GEG 117: Engineering Calculus 1
Limit, Continuity and Differentiability of Functions
By
Dr Eganoosi Esme ATOJUNERE
Department of Systems Engineering
University of Lagos
Nigeria
GEG 117- Engineering Calculus 1(2,0)
• Functions, limits, continuity and differentiability.
• Mean value theorems,
• Techniques of differentiations of derivatives of algebraic,
trigonometric,exponential and logarithm functions.
•Curve sketching,
• L’hopital rule,MacLaurin’s and Taylor series.
•Applications of differentiation to rate of changes,
maximum and minimum problems application to
rectilinear motions
Limits
We begin by expanding the notion of limit to include what we called One-sided
limits, where x approaches a only from one side-the right or the left.
right-hand limits lim
𝑥→𝑎+
𝑓 𝑥 (𝑥 𝑐𝑜𝑚𝑒𝑠 𝑓𝑟𝑜𝑚 𝑡ℎ𝑒 𝑟𝑖𝑔ℎ𝑡 , 𝑥 > 𝑎)
left-hand limits lim
𝑥→𝑎−
𝑓 𝑥 (𝑥 𝑐𝑜𝑚𝑒𝑠 𝑓𝑟𝑜𝑚 𝑡ℎ𝑒 𝑙𝑒𝑓𝑡 , 𝑥 < 𝑎)
See Figure 1: ex.1- 4 below
Example 1. lim
𝑥→1−
1 − 𝑥2 = 0 lim
𝑥→1+
1 − 𝑥2 = 0
As the picture shows(Fig.1), at the two endpoints of the domain, we only have a one-sided
limit.
Example 2 :Let f(x)=ቊ
−1 𝑥 < 1
1 𝑥 > 0
Then lim
𝑥→0+
𝑓 𝑥 = −1 , lim
𝑥→0+
𝑓 𝑥 = 1
Example 3: lim
𝑥→0+
1
𝑥
= ∞ lim
𝑥→0−
1
𝑥
= −∞
Example 4: lim
𝑥→0+
1
𝑥2 = ∞ lim
𝑥→0−
1
𝑥2 = ∞
The relationship between the one-sided limits and the usual(two-sided) limit is given by:
(1) lim
𝑥→𝑎
𝑓 𝑥 = 𝐿 = lim
𝑥→𝑎−
𝑓 𝑥 = 𝐿 𝑎𝑛𝑑 lim
𝑥→𝑎+
𝑓 𝑥 = 𝐿
In words, the(two-sided) limit exist if and only if both one-sided limits exist and are equal. This
shows for example that in Examples 2 & 3 above, lim
𝑥→0
𝑓 𝑥 𝑑𝑜𝑒𝑠 𝑛𝑜𝑡 𝑒𝑥𝑖𝑠𝑡.
Caution: Students often say carelessly that lim
𝑥→0
1
𝑥
= ∞ but this is not ,it is simply wrong as
the picture for example 3 shows.
By contrast lim
𝑥→0
1
𝑥2 = ∞ is correct and acceptable terminology
CONTINUITY: we can say a function is continuous if its domain is an
interval,and it is continuous at every point of the interval.
• To understand continuity, it helps to see how a function can fail to be continuous, all of the
important functions used in calculus and analysis are continuous except at isolated points.
Such points are called points of discontinuity.
(2) f(x) is continuous at a if lim
𝑥→𝑎
𝑓 𝑥 = 𝑓(𝑎)
• Thus, if a is a point of discontinuity, something about the limit statement in (2)
must fail to be true
Continuous graph
Points of discontinuity: a hole and a jump
Types of discontinuity
• In a removable discontinuity lim
𝑥→𝑎
𝑓 𝑥 𝑒𝑥𝑖𝑠𝑡𝑠 𝑏𝑢𝑡 lim
𝑥→𝑎
𝑓 𝑥 ≠ 𝑓 𝑎 .
• This may be because f(a) is undefined,or because f(a) has the ‘’wrong’’ value. The
discontinuity can be removed by changing the definition of f(x) at a so that its new
value there in is lim
𝑥→𝑎
𝑓 𝑥 . In the left-most picture
𝑥2 −1
𝑥−1
is undefined when
x=1,but if the definition of the function is completed by setting f(1) =2,it becomes
continuous - the hole in its graph is ‘’filled in’’.
• In a jump discountinuity(Example 2),the right- and left-hand limits both exist,but are
not equal. Thus, lim
𝑥→𝑎
𝑓 𝑥 𝑑𝑜𝑒𝑠 𝑛𝑜𝑡 𝑒𝑥𝑖𝑠𝑡,𝑎𝑐𝑐𝑜𝑟𝑑𝑖𝑛𝑔 𝑡𝑜 (1).𝑇ℎ𝑒 𝑠𝑖𝑧𝑒 𝑜𝑓 𝑡ℎ𝑒 𝑗𝑢𝑚𝑝
is the difference between the right-hand limit and the left-hand limit(it is 2 in
Example 2,for instance).Though jump discontinuities are not common function, they
occur frequently in engineering-for example in square waves in electrical
engineering or the sudden discharge of a capacitors.
• In an infinite discontinuity(Example 3 &4),the one-sided limits exist(perhaps as ∞ or
- ∞) and al least one of them is ±∞
• A point of discontinuity is always understood to be isolated. For example it is the only
bad point for the function on some interval.
• Example 5: The function
1
𝑥
is continuous on (0, ∞) and on (- ∞,0).i.e. for x >
0 𝑎𝑛𝑑 𝑓𝑜𝑟 𝑥 < 0, 𝑖𝑛 𝑜𝑟𝑑𝑒𝑟 𝑤𝑜𝑟𝑑𝑠, 𝑎𝑡 𝑒𝑣𝑒𝑟𝑦 𝑝𝑜𝑖𝑛𝑡 𝑖𝑛 𝑖𝑡𝑠 𝑑𝑜𝑚𝑎𝑖𝑛.However,it is not
continuous function since its domain is not an interval.It has a single point od
discountinuity,namely x = 0, and it has an infinite discontinuity there.
• Example 6. The function tan x is not continuous, but is continuous on for example the
interval -
𝜋
2
<x <
𝜋
2
. It has infinitely many points of discontinuity at ±
𝜋
2
, ±
3𝜋
2
etc.: all
are infinite discontinuities.
Example 7. 𝑓 𝑥 = 𝑥 is continuous, but 𝑓′
𝑥 ℎ𝑎𝑠 𝑎 𝑗𝑢𝑚𝑝 𝑑𝑖𝑐𝑜𝑢𝑛𝑡𝑖𝑛𝑢𝑖𝑡𝑦 𝑎𝑡 0.
Example 8.The function in Example 2, 𝑓 𝑥 = ቊ
1 𝑥 > 0
−1 𝑥 < 0
does not have a continuous
derivatives 𝑓′ 𝑥 - student often thinks it does since it seems that 𝑓′ 𝑥 =0
everywhere, However this is not so: 𝑓′
0 does not exist, since by
• definition 𝑓′
0 = lim
𝑥→0
𝑓
0+ ∆𝑥 −𝑓(0)
∆𝑥
but f(0) does not even exist.
• Even if f(0) is defined to be say 1,or 0,the derivative 𝑓′
0 does not exist.
Figure 3: some exceptional functions
• Remember the important little theorem
( 3) 𝑓 𝑥 = differentiable at a = 𝑓 𝑥 = continuous at a or to put it contra positively,
𝑓 𝑥 𝑑𝑖𝑠𝑐𝑜𝑛𝑡𝑖𝑛𝑜𝑢𝑠 𝑎𝑡 𝑎 = 𝑓 𝑥 = not differentiable. The Example 8 is continuous at
0,so it has no derivatives at 0; the discontinuity of 𝑓′
𝑥 at 0 is a removable
discontinuity
• Differentiability
Example 1
Find all value of a and b such that the function f(x) is differentiable
Let F(x) = ቊ
𝑎𝑥 + 𝑏 𝑥 < 1
𝑥4
+ 𝑥 + 1 𝑥 ≥ 1
• lim
𝑥→1−
𝑓 𝑥 = lim
𝑥→1−
f(x) = (ax+b) = a+b ;
lim
𝑥→1
+ 𝑓 𝑥 = lim
𝑥→1+
(𝑥4
+ 𝑥 + 1) = 3
• So f(x) is continuous at x =1 if and only if 𝑎 + 𝑏 = 3
• Solving for derivative of f(x)
• lim
𝑥→1−
𝑓′
𝑥 = lim
𝑥→1−
𝑎 = a ; lim
𝑥→1+
𝑓′
𝑥 = lim
𝑥→1+
4𝑥3
+1= 5
• So 𝑓′
𝑥 = is differentiable at x=1 if and only if a= 5 ,so b=2
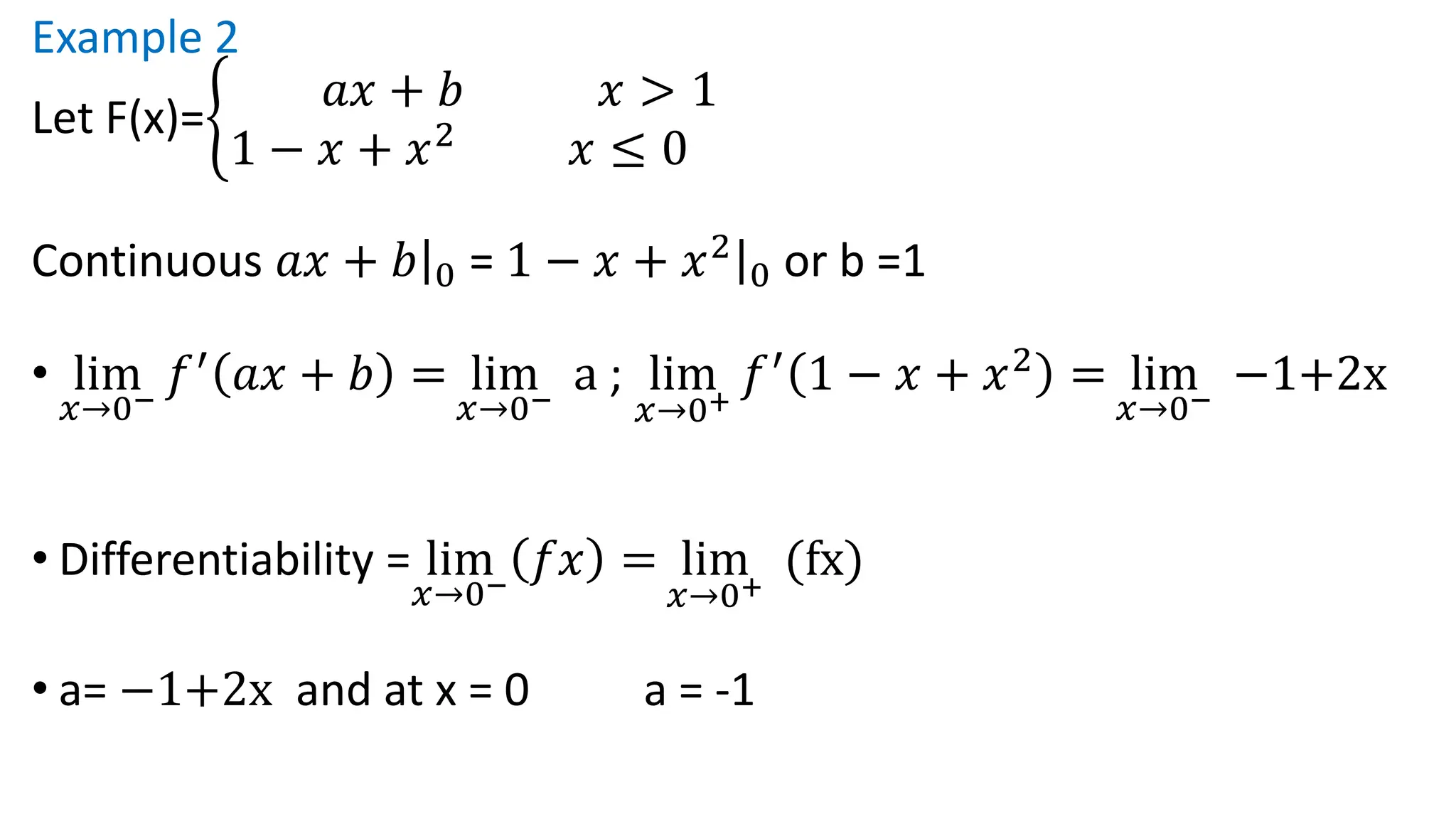
Example 2
Let F(x)=ቊ
𝑎𝑥 + 𝑏 𝑥 > 1
1 − 𝑥 + 𝑥2
𝑥 ≤ 0
Continuous ȁ
𝑎𝑥 + 𝑏 0 = ȁ
1 − 𝑥 + 𝑥2
0 or b =1
• lim
𝑥→0−
𝑓′
𝑎𝑥 + 𝑏 = lim
𝑥→0−
a ; lim
𝑥→0+
𝑓′
1 − 𝑥 + 𝑥2
= lim
𝑥→0−
−1+2x
• Differentiability = lim
𝑥→0−
𝑓𝑥 = lim
𝑥→0+
(fx)
• a= −1+2x and at x = 0 a = -1
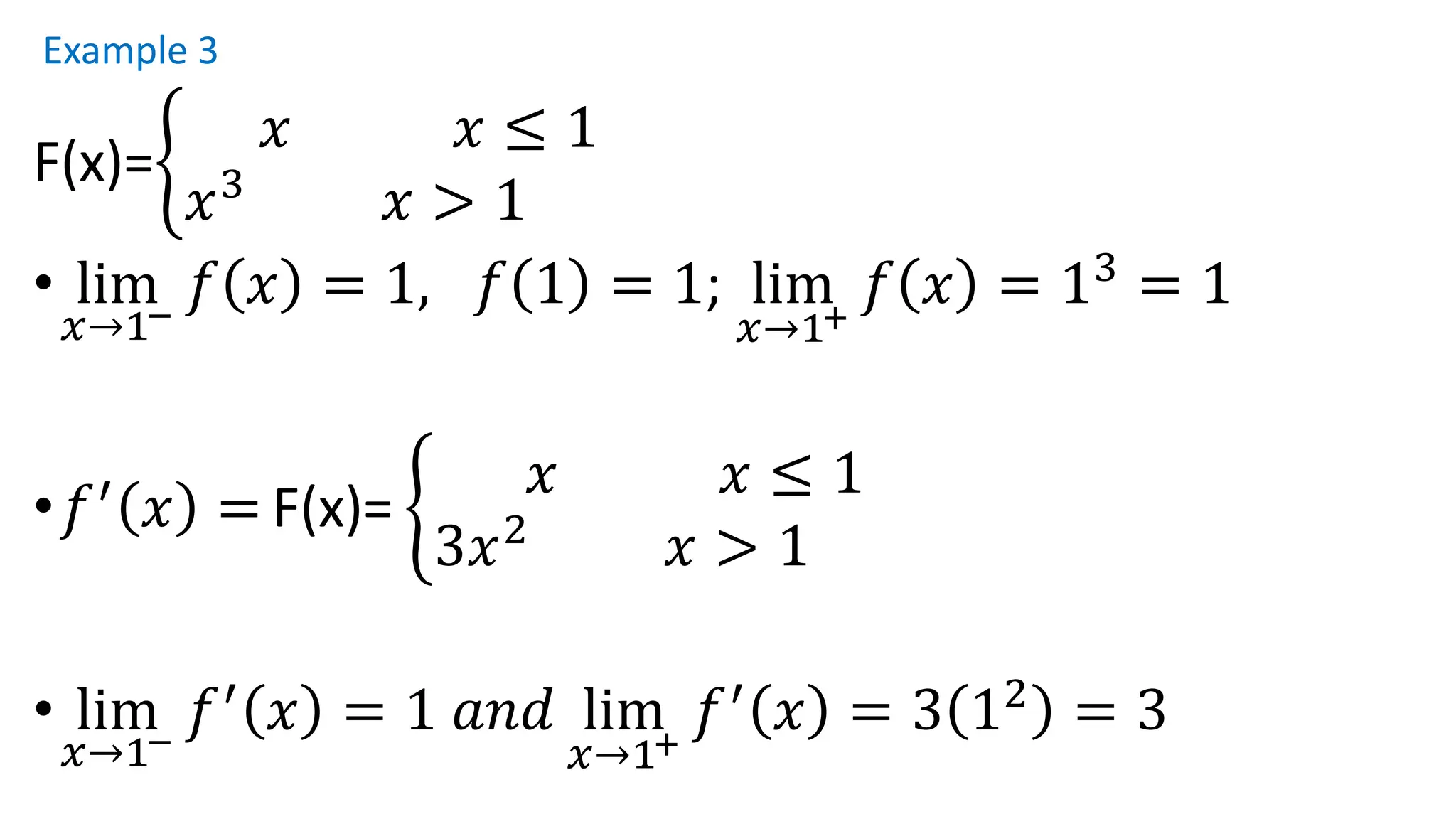
Example 3
F(x)=ቊ
𝑥 𝑥 ≤ 1
𝑥3
𝑥 > 1
• lim
𝑥→1−
𝑓 𝑥 = 1, 𝑓 1 = 1; lim
𝑥→1+
𝑓 𝑥 = 13
= 1
•𝑓′
𝑥 = F(x)= ቊ
𝑥 𝑥 ≤ 1
3𝑥2
𝑥 > 1
• lim
𝑥→1−
𝑓′
𝑥 = 1 𝑎𝑛𝑑 lim
𝑥→1+
𝑓′
𝑥 = 3 12
= 3
Example 4
Find the value of x that make
the F(x) differentiable
(Fx)=
𝑥 𝑥 > 0
−𝑥 𝑥 > 0
0 𝑥 = 0
M= slope
Example 5
Find the value of x that
make the F(x) differentiable
(Fx)=
𝑥2 < 0
𝑥 + 2 𝑥 ≥ 0
Example 6
Find the value of x that make the F(x)
differentiable
(Fx)=
𝑥 𝑥 ≤ 0
𝑥3 𝑥 > 0
Exercise
1. F(x)=ቊ 𝑥2
+ 𝑥 + 𝑎 𝑥 ≤ 0
𝑏𝑥 + 2 𝑥 > 1
, a and b are constants,
hence find all value of a and b for which f(x) is
differentiable.
2. Find all value of the constants a and b for which the
function defined by
F(x)=ቊ
𝑎𝑥 + 𝑏 𝑥 > 1
𝑥2
− 3𝑥 + 2 𝑥 ≤ 1
will be differentiable

01 Limits, Continuity and Differentiability.pdf

  • 1.
    GEG 117: EngineeringCalculus 1 Limit, Continuity and Differentiability of Functions By Dr Eganoosi Esme ATOJUNERE Department of Systems Engineering University of Lagos Nigeria
  • 2.
    GEG 117- EngineeringCalculus 1(2,0) • Functions, limits, continuity and differentiability. • Mean value theorems, • Techniques of differentiations of derivatives of algebraic, trigonometric,exponential and logarithm functions. •Curve sketching, • L’hopital rule,MacLaurin’s and Taylor series. •Applications of differentiation to rate of changes, maximum and minimum problems application to rectilinear motions
  • 3.
    Limits We begin byexpanding the notion of limit to include what we called One-sided limits, where x approaches a only from one side-the right or the left. right-hand limits lim 𝑥→𝑎+ 𝑓 𝑥 (𝑥 𝑐𝑜𝑚𝑒𝑠 𝑓𝑟𝑜𝑚 𝑡ℎ𝑒 𝑟𝑖𝑔ℎ𝑡 , 𝑥 > 𝑎) left-hand limits lim 𝑥→𝑎− 𝑓 𝑥 (𝑥 𝑐𝑜𝑚𝑒𝑠 𝑓𝑟𝑜𝑚 𝑡ℎ𝑒 𝑙𝑒𝑓𝑡 , 𝑥 < 𝑎) See Figure 1: ex.1- 4 below
  • 4.
    Example 1. lim 𝑥→1− 1− 𝑥2 = 0 lim 𝑥→1+ 1 − 𝑥2 = 0 As the picture shows(Fig.1), at the two endpoints of the domain, we only have a one-sided limit. Example 2 :Let f(x)=ቊ −1 𝑥 < 1 1 𝑥 > 0 Then lim 𝑥→0+ 𝑓 𝑥 = −1 , lim 𝑥→0+ 𝑓 𝑥 = 1 Example 3: lim 𝑥→0+ 1 𝑥 = ∞ lim 𝑥→0− 1 𝑥 = −∞ Example 4: lim 𝑥→0+ 1 𝑥2 = ∞ lim 𝑥→0− 1 𝑥2 = ∞ The relationship between the one-sided limits and the usual(two-sided) limit is given by: (1) lim 𝑥→𝑎 𝑓 𝑥 = 𝐿 = lim 𝑥→𝑎− 𝑓 𝑥 = 𝐿 𝑎𝑛𝑑 lim 𝑥→𝑎+ 𝑓 𝑥 = 𝐿 In words, the(two-sided) limit exist if and only if both one-sided limits exist and are equal. This shows for example that in Examples 2 & 3 above, lim 𝑥→0 𝑓 𝑥 𝑑𝑜𝑒𝑠 𝑛𝑜𝑡 𝑒𝑥𝑖𝑠𝑡. Caution: Students often say carelessly that lim 𝑥→0 1 𝑥 = ∞ but this is not ,it is simply wrong as the picture for example 3 shows. By contrast lim 𝑥→0 1 𝑥2 = ∞ is correct and acceptable terminology
  • 5.
    CONTINUITY: we cansay a function is continuous if its domain is an interval,and it is continuous at every point of the interval. • To understand continuity, it helps to see how a function can fail to be continuous, all of the important functions used in calculus and analysis are continuous except at isolated points. Such points are called points of discontinuity. (2) f(x) is continuous at a if lim 𝑥→𝑎 𝑓 𝑥 = 𝑓(𝑎) • Thus, if a is a point of discontinuity, something about the limit statement in (2) must fail to be true
  • 6.
    Continuous graph Points ofdiscontinuity: a hole and a jump
  • 7.
    Types of discontinuity •In a removable discontinuity lim 𝑥→𝑎 𝑓 𝑥 𝑒𝑥𝑖𝑠𝑡𝑠 𝑏𝑢𝑡 lim 𝑥→𝑎 𝑓 𝑥 ≠ 𝑓 𝑎 . • This may be because f(a) is undefined,or because f(a) has the ‘’wrong’’ value. The discontinuity can be removed by changing the definition of f(x) at a so that its new value there in is lim 𝑥→𝑎 𝑓 𝑥 . In the left-most picture 𝑥2 −1 𝑥−1 is undefined when x=1,but if the definition of the function is completed by setting f(1) =2,it becomes continuous - the hole in its graph is ‘’filled in’’. • In a jump discountinuity(Example 2),the right- and left-hand limits both exist,but are not equal. Thus, lim 𝑥→𝑎 𝑓 𝑥 𝑑𝑜𝑒𝑠 𝑛𝑜𝑡 𝑒𝑥𝑖𝑠𝑡,𝑎𝑐𝑐𝑜𝑟𝑑𝑖𝑛𝑔 𝑡𝑜 (1).𝑇ℎ𝑒 𝑠𝑖𝑧𝑒 𝑜𝑓 𝑡ℎ𝑒 𝑗𝑢𝑚𝑝 is the difference between the right-hand limit and the left-hand limit(it is 2 in Example 2,for instance).Though jump discontinuities are not common function, they occur frequently in engineering-for example in square waves in electrical engineering or the sudden discharge of a capacitors. • In an infinite discontinuity(Example 3 &4),the one-sided limits exist(perhaps as ∞ or - ∞) and al least one of them is ±∞
  • 8.
    • A pointof discontinuity is always understood to be isolated. For example it is the only bad point for the function on some interval. • Example 5: The function 1 𝑥 is continuous on (0, ∞) and on (- ∞,0).i.e. for x > 0 𝑎𝑛𝑑 𝑓𝑜𝑟 𝑥 < 0, 𝑖𝑛 𝑜𝑟𝑑𝑒𝑟 𝑤𝑜𝑟𝑑𝑠, 𝑎𝑡 𝑒𝑣𝑒𝑟𝑦 𝑝𝑜𝑖𝑛𝑡 𝑖𝑛 𝑖𝑡𝑠 𝑑𝑜𝑚𝑎𝑖𝑛.However,it is not continuous function since its domain is not an interval.It has a single point od discountinuity,namely x = 0, and it has an infinite discontinuity there. • Example 6. The function tan x is not continuous, but is continuous on for example the interval - 𝜋 2 <x < 𝜋 2 . It has infinitely many points of discontinuity at ± 𝜋 2 , ± 3𝜋 2 etc.: all are infinite discontinuities. Example 7. 𝑓 𝑥 = 𝑥 is continuous, but 𝑓′ 𝑥 ℎ𝑎𝑠 𝑎 𝑗𝑢𝑚𝑝 𝑑𝑖𝑐𝑜𝑢𝑛𝑡𝑖𝑛𝑢𝑖𝑡𝑦 𝑎𝑡 0. Example 8.The function in Example 2, 𝑓 𝑥 = ቊ 1 𝑥 > 0 −1 𝑥 < 0 does not have a continuous derivatives 𝑓′ 𝑥 - student often thinks it does since it seems that 𝑓′ 𝑥 =0 everywhere, However this is not so: 𝑓′ 0 does not exist, since by • definition 𝑓′ 0 = lim 𝑥→0 𝑓 0+ ∆𝑥 −𝑓(0) ∆𝑥 but f(0) does not even exist. • Even if f(0) is defined to be say 1,or 0,the derivative 𝑓′ 0 does not exist.
  • 9.
    Figure 3: someexceptional functions • Remember the important little theorem ( 3) 𝑓 𝑥 = differentiable at a = 𝑓 𝑥 = continuous at a or to put it contra positively, 𝑓 𝑥 𝑑𝑖𝑠𝑐𝑜𝑛𝑡𝑖𝑛𝑜𝑢𝑠 𝑎𝑡 𝑎 = 𝑓 𝑥 = not differentiable. The Example 8 is continuous at 0,so it has no derivatives at 0; the discontinuity of 𝑓′ 𝑥 at 0 is a removable discontinuity
  • 10.
  • 11.
    Example 1 Find allvalue of a and b such that the function f(x) is differentiable Let F(x) = ቊ 𝑎𝑥 + 𝑏 𝑥 < 1 𝑥4 + 𝑥 + 1 𝑥 ≥ 1 • lim 𝑥→1− 𝑓 𝑥 = lim 𝑥→1− f(x) = (ax+b) = a+b ; lim 𝑥→1 + 𝑓 𝑥 = lim 𝑥→1+ (𝑥4 + 𝑥 + 1) = 3 • So f(x) is continuous at x =1 if and only if 𝑎 + 𝑏 = 3 • Solving for derivative of f(x) • lim 𝑥→1− 𝑓′ 𝑥 = lim 𝑥→1− 𝑎 = a ; lim 𝑥→1+ 𝑓′ 𝑥 = lim 𝑥→1+ 4𝑥3 +1= 5 • So 𝑓′ 𝑥 = is differentiable at x=1 if and only if a= 5 ,so b=2
  • 12.
    Example 2 Let F(x)=ቊ 𝑎𝑥+ 𝑏 𝑥 > 1 1 − 𝑥 + 𝑥2 𝑥 ≤ 0 Continuous ȁ 𝑎𝑥 + 𝑏 0 = ȁ 1 − 𝑥 + 𝑥2 0 or b =1 • lim 𝑥→0− 𝑓′ 𝑎𝑥 + 𝑏 = lim 𝑥→0− a ; lim 𝑥→0+ 𝑓′ 1 − 𝑥 + 𝑥2 = lim 𝑥→0− −1+2x • Differentiability = lim 𝑥→0− 𝑓𝑥 = lim 𝑥→0+ (fx) • a= −1+2x and at x = 0 a = -1
  • 13.
    Example 3 F(x)=ቊ 𝑥 𝑥≤ 1 𝑥3 𝑥 > 1 • lim 𝑥→1− 𝑓 𝑥 = 1, 𝑓 1 = 1; lim 𝑥→1+ 𝑓 𝑥 = 13 = 1 •𝑓′ 𝑥 = F(x)= ቊ 𝑥 𝑥 ≤ 1 3𝑥2 𝑥 > 1 • lim 𝑥→1− 𝑓′ 𝑥 = 1 𝑎𝑛𝑑 lim 𝑥→1+ 𝑓′ 𝑥 = 3 12 = 3
  • 14.
    Example 4 Find thevalue of x that make the F(x) differentiable (Fx)= 𝑥 𝑥 > 0 −𝑥 𝑥 > 0 0 𝑥 = 0 M= slope
  • 15.
    Example 5 Find thevalue of x that make the F(x) differentiable (Fx)= 𝑥2 < 0 𝑥 + 2 𝑥 ≥ 0
  • 16.
    Example 6 Find thevalue of x that make the F(x) differentiable (Fx)= 𝑥 𝑥 ≤ 0 𝑥3 𝑥 > 0
  • 17.
    Exercise 1. F(x)=ቊ 𝑥2 +𝑥 + 𝑎 𝑥 ≤ 0 𝑏𝑥 + 2 𝑥 > 1 , a and b are constants, hence find all value of a and b for which f(x) is differentiable. 2. Find all value of the constants a and b for which the function defined by F(x)=ቊ 𝑎𝑥 + 𝑏 𝑥 > 1 𝑥2 − 3𝑥 + 2 𝑥 ≤ 1 will be differentiable