BEAMS ON ELASTIC 
FOUNDATION 
Under the guidance 
Of 
Dr.M.V.RENUKA DEVI 
Associate Professor 
Department of Civil Engineering, RVCE 
By 
M.PRASANNA KUMAR 
(1RV13CSE05)
INTRODUCTION 
• Beneath the foundation soil mass is considered as 
identical, independent, closely spaced, linearly elastic 
springs which is known asWinkler foundation. 
• Bending of beams on an elastic foundation is 
developed on the assumption that the reaction forces of 
the foundation are proportional at every point to the 
deflection of the beam at that point . 
• One of the most important deficiencies of the Winkler 
model is that a displacement discontinuity appears 
between the loaded and the unloaded part of the 
foundation surface. In reality, the soil surface does not 
show any discontinuity.
Classification of beams: 
The beams on elastic foundation can be 
classified into three types 
• Short beams for which β퐿 ≤ 0.6 
• Medium beams or semi-infinite beams for which 
0.6< βL < 5 
• Long beams or infinite beams β퐿 ≥ 5 
L= length of the beam
Infinite beam subjected to point load 
• As we know , EI 
d2y 
d푧2 = − M 
d3y 
d푧3 = − V 
EI 
EI 
d4y 
d푧4 = − q
• Where the distributed reaction force q is 
positive when acting upward 
• For linearly elastic foundation, the distributed 
force q is linearly proportional to the deflection 
y . Thus, 
q = ky 
k = bk0 
Where k is the elastic coefficient, k0 is the elastic 
foundation modulus, and b is the width of the 
foundation.
EIx 
d4y 
dz4 = − ky 
d4y 
dz4 = − 
k 
EIx 
y 
• To solve this homogeneous, fourth order, linear 
differential equation. 
we will assume that 
k 
EIx 
= 4β4,then 
d4y 
dz4 + 4β4y = 0 
• By using method of differential equation the solution of 
above equation is 
y = eβz c1sinβz + c2cosβz + e−βz c3sinβz +
Since the deflection 푦 = 0 , z ∞ then the term eβz ∞ 
and e−βz 0 
we obtain c1, = c2 = 0 , y = e−βz c3sinβz + c4cosβz 
• By applying boundary conditions 
1. dy 
dz 
= 0 at z = 0 
dy 
dz 
= −βe−βz c3sinβz + c4cosβz + 
βe−βz c3cosβz − c4sinβz = 0 
we get 
c3 = c4 = c ; y = ce−βz sinβz + cosβz
∞ 
kydz = p 
2. 2 0 
∞ 
kce−βz sinβz + cosβz dz = p 
2 0 
∞ 
kce−βz sinβz) + 0 
0 
∞ 
e−βz cosβz dz = 
P 
2KC 
1 
2β 
+ 
1 
2β 
= 
P 
2KC 
C = 
Pβ 
2K 
Then equation for deflection is 
y = 
Pβ 
2K 
e−βz sinβz + cosβz
θ = 
dy 
dz 
= 
Pβ 
2K 
[−2βe−βz sinβz ] 
= − 
Pβ2 
K 
[e−βz sinβz ] 
Mx = −EIx 
d2y 
dz2 = EIx 
Pβ2 
K 
d 
dz 
[e−βz sinβz ] 
= 
P 
4β 
e−βz cosβz − sinβz) 
Vy = − 
dM 
dz 
= − 
d 
dz 
[ 
P 
4β 
e−βz cosβz − sinβz ] 
= 
P 
2 
e−βz cosβz
• Defining, 
Aβz = e−βz cosβz + sinβz) Bβz = e−βz sinβz 
Cβz = e−βz cosβz − sinβz) Dβz = e−βz cosβz) 
Then, we have 
y = 
Pβ 
2K 
Aβz 
θ = − 
Pβ2 
K 
Bβz 
Mx = 
P 
4β 
Cβz 
Vy = 
P 
2 
Dβz
• A rail road uses steel rails (E = 200.0 GPa ) with a depth of 
184 mm . The distance from the top of the rail to its centroid 
is 99.1 mm , and the moment of inertia of the rail is 36 × 
106mm4. The rail is supported by ties, ballast, and a road bed 
that together are assumed to act as an elastic foundation with 
modulus of subgrade reaction k = 14.0N/mm2.length is 6m. 
(a) Determine the maximum deflection, maximum bending 
moment, and maximum flexural stress in the rail for a single 
wheel load of 170 KN as shown in Fig 
(b) If a locomotive has 3 wheels per truck equally spaced at 1.70 
m, determine the maximum deflection, maximum bending 
moment and maximum flexural stress in rail when the load 
on each wheel is 170 kN.
Solution: β = 
4 14 
4×200×103×36.0×106 = 0.000835mm−1 
β × 푙 = 0.000835 × 6 = 5 
(a) The maximum deflection and the maximum 
bending moment occur under the load Where z =0 
therefore Aβz = Cβz = 1.0
ymax = 
Pβ 
2K 
Aβz = 
170 × 103 × 0.000835 
2 × 14 
= 5.069 푚푚 
Mmax = 
P 
4β 
Cβz = 
170 × 103 
4 × 0.000835 
= 50.89 × 106 N − m 
σmax = 
Mmax × C 
Ix 
= 
50.89 × 106 × 99.1 
36.9 × 106 = 136.6 Mpa 
(b) Case (i):
• For case 1, let the origin of the coordinate be located 
under one of the end wheel. The distance to the first 
wheel 푧1 = 0 , we have 
Aβz1 = Cβz1 = 1.0 
The distance from the origin to the next wheel is 
z2 = 1700mm 
Aβz2 = 0.2797 Cβz2 = −0.2018 
The distance from the origin to the next wheel is 
z3 = 3400mm 
Aβz3 = −0.0377 Cβz3 = −0.0752 
• we get the maximum deflection and the maximum 
bending moment equal to
ymax = 
Pβ 
2K 
Aβz1 + Aβz2 + Aβz3 
= 5.069 1 + 0.2797 − 0.0377 = 6.2958mm 
Mmax = 
P 
4β 
Cβz1+Cβz2 + Cβz3) = 50.89 × 106 1 −
• ymax = 
Pβ 
2K 
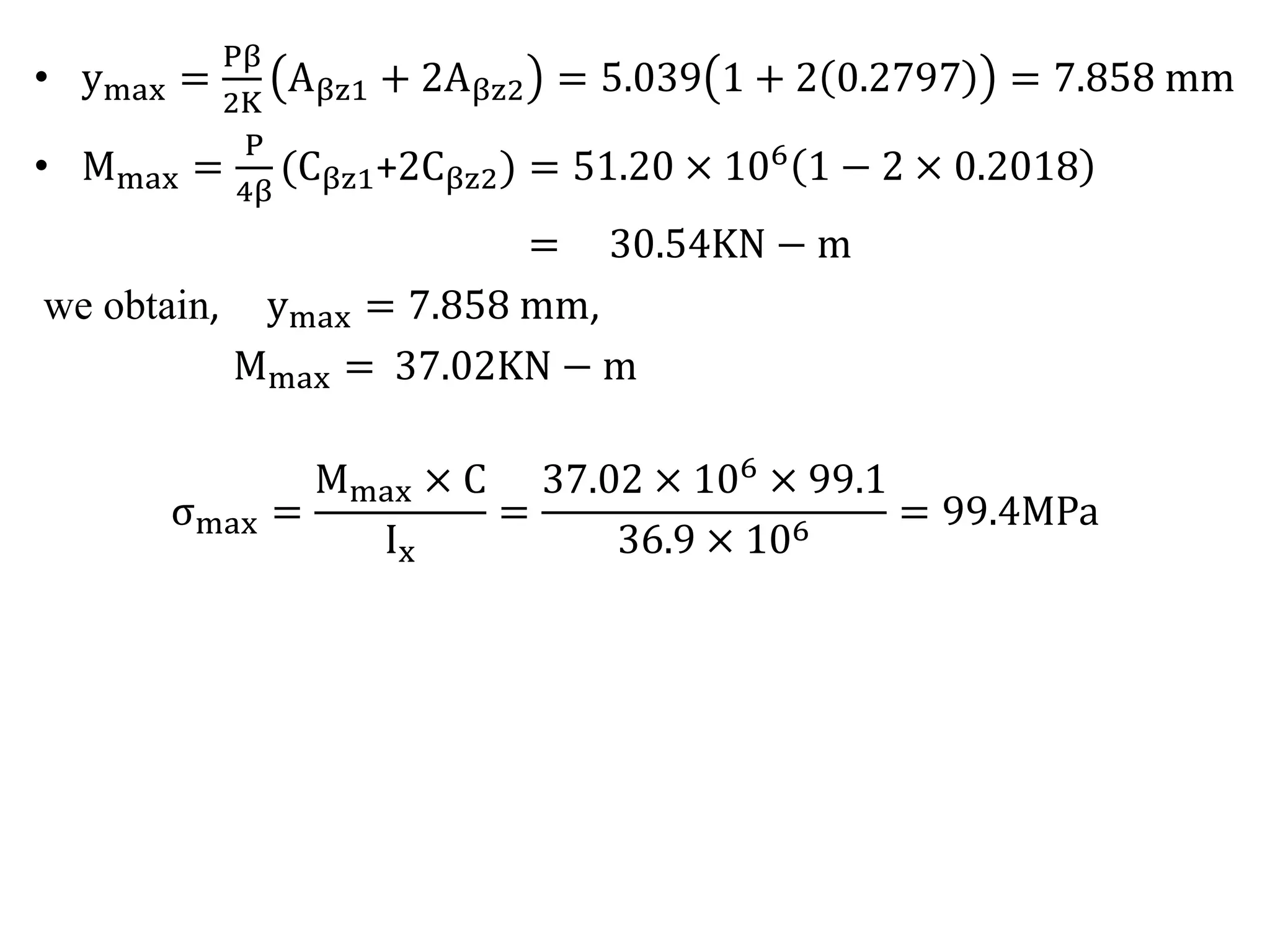
Aβz1 + 2Aβz2 = 5.039 1 + 2 0.2797 = 7.858 mm 
• Mmax = 
P 
4β 
Cβz1+2Cβz2) = 51.20 × 106 1 − 2 × 0.2018 
= 30.54KN − m 
we obtain, ymax = 7.858 mm, 
Mmax = 37.02KN − m 
σmax = 
Mmax × C 
Ix 
= 
37.02 × 106 × 99.1 
36.9 × 106 = 99.4MPa
Beam Supported on Equally Spaced 
Separated Elastic Supports
Each spring has same spring constant K . The 
reaction force R exerted on the beam is directly 
proportional to the deflection y 
R = ky 
the load R can be idealized as uniformly distributed 
over a total span L 
Ky = kyl 
k = K 
l 
k is the elastic coefficient 
However it has to satisfy the condition 
Check for spacing of the spring l ≤ 
π 
4β
To obtain a reasonable approximate solution 
Check for length of the beam is 
L′′≥ 
3π 
2β
• Problem2: An aluminium alloy I-beam (depth = 
100푚푚, Ix = 2.45 × 106mm4 , E = 72.0GPa) as shown 
in figure has a length of 7m and is supported by 7 
springs k = 110N mm. Spaced at a distance of 1.1m 
centre to centre along the beam. A load P = 12.0KN is 
applied at the centre of the beam. Determine the 
maximum deflection of the beam, the maximum bending 
moment, and the maximum bending stress in the beam.
Solution: The elastic coefficient 
k = 
110 
1100 
= 0.1N mm2 
the value of β 
β = 
4 0.1 
4 × 72 × 103 × 2.45 × 106 = 0.000614 mm−1 
Check the spacing of the spring. 
l < 
π 
4β 
= 
π 
4×0.000614 
= 1279 mm 
Check the length of the beam 
• L′′ = 7000 + 1100 = 8100 > 
3π 
2β 
= 
3π 
2 0.000614) 
= 7675
The maximum deflection and the maximum 
bending moment of the beam occur under the load 
where, Aβz= Cβz = 1.0 
ymax = 
Pβ 
2K 
Aβz = 
12 × 103 × 0.000614 
2 × 0.1 
= 36.84 mm 
Mmax = 
P 
4β 
Cβz = 
12 × 103 
4 × 0.0006140 
= 4.886 × 106 N − m 
σmax = 
Mmax × C 
Ix 
= 99.7 MPa
Infinite Beam Subjected to a Distributed 
Load Segment 
From the displacement solution of the beam 
subjected to concentrated load 
y = 
Pβ 
2K 
e−βz sinβz + cosβz
dyh = 
wβ 
2K 
e−βz sinβz + cosβz dz 
By using the principle of superposition, the total 
deflection due to the distributed load is 
a wβ 
yh = 0 
2K 
e−βz sinβz + cosβz dz + 
b wβ 
0 
2K 
e−βz sinβz + cosβz dz 
yh = 
wβ 
2K 
[ 
1 
β 
1 − e−aβcosβa + 
1 
β 
1 − e−bβcosβb ] 
= 
w 
2K 
[2 − e−aβcosβa − e−bβcosβb] 
θH = 
a dyh 
0 
dz 
dz + 
b dyh 
0 
dz 
dz = 
wβ 
2K 
[Aβa − Aβb] 
MH = 
w 
4β2 [Bβa + Bβb] VH = 
w 
4β 
[Cβa − Cβb]
where, 
Aβa = e−aβ sinβa + cosβa) Bβa = e−aβsinβa 
Cβa = e−aβ cosβa − sinβa) Dβa = e−aβcosβa 
Aβb = e−bβ sinβb + cosβb) Bβb = e−bβsinβb 
Cβb = e−bβ cosβb − sinβb) Dβb = e−bβcosβb 
yh = 
w 
2K 
[2 − Dβa − Dβb] 
θH = 
wβ 
2K 
[Aβa − Aβb] 
MH = 
w 
4β2 [Bβa + Bβb] 
VH = 
w 
4β 
[Cβa − Cβb]
• Problem 3: A long wood beam (E = 10.0 GPa) has a 
rectangular cross section with a depth of 200 mm and a 
width of 100 mm . It rests on an earth foundation having 
spring constant of k0 = 0.040N mm3and is subjected 
to a uniformly distributed load 35 N/mm extending over 
a lengthL′ = 3.61m. Taking the origin of the coordinate 
at the centre of the segment L′ = 3.61m. determine the 
maximum deflection, the maximum bending stress in the 
beam, and the maximum pressure between the beam and 
the foundation. The moment of inertia of the beam about 
x -axis isIx = 66.67 × 106mm4.
Solution: The elastic coefficient k = bk0 = 100 × 0.040 = 
4N mm2 
value of β = 
4 4 
4×104×66.67×106 = 0.001107mm−1 
The maximum deflection occurs at the centre of segment 
L′ since a = b = L′/2 
βa = βb = β 
L′ 
2 
= 2.0, Dβa = Dβb = −0.0563 
yh = 
w 
2K 
2 − Dβa − Dβb = 
35 
4 
2 − 2 −0.0563 
= 9.243mm
• The maximum pressure between the beam and the 
foundation occurs at the point of the maximum 
deflection 
qmax = k0ymax = 0.040 × 9.243 = 0.370MPa 
Maximum bending occurs at where shear force is zero 
VH = 
w 
4β 
Cβa − Cβb = 0 
Cβa = Cβb 
e−aβ cosβa − sinβa = e−bβ cosβb − sinβb) 
β 
L′ 
2 
= 2.0 (L′= a+b) βb = 4 − βa 
βa = 0.858 , −0.777 
βb = 3.142 , 4.777
Mmax = 
w 
4β2 [Bβa + Bβb] 
= 
35 
4 0.001072) 
[0.3233 + 0.0086] 
= 2.363 KN-m 
Bending stress is σ = 
M 
I 
× Y = 3.544 MPa
Semi-infinite beam Subjected to Loads at 
Its End 
Consider the semi-infinite beam subjected to a point load 
P and a positive bending moment M0 at its end 
y = e−βz c3sinβz + c4cosβz
c3,c4 can be obtained by applying boundary 
conditions 
EIx 
d2y 
dz2 
z=0 
= −M0 
EIx 
d3y 
dz3 
z=0 
= −Vy = P 
d2y 
dz2 = − 
2β2 
eβz [c3cosβz − c4sinβz] 
c3 = 
M0 
2β2EIx 
= 
2β2M0 
k 
d3y 
dz3 = 
2β3 
eβz [c3sinβz + c4cosβz + c3cosβz − c4sinβz]
c3 + c4 = 
p 
2β3EIx 
= 
2βP 
k 
c4 = 
2βP 
k 
− 
2β2M0 
k 
the deflection of the beam is 
y = 
2βe−βz 
k 
[Pcosβz − βM0 cosβz − sinβz)] 
By rearranging, y = 
2βP 
k 
Dβz − 
2β2M0 
k 
Cβz 
θ = − 
2Pβ2 
K 
Aβz + 
4β3M0 
k 
Dβz 
Mx = − 
P 
β 
Bβz + M0 Aβz 
Vy = −PCβz − 2M0β Bβz
A steel I-beam (E = 200GPa ) has a depth of 102mm , a 
width of 68mm , a moment of inertia of Ix = 2.53 × 
106mm4 and a length of 4m. It is attached to a rubber 
foundation for which k0 = 0.350 N mm3. A concentrated 
load p = 30.0 KN is applied at one end of the beam. 
Determine the maximum deflection, the maximum bending 
stress in the beam, and their locations. 
Solution: The spring coefficient, k = bk0 
= 68 × 0.350 = 23.58N mm2 
value of β = 
4 23.8 
4×200×103×2.53×106 = 0.001852mm−1 
The maximum deflection occurs at the end where load P is 
applied (z =0 ), sinceDβz is maximum we have βz = 0 and 
Dβz = 1
Mx = − 
P 
β 
Bβz = − 
30 × 103 
0.001852 
× 0.3224 = −5.22 KN − m 
σ = 
M 
I 
× Y = 
5.22 × 106 × 4.67 
2.53 × 106 = 9.63MPa 
FINITE BEAMS: 
• Finite beams are defined as beams for which 훽푙 ≤ 0.6 
• Finite beams can be analysed using the analysis results 
of infinite beams 
• Finite beam can be split into loading case namely 
symmetric and anti-symmetric load acting on infinite 
beam.
PRACTICAL SIGNIFICANCE 
• Historically the first application of this theory was to 
rail road track 
• Another application of this soon after the rail road 
track is grid works of beams 
• Mat foundation under certain structures, such as silos 
water storage tanks, coal storage tanks, etc., and 
footing foundation supporting group of columns, are 
frequently designed and constructed in the form of 
beams resting on soil. 
• No doubt it satisfies the actual conditions of real 
elastic theory of soil.
REFERENCES 
• Arthur P. Boresi, Richard J.Schindt, “Advanced Mechanics of materials”, 
Sixth edition John Wiley &Sons. Inc., New Delhi, 2005 
• Thimoshenko & J N Goodier, “Mechanics Of Solids”, Tata McGraw-Hill 
publishing Co.Ltd, New Delhi, 1997 
• Seely Fred B. and Smith James O., “ Advanced Mechanics of Materials”, 2nd 
edition, John Wiley & Sons Inc, New York, 1952, pp.112-136 
• Srinath L.S., “Advanced Mechanics of Solids”, Tata McGraw-Hill 
publishing Co.Ltd, New Delhi, 1980, pp180-191 
• Thimoshenko S., “Strength of Materials”, Part-1, Elementary Theory and 
Problems, 3rd Edition, D. Van Nostrand company Inc., New York, 1955, 
pp.227-244 
• Boresi A.P and Chong K.P(2000), “Elasticity In Engineering Mechanics” 
2nd edition New York ; Wiley – Interscience. 
• N Krishna Raju & D R Gururaja, “Advance Mechanics Of Solids & 
Structures”, 1997 
• B C Punmia & A K Jain. “Strength of Materials and Theory of Structures”, 
Vol.2 Lakshmi publications (P) Ltd.

Bef 2

  • 1.
    BEAMS ON ELASTIC FOUNDATION Under the guidance Of Dr.M.V.RENUKA DEVI Associate Professor Department of Civil Engineering, RVCE By M.PRASANNA KUMAR (1RV13CSE05)
  • 2.
    INTRODUCTION • Beneaththe foundation soil mass is considered as identical, independent, closely spaced, linearly elastic springs which is known asWinkler foundation. • Bending of beams on an elastic foundation is developed on the assumption that the reaction forces of the foundation are proportional at every point to the deflection of the beam at that point . • One of the most important deficiencies of the Winkler model is that a displacement discontinuity appears between the loaded and the unloaded part of the foundation surface. In reality, the soil surface does not show any discontinuity.
  • 3.
    Classification of beams: The beams on elastic foundation can be classified into three types • Short beams for which β퐿 ≤ 0.6 • Medium beams or semi-infinite beams for which 0.6< βL < 5 • Long beams or infinite beams β퐿 ≥ 5 L= length of the beam
  • 4.
    Infinite beam subjectedto point load • As we know , EI d2y d푧2 = − M d3y d푧3 = − V EI EI d4y d푧4 = − q
  • 5.
    • Where thedistributed reaction force q is positive when acting upward • For linearly elastic foundation, the distributed force q is linearly proportional to the deflection y . Thus, q = ky k = bk0 Where k is the elastic coefficient, k0 is the elastic foundation modulus, and b is the width of the foundation.
  • 6.
    EIx d4y dz4= − ky d4y dz4 = − k EIx y • To solve this homogeneous, fourth order, linear differential equation. we will assume that k EIx = 4β4,then d4y dz4 + 4β4y = 0 • By using method of differential equation the solution of above equation is y = eβz c1sinβz + c2cosβz + e−βz c3sinβz +
  • 7.
    Since the deflection푦 = 0 , z ∞ then the term eβz ∞ and e−βz 0 we obtain c1, = c2 = 0 , y = e−βz c3sinβz + c4cosβz • By applying boundary conditions 1. dy dz = 0 at z = 0 dy dz = −βe−βz c3sinβz + c4cosβz + βe−βz c3cosβz − c4sinβz = 0 we get c3 = c4 = c ; y = ce−βz sinβz + cosβz
  • 8.
    ∞ kydz =p 2. 2 0 ∞ kce−βz sinβz + cosβz dz = p 2 0 ∞ kce−βz sinβz) + 0 0 ∞ e−βz cosβz dz = P 2KC 1 2β + 1 2β = P 2KC C = Pβ 2K Then equation for deflection is y = Pβ 2K e−βz sinβz + cosβz
  • 9.
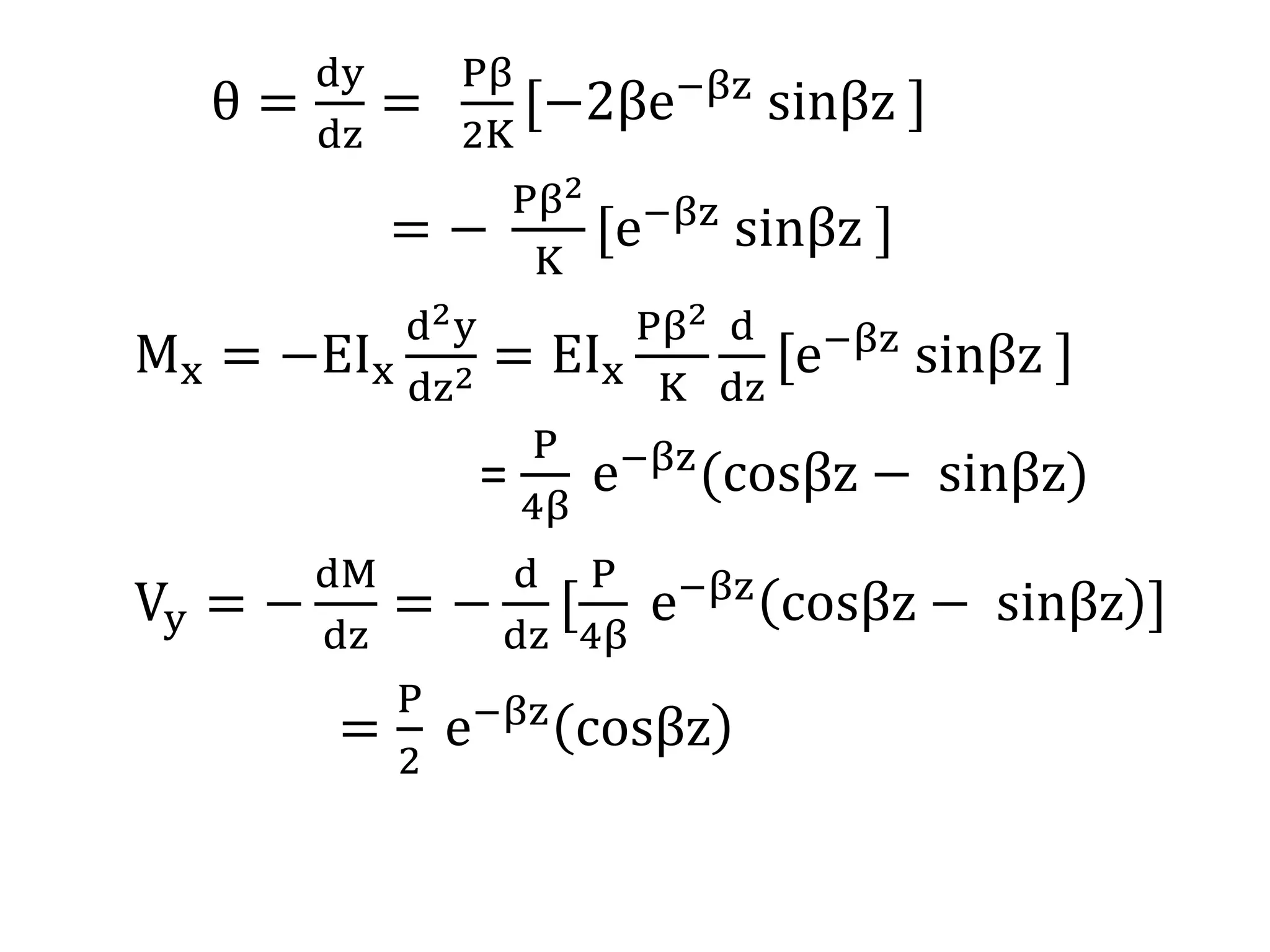
    θ = dy dz = Pβ 2K [−2βe−βz sinβz ] = − Pβ2 K [e−βz sinβz ] Mx = −EIx d2y dz2 = EIx Pβ2 K d dz [e−βz sinβz ] = P 4β e−βz cosβz − sinβz) Vy = − dM dz = − d dz [ P 4β e−βz cosβz − sinβz ] = P 2 e−βz cosβz
  • 10.
    • Defining, Aβz= e−βz cosβz + sinβz) Bβz = e−βz sinβz Cβz = e−βz cosβz − sinβz) Dβz = e−βz cosβz) Then, we have y = Pβ 2K Aβz θ = − Pβ2 K Bβz Mx = P 4β Cβz Vy = P 2 Dβz
  • 11.
    • A railroad uses steel rails (E = 200.0 GPa ) with a depth of 184 mm . The distance from the top of the rail to its centroid is 99.1 mm , and the moment of inertia of the rail is 36 × 106mm4. The rail is supported by ties, ballast, and a road bed that together are assumed to act as an elastic foundation with modulus of subgrade reaction k = 14.0N/mm2.length is 6m. (a) Determine the maximum deflection, maximum bending moment, and maximum flexural stress in the rail for a single wheel load of 170 KN as shown in Fig (b) If a locomotive has 3 wheels per truck equally spaced at 1.70 m, determine the maximum deflection, maximum bending moment and maximum flexural stress in rail when the load on each wheel is 170 kN.
  • 12.
    Solution: β = 4 14 4×200×103×36.0×106 = 0.000835mm−1 β × 푙 = 0.000835 × 6 = 5 (a) The maximum deflection and the maximum bending moment occur under the load Where z =0 therefore Aβz = Cβz = 1.0
  • 13.
    ymax = Pβ 2K Aβz = 170 × 103 × 0.000835 2 × 14 = 5.069 푚푚 Mmax = P 4β Cβz = 170 × 103 4 × 0.000835 = 50.89 × 106 N − m σmax = Mmax × C Ix = 50.89 × 106 × 99.1 36.9 × 106 = 136.6 Mpa (b) Case (i):
  • 14.
    • For case1, let the origin of the coordinate be located under one of the end wheel. The distance to the first wheel 푧1 = 0 , we have Aβz1 = Cβz1 = 1.0 The distance from the origin to the next wheel is z2 = 1700mm Aβz2 = 0.2797 Cβz2 = −0.2018 The distance from the origin to the next wheel is z3 = 3400mm Aβz3 = −0.0377 Cβz3 = −0.0752 • we get the maximum deflection and the maximum bending moment equal to
  • 15.
    ymax = Pβ 2K Aβz1 + Aβz2 + Aβz3 = 5.069 1 + 0.2797 − 0.0377 = 6.2958mm Mmax = P 4β Cβz1+Cβz2 + Cβz3) = 50.89 × 106 1 −
  • 16.
    • ymax = Pβ 2K Aβz1 + 2Aβz2 = 5.039 1 + 2 0.2797 = 7.858 mm • Mmax = P 4β Cβz1+2Cβz2) = 51.20 × 106 1 − 2 × 0.2018 = 30.54KN − m we obtain, ymax = 7.858 mm, Mmax = 37.02KN − m σmax = Mmax × C Ix = 37.02 × 106 × 99.1 36.9 × 106 = 99.4MPa
  • 17.
    Beam Supported onEqually Spaced Separated Elastic Supports
  • 18.
    Each spring hassame spring constant K . The reaction force R exerted on the beam is directly proportional to the deflection y R = ky the load R can be idealized as uniformly distributed over a total span L Ky = kyl k = K l k is the elastic coefficient However it has to satisfy the condition Check for spacing of the spring l ≤ π 4β
  • 19.
    To obtain areasonable approximate solution Check for length of the beam is L′′≥ 3π 2β
  • 20.
    • Problem2: Analuminium alloy I-beam (depth = 100푚푚, Ix = 2.45 × 106mm4 , E = 72.0GPa) as shown in figure has a length of 7m and is supported by 7 springs k = 110N mm. Spaced at a distance of 1.1m centre to centre along the beam. A load P = 12.0KN is applied at the centre of the beam. Determine the maximum deflection of the beam, the maximum bending moment, and the maximum bending stress in the beam.
  • 21.
    Solution: The elasticcoefficient k = 110 1100 = 0.1N mm2 the value of β β = 4 0.1 4 × 72 × 103 × 2.45 × 106 = 0.000614 mm−1 Check the spacing of the spring. l < π 4β = π 4×0.000614 = 1279 mm Check the length of the beam • L′′ = 7000 + 1100 = 8100 > 3π 2β = 3π 2 0.000614) = 7675
  • 22.
    The maximum deflectionand the maximum bending moment of the beam occur under the load where, Aβz= Cβz = 1.0 ymax = Pβ 2K Aβz = 12 × 103 × 0.000614 2 × 0.1 = 36.84 mm Mmax = P 4β Cβz = 12 × 103 4 × 0.0006140 = 4.886 × 106 N − m σmax = Mmax × C Ix = 99.7 MPa
  • 23.
    Infinite Beam Subjectedto a Distributed Load Segment From the displacement solution of the beam subjected to concentrated load y = Pβ 2K e−βz sinβz + cosβz
  • 24.
    dyh = wβ 2K e−βz sinβz + cosβz dz By using the principle of superposition, the total deflection due to the distributed load is a wβ yh = 0 2K e−βz sinβz + cosβz dz + b wβ 0 2K e−βz sinβz + cosβz dz yh = wβ 2K [ 1 β 1 − e−aβcosβa + 1 β 1 − e−bβcosβb ] = w 2K [2 − e−aβcosβa − e−bβcosβb] θH = a dyh 0 dz dz + b dyh 0 dz dz = wβ 2K [Aβa − Aβb] MH = w 4β2 [Bβa + Bβb] VH = w 4β [Cβa − Cβb]
  • 25.
    where, Aβa =e−aβ sinβa + cosβa) Bβa = e−aβsinβa Cβa = e−aβ cosβa − sinβa) Dβa = e−aβcosβa Aβb = e−bβ sinβb + cosβb) Bβb = e−bβsinβb Cβb = e−bβ cosβb − sinβb) Dβb = e−bβcosβb yh = w 2K [2 − Dβa − Dβb] θH = wβ 2K [Aβa − Aβb] MH = w 4β2 [Bβa + Bβb] VH = w 4β [Cβa − Cβb]
  • 26.
    • Problem 3:A long wood beam (E = 10.0 GPa) has a rectangular cross section with a depth of 200 mm and a width of 100 mm . It rests on an earth foundation having spring constant of k0 = 0.040N mm3and is subjected to a uniformly distributed load 35 N/mm extending over a lengthL′ = 3.61m. Taking the origin of the coordinate at the centre of the segment L′ = 3.61m. determine the maximum deflection, the maximum bending stress in the beam, and the maximum pressure between the beam and the foundation. The moment of inertia of the beam about x -axis isIx = 66.67 × 106mm4.
  • 27.
    Solution: The elasticcoefficient k = bk0 = 100 × 0.040 = 4N mm2 value of β = 4 4 4×104×66.67×106 = 0.001107mm−1 The maximum deflection occurs at the centre of segment L′ since a = b = L′/2 βa = βb = β L′ 2 = 2.0, Dβa = Dβb = −0.0563 yh = w 2K 2 − Dβa − Dβb = 35 4 2 − 2 −0.0563 = 9.243mm
  • 28.
    • The maximumpressure between the beam and the foundation occurs at the point of the maximum deflection qmax = k0ymax = 0.040 × 9.243 = 0.370MPa Maximum bending occurs at where shear force is zero VH = w 4β Cβa − Cβb = 0 Cβa = Cβb e−aβ cosβa − sinβa = e−bβ cosβb − sinβb) β L′ 2 = 2.0 (L′= a+b) βb = 4 − βa βa = 0.858 , −0.777 βb = 3.142 , 4.777
  • 29.
    Mmax = w 4β2 [Bβa + Bβb] = 35 4 0.001072) [0.3233 + 0.0086] = 2.363 KN-m Bending stress is σ = M I × Y = 3.544 MPa
  • 30.
    Semi-infinite beam Subjectedto Loads at Its End Consider the semi-infinite beam subjected to a point load P and a positive bending moment M0 at its end y = e−βz c3sinβz + c4cosβz
  • 31.
    c3,c4 can beobtained by applying boundary conditions EIx d2y dz2 z=0 = −M0 EIx d3y dz3 z=0 = −Vy = P d2y dz2 = − 2β2 eβz [c3cosβz − c4sinβz] c3 = M0 2β2EIx = 2β2M0 k d3y dz3 = 2β3 eβz [c3sinβz + c4cosβz + c3cosβz − c4sinβz]
  • 32.
    c3 + c4= p 2β3EIx = 2βP k c4 = 2βP k − 2β2M0 k the deflection of the beam is y = 2βe−βz k [Pcosβz − βM0 cosβz − sinβz)] By rearranging, y = 2βP k Dβz − 2β2M0 k Cβz θ = − 2Pβ2 K Aβz + 4β3M0 k Dβz Mx = − P β Bβz + M0 Aβz Vy = −PCβz − 2M0β Bβz
  • 33.
    A steel I-beam(E = 200GPa ) has a depth of 102mm , a width of 68mm , a moment of inertia of Ix = 2.53 × 106mm4 and a length of 4m. It is attached to a rubber foundation for which k0 = 0.350 N mm3. A concentrated load p = 30.0 KN is applied at one end of the beam. Determine the maximum deflection, the maximum bending stress in the beam, and their locations. Solution: The spring coefficient, k = bk0 = 68 × 0.350 = 23.58N mm2 value of β = 4 23.8 4×200×103×2.53×106 = 0.001852mm−1 The maximum deflection occurs at the end where load P is applied (z =0 ), sinceDβz is maximum we have βz = 0 and Dβz = 1
  • 34.
    Mx = − P β Bβz = − 30 × 103 0.001852 × 0.3224 = −5.22 KN − m σ = M I × Y = 5.22 × 106 × 4.67 2.53 × 106 = 9.63MPa FINITE BEAMS: • Finite beams are defined as beams for which 훽푙 ≤ 0.6 • Finite beams can be analysed using the analysis results of infinite beams • Finite beam can be split into loading case namely symmetric and anti-symmetric load acting on infinite beam.
  • 35.
    PRACTICAL SIGNIFICANCE •Historically the first application of this theory was to rail road track • Another application of this soon after the rail road track is grid works of beams • Mat foundation under certain structures, such as silos water storage tanks, coal storage tanks, etc., and footing foundation supporting group of columns, are frequently designed and constructed in the form of beams resting on soil. • No doubt it satisfies the actual conditions of real elastic theory of soil.
  • 36.
    REFERENCES • ArthurP. Boresi, Richard J.Schindt, “Advanced Mechanics of materials”, Sixth edition John Wiley &Sons. Inc., New Delhi, 2005 • Thimoshenko & J N Goodier, “Mechanics Of Solids”, Tata McGraw-Hill publishing Co.Ltd, New Delhi, 1997 • Seely Fred B. and Smith James O., “ Advanced Mechanics of Materials”, 2nd edition, John Wiley & Sons Inc, New York, 1952, pp.112-136 • Srinath L.S., “Advanced Mechanics of Solids”, Tata McGraw-Hill publishing Co.Ltd, New Delhi, 1980, pp180-191 • Thimoshenko S., “Strength of Materials”, Part-1, Elementary Theory and Problems, 3rd Edition, D. Van Nostrand company Inc., New York, 1955, pp.227-244 • Boresi A.P and Chong K.P(2000), “Elasticity In Engineering Mechanics” 2nd edition New York ; Wiley – Interscience. • N Krishna Raju & D R Gururaja, “Advance Mechanics Of Solids & Structures”, 1997 • B C Punmia & A K Jain. “Strength of Materials and Theory of Structures”, Vol.2 Lakshmi publications (P) Ltd.