INSTITUTE OF AERONAUTICAL ENGINEERING
(AUTONOMOUS)
Dundigal – 500 043, Hyderabad
Regulation: R16 (AUTONOMOUS)
Course code: ACE004
STRENGTH OF MATERIALS – II
B.TECH IV SEMESTER
Prepared By
SURAJ BARAIK
Assistant Professor
1
Unit I
Deflectionin Beams
2
Deflection in Beams
• Topics Covered
 Review of shear force and bending moment diagram
 Bending stresses in beams
 Shear stresses in beams
 Deflection in beams
3
Beam Deflection
Recall: THE ENGINEERING BEAM THEORY

y

M E

I R
y
x
NA
A B
A’ B’
If deformation is small (i.e. slope is “flat”):
Moment-Curvature Equation
v (Deflection)
4
A
’
Alternatively: from Newton’s Curvature Equation
1 d2
y
 
R dx2
 
1 d
R dx
x
and  
y
(slope is “flat”)
y
x
R
y  f(x)
1 d2
y
 
R dx2


dx





dy

2
1
if 

R
1



d2
y



dx 


 2







1




dx





3


dy 

2


2
R
B’
y
5
From the Engineering Beam Theory:
M E

I R
1 M

R EI
d2
y

dx2
d2
y
 EI  M
dx2
Flexural
Stiffness
Bending
Moment
Curvature
6
Relationship
A B
C
B
A C
y
Deflection = y
Slope =
dy
dx
Shearing force = EI
d2
y
Bending moment = EI
dx2
d3
y
dx3
Rate of loading = EI
d4
y
dx4
7
Methods to find slope and deflection
 Double integration method
 Moment area method
 Macaulay’s method
8
Since,
d2
y
2

1 

dx 

EI



 

M Curvature
 
1

 

dy
dx 

EI


 
  M dx C1
Slope
1

 


EI

 y  
 
 1
  
M dx dx  C  dx  C2 Deflection
Where C1 and C2 are found using the boundary conditions.
Curvature Slope Deflection
R dy
dx
y
Double integration method
9
Double integrat io n met hod
Slope Deflection
B
L
L/2
A C
L/2
yc
Slope =
dy
dx
A B
2
WL
     
16EI
 
Deflection = yc
WL3
48EI
Slope Deflection
A C
yc
L
x w/Unit length
B Slope =
dy
dx
A B
2
WL
     
24EI
 
Deflection = yc
5 WL3
384 EI
Simple supported
W
Uniform distributed load
10
Macaulay’s method
 The procedure of finding slope and deflection for
simply supported beam with an eccentric load is very
laborious.
 Macaulay’s method helps to simplify the calculations
to find the deflection of beams subjected to point
loads.
11
9- 11
Moment-Area Theorems
D
C xC
xD
M
 d   EI
dx
xC
xD
M
D  C   EI
dx
• Consider a beam subjected to arbitrary
loading,
d d2
y M
 
dx dx2
EI
• First Moment-Area Theorem:
area under BM diagram between
C and D.
dx
R d
CD  Rd  dx
12
9- 12
Mo ment -Are a T heo rems
• Tangents to the elastic curve at P and P’
intercept a segment of length dt on the vertical
through C.
dt  xd  x
M
EI
dx
xC xC
xD xD
M 1 1
tC D   x
EI
dx 
EI
 xMdx 
EI
Ax

 A= total area of BM diagram between C & D
x = Distance of CG of BM diagram from C
• Second Moment-Area Theorem:
The tangential deviation of C with respect to
D is equal to the first moment with respectto
a vertical axis through C of the area under
the BM diagram between C and D.
13
Moment Area Method
14
An Exercise- Moment of Inertia – Comparison
Load
2x 8 beam
Maximum distance of 1 inch to
the centroid
I1
I2 > I1 , orientation 2 deflectsless
1
Maximum distance of
4inch to the centroid I2
Load 2
2x 8 beam
15
UNIT II
DEFLECTION BY ENERGY METHODS
16
Elastic Deflection
Castigliano’sMethod
Complementary
Energy U’
Incremental:
Deflection:
When a body is elastically deflected by any combination of loads, the
deflection at any point and in any direction is equal to the
partial derivative of strain energy (computed with all loads acting)
with respect to a load located at that point and acting
in that direction
Castiglino’s Theorem: ∆  U Q
17
Elastic Deflect io n
Castigliano’s M ethod
Energy and DeflectionEquations
Example: Axial Tension
Stored Elastic Energy:
Case 1 from Table 5.1:
gives: For varying E
and A:
18
Elastic Deflection
Castigliano’s Method
(1) Obtain expression for all components of energy
Table 5.3
(2) Take partial derivative to obtain deflection
∆  U Q
Castiglino’s Theorem:
Energy and DeflectionEquations
19
Elastic Deflection: Castigliano’s Method
Table 5.3
1. Energy: here it has two components:
first compute Energy, then Partial Derivative to get deflection
Here 2 types of loading: Bending and Shear magnitude @ x:
2. Partial Derivatives for deflection:
(23=8)*3*4 = 96
20
Table 5.3
Elastic Deflection: Castigliano’s Method
TWO METHODS
Differentiate after Integral Differentiate under Integral
21
Elastic Deflection: Castigliano’s Method
m
m
Transverse shear contributes only <5% to deflection
22
Elastic Deflection: Castigliano’s Method
Use of “Dummy Load” Q=0
•90° bend cantilever beam
•shear neglected
•Shear neglected => only 4 energy components:
1) BENDING portion a_b: Mab=Py
2) BENDING portion b_c: Mbc=Qx +Ph
3) TENSION portion a_b: Q
4) COMPRESSION portion b_c: P
(Tension and Compression mostly
negligible if torsion and bending
are present)
:
23
Elastic Deflection: Castigliano’s Method
•Eccentrically Load Column
•No Buckling
Redundant Support
500kg x 9.8m/s2
=4900 N
Guy wire
•Now Deflection known (=0) •Find necessary Tension Force F
•Hence partial derivative of total elastic energy with respect to F
must be zero
•Omit zero derivatives
- all energy terms above a
- compression term below a
•Only bending term is left: M= (4900 N)(1.2m)-Fy = 5880 Nm - Fy
finite value
(Nm)2 m Nm3 m3
(Nm)2 Nm
Nm3 m3
24
U  P/2
e
Energy Method
External Work
When a force F undergoes a
displacement dx in the same direction
as the force, the work done is
dUe  F dx
Ifthe total displacement is x the work
become
x
Ue   F dx
0
25
The work of a moment is defined by the product of the magnitude
of the moment M and the angle d then if the total
angle of

e
U  M/2

Ue   M d
0
rotation is the work become:
dUe M d

26
27
28
29
30
31
32
33
34
35
36
37
38
39
40
41
42
Maxwell–Betti Reciprocal theorem
Consider a simply supported beam of span L as
shown. Let this beam be loaded by two systems of
forces P1and P2 separately as shown in the figure. Let
u21 be the deflection below the load point P2 when only
load P1is acting.
Similarly let u12 be the deflection below load P1 , when
only load P2 is acting on the beam.
43
44
The reciprocal theorem states that the work done by forces
acting through displacement of the second system is the same as
the work done by the second system of forces acting through the
displacements of the first system. Hence, according to
reciprocal theorem,
P1  u12  P2  u21
Now, u12 and u21 can be calculated using Castiglinao’s first
theorem. Substituting the values of u12 and u21 in equation we
get,
48EI 48EI
5P L3
5PL3
P 
2
 P 
1
45
Hence it is proved. This is also valid even when the first system of forces is
P1,P2,...., Pn and the second system of forces is given by Q1,Q2 ,....,Qn . Let
u1 , u2 ,...., un be the displacements caused by the forces P1, P2,...., Pnonly and
1, 2 ,...., n be the displacements due to system of forces Q1, Q2 ,...., Qn only
acting on the beam as shown in Fig
46
UNIT III
STRESSES IN CYLINDERS AND SPHERICAL SHELLS
47
THIN CYLINDER
48
Introduction
Cylindrical and spherical vessels are used in the
engineering field to store and transport fluids. Such vessels
are tanks ,boilers , compressed air receivers , pipe lines etc.
these vessels, when empty, are subjected to
atmospheric pressure internally as well as externally and the
resultant pressure on the walls of the shell is nil.
but whenever a vessel is subjected to an intenal
pressure
(due to air , water , steam etc.) its walls are subjected to
tensile stresses.
49
Thin cylindrical shell.
When t/d <= d/10 to d/15, it is called thin
cylindrical shell. t = thickness of the
shell
d =internal diameter of shell.
in thin cylindrical shells hoops stress and longitudinal stresses
are constant over the
Thickness and radial stresses are negligible.
When t/d > d/10 to d/15, it is called THICK cylindrical shell.
50
Stresses in thin cylindrical shells :
whenever, a thin cylindrical shell is subjected to
an internal pressure (p). Its Walls are subjected
to two types of tensile stresses.
(a) Hoop stress (circumferential stress)
(b) Longitudinal stress.
51
Consider a thin cylindrical shell subjected to
an internal Pressure as shown in fig.
𝜎𝑐 = circumferential stress in the shell
material. p =internal pressure
d =internal
diameter of shell
t =thickness of the
shell.
Total pressure,
p = Pressure * Area
=p.d.l
Resisting area = A = 2.t.l
𝜎𝑐 = P/A = p.d.l/2.t.l
𝝈𝒄 = p.d/2t.
Hoop stress (circumferential stress)
: 𝝈𝒄
52
(b) Longitudinal stress (𝜎𝑙 ):
Total pressure
p = Pressure *
Area
4
p = p𝜋
𝑑2
Resisting
area,
A = 𝜋𝑑𝑡
𝜎𝑙 = P/A =
p4
𝜋
𝑑
2
𝜋𝑑
𝑡
𝝈𝒍 =
pd/4t 53
Change in dimensions of a thin cylindrical shell due to internal
pressure:
1
𝜀
=
𝛿𝑑
𝜎
𝑐 𝜎
𝑙
= −
=
𝑝𝑑
−
𝑝
𝑑
𝑑 𝐸 𝑚𝐸 2𝑡𝐸
4𝑡𝑚𝐸
𝟏
𝜺𝟏 = 𝒑𝒅/𝟐𝒕𝑬(𝟏 −
𝟐𝒎
)
Longitudinal strain,
2
𝜀
=
=
𝛿𝑙
𝜎
𝑙
𝑙
𝐸
− 𝑐
𝑚𝐸 4
𝑡𝐸
𝜎
= 𝑝𝑑
−
𝑝
𝑑
2𝑡𝑚
𝐸
𝒑𝒅 𝟏
𝟏
𝜺𝟐 =
𝟐𝒕𝑬 𝟐
−
𝒎
Let, 𝛿𝑑=change in dia. Of
shell
𝜎𝑙=change in length
of shell
Circumferential strain,
54
Change in volume of a thin cylindrical shell due to internal pressure:
Volume of
shell,
V = 𝜋
∗ 𝑑2
∗𝑙
4
Final
volume,
4
V+𝛿𝑣 = 𝜋
𝑑 +
𝛿𝑑
2
∗
𝑙 +
𝛿𝑙
Change in
volume,
𝛿𝑣
=
𝑉 + 𝛿𝑣
− 𝑉
= [
𝜋
𝜋
4
4
2
2
𝑑 + 𝛿𝑑 ∗ (𝑙 + 𝛿𝑙)] − ∗
𝑑 ∗ 𝑙
2
2
𝜋
4
4
2
= [ 𝜋
(𝑑 + 2𝛿𝑑 ∗ 𝑑 + 𝛿𝑑 ) ∗ (𝑙 + 𝛿𝑙)]
− ∗ 𝑑
∗ 𝑙
=
𝜋 4
𝑑2𝑙 + 2𝛿𝑑 ∗ 𝑑 ∗ 𝑙 + 𝛿𝑑2 ∗ 𝑙 + 𝑑2 ∗ 𝛿𝑙 + 2𝛿𝑑 ∗ 𝑑 ∗ 𝛿𝑙
+ 𝛿𝑑2 ∗𝛿𝑙
𝜋
4
2
− 𝑑
∗ 𝑙
=
𝜋 4
𝑑2𝛿𝑙 + 2𝛿𝑑 ∗ 𝑑
∗ 𝑙
𝛿𝑣
=
𝜋
𝑉
4
4
𝑑2𝛿𝑙 + 2𝛿𝑑 ∗ 𝑑 ∗ 𝑙 /𝜋
∗
𝑑2 ∗ 𝑙
=𝛿𝑙
+ 2
𝛿𝑑
1
2
𝑑
𝑙
(𝜀 = 𝛿𝑑
, 𝜀 = 𝛿
𝑙
)
𝑙 𝑑
=𝜀2 + 2𝜀1
𝜹𝒗 =V(𝝐𝟐 + 𝟐
𝜺𝟏)
55
Thin spherical shells
Consider a thin spherical shell subjected to internal pressure p
as shown in fig.
p =internal pressure
d =internal
diameter of
shell t
=thickness of
the shell
𝜎 = stress in the shell material
Total force
P =
𝜋
∗ 𝑑2
∗𝑝
4
Resisting
section
=𝜋𝑑𝑡
Stress in the shell
𝜎 = 𝑇𝑜𝑡𝑎𝑙 force/resisting
section
4
=
𝜋
𝑑2𝑝/𝜋
𝑑𝑡 𝑝
𝑑
𝜎 =
56
Chenge in diameter and volume of a thin spherical shell due to internal pressure
Consider a thin spherical shell subjected to
internal pressure.
p =internal pressure
d =internal diameter of shell
t =thickness of the shell
𝜎 = stress in the shellmaterial
We know that for thin spherical shell
𝜎 =𝑝𝑑
4𝑡
Strain in any
direction
𝐸
𝑚𝐸
𝜖=
𝜎
−
=
𝜎 𝑝𝑑
−
𝑝
𝑑
4𝑡𝐸 4𝑡
𝑚𝐸 𝟏
𝒎
𝜺 = 𝒑𝒅/𝟒𝒕𝑬(𝟏
−
)
We know that,
strain,
∈
=
𝛿
𝑑
𝑑
𝑑
𝛿𝑑
=
𝟏
𝒎
𝒑𝒅/𝟒𝒕𝑬(𝟏
−
)
……(
1)
57
CLASSIFICATIONS OF SHELLS
58
• Shell is a type of building enclosures.
• Shells belong to the family of arches . They can be defined as curved or
angled structures capable of transmitting loads in more than two
directions to supports.
• A shell with one curved surface is known as a vault (single curvature ).
• A shell with doubly curved surface is known as a dome (double
curvature).
SHELLS
59
Classification of shells
• There are many different ways to classify shell structures but
two ways are common:
1. The material which the shell is made of: like reinforced
concrete, plywood or steel, because each one has different
properties that can determine the shape of the building
and therefore, these characteristics have to be considered
in the design.
2. The shell thickness: shells can be thick or thin.
60
Thin Concrete Shells
The thin concrete shell structures are a lightweight construction composed of a
relatively thin shell made of reinforced concrete, usually without the use of
internal supports giving an open unobstructed interior. The shells are most
commonly domes and flat plates, but may also take the form of ellipsoids or
cylindrical sections, or some combination thereof. Most concrete shell
structures are commercial and sports buildings or storage facilities.
There are two important factors in the development of the thin concrete
shell structures:
• The first factor is the shape which was was developed along the history of
these constructions. Some shapes were resistant and can be erected easily.
However, the designer’s incessant desire for more ambitious structures did
not stop and new shapes were designed.
• The second factor to be considered in the thin concrete shell structures is the
thickness, which is usually less than 10 centimeters. For example, the
thickness of the Hayden planetarium was 7.6 centimeters.
61
Types of Thin Concrete Shells
1. Barrels shells
The cylindrical thin shells, also called
barrels, should not be confused with the
vaults even with the huge similarity in
the shape of both structures, because
each of these structures has a different
structural behavior as well as different
requirements in the minimum thickness
and the shape.
62
• On one hand, the structural behavior of the vault is
based on connected parallel arches, which transmit
the same effort to the supports . Therefore, the
materials used in these structures have to be able to
resists compressions (e.g. stone) and the thickness is
usually higher. Furthermore, the shape of the vaults
must be as similar as possible to the arch in order to
achieve the optimum structural behavior.
• On the other hand, the structural behavior of the
barrels shell is that it carries load longitudinally as a
beam and transversally as an arch. and therefore, the
materials have to resist both compression and tension
stresses. This factor takes advantage of the bars of the
reinforced concrete, because these elements can be
placed where tension forces are needed and
therefore, the span to thickness Ratios can be
increased. Furthermore, the shape has fewer
requirements than the vaults and therefore, new
curves like the ellipse or the parabola can be used
improving the aesthetic quality of the structure.
63
64
Types of Thin Concrete Shells
2. Folded plate
A thin-walled building structure of
the shell type.
Advantages of Folded Plate Roofs over Shell Roofs are:
(a) Movable form work can be employed.
(b) Form work required is relatively simpler.
(c) Design involves simpler calculations.
Disadvantages of Folded Plate Roofs over Shell Roofs are:
(a) Folded plate consumes more material than shells.
(b) Form work may be removed after 7 days whereas in
case of shells it can be little earlier.
65
Folded plate types
66
Folded Plates system
67
68
69
Folded-Plate Hut in Osaka
70
Folded Plates Library
71
72
73
74
Types of Thin Concrete Shells
3. Hyperbolic Paraboloid (Hypar)
A Hypar is a surface curved in two
directions that can be designed as a shell
or warped lattice.
A hypar is triangular, rectangular or
rhomboidal in plan, with corners raised to
the elevation desired for use and/or
appearance. The edges of Hypars are
typically restrained by stiff hollow beams
that collect & transfer roof loads to the
foundations. Rhomboi
d
75
76
77
Types of shells
4. Various Double Curvature
78
79
Types of Thin Concrete Shells
5. Dome
A rounded roof, with a circular base,
shaped like an arch in all directions..
First used in much of the Middle
East and North Africa whence it
spread to other parts of the Islamic
world, because of its distinctive
form the dome has, like the
minaret, become a symbol of
Islamic architecture.
Dome has double curvature and the
resulting structure is much stiffer
and stronger than a single curved
surface, such as a barrel shell.
80
81
82
83
84
Types of Thin Concrete Shells
6. Translation Shells
A translation shell is a dome set on
four arches. The shape is different
from a spherical dome and is
generated by a vertical circle moving
on another circle. All vertical slices
have the same radius. It is easier to
form than a spherical dome.
85
• Advantages of Concrete Shells:
The curved shapes often used for concrete shells are
naturally strong structures.
Shell allowing wide areas to be spanned without the use
of internal supports, giving an open, unobstructed
interior.
The use of concrete as a building material reduces both
materials cost and the construction cost.
As concrete is relatively inexpensive and easily cast into
compound curves.
• Disadvantages of Concrete Shells
Since concrete is porous material, concrete domes often
have issues with sealing. If not treated, rainwater can
seep through the roof and leak into the interior of the
building. On the other hand, the seamless construction
of concrete domes prevents air from escaping, and can
lead to buildup of condensation on the inside of the
shell. Shingling or sealants are common solutions to the
problem of exterior moisture, and ventilation can
address condensation.
86
UNITIV
INDETERMINATE BEAMS:
PROPPED CANTILEVER AND FIXED
BEAMS
87
Contents:
• Concept of Analysis -Propped cantilever and
fixed beams-fixed end moments and
reactions
• Theorem of three moments – analysis of
continuous beams – shear force and
bending moment diagrams.
88
89
Indeterminate beams
• Staticallydeterminatebeams:
– Cantilever beams
– Simple supported beams
– Overhanging beams
• Statically indeterminate beams:
– Propped cantilever beams
– Fixed beams
– Continuous beams
• Propped cantilever
Beams:
Indeterminate beams
Degree of static indeterminacy=
N0. of unknown reactions – static
equations=3-2 = 1
90
• Fixed beam:
A fixed beam is a beam whose end supports are such
that the end slopes remain zero (or unaltered) and is
also called a built-in or encaster beam.
Indeterminate beams
Degree of static indeterminacy=
N0. of unknown reactions – static
equations=4-2 =2
91
Degreeof staticindeterminacy=
N0.of unknownreactions– staticequations=5-2=3
Continuousbeam:Continuousbeamsare very commonin the structural
design.For the analysis,theoremof threemomentsis useful.
Abeamwith morethan 2 supportsprovidedis knownas continuous
beam.
Degreeof staticindeterminacy=
N0.of unknownreactions– staticequations=3-2=1
92
•B.M. diagram for a fixed
beam : Figure shows a fixed
beam AB carrying an external
load system. Let VA and VB be
the vertical reactions at the
supports A and B.
LetMAand MB be the fixed end
Moments.
𝑀
𝐵
𝑀
𝐴
𝑉𝐴
𝑉𝐵
𝑊
1
𝑊
2
𝑊
1
𝑊
2
93
vb
Thebeammay be analyzedin the followingstages.
(i) Letus firstconsiderthe beamas Simplysupported.
Letva andvb be the verticalreactionsat the supportsAand B.
Figure(ib) showsthe bendingmomentdiagramfor this condition.
At anysectionthe bendingmomentMx is a saggingmoment.
𝑊1 𝑊2
va
Fixed Beams
(ib)FreeB.M.D.
94
(ia)Freelysupportedcondition
𝑀𝑥
• (ii)NowletusconsidertheeffectofendcouplesMAandMB alone.
Letv be the reactionat each
enddue to this condition.
Suppose𝑀𝐵 > 𝑀𝐴.
Then𝑉 =𝑀𝐵−𝑀𝐴
.
𝐿
If 𝑀𝐵 >𝑀𝐴 thereactionV is
upwardsat B and downwardsatA.
Fig Showsthe bendingmoment
diagramfor this condition.
At anysectionthe bendingmomentMx’ is hoggingmoment.
𝑀
𝐴
𝑀
𝐵
v
v
(iia)Effectofendcouples
(iib)FixedB.M.D.
𝑀
𝑥
′
95
• Nowthe finalbendingmoment
diagramcanbe drawnby
combiningthe above two B.M.
diagramsas shownin Fig.(iiib)
Nowthe finalreactionVA=va- v
andVB = vb + v
Theactualbendingmomentat any
𝑑2𝑦
sectionX, distance𝑥 fromthe endAis given by,
𝐸𝐼
𝑑𝑥2= 𝑀𝑥 − 𝑀𝑥′
𝑀
𝐴
𝑉𝐴
𝑀𝐵
𝑉
𝐵
𝑊1 𝑊2
(iiib)ResultantB.M.D.
+
96
-
-
Fixed B eams
𝑀
𝐵
𝑀
𝐴
𝑉𝐴
𝑉
𝐵
𝑊
1
𝑊
2
𝑉𝑎 𝑉𝑏
(ia)Freelysupportedcondition
𝑀
𝐴
𝑀
𝐵
𝑉 𝑉
(iiia)Fixedbeam
(iia)Effectofendcouples
𝑊1 𝑊2
𝑀
𝑥
𝑀
𝑥′
+
-
-
(iib)FixedB.M.D.
(iiib)ResultantB.M.D.
(ib)FreeB.M.D.
97
• Integrating,weget,
• 𝐸𝐼
𝑑𝑦
𝑑𝑥
𝑙
0
= 𝑥
𝑀 𝑑𝑥− 𝑥
′
𝑀 𝑑
𝑥
𝑙
0
𝑙
0
• Butatx=0,𝑑𝑦
=0
𝑑𝑥
𝑑𝑦
andat𝑥=𝑙,𝑑𝑥
= 0
𝑙
Further0 𝑀𝑥𝑑𝑥 =areaoftheFreeBMD=𝑎
𝑥
𝑙
𝑀 ′ 𝑑𝑥 =areaofthefixed B.M.D=𝑎′
0
Substitutingintheaboveequation,weget,
0=𝑎 − 𝑎′
∴𝑎 = 𝑎′
𝑑2𝑦
𝐸𝐼
𝑑𝑥2 =𝑀𝑥 −𝑀𝑥′
98
• Integratingweget,
•
2
𝑑𝑥2
𝐸𝐼
𝑥 = 𝑥
𝑀 𝑥𝑑𝑥 − 𝑥
′
𝑀 𝑥𝑑
𝑥
𝑙
0
𝑙
0
𝑙 𝑑 𝑦
0
𝑑𝑥 0
• ∴ 𝐸𝐼 𝑥𝑑𝑦
−𝑦 𝑙
=a𝑥-a’𝑥′
• Where𝑥=distanceofthecentroidofthefreeB.M.D.fromA. and𝑥′=
distanceofthecentroidofthefixedB.M.D.fromA.
Fixed Beams
𝑑2𝑦
𝑎 = 𝑎′
∴AreaofthefreeB.M.D.=AreaofthefixedB.M.D.
Againconsidertherelation,
𝐸𝐼
𝑑𝑥2 =𝑀𝑥 −𝑀𝑥′
𝑑2𝑦
𝑑𝑥2 𝑥 𝑥
99
′
𝐸𝐼𝑥 =𝑀 𝑥−𝑀 𝑥
𝑀𝑢𝑙𝑡𝑦𝑖𝑛𝑔𝑏𝑦 𝑥𝑤𝑒𝑔𝑒𝑡,
𝑑𝑥
• Furtherat x=0, y=0 and 𝑑𝑦
= 0
or
100
• andat x=l, y=0 and 𝑑𝑦
= 0.
𝑑𝑥
• Substitutingin the above relation,we have
0 = 𝑎𝑥-𝑎′𝑥′
𝑎𝑥=𝑎′𝑥′
𝑥 =𝑥
∴The distanceof the centroidof the freeB.M.D . FromA=The
distanceof the centroidof the fixed B.M.D. fromA.
∴ 𝑎 = 𝑎′
𝑥 = 𝑥
Fixed Beams
Fixed Beams
𝑀𝐵
𝑀𝐴
𝑉𝐴 𝑉
𝐵
𝑊
1
𝑊
2
𝑉𝑎 𝑉𝑏
(ia)Freelysupportedcondition
𝑀𝐴 𝑀𝐵
𝑉 𝑉
(iiia)Fixed beam
(iia)Effectof end couples
𝑊1 𝑊2
𝑀𝑥
𝑀𝑥′
+
-
-
(iib)Fixed B.M.D.
(iiib)ResultantB.M.D.
(ib)FreeB.M.D.
101
Fixed beam problems
• Findthe fixed endmomentsof a fixed beamsubjectedto a
pointloadat the center.
W
l/2
A
102
B
l/2
• 𝐴′ =𝐴
𝑊 𝑙
𝑀 =
8
=𝑀𝐴 = 𝑀𝐵
𝑙
/2
Fixed beam problems
W
A B
𝑊 𝑙
4
FreeBMD
𝑙
/2
M
M
+
-
𝑀 ×𝑙
=
1
×𝑙
×
𝑊𝑙
2 4
+
- -
FixedBMD
𝑊 𝑙
4
ResultantBMD
103
• Findthefixedendmomentsofafixedbeamsubjectedto a
eccentricpointloadW.
W
a
A B
b
𝑙
104
Fixed b eam p ro b lems
Fixed beam problems
• 𝐴′ =𝐴
19
• 𝑥′ =𝑥
𝑀𝐴 +2𝑀
𝐵
𝑀𝐴 +𝑀
𝐵
×
3
=
𝑙 𝑙
+𝑎
3
𝐵
𝑀 =𝑀 ×
𝑎
𝑙
−𝑎
𝐴
𝑎
𝑀𝐵 =
𝑏
−−−(2)
𝑎
W
B
𝑙
𝑏
+
𝑀𝐴 +𝑀
𝐵
1
×𝑙
=
2
×𝑙
×
A
𝑊𝑎𝑏
2 𝑙
𝑙
𝑊𝑎𝑏
FixedBMD
𝑀
𝐴 𝑀
𝐵
Free-BMD
-
𝐴
𝐵
𝑙
𝑀 +𝑀 =
𝑊𝑎𝑏
−−−−(1)
105
𝑎
𝑎
W
A B
𝑏
𝐴
𝐵
𝑙
𝑀 +𝑀 =
𝑊𝑎𝑏
−−−−(1)
+
𝑊 𝑎𝑏
2
𝑙
2 𝑊 𝑏
𝑎
2
𝑙
2
𝑙
𝑊 𝑎
𝑏
𝑙
ResultantBMD
- -
𝑀𝐵 =𝑀𝐴 ×
𝑏
−−−(2)
Bysubstituting(2)in(1),
𝑀𝐴 =
𝑊 𝑎 𝑏
2
𝑙2
From(2),
𝑀𝐵 =
𝑊 𝑏𝑎
2
𝑙2
106
Fixed beam problems
Clapeyron’s theorem of three moments
• AsshowninaboveFigure,ABandBCareanytwosuccessive spansof
acontinuousbeamsubjectedtoanexternal loading.
• If theextremeendsAandCfixedsupports,thesupport moments𝑀𝐴,
𝑀𝐵and 𝑀𝐶 atthesupportsA,BandCaregiven bytherelation,
𝑀 𝐴 𝑙
1 +2𝑀 𝐵 𝑙
1 +𝑙
2 +𝑀 𝐶 𝑙
2 =
6𝑎1𝑥1
+
6𝑎2𝑥2
𝑙
1 𝑙
2
A C
𝑙
1 𝑙
2
𝑀
𝐴
𝑀
𝐶
B𝑀
𝐵
107
Clapeyro n’s theore m of three mome nt s (contd…)
𝑀 𝐴 𝑙
1 +2𝑀 𝐵 𝑙
1 +𝑙
2 +𝑀 𝐶 𝑙
2 =
6𝑎1𝑥1
+
6𝑎2𝑥2
𝑙
1 𝑙
2
• Where,
• 𝑎1 =areaofthefreeB.M.diagramforthespanAB.
• 𝑎2 =areaofthefreeB.M.diagramforthespanBC.
• 𝑥1
=CentroidaldistanceoffreeB.M.DonABfromA.
• 𝑥2=CentroidaldistanceoffreeB.M.DonBCfromC.
108
𝑑𝑥 𝑀
𝑥
+
𝑥1
𝑥
+
𝑥2
A B C
(a)
(b)
+
ve +
ve
𝑀
𝐴
𝑀𝐶 (d)
𝑑𝑥
𝑥
𝑀
𝑥’
𝑥2
′
𝑥1
′
𝑀
𝐴
𝑀
𝐶
(c)
+
+
FreeB.M.D
𝑀𝐵
FixedB.M.D
𝑀𝐵
-ve
Clapeyro n’s theore m of three mome nt s (contd…)
𝑙
1
109
𝑙
2
C l a p e y r o n ’ s t h e o r e m o f t h r e e m o m e n t s ( c o n t d … )
𝑑𝑥 𝑀
𝑥
+
𝑥1
𝑥
+
𝑥2
A B C
𝑑𝑥
𝑥
𝑀
𝑥’
𝑥2
′
𝑥1
′
𝑀
𝐴
110
𝑀
𝐶
-
-
FreeB.M.D
𝑀𝐵
FixedB.M.D
(a)Thegivenbeam
(b)FreeB.M.D.
(c)FixedB.M.D.
C l a p e y r o n ’ s t h e o r e m o f t h r e e m o m e n t s ( c o n t d … )
• Considerthe spanAB:
• Letat anysectioninAB distant𝑥 fromAthe free and fixed
bendingmomentsbe 𝑀𝑥 and𝑀𝑥
′ respectively.
• Hencethe net bendingmomentat the sectionis given by
𝑑2𝑦
𝐸𝐼
𝑑𝑥2= 𝑀𝑥 −𝑀𝑥
′
• Multiplyingby 𝑥, we get
𝐸𝐼𝑥
𝑑2𝑦
𝑑𝑥2 𝑥 𝑥
111
′
= 𝑀 𝑥 −𝑀 𝑥
• 𝐸𝐼
𝑥
2
𝑑 𝑦
𝑑𝑥2 𝑥 𝑥
′
= 𝑀 𝑥−𝑀 𝑥
𝑑2𝑦
𝑙
1 𝑙
1
• Integratingfrom𝑥=0𝑡𝑜𝑥=𝑙1,we get,
𝐸𝐼 𝑥
𝑑𝑥2 = 𝑀𝑥𝑥 𝑑𝑥 −𝑀𝑥
′𝑥 𝑑𝑥
𝑙
1
0 0
0
𝑑𝑦
𝐸𝐼 𝑥.
𝑑𝑥
−𝑦
112
0
𝑙
1
𝑙1 𝑙1
= 𝑀𝑥𝑥 𝑑𝑥 −𝑀𝑥
′𝑥 𝑑𝑥
0 0
−−−(1)
Clapeyro n’s theore m of three mome nt s (contd…)
• Butit maybesuchthat
At𝑥 =0, deflection𝑦 =0
𝑑𝑥
• At𝑥=𝑙1,𝑦 =0;𝑎𝑛𝑑 𝑠𝑙𝑜𝑝𝑒𝑎𝑡𝐵 𝑓𝑜𝑟𝐴𝐵, 𝑑𝑦
=𝜃𝐵𝐴
• 𝑥
𝑙1
0
𝑀 𝑥𝑑𝑥 =𝑎 𝑥
1 1 =MomentofthefreeB.M.D.onABaboutA.
•
𝑙1
0 𝑥 1
′
1
′
′
𝑀 𝑥𝑑𝑥 =𝑎 𝑥 =MomentofthefixedB.M.D.onABaboutA.
Clapeyro n’s theore m of three mome nt s (contd…)
A B C
𝑙
1 𝑙
2
𝑥
113
𝑑𝑦
𝐸𝐼 𝑥.
𝑑𝑥
−𝑦
0
𝑙
1
𝑙1 𝑙1
= 𝑀𝑥𝑥 𝑑𝑥 −𝑀𝑥
′𝑥 𝑑𝑥
0 0
−−(1)
• Thereforetheequation(1)issimplifiedas,
1
𝐸𝐼 𝑙1𝜃𝐵𝐴 −0 =𝑎1𝑥1 −𝑎′𝑥1
′.
1
But𝑎′ =areaofthefixedB.M.D.onAB=
𝑀 𝐴 +
𝑀 𝐵
2
𝑙
1
𝑥1
′ =CentroidofthefixedB.M.D.fromA=
𝑀 𝐴 +2𝑀 𝐵 𝑙
1
𝑀 𝐴 +𝑀 𝐵 3
Clapeyro n’s theore m of three mome nt s (contd…)
114
• Therefore,
Clapeyro n’s theore m of three mome nt s (contd…)
𝟏
𝒂′ 𝒙𝟏
′ =
(𝑴𝑨 +𝑴𝑩 ) 𝑴 𝑨 +𝟐𝑴
𝑩 𝒍𝟏×
𝒍
𝟏
𝟐 𝑴 𝑨 +𝑴 𝑩
𝟑
=(𝑴𝑨 +𝟐𝑴𝑩 )
𝟏
𝒍
𝟐
𝟔
𝑬𝑰𝒍𝟏𝜽𝑩𝑨 = 𝒂𝟏
𝒙𝟏 −(𝑴𝑨 +𝟐𝑴𝑩 ) 𝟏
𝒍
𝟐
𝟔
𝒍
𝟏
𝟔𝑬𝑰𝜽𝑩𝑨 = 𝟔𝒂𝟏𝒙𝟏
−(𝑴𝑨 +𝟐𝑴𝑩)𝒍𝟏 −−−−(𝟐)
SimilarlybyconsideringthespanBCandtakingCasoriginit can be
shownthat,
𝟔𝑬𝑰𝜽𝑩𝑪 = 𝟔𝒂𝟐 𝒙
𝟐
−(𝑴𝑪 +𝟐𝑴𝑩)𝒍𝟐 −−−−(𝟑)
𝒍𝟐
𝜃𝐵𝐶 =slopefor spanCBatB
115
Clapeyro n’s theore m of three mome nt s (contd…)
• But𝜃𝐵𝐴 = −𝜃𝐵𝐶 asthedirectionof𝑥fromAforthespanAB,
andfromCforthespanCBareinoppositedirection.
• Andhence,𝜃𝐵𝐴+𝜃𝐵𝐶 =0
𝟔𝑬𝑰𝜽𝑩𝑨 = 𝟔𝒂𝟏𝒙𝟏
−(𝑴𝑨 +𝟐𝑴𝑩)𝒍𝟏 −−−−(𝟐)
𝒍𝟏
𝒍
𝟐
𝟔𝑬𝑰𝜽𝑩𝑪 = 𝟔𝒂𝟐𝒙 𝟐
−(𝑴𝑪 +𝟐𝑴𝑩)𝒍𝟐 −−−−(𝟑)
• Addingequations(2)and(3),weget
𝑬𝑰𝜽𝑩𝑨 +𝟔𝑬𝑰𝜽𝑩𝑪 =
𝟔𝒂𝟏𝒙𝟏
+
𝟔𝒂𝟐𝒙𝟐
−(𝑴𝑨 +𝟐𝑴𝑩)𝒍𝟏 −(𝑴𝑪 +𝟐𝑴𝑩)𝒍𝟐
𝒍𝟏 𝒍𝟐
𝟔𝑬𝑰(𝜽𝑩𝑨 +𝜽𝑩𝑪) =
𝒍
𝟏
𝟏 𝟏 𝟐 𝟐
𝟔𝒂 𝒙 𝟔𝒂 𝒙
𝒍
𝟐
𝑨 𝟏 𝑩 𝟏 𝟐 𝑪
𝟐
116
+ − 𝑴 𝒍 +𝟐 𝑴 (𝒍 +𝒍) +𝑴 𝒍
Clap eyro n ’s theo re m o f three mo me nt s (co ntd …)
𝟎 =
𝟔𝒂𝟏𝒙
𝟏
𝒍𝟏
+
𝟔𝒂𝟐𝒙
𝟐
𝒍𝟐
−𝑴𝑨𝒍𝟏 +𝟐𝑴𝑩(𝒍𝟏 +𝒍𝟐) +𝑴𝑪𝒍𝟐
𝑴𝑨𝒍𝟏 +𝟐𝑴𝑩(𝒍𝟏 +𝒍𝟐) +𝑴𝑪𝒍𝟐 =
𝟔𝒂 𝒙
𝟏 𝟏
𝒍𝟏
+
𝟔𝒂 𝒙
𝟐 𝟐
𝒍𝟐
117
118
P roblems
• Acontinuous beam of three equal span is simply supported over
two supports. It is loaded with a uniformly distributed load of
w/unit length, over the two adjacent spans only. Using the
theorem of three moments, find the support moments and
sketchthe bendingmomentdiagram.AssumeEI constant.
P roblems
• Solution:
• Thetheoremof three
momentsequationfortwospansis,
𝑀 𝐴 (𝑙
1) +2𝑀 𝐵 𝑙
1 +𝑙
2 +𝑀 𝐶 𝑙2 =
6𝑎1𝑥1
+
6𝑎2𝑥2
𝑙1 𝑙2
ApplythetheoremofthreemomentequationforspansABandBCis,
𝑀 𝐴 𝑙 +2𝑀 𝐵 𝑙
+𝑙 +𝑀 𝐶 𝑙
=
6𝑎1𝑥1
+
6𝑎2𝑥2
𝑙
1 𝑙
2
𝑙
A
w/ unitlength
B C D
𝑙
𝑤 𝑙
2
8
𝑙
𝑤 𝑙
2
8
FreeB.M.D.
119
P roblems
1
• Solution:
• 𝑎 =2
×𝑙
×𝑤𝑙2
3 8
1
12
= 𝑤 𝑙
3
• 𝑥1= 𝑙
2
2
• 𝑎2 =3
×𝑙
×
𝑤 𝑙
2
8
• 𝑥2= 𝑙
2
𝑙
6×
1
𝑤𝑙3×
𝑙
6×
1
𝑤𝑙3×
𝑙
= 12 2
+ 12
2 𝑙
𝐵 𝐶 2
• 4𝑀 +𝑀 =𝑤𝑙2
−−−− −(1)
𝑙
A
w/ unitlength
B C D
𝑙
𝑤 𝑙
2
8
𝑙
𝑤 𝑙
2
8
FreeB.M.D.
0
• 𝑀 𝐴 𝑙 +2𝑀 𝐵 𝑙
+𝑙 +𝑀 𝐶 𝑙
120
• Solution:
• Thetheoremof three
momentsequationfortwospansis,
𝑀 𝐴 (𝑙
1) +2𝑀 𝐵 𝑙
1 +𝑙
2 +𝑀 𝐶 𝑙2 =
6𝑎1𝑥1
+
6𝑎2𝑥2
𝑙1 𝑙2
ApplythetheoremofthreemomentequationforspansBCandCDis,
𝑀 𝐵 𝑙 +2𝑀 𝐶 𝑙
+𝑙 +𝑀 𝐷 𝑙
𝑙
1
=
6𝑎1𝑥1
+0
𝑙
A
w/ unitlength
B C D
𝑙
𝑤 𝑙
2
8
𝑙
𝑤 𝑙
2
8
FreeB.M.D.
121
P roblems
1
• Solution:
• 𝑎 =2
×𝑙
×𝑤𝑙2
3 8
1
12
= 𝑤 𝑙
3
• 𝑥1= 𝑙
2
6×
1
𝑤𝑙3×
𝑙
𝑙
= 12 2
+0
𝐵 𝐶 4
• 𝑀 +4𝑀 =𝑤𝑙2
−−−−−(2)
𝑙
A
w/ unitlength
B C D
𝑙
𝑤 𝑙
2
8
𝑙
𝑤 𝑙
2
8
FreeB.M.D.
0
• 𝑀 𝐵 𝑙 +2𝑀 𝐶 𝑙
+𝑙 +𝑀 𝐷 𝑙
122
P ro b lems
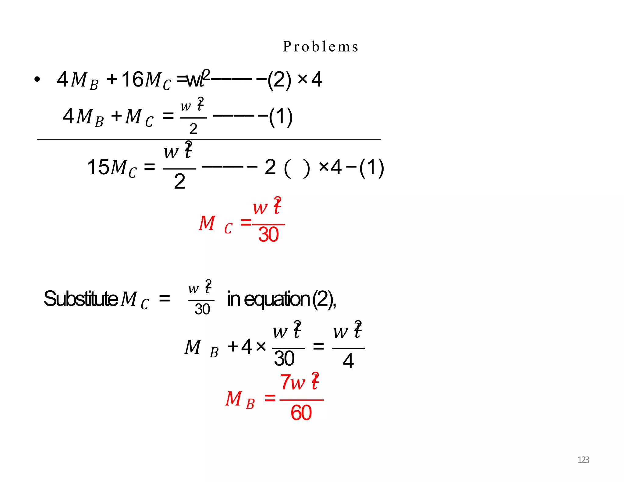
• 4𝑀𝐵 +16𝑀𝐶 =w𝑙2−−−−−(2) ×4
4𝑀𝐵 +𝑀𝐶 =
𝑤 𝑙
2
2
−−−−−(1)
𝑤 𝑙
2
𝑀 𝐶 =
30
15𝑀𝐶 =
𝑤 𝑙
2
2
−−−−− 2 ×4−(1)
𝑤 𝑙
2
Substitute𝑀𝐶 = 30
inequation(2),
𝑀 𝐵 +4×
30
=
𝑤 𝑙
2 𝑤 𝑙
2
4
𝑀𝐵 =
7𝑤 𝑙
2
60
123
124
Fixed beam P roblems
• AfixedbeamABofspan6mcarriesuniformlyvaryingloadof intensity
zeroatAand20kN/matB.Findthefixedend momentsanddrawthe
B.M.andS.F
.diagramsforthe beam.
P roblems
ConsideranysectionXXdistant𝑥fromtheendA,theintensityof
loadingatXX= =
𝑤 𝑥 20𝑥
𝐿 6
Hencetheloadactingforanelementaldistance𝑑𝑥 =
20𝑥
6
𝑑𝑥
Duetothiselementalloadthefixedmomentsareasfollows:
𝑑𝑀𝑎 =
Wa𝑏2
𝐿2 (Formula is derivedfromfirstprinciples)
= 6
20𝑥𝑑𝑥 ×𝑥× 6−𝑥 2
62
=
20𝑥2 6−𝑥 2𝑑𝑥
63
A B
20kN/m
20×𝑥
6
𝑥 X
6m
X
𝑑𝑥
125
P roblems
and
𝑑𝑀𝑏 =
W𝑏𝑎2
𝐿2 Formulais derivedfrombasicprinciples
= 6
20𝑥
𝑑𝑥× 6−𝑥 ×𝑥2
62 =
20𝑥3 6−𝑥 𝑑𝑥
63
𝑀𝐴 = 𝑑𝑀𝑎
T
akingfixingmomentatA,
𝑙
0
216
6
0
=
20
𝑥2 6−𝑥 2𝑑𝑥
A B
20kN/m
20×𝑥
6
𝑥 X
6m
X
𝑑𝑥
126
Problems
𝐴
216
𝑀 =
20
𝑥2 36+𝑥2 −12𝑥 𝑑𝑥
6
0
20 36𝑥3
=
216 3
𝑥5
+
5
−
12𝑥4
4
0
6
20 36×63 65
+
5
−
12×64
4
=
216 3
∴𝑀𝐴 =24kNm
127
P roblems
𝐵
𝑀 = 𝑑𝑀 𝐵
𝑙
0
63
=
20
𝑥3 6−𝑥 𝑑𝑥
6
0
20
=
216
𝑥4 𝑥5
4
×6−
5
0
6
20 64×6
=
216 4
65
−
5
∴𝑀𝐵 =36kNm
128
P roblems
A
B
20kN/m
20×𝑥
6
𝑥 X
6m
X
𝑑𝑥
FreeBMD:
𝑀𝑚𝑎 𝑥 =
𝑤 𝑙
2
=
20×62
9 3 9 3
=46.18kNm(Cubicparaboliccurve)
Willoccurat6 3mfromleftendA.
46.18kNm
+
6 3
FreeBMD
FixedBMD
129
P roblems
A
B
20kN/m
20×𝑥
6
𝑥 X
6m
X
𝑑𝑥
-
+
46.18kNm
-
6 3
Resultant BMD
130
24kNm
36kNm
ResultantBMD:
P roblems
Calculationofsupportreactions:
A
B
20kN/m
20×𝑥
6
𝑥 X
6m
X
𝑑𝑥
𝑅
𝐵
𝑅
𝐴
24 36
𝑀𝐴 =0
𝑅
1 2
𝐵 ×6+24=36+
2
×6×20×
3
×6
𝐵
6
𝑅 =
252
=42 kN
1
𝑅𝐴 +42=
2
×6×20
𝑅𝐴 =60−42=18kN
131
P roblems
SFD:
A
B
20kN/m
20×𝑥
6
𝑥 X
6m
X
𝑑𝑥
42kN
18kN
24 36
S.F
.@A=+
1
8kN
S.F
.@B=-42kN
SFDbetweenAandBis
aparabola.
S.F
.@XX=0
1 𝑥
18−
2
×𝑥×20×
6
= 0
18=
10𝑥2
6
𝑥=3.29 𝑚
Parabola
3.29m
132
18kN
42kN
SF
D
P roblems
ResultantBMD
&SFD:
A
B
20kN/m
20×𝑥
6
𝑥 X6m
X
𝑑𝑥
-
-
+
46.18kNm
Resultant BMD
24kNm
36kNm
3.29m
133
6 3=3.46m
18kN
42kN
SF
D
UNIT V
INDETERMINATE BEAMS: CONTINUOUS BEAMS
134
Continuo us beam wit h supports at differ e nt levels
• ConsiderthecontinuousbeamshowninaboveFigure.Let the
supportBbe𝛿1belowAandbelow C.
• ConsiderthespanAB:
• LetatanysectioninABdistant𝑥fromAthefreeandfixed bending
momentsbe𝑀𝑥 and𝑀𝑥
′ respectively.
• Hencethenetbendingmomentatthesectionisgiven by
𝑑2𝑦
𝐸𝐼
𝑑𝑥2 = 𝑀𝑥 −𝑀
𝑥
′
• Multiplyingby𝑥, weget
𝐸𝐼
𝑥
𝑑2𝑦
𝑑𝑥2 𝑥 𝑥
′
= 𝑀 𝑥−𝑀 𝑥
A C
𝑙1 𝑙
2
𝑀
𝐴
𝑀
𝐶
B𝑀
𝐵
𝛿
135
1
• 𝐸𝐼
𝑥
2
𝑑 𝑦
𝑑𝑥2 𝑥 𝑥
′
= 𝑀 𝑥−𝑀 𝑥
𝑑2𝑦
𝑙
1 𝑙
1
• Integratingfrom𝑥=0𝑡𝑜𝑥=𝑙1,we get,
𝐸𝐼 𝑥
𝑑𝑥2 = 𝑀𝑥𝑥 𝑑𝑥 −𝑀𝑥
′𝑥 𝑑𝑥
𝑙
1
0 0
0
𝑑𝑦
𝐸𝐼 𝑥.
𝑑𝑥
−𝑦
136
0
𝑙
1
𝑙1 𝑙1
= 𝑀𝑥𝑥 𝑑𝑥 −𝑀𝑥
′𝑥 𝑑𝑥
0 0
−−−(1)
C o n t i n u o u s b e a m w i t h s u p p o r t s a t d i f f e r e n t l e v e l s
• Butit maybesuchthat
At𝑥 =0, deflection𝑦 =0
𝑑𝑥
• At𝑥=𝑙1,𝑦 =−𝛿1;𝑎𝑛𝑑 𝑠𝑙𝑜𝑝𝑒𝑎𝑡𝐵 𝑓𝑜𝑟𝐴𝐵, 𝑑𝑦
=𝜃𝐵𝐴
• 𝑥
𝑙1
0
𝑀 𝑥𝑑𝑥 =𝑎 𝑥
1 1 =MomentofthefreeB.M.D.onABaboutA.
•
𝑙1
0 𝑥 1
′
1
′
′
𝑀 𝑥𝑑𝑥 =𝑎 𝑥 =MomentofthefixedB.M.D.onABaboutA.
A C
𝑙1 𝑙2
𝑀
𝐴
𝑀
𝐶
B𝑀
𝐵
𝛿1
𝑥
137
Co ntin uo u s b eam wit h sup p o rts at d iffer e nt levels
𝑑𝑦
𝐸𝐼 𝑥.
𝑑𝑥
−𝑦
0
𝑙
1
𝑙1 𝑙1
= 𝑀𝑥𝑥 𝑑𝑥 −𝑀𝑥
′𝑥 𝑑𝑥
0 0
−−(1)
• Thereforetheequation(1)issimplifiedas,
𝐸𝐼 𝑙1𝜃𝐵𝐴 − −𝛿1 =𝑎1𝑥1 −𝑎′𝑥1
′.
1
1
But𝑎′ =areaofthefixedB.M.D.onAB=
𝑀 𝐴 +
𝑀 𝐵
2
𝑙
1
𝑥1
′ =CentroidofthefixedB.M.D.fromA=
𝑀 𝐴 +2𝑀 𝐵 𝑙
1
𝑀 𝐴 +𝑀 𝐵 3
Continuo us beam wit h supports at differ e nt levels
138
• Therefore,
𝟏
𝒂′ 𝒙𝟏
′ =
(𝑴𝑨 +𝑴𝑩 ) 𝑴 𝑨 +𝟐𝑴
𝑩 𝒍𝟏×
𝒍
𝟏
𝟐 𝑴 𝑨 +𝑴 𝑩
𝟑
=(𝑴𝑨 +𝟐𝑴𝑩 )
𝟏
𝒍
𝟐
𝟔
SimilarlybyconsideringthespanBCandtakingCasoriginit canbe shown
that,
𝜃𝐵𝐶 =slopefor spanCBatB
C o n t i n u o u s b e a m w i t h s u p p o r t s a t d i f f e r e n t l e v e l s
∴𝐸𝐼(𝑙𝜃1 𝐵𝐴 + 1
𝛿 ) =𝑎 𝑥 − 𝑀 +2𝑀
1 1 𝐴
𝐵
𝑙
1
2
6
𝐵
𝐴
6𝐸𝐼𝜃 =
6𝑎 𝑥
1 1
−
6𝐸𝐼𝛿 1
𝑙
1 𝑙
1
1
− 𝑀𝐴 +2𝑀𝐵 𝑙 −−−(2)
6𝐸𝐼𝜃𝐵𝐶 =
6𝑎 𝑥 6𝐸𝐼
𝛿
2 2 2
𝑙
2 𝑙
2
𝐶 𝐵 2
139
− − 𝑀 +2𝑀 𝑙 −−−(3)
• But𝜃𝐵𝐴 = −𝜃𝐵𝐶 asthedirectionof𝑥fromAforthespanAB,
andfromCforthespanCBareinoppositedirection.
• Andhence,𝜃𝐵𝐴+𝜃𝐵𝐶 =0
C o n t i n u o u s b e a m w i t h s u p p o r t s a t d i f f e r e n t l e v e l s
6𝐸𝐼𝜃𝐵𝐴 =
𝑙
1
6𝑎 𝑥 6𝐸𝐼𝛿
1 1 1
𝑙
1
𝐴 𝐵 1
− − 𝑀 +2𝑀 𝑙 −−−(2)
6𝐸𝐼𝜃𝐵𝐶 =
6𝑎 𝑥
2 2 6𝐸𝐼𝛿 2
𝑙
2 𝑙
2
− − 𝑀𝐶 +2𝑀
𝐵
2
𝑙 −−−(3)
Addingequations(2)and(3),weget
6𝐸𝐼(𝜃𝐵𝐴+𝜃𝐵𝐶)
=
6𝑎1𝑥1
+
6𝑎2𝑥2
−
6𝐸𝐼𝛿1
−
6𝐸𝐼𝛿2
𝑙1 𝑙2 𝑙1 𝑙2
− 𝑀𝐴𝑙1 +2𝑀𝐵 𝑙1+𝑙2 +𝑀𝑐𝑙2
140
C o n t i n u o u s b e a m w i t h s u p p o r t s a t d i f f e r e n t l e v e l s
6𝐸𝐼(𝜃𝐵𝐴+𝜃𝐵𝐶)
=
6𝑎1𝑥1
+
6𝑎2𝑥2
−
6𝐸𝐼𝛿1
−
6𝐸𝐼𝛿2
𝑙1 𝑙2 𝑙1 𝑙2
− 𝑀𝐴𝑙1 +2𝑀𝐵 𝑙1+𝑙2 +𝑀𝑐𝑙2
0=
6𝑎 𝑥
1 1
𝑙
1
+
𝑙
2
−
6𝑎 𝑥 6𝐸𝐼𝛿
2 2 1
𝑙
1
−
6𝐸𝐼𝛿 2
𝑙
2
− 𝑀𝐴𝑙1 +2𝑀𝐵 𝑙1
+𝑙2 +𝑀 𝑙
𝑐2
𝑀𝐴𝑙1 +2𝑀𝐵 𝑙1
+𝑙2 +𝑀 𝑙
𝑐2 =
6𝑎1𝑥1
+
6𝑎2𝑥2
− 6𝐸𝐼
𝑙1 𝑙2
𝛿1
+
𝛿2
𝑙1 𝑙2
141
• ThefollowingFigureshowsa continuousbeamcarryingan
externalloading.If the supportB sinksby 0.25cm belowthe
levelof the othersupportsfind supportmoments.TakeI for
section=15000cm4 and E=2x103t/cm2.
P r o b l e m s
2t/m
4m
142
4m 4m
A 4t/m B C D
• ThetheoremofthreemomentsfortwospansABandBCisas follows,
• ConsiderthespansABandBC,
• 𝑀𝐴 =0
• 𝛿1 =+0.25cm
• 𝛿2 =+0.25cm
P roblems
𝑀𝐴𝑙1 +2𝑀𝐵 𝑙1+𝑙2 +𝑀𝑐𝑙2 =
6𝑎1𝑥1
+
6𝑎2𝑥2
−6𝐸𝐼
𝛿1
+
𝛿2
𝑙
1 𝑙
2 𝑙
1 𝑙
2
2t/m
4m 4m
A 4t/m B C D
0.25cm
4m
143
2
• 𝑎1=3
×4×8
2
• 6𝑎1𝑥1
=
6×3×4×8×2
=64
𝑙1 4
6𝑎 𝑥
𝑙
2
6×
2
×4×8×2
4
• 2 2
= 3
=64
P roblems
6𝐸𝐼=
6×2×103×15000
1002
=18000t𝑚2
8tm 8tm
4tm
FreeBMD
2t/m
4m 4m 4m
A 4t/m B C D
0.25cm
144
• ∴0+2𝑀𝐵 4+4 +4𝑀𝐶 =64+64−18000
• ∴16𝑀𝐵+4𝑀𝐶 =128−22.5
• 16𝑀𝐵+4𝑀𝐶 =105.5
• 4𝑀𝐵+𝑀𝐶 =26.375−−−−(1)
P roblems
8tm 8tm
𝑀 𝑙 +2𝑀 𝑙 +𝑙 +𝑀 𝑙
𝐴 1 𝐵 1 2 𝑐2
𝑙
1 𝑙
2
=
6𝑎1𝑥1
+
6𝑎2𝑥2
− 6𝐸𝐼
𝛿1
+
𝛿2
0.25
𝑙10.25
𝑙2
400
+400
4tm
2t/m
4m 4m 4m
A 4t/m B C D
0.25cm
145
• NowconsiderthespansBCandCD,
• 𝑀𝑑 =0,
• 𝛿1=−0.25cm
• 𝛿2=0
P r o b l e m s
4tm
2t/m
4m
8tm
4m
A 4t/m B C D
0.25cm
4m
8tm
146
𝑀𝐵 ×4+2𝑀𝐶 4+4 +0=64+32−18000
• ∴4𝑀𝐵+16𝑀𝐶 =96+11.25
• 4𝑀𝐵+16𝑀𝐶 =107.25−−−−(2)
P r o b l e m s
8tm 8tm
𝑀𝐴𝑙1 +2𝑀𝐵 𝑙1
+𝑙2 +𝑀 𝑙
𝑐2
𝑙
1 𝑙
2
=
6𝑎1𝑥1
+
6𝑎2𝑥2
− 6𝐸𝐼
𝛿1
+
𝛿2
−0.
𝑙1 𝑙2
25
+
0
400 400
4tm
2t/m
4m 4m 4m
A 4t/m B C D
0.25cm
147
• 4𝑀𝐵+𝑀𝐶 =26.375 −−−−(1)
• 4𝑀𝐵+16𝑀𝐶 =107.25−−−−(2)
• Solving(1)and(2),weget,
• 𝑀𝐵 =5.24tm hogging .
• 𝑀𝐶 =5.39tm hogging .
148
P r o b l e m s
P r o b l e m s
+
5.24tm
-
5.39tm
-
8tm 8tm
+ 4tm
+
BMD
2t/m
4m 4m 4m
A 4t/m B C D
0.25cm
149
B
A
V
Fixed beam wit h ends at differ e nt levels (Effect of
sinking of supports) V
𝑀
𝐴
𝑀
𝐵
𝛿
150
𝑀𝐴 isnegative(hogging)and𝑀𝐵 ispositive(sagging).Numerically
𝑀𝐴 and𝑀𝐵 areequal.
LetVbethereactionateachsupport.
B
A
V
F i x e d b e a m w i t h e n d s a t d i f f e r e n t l e v e l s ( E f f e c t
o f s i n k i n g o f s u p p o r t s ) V
𝑀
𝐴
𝑀
𝐵
𝛿
𝑑4𝑦
Consideranysectiondistance𝑥fromtheendA.
Sincetherateofloadingiszero,wehave,withtheusualnotations
𝐸𝐼
𝑑𝑥4 =0
Integrating,weget,
𝑑3𝑦
Shearforce=𝐸𝐼𝑑𝑥3 =𝐶1
Where𝐶1isaconstant
At𝑥 =0, 𝑆.𝐹.=+V
∴𝐶1=V
𝑥
151
B
A
V
F i x e d b e a m w i t h e n d s a t d i f f e r e n t l e v e l s ( E f f e c t
o f s i n k i n g o f s u p p o r t s ) V
𝑀
𝐴
𝑀
𝐵
𝛿
𝑑2𝑦
B.M.atanysection=𝐸𝐼𝑑𝑥2 =𝑉𝑥 +𝐶1
At𝑥 =0, 𝐵. 𝑀.=−𝑀𝐴
∴ 𝐶2=−𝑀𝐴
𝑑2𝑦
∴𝐸𝐼
𝑑𝑥2 =𝑉𝑥 −𝑀𝐴
Integratingagain,
𝑑𝑥 2
𝐸𝐼𝑑𝑦
=𝑉
𝑥2 −𝑀𝐴𝑥 +𝐶3(Slopeequation)
𝑑𝑦
Butat𝑥 = 0, 𝑑𝑥
=0 ∴𝐶3=0
𝑥
152
B
A
F i x e d b e a m w i t h e n d s a t d i f f e r e n t l e v e l s ( E f f e c t
o f s i n k i n g o f s u p p o r t s ) V
𝑀
𝐴
𝑀
𝐵
𝛿
V
Integratingagain,
3
𝐸𝐼𝑦 = − 𝐴
𝑉𝑥 𝑀 𝑥2
6 2 4
+𝐶 ------ (Deflectionequation)
Butat𝑥=0,𝑦 = 0
∴𝐶4=0
At𝑥=𝑙,𝑦 = −𝛿
𝑉𝑙
3
−𝐸𝐼𝛿 =
6
−
𝑀 𝐴 𝑙
2
2
−−−−−−−−(i)
𝑙
𝑥
153
B
A
V
F i x e d b e a m w i t h e n d s a t d i f f e r e n t l e v e l s ( E f f e c t
o f s i n k i n g o f s u p p o r t s ) V
𝑀
𝐴
𝑀
𝐵
𝛿
𝑑𝑦
ButwealsoknowthatatB,𝑥=𝑙
𝑎𝑛𝑑 𝑑𝑥
=0
𝑑𝑥 2
AndsubstituteinslopeEq. 𝐸𝐼𝑑𝑦
=𝑉
𝑥2 −𝑀𝐴𝑥
𝑉𝑙
2
∴ 0 =
2
−𝑀𝐴𝑙
∴𝑉 =
2𝑀𝐴
−−−−−−−− ii
𝑙
SubstitutingindeflectionEq.(i)i.e.,−𝐸𝐼𝛿 =𝑉𝑙3
−𝑀𝐴𝑙2
;wehave,
2𝑀
𝐴
𝑙
3
−𝐸𝐼𝛿 = × −
6 2
𝑀𝐴𝑙2
𝑙
𝑥
2 154
B
A
V
F i x e d b e a m w i t h e n d s a t d i f f e r e n t l e v e l s ( E f f e c t
o f s i n k i n g o f s u p p o r t s ) V
𝑀
𝐴
𝑀
𝐵
𝛿
𝐸𝐼𝛿 = 𝐴
𝑀 𝑙2
6
∴
𝑀
𝐴 =
6𝐸𝐼𝛿
𝑙
2
𝑑2𝑦
Hencethelawforthebendingmomentatanysectiondistant x
fromAisgivenby
,
𝑀 =𝐸𝐼
𝑑𝑥2 =V𝑥−𝑀𝐴
𝑙
∴𝑀 =
2𝑀𝐴
𝑥−
6𝐸𝐼𝛿
𝑙
2
𝑙
155
155
B
A
V
F i x e d b e a m w i t h e n d s a t d i f f e r e n t l e v e l s ( E f f e c t
o f
s i n k i n g o f s u p p o r t s ) V
𝑀
𝐴
𝑀
𝐵
𝛿
ButforB.M.atB,putx=l,
∴
𝑀
𝐵
𝑙
=
2𝑀𝐴
×𝑙
−
6𝐸𝐼𝛿
=
12𝐸𝐼𝛿
−
6𝐸𝐼𝛿
=
6𝐸𝐼𝛿
𝑙
2 𝑙
2 𝑙
2 𝑙
2
Hencewhentheendsofafixedbeamareatdifferent levels,
Thefixingmomentateachend=
6𝐸𝐼𝛿
𝑙
2 numerically.
Atthehigherendthismomentisahoggingmomentandat the
lowerendthismomentisasaggingmoment.
𝑙
156
156
P r o b l e m s
A B
3m
157
2m
• Afixed beamof span5 metrescarriesa concentratedloadof 20 t
at3 metersfromthe left end. If the rightend sinksby 1 cm, find
the fixing momentsat the supports.For the beamsectiontake
I=30,000cm4and E=2x103t/cm2.Find alsothe reactionat the
supports.
20 t
157
• Therightendsinksby 1 cm,find the fixing momentsat the
supports.
P roblems
A B
3m 2m
• Afixed beamof span5 metrescarriesa concentratedloadof 20 t
at3 metersfromthe left end.
20 t
1cm
158
158
• 𝑀𝐴 =−Wa𝑏2
−6𝐸𝐼𝛿
𝑙
2
• =−
𝑙2
20×3×22
52 +
6×2×103×30,000×1
52×1002
tm
• =− 9.6+0.48 tm=-10.08tm(hogging)
• 𝑀𝐵
=−W𝑏𝑎2
+6𝐸𝐼𝛿
𝑙2 𝑙2
• 52
= −20×2×32
+6×2×103×30,000×1
52×1002
tm
• = −14.4+0.48 tm=-13.92tm(hogging)
P roblems
A B
3m 2m
20t
1cm
𝑀
𝐴
𝑀
𝐵
159
159
• Reaction at A:
• 𝑀𝐵=0,
• 𝑉𝐴 × 5 + 13.92 − 10.08 − 20 × 2 = 0
• ∴ 𝑉𝐴 = 7.232 t
• Reaction at B:
• ∴ 𝑉𝐵 = 20 − 7.232 = 12.768 t.
P r o b l e m s
A B
3m 2m
20t
10.08
13.92
𝑉
𝐴
160
𝑉
𝐵
160

IARE_SOM_II_PPT.pdf

  • 1.
    INSTITUTE OF AERONAUTICALENGINEERING (AUTONOMOUS) Dundigal – 500 043, Hyderabad Regulation: R16 (AUTONOMOUS) Course code: ACE004 STRENGTH OF MATERIALS – II B.TECH IV SEMESTER Prepared By SURAJ BARAIK Assistant Professor 1
  • 2.
  • 3.
    Deflection in Beams •Topics Covered  Review of shear force and bending moment diagram  Bending stresses in beams  Shear stresses in beams  Deflection in beams 3
  • 4.
    Beam Deflection Recall: THEENGINEERING BEAM THEORY  y  M E  I R y x NA A B A’ B’ If deformation is small (i.e. slope is “flat”): Moment-Curvature Equation v (Deflection) 4
  • 5.
    A ’ Alternatively: from Newton’sCurvature Equation 1 d2 y   R dx2   1 d R dx x and   y (slope is “flat”) y x R y  f(x) 1 d2 y   R dx2   dx      dy  2 1 if   R 1    d2 y    dx     2        1     dx      3   dy   2   2 R B’ y 5
  • 6.
    From the EngineeringBeam Theory: M E  I R 1 M  R EI d2 y  dx2 d2 y  EI  M dx2 Flexural Stiffness Bending Moment Curvature 6
  • 7.
    Relationship A B C B A C y Deflection= y Slope = dy dx Shearing force = EI d2 y Bending moment = EI dx2 d3 y dx3 Rate of loading = EI d4 y dx4 7
  • 8.
    Methods to findslope and deflection  Double integration method  Moment area method  Macaulay’s method 8
  • 9.
    Since, d2 y 2  1   dx   EI      M Curvature   1     dy dx   EI       M dx C1 Slope 1      EI   y      1    M dx dx  C  dx  C2 Deflection Where C1 and C2 are found using the boundary conditions. Curvature Slope Deflection R dy dx y Double integration method 9
  • 10.
    Double integrat ion met hod Slope Deflection B L L/2 A C L/2 yc Slope = dy dx A B 2 WL       16EI   Deflection = yc WL3 48EI Slope Deflection A C yc L x w/Unit length B Slope = dy dx A B 2 WL       24EI   Deflection = yc 5 WL3 384 EI Simple supported W Uniform distributed load 10
  • 11.
    Macaulay’s method  Theprocedure of finding slope and deflection for simply supported beam with an eccentric load is very laborious.  Macaulay’s method helps to simplify the calculations to find the deflection of beams subjected to point loads. 11
  • 12.
    9- 11 Moment-Area Theorems D CxC xD M  d   EI dx xC xD M D  C   EI dx • Consider a beam subjected to arbitrary loading, d d2 y M   dx dx2 EI • First Moment-Area Theorem: area under BM diagram between C and D. dx R d CD  Rd  dx 12
  • 13.
    9- 12 Mo ment-Are a T heo rems • Tangents to the elastic curve at P and P’ intercept a segment of length dt on the vertical through C. dt  xd  x M EI dx xC xC xD xD M 1 1 tC D   x EI dx  EI  xMdx  EI Ax   A= total area of BM diagram between C & D x = Distance of CG of BM diagram from C • Second Moment-Area Theorem: The tangential deviation of C with respect to D is equal to the first moment with respectto a vertical axis through C of the area under the BM diagram between C and D. 13
  • 14.
  • 15.
    An Exercise- Momentof Inertia – Comparison Load 2x 8 beam Maximum distance of 1 inch to the centroid I1 I2 > I1 , orientation 2 deflectsless 1 Maximum distance of 4inch to the centroid I2 Load 2 2x 8 beam 15
  • 16.
    UNIT II DEFLECTION BYENERGY METHODS 16
  • 17.
    Elastic Deflection Castigliano’sMethod Complementary Energy U’ Incremental: Deflection: Whena body is elastically deflected by any combination of loads, the deflection at any point and in any direction is equal to the partial derivative of strain energy (computed with all loads acting) with respect to a load located at that point and acting in that direction Castiglino’s Theorem: ∆  U Q 17
  • 18.
    Elastic Deflect ion Castigliano’s M ethod Energy and DeflectionEquations Example: Axial Tension Stored Elastic Energy: Case 1 from Table 5.1: gives: For varying E and A: 18
  • 19.
    Elastic Deflection Castigliano’s Method (1)Obtain expression for all components of energy Table 5.3 (2) Take partial derivative to obtain deflection ∆  U Q Castiglino’s Theorem: Energy and DeflectionEquations 19
  • 20.
    Elastic Deflection: Castigliano’sMethod Table 5.3 1. Energy: here it has two components: first compute Energy, then Partial Derivative to get deflection Here 2 types of loading: Bending and Shear magnitude @ x: 2. Partial Derivatives for deflection: (23=8)*3*4 = 96 20
  • 21.
    Table 5.3 Elastic Deflection:Castigliano’s Method TWO METHODS Differentiate after Integral Differentiate under Integral 21
  • 22.
    Elastic Deflection: Castigliano’sMethod m m Transverse shear contributes only <5% to deflection 22
  • 23.
    Elastic Deflection: Castigliano’sMethod Use of “Dummy Load” Q=0 •90° bend cantilever beam •shear neglected •Shear neglected => only 4 energy components: 1) BENDING portion a_b: Mab=Py 2) BENDING portion b_c: Mbc=Qx +Ph 3) TENSION portion a_b: Q 4) COMPRESSION portion b_c: P (Tension and Compression mostly negligible if torsion and bending are present) : 23
  • 24.
    Elastic Deflection: Castigliano’sMethod •Eccentrically Load Column •No Buckling Redundant Support 500kg x 9.8m/s2 =4900 N Guy wire •Now Deflection known (=0) •Find necessary Tension Force F •Hence partial derivative of total elastic energy with respect to F must be zero •Omit zero derivatives - all energy terms above a - compression term below a •Only bending term is left: M= (4900 N)(1.2m)-Fy = 5880 Nm - Fy finite value (Nm)2 m Nm3 m3 (Nm)2 Nm Nm3 m3 24
  • 25.
    U  P/2 e EnergyMethod External Work When a force F undergoes a displacement dx in the same direction as the force, the work done is dUe  F dx Ifthe total displacement is x the work become x Ue   F dx 0 25
  • 26.
    The work ofa moment is defined by the product of the magnitude of the moment M and the angle d then if the total angle of  e U  M/2  Ue   M d 0 rotation is the work become: dUe M d  26
  • 27.
  • 28.
  • 29.
  • 30.
  • 31.
  • 32.
  • 33.
  • 34.
  • 35.
  • 36.
  • 37.
  • 38.
  • 39.
  • 40.
  • 41.
  • 42.
  • 43.
    Maxwell–Betti Reciprocal theorem Considera simply supported beam of span L as shown. Let this beam be loaded by two systems of forces P1and P2 separately as shown in the figure. Let u21 be the deflection below the load point P2 when only load P1is acting. Similarly let u12 be the deflection below load P1 , when only load P2 is acting on the beam. 43
  • 44.
  • 45.
    The reciprocal theoremstates that the work done by forces acting through displacement of the second system is the same as the work done by the second system of forces acting through the displacements of the first system. Hence, according to reciprocal theorem, P1  u12  P2  u21 Now, u12 and u21 can be calculated using Castiglinao’s first theorem. Substituting the values of u12 and u21 in equation we get, 48EI 48EI 5P L3 5PL3 P  2  P  1 45
  • 46.
    Hence it isproved. This is also valid even when the first system of forces is P1,P2,...., Pn and the second system of forces is given by Q1,Q2 ,....,Qn . Let u1 , u2 ,...., un be the displacements caused by the forces P1, P2,...., Pnonly and 1, 2 ,...., n be the displacements due to system of forces Q1, Q2 ,...., Qn only acting on the beam as shown in Fig 46
  • 47.
    UNIT III STRESSES INCYLINDERS AND SPHERICAL SHELLS 47
  • 48.
  • 49.
    Introduction Cylindrical and sphericalvessels are used in the engineering field to store and transport fluids. Such vessels are tanks ,boilers , compressed air receivers , pipe lines etc. these vessels, when empty, are subjected to atmospheric pressure internally as well as externally and the resultant pressure on the walls of the shell is nil. but whenever a vessel is subjected to an intenal pressure (due to air , water , steam etc.) its walls are subjected to tensile stresses. 49
  • 50.
    Thin cylindrical shell. Whent/d <= d/10 to d/15, it is called thin cylindrical shell. t = thickness of the shell d =internal diameter of shell. in thin cylindrical shells hoops stress and longitudinal stresses are constant over the Thickness and radial stresses are negligible. When t/d > d/10 to d/15, it is called THICK cylindrical shell. 50
  • 51.
    Stresses in thincylindrical shells : whenever, a thin cylindrical shell is subjected to an internal pressure (p). Its Walls are subjected to two types of tensile stresses. (a) Hoop stress (circumferential stress) (b) Longitudinal stress. 51
  • 52.
    Consider a thincylindrical shell subjected to an internal Pressure as shown in fig. 𝜎𝑐 = circumferential stress in the shell material. p =internal pressure d =internal diameter of shell t =thickness of the shell. Total pressure, p = Pressure * Area =p.d.l Resisting area = A = 2.t.l 𝜎𝑐 = P/A = p.d.l/2.t.l 𝝈𝒄 = p.d/2t. Hoop stress (circumferential stress) : 𝝈𝒄 52
  • 53.
    (b) Longitudinal stress(𝜎𝑙 ): Total pressure p = Pressure * Area 4 p = p𝜋 𝑑2 Resisting area, A = 𝜋𝑑𝑡 𝜎𝑙 = P/A = p4 𝜋 𝑑 2 𝜋𝑑 𝑡 𝝈𝒍 = pd/4t 53
  • 54.
    Change in dimensionsof a thin cylindrical shell due to internal pressure: 1 𝜀 = 𝛿𝑑 𝜎 𝑐 𝜎 𝑙 = − = 𝑝𝑑 − 𝑝 𝑑 𝑑 𝐸 𝑚𝐸 2𝑡𝐸 4𝑡𝑚𝐸 𝟏 𝜺𝟏 = 𝒑𝒅/𝟐𝒕𝑬(𝟏 − 𝟐𝒎 ) Longitudinal strain, 2 𝜀 = = 𝛿𝑙 𝜎 𝑙 𝑙 𝐸 − 𝑐 𝑚𝐸 4 𝑡𝐸 𝜎 = 𝑝𝑑 − 𝑝 𝑑 2𝑡𝑚 𝐸 𝒑𝒅 𝟏 𝟏 𝜺𝟐 = 𝟐𝒕𝑬 𝟐 − 𝒎 Let, 𝛿𝑑=change in dia. Of shell 𝜎𝑙=change in length of shell Circumferential strain, 54
  • 55.
    Change in volumeof a thin cylindrical shell due to internal pressure: Volume of shell, V = 𝜋 ∗ 𝑑2 ∗𝑙 4 Final volume, 4 V+𝛿𝑣 = 𝜋 𝑑 + 𝛿𝑑 2 ∗ 𝑙 + 𝛿𝑙 Change in volume, 𝛿𝑣 = 𝑉 + 𝛿𝑣 − 𝑉 = [ 𝜋 𝜋 4 4 2 2 𝑑 + 𝛿𝑑 ∗ (𝑙 + 𝛿𝑙)] − ∗ 𝑑 ∗ 𝑙 2 2 𝜋 4 4 2 = [ 𝜋 (𝑑 + 2𝛿𝑑 ∗ 𝑑 + 𝛿𝑑 ) ∗ (𝑙 + 𝛿𝑙)] − ∗ 𝑑 ∗ 𝑙 = 𝜋 4 𝑑2𝑙 + 2𝛿𝑑 ∗ 𝑑 ∗ 𝑙 + 𝛿𝑑2 ∗ 𝑙 + 𝑑2 ∗ 𝛿𝑙 + 2𝛿𝑑 ∗ 𝑑 ∗ 𝛿𝑙 + 𝛿𝑑2 ∗𝛿𝑙 𝜋 4 2 − 𝑑 ∗ 𝑙 = 𝜋 4 𝑑2𝛿𝑙 + 2𝛿𝑑 ∗ 𝑑 ∗ 𝑙 𝛿𝑣 = 𝜋 𝑉 4 4 𝑑2𝛿𝑙 + 2𝛿𝑑 ∗ 𝑑 ∗ 𝑙 /𝜋 ∗ 𝑑2 ∗ 𝑙 =𝛿𝑙 + 2 𝛿𝑑 1 2 𝑑 𝑙 (𝜀 = 𝛿𝑑 , 𝜀 = 𝛿 𝑙 ) 𝑙 𝑑 =𝜀2 + 2𝜀1 𝜹𝒗 =V(𝝐𝟐 + 𝟐 𝜺𝟏) 55
  • 56.
    Thin spherical shells Considera thin spherical shell subjected to internal pressure p as shown in fig. p =internal pressure d =internal diameter of shell t =thickness of the shell 𝜎 = stress in the shell material Total force P = 𝜋 ∗ 𝑑2 ∗𝑝 4 Resisting section =𝜋𝑑𝑡 Stress in the shell 𝜎 = 𝑇𝑜𝑡𝑎𝑙 force/resisting section 4 = 𝜋 𝑑2𝑝/𝜋 𝑑𝑡 𝑝 𝑑 𝜎 = 56
  • 57.
    Chenge in diameterand volume of a thin spherical shell due to internal pressure Consider a thin spherical shell subjected to internal pressure. p =internal pressure d =internal diameter of shell t =thickness of the shell 𝜎 = stress in the shellmaterial We know that for thin spherical shell 𝜎 =𝑝𝑑 4𝑡 Strain in any direction 𝐸 𝑚𝐸 𝜖= 𝜎 − = 𝜎 𝑝𝑑 − 𝑝 𝑑 4𝑡𝐸 4𝑡 𝑚𝐸 𝟏 𝒎 𝜺 = 𝒑𝒅/𝟒𝒕𝑬(𝟏 − ) We know that, strain, ∈ = 𝛿 𝑑 𝑑 𝑑 𝛿𝑑 = 𝟏 𝒎 𝒑𝒅/𝟒𝒕𝑬(𝟏 − ) ……( 1) 57
  • 58.
  • 59.
    • Shell isa type of building enclosures. • Shells belong to the family of arches . They can be defined as curved or angled structures capable of transmitting loads in more than two directions to supports. • A shell with one curved surface is known as a vault (single curvature ). • A shell with doubly curved surface is known as a dome (double curvature). SHELLS 59
  • 60.
    Classification of shells •There are many different ways to classify shell structures but two ways are common: 1. The material which the shell is made of: like reinforced concrete, plywood or steel, because each one has different properties that can determine the shape of the building and therefore, these characteristics have to be considered in the design. 2. The shell thickness: shells can be thick or thin. 60
  • 61.
    Thin Concrete Shells Thethin concrete shell structures are a lightweight construction composed of a relatively thin shell made of reinforced concrete, usually without the use of internal supports giving an open unobstructed interior. The shells are most commonly domes and flat plates, but may also take the form of ellipsoids or cylindrical sections, or some combination thereof. Most concrete shell structures are commercial and sports buildings or storage facilities. There are two important factors in the development of the thin concrete shell structures: • The first factor is the shape which was was developed along the history of these constructions. Some shapes were resistant and can be erected easily. However, the designer’s incessant desire for more ambitious structures did not stop and new shapes were designed. • The second factor to be considered in the thin concrete shell structures is the thickness, which is usually less than 10 centimeters. For example, the thickness of the Hayden planetarium was 7.6 centimeters. 61
  • 62.
    Types of ThinConcrete Shells 1. Barrels shells The cylindrical thin shells, also called barrels, should not be confused with the vaults even with the huge similarity in the shape of both structures, because each of these structures has a different structural behavior as well as different requirements in the minimum thickness and the shape. 62
  • 63.
    • On onehand, the structural behavior of the vault is based on connected parallel arches, which transmit the same effort to the supports . Therefore, the materials used in these structures have to be able to resists compressions (e.g. stone) and the thickness is usually higher. Furthermore, the shape of the vaults must be as similar as possible to the arch in order to achieve the optimum structural behavior. • On the other hand, the structural behavior of the barrels shell is that it carries load longitudinally as a beam and transversally as an arch. and therefore, the materials have to resist both compression and tension stresses. This factor takes advantage of the bars of the reinforced concrete, because these elements can be placed where tension forces are needed and therefore, the span to thickness Ratios can be increased. Furthermore, the shape has fewer requirements than the vaults and therefore, new curves like the ellipse or the parabola can be used improving the aesthetic quality of the structure. 63
  • 64.
  • 65.
    Types of ThinConcrete Shells 2. Folded plate A thin-walled building structure of the shell type. Advantages of Folded Plate Roofs over Shell Roofs are: (a) Movable form work can be employed. (b) Form work required is relatively simpler. (c) Design involves simpler calculations. Disadvantages of Folded Plate Roofs over Shell Roofs are: (a) Folded plate consumes more material than shells. (b) Form work may be removed after 7 days whereas in case of shells it can be little earlier. 65
  • 66.
  • 67.
  • 68.
  • 69.
  • 70.
  • 71.
  • 72.
  • 73.
  • 74.
  • 75.
    Types of ThinConcrete Shells 3. Hyperbolic Paraboloid (Hypar) A Hypar is a surface curved in two directions that can be designed as a shell or warped lattice. A hypar is triangular, rectangular or rhomboidal in plan, with corners raised to the elevation desired for use and/or appearance. The edges of Hypars are typically restrained by stiff hollow beams that collect & transfer roof loads to the foundations. Rhomboi d 75
  • 76.
  • 77.
  • 78.
    Types of shells 4.Various Double Curvature 78
  • 79.
  • 80.
    Types of ThinConcrete Shells 5. Dome A rounded roof, with a circular base, shaped like an arch in all directions.. First used in much of the Middle East and North Africa whence it spread to other parts of the Islamic world, because of its distinctive form the dome has, like the minaret, become a symbol of Islamic architecture. Dome has double curvature and the resulting structure is much stiffer and stronger than a single curved surface, such as a barrel shell. 80
  • 81.
  • 82.
  • 83.
  • 84.
  • 85.
    Types of ThinConcrete Shells 6. Translation Shells A translation shell is a dome set on four arches. The shape is different from a spherical dome and is generated by a vertical circle moving on another circle. All vertical slices have the same radius. It is easier to form than a spherical dome. 85
  • 86.
    • Advantages ofConcrete Shells: The curved shapes often used for concrete shells are naturally strong structures. Shell allowing wide areas to be spanned without the use of internal supports, giving an open, unobstructed interior. The use of concrete as a building material reduces both materials cost and the construction cost. As concrete is relatively inexpensive and easily cast into compound curves. • Disadvantages of Concrete Shells Since concrete is porous material, concrete domes often have issues with sealing. If not treated, rainwater can seep through the roof and leak into the interior of the building. On the other hand, the seamless construction of concrete domes prevents air from escaping, and can lead to buildup of condensation on the inside of the shell. Shingling or sealants are common solutions to the problem of exterior moisture, and ventilation can address condensation. 86
  • 87.
  • 88.
    Contents: • Concept ofAnalysis -Propped cantilever and fixed beams-fixed end moments and reactions • Theorem of three moments – analysis of continuous beams – shear force and bending moment diagrams. 88
  • 89.
    89 Indeterminate beams • Staticallydeterminatebeams: –Cantilever beams – Simple supported beams – Overhanging beams • Statically indeterminate beams: – Propped cantilever beams – Fixed beams – Continuous beams
  • 90.
    • Propped cantilever Beams: Indeterminatebeams Degree of static indeterminacy= N0. of unknown reactions – static equations=3-2 = 1 90
  • 91.
    • Fixed beam: Afixed beam is a beam whose end supports are such that the end slopes remain zero (or unaltered) and is also called a built-in or encaster beam. Indeterminate beams Degree of static indeterminacy= N0. of unknown reactions – static equations=4-2 =2 91
  • 92.
    Degreeof staticindeterminacy= N0.of unknownreactions–staticequations=5-2=3 Continuousbeam:Continuousbeamsare very commonin the structural design.For the analysis,theoremof threemomentsis useful. Abeamwith morethan 2 supportsprovidedis knownas continuous beam. Degreeof staticindeterminacy= N0.of unknownreactions– staticequations=3-2=1 92
  • 93.
    •B.M. diagram fora fixed beam : Figure shows a fixed beam AB carrying an external load system. Let VA and VB be the vertical reactions at the supports A and B. LetMAand MB be the fixed end Moments. 𝑀 𝐵 𝑀 𝐴 𝑉𝐴 𝑉𝐵 𝑊 1 𝑊 2 𝑊 1 𝑊 2 93
  • 94.
    vb Thebeammay be analyzedinthe followingstages. (i) Letus firstconsiderthe beamas Simplysupported. Letva andvb be the verticalreactionsat the supportsAand B. Figure(ib) showsthe bendingmomentdiagramfor this condition. At anysectionthe bendingmomentMx is a saggingmoment. 𝑊1 𝑊2 va Fixed Beams (ib)FreeB.M.D. 94 (ia)Freelysupportedcondition 𝑀𝑥
  • 95.
    • (ii)NowletusconsidertheeffectofendcouplesMAandMB alone. Letvbe the reactionat each enddue to this condition. Suppose𝑀𝐵 > 𝑀𝐴. Then𝑉 =𝑀𝐵−𝑀𝐴 . 𝐿 If 𝑀𝐵 >𝑀𝐴 thereactionV is upwardsat B and downwardsatA. Fig Showsthe bendingmoment diagramfor this condition. At anysectionthe bendingmomentMx’ is hoggingmoment. 𝑀 𝐴 𝑀 𝐵 v v (iia)Effectofendcouples (iib)FixedB.M.D. 𝑀 𝑥 ′ 95
  • 96.
    • Nowthe finalbendingmoment diagramcanbedrawnby combiningthe above two B.M. diagramsas shownin Fig.(iiib) Nowthe finalreactionVA=va- v andVB = vb + v Theactualbendingmomentat any 𝑑2𝑦 sectionX, distance𝑥 fromthe endAis given by, 𝐸𝐼 𝑑𝑥2= 𝑀𝑥 − 𝑀𝑥′ 𝑀 𝐴 𝑉𝐴 𝑀𝐵 𝑉 𝐵 𝑊1 𝑊2 (iiib)ResultantB.M.D. + 96 - -
  • 97.
    Fixed B eams 𝑀 𝐵 𝑀 𝐴 𝑉𝐴 𝑉 𝐵 𝑊 1 𝑊 2 𝑉𝑎𝑉𝑏 (ia)Freelysupportedcondition 𝑀 𝐴 𝑀 𝐵 𝑉 𝑉 (iiia)Fixedbeam (iia)Effectofendcouples 𝑊1 𝑊2 𝑀 𝑥 𝑀 𝑥′ + - - (iib)FixedB.M.D. (iiib)ResultantB.M.D. (ib)FreeB.M.D. 97
  • 98.
    • Integrating,weget, • 𝐸𝐼 𝑑𝑦 𝑑𝑥 𝑙 0 =𝑥 𝑀 𝑑𝑥− 𝑥 ′ 𝑀 𝑑 𝑥 𝑙 0 𝑙 0 • Butatx=0,𝑑𝑦 =0 𝑑𝑥 𝑑𝑦 andat𝑥=𝑙,𝑑𝑥 = 0 𝑙 Further0 𝑀𝑥𝑑𝑥 =areaoftheFreeBMD=𝑎 𝑥 𝑙 𝑀 ′ 𝑑𝑥 =areaofthefixed B.M.D=𝑎′ 0 Substitutingintheaboveequation,weget, 0=𝑎 − 𝑎′ ∴𝑎 = 𝑎′ 𝑑2𝑦 𝐸𝐼 𝑑𝑥2 =𝑀𝑥 −𝑀𝑥′ 98
  • 99.
    • Integratingweget, • 2 𝑑𝑥2 𝐸𝐼 𝑥 =𝑥 𝑀 𝑥𝑑𝑥 − 𝑥 ′ 𝑀 𝑥𝑑 𝑥 𝑙 0 𝑙 0 𝑙 𝑑 𝑦 0 𝑑𝑥 0 • ∴ 𝐸𝐼 𝑥𝑑𝑦 −𝑦 𝑙 =a𝑥-a’𝑥′ • Where𝑥=distanceofthecentroidofthefreeB.M.D.fromA. and𝑥′= distanceofthecentroidofthefixedB.M.D.fromA. Fixed Beams 𝑑2𝑦 𝑎 = 𝑎′ ∴AreaofthefreeB.M.D.=AreaofthefixedB.M.D. Againconsidertherelation, 𝐸𝐼 𝑑𝑥2 =𝑀𝑥 −𝑀𝑥′ 𝑑2𝑦 𝑑𝑥2 𝑥 𝑥 99 ′ 𝐸𝐼𝑥 =𝑀 𝑥−𝑀 𝑥 𝑀𝑢𝑙𝑡𝑦𝑖𝑛𝑔𝑏𝑦 𝑥𝑤𝑒𝑔𝑒𝑡,
  • 100.
    𝑑𝑥 • Furtherat x=0,y=0 and 𝑑𝑦 = 0 or 100 • andat x=l, y=0 and 𝑑𝑦 = 0. 𝑑𝑥 • Substitutingin the above relation,we have 0 = 𝑎𝑥-𝑎′𝑥′ 𝑎𝑥=𝑎′𝑥′ 𝑥 =𝑥 ∴The distanceof the centroidof the freeB.M.D . FromA=The distanceof the centroidof the fixed B.M.D. fromA. ∴ 𝑎 = 𝑎′ 𝑥 = 𝑥 Fixed Beams
  • 101.
    Fixed Beams 𝑀𝐵 𝑀𝐴 𝑉𝐴 𝑉 𝐵 𝑊 1 𝑊 2 𝑉𝑎𝑉𝑏 (ia)Freelysupportedcondition 𝑀𝐴 𝑀𝐵 𝑉 𝑉 (iiia)Fixed beam (iia)Effectof end couples 𝑊1 𝑊2 𝑀𝑥 𝑀𝑥′ + - - (iib)Fixed B.M.D. (iiib)ResultantB.M.D. (ib)FreeB.M.D. 101
  • 102.
    Fixed beam problems •Findthe fixed endmomentsof a fixed beamsubjectedto a pointloadat the center. W l/2 A 102 B l/2
  • 103.
    • 𝐴′ =𝐴 𝑊𝑙 𝑀 = 8 =𝑀𝐴 = 𝑀𝐵 𝑙 /2 Fixed beam problems W A B 𝑊 𝑙 4 FreeBMD 𝑙 /2 M M + - 𝑀 ×𝑙 = 1 ×𝑙 × 𝑊𝑙 2 4 + - - FixedBMD 𝑊 𝑙 4 ResultantBMD 103
  • 104.
  • 105.
    Fixed beam problems •𝐴′ =𝐴 19 • 𝑥′ =𝑥 𝑀𝐴 +2𝑀 𝐵 𝑀𝐴 +𝑀 𝐵 × 3 = 𝑙 𝑙 +𝑎 3 𝐵 𝑀 =𝑀 × 𝑎 𝑙 −𝑎 𝐴 𝑎 𝑀𝐵 = 𝑏 −−−(2) 𝑎 W B 𝑙 𝑏 + 𝑀𝐴 +𝑀 𝐵 1 ×𝑙 = 2 ×𝑙 × A 𝑊𝑎𝑏 2 𝑙 𝑙 𝑊𝑎𝑏 FixedBMD 𝑀 𝐴 𝑀 𝐵 Free-BMD - 𝐴 𝐵 𝑙 𝑀 +𝑀 = 𝑊𝑎𝑏 −−−−(1) 105
  • 106.
    𝑎 𝑎 W A B 𝑏 𝐴 𝐵 𝑙 𝑀 +𝑀= 𝑊𝑎𝑏 −−−−(1) + 𝑊 𝑎𝑏 2 𝑙 2 𝑊 𝑏 𝑎 2 𝑙 2 𝑙 𝑊 𝑎 𝑏 𝑙 ResultantBMD - - 𝑀𝐵 =𝑀𝐴 × 𝑏 −−−(2) Bysubstituting(2)in(1), 𝑀𝐴 = 𝑊 𝑎 𝑏 2 𝑙2 From(2), 𝑀𝐵 = 𝑊 𝑏𝑎 2 𝑙2 106 Fixed beam problems
  • 107.
    Clapeyron’s theorem ofthree moments • AsshowninaboveFigure,ABandBCareanytwosuccessive spansof acontinuousbeamsubjectedtoanexternal loading. • If theextremeendsAandCfixedsupports,thesupport moments𝑀𝐴, 𝑀𝐵and 𝑀𝐶 atthesupportsA,BandCaregiven bytherelation, 𝑀 𝐴 𝑙 1 +2𝑀 𝐵 𝑙 1 +𝑙 2 +𝑀 𝐶 𝑙 2 = 6𝑎1𝑥1 + 6𝑎2𝑥2 𝑙 1 𝑙 2 A C 𝑙 1 𝑙 2 𝑀 𝐴 𝑀 𝐶 B𝑀 𝐵 107
  • 108.
    Clapeyro n’s theorem of three mome nt s (contd…) 𝑀 𝐴 𝑙 1 +2𝑀 𝐵 𝑙 1 +𝑙 2 +𝑀 𝐶 𝑙 2 = 6𝑎1𝑥1 + 6𝑎2𝑥2 𝑙 1 𝑙 2 • Where, • 𝑎1 =areaofthefreeB.M.diagramforthespanAB. • 𝑎2 =areaofthefreeB.M.diagramforthespanBC. • 𝑥1 =CentroidaldistanceoffreeB.M.DonABfromA. • 𝑥2=CentroidaldistanceoffreeB.M.DonBCfromC. 108
  • 109.
    𝑑𝑥 𝑀 𝑥 + 𝑥1 𝑥 + 𝑥2 A BC (a) (b) + ve + ve 𝑀 𝐴 𝑀𝐶 (d) 𝑑𝑥 𝑥 𝑀 𝑥’ 𝑥2 ′ 𝑥1 ′ 𝑀 𝐴 𝑀 𝐶 (c) + + FreeB.M.D 𝑀𝐵 FixedB.M.D 𝑀𝐵 -ve Clapeyro n’s theore m of three mome nt s (contd…) 𝑙 1 109 𝑙 2
  • 110.
    C l ap e y r o n ’ s t h e o r e m o f t h r e e m o m e n t s ( c o n t d … ) 𝑑𝑥 𝑀 𝑥 + 𝑥1 𝑥 + 𝑥2 A B C 𝑑𝑥 𝑥 𝑀 𝑥’ 𝑥2 ′ 𝑥1 ′ 𝑀 𝐴 110 𝑀 𝐶 - - FreeB.M.D 𝑀𝐵 FixedB.M.D (a)Thegivenbeam (b)FreeB.M.D. (c)FixedB.M.D.
  • 111.
    C l ap e y r o n ’ s t h e o r e m o f t h r e e m o m e n t s ( c o n t d … ) • Considerthe spanAB: • Letat anysectioninAB distant𝑥 fromAthe free and fixed bendingmomentsbe 𝑀𝑥 and𝑀𝑥 ′ respectively. • Hencethe net bendingmomentat the sectionis given by 𝑑2𝑦 𝐸𝐼 𝑑𝑥2= 𝑀𝑥 −𝑀𝑥 ′ • Multiplyingby 𝑥, we get 𝐸𝐼𝑥 𝑑2𝑦 𝑑𝑥2 𝑥 𝑥 111 ′ = 𝑀 𝑥 −𝑀 𝑥
  • 112.
    • 𝐸𝐼 𝑥 2 𝑑 𝑦 𝑑𝑥2𝑥 𝑥 ′ = 𝑀 𝑥−𝑀 𝑥 𝑑2𝑦 𝑙 1 𝑙 1 • Integratingfrom𝑥=0𝑡𝑜𝑥=𝑙1,we get, 𝐸𝐼 𝑥 𝑑𝑥2 = 𝑀𝑥𝑥 𝑑𝑥 −𝑀𝑥 ′𝑥 𝑑𝑥 𝑙 1 0 0 0 𝑑𝑦 𝐸𝐼 𝑥. 𝑑𝑥 −𝑦 112 0 𝑙 1 𝑙1 𝑙1 = 𝑀𝑥𝑥 𝑑𝑥 −𝑀𝑥 ′𝑥 𝑑𝑥 0 0 −−−(1) Clapeyro n’s theore m of three mome nt s (contd…)
  • 113.
    • Butit maybesuchthat At𝑥=0, deflection𝑦 =0 𝑑𝑥 • At𝑥=𝑙1,𝑦 =0;𝑎𝑛𝑑 𝑠𝑙𝑜𝑝𝑒𝑎𝑡𝐵 𝑓𝑜𝑟𝐴𝐵, 𝑑𝑦 =𝜃𝐵𝐴 • 𝑥 𝑙1 0 𝑀 𝑥𝑑𝑥 =𝑎 𝑥 1 1 =MomentofthefreeB.M.D.onABaboutA. • 𝑙1 0 𝑥 1 ′ 1 ′ ′ 𝑀 𝑥𝑑𝑥 =𝑎 𝑥 =MomentofthefixedB.M.D.onABaboutA. Clapeyro n’s theore m of three mome nt s (contd…) A B C 𝑙 1 𝑙 2 𝑥 113
  • 114.
    𝑑𝑦 𝐸𝐼 𝑥. 𝑑𝑥 −𝑦 0 𝑙 1 𝑙1 𝑙1 =𝑀𝑥𝑥 𝑑𝑥 −𝑀𝑥 ′𝑥 𝑑𝑥 0 0 −−(1) • Thereforetheequation(1)issimplifiedas, 1 𝐸𝐼 𝑙1𝜃𝐵𝐴 −0 =𝑎1𝑥1 −𝑎′𝑥1 ′. 1 But𝑎′ =areaofthefixedB.M.D.onAB= 𝑀 𝐴 + 𝑀 𝐵 2 𝑙 1 𝑥1 ′ =CentroidofthefixedB.M.D.fromA= 𝑀 𝐴 +2𝑀 𝐵 𝑙 1 𝑀 𝐴 +𝑀 𝐵 3 Clapeyro n’s theore m of three mome nt s (contd…) 114
  • 115.
    • Therefore, Clapeyro n’stheore m of three mome nt s (contd…) 𝟏 𝒂′ 𝒙𝟏 ′ = (𝑴𝑨 +𝑴𝑩 ) 𝑴 𝑨 +𝟐𝑴 𝑩 𝒍𝟏× 𝒍 𝟏 𝟐 𝑴 𝑨 +𝑴 𝑩 𝟑 =(𝑴𝑨 +𝟐𝑴𝑩 ) 𝟏 𝒍 𝟐 𝟔 𝑬𝑰𝒍𝟏𝜽𝑩𝑨 = 𝒂𝟏 𝒙𝟏 −(𝑴𝑨 +𝟐𝑴𝑩 ) 𝟏 𝒍 𝟐 𝟔 𝒍 𝟏 𝟔𝑬𝑰𝜽𝑩𝑨 = 𝟔𝒂𝟏𝒙𝟏 −(𝑴𝑨 +𝟐𝑴𝑩)𝒍𝟏 −−−−(𝟐) SimilarlybyconsideringthespanBCandtakingCasoriginit can be shownthat, 𝟔𝑬𝑰𝜽𝑩𝑪 = 𝟔𝒂𝟐 𝒙 𝟐 −(𝑴𝑪 +𝟐𝑴𝑩)𝒍𝟐 −−−−(𝟑) 𝒍𝟐 𝜃𝐵𝐶 =slopefor spanCBatB 115
  • 116.
    Clapeyro n’s theorem of three mome nt s (contd…) • But𝜃𝐵𝐴 = −𝜃𝐵𝐶 asthedirectionof𝑥fromAforthespanAB, andfromCforthespanCBareinoppositedirection. • Andhence,𝜃𝐵𝐴+𝜃𝐵𝐶 =0 𝟔𝑬𝑰𝜽𝑩𝑨 = 𝟔𝒂𝟏𝒙𝟏 −(𝑴𝑨 +𝟐𝑴𝑩)𝒍𝟏 −−−−(𝟐) 𝒍𝟏 𝒍 𝟐 𝟔𝑬𝑰𝜽𝑩𝑪 = 𝟔𝒂𝟐𝒙 𝟐 −(𝑴𝑪 +𝟐𝑴𝑩)𝒍𝟐 −−−−(𝟑) • Addingequations(2)and(3),weget 𝑬𝑰𝜽𝑩𝑨 +𝟔𝑬𝑰𝜽𝑩𝑪 = 𝟔𝒂𝟏𝒙𝟏 + 𝟔𝒂𝟐𝒙𝟐 −(𝑴𝑨 +𝟐𝑴𝑩)𝒍𝟏 −(𝑴𝑪 +𝟐𝑴𝑩)𝒍𝟐 𝒍𝟏 𝒍𝟐 𝟔𝑬𝑰(𝜽𝑩𝑨 +𝜽𝑩𝑪) = 𝒍 𝟏 𝟏 𝟏 𝟐 𝟐 𝟔𝒂 𝒙 𝟔𝒂 𝒙 𝒍 𝟐 𝑨 𝟏 𝑩 𝟏 𝟐 𝑪 𝟐 116 + − 𝑴 𝒍 +𝟐 𝑴 (𝒍 +𝒍) +𝑴 𝒍
  • 117.
    Clap eyro n’s theo re m o f three mo me nt s (co ntd …) 𝟎 = 𝟔𝒂𝟏𝒙 𝟏 𝒍𝟏 + 𝟔𝒂𝟐𝒙 𝟐 𝒍𝟐 −𝑴𝑨𝒍𝟏 +𝟐𝑴𝑩(𝒍𝟏 +𝒍𝟐) +𝑴𝑪𝒍𝟐 𝑴𝑨𝒍𝟏 +𝟐𝑴𝑩(𝒍𝟏 +𝒍𝟐) +𝑴𝑪𝒍𝟐 = 𝟔𝒂 𝒙 𝟏 𝟏 𝒍𝟏 + 𝟔𝒂 𝒙 𝟐 𝟐 𝒍𝟐 117
  • 118.
    118 P roblems • Acontinuousbeam of three equal span is simply supported over two supports. It is loaded with a uniformly distributed load of w/unit length, over the two adjacent spans only. Using the theorem of three moments, find the support moments and sketchthe bendingmomentdiagram.AssumeEI constant.
  • 119.
    P roblems • Solution: •Thetheoremof three momentsequationfortwospansis, 𝑀 𝐴 (𝑙 1) +2𝑀 𝐵 𝑙 1 +𝑙 2 +𝑀 𝐶 𝑙2 = 6𝑎1𝑥1 + 6𝑎2𝑥2 𝑙1 𝑙2 ApplythetheoremofthreemomentequationforspansABandBCis, 𝑀 𝐴 𝑙 +2𝑀 𝐵 𝑙 +𝑙 +𝑀 𝐶 𝑙 = 6𝑎1𝑥1 + 6𝑎2𝑥2 𝑙 1 𝑙 2 𝑙 A w/ unitlength B C D 𝑙 𝑤 𝑙 2 8 𝑙 𝑤 𝑙 2 8 FreeB.M.D. 119
  • 120.
    P roblems 1 • Solution: •𝑎 =2 ×𝑙 ×𝑤𝑙2 3 8 1 12 = 𝑤 𝑙 3 • 𝑥1= 𝑙 2 2 • 𝑎2 =3 ×𝑙 × 𝑤 𝑙 2 8 • 𝑥2= 𝑙 2 𝑙 6× 1 𝑤𝑙3× 𝑙 6× 1 𝑤𝑙3× 𝑙 = 12 2 + 12 2 𝑙 𝐵 𝐶 2 • 4𝑀 +𝑀 =𝑤𝑙2 −−−− −(1) 𝑙 A w/ unitlength B C D 𝑙 𝑤 𝑙 2 8 𝑙 𝑤 𝑙 2 8 FreeB.M.D. 0 • 𝑀 𝐴 𝑙 +2𝑀 𝐵 𝑙 +𝑙 +𝑀 𝐶 𝑙 120
  • 121.
    • Solution: • Thetheoremofthree momentsequationfortwospansis, 𝑀 𝐴 (𝑙 1) +2𝑀 𝐵 𝑙 1 +𝑙 2 +𝑀 𝐶 𝑙2 = 6𝑎1𝑥1 + 6𝑎2𝑥2 𝑙1 𝑙2 ApplythetheoremofthreemomentequationforspansBCandCDis, 𝑀 𝐵 𝑙 +2𝑀 𝐶 𝑙 +𝑙 +𝑀 𝐷 𝑙 𝑙 1 = 6𝑎1𝑥1 +0 𝑙 A w/ unitlength B C D 𝑙 𝑤 𝑙 2 8 𝑙 𝑤 𝑙 2 8 FreeB.M.D. 121
  • 122.
    P roblems 1 • Solution: •𝑎 =2 ×𝑙 ×𝑤𝑙2 3 8 1 12 = 𝑤 𝑙 3 • 𝑥1= 𝑙 2 6× 1 𝑤𝑙3× 𝑙 𝑙 = 12 2 +0 𝐵 𝐶 4 • 𝑀 +4𝑀 =𝑤𝑙2 −−−−−(2) 𝑙 A w/ unitlength B C D 𝑙 𝑤 𝑙 2 8 𝑙 𝑤 𝑙 2 8 FreeB.M.D. 0 • 𝑀 𝐵 𝑙 +2𝑀 𝐶 𝑙 +𝑙 +𝑀 𝐷 𝑙 122
  • 123.
    P ro blems • 4𝑀𝐵 +16𝑀𝐶 =w𝑙2−−−−−(2) ×4 4𝑀𝐵 +𝑀𝐶 = 𝑤 𝑙 2 2 −−−−−(1) 𝑤 𝑙 2 𝑀 𝐶 = 30 15𝑀𝐶 = 𝑤 𝑙 2 2 −−−−− 2 ×4−(1) 𝑤 𝑙 2 Substitute𝑀𝐶 = 30 inequation(2), 𝑀 𝐵 +4× 30 = 𝑤 𝑙 2 𝑤 𝑙 2 4 𝑀𝐵 = 7𝑤 𝑙 2 60 123
  • 124.
    124 Fixed beam Problems • AfixedbeamABofspan6mcarriesuniformlyvaryingloadof intensity zeroatAand20kN/matB.Findthefixedend momentsanddrawthe B.M.andS.F .diagramsforthe beam.
  • 125.
    P roblems ConsideranysectionXXdistant𝑥fromtheendA,theintensityof loadingatXX= = 𝑤𝑥 20𝑥 𝐿 6 Hencetheloadactingforanelementaldistance𝑑𝑥 = 20𝑥 6 𝑑𝑥 Duetothiselementalloadthefixedmomentsareasfollows: 𝑑𝑀𝑎 = Wa𝑏2 𝐿2 (Formula is derivedfromfirstprinciples) = 6 20𝑥𝑑𝑥 ×𝑥× 6−𝑥 2 62 = 20𝑥2 6−𝑥 2𝑑𝑥 63 A B 20kN/m 20×𝑥 6 𝑥 X 6m X 𝑑𝑥 125
  • 126.
    P roblems and 𝑑𝑀𝑏 = W𝑏𝑎2 𝐿2Formulais derivedfrombasicprinciples = 6 20𝑥 𝑑𝑥× 6−𝑥 ×𝑥2 62 = 20𝑥3 6−𝑥 𝑑𝑥 63 𝑀𝐴 = 𝑑𝑀𝑎 T akingfixingmomentatA, 𝑙 0 216 6 0 = 20 𝑥2 6−𝑥 2𝑑𝑥 A B 20kN/m 20×𝑥 6 𝑥 X 6m X 𝑑𝑥 126
  • 127.
    Problems 𝐴 216 𝑀 = 20 𝑥2 36+𝑥2−12𝑥 𝑑𝑥 6 0 20 36𝑥3 = 216 3 𝑥5 + 5 − 12𝑥4 4 0 6 20 36×63 65 + 5 − 12×64 4 = 216 3 ∴𝑀𝐴 =24kNm 127
  • 128.
    P roblems 𝐵 𝑀 =𝑑𝑀 𝐵 𝑙 0 63 = 20 𝑥3 6−𝑥 𝑑𝑥 6 0 20 = 216 𝑥4 𝑥5 4 ×6− 5 0 6 20 64×6 = 216 4 65 − 5 ∴𝑀𝐵 =36kNm 128
  • 129.
    P roblems A B 20kN/m 20×𝑥 6 𝑥 X 6m X 𝑑𝑥 FreeBMD: 𝑀𝑚𝑎𝑥 = 𝑤 𝑙 2 = 20×62 9 3 9 3 =46.18kNm(Cubicparaboliccurve) Willoccurat6 3mfromleftendA. 46.18kNm + 6 3 FreeBMD FixedBMD 129
  • 130.
    P roblems A B 20kN/m 20×𝑥 6 𝑥 X 6m X 𝑑𝑥 - + 46.18kNm - 63 Resultant BMD 130 24kNm 36kNm ResultantBMD:
  • 131.
    P roblems Calculationofsupportreactions: A B 20kN/m 20×𝑥 6 𝑥 X 6m X 𝑑𝑥 𝑅 𝐵 𝑅 𝐴 2436 𝑀𝐴 =0 𝑅 1 2 𝐵 ×6+24=36+ 2 ×6×20× 3 ×6 𝐵 6 𝑅 = 252 =42 kN 1 𝑅𝐴 +42= 2 ×6×20 𝑅𝐴 =60−42=18kN 131
  • 132.
    P roblems SFD: A B 20kN/m 20×𝑥 6 𝑥 X 6m X 𝑑𝑥 42kN 18kN 2436 S.F .@A=+ 1 8kN S.F .@B=-42kN SFDbetweenAandBis aparabola. S.F .@XX=0 1 𝑥 18− 2 ×𝑥×20× 6 = 0 18= 10𝑥2 6 𝑥=3.29 𝑚 Parabola 3.29m 132 18kN 42kN SF D
  • 133.
  • 134.
    UNIT V INDETERMINATE BEAMS:CONTINUOUS BEAMS 134
  • 135.
    Continuo us beamwit h supports at differ e nt levels • ConsiderthecontinuousbeamshowninaboveFigure.Let the supportBbe𝛿1belowAandbelow C. • ConsiderthespanAB: • LetatanysectioninABdistant𝑥fromAthefreeandfixed bending momentsbe𝑀𝑥 and𝑀𝑥 ′ respectively. • Hencethenetbendingmomentatthesectionisgiven by 𝑑2𝑦 𝐸𝐼 𝑑𝑥2 = 𝑀𝑥 −𝑀 𝑥 ′ • Multiplyingby𝑥, weget 𝐸𝐼 𝑥 𝑑2𝑦 𝑑𝑥2 𝑥 𝑥 ′ = 𝑀 𝑥−𝑀 𝑥 A C 𝑙1 𝑙 2 𝑀 𝐴 𝑀 𝐶 B𝑀 𝐵 𝛿 135 1
  • 136.
    • 𝐸𝐼 𝑥 2 𝑑 𝑦 𝑑𝑥2𝑥 𝑥 ′ = 𝑀 𝑥−𝑀 𝑥 𝑑2𝑦 𝑙 1 𝑙 1 • Integratingfrom𝑥=0𝑡𝑜𝑥=𝑙1,we get, 𝐸𝐼 𝑥 𝑑𝑥2 = 𝑀𝑥𝑥 𝑑𝑥 −𝑀𝑥 ′𝑥 𝑑𝑥 𝑙 1 0 0 0 𝑑𝑦 𝐸𝐼 𝑥. 𝑑𝑥 −𝑦 136 0 𝑙 1 𝑙1 𝑙1 = 𝑀𝑥𝑥 𝑑𝑥 −𝑀𝑥 ′𝑥 𝑑𝑥 0 0 −−−(1) C o n t i n u o u s b e a m w i t h s u p p o r t s a t d i f f e r e n t l e v e l s
  • 137.
    • Butit maybesuchthat At𝑥=0, deflection𝑦 =0 𝑑𝑥 • At𝑥=𝑙1,𝑦 =−𝛿1;𝑎𝑛𝑑 𝑠𝑙𝑜𝑝𝑒𝑎𝑡𝐵 𝑓𝑜𝑟𝐴𝐵, 𝑑𝑦 =𝜃𝐵𝐴 • 𝑥 𝑙1 0 𝑀 𝑥𝑑𝑥 =𝑎 𝑥 1 1 =MomentofthefreeB.M.D.onABaboutA. • 𝑙1 0 𝑥 1 ′ 1 ′ ′ 𝑀 𝑥𝑑𝑥 =𝑎 𝑥 =MomentofthefixedB.M.D.onABaboutA. A C 𝑙1 𝑙2 𝑀 𝐴 𝑀 𝐶 B𝑀 𝐵 𝛿1 𝑥 137 Co ntin uo u s b eam wit h sup p o rts at d iffer e nt levels
  • 138.
    𝑑𝑦 𝐸𝐼 𝑥. 𝑑𝑥 −𝑦 0 𝑙 1 𝑙1 𝑙1 =𝑀𝑥𝑥 𝑑𝑥 −𝑀𝑥 ′𝑥 𝑑𝑥 0 0 −−(1) • Thereforetheequation(1)issimplifiedas, 𝐸𝐼 𝑙1𝜃𝐵𝐴 − −𝛿1 =𝑎1𝑥1 −𝑎′𝑥1 ′. 1 1 But𝑎′ =areaofthefixedB.M.D.onAB= 𝑀 𝐴 + 𝑀 𝐵 2 𝑙 1 𝑥1 ′ =CentroidofthefixedB.M.D.fromA= 𝑀 𝐴 +2𝑀 𝐵 𝑙 1 𝑀 𝐴 +𝑀 𝐵 3 Continuo us beam wit h supports at differ e nt levels 138
  • 139.
    • Therefore, 𝟏 𝒂′ 𝒙𝟏 ′= (𝑴𝑨 +𝑴𝑩 ) 𝑴 𝑨 +𝟐𝑴 𝑩 𝒍𝟏× 𝒍 𝟏 𝟐 𝑴 𝑨 +𝑴 𝑩 𝟑 =(𝑴𝑨 +𝟐𝑴𝑩 ) 𝟏 𝒍 𝟐 𝟔 SimilarlybyconsideringthespanBCandtakingCasoriginit canbe shown that, 𝜃𝐵𝐶 =slopefor spanCBatB C o n t i n u o u s b e a m w i t h s u p p o r t s a t d i f f e r e n t l e v e l s ∴𝐸𝐼(𝑙𝜃1 𝐵𝐴 + 1 𝛿 ) =𝑎 𝑥 − 𝑀 +2𝑀 1 1 𝐴 𝐵 𝑙 1 2 6 𝐵 𝐴 6𝐸𝐼𝜃 = 6𝑎 𝑥 1 1 − 6𝐸𝐼𝛿 1 𝑙 1 𝑙 1 1 − 𝑀𝐴 +2𝑀𝐵 𝑙 −−−(2) 6𝐸𝐼𝜃𝐵𝐶 = 6𝑎 𝑥 6𝐸𝐼 𝛿 2 2 2 𝑙 2 𝑙 2 𝐶 𝐵 2 139 − − 𝑀 +2𝑀 𝑙 −−−(3)
  • 140.
    • But𝜃𝐵𝐴 =−𝜃𝐵𝐶 asthedirectionof𝑥fromAforthespanAB, andfromCforthespanCBareinoppositedirection. • Andhence,𝜃𝐵𝐴+𝜃𝐵𝐶 =0 C o n t i n u o u s b e a m w i t h s u p p o r t s a t d i f f e r e n t l e v e l s 6𝐸𝐼𝜃𝐵𝐴 = 𝑙 1 6𝑎 𝑥 6𝐸𝐼𝛿 1 1 1 𝑙 1 𝐴 𝐵 1 − − 𝑀 +2𝑀 𝑙 −−−(2) 6𝐸𝐼𝜃𝐵𝐶 = 6𝑎 𝑥 2 2 6𝐸𝐼𝛿 2 𝑙 2 𝑙 2 − − 𝑀𝐶 +2𝑀 𝐵 2 𝑙 −−−(3) Addingequations(2)and(3),weget 6𝐸𝐼(𝜃𝐵𝐴+𝜃𝐵𝐶) = 6𝑎1𝑥1 + 6𝑎2𝑥2 − 6𝐸𝐼𝛿1 − 6𝐸𝐼𝛿2 𝑙1 𝑙2 𝑙1 𝑙2 − 𝑀𝐴𝑙1 +2𝑀𝐵 𝑙1+𝑙2 +𝑀𝑐𝑙2 140
  • 141.
    C o nt i n u o u s b e a m w i t h s u p p o r t s a t d i f f e r e n t l e v e l s 6𝐸𝐼(𝜃𝐵𝐴+𝜃𝐵𝐶) = 6𝑎1𝑥1 + 6𝑎2𝑥2 − 6𝐸𝐼𝛿1 − 6𝐸𝐼𝛿2 𝑙1 𝑙2 𝑙1 𝑙2 − 𝑀𝐴𝑙1 +2𝑀𝐵 𝑙1+𝑙2 +𝑀𝑐𝑙2 0= 6𝑎 𝑥 1 1 𝑙 1 + 𝑙 2 − 6𝑎 𝑥 6𝐸𝐼𝛿 2 2 1 𝑙 1 − 6𝐸𝐼𝛿 2 𝑙 2 − 𝑀𝐴𝑙1 +2𝑀𝐵 𝑙1 +𝑙2 +𝑀 𝑙 𝑐2 𝑀𝐴𝑙1 +2𝑀𝐵 𝑙1 +𝑙2 +𝑀 𝑙 𝑐2 = 6𝑎1𝑥1 + 6𝑎2𝑥2 − 6𝐸𝐼 𝑙1 𝑙2 𝛿1 + 𝛿2 𝑙1 𝑙2 141
  • 142.
    • ThefollowingFigureshowsa continuousbeamcarryingan externalloading.Ifthe supportB sinksby 0.25cm belowthe levelof the othersupportsfind supportmoments.TakeI for section=15000cm4 and E=2x103t/cm2. P r o b l e m s 2t/m 4m 142 4m 4m A 4t/m B C D
  • 143.
    • ThetheoremofthreemomentsfortwospansABandBCisas follows, •ConsiderthespansABandBC, • 𝑀𝐴 =0 • 𝛿1 =+0.25cm • 𝛿2 =+0.25cm P roblems 𝑀𝐴𝑙1 +2𝑀𝐵 𝑙1+𝑙2 +𝑀𝑐𝑙2 = 6𝑎1𝑥1 + 6𝑎2𝑥2 −6𝐸𝐼 𝛿1 + 𝛿2 𝑙 1 𝑙 2 𝑙 1 𝑙 2 2t/m 4m 4m A 4t/m B C D 0.25cm 4m 143
  • 144.
    2 • 𝑎1=3 ×4×8 2 • 6𝑎1𝑥1 = 6×3×4×8×2 =64 𝑙14 6𝑎 𝑥 𝑙 2 6× 2 ×4×8×2 4 • 2 2 = 3 =64 P roblems 6𝐸𝐼= 6×2×103×15000 1002 =18000t𝑚2 8tm 8tm 4tm FreeBMD 2t/m 4m 4m 4m A 4t/m B C D 0.25cm 144
  • 145.
    • ∴0+2𝑀𝐵 4+4+4𝑀𝐶 =64+64−18000 • ∴16𝑀𝐵+4𝑀𝐶 =128−22.5 • 16𝑀𝐵+4𝑀𝐶 =105.5 • 4𝑀𝐵+𝑀𝐶 =26.375−−−−(1) P roblems 8tm 8tm 𝑀 𝑙 +2𝑀 𝑙 +𝑙 +𝑀 𝑙 𝐴 1 𝐵 1 2 𝑐2 𝑙 1 𝑙 2 = 6𝑎1𝑥1 + 6𝑎2𝑥2 − 6𝐸𝐼 𝛿1 + 𝛿2 0.25 𝑙10.25 𝑙2 400 +400 4tm 2t/m 4m 4m 4m A 4t/m B C D 0.25cm 145
  • 146.
    • NowconsiderthespansBCandCD, • 𝑀𝑑=0, • 𝛿1=−0.25cm • 𝛿2=0 P r o b l e m s 4tm 2t/m 4m 8tm 4m A 4t/m B C D 0.25cm 4m 8tm 146
  • 147.
    𝑀𝐵 ×4+2𝑀𝐶 4+4+0=64+32−18000 • ∴4𝑀𝐵+16𝑀𝐶 =96+11.25 • 4𝑀𝐵+16𝑀𝐶 =107.25−−−−(2) P r o b l e m s 8tm 8tm 𝑀𝐴𝑙1 +2𝑀𝐵 𝑙1 +𝑙2 +𝑀 𝑙 𝑐2 𝑙 1 𝑙 2 = 6𝑎1𝑥1 + 6𝑎2𝑥2 − 6𝐸𝐼 𝛿1 + 𝛿2 −0. 𝑙1 𝑙2 25 + 0 400 400 4tm 2t/m 4m 4m 4m A 4t/m B C D 0.25cm 147
  • 148.
    • 4𝑀𝐵+𝑀𝐶 =26.375−−−−(1) • 4𝑀𝐵+16𝑀𝐶 =107.25−−−−(2) • Solving(1)and(2),weget, • 𝑀𝐵 =5.24tm hogging . • 𝑀𝐶 =5.39tm hogging . 148 P r o b l e m s
  • 149.
    P r ob l e m s + 5.24tm - 5.39tm - 8tm 8tm + 4tm + BMD 2t/m 4m 4m 4m A 4t/m B C D 0.25cm 149
  • 150.
    B A V Fixed beam with ends at differ e nt levels (Effect of sinking of supports) V 𝑀 𝐴 𝑀 𝐵 𝛿 150 𝑀𝐴 isnegative(hogging)and𝑀𝐵 ispositive(sagging).Numerically 𝑀𝐴 and𝑀𝐵 areequal. LetVbethereactionateachsupport.
  • 151.
    B A V F i xe d b e a m w i t h e n d s a t d i f f e r e n t l e v e l s ( E f f e c t o f s i n k i n g o f s u p p o r t s ) V 𝑀 𝐴 𝑀 𝐵 𝛿 𝑑4𝑦 Consideranysectiondistance𝑥fromtheendA. Sincetherateofloadingiszero,wehave,withtheusualnotations 𝐸𝐼 𝑑𝑥4 =0 Integrating,weget, 𝑑3𝑦 Shearforce=𝐸𝐼𝑑𝑥3 =𝐶1 Where𝐶1isaconstant At𝑥 =0, 𝑆.𝐹.=+V ∴𝐶1=V 𝑥 151
  • 152.
    B A V F i xe d b e a m w i t h e n d s a t d i f f e r e n t l e v e l s ( E f f e c t o f s i n k i n g o f s u p p o r t s ) V 𝑀 𝐴 𝑀 𝐵 𝛿 𝑑2𝑦 B.M.atanysection=𝐸𝐼𝑑𝑥2 =𝑉𝑥 +𝐶1 At𝑥 =0, 𝐵. 𝑀.=−𝑀𝐴 ∴ 𝐶2=−𝑀𝐴 𝑑2𝑦 ∴𝐸𝐼 𝑑𝑥2 =𝑉𝑥 −𝑀𝐴 Integratingagain, 𝑑𝑥 2 𝐸𝐼𝑑𝑦 =𝑉 𝑥2 −𝑀𝐴𝑥 +𝐶3(Slopeequation) 𝑑𝑦 Butat𝑥 = 0, 𝑑𝑥 =0 ∴𝐶3=0 𝑥 152
  • 153.
    B A F i xe d b e a m w i t h e n d s a t d i f f e r e n t l e v e l s ( E f f e c t o f s i n k i n g o f s u p p o r t s ) V 𝑀 𝐴 𝑀 𝐵 𝛿 V Integratingagain, 3 𝐸𝐼𝑦 = − 𝐴 𝑉𝑥 𝑀 𝑥2 6 2 4 +𝐶 ------ (Deflectionequation) Butat𝑥=0,𝑦 = 0 ∴𝐶4=0 At𝑥=𝑙,𝑦 = −𝛿 𝑉𝑙 3 −𝐸𝐼𝛿 = 6 − 𝑀 𝐴 𝑙 2 2 −−−−−−−−(i) 𝑙 𝑥 153
  • 154.
    B A V F i xe d b e a m w i t h e n d s a t d i f f e r e n t l e v e l s ( E f f e c t o f s i n k i n g o f s u p p o r t s ) V 𝑀 𝐴 𝑀 𝐵 𝛿 𝑑𝑦 ButwealsoknowthatatB,𝑥=𝑙 𝑎𝑛𝑑 𝑑𝑥 =0 𝑑𝑥 2 AndsubstituteinslopeEq. 𝐸𝐼𝑑𝑦 =𝑉 𝑥2 −𝑀𝐴𝑥 𝑉𝑙 2 ∴ 0 = 2 −𝑀𝐴𝑙 ∴𝑉 = 2𝑀𝐴 −−−−−−−− ii 𝑙 SubstitutingindeflectionEq.(i)i.e.,−𝐸𝐼𝛿 =𝑉𝑙3 −𝑀𝐴𝑙2 ;wehave, 2𝑀 𝐴 𝑙 3 −𝐸𝐼𝛿 = × − 6 2 𝑀𝐴𝑙2 𝑙 𝑥 2 154
  • 155.
    B A V F i xe d b e a m w i t h e n d s a t d i f f e r e n t l e v e l s ( E f f e c t o f s i n k i n g o f s u p p o r t s ) V 𝑀 𝐴 𝑀 𝐵 𝛿 𝐸𝐼𝛿 = 𝐴 𝑀 𝑙2 6 ∴ 𝑀 𝐴 = 6𝐸𝐼𝛿 𝑙 2 𝑑2𝑦 Hencethelawforthebendingmomentatanysectiondistant x fromAisgivenby , 𝑀 =𝐸𝐼 𝑑𝑥2 =V𝑥−𝑀𝐴 𝑙 ∴𝑀 = 2𝑀𝐴 𝑥− 6𝐸𝐼𝛿 𝑙 2 𝑙 155 155
  • 156.
    B A V F i xe d b e a m w i t h e n d s a t d i f f e r e n t l e v e l s ( E f f e c t o f s i n k i n g o f s u p p o r t s ) V 𝑀 𝐴 𝑀 𝐵 𝛿 ButforB.M.atB,putx=l, ∴ 𝑀 𝐵 𝑙 = 2𝑀𝐴 ×𝑙 − 6𝐸𝐼𝛿 = 12𝐸𝐼𝛿 − 6𝐸𝐼𝛿 = 6𝐸𝐼𝛿 𝑙 2 𝑙 2 𝑙 2 𝑙 2 Hencewhentheendsofafixedbeamareatdifferent levels, Thefixingmomentateachend= 6𝐸𝐼𝛿 𝑙 2 numerically. Atthehigherendthismomentisahoggingmomentandat the lowerendthismomentisasaggingmoment. 𝑙 156 156
  • 157.
    P r ob l e m s A B 3m 157 2m • Afixed beamof span5 metrescarriesa concentratedloadof 20 t at3 metersfromthe left end. If the rightend sinksby 1 cm, find the fixing momentsat the supports.For the beamsectiontake I=30,000cm4and E=2x103t/cm2.Find alsothe reactionat the supports. 20 t 157
  • 158.
    • Therightendsinksby 1cm,find the fixing momentsat the supports. P roblems A B 3m 2m • Afixed beamof span5 metrescarriesa concentratedloadof 20 t at3 metersfromthe left end. 20 t 1cm 158 158
  • 159.
    • 𝑀𝐴 =−Wa𝑏2 −6𝐸𝐼𝛿 𝑙 2 •=− 𝑙2 20×3×22 52 + 6×2×103×30,000×1 52×1002 tm • =− 9.6+0.48 tm=-10.08tm(hogging) • 𝑀𝐵 =−W𝑏𝑎2 +6𝐸𝐼𝛿 𝑙2 𝑙2 • 52 = −20×2×32 +6×2×103×30,000×1 52×1002 tm • = −14.4+0.48 tm=-13.92tm(hogging) P roblems A B 3m 2m 20t 1cm 𝑀 𝐴 𝑀 𝐵 159 159
  • 160.
    • Reaction atA: • 𝑀𝐵=0, • 𝑉𝐴 × 5 + 13.92 − 10.08 − 20 × 2 = 0 • ∴ 𝑉𝐴 = 7.232 t • Reaction at B: • ∴ 𝑉𝐵 = 20 − 7.232 = 12.768 t. P r o b l e m s A B 3m 2m 20t 10.08 13.92 𝑉 𝐴 160 𝑉 𝐵 160