f x f c
 for
all x in some open interval containingc . A function ƒ has a local maximum value at an interior
point c of its domain if ( ) ( )
f x f c
 for all x in some open interval containingc .
Free (unconstrained) Optimization: Maximization and Minimization
Finding Extrema
Finding Extrema
Economic Applications of Derivatives
• Marginal Concepts
• Elasticities
Chapter Four: DIFFERENTIAL CALCULUS OF MULTIVARIABLE
FUNCTIONS
Partial Derivatives
• In many problems involving functions of two variables, the goal is to
find the rate of change of the function with respect to one of its
variables when the other is held constant.
• That is, the goal is to differentiate the function with respect to the
particular variable in question while keeping the other variable fixed.
This process is known as partial differentiation, and the resulting
derivative is said to be a partial derivative of the function.
Partial Derivatives
Partial Derivatives
Partial Derivatives: Suppose ( , )
z f x y
 . The partial derivative of z with respect to xis denoted by
or ( , )
x
z
f x y
x


and is the function obtained by differentiating z with respect to x treating
yas a constant. The partial derivative of z with respect to yis denoted by or ( , )
y
z
f x y
y


and is the
function obtained by differentiating z with respect to y treating xas a constant.
Partial Derivatives
Higher Order Partial Derivatives
• Partial derivatives can themselves be differentiated.
• The resulting functions are called second-order partial
derivatives.
Second-Order Partial Derivatives: If ( , )
z f x y
 , the partial derivative of x
f with respect to
x is
2
2
( ) or
xx x
z z
f f
x x
x
  
 
   
 
  
The partial derivative of x
f with respect to y is
2
( ) or
xy x y
z z
f f
x y y x
  
 
   
   
 
The partial derivative of y
f with respect to xis
2
( ) or
yx y x
z z
f f
y x x y
 
  
   
   
 
The partial derivative of y
f with respect to y is
2
2
( ) or
yx y y
z z
f f
x y
y
 
  
   
 
  
Higher Order Partial Derivatives
Differentials and Total Derivatives
Given a function ( )
y f x
 , a specific x
 will call forth a corresponding y

we can use the difference quotient
y
x


to represent the rate of change of ywith respect tox
Since it is true that
y
y x
x

 
  
 

 
. The magnitude of y
 can be found, once the rate of change
y
x


and the
variation in x are known
When x
 is infinitesimal, y
 will also be infinitesimal, and the difference quotient
y
x


will turn
into the derivative
dy
dx
. Thus,
y dy
y x dx dy
x dx

   
    
   

   
. Symbols of and
dy dx are called
differential of and
y x , respectively
Differentials and Total Derivatives
Total Differentials
• It can be extended to two or more independent variables
• Consider a saving function S= f(Y,i) where S is saving, Y national
income and i is interest rate
The partial derivative ( , )
Y
S Y i measures the rate of change of S with respect to an infinitesimal
change in Y (or it signifies the marginal propensity to save).
, the change in S due to change in Y may be represented by
S
dY
Y

 
 

 
similarly the change in S due to infinitesimal change in i can be denoted as
S
di
i

 
 

 
.
The change in S will be then equal to
S S
dS dY di
Y i
 
   
 
   
 
   
.
• dS is the total differential of the saving function
Total Differentials
A utility function in the general form
1 2 3
( , , ,..., )
n
U f x x x x

The total differential of this function can be written as
1 2 3
1 2 3
... n
n
U U U U
dU dx dx dx dx
x x x x
   
    
   
Total Differentials

Calculus_slides (1).pptxdgyyruyturuuuuuu

  • 1.
    Calculus for Economists By:Habtamu Adane(PhD)
  • 2.
    Introduction: Theoretical vsMathematical Economics • Mathematics=> Mathematical symbols and equations • Theoretical=> Words and Sentences • When using mathematics The language used is more precise and concise There are wealth of mathematical assumptions that make things simple and lifeless costly By forcing us to state explicitly all our assumptions as a prerequisite to the use of mathematical theorems, it keeps us from the pitfall of an unintentional adoption of unwanted implicit assumptions It helps us to understand relationships among more than two economic variables simply and neatly with which the geometric and literary approaches are at high probability of risk of committing mistakes
  • 3.
    Introduction: Functions • Functionis a unique mathematical rule that relates one or more variables to determine another variable. • It is a special type of relation in which an independent variable (domain) can never be tied with more than one dependent variable (range) • It is a relationship between numbers in which to each element in the input (domain), there corresponds exactly one element in the output (range).
  • 4.
  • 5.
    Introduction: Functions 1). IsA = {(1, 5), (3, -8)} a function? 2). Is B={(2,9), (4,6), (11,5)} a function? 3). Is C={(2,9), (4,5), (11,5)} a function?
  • 6.
    Introduction: Functions • Functionsare often defined using more than one formula • Each individual formula describes the function on a subset of the domain • A function defined in this way is sometimes called a piecewise- defined function
  • 7.
  • 8.
    Introduction: Functions • Determiningthe natural domain of a function often amounts to excluding all numbers x that result in dividing by 0 or in taking the square of a negative numbers.
  • 9.
  • 10.
    Introduction: Methods ofRepresenting Functions A is not a function since domain ‘2’ is mapped to more thanoneelementin the range but B is a function.
  • 11.
    Introduction: Methods ofRepresenting Functions • Equations (commonly used in economic researches) •
  • 12.
    Introduction: Types ofFunctions • Algebraic and Non-algebraic functions • Algebraic functions involve only algebraic operations such as addition, subtraction, multiplication and division, as well as fractional or rational exponents. • Polynomial Functions : has positive integers as exponents
  • 13.
    Introduction: Types ofFunctions • Algebraic • Rational functions: A rational function is a function which is the ratio of two Polynomial functions. That is, • Square root of Polynomial function •Non-algebraic Functions i. Exponential function ii. Logarithmic function iii. Trigonometric function and iv. Incommensurable power functions Will be covered in this course
  • 14.
    Introduction: Exponential Functions •A function is exponential if where b is a positive number#1 for every real number x. • The domain of exponential function the set of real numbers and the range is the set of positive real numbers
  • 15.
  • 16.
  • 17.
    Introduction: Multivariate Functions •Multivariate function is a function in which the dependent variable, y, is a function of more than one independent variable. • Two independent variables x and u • If we have possible values of x and u, we may substitute them to obtain corresponding value of y. • Since there are two independent variables, we may fix one of them, say x, at a particular value and change the other variable, z. • Comparative statics analysis
  • 18.
    Introduction: Inverse andImplicit Functions • Inverse Function •Reversing the relationship between two quantities often produces a new function. •The new function is called the inverse of the original function •Usually denoted by . •One-to-one functions are the only functions that have inverse functions •One to one: If no two ordered pairs in the function have the same second component and different first co
  • 19.
    Introduction: Inverse andImplicit Functions
  • 20.
    Introduction: Inverse andImplicit Functions
  • 21.
    Introduction: Inverse andImplicit Functions
  • 22.
    Introduction: Inverse andImplicit Functions
  • 23.
    Introduction: Implicit Functions •The independent variables mixed with the dependent variable. • The equations which appear in economic models have both the independent and dependent variables on the left side and a constant on the right side.
  • 24.
  • 25.
    Introduction: Monotonic Function •A monotonic function is a function which is either strictly increasing or strictly decreasing in its domain.
  • 26.
  • 27.
  • 28.
  • 29.
  • 30.
    Chapter Two: Limitand Continuity
  • 31.
  • 32.
  • 34.
  • 35.
  • 36.
  • 37.
  • 38.
  • 39.
  • 40.
  • 41.
  • 42.
  • 43.
  • 44.
  • 45.
  • 46.
  • 47.
  • 48.
  • 49.
  • 50.
  • 51.
  • 52.
    Continuous function • Afunction f is said to be continuous at x=c if you can draw the graph of f at and near the point (c, f(c)) without lifting your pencil from the paper
  • 53.
  • 54.
  • 55.
  • 56.
  • 57.
  • 58.
  • 59.
  • 60.
  • 61.
    The Derivatives :Rateof Change • Let a function be defined as y = f(x) • If the independent variable x changes from x0 to x1, then the dependent variable y will change from y0 = f(x0) to y1 = f(x1) • The change in X is said to be an increment in X and denoted as ∆X ( delta X) • An increment in X from X0 to X1 • Written as ∆X = X1 – X0 or X1 = X0 + ∆X • The corresponding change in y is said to be an increment in y and denoted by ∆Y. That is an increment in y from y0 to y1 • y = y1-y0= f(x1) – f(x0)= f(x0+x) – f(x0)
  • 62.
    The Derivatives: Rateof Change •The average rate of change of y with respect to x is the change in y resulted from some change in x. •The average rate of change (difference quotient) of y between x= x0 and x=x1 is given by • The instantaneous rate of change of y with respect to x is a change in y as a result of an instant change in x. It represents a change in y at a given point of x Average rate of change = 0 0 f(x +Δx)-f(x ) Δy = Δx Δx
  • 63.
    The Derivatives: Rateof Change The instantaneous rate of change of y at a point x = x0 is given by Instantaneous rate = 0 0 0 0 ( )- ( ) lim lim x x f x x f x y x x          It is also termed as marginal rate of change of y at x= x0
  • 64.
  • 65.
    The Derivatives: Rateof Change A secant line is a straight line which passes through two points on the graph of y = f(x). For instance, line L2 which passes through P and Q in the above graph is a secant line. The slope of the secant line which passes through the point (x0, f(x0)) and (x0+ x  , f(x0+Δx) is given by • Tangent line: straight line which touches but not crosses the graph of y=f(x) at a given point • Line L1 below is a tangent line
  • 66.
  • 67.
    The Derivatives: Rateof Change • As x becomes closer and closer to 0 (as x 0), the point Q approaches to point P. • As x 0 the secant line L2 will approach to line L1 and its slope will approach to the slope of L1. • This leads to the following formal definition of a tangent line. • Given the graph of Y =f(x), the tangent line at (x0, f(x0)) is a line that passes through this point whose slope is given by
  • 68.
  • 69.
    Continuity and Differentiabilityof a Function • A continuous function will not be differentiable at x=c if f(x) becomes infinite at x=c or if the graph of f(x) has a “sharp” point at P(c, f(c)) ; that is, a point where the curve makes an abrupt change in direction If f(x) is continuous at x c  but '( ) f c is infinite, the graph of f may have a “vertical tangent” at the point P(c, f(c)) => (Figure a) or a “cusp” at P (Figure b)
  • 70.
    Continuity and Differentiabilityof a Function • The absolute value function f(x)=|x| is continuous for all x but has a “sharp point” at the origin (0, 0) (figure C)
  • 71.
    Continuity and Differentiabilityof a Function • List the points in the at which the function t is not differentiable
  • 72.
  • 73.
  • 74.
  • 75.
  • 76.
  • 77.
  • 78.
  • 79.
  • 80.
  • 81.
  • 82.
  • 83.
  • 84.
  • 85.
  • 86.
    Rules of Differentiation Noticethat it may sometimes advantageous to check whether or not an expression can be simplified algebraically before blindly using the quotient rule.
  • 87.
  • 88.
  • 89.
  • 90.
  • 91.
  • 92.
  • 93.
    Implicit Differentiation • Yimplicitly a function of X • To solve the equation for Y explicitly and then differentiate • May not always be possible to find Y explicitly. Example: •Simple technique is using implicit differentiation based on the chain rule •Differentiating both sides of the equations with respect to x, and then solving algebraically for •Example:
  • 94.
  • 95.
    Implicit Differentiation Now evaluatethis derivative when 30 x  and 20 y  to conclude that
  • 96.
    Implicit Differentiation: RelatedRates • X and Y related by an equation • Regarded as a function of a third variable, t, which often represents time • Implicit differentiation can be used to relate to • This kind of problem is said to involve related rates
  • 97.
  • 98.
    Implicit Differentiation: RelatedRates Therefore, the cost of producing 1,500 units is $120,000 (C=120) and at this level of production, total cost is increasing at the rate of $1,687.50 per week.
  • 99.
    Derivatives of LogarithmicFunctions • If • Therefore, log 1 ln e a d dx x a 
  • 100.
  • 101.
  • 102.
  • 103.
    Higher Order Derivatives •Derivative can be first, second, third etc. • Derivative of first order derivate is second order derivate: • Since second order derivate is also a function, it is possible to find its derivative ( third order derivate): •
  • 104.
  • 105.
    The Sign ofthe Derivatives Procedure for Using the Derivative to Determine Intervals of Increase and Decrease for a Function f. Step 1. Find all values of xfor which '( ) 0 f x  or '( ) f x is not continuous, and mark these numbers on a number line. This divides the line into a number of open intervals. Step 2. Choose a test number c from each interval a x b   determined in step 1 and evaluate '( ) f c . Then, If '( ) 0 f c  , the graph of f(x) is increasing (graph rising) on a x b   . If ''( ) 0 f c  , the graph of f(x) is decreasing (graph falling) a x b   .
  • 106.
    The Sign ofthe Derivatives
  • 107.
    The Sign ofthe Derivatives
  • 108.
    The Sign ofthe Derivatives
  • 109.
    Test of Concavity •Knowing the range over which the function is increasing, decreasing, and achieving relative extrema point is important to draw graphs of functions but they are not all about. • A given function increases over a range but it can increase at an increasing rate, a constant rate or at a decreasing rate. Thus, we have to see the concavity of graphs to add this dimension. • A given function is concave up (changes at increasing rate) if the function lays above all its tangent lines. A given function is concave down (changes at a decreasing rate) if the function lies below its tangent line. Look at the following diagram
  • 110.
  • 111.
    Test of Concavity SecondDerivative Procedure for Determining Intervals of Concavity for a Function f Step 1. Find all values of xfor which ''( ) 0 f x  or ''( ) f x does not exist, and mark these numbers on a number line. This divides the line into a number of open intervals. Step 2. Choose a test number c from each interval a x b   determined in step 1 and evaluate ''( ) f x . Then, If ''( ) 0 f c  , the graph of f(x) is concave upward ona x b   . If ''( ) 0 f c  , the graph of f(x) is concave downward ona x b   .
  • 112.
    Test of Concavity Example Determineintervals of concavity for the function
  • 113.
  • 114.
  • 115.
  • 116.
    Test of Concavity Remark:A function can have an inflection point only where it is continuous. In particular, if f(c) is not defined, there cannot be an inflection point corresponding to x c  even if f(x) changes sign at x c  . For example, 1 ( ) f x x  has no inflection point at x=0 even if it changes its sign at x=0.
  • 117.
    Free (unconstrained) Optimization:Maximization and Minimization • Finding the best way to do something in a given situation DEFINITIONS: Local (Relative) Extreme Values A function ƒ has a local maximum value at an interior point c of its domain if ( ) ( ) f x f c  for all x in some open interval containingc . A function ƒ has a local maximum value at an interior point c of its domain if ( ) ( ) f x f c  for all x in some open interval containingc .
  • 118.
    Free (unconstrained) Optimization:Maximization and Minimization
  • 119.
  • 120.
  • 121.
    Economic Applications ofDerivatives • Marginal Concepts • Elasticities
  • 122.
    Chapter Four: DIFFERENTIALCALCULUS OF MULTIVARIABLE FUNCTIONS
  • 123.
    Partial Derivatives • Inmany problems involving functions of two variables, the goal is to find the rate of change of the function with respect to one of its variables when the other is held constant. • That is, the goal is to differentiate the function with respect to the particular variable in question while keeping the other variable fixed. This process is known as partial differentiation, and the resulting derivative is said to be a partial derivative of the function.
  • 124.
  • 125.
    Partial Derivatives Partial Derivatives:Suppose ( , ) z f x y  . The partial derivative of z with respect to xis denoted by or ( , ) x z f x y x   and is the function obtained by differentiating z with respect to x treating yas a constant. The partial derivative of z with respect to yis denoted by or ( , ) y z f x y y   and is the function obtained by differentiating z with respect to y treating xas a constant.
  • 126.
  • 127.
    Higher Order PartialDerivatives • Partial derivatives can themselves be differentiated. • The resulting functions are called second-order partial derivatives. Second-Order Partial Derivatives: If ( , ) z f x y  , the partial derivative of x f with respect to x is 2 2 ( ) or xx x z z f f x x x               The partial derivative of x f with respect to y is 2 ( ) or xy x y z z f f x y y x                The partial derivative of y f with respect to xis 2 ( ) or yx y x z z f f y x x y                The partial derivative of y f with respect to y is 2 2 ( ) or yx y y z z f f x y y              
  • 128.
  • 129.
    Differentials and TotalDerivatives Given a function ( ) y f x  , a specific x  will call forth a corresponding y  we can use the difference quotient y x   to represent the rate of change of ywith respect tox Since it is true that y y x x            . The magnitude of y  can be found, once the rate of change y x   and the variation in x are known When x  is infinitesimal, y  will also be infinitesimal, and the difference quotient y x   will turn into the derivative dy dx . Thus, y dy y x dx dy x dx                    . Symbols of and dy dx are called differential of and y x , respectively
  • 130.
  • 131.
    Total Differentials • Itcan be extended to two or more independent variables • Consider a saving function S= f(Y,i) where S is saving, Y national income and i is interest rate The partial derivative ( , ) Y S Y i measures the rate of change of S with respect to an infinitesimal change in Y (or it signifies the marginal propensity to save). , the change in S due to change in Y may be represented by S dY Y         similarly the change in S due to infinitesimal change in i can be denoted as S di i         . The change in S will be then equal to S S dS dY di Y i                   . • dS is the total differential of the saving function
  • 132.
    Total Differentials A utilityfunction in the general form 1 2 3 ( , , ,..., ) n U f x x x x  The total differential of this function can be written as 1 2 3 1 2 3 ... n n U U U U dU dx dx dx dx x x x x             
  • 133.

Editor's Notes

  • #69 Differentiation is finding the instantaneous rate of change in function
  • #72 The rate of change of one variable with respect to another is called as a derivative while Differentiation is a method of computing a derivative
  • #73 The rate of change of one variable with respect to another is called as a derivative while Differentiation is a method of computing a derivative
  • #74 The rate of change of one variable with respect to another is called as a derivative while Differentiation is a method of computing a derivative
  • #75 The rate of change of one variable with respect to another is called as a derivative while Differentiation is a method of computing a derivative