International Journal of Engineering Research and Development
eISSN : 2278-067X, pISSN : 2278-800X, www.ijerd.com
Volume 4, Issue 8 (November 2012), PP. 05-15


     An Extensive Performance Analysis of CBRP, DSR and AODV
        Protocols for Dense and Sparse Topologies in MANET
              Ramireddy Kondaiah1 Dr. B. Satyanarayana2 Puttu Eswaraiah3
                                Nukamreddy Srinadh4
 1
     Research Scholar, Rayalaseema University , Kurnool. & Associate Professor, Dept of CSE, PBRVITS, Kavali, A.P, India
          2
          Chairman, Board of Studies & Professor in Computer Science &Tech., S.K University, Anantapur ,A.P , India
 3
  Research Scholar, S.V University, Tirupathi & Associate Professor & HOD, Dept. of MCA. PBRVITS, Kavali, A.P ,India.
      4
       ResearchScholar, Rayalaseema University, Kurnool. & Associate Professor,Dept of CSE, VEC, Kavali, A.P , India.



Abstract:––Mobile Ad-Hoc Network (MANET) is a specific type of wireless network that is infrastructure less, dynamic
and self organizing and self configuring multi-hop wireless network. Nodes are mobile and therefore nodes can join or
leave the network at any time. Routing in Ad-hoc networks is a challenging task due to mobility of nodes. In this paper a
detailed simulation based performance analysis has been carried out for the protocols Cluster-Based Routing Protocol
(CBRP), Dynamic Source Routing (DSR), Ad-Hoc On-Demand Distance Vector(AODV) by varying dense and sparse
topologies . We present a comparative analysis covering performance metrics like Packet Delivery Ratio(PDR),
Normalized Routing Load (NRL) and Average End to End Delay in dense and sparse topologies by varying the no of
sources using NS-2 simulator. The simulation results show that CBRP protocol show better performance than AODV and
DSR in term of Normalized Routing Load(NRL) in both Dense and Sparse topologies when no of sources exceed 15
sources and AODV outperforms CBRP and DSR in term of Delay for all traffic sources.
Keywords:––MANET, Routing Protocols, Node Density, CBRP, AODV, DSR, NS-2.

                                           I.          INTRODUCTION
           An ad-hoc network is a collection of wireless mobile hosts forming a temporary network without the aid of any
stand-alone infrastructure or centralized administration [1]. Mobile Ad-hoc networks are self-organizing and self-configuring
multi-hop wireless networks where, the structure of the network changes dynamically. This is mainly due to the mobility of
the nodes [3]. Nodes in these networks utilize the same random access wireless channel, cooperating in a friendly manner to
engaging themselves in multi-hop forwarding. The node in the network not only acts as hosts but also as routers that route
data to/from other nodes in network [2]. Each device in a MANET is free to move independently in any direction, and will
therefore change its links to other devices frequently. Each must forward traffic unrelated to its own use, and therefore be a
router. Routing i n ad-networks h a s been a challenging task ever since the wire- less networks came into existence. The
major reason for this is the constant change in network topology because of high degree of node mobility. A number of
protocols have been developed for accomplish this task. Routing is the process of selecting paths in a network along which
to send network traffic. In packet switching networks, routing directs packet forwarding, the transit of logically addressed
packets from their source toward their ultimate destination through intermediate nodes. An ad hoc routing protocol is a
convention, or standard, that controls how nodes decide which way to route packets between computing devices in a mobile
ad-hoc network . In ad hoc networks, nodes do not start out familiar with the topology of their networks; instead, they have
to discover it. The basic idea is that a new node may announce its presence and should listen for announcements broadcast
by its neighbors. Each node learns about nodes nearby and how to reach them, and may announce that it, too, can reach
them. Wireless ad-hoc networks have gained a lot of importance in wireless communications. Wireless communication is
established by nodes acting as routers and transferring packets from one to another in ad-hoc networks. Routing in these
networks is highly complex due to moving nodes and hence many protocols have been developed. In this paper we have
selected three main and highly proffered routing protocols for analysis of their performance. Figure below represents the
scenario of MANET.




                                                              5
An Extensive Performance Analysis of CBRP…




                                                   Figure1. Ad-hoc network

          Routing protocols play the main role for any communication in a network where routing protocol is used to correct
and efficient route establishment between a pair of nodes in the network so a message can be delivered in a timely manner
[1]. MANETs routing protocol can be classified to three different categorized: proactive, on-demand or reactive and hybrid.
In proactive protocols, the routes to all the destination (or parts of the network) are determined at the start up, and maintained
by using a periodic route update process. In reactive protocols, routes are determined when they are required by the source
using a route discovery process. Hybrid protocols combine the basic properties of the first two classes of protocols into one
[2].

                                II.          MANET ROUTING PROTOCOLS
          Routing protocols for MANETs are classified according to the strategies of discovering and maintaining routes
into three classes: proactive, reactive, and hybrid [2]. Each routing protocol reacts differently to node mobility and density.
This section explains the three routing protocols (CBRP, AODV and DSR) which we used it in our study.




                                      Figure2. Classification of Ad-hoc Routing Protocols

A. Dynamic Source Routing (DSR)
           is an on-demand routing protocol[3] that is based on the concept of source routing. DSR is a simple and efficient
routing protocol designed specifically for use in multi-hop wireless ad hoc networks of mobile nodes. DSR is consisted of
two mechanisms: Route Discovery and Route Maintenance, that work together to allow nodes to discover and maintain
source routes to arbitrary destinations in the MANETs. DSR computes the routes when necessary and then maintains them.
DSR applies on demand schemes for both route discovery and route maintenance. This makes the routing overhead traffic
scales to the actual needed size automatically, which is considered as the main advantage of DSR.
Route Discovery :In route discovery ,a node tries to discover a route to destination if it has data to send to this destination
and there is no know known route(s) currently. The node broadcasts
a route request(RREQ) with a unique identifier and the destination address as parameters. Any node that receives RREQ
does the following:
          If it is already received the request ,it drops the request packet.
          If it recognizes its own address as the destination, then the request has reached its target.
          Otherwise the node appends its own address to a list of traversed hops in the packet and broadcasts this updated
           route request.
Route maintenance :in route maintenance , a node is continuously sending packets via a route. If a node detects problems
with the current route , it has to find an alternative route.



                                                                6
An Extensive Performance Analysis of CBRP…

B. Ad hoc On-demand Distance Vector
            (AODV) : Ad hoc on demand distance vector (AODV) routing protocol creates routes on-demand[4]. In AODV, a
route is created only when requested by a network connection and information regarding this route is stored only in the
routing tables of those nodes that are present in the path of the route. The procedure of route establishment is as follows.
Assume that node X wants to set up a connection with node Y. Node X initiates a path discovery process in an effort to
establish a route to node Y by broadcasting a Route Request (RREQ) packet to its immediate neighbors. Each RREQ
packet is identified through a combination of the transmitting node's IP address and a broadcast ID. The latter is used to
identify different RREQ broadcasts by the same node and is incremented for each RREQ broadcast. Furthermore, each
RREQ packet carries a sequence number which allows intermediate nodes to reply to route requests only with up-to- date
route information. Upon reception of an RREQ packet by a node, the information is forwarded to the immediate neighbors
of the node and the procedure continues until the RREQ is received either by node Y or by a node that has recently
established a route to node Y. If subsequent copies of the same RREQ are received by a node, these are discarded. When a
node forwards a RREQ packet to its neighbors, it records in its routing table the address of the neighbor node where
the first copy of the RREQ was received. This helps the nodes to establish a reverse path, which will be used to carry the
response to the RREQ. AODV supports only the use of symmetric links. A timer starts running when the route is not used.
If the timer exceeds the value of the 'lifetime', then the route entry is deleted. Routes may change due to the movement of a
node within the path of the route. In such a case, the upstream neighbor of this node generates a 'link failure notification
message' which notifies about the deletion of the part of the route and forwards this to its upstream neighbor. The procedure
continues until the source node is notified about the deletion of the route part caused by the movement of the node. Upon
reception of the 'link failure notification message' the source node can initiate discovery of a route to the destination
node.

C. Cluster-Based Routing Protocol
            (CBRP) : In Cluster Based Routing protocol(CBRP) [5] ,nodes are divided into clusters and the clustering
algorithm is performed when a node joins the network. Before joining a node is in the “un decided” state .The un decided
node initiates the joining operation by setting a timer and broadcasts a hello message. If a cluster head receives the hello
message, it replies with a triggered hello message .Receiving the triggered hello message the un decided node changes its
state to “member”. In CBRP every node maintains a neighbor table in which it stores the information about link states and
the state of its neighbors. In addition to the information of all members in its cluster, a cluster head keeps information of its
neighboring clusters, which includes the cluster heads of neighboring clusters and gate way nodes connecting it to
neighboring clusters. If a source node wants to send a packet but has no active route which can be used , it floods route
request to cluster head of its own and all neighboring clusters . if a cluster head receives a request it has seen before , it
discards the request. Other wise the cluster head checks if the destination of the request is in its cluster. If the destination is
in the same cluster , the cluster head sends the request to the destination, or it floods the request to its neighboring cluster
heads. CBRP uses source routing, similar to DSR, to avoid forming loops and route packets. The advantage of CBRP is that
only cluster heads exchange routing information, therefore the number of control overhead transmitted through the network
is far less than the traditional flooding methods.
As a summary, the CBRP has the following features [5]:
           Fully distributed operation.
           Less flooding traffic during the dynamic route discovery process.
           Explicit exploitation of uni-directional links that would otherwise be unused.
           Broken routes could be repaired locally without rediscovery.
           Sub-optimal routes could be shortened as they are used.
      
                            III.           DENSE AND SPARSE TOPOLOGIES
            The optimum density of MANET was studied in [6] which discussed the tradeoffs between network density and
node connectivity in the face of increasing node mobility, and proposed a search for an optimal node density value for
maintaining connectivity in a stationary network. The relationship of the node density in MANET should to be considered
the extent of the nodes transmission range covering the network area. In this paper network density is defined as Dense when
large number nodes are closeness of one another within a specific area and vice versa for Sparse. In [7] Connectivity density
was studied and discussed determining the network connectivity that based on the density of the numbers of neighboring
nodes. P is the probability of the connectivity. The value n is the number of nodes located in the area. The value μ is
represented by Eq. 2 where ρ is the density, π represents the circumference and r is the radius of the transmission:
 P (k-con)≈(1-e−μ)n                        … (1)
μ = ρ×π×r02                                … (2)
ρ = n/A                          … (3)
Based on this one can have the criteria for determining the size of each “square” in the topology. In this study the value of k
is set to 1. Based on P (1-con) two types of node densities are identified, Dense and Sparse. These two types of node density
are defined as follows:
The node density of MANET is considered to be Dense is based on the following conditions:
           It has at least one mutually exclusive path to other nodes in the same area that is independent of one another.
           P (1-con) ≥ 0.95.
The node density of MANET is considered to be Sparse is based on the following conditions:
• Nodes neighborhood cannot guarantee at least a single connection in the network.
    • P (1-con) < 0.95.

                                                                7
An Extensive Performance Analysis of CBRP…

                                     IV.           SIMULATION MODEL
         The simulation environment is based on the NS-2 network simulator version 2.34[8], a widely used simulator was
used in our experiments. The IEEE 802.11 DCF (Distributed Coordinated Function) MAC was used as the basis for the
experiments with a channel capacity of 2Mb/sec. The transmission range of each node was set to 250 m using the Two-Ray
Ground Propagation model. The following is the nam window.




A.Node Density Topology Configuration
          The node density for simulation is configured based on the degree of node density defined in (Eq. 1). Two types of
topologies were studied in this paper, Dense and Sparse topology. if the connection probability of P(1-con) will be greater
than 0.95 that means Dense topology and the P(1-con)will be less than 0.95 that means is Sparse topology. The number of
nodes are 50 nodes and transmission range is 250m and topology (1000x1000) for Dense topology.
The number of nodes are 50 nodes and transmission range is 250m and topology (1500x1500) for Sparse topology.

B. Mobility Model
          The mobility model uses the Random Waypoint model. Two field configurations are used: Dense area with
topology (1000x1000) m and Sparse area with topology (1500x1500) m, all with 50 nodes. The nodes are moving with 0
pause time and varying speeds (1, 2, 4, 6, 8, 10, 12 and 15) m/s in the two topologies Dense and Sparse. The total simulation
time is 500 seconds.

C. Traffic Model
          The traffic pattern which used for all the experiments in this paper was a constant bit rate (CBR) data source
running on top of UDP. The data packet size was 128 bytes. The data transmission rate was 4 packets per second. The
numbers of traffic sources were set to 15, 30 and 45 sources.

D. Performance Metrics
         A routing protocol for MANETs is usually evaluated in terms of performance metrics. These metrics are Packet
Delivery Ratio (PDR), Average end-to-end Delay (Delay) and Normalized Routing Load (NRL). We used these metrics to
measure the efficiency of CBRP, AODV and DSR protocols. A brief description for these metrics is as follows:

Packet Delivery Ratio (PDR): The ratio of number of data packets sent from the source to the number of data packets
received at the destination.

Average end-to-end Delay (Delay): The average time from the beginning of a packet transmission (including route
acquisition delay) at a source node until packet delivery to a destination.

Normalized Routing Load (NRL): The ratio of number control packets sent from the source to the number of data packets
received at the destination or the number of routing control packets transmitted per data packet delivered at the destination.
Various parameters that are considered for simulation are listed given below in




                                                              8
An Extensive Performance Analysis of CBRP…

                                                       Table 1
   PARAMETER                                            VALUE
   Simulator                                            Ns-2(2.34)
   Protocols                                            AODV ,DSR ,CBRP
   No of nodes                                          50
   Topologies                                           Dense ,Sparse
   Transmission Range                                   250m
   Speeds                                               (1,2,4,6,8,10,12,15)m/s
   Simulation time                                      500 seconds
   Traffic Type                                         CBR
   Packet size                                          128 bytes
   Numbers of traffic sources                           15,30,45
   Mobility Model                                       Two-Way Ground Propagation Model
   Channel Capacity                                     2Mbps
                                             Table 1:Simulation Parameters

                                V.           RESULTS AND DISCUSSIONS
         The analysis and discussion for simulation is discussed in this section. The results are shown in form of graphs.
Graphs show comparison among the three protocols (CBRP, AODV and DSR) in Dense and Sparse topology with
performance metrics and different numbers of traffic sources.

A. Dense Topology
          The figures from 3 to 5 represent the performance metrics (NRL, PDR and Delay) for CBRP, AODV and DSR
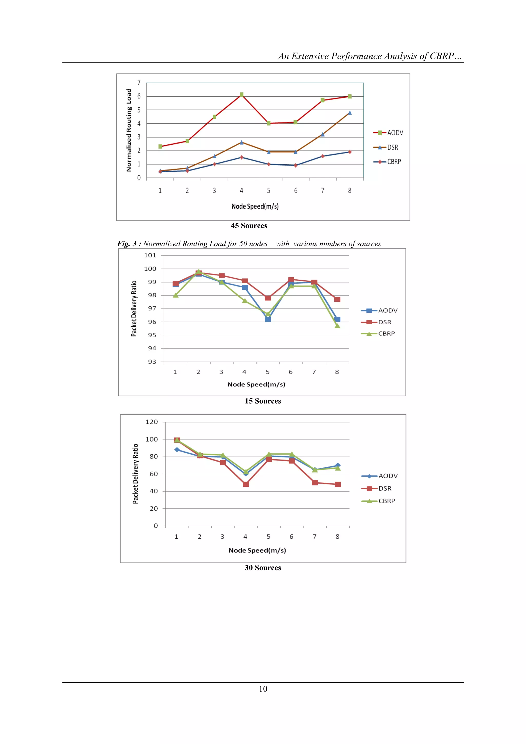
routing protocols for 50 nodes-Dense topology (1000x1000) with (15, 30 and 45) traffic sources. Fig. 3 shows that NRL in
CBRP protocol is lower than other protocols (AODV and DSR) with 30 and 45 sources and it is the highest with 15 sources.
Fig. 4 shows that CBRP has better PDR with 30 and 45 sources and DSR has the lowest PDR. Fig. 5 shows that AODV has
lower Delay with all traffic sources (15, 30 and 45) and DSR has the highest delay with 30 and 45 sources.




                                                       15 Sources




                                                       30 Sources


                                                            9
An Extensive Performance Analysis of CBRP…




                                  45 Sources

Fig. 3 : Normalized Routing Load for 50 nodes   with various numbers of sources




                                      15 Sources




                                      30 Sources




                                          10
An Extensive Performance Analysis of CBRP…




                                 45 Sources

 Fig. 4: Packet Delivery Ratio for 50 nodes with various numbers of sources




                                 15 Sources




                                 30 Sources




                                 45 Sources

Fig. 5: Average End to End Delay for 50 nodes with various numbers of sources




                                     11
An Extensive Performance Analysis of CBRP…

B. Sparse Topology
          The figures from 6 to 8 show the performance metrics (NRL, PDR and Delay) for CBRP, AODV and DSR
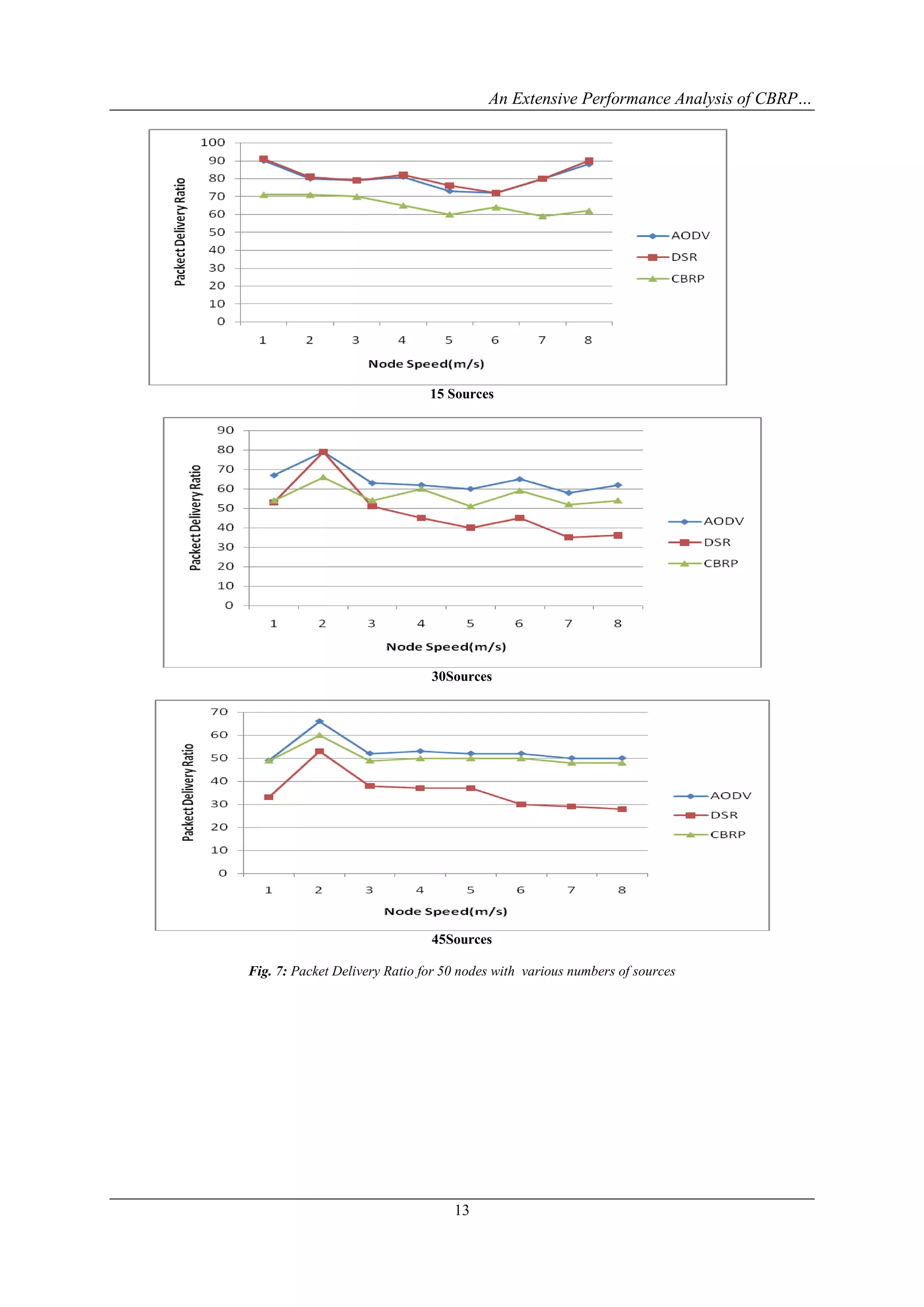
protocols for 50 nodes-Sparse topology (1500x1500) and traffic sources (15, 30 and 45). Fig. 6 shows that NRL in CBRP
protocol is lower than other protocols (AODV and DSR) with 30 and 45sources and it is the highest with 15 sources. Fig. 7
shows that AODV performs well in term of PDR with 30 and 45 sources, but with slight difference with CBRP. DSR has the
least PDR with 30 and 45 sources. Fig. 8 shows that AODV performs better in term of Delay with all traffic sources (15, 30
and 45) and DSR has the highest delay with 30 and 45 sources.




                                                       15 Sources




                                                       30 Sources




                                                       45 Sources

                 Fig. 6: Normalized Routing Load for 50 nodes with various numbers of sources




                                                           12
An Extensive Performance Analysis of CBRP…




                               15 Sources




                               30Sources




                               45Sources

Fig. 7: Packet Delivery Ratio for 50 nodes with various numbers of sources




                                   13
An Extensive Performance Analysis of CBRP…




                                                      15 sources




                                                       30sources




                                                      45sources
                     Fig. 8: Average End to End Delay for 50 nodes with various numbers of sources

                                         VI.          CONCLUSION
          The experiment results show that in Dense topology (1000x1000) m, CBRP protocol outperforms AODV and
DSR in terms PDR and NRL when traffic sources exceed 20 sources and AODV outperforms CBRP and DSR in term of
Delay, where it has the lowest delay. In Sparse topology(1500x1500) m, CBRP outperforms AODV and DSR in term of
NRL when traffic sources exceed 20 sources and AODV protocol outperforms CBRP and DSR in term of PDR with traffic
sources (30 and 45). Also, AODV outperforms CBRP and DSR in term of Delay, where it has the lowest delay for all traffic
sources (15, 30 and 45). It can conclude that the performance of these three protocols is decreased when node speed
increases in both Dense and Sparse topology. For further research we plan to study the performance for CBRP, AODV and
DSR protocols in MANETs with non-uniform node density.

                                                          14
An Extensive Performance Analysis of CBRP…


                                               REFERENCES
[1].   T. Lin, S. F. Midkiff, and J. S. Park, “A Framework for Wireless Ad Hoc Routing Protocols,” in Proc. of IEEE
       Wireless Communications and Networking Conference (WCNC),vol. 2, pp. 1162-1167, 2003.
[2].   M. Abolhasan, T. Wysocki, and E. Dutkiewicz, A Review of Routing Protocols for Mobile Ad Hoc Networks ,
       Elsevier Ad Hoc Networks Journal, Vol. 2, No. 1, pp. 1-22, January2004.
[3].   L. Qin, “Pro-Active Route Maintenance In DSR,” M.S. thesis, Ottawa-Carleton Institute of Computer Science,
       School       of      Computer     Science,      Carleton   University,   Canada,    2001.       available  at
       http://citeseer.nj.nec.com/qin01proactive.html.
[4].   Perkins, C., E. Belding-Royer and S. Das, 2003. Ad hoc On-Demand Distance Vector (AODV) Routing, RFC
       3561.
[5].   M. Jiang, J. Li and Y.C. Tay, Cluster Based Routing Protocol (CBRP), IETF Internet Draft draft-ietf-manet-
       cbrpspec-01.txt, August 1999.
[6].   [6] E. Royer, P. Melliar-Smith, L. Moser. An Analysis of the Optimum Node Density for Ad Hoc Mobile
       Networks. In Proceedings of the IEEE International Conference on communications, Helsinki, Finland, 2001.
[7].   C. Bettstetter. On the Connectivity of Wireless Multihop Networks with Homogeneous and Inhomogeneous Range
       Assignment. In Proceedings. VTC 2002-Fall.2002 IEEE 56th Volume 3, 24-28 Sept.2002.




                                                       15

Welcome to International Journal of Engineering Research and Development (IJERD)

  • 1.
    International Journal ofEngineering Research and Development eISSN : 2278-067X, pISSN : 2278-800X, www.ijerd.com Volume 4, Issue 8 (November 2012), PP. 05-15 An Extensive Performance Analysis of CBRP, DSR and AODV Protocols for Dense and Sparse Topologies in MANET Ramireddy Kondaiah1 Dr. B. Satyanarayana2 Puttu Eswaraiah3 Nukamreddy Srinadh4 1 Research Scholar, Rayalaseema University , Kurnool. & Associate Professor, Dept of CSE, PBRVITS, Kavali, A.P, India 2 Chairman, Board of Studies & Professor in Computer Science &Tech., S.K University, Anantapur ,A.P , India 3 Research Scholar, S.V University, Tirupathi & Associate Professor & HOD, Dept. of MCA. PBRVITS, Kavali, A.P ,India. 4 ResearchScholar, Rayalaseema University, Kurnool. & Associate Professor,Dept of CSE, VEC, Kavali, A.P , India. Abstract:––Mobile Ad-Hoc Network (MANET) is a specific type of wireless network that is infrastructure less, dynamic and self organizing and self configuring multi-hop wireless network. Nodes are mobile and therefore nodes can join or leave the network at any time. Routing in Ad-hoc networks is a challenging task due to mobility of nodes. In this paper a detailed simulation based performance analysis has been carried out for the protocols Cluster-Based Routing Protocol (CBRP), Dynamic Source Routing (DSR), Ad-Hoc On-Demand Distance Vector(AODV) by varying dense and sparse topologies . We present a comparative analysis covering performance metrics like Packet Delivery Ratio(PDR), Normalized Routing Load (NRL) and Average End to End Delay in dense and sparse topologies by varying the no of sources using NS-2 simulator. The simulation results show that CBRP protocol show better performance than AODV and DSR in term of Normalized Routing Load(NRL) in both Dense and Sparse topologies when no of sources exceed 15 sources and AODV outperforms CBRP and DSR in term of Delay for all traffic sources. Keywords:––MANET, Routing Protocols, Node Density, CBRP, AODV, DSR, NS-2. I. INTRODUCTION An ad-hoc network is a collection of wireless mobile hosts forming a temporary network without the aid of any stand-alone infrastructure or centralized administration [1]. Mobile Ad-hoc networks are self-organizing and self-configuring multi-hop wireless networks where, the structure of the network changes dynamically. This is mainly due to the mobility of the nodes [3]. Nodes in these networks utilize the same random access wireless channel, cooperating in a friendly manner to engaging themselves in multi-hop forwarding. The node in the network not only acts as hosts but also as routers that route data to/from other nodes in network [2]. Each device in a MANET is free to move independently in any direction, and will therefore change its links to other devices frequently. Each must forward traffic unrelated to its own use, and therefore be a router. Routing i n ad-networks h a s been a challenging task ever since the wire- less networks came into existence. The major reason for this is the constant change in network topology because of high degree of node mobility. A number of protocols have been developed for accomplish this task. Routing is the process of selecting paths in a network along which to send network traffic. In packet switching networks, routing directs packet forwarding, the transit of logically addressed packets from their source toward their ultimate destination through intermediate nodes. An ad hoc routing protocol is a convention, or standard, that controls how nodes decide which way to route packets between computing devices in a mobile ad-hoc network . In ad hoc networks, nodes do not start out familiar with the topology of their networks; instead, they have to discover it. The basic idea is that a new node may announce its presence and should listen for announcements broadcast by its neighbors. Each node learns about nodes nearby and how to reach them, and may announce that it, too, can reach them. Wireless ad-hoc networks have gained a lot of importance in wireless communications. Wireless communication is established by nodes acting as routers and transferring packets from one to another in ad-hoc networks. Routing in these networks is highly complex due to moving nodes and hence many protocols have been developed. In this paper we have selected three main and highly proffered routing protocols for analysis of their performance. Figure below represents the scenario of MANET. 5
  • 2.
    An Extensive PerformanceAnalysis of CBRP… Figure1. Ad-hoc network Routing protocols play the main role for any communication in a network where routing protocol is used to correct and efficient route establishment between a pair of nodes in the network so a message can be delivered in a timely manner [1]. MANETs routing protocol can be classified to three different categorized: proactive, on-demand or reactive and hybrid. In proactive protocols, the routes to all the destination (or parts of the network) are determined at the start up, and maintained by using a periodic route update process. In reactive protocols, routes are determined when they are required by the source using a route discovery process. Hybrid protocols combine the basic properties of the first two classes of protocols into one [2]. II. MANET ROUTING PROTOCOLS Routing protocols for MANETs are classified according to the strategies of discovering and maintaining routes into three classes: proactive, reactive, and hybrid [2]. Each routing protocol reacts differently to node mobility and density. This section explains the three routing protocols (CBRP, AODV and DSR) which we used it in our study. Figure2. Classification of Ad-hoc Routing Protocols A. Dynamic Source Routing (DSR) is an on-demand routing protocol[3] that is based on the concept of source routing. DSR is a simple and efficient routing protocol designed specifically for use in multi-hop wireless ad hoc networks of mobile nodes. DSR is consisted of two mechanisms: Route Discovery and Route Maintenance, that work together to allow nodes to discover and maintain source routes to arbitrary destinations in the MANETs. DSR computes the routes when necessary and then maintains them. DSR applies on demand schemes for both route discovery and route maintenance. This makes the routing overhead traffic scales to the actual needed size automatically, which is considered as the main advantage of DSR. Route Discovery :In route discovery ,a node tries to discover a route to destination if it has data to send to this destination and there is no know known route(s) currently. The node broadcasts a route request(RREQ) with a unique identifier and the destination address as parameters. Any node that receives RREQ does the following:  If it is already received the request ,it drops the request packet.  If it recognizes its own address as the destination, then the request has reached its target.  Otherwise the node appends its own address to a list of traversed hops in the packet and broadcasts this updated route request. Route maintenance :in route maintenance , a node is continuously sending packets via a route. If a node detects problems with the current route , it has to find an alternative route. 6
  • 3.
    An Extensive PerformanceAnalysis of CBRP… B. Ad hoc On-demand Distance Vector (AODV) : Ad hoc on demand distance vector (AODV) routing protocol creates routes on-demand[4]. In AODV, a route is created only when requested by a network connection and information regarding this route is stored only in the routing tables of those nodes that are present in the path of the route. The procedure of route establishment is as follows. Assume that node X wants to set up a connection with node Y. Node X initiates a path discovery process in an effort to establish a route to node Y by broadcasting a Route Request (RREQ) packet to its immediate neighbors. Each RREQ packet is identified through a combination of the transmitting node's IP address and a broadcast ID. The latter is used to identify different RREQ broadcasts by the same node and is incremented for each RREQ broadcast. Furthermore, each RREQ packet carries a sequence number which allows intermediate nodes to reply to route requests only with up-to- date route information. Upon reception of an RREQ packet by a node, the information is forwarded to the immediate neighbors of the node and the procedure continues until the RREQ is received either by node Y or by a node that has recently established a route to node Y. If subsequent copies of the same RREQ are received by a node, these are discarded. When a node forwards a RREQ packet to its neighbors, it records in its routing table the address of the neighbor node where the first copy of the RREQ was received. This helps the nodes to establish a reverse path, which will be used to carry the response to the RREQ. AODV supports only the use of symmetric links. A timer starts running when the route is not used. If the timer exceeds the value of the 'lifetime', then the route entry is deleted. Routes may change due to the movement of a node within the path of the route. In such a case, the upstream neighbor of this node generates a 'link failure notification message' which notifies about the deletion of the part of the route and forwards this to its upstream neighbor. The procedure continues until the source node is notified about the deletion of the route part caused by the movement of the node. Upon reception of the 'link failure notification message' the source node can initiate discovery of a route to the destination node. C. Cluster-Based Routing Protocol (CBRP) : In Cluster Based Routing protocol(CBRP) [5] ,nodes are divided into clusters and the clustering algorithm is performed when a node joins the network. Before joining a node is in the “un decided” state .The un decided node initiates the joining operation by setting a timer and broadcasts a hello message. If a cluster head receives the hello message, it replies with a triggered hello message .Receiving the triggered hello message the un decided node changes its state to “member”. In CBRP every node maintains a neighbor table in which it stores the information about link states and the state of its neighbors. In addition to the information of all members in its cluster, a cluster head keeps information of its neighboring clusters, which includes the cluster heads of neighboring clusters and gate way nodes connecting it to neighboring clusters. If a source node wants to send a packet but has no active route which can be used , it floods route request to cluster head of its own and all neighboring clusters . if a cluster head receives a request it has seen before , it discards the request. Other wise the cluster head checks if the destination of the request is in its cluster. If the destination is in the same cluster , the cluster head sends the request to the destination, or it floods the request to its neighboring cluster heads. CBRP uses source routing, similar to DSR, to avoid forming loops and route packets. The advantage of CBRP is that only cluster heads exchange routing information, therefore the number of control overhead transmitted through the network is far less than the traditional flooding methods. As a summary, the CBRP has the following features [5]:  Fully distributed operation.  Less flooding traffic during the dynamic route discovery process.  Explicit exploitation of uni-directional links that would otherwise be unused.  Broken routes could be repaired locally without rediscovery.  Sub-optimal routes could be shortened as they are used.  III. DENSE AND SPARSE TOPOLOGIES The optimum density of MANET was studied in [6] which discussed the tradeoffs between network density and node connectivity in the face of increasing node mobility, and proposed a search for an optimal node density value for maintaining connectivity in a stationary network. The relationship of the node density in MANET should to be considered the extent of the nodes transmission range covering the network area. In this paper network density is defined as Dense when large number nodes are closeness of one another within a specific area and vice versa for Sparse. In [7] Connectivity density was studied and discussed determining the network connectivity that based on the density of the numbers of neighboring nodes. P is the probability of the connectivity. The value n is the number of nodes located in the area. The value μ is represented by Eq. 2 where ρ is the density, π represents the circumference and r is the radius of the transmission: P (k-con)≈(1-e−μ)n … (1) μ = ρ×π×r02 … (2) ρ = n/A … (3) Based on this one can have the criteria for determining the size of each “square” in the topology. In this study the value of k is set to 1. Based on P (1-con) two types of node densities are identified, Dense and Sparse. These two types of node density are defined as follows: The node density of MANET is considered to be Dense is based on the following conditions:  It has at least one mutually exclusive path to other nodes in the same area that is independent of one another.  P (1-con) ≥ 0.95. The node density of MANET is considered to be Sparse is based on the following conditions: • Nodes neighborhood cannot guarantee at least a single connection in the network. • P (1-con) < 0.95. 7
  • 4.
    An Extensive PerformanceAnalysis of CBRP… IV. SIMULATION MODEL The simulation environment is based on the NS-2 network simulator version 2.34[8], a widely used simulator was used in our experiments. The IEEE 802.11 DCF (Distributed Coordinated Function) MAC was used as the basis for the experiments with a channel capacity of 2Mb/sec. The transmission range of each node was set to 250 m using the Two-Ray Ground Propagation model. The following is the nam window. A.Node Density Topology Configuration The node density for simulation is configured based on the degree of node density defined in (Eq. 1). Two types of topologies were studied in this paper, Dense and Sparse topology. if the connection probability of P(1-con) will be greater than 0.95 that means Dense topology and the P(1-con)will be less than 0.95 that means is Sparse topology. The number of nodes are 50 nodes and transmission range is 250m and topology (1000x1000) for Dense topology. The number of nodes are 50 nodes and transmission range is 250m and topology (1500x1500) for Sparse topology. B. Mobility Model The mobility model uses the Random Waypoint model. Two field configurations are used: Dense area with topology (1000x1000) m and Sparse area with topology (1500x1500) m, all with 50 nodes. The nodes are moving with 0 pause time and varying speeds (1, 2, 4, 6, 8, 10, 12 and 15) m/s in the two topologies Dense and Sparse. The total simulation time is 500 seconds. C. Traffic Model The traffic pattern which used for all the experiments in this paper was a constant bit rate (CBR) data source running on top of UDP. The data packet size was 128 bytes. The data transmission rate was 4 packets per second. The numbers of traffic sources were set to 15, 30 and 45 sources. D. Performance Metrics A routing protocol for MANETs is usually evaluated in terms of performance metrics. These metrics are Packet Delivery Ratio (PDR), Average end-to-end Delay (Delay) and Normalized Routing Load (NRL). We used these metrics to measure the efficiency of CBRP, AODV and DSR protocols. A brief description for these metrics is as follows: Packet Delivery Ratio (PDR): The ratio of number of data packets sent from the source to the number of data packets received at the destination. Average end-to-end Delay (Delay): The average time from the beginning of a packet transmission (including route acquisition delay) at a source node until packet delivery to a destination. Normalized Routing Load (NRL): The ratio of number control packets sent from the source to the number of data packets received at the destination or the number of routing control packets transmitted per data packet delivered at the destination. Various parameters that are considered for simulation are listed given below in 8
  • 5.
    An Extensive PerformanceAnalysis of CBRP… Table 1 PARAMETER VALUE Simulator Ns-2(2.34) Protocols AODV ,DSR ,CBRP No of nodes 50 Topologies Dense ,Sparse Transmission Range 250m Speeds (1,2,4,6,8,10,12,15)m/s Simulation time 500 seconds Traffic Type CBR Packet size 128 bytes Numbers of traffic sources 15,30,45 Mobility Model Two-Way Ground Propagation Model Channel Capacity 2Mbps Table 1:Simulation Parameters V. RESULTS AND DISCUSSIONS The analysis and discussion for simulation is discussed in this section. The results are shown in form of graphs. Graphs show comparison among the three protocols (CBRP, AODV and DSR) in Dense and Sparse topology with performance metrics and different numbers of traffic sources. A. Dense Topology The figures from 3 to 5 represent the performance metrics (NRL, PDR and Delay) for CBRP, AODV and DSR routing protocols for 50 nodes-Dense topology (1000x1000) with (15, 30 and 45) traffic sources. Fig. 3 shows that NRL in CBRP protocol is lower than other protocols (AODV and DSR) with 30 and 45 sources and it is the highest with 15 sources. Fig. 4 shows that CBRP has better PDR with 30 and 45 sources and DSR has the lowest PDR. Fig. 5 shows that AODV has lower Delay with all traffic sources (15, 30 and 45) and DSR has the highest delay with 30 and 45 sources. 15 Sources 30 Sources 9
  • 6.
    An Extensive PerformanceAnalysis of CBRP… 45 Sources Fig. 3 : Normalized Routing Load for 50 nodes with various numbers of sources 15 Sources 30 Sources 10
  • 7.
    An Extensive PerformanceAnalysis of CBRP… 45 Sources Fig. 4: Packet Delivery Ratio for 50 nodes with various numbers of sources 15 Sources 30 Sources 45 Sources Fig. 5: Average End to End Delay for 50 nodes with various numbers of sources 11
  • 8.
    An Extensive PerformanceAnalysis of CBRP… B. Sparse Topology The figures from 6 to 8 show the performance metrics (NRL, PDR and Delay) for CBRP, AODV and DSR protocols for 50 nodes-Sparse topology (1500x1500) and traffic sources (15, 30 and 45). Fig. 6 shows that NRL in CBRP protocol is lower than other protocols (AODV and DSR) with 30 and 45sources and it is the highest with 15 sources. Fig. 7 shows that AODV performs well in term of PDR with 30 and 45 sources, but with slight difference with CBRP. DSR has the least PDR with 30 and 45 sources. Fig. 8 shows that AODV performs better in term of Delay with all traffic sources (15, 30 and 45) and DSR has the highest delay with 30 and 45 sources. 15 Sources 30 Sources 45 Sources Fig. 6: Normalized Routing Load for 50 nodes with various numbers of sources 12
  • 9.
    An Extensive PerformanceAnalysis of CBRP… 15 Sources 30Sources 45Sources Fig. 7: Packet Delivery Ratio for 50 nodes with various numbers of sources 13
  • 10.
    An Extensive PerformanceAnalysis of CBRP… 15 sources 30sources 45sources Fig. 8: Average End to End Delay for 50 nodes with various numbers of sources VI. CONCLUSION The experiment results show that in Dense topology (1000x1000) m, CBRP protocol outperforms AODV and DSR in terms PDR and NRL when traffic sources exceed 20 sources and AODV outperforms CBRP and DSR in term of Delay, where it has the lowest delay. In Sparse topology(1500x1500) m, CBRP outperforms AODV and DSR in term of NRL when traffic sources exceed 20 sources and AODV protocol outperforms CBRP and DSR in term of PDR with traffic sources (30 and 45). Also, AODV outperforms CBRP and DSR in term of Delay, where it has the lowest delay for all traffic sources (15, 30 and 45). It can conclude that the performance of these three protocols is decreased when node speed increases in both Dense and Sparse topology. For further research we plan to study the performance for CBRP, AODV and DSR protocols in MANETs with non-uniform node density. 14
  • 11.
    An Extensive PerformanceAnalysis of CBRP… REFERENCES [1]. T. Lin, S. F. Midkiff, and J. S. Park, “A Framework for Wireless Ad Hoc Routing Protocols,” in Proc. of IEEE Wireless Communications and Networking Conference (WCNC),vol. 2, pp. 1162-1167, 2003. [2]. M. Abolhasan, T. Wysocki, and E. Dutkiewicz, A Review of Routing Protocols for Mobile Ad Hoc Networks , Elsevier Ad Hoc Networks Journal, Vol. 2, No. 1, pp. 1-22, January2004. [3]. L. Qin, “Pro-Active Route Maintenance In DSR,” M.S. thesis, Ottawa-Carleton Institute of Computer Science, School of Computer Science, Carleton University, Canada, 2001. available at http://citeseer.nj.nec.com/qin01proactive.html. [4]. Perkins, C., E. Belding-Royer and S. Das, 2003. Ad hoc On-Demand Distance Vector (AODV) Routing, RFC 3561. [5]. M. Jiang, J. Li and Y.C. Tay, Cluster Based Routing Protocol (CBRP), IETF Internet Draft draft-ietf-manet- cbrpspec-01.txt, August 1999. [6]. [6] E. Royer, P. Melliar-Smith, L. Moser. An Analysis of the Optimum Node Density for Ad Hoc Mobile Networks. In Proceedings of the IEEE International Conference on communications, Helsinki, Finland, 2001. [7]. C. Bettstetter. On the Connectivity of Wireless Multihop Networks with Homogeneous and Inhomogeneous Range Assignment. In Proceedings. VTC 2002-Fall.2002 IEEE 56th Volume 3, 24-28 Sept.2002. 15