SCHOOL OF ARCHITECTURE, BUILDING AND DESIGN BACHELOR
OF SCIENCE (HONS) IN ARCHITECTURE
BUILDING STRUCTURE
[ BLD60103 / ARC 2522 ]
PROJECT II: SITE ANALYSIS OF A BUNGALOW
PREPARED BY
KHOO ZER KAI
LAI TZEXIUAN
MICHELLE SIAW WI WEE
OSCAR WONG
TAN JEE KHIUM
TAY JING HENG
0320500
0318056
0325883
0319674
0324827
0325230
TUTOR: MR MOHD ADIB RAMLI
TABLE OF CONTENTS
1.0
2.0
3.0
4.0
INTRODUCTION TO PROJECT
DESIGN BRIEF
2.1 CALCULATION FORMULA
2.2 SPECIFICATIONS
ARCHITECTURAL DRAWINGS
3.1 GROUND FLOOR PLAN
3.2 FIRST FLOOR PLAN
3.3 ROOF PLAN
STRUCTURAL DRAWINGS
4.1 GROUND FLOOR PLAN
4.2 FIRST FLOOR PLAN
4.3 ROOF PLAN
BEAM ANALYSIS: LOAD DISTRIBUTION PATH
6.1 GROUND FLOOR PLAN
6.2 FIRST FLOOR PLAN
COLUMN ANALYSIS: LOAD DISTRIBUTION PATH
7.1 GROUND FLOOR PLAN
7.2 FIRST FLOOR PLAN
7.3 ROOF PLAN
INDIVIDUAL CALCULATIONS
8.1 BEAM ANALYSIS
8.2 COLUMN ANALYSIS
CONCLUSION
7.0
8.0
9.0
3D DIGITAL SKELETAL MODEL
5.1 PERSPECTIVE 3D VIEWS
5.2 SKELETAL FRAMING STRUCTURE
5.3 AXONOMETRIC
5.0
6.0
INTRODUCTION
1.O
1.0 INTRODUCTION
In building structure project, we are assigned to produce a series of
analysis and calculation specifically on stand alone double storey resident. In
the group of 6, we are analysing on a stand alone double storey bungalow.
The project requires 6 of us to analyse on structural elements, load
distribution and tributary diagram of a basic bungalow to identify the position
of beam and column. Each of us were assigned to calculate four beams and two
columns, calculation includes:
i) Dead loads
ii) Live loads
iii) Ultimate load
iv) Reaction force
v) Load diagram, Shear force diagram and Bending moment diagram
We are to produce a complete set of documentation of structural system
with load distribution and calculations (beam and column).
DESIGN BRIEF
2.O
2.1 CALCULATION FORMULA
Quantify Dead Loads Acting On Structure
Slab Self-Weight
Brick Wall Self Weight
Beam Self Weight
Column Self Weight (a)
Column Self Weight (b)
= 0.15m x 24kN/m3
= 3.6kN/m²
= 0.2m x 3..05m x 19kN/m3
= 11.59kN/m
= 0.15m x 0.45m x 24kN/m3
= 1.62kN/m
= 0.3m x 0.45m x 3.05m x 24kN/m3
= 9.882kN
= 0.45m x 0.6m x 3.05m x 24kN/m3
= 19.764kN
2.2 SPECIFICATIONS
Structural Member Material Dimension (mm)
Beam Concrete 150 x 450
(width x thickness)
Wall Brick 200 x 3050
(thickness x height)
Slab Concrete 150
(thickness)
Column Concrete a. 300 x 450 x 3050
b. 450 x 600 x 3050
(width x length x height)
Density of Material (following UBBL)
1. Reinforced concrete = 24kN/m3
2. Brick wall = 19kN/m3
Live Load Assumed (following UBBL)
Residential = 2kN/m3
Structural Members Specifications
ARCHITECTURE DRAWINGS
3.O
3.1 GROUND FLOOR ARCHITECTURAL PLAN
3.2 FIRST FLOOR ARCHITECTURAL PLAN
STRUCTURAL DRAWINGS
4.O
SCALE 1:200
4.1 GROUND FLOOR STRUCTURAL PLAN
GROUND FLOOR STRUCTURAL PLAN
SCALE 1:200
4.2 FIRST FLOOR STRUCTURAL PLAN
FIRST FLOOR STRUCTURAL PLAN
4.3 ROOF STRUCTURAL PLAN
SCALE 1:200
ROOF PLAN STRUCTURAL PLAN
3D DIGITAL MODEL
5.O
5.1 Perspective 3D view
5.2 Skeletal Framing Structure
5.3 Axonometric View
BEAM ANALYSIS: LOAD DISTRIBUTION PATH
6.O
SCALE 1:200
6.1 GROUND FLOOR LOAD DISTRIBUTION PLAN
6.2 FIRST FLOOR LOAD DISTRIBUTION PLAN
SCALE 1:200
COLUMN ANALYSIS: LOAD DISTRIBUTION PATH
7.O
7.1 FIRST FLOOR LOAD TRIBUTARY AREA
7.2 ROOF LOAD TRIBUTARY AREA
INDIVIDUAL CALCULATIONS
8.O
8.1 TAY JING HENG 0325230
BEAM ANALYSIS
COLUMN ANALYSIS
GROUND FLOOR STRUCTURAL PLAN
AREA TRIBUTARY PLAN
8.2 KHOO ZER KAI
BEAM ANALYSIS
COLUMN ANALYSIS
GROUND FLOOR STRUCTURAL PLAN
AREA TRIBUTARY PLAN
8.3 MICHELLE SIAW WI WEE 0325883
BEAM ANALYSIS
FIRST FLOOR STRUCTURAL PLAN
AREA TRIBUTARY PLAN
COLUMN ANALYSIS
8.4 TAN JEE KHIUM
BEAM ANALYSIS
COLUMN ANALYSIS
GROUND FLOOR STRUCTURAL PLAN
AREA TRIBUTARY PLAN
8.5 LAI TZE XIUAN
BEAM ANALYSIS
COLUMN ANALYSIS
GROUND FLOOR STRUCTURAL PLAN
AREA TRIBUTARY PLAN
8.6 OSCAR WONG
BEAM ANALYSIS
COLUMN ANALYSIS
GROUND FLOOR STRUCTURAL PLAN
AREA TRIBUTARY PLAN
CONCLUSION
9.O
9.0 CONCLUSION
In the end of the project, we are able to know the load distribution acting
on every single beam as well as the column. We manage to produce a complete
documentation through group learning on the analysis and calculation of beam
and column.
It also allows us to explore on structural system on case study on stand
alone bungalow to identify the structural component. Last but not least, six of
us has gained the basic knowledge on identify, execute and implements basic
procedure of building structure design.

B. struc

  • 1.
    SCHOOL OF ARCHITECTURE,BUILDING AND DESIGN BACHELOR OF SCIENCE (HONS) IN ARCHITECTURE BUILDING STRUCTURE [ BLD60103 / ARC 2522 ] PROJECT II: SITE ANALYSIS OF A BUNGALOW PREPARED BY KHOO ZER KAI LAI TZEXIUAN MICHELLE SIAW WI WEE OSCAR WONG TAN JEE KHIUM TAY JING HENG 0320500 0318056 0325883 0319674 0324827 0325230 TUTOR: MR MOHD ADIB RAMLI
  • 2.
    TABLE OF CONTENTS 1.0 2.0 3.0 4.0 INTRODUCTIONTO PROJECT DESIGN BRIEF 2.1 CALCULATION FORMULA 2.2 SPECIFICATIONS ARCHITECTURAL DRAWINGS 3.1 GROUND FLOOR PLAN 3.2 FIRST FLOOR PLAN 3.3 ROOF PLAN STRUCTURAL DRAWINGS 4.1 GROUND FLOOR PLAN 4.2 FIRST FLOOR PLAN 4.3 ROOF PLAN BEAM ANALYSIS: LOAD DISTRIBUTION PATH 6.1 GROUND FLOOR PLAN 6.2 FIRST FLOOR PLAN COLUMN ANALYSIS: LOAD DISTRIBUTION PATH 7.1 GROUND FLOOR PLAN 7.2 FIRST FLOOR PLAN 7.3 ROOF PLAN INDIVIDUAL CALCULATIONS 8.1 BEAM ANALYSIS 8.2 COLUMN ANALYSIS CONCLUSION 7.0 8.0 9.0 3D DIGITAL SKELETAL MODEL 5.1 PERSPECTIVE 3D VIEWS 5.2 SKELETAL FRAMING STRUCTURE 5.3 AXONOMETRIC 5.0 6.0
  • 3.
  • 4.
    1.0 INTRODUCTION In buildingstructure project, we are assigned to produce a series of analysis and calculation specifically on stand alone double storey resident. In the group of 6, we are analysing on a stand alone double storey bungalow. The project requires 6 of us to analyse on structural elements, load distribution and tributary diagram of a basic bungalow to identify the position of beam and column. Each of us were assigned to calculate four beams and two columns, calculation includes: i) Dead loads ii) Live loads iii) Ultimate load iv) Reaction force v) Load diagram, Shear force diagram and Bending moment diagram We are to produce a complete set of documentation of structural system with load distribution and calculations (beam and column).
  • 5.
  • 6.
    2.1 CALCULATION FORMULA QuantifyDead Loads Acting On Structure Slab Self-Weight Brick Wall Self Weight Beam Self Weight Column Self Weight (a) Column Self Weight (b) = 0.15m x 24kN/m3 = 3.6kN/m² = 0.2m x 3..05m x 19kN/m3 = 11.59kN/m = 0.15m x 0.45m x 24kN/m3 = 1.62kN/m = 0.3m x 0.45m x 3.05m x 24kN/m3 = 9.882kN = 0.45m x 0.6m x 3.05m x 24kN/m3 = 19.764kN
  • 7.
    2.2 SPECIFICATIONS Structural MemberMaterial Dimension (mm) Beam Concrete 150 x 450 (width x thickness) Wall Brick 200 x 3050 (thickness x height) Slab Concrete 150 (thickness) Column Concrete a. 300 x 450 x 3050 b. 450 x 600 x 3050 (width x length x height) Density of Material (following UBBL) 1. Reinforced concrete = 24kN/m3 2. Brick wall = 19kN/m3 Live Load Assumed (following UBBL) Residential = 2kN/m3 Structural Members Specifications
  • 8.
  • 9.
    3.1 GROUND FLOORARCHITECTURAL PLAN
  • 10.
    3.2 FIRST FLOORARCHITECTURAL PLAN
  • 11.
  • 12.
    SCALE 1:200 4.1 GROUNDFLOOR STRUCTURAL PLAN GROUND FLOOR STRUCTURAL PLAN
  • 13.
    SCALE 1:200 4.2 FIRSTFLOOR STRUCTURAL PLAN FIRST FLOOR STRUCTURAL PLAN
  • 14.
    4.3 ROOF STRUCTURALPLAN SCALE 1:200 ROOF PLAN STRUCTURAL PLAN
  • 15.
  • 16.
  • 17.
  • 18.
  • 19.
    BEAM ANALYSIS: LOADDISTRIBUTION PATH 6.O
  • 20.
    SCALE 1:200 6.1 GROUNDFLOOR LOAD DISTRIBUTION PLAN
  • 21.
    6.2 FIRST FLOORLOAD DISTRIBUTION PLAN SCALE 1:200
  • 22.
    COLUMN ANALYSIS: LOADDISTRIBUTION PATH 7.O
  • 23.
    7.1 FIRST FLOORLOAD TRIBUTARY AREA
  • 24.
    7.2 ROOF LOADTRIBUTARY AREA
  • 25.
  • 26.
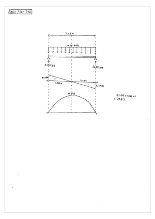
    8.1 TAY JINGHENG 0325230 BEAM ANALYSIS COLUMN ANALYSIS GROUND FLOOR STRUCTURAL PLAN AREA TRIBUTARY PLAN
  • 40.
    8.2 KHOO ZERKAI BEAM ANALYSIS COLUMN ANALYSIS GROUND FLOOR STRUCTURAL PLAN AREA TRIBUTARY PLAN
  • 50.
    8.3 MICHELLE SIAWWI WEE 0325883 BEAM ANALYSIS FIRST FLOOR STRUCTURAL PLAN AREA TRIBUTARY PLAN COLUMN ANALYSIS
  • 64.
    8.4 TAN JEEKHIUM BEAM ANALYSIS COLUMN ANALYSIS GROUND FLOOR STRUCTURAL PLAN AREA TRIBUTARY PLAN
  • 78.
    8.5 LAI TZEXIUAN BEAM ANALYSIS COLUMN ANALYSIS GROUND FLOOR STRUCTURAL PLAN AREA TRIBUTARY PLAN
  • 101.
    8.6 OSCAR WONG BEAMANALYSIS COLUMN ANALYSIS GROUND FLOOR STRUCTURAL PLAN AREA TRIBUTARY PLAN
  • 113.
  • 114.
    9.0 CONCLUSION In theend of the project, we are able to know the load distribution acting on every single beam as well as the column. We manage to produce a complete documentation through group learning on the analysis and calculation of beam and column. It also allows us to explore on structural system on case study on stand alone bungalow to identify the structural component. Last but not least, six of us has gained the basic knowledge on identify, execute and implements basic procedure of building structure design.