МІНІСТЕРСТВО ОХОРОНИ ЗДОРОВ’Я УКРАЇНИ
  БУКОВИНСЬКИЙ ДЕРЖАВНИЙ МЕДИЧНИЙ
             УНІВЕРСИТЕТ
    Кафедра акушерства, гінекології та перинатології




       АЛГОРИТМИ ВИКОНАННЯ
  ПРАКТИЧНИХ НАВИЧОК З ТИПОВИМИ
   СИТУАЦІЙНИМИ ЗАВДАННЯМИ ДЛЯ
КІНЦЕВОГО КОНТРОЛЮ ЗНАНЬ З МОДУЛЯ 4
     «АКУШЕРСТВО І ГІНЕКОЛОГІЯ»
              (Навчальний посібник)



                          За редакцією доктора медичних
                          наук, професора, завідувача
                          кафедри акушерства, гінекології та
                          перинатології
                          Буковинського державного
                          медичного університету
                          Кравченко Олени Вікторівни




                   Чернівці – 2011
УДК 618.1/.2 (071)
ББК 57.16+57.1я7
А – 45
Авторський колектив:
	      Кравченко Олена Вікторівна – доктор медичних наук, професор, завідувач
       кафедри акушерства, гінекології та перинатології Буковинського державного
       медичного університету,
      Ясніковська Світлана Михайлівна  – кандидат медичних наук, доцент
      кафедри акушерства, гінекології та перинатології Буковинського державного
      медичного університету,
      Юр’єва Ліля Миколаївна  – кандидат медичних наук, доцент кафедри
      акушерства, гінекології та перинатології Буковинського державного
      медичного університету,
      Дикусаров Володимир Володимирович – кандидат медичних наук, доцент
      кафедри акушерства, гінекології та перинатології Буковинського державного
      медичного університету.

З–38 Алгоритми виконання практичних навичок з типовими ситуаційними
     завданнями для кінцевого контролю знань з Модуля 4 «Акушерство і
     гінекологія»: Навчальний посібник. / [ Кравченко О.В., Ясніковська С.М.,
     Юр’єва Л.М., Дикусаров В.В.];. Укр. Буковинський державний медичний
     університет. – Чернівці: БДМУ, 2011. – 136 с.
ББК 57.16+57.1я7

      Навчальний посібник для студентів VІ курсу медичних факультетів зі спе-
ціальностей «Лікувальна справа», «Педіатрія» вищих медичних закладів освіти
України ІІІ – ІV рівнів акредитації.
      Виданий з метою покращення опанування студентами VІ курсу практичними
навичками з «Модуля 4», які передбачені програмою навчання за кредитно-модуль-
ною системою.

Рецензенти: Венцковський Б. М.  – член кореспондент АПН України, доктор
            медичних наук, професор, завідувач кафедри акушерства і гінекології
            №1 Національного медичного університету ім. О.О. Богомольця.
            Сенчук А. Я. – доктор медичних наук, професор, завідувач кафедри
            акушерства і гінекології Інституту української асоціації народної
            медицини.

Рекомендовано Центральним методичним кабінетом з вищої медичної освіти
МОЗ України як навчальний посібник для студентів вищих медичних навчальних
закладів ІІІ-ІV рівня акредитації (протокол №4 від 01.10.2010 р.)

  ISBN 978-966-697-377-4	                            © Кравченко О.В.,
                                                       Ясніковська С.М,
                                                       Юр’єва Л.М.,
                                                       Дикусаров В.В., 2010
                                                     © БДМУ, 2010
ЗМІСТ


ПЕРЕДМОВА. .......................................................................................5
         .
Алгоритм виконання практичної навички
 «Зовнішнє акушерське обстеження (ЗАО)
 вагітних, прийоми Леопольда»...........................................................6
Алгоритм виконання практичної навички
 «Вимірювання розмірів таза, визначення справжньої кон’югати»...8
Алгоритм виконання практичної навички
 «Визначення строку вагітності, гестаційного віку плода
 та передбачуваного строку пологів»................................................10
Алгоритм виконання практичної навички
 «Надання акушерської допомоги в пологах
 та післяпологовому періоді».............................................................13
Ситуаційні завдання до практичної навички
 «Визначення стану новонародженого
 за шкалою Апгар»..............................................................................35
Алгоритм виконання практичної навички
 «Первинний догляд за новонародженим».......................................36
Ситуаційні завдання до практичної навички
 «Діагностичні критерії вузького тазу» . ..........................................40
Алгоритм виконання практичної навички
 «Схеми медикаментозної корекції
 аномалій пологової діяльності»........................................................42
Ситуаційні завдання до практичної навички
 «Інтерпретація результатів досліджень стану
 фетоплацентарного комплексу».......................................................47
                                .
Алгоритм виконання практичної навички
 «Надання невідкладної допомоги при акушерській кровотечі»....49
Алгоритм виконання практичної навички
 «Надання невідкладної допомоги
 при тяжких формах прееклампсії»...................................................58
Алгоритм виконання практичної навички
 «Надання невідкладної допомоги при несприятливих
 та критичних станах плода та новонародженого»..........................73
Алгоритм виконання практичної навички
 «Гінекологічне дослідження»...........................................................92
Алгоритм виконання практичної навички
 «Взяття матеріалу з вагіни, уретри та цервікального каналу»....102
Алгоритм виконання практичної навички
 «Кольпоцитологічне дослідження»................................................108
Ситуаційні завдання до практичної навички
 «Оцінка результатів кольпоцитологічного дослідження
 та тестів діагностики функціонального стану яєчників».............112
Ситуаційні завдання до практичної навички
 «Оцінка результатів цитологічного, гістологічного,
 бактеріологічного досліджень»......................................................114
Ситуаційні завдання до практичної навички
 «Оцінка результатів кольпоскопічного, рентгенологічних
 досліджень та УЗД жіночих статевих органів».............................117
Ситуаційні завдання до практичної навички
 «Лікування і профілактика
 при різних видах гінекологічної патології»...................................121
Алгоритм виконання практичної навички
 «Зондування матки». .......................................................................124
                   .
Алгоритм виконання практичної навички
 «Пункція черевної порожнини через заднє склепіння»...............126
Відповіді на ситуаційні завдання...................................................129
Список використаної літератури...................................................134
ПЕРЕДМОВА

     Відповідно до змін форм організації навчального процесу за
принципами кредитно-модульної системи, вагомою складовою час-
тиною у вивченні клінічної дисципліни є формування у студентів
умінь та навичок, які визначаються кінцевими цілями вивчення аку-
шерства та гінекології як самостійної дисципліни та можуть бути ви-
користані ними для логічного обґрунтування діагнозу захворюван-
ня, проведення диференціальної діагностики, терапії, профілактики
та реабілітації хворих.
     Посібник містить алгоритми виконання та типові ситуаційні за-
вдання до практичних навичок, винесених для кінцевого контролю
знань з Модуля 4 «Акушерство і гінекологія» відповідно до типо-
вої програми з навчальної дисципліни з акушерства та гінекології
для ВМЗ освіти України ІІІ-ІV рівнів акредитації зі спеціальностей
«Лікувальна справа» і «Педіатрія» (Київ, 2006 р.).
     Методики виконання практичних навичок наведені у формі ал-
горитмів. У структурі останніх зазначені мета виконання тої чи ін-
шої маніпуляції, необхідний інструментарій, техніка, послідовність
виконання, інтерпретація результатів, що надасть користувачу посіб-
ника впевненості у правильності виконаної роботи та можливостях
самостійного відтворення конкретного виду лікувально-діагностич-
ної роботи.
     Практичні навички, які потребують інтерпретації та оцінки ре-
зультатів лабораторних та інструментальних досліджень, складання
алгоритму надання невідкладної допомоги при акушерсько-гінеко-
логічній патології представлені ситуаційними завданнями.
     Посібник допоможе підвищити ефективність підготовки сту-
дентів до занять та державного випускного практично-орієнтовано-
го іспиту з акушерства та гінекології.
Алгоритм виконання практичної навички
        Зовнішнє акушерське обстеження (ЗАО)
             вагітних, прийоми Леопольда
     Мета: визначити величину матки, її функціональний стан (то-
нус, болючість та ін.) і положення плода в порожнині матки.
     Попередньо перед проведенням ЗАО вагітній (роділлі) пропо-
нують лягти на кушетку (ліжко), а саме: на спину, ноги зігнути в
кульшових і колінних суглобах. Лікар розташовується справа
від вагітної, обличчям до неї.
     І прийом ЗАО – І прийом Леопольда
     Мета: визначити висоту стояння дна матки та частину плода,
яка розташована в ділянці її дна.
     Послідовність виконання:
1.	 Долоні обох рук розташувати на матці таким чином, щоб вони
щільно охоплювали її дно та ділянки маткових кутів, а пальці рук
були повернені нігтьовими фалангами один до одного.
2.	 Обережним натисканням донизу пальці рук зблизити, визначити
висоту стояння дна матки.
     ІІ прийом ЗАО – ІІ прийом Леопольда
     Мета: визначити положення плода, його позицію та вид позиції.
Окрім того, ІІ прийом ЗАО дає змогу діагностувати функціанальний
стан м’язів матки (скорочення, тонус, болючість); багатоводдя
(у жінок із бочкоподібною формою живота при перкусії матки
виявляють флюктуацію); стан круглих маткових зв’язок у пологах
(їх болючість, товщину, напруженість, симетричність, розташування
по відношенню до матки).
     Послідовність виконання:
1.	 Обидві руки з дна матки переміщують донизу на бокові поверхні
матки, розташовуючи їх на рівні пупка.
2.	 Фіксуючи ліву руку на правій боковій стінці матки, долонею та
пальцями правої руку ретельно пальпують (натискаючи) ліву бокову
стінку матки, після чого на лівій боковій стінці матки фіксують пра-
ву руку, а пальпацію здійснюють долонею та пальцями лівої руки, по
правій боковій поверхні матки.
Спинка розпізнається по її широкій та вигнутій поверхні. Дрібні
частини визначаються з протилежного спинці боку у вигляді дріб-
них, рухливих горбів. Якщо спинка плода повернена до лівої бокової
стінки матки – позиція плода перша, до правої бокової стінки мат-
ки – позиція плода друга.
    ІІІ прийом ЗАО – ІІІ прийом Леопольда
    Мета: визначити характер передлежачої частини.
    Послідовність виконання:
1.	 Одну руку (частіше праву) кладуть дещо вище лонного зчлену-
вання так, щоб великий палець знаходився на одному, а чотири ін-
ших – на протилежному боці нижнього відділу матки.
2.	 Повільними та обережними рухами пальці занурюють углиб і
охоплюють передлежачу частину: а) пальпація щільної, з чіткими
контурами округлої частини плода, здатної до балатування, вказує на
головне передлежання; б) пальпація менш щільної, об’ємної части-
ни, без чітких контурів, не здатної до балатування –характерні озна-
ки тазового передлежання; в) передлежача частина не пальпується
над входом у малий таз – положення плода поперечне або косе.
    ІV прийом ЗАО – ІV прийом Леопольда
     Мета: визначити передлежачу частину та ступінь вставлення
голівки в малий таз.
    Послідовність виконання:
1.	 Лікар повертається обличчям до ніг жінки.
2.	 Долоні рук кладуть по обох боках нижнього відділу матки (паль-
    ці рук повернені нігтьовими фалангами один до одного і до входу
    в таз) між передлеглою частиною та боковими відділами входу в
    таз. Здійснюючи по голівці ковзний рух уверх і в напрямі до себе,
    оцінюють разташування кистей рук:
  а)	 кисті рук акушера розходяться – голівка знаходиться малим сег-
      ментом у вході в малий таз;
  б)	 руки акушера сходяться – голівка знаходиться великим сегмен-
      том у вході в малий таз.
Алгоритм виконання практичної навички
              Вимірювання розмірів таза,
           визначення справжньої кон’югати

     Мета: визначити форму та розміри малого таза, як основної
частини родового каналу, з метою профілактики розвитку можливих
ускладнень під час вагітності та в пологах.
     Засоби, що використовуються: тазомір.
     Умови виконання: при проведенні пельвіометрії (вимірюван-
ня розмірів таза) обстежувана лежить на кушетці (ліжку), а саме: на
спині, ноги випрямлені. Лікар розташовується збоку від жінки, об-
личчям до неї. Тазомір тримають лівою та правою рукою за відпо-
відні гілки, на рівні ґудзиків, причому його шкала обернена доверху.
     1. Distantia spinarum
     Послідовність виконання:
1.	 Пропальпувати передньо-верхні ості здухвинних кісток.
2.	 Прикласти до зовнішних країв передньо-верхніх остей здухвин-
них кісток ґудзики тазоміра.
3.	 Оцінити показники шкали тазоміра. У нормі distantia spinarum
дорівнює 25-26 см.
    2. Distantia cristarum
    Послідовність виконання:
1.	 Після вимірювання distantia spinarum ґудзики тазоміра пересува-
ють по зовнішньому краю гребенів клубових кісток, доки не визна-
чать найбільшу відстань.
2.	 Оцінюють показники шкали тазоміра. У нормі distantia cristarum
дорівнює 28–29 см.
    3. Distantia trochanterica
    Послідовність виконання:
1.	 Пальпують найбільш виступаючі точки великих вертелів стегно-
вих кісток.
2.	 Прикладають до них ґудзики тазоміра.
3.	 Оцінюють показники шкали тазоміра. У нормі distantia trochanterica
дорівнює 30–31 см.
4. Conjugata externa
     Умови виконання: обстежувана лягає на бік, обличчям від лі-
каря (акушерки), ногу, що лежить внизу, згинає у кульшовому та ко-
лінному суглобах, а ногу, яка лежить зверху, – випрямляє.
    Послідовність виконання:
1.	 Ґудзик однієї з гілок тазоміра прикладають до середини верхньо-
зовнішнього краю симфізу, інший – до ямки між остьовими відрост­
ками останнього поперекового та першого крижового хребців.
2.	 Оцінюють показники шкали тазоміра. У нормі сonjugata externa
дорівнює 20-21 см.
    5. Сonjugata diagonalis
     Умови виконання: жінка знаходиться на гінекологічному кріс-
лі. Виконують піхвове дослідження з дотриманням всіх правил асеп-
тики та антисептики.
    Послідовність виконання:
1.	 ІІ та ІІІ пальці правої руки уводять у піхву жінки (IV та V пальці
зігнуті, тил їх впирається в промежину).
2.	 Кінець витягненого середнього пальця руки, який знаходиться у
піхві, фіксують на верхівці мису, ребро долоні впирається в нижній
край симфізу.
3.	 ІІ пальцем іншої руки відмічають місце на внутрішній руці, де
вона торкається нижнього краю симфізу.
4.	 Не віднімаючи ІІ пальця від наміченої точки, виводять внутріш-
ню руку з піхви та вимірюють тазоміром або сантиметровою стріч-
кою відстань між зробленою позначкою та верхівкою витягненого
середнього пальця. У нормі сonjugata diagonalis дорівнює 12,5-13 см.

    6. Conjugata vera
    Послідовність виконання:
     Для визначення істинної кон’югати попередньо необхідно:
-	 виміряти Індекс Соловйова (довжина кола в ділянці променево­
зап’ястного суглоба) – сантиметровою стрічкою визначають окруж-
ність променевозап’ястного суглоба (14см ±1,5-2см);
-	 Визначення справжньої кон’югати за розмірами діагональної
кон’югати: від отриманої величини діагональної кон’югати відніма-
ють 1,5-2 см (12,5 – 1,5 см = 11 см);
-	 Визначення справжньої кон’югати за розмірами ­ овнішньої
                                                      з
кон’югати: від величини зовнішньої кон’югати віднімають 9 см
(20 – 9 см = 11см).


        Алгоритм виконання практичної навички
 Визначення строку вагітності, гестаційного віку
    плода та передбачуваного строку пологів

     Мета: визначення гестаційного віку плода та строку пологів з
метою профілактики перинатальних ускладнень (синдрому затрим-
ки внутрішньоутробного розвитку плода, макросомії та ін.) і вчасно-
го розродження.
     Для визначення гестаційного віку плода в акушерській практи-
ці можна використовувати дані про довжину та масу плода за ме-
тодом Гаазе:
-	 у першій половині вагітності (до V акушерських місяців) довжи-
на плода відповідає числу місяців, піднесеного до квадрата;
-	 починаючи з VI місяця, довжина плода відповідає числу місяців,
помноженому на 5.
  Місяць     Довжина плода,         Місяць     Довжина плода, см
                     см
       I              1               VI               30
      II              4               VII              35
     III              9               VIII             40
     IV              16               IX               45
     V               25                X               50
     Починаючи з 16-18 тижнів, встановити гестаційний вік плода
можна при визначенні висоти стояння дна матки:
1.	 IV акушерський місяць (16 тиж.) – дно матки розміщується посе-
редині між лобком та пупком (на 4 поперечні пальці вище симфізу).
2.	 V акушерський місяць (20 тиж.)  – дно матки на 2 поперечних
пальці нижче пупка.
3.	 VI (24 тиж.) – дно матки знаходиться на рівні пупка.
4.	 VIІ (28 тиж.) – дно матки визначається на 2–3 пальці вище пупка.
5.	 VIІІ (32 тиж.)  – дно матки стоїть посередині між пупком і ме-
чоподібним відростком. Пупок починає згладжуватись. Починаючи
з 32 тиж., для визначення гестаційного віку плода ще врахову-
ється окружність живота. У 32 тиж. окружність живота на рівні
пупка – 80-85 см.
6.	 IX (36 тиж.)  – дно матки піднімається до мечоподібного від-
ростка та реберних дуг  – це найвищий рівень стояння дна матки.
Окружність живота – 90 см. Пупок згладжений.
7.	Х (40 тиж.) – дно матки опускається до середини відстані між пуп-
ком та мечоподібним відростком. Пупок вип’ячується. Окружність
живота – 95-98 см.
      У третьому триместрі для визначення гестаційного віку плода
(з точністю до 1-3 тиж.) вимірюють біпарієтальний розмір голівки,
окружність голівки, окружність живота та довжину стегна.
      Найбільш інформативні результати ультразвукової фетометрії.
      У термін 32 тиж. біпаріетальний розмір голівки плода в серед-
ньому 8 см (4,5-8,5), діаметр грудної клітки – 8,2 см (7,5-9), живо-
та – 8,4 (7,8-9,3).
      Середньостатистичні дані дозволяють дійти висновку про масу
плода. На VI та VIII місяці вона приблизно подвоюється в порівнян-
ні з попереднім місяцем; найбільш інтенсивне наростання маси пло-
да відбувається на IX та Х місяцях (у середньому по 800 г).
  Місяць         Маса плода, г        Місяць        Маса плода, г
      III            20-25              VII           1000-1200
      IV              120               VIII          1500-1600
       V            280-300              IX           2400-2500
      VI            600-680              X            3200-3400
     Визначення очікуваної маси плода проводять за формулами:
1.	 Якубової: окружність живота вагітної (см) + висота стояння дна
матки (см) ділимо на 4 – коли плід доношений, а якщо недоношений,
то ділимо на 6 і множимо на 100.
2.	 Жорданія: окружність живота вагітної (см) множимо на висоту
стояння дна матки над симфізом (см).
3.	 Методом Ланковіца: зріст вагітної (см) + маса тіла (кг) + окруж-
ність живота (см) + висота стояння дна матки (см) множимо на 10.
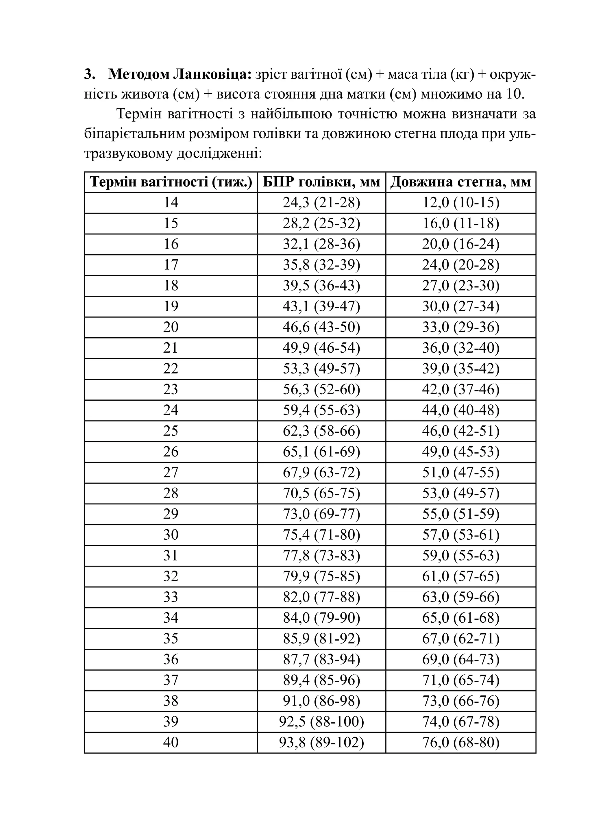
     Термін вагітності з найбільшою точністю можна визначати за
біпарієтальним розміром голівки та довжиною стегна плода при уль-
тразвуковому дослідженні:
Термін вагітності (тиж.) БПР голівки, мм Довжина стегна, мм
          14               24,3 (21-28)      12,0 (10-15)
          15               28,2 (25-32)      16,0 (11-18)
          16               32,1 (28-36)      20,0 (16-24)
          17                35,8 (32-39)     24,0 (20-28)
          18                39,5 (36-43)     27,0 (23-30)
          19                43,1 (39-47)     30,0 (27-34)
          20                46,6 (43-50)     33,0 (29-36)
          21                49,9 (46-54)     36,0 (32-40)
          22                53,3 (49-57)     39,0 (35-42)
          23                56,3 (52-60)     42,0 (37-46)
          24                59,4 (55-63)     44,0 (40-48)
          25                62,3 (58-66)     46,0 (42-51)
          26                65,1 (61-69)     49,0 (45-53)
          27                67,9 (63-72)     51,0 (47-55)
          28                70,5 (65-75)     53,0 (49-57)
          29                73,0 (69-77)     55,0 (51-59)
          30                75,4 (71-80)     57,0 (53-61)
          31                77,8 (73-83)     59,0 (55-63)
          32                79,9 (75-85)     61,0 (57-65)
          33                82,0 (77-88)     63,0 (59-66)
          34                84,0 (79-90)     65,0 (61-68)
          35                85,9 (81-92)     67,0 (62-71)
          36                87,7 (83-94)     69,0 (64-73)
          37                89,4 (85-96)     71,0 (65-74)
          38                91,0 (86-98)     73,0 (66-76)
          39               92,5 (88-100)     74,0 (67-78)
          40               93,8 (89-102)     76,0 (68-80)
Очікувана дата пологів (ОДП) вираховується за:
−	 формулою Негеле (для 28-денного менструального циклу):
ОДП = (ПМЦ+7 днів) – 3 місяці+1 рік, де ПМЦ – перший день остан-
нього менструального циклу;
Наприклад: ОМ почалась 2 жовтня + 7 днів – 3 міс. (9 вересня, 9 серп-
ня, 9 липня) і визначають очікувану дату пологів 9 липня;
−	 за овуляцією: від першого дня очікуваної, але яка так і не наста-
ла, менструації відраховують назад 14-16 днів і до цієї дати додають
273-274 дні;
−	 за датою одноразового статевого акту: до відомої дати додають
273 дні;
−	 за першими рухами плода: додати 20 тижнів до дати першого
відчуття рухів плода в першовагітних і 22 тижні – у повторновагітних.
Наприклад: якщо першовагітна відчула перші рухи плода 7 травня,
то, додаючи 20 тижнів, отримуємо ОДП – 17 вересня.
     Важливими даними є дата ранньої явки до лікаря (до 10‑12 тиж.),
УЗД.


         Алгоритм виконання практичної навички
     Надання акушерської допомоги в пологах
            та післяпологовому періоді

Згідно наказу МОЗ України №624 протокол «Нормальні пологи»:
Шифр МКХ-10: О80
Нормальні пологи  – це одноплідні пологи зі спонтанним почат-
ком та прогресуванням пологової діяльності у терміні вагітності
37-42  тижні у потиличному передлежанні плода, перебіг яких від-
бувався без ускладнень протягом усього періоду пологів, при задо-
вільному стані матері та новонародженого після пологів. Якщо по-
логи у вагітних високої групи ризику (з патологією вагітності або
соматичною патологією) мають нормальний перебіг, необхідно ви-
користовувати рекомендації даного клінічного протоколу щодо ве-
дення пологів у цієї групи жінок, за умови закінчення пологів без
ускладнень, – такі пологи вважаються нормальними. Не є підставою
для виключення з нормальних пологів:
•	 наявність передчасного розриву плодових оболонок;
•	 проведення амніотомії без наступної індукції пологів;
•	 розрив промежини 1 ступеню.
     На сучасному етапі організації акушерської допомоги в Україні
оптимальним є проведення нормальних пологів в умовах акушер-
ського стаціонару з забезпеченням права роділлі залучення близьких
до підтримки її при пологах.
     Основною метою надання допомоги під час пологів є забезпе-
чення безпеки для жінки та дитини при мінімальному втручанні в
фізіологічний процес шляхом:
•	 ретельного моніторингу стану матері, плода та прогресування
   пологів;
•	 створення умов для надання невідкладної допомоги роділлі/поро-
   діллі та новонародженому;
•	 проведення заходів, що спрямовані на попередження інфекцій-
   них та гнійно-запальних ускладнень;
•	 впровадження та суворе дотримання принципів «теплового
   ланцюжка».

    Принципи ведення нормальних пологів:
•	 визначення плану ведення пологів та обов’язкове поінформоване
   узгодження його з жінкою/сім’єю;
•	 заохочення емоційної підтримки роділлі під час пологів (органі-
   зація партнерських пологів);
•	 моніторинг стану матері, плода та прогресування пологів;
•	 використання партограми для прийняття рішення щодо перебігу
   пологів, а також необхідності та об’єму втручань;
•	 широке використання немедикаментозних засобів для знеболен-
   ня пологів;
•	 заохочення жінки до вільного пересування під час пологів та за-
   безпечення можливості вільного вибору положення для наро-
   дження дитини;
•	 оцінка стану дитини при народженні, забезпечення контакту
   «шкіра до шкіри» між матір’ю та новонародженим, прикладання
   до грудей матері за появи пошукового та смоктального рефлексу;
•	 профілактика післяпологової кровотечі, що зумовлена атонією
   матки, шляхом використання методики активного ведення тре-
   тього періоду пологів.
    Діагностика та підтвердження пологів:
•	 у вагітної після 37 тижня з`являється переймоподібні болі вни-
   зу живота та крижах з появою слизово-кров’яних або водянистих
   (у разі відходження навколоплідних вод) виділень із піхви;
•	 наявність 1 перейми протягом 10 хвилин, що продовжується
   15‑20 секунд;
•	 зміна форми та розташування шийки матки – прогресивне її уко-
   рочення та згладжування. Розкриття шийки матки – збільшення
   діаметру просвіту шийки матки ( вимірюється в сантиметрах) ;
•	 поступове опускання голівки плода до малого тазу відносно пло-
   щини входу у малий таз (за даними зовнішнього акушерського
   дослідження) або відносно lin.interspinalis (при внутрішньому
   дослідженні)

    Діагностика періодів і фаз пологів:
         Симптоми і ознаки                   Період       Фаза
                                          Хибні пологи
                                          (відсутність
          Шийка не розкрита                 пологової
                                           діяльності)
Шийка розкрита менше, ніж на 3 см            Перший      Латентна
Шийка розкрита на 3-9 см.
Швидкість розкриття шийки матки не          Перший       Активна
менше (або більше) – 1 см/год.
Початок опускання голівки плода
Повне розкриття шийки матки (10 см).
Голівка плода у порожнині тазу.             Другий        Рання
Немає позивів до потуг
Повне розкриття шийки (10 см).
Передлегла частина плода досягає                           Пізня
                                            Другий
дна тазу.                                                (потужна)
Роділля починає тужитись
Послідовність дій у разі нормального перебігу пологів:
     Під час госпіталізації роділлі в акушерський стаціонар у прий­
мально-оглядовому відділенні черговий лікар акушер-гінеколог:
-	 ретельно ознайомлюється з обмінною картою жінки щодо пере-
   бігу даної вагітності. Звертає увагу на дані загального, інфекцій-
   ного та акушерсько-гінекологічного анамнезу, клініко-лаборатор-
   ні обстеження та дані гравідограми;
-	 з’ясовує скарги;
-	 для оцінки стану роділлі здійснює обстеження: загальний огляд,
   вимірює температуру тіла, пульс, артеріальний тиск, частоту ди-
   хання, обстеження внутрішніх органів;
-	 здійснює вимірювання висоти стояння дна матки, окружності живота
   та розмірів тазу. Визначає термін вагітності та очікувану масу плода;
-	 запитує про відчуття рухів плода самою роділлею та проводять
   аускультацію серцебиття плода;
-	 проводить зовнішнє та внутрішнє акушерське дослідження: ви-
   значає положення, вид та позицію плода, характер пологової ді-
   яльності, розкриття шийки матки та період пологів, знаходження
   голівки плода відносно площин малого тазу;
 – встановлює акушерський діагноз, визначає план ведення пологів
   та узгоджує його з жінкою, що народжує.
     Не рекомендується рутинне призначення клізми та гоління
лобка роділлі.
     Молодша медична сестра:
-	 пропонує жінці прийняти душ, одягнути чистий домашній одяг (за від-
   сутності – лікарняну білизну); партнерові також потрібна зміна одягу
   на чистий домашній одяг (за відсутності – одноразовий комплект);
-	 роділлю та її партнера супроводжує в індивідуальну пологову палату.

     Спостереження та допомога роділлі під час І періоду пологів
     Результати спостереження за прогресом пологів, станом мате-
рі та плода заносяться лікарем акушер-гінекологом до партограми.
Правильне заповнення та інтерпретація партограми сприяє ранньо-
му виявленню відхилень перебігу пологів, відхилень у стані матері
чи плода та допомагає вчасно прийняти обґрунтоване рішення щодо
подальшої тактики ведення пологів та визначити обсяг необхідних
втручань. Спостереження за станом роділлі і плода в І періоді поло-
гів включає наступні рутинні процедури:
      Оцінка стану плода:
      Серцебиття плода в пологах реєструють шляхом:
  •	 періодичної аускультації за допомогою акушерського стетоско-
      пу, ручного доплерівського аналізатора
      або
  •	 за показаннями – шляхом електронного фетального моніторінгу
      (кардіотокографія).
      Для отримання достовірних результатів періодичної аускульта-
ції слід дотримуватися наступної методики:
  •	 роділля знаходиться у положенні на боці;
  •	 аускультація починається після закінчення найбільш інтенсив-
      ної фази перейми;
  •	 аускультація триває щонайменше 60 секунд.
      Аускультація має проводитися кожні 30 хвилин протягом ла-
тентної фази та кожні 15 хвилин протягом активної фази першого пе-
ріоду пологів. В нормі ЧСС плода знаходиться в межах 110-170 уда-
рів за хвилину.
      У разі зміни частоти серцевих скорочень плода, що виходять за
межі норми, необхідно змінити положення тіла жінки (слід уникати
положення на спині) та провести повторну аускультацію після закін-
чення найбільш інтенсивної фази наступної перейми, дотримуючись
вище описаної методики.
      Перехід від періодичної аускультації до електронного феталь-
ного моніторингу (КТГ) показаний у наступних випадках:
  •	 ЧСС плода зберігається поза межами норми після зміни поло-
      ження тіла жінки;
  •	 базальна частота серцевих скорочень плода менше 110 чи біль-
      ше 170 ударів за хвилину;
  •	 під час періодичної аускультації виявляються будь-які епізоди
      брадикардії, що не зникають після зміни положення жінки;
  •	 розпочато пологопідсилення окситоцином;
  •	 вилились навколоплідні води, забарвлені меконієм.
Рутинне застосування КТГ всім роділлям не доцільне через
високий відсоток хибно позитивних результатів та збільшення
частоти втручань, у тому числі й оперативних пологів.
    Якщо відбувся розрив плодового міхура (спонтанний або штуч-
ний), звертається увага на колір та кількість навколоплодових вод.
     Оцінка загального стану матері
     Вимірювання температури тіла  – кожні 4 години; визначення
параметрів пульсу  – кожні 2 години; артеріального тиску  – кожні
2 години; кількість сечі визначають кожні 4 години.
     Оцінка прогресування пологів
     З метою оцінки прогресування пологів визначають швидкість
розкриття шийки матки, частоту та тривалість перейм, а також наяв-
ність просування голівки плода у порожнину таза.
     Розкриття шийки матки
     Швидкість розкриття шийки матки оцінюється шляхом вну-
трішнього акушерського дослідження, яке проводять кожні 4 години.
Додаткове внутрішнє обстеження проводять за наявності показань:
  •	 спонтанний розрив плодових оболонок;
  •	 патологічна частота серцебиття плода (менше 110 або більше
     170 ударів за хвилину);
  •	 випадіння пуповини;
  •	 у разі підозри на неправильне передлежання/вставлення голів-
     ки плода;
  •	 затримки прогресу пологів;
  •	 кровотечі (огляд в умовах операційної).
     Якщо після додаткового внутрішнього акушерського дослідження
прийнято рішення продовжувати консервативне ведення пологів, наступ-
не акушерське дослідження проводять через 4 години від останнього.
     Результати оцінки розкриття шийки матки заносяться до партограми.
      Розкриття шийки матки у латентній фазі
      Латентна фаза триває до 8 годин. Нормальне прогресування поло-
гів у латентній фазі першого періоду характеризується поступовим згла-
джуванням та розкриттям шийки матки зі швидкістю, яка забезпечує пе-
рехід у активну фазу у будь-який час протягом 8 годин спостереження.
Розкриття шийки матки 3 та >см свідчить про перехід в актив-
ну фазу І періоду пологів.
•	 Якщо протягом 8 годин спостереження періодичні скорочення
   матки зникають, або значно уповільнюються, слід зробити висно-
   вок щодо хибних пологів. У разі спонтанного припинення матко-
   вих скорочень немає необхідності у проведенні вагінального до-
   слідження, якщо інші показання до його проведення відсутні.
•	 Якщо через 8 годин спостереження періодичні скорочення матки
   тривають, а розкриття шийки матки залишається менше 3 см, слід
   оцінити наявність структурних змін шийки матки.
•	 Якщо структурні зміни шийки матки відсутні слід зробити висно-
   вок на користь удаваних перейм.
•	 Якщо відбуваються структурні зміни шийки матки (розм’якшення,
   згладження, розкриття), слід оцінити ступень зрілості шийки мат-
   ки за шкалою Бішопа.
•	 Якщо шийка матки «зріла» (6 або більше балів), робиться висновок
   на користь уповільненої латентної фази першого періоду пологів.
•	 Якщо шийка матки «незріла» (5 або менше балів), тактика веден-
   ня має відповідати веденню удаваних перейм.
   Оцінка ступеня «зрілості» шийки матки за шкалою Бішопа
                                           Бали
      Параметри
                              0            1                   2
  Положення шийки                    Між крижами і
                         Зміщена до провідною віссю
матки щодо провідної                                      По вісі тазу
                           крижів
       осі тазу                           тазу
Довжина шийки матки       ≥2                 1-2              1≤
         (см)
 Консистенція шийки    Щільна           Розм’якшена          м’яка
        матки
Відкриття зовнішнього Закритий               1                ≥2
        вічка
 Місце знаходження    Рухома над        Притиснута до   Притиснута або
 передлеглої частини входом у ма-       входу в малий   фіксована у вхо-
        плода           лий таз              таз         ді у малий таз
Примітка:
0-2 бали – «шийка не зріла»
3-5 балів – «шийка недостатньо зріла»
≥ 6 балів – «шийка зріла»
Розкриття шийки матки в активній фазі
     Нормальне прогресування пологів в активній фазі першого пе-
ріоду характеризується розкриттям шийки матки зі швидкістю що-
найменше 1 см/год.
     Якщо швидкість розкриття шийки матки становить менш, ніж
1 см/  од (графік розкриття шийки матки знаходиться справа від Лінії
     г
уваги на партограмі), це вказує на «пролонговану активну фазу», яка
може бути пов’язана зі слабкістю пологової діяльності або клінічно
вузьким тазом.
     Швидкість розкриття шийки матки менш, ніж 1 см/год, за наяв-
ності цілого плідного міхура є абсолютним показанням до проведен-
ня амніотоміі.
   Рутинне проведення ранньої амніотомії (до 5 см розкриття
шийки матки) у разі нормального перебігу пологів не рекомендується.

     Частота та тривалість перейм
     Оцінка частоти та тривалості перейм проводиться щогодини в
латентній фазі та кожні 30 хвилин в активній фазі. Підраховують кіль-
кість перейм за 10 хвилин. Отримані дані заносять до партограми.
     Наявність 2 перейм за 10 хвилин в латентній фазі вважають
адекватною пологовою діяльністю, в активній фазі – 3-5 перейм про-
тягом 10 хвилин, кожна з яких триває 40 секунд або більше.
    Просування голівки плода
    Просування голівки плода визначають шляхом зовнішнього та
внутрішнього акушерського дослідження. Результати заносять до
партограми.
    Просування голівки плода може не спостерігатись, поки шийка
матки не розкриється приблизно на 7-8 см.
     Умови забезпечення нормальних пологів:
•	 індивідуальна пологова кімната, яка має бути максимально на-
   ближена до домашніх умов;
•	 персональна психологічна підтримка роділлі чоловіком чи обраним
   нею партнером, які мають бути підготовленими до участі в пологах;
•	 досягнення взаємного порозуміння, психологічна підтримка ро-
   діллі медичним персоналом;
•	 пояснення необхідності проведення кожної процедури і маніпу-
    ляції та одержання дозволу жінки на їх проведення;
•	 підтримання доброзичливої атмосфери при розродженні,
•	 поважне ставлення до бажань жінки, забезпечення конфіденційності;
•	 підтримування чистота роділлі та її оточення:
  -	 заохочення самостійно прийняти ванну чи душ під час пологів;
  -	 перед кожним внутрішнім акушерським дослідженням зовніш-
      ні статеві органи і промежину роділлі обмивають чистою те-
      плою водою.
•	 забезпечення рухливості роділлі:
  -	 жінку заохочують до активної поведінки під час пологів;
  - допомагають вибрати положення для пологів.
•	 підтримання прийому жінкою їжі і рідини за її бажанням.
    Знеболювання пологів за погодженням жінки
      Допомога роділлі подолати біль під час пологів є завданням ме-
дичних працівників та присутнього партнера. Зменшення больового
відчуття може бути досягнуто застосуванням простих немедикамен-
тозних методів знеболювання:
-	 максимальна психологічна підтримка та заспокоєння;
-	 зміна положення тіла (малюнок 1): заохочення роділлі до актив-
    них рухів; пропонують партнеру масажувати їй спину; погладжу-
    вати низ живота; тримати її руку і протирати обличчя вологою
    губкою між переймами; пропонують жінці дотримуватись спеці-
    альної техніки дихання (глибокий вдих та повільний видих);
- 	 локальні натискання на крижеву область: під час перейми не-
    обхідно сильно натискати кулаком або зап’ястям на крижеву об-
    ласть. Роділля самостійно визначає місце та силу, з якою потрібно
    проводити натискання. Щоб утримати рівновагу, друга рука парт-
    нера розміщується спереду на передній верхній клубовій ості.
    Між переймами натискання не проводять;
-	 подвійне стискання стегон: роділля стоїть на руках і колінах, на-
    хилившись уперед. Партнер кладе руки на сідничні м’язи тривало
    натискаючи всією долонею по діагоналі до центру таза жінки;
-	 колінне натискання: роділля сидить рівно на стільці з розведени-
    ми колінами приблизно 10 см, ступні щільно опираються на під-
логу. Партнер заходиться перед нею і розміщує опорну частину
долоні поверх великогомілкової кістки, тривало натискаючи на ко-
ліна в бік тазостегнових суглобів жінки, нахиляючись у її сторону;




Малюнок 1. Положення, що може прийняти жінка в пологах
-	 гідротерапія: прийом душу або занурення у воду з температурою
   36-37°C у активній фазі (при наявності можливості). Тривалість
   перебування у ванній чи душі залежить від бажання жінки, але
   необхідно постійно підтримувати температуру води у заданих
   межах і проводити термометрію у роділлі.

Гідротерапію проводять обов’язково під наглядом медперсоналу!

-	 масаж: техніка масажу полягає у легкому погладжувані живота, ві-
   брації та розминанні рук, ніг та коміркової зони, сильних кругових ру-
   хах, тривалому натисканні на різні точки та область ромбу Міхаеліса.
     Вимоги, що ставляться до медикаментозного знеболювання:
-	 знеболюючий ефект,
-	 відсутність негативного впливу на організм матері і плода,
-	 простота та доступність для усіх родопомічних закладів.
     Спостереження та допомога у II періоді пологів
     Попередження бактеріальних та вірусних інфекцій
     (включно ВІЛ):
•	 Адекватна обробка рук медичного персоналу (гігієнічна або ан-
   тисептична в залежності від маніпуляції, що планується) згідно
   діючих алгоритмів.
•	 Використання стерильних рукавичок під час проведення вну-
   трішнього акушерського дослідження, прийняття пологів та опе-
   ративних втручань (епізіотомія тощо).
•	 Використання медичним персоналом для прийняття пологів чисто-
   го халату. У разі можливості оптимальним є використання однора-
   зового халату, виготовленого з водовідштовхуючого матеріалу.
•	 Використання засобів для захисту обличчя медичного персоналу:
   маска (бажано одноразова), окуляри або щиток.
•	 Обережне використання гострого інструментарію.
     Оцінка стану плода
     Проводять контроль серцевої діяльності плода шляхом аускуль-
тації кожні 5 хвилин у ранню фазу другого періоду та після кожної
потуги у активну фазу.
Оцінка загального стану роділлі
     Вимірювання артеріального тиску, підрахунок пульсу  – кожні
15 хвилин.
    Оцінка прогресування пологів
     Оцінюють просування голівки по родовому каналу та пологову
діяльність (частота та тривалість маткових скорочень).
     Акушерська тактика має відповідати фазі другого періоду
пологів.
    Рання фаза другого періоду пологів
     Рання фаза другого періоду пологів починається від повного
розкриття шийки матки та триває до появи спонтанних активних по-
туг (або до опускання голівки на тазове дно).
     В ранню фазу слід забезпечити рухливість роділлі, а саме: зао-
хотити її до активної поведінки та вільного ходіння. Вертикальне по-
ложення жінки та можливість вільно рухатись сприяють збережен-
ню активної пологової діяльності та просуванню голівки плода.
     В ранній фазі не слід примушувати роділлю тужитись через те,
що це призводить до втоми роділлі, порушення процесу внутрішньо-
го повороту голівки плода, травмування пологових шляхів і голівки,
порушення стану плода та є зайвим медичним втручанням.
     Пізня (потужна) фаза другого періоду пологів
     Пізня (потужна) фаза другого періоду пологів починається з мо-
менту опущення голівки на тазове дно та наявності спонтанних ак-
тивних потуг.
     Слід надавати перевагу техніці «нерегульованих фізіологічних
потуг», коли жінка самостійно робить декілька коротких спонтанних
потужних зусиль без затримки дихання.
     Допустима тривалість другого періоду пологів:
  •	 у жінки, що народжує вперше, до 2 години;
  •	 у жінки, що народжує повторно, до 1 години.
    Положення жінки для народження дитини
    Забезпечується можливість роділлі вибрати положення для на-
родження дитини, яке є зручним для неї.
Рутинне положення на спині («літотомічна» позиція) супро-
воджується зростанням частоти випадків порушень стану плода
та пов’язаних з ними оперативних втручань у порівнянні з вер-
тикальними положеннями (сидячи, стоячи), а також положен-
ням роділлі на боці.

Застосування епізіотомії не проводять при нормальних пологах

    Показання до епізіотомії:
•	 ускладнені вагінальні пологи (при тазовому передлежанні, дистоція
   плечиків, при накладенні акушерських щипців, вакуум-екстракції);
•	 дистрес плода;
•	 рубцеві зміни промежини, що є суттєвою перепоною для наро-
   дження дитини.
     Епізіотомію та епізіорафію проводять під знеболюванням.
     Після народження голівки необхідно дати можливість плечикам
розвернутись самостійно, при цьому перевірити, чи немає обвиван-
ня пуповини навкруг шиї. В разі тугого обвиття пуповину необхідно
перетнути між 2-х затискачів, при нетугому – послабити натяжіння
пуповини та дочекатися наступної потуги. Не квапитись!
     У разі задовільного стану плода не слід намагатися народи-
ти плечики протягом тієї ж потуги, під час якої народилась голівка.
Плечики можуть бути народжені під час наступної потуги.
     Одразу після народження акушерка здійснює обсушування го-
лови і тіла дитини попередньо підігрітою стерильною пелюшкою,
викладає дитину на живіт матері, одягає дитині чисті шапочку і
шкарпетки, накриває сухою чистою пелюшкою та ковдрою.
     Одночасно лікар-педіатр-неонатолог, а за його відсутності лікар-
акушер-гінеколог, здійснює первинну оцінку стану новонародженого.

   Рутинна катетеризація сечового міхура не рекомендується

    Ведення III періоду пологів
     Існують дві тактики ведення третього періоду пологів – актив-
на та очікувальна.
Активне ведення третього періоду пологів
     Застосування методики активного ведення третього періоду під
час пологів дозволяє знизити частоту післяпологової кровотечі, що
зумовлена атонією матки, на 60%, а також зменшити кількість після-
пологової крововтрати та необхідність гемотрансфузії.
     Активне ведення третього періоду пологів повинно бути запро-
поновано кожній жінці під час вагінальних пологів.
     Роділля повинна бути поінформована відносно активного ве-
дення III періоду пологів та має надати добровільну письмову згоду
на його проведення.
     Стандартні компоненти активного ведення третього періоду по-
логів включають:
  •	 введення утеротоніків;
  •	 народження посліду шляхом контрольованої тракції за пупови-
     ну з одночасною контртракцією на матку;
  •	 масаж матки через передню черевну стінку після народження
     посліду.

Відсутність одного з компонентів  – виключає активне ведення
III періоду пологів

      Крок 1
      Введення утеротоніків
      Протягом першої хвилини після народження дитини пропальпувати
матку для виключення наявності в ній другого плоду, при його відсутнос-
ті – ввести 10 ОД окситоцину внутрішньом’язово. Якщо в наявності немає
окситоцину, можна використати ергометрін – 0,2 мг внутрішньом’язово.
      Не використовують ергометрін жінкам з гіпертензивними
розладами!
      Жінка має бути поінформована про можливі побічні ефекти цих
препаратів.

У разі відсутності утеротоніків не слід використовувати методику ак-
тивного ведення третього періоду пологів. У цьому випадку слід за-
стосовувати очікувальну тактику ведення третього періоду пологів.
Народження посліду шляхом контрольованої тракції за пуповину
     Крок 2
•	 перетиснути пуповину ближче до промежини затискачем, трима-
   ти перетиснуту пуповину та затискач в одній руці.
     Крок 3
•	 покласти другу руку безпосередньо над лобком жінки і утримува-
   ти матку відводячи її від лона;
•	 тримати пуповину у стані легкого натяжіння та дочекатись пер-
   шого сильного скорочення матки (зазвичай через 2-3 хв. після
   вве­­
      дення окситоцину).
Не тягніть за пуповину до початку скорочення матки, просто
утримуйте пуповину в стані легкого натяжіння

       Крок 4
•	   одночасно з сильним скороченням матки запропонувати жінці по-
     тужитись і дуже обережно потягнути (тракція) за пуповину до-
     низу, щоб відбулося народження плаценти;
•	   під час тракції продовжувати проводити другою рукою контр-
     тракцію у напрямку протилежному тракції (тобто відштовхувати
     матку від лона);
•	   якщо плацента не опускається протягом 30-40 сек. контрольова-
     ної тракції, зупинити тракцію за пуповину, але продовжувати обе-
     режно її утримувати у стані легкого натяжіння, друга рука зали-
     шається над лоном, утримуючи матку;
•	   одночасно з наступним сильним скороченням матки повторити
     тракцію.
Ніколи не проводити тракцію (підтягування) за пуповину без застосу-
вання контртракції (відведення) добре скороченої матки над лоном!

    Проведення тракції за пуповину без скорочення матки може
призвести до вивороту матки
     Крок 5
•	 після народження плаценти утримують її двома руками і обереж-
   но повертають, щоб скрутити оболонки, повільно підтягують пла-
центу вниз; у разі обриву оболонок, обережно обстежують піхву і
   шийку матки (в стерильних рукавичках) та видаляють їх залишки;
•	 уважно оглядають плаценту та переконуються в її цілісності.
   Якщо частина материнської поверхні відсутня або є ділянка обі-
   рваних оболонок з судинами, це потребує відповідних заходів;
•	 при відсутності народження плаценти протягом 30 хвилин після
   народження плода під адекватним знеболенням. проводять ручне
   відділення плаценти і виділення посліду.
     У разі виникнення кровотечі – ручне відділення плаценти
та виділення посліду має бути проведено негайно під адекват-
ним знеболенням.

    Крок 6
    Масаж матки
•	 Після народження посліду негайно проводять масаж матки через
   передню черевну стінку жінки, доки вона не стане щільною.
     В подальшому пальпують матку кожні 15 хв. протягом перших
2-х годин, щоб бути впевненому в тому, що матка не розслабляється,
а залишається щільною.
     Міхур з льодом на низ живота у ранньому післяпологовому
періоді не застосовується.
     Очікувальне ведення третього періоду пологів.
     Після закінчення пульсації пуповини акушерка перетискає та
перетинає пуповину. Проводять ретельний нагляд за загальним ста-
ном породіллі, ознаками відділення плаценти та кількістю кров’яних
виділень.
     При появі ознак відділення плаценти (ознаки Шредера, Аль­
фельда, Клейна, Кюстнера-Чукалова) жінці пропонують «натужи-
тись», що призведе до народження посліду.
     За відсутності ознак відділення плаценти протягом 30 хвилин
після народження плода проводять ручне відділення плаценти та ви-
ділення посліду.
     У разі виникнення кровотечі ручне відділення плаценти та ви-
далення посліду проводять негайно під адекватним знеболенням.
Огляд нижніх відділів пологових шляхів обережно проводять
за допомогою тампонів після пологів. Показанням до огляду
за допомогою вагінальних дзеркал є наявність кровотечі,
оперативних вагінальних пологів, стрімких пологів або пологів
поза лікарняним закладом.

    Оцінка стану новонародженого та послідовність
    дій при здійсненні медичного догляду за здоровою
    новонародженою дитиною.
     Після закінчення пульсації пуповини, але не пізніше 1 хв. після
народження дитини, акушерка, замінивши стерильні рукавички, пе-
ретискає та перетинає пуповину за умови задовільного стану дитини
(за результатами первинної оцінки стану новонародженого).
     Акушерка здійснює медичне спостереження за станом новона-
родженого протягом перебування дитини у пологовій залі. При пору-
шенні стану новонародженого інформує про це лікаря-педіатра-нео-
натолога, а за його відсутності лікаря-акушера-гінеколога.
     За появи пошукового і смоктального рефлексу (дитина піднімає
голову, відкриває широко рот, шукає груди матері) акушерка допо-
магає здійснити перше раннє прикладання дитини до грудей матері.
     Через 30 хв. після народження дитини акушерка електронним
термометром вимірює новонародженому температуру тіла в акси-
лярній ділянці та записує результати термометрії у карті розвитку
новонародженого (Ф097/о).
     Після проведення контакту матері і дитини «очі в очі» (але не
пізніше першої години життя дитини) акушерка після обробки рук
проводить новонародженому профілактику офтальмії із застосуван-
ням 0.5% еритроміцинової або 1% тетрациклінової мазі відповідно
до інструкції застосування одноразово.
     Контакт «шкіра до шкіри» проводиться не менше 2 годин у по-
логовій залі за умови задовільного стану матері та дитини.
     Після завершення контакту «шкіра до шкіри» акушерка пере-
кладає дитину на зігрітий сповивальний стіл, здійснює обробку та
клемування пуповини, вимірювання зросту, обводу голови та груд-
ної клітини, зважування.
Лікар-педіатр-неонатолог, а за його відсутності лікар-акушер-гі-
неколог, перед переведенням дитини та матері в палату спільного пе-
ребування здійснює первинний лікарський огляд новонародженого
     Акушерка (медична сестра) одягає дитині чисті повзуни, соро-
чечку, шапочку, шкарпетки, рукавички. Дозволяється використову-
вати чистий домашній одяг.
     Дитина разом з матір’ю накривається ковдрою і переводить-
ся в палату спільного перебування з дотриманням умов теплового
ланцюжка.

     Тепловий ланцюжок
    Найважливішою умовою дотримання теплового ланцюж-
ка є забезпечення температури у пологовій залі (операційній)
не нижче, ніж 25ºС.
    Організаційні умови забезпечення підтримки теплового
    ланцюжка
     Ці заходи впроваджуються під час пологів та в перші дні після
народження дитини з метою зменшення втрат тепла у всіх новонаро-
джених. Невиконання хоча б одного з цих заходів розриває тепловий
ланцюжок та ставить новонароджену дитину під загрозу переохо-
лодження. Межами нормальної температури тіла новонароджено-
го слід вважати 36,5оС-37,5оС при вимірюванні в аксілярній ділян-
ці. Недотримання теплового ланцюжка підвищує ризик розвитку у
новонародженого гіпоглікемії, метаболічного ацидозу, інфекції, ди-
хальних розладів, уражень центральної нервової системи (кровови-
ливи, судоми).
     Десять кроків теплового ланцюжка
     1) Тепла пологова кімната (операційна).
     Приміщення повинно бути чистим та теплим, без протягів з від-
чинених вікон, дверей та кондиціонерів (вентиляторів). Опти­ аль­ м
ною (безпечною) для матері та дитини вважається температура на-
вколишнього середовища 25оС –28оС.
     Все необхідне для зігрівання дитини (пелюшки, шапочка, шкарпет-
ки, сорочечки, повзунки, ковдра) треба підготувати і підігріти завчасно.
2) Негайне обсушування дитини.
     Відразу після народження (до перетинання пуповини) акушер-
ка повинна обсушити тіло та голову дитини стерильними, сухими,
попередньо підігрітими пелюшками.
     Викласти дитину на живіт матері і закінчити обсушування. Вологі
пелюшки треба відкласти, одягнути на дитину чисті шапочку і шкар-
петки та накрити чистою сухою, попередньо підігрітою пелюшкою.
     3) Контакт «шкіра до шкіри».
     Контакт «шкіра до шкіри» запобігає втратам тепла та сприяє ко-
лонізації організму дитини флорою матері. На грудях матері дити-
на накривається чистою, попередньо підігрітою пелюшкою та спіль-
ною з матір’ю ковдрою і знаходиться там до переведення в палату
спільного перебування не менше 2 годин.
     З метою контролю дотримання заходів теплового ланцюжка
перше вимірювання температури тіла новонародженого здійснюєть-
ся через 30 хвилин після народження в аксілярній ділянці електро-
нним термометром.
     4) Грудне вигодовування.
     Грудне вигодовування треба починати якомога раніше, протя-
гом першої години після народження, коли дитина проявляє ознаки
готовності до початку годування та знаходиться з матір’ю в контакті
«шкіра до шкіри». Не треба примушувати дитину розпочинати пер-
ше годування, якщо вона не проявляє цих ознак.
     5) Відкласти зважування та купання.
     Купання та зважування новонародженого відразу після наро-
дження призводить до втрат тепла, тому ці процедури треба відкласти.
     Кров, меконій частково видаляються зі шкіри новонародженого
при обсушуванні після пологів. Залишки родової змазки не видаля-
ються у дитини. Перше купання доцільно здійснювати вдома.
     Зважування та антропометрію дитини необхідно проводити піс-
ля здійснення контакту «шкіра до шкіри» перед переведенням в па-
лату спільного перебування.
     6) Правильно одягнути та загорнути дитину.
     Туге сповивання шкідливе для новонародженого, тому що змен-
шує ефективність підтримання тепла дитиною, обмежує рухи дити-
ни, обмежує дихальні рухи.
У зв’язку з цим дитину необхідно одягнути в чисті теплі по-
взунки, сорочечку, шапочку, шкарпетки та накрити теплою ковдрою.
     7) Цілодобове спільне перебування матері та дитини
     За умови відсутності протипоказань новонароджена дитина по-
винна цілодобово перебувати разом з матір’ю в одному приміщенні.
Спільне перебування матері та дитини забезпечує годування на ви-
могу, профілактику гіпотермії та профілактику внутрішньолікарня-
ної інфекції.
     8) Транспортування в теплих умовах
     Якщо дитину треба транспортувати в інше відділення (палату),
медичні працівники зобов’язані забезпечити підтримку та контроль
температури тіла для запобігання виникнення гіпотермії. В палату
спільного перебування новонароджений повинен транспортуватися
разом з матір’ю.
     При народженні дитини шляхом кесарського розтину новона-
роджений транспортується в кувезі або в дитячому ліжечку, вкритий
теплою ковдрою.
     9) Реанімація в теплих умовах.
     Новонароджена дитина з асфіксією не може виробляти достат-
ню кількість тепла, в зв’язку з чим підвищується ризик виникнення
гіпотермії. Тому важливо забезпечити проведення реанімаційних за-
ходів у теплих умовах.
     10) Підвищення рівня підготовки та знань.
     Всі медичні працівники повинні мати відповідну підготовку та
навички з принципів дотримання теплового ланцюжка.
     Члени сім’ї інформуються медичними працівниками щодо важ-
ливості підтримання нормальної температури тіла дитини.
     Післяпологовий період починається одразу після закінчення
пологів і триває протягом 8 тижнів. Післяпологовий період поділя-
ється на ранній та пізній.
     Ранній післяпологовий період починається з моменту вигнан-
ня посліду та триває 2 години. В цей період породілля знаходиться у
пологовому відділення, що пов’язано з ризиком виникнення усклад-
нень, насамперед кровотечі. Цей період є дуже важливим і його тре-
ба розглядати як термін швидкої адаптації функціональних систем
після великого навантаження під час вагітності та пологів.
Пізній післяпологовий період настає через 2 години після по-
логів і триває впродовж 8 тижнів. Під час цього періоду відбувається
зворотний розвиток всіх органів та систем, які змінилися у зв’язку з
вагітністю та пологами.
      Післяпологовий догляд
      Основні принципи післяпологового догляду:
1.	 Забезпечення доброго самопочуття матері та дитини:
  •	 Оцінка стану матері, вимірювання та реєстрація температури,
      артеріального тиску, визначення характеру та частоти пульсу.
      Звертають увагу на молочні залози: визначають їх форму, мож-
      ливе нагрубання, стан сосків, наявність тріщин на них.
  •	 Постійний контроль за післяпологовими виділеннями (лохіями)
      та інволюцією матки.
  Інтервали часу:
  протягом перших двох годин – кожні 15 хвилин;
  протягом третьої години – кожні 30 хвилин;
  протягом наступних трьох годин – кожні 60 хвилин;
  протягом подальшого перебування в післяпологовому відділенні –
      один раз на добу.
  •	 Виконання вправ післяпологової гімнастики.
2.	 Підтримка раннього грудного вигодовування:
  •	 Контакт «шкіра до шкіри» та раннє прикладання новонародже-
      ного до грудей, цілодобове сумісне перебування матері та ново-
      народженого, заохочення матері вибрати ту позицію при груд-
      ному вигодуванні, яка буде найбільш комфортною як для неї,
      так і для дитини, сприяє тривалому та успішному вигодуван-
      ню. Це забезпечує емоційний контакт та надає породіллі мож-
      ливість висловлювати свої материнські почуття.
  •	 Захищає новонародженного від інфекцій.
3. Підтримка у матері відчуття впевненості в собі:
  •	 Надання матері точної та вичерпної інформації протягом всього
      післяпологового періоду відносно її стану та стану новонародже-
      ного, придбані навички якісного догляду та спостереження за ди-
      тиною підвищать відчуття впевненості в собі, а також нададуть
      можливість вчасно звернутись за допомогою в разі необхідності.
4.	 Проведення консультування з питань планування сім’ї та догля-
    ду за дитиною після виписки.
      Виписка породіллі зі стаціонару проводиться після:
  •	 Об’єктивної оцінки стану матері:
      -	 відсутність скарг;
      -	 стабільні показники гемодинаміки;
      -	 відсутність кровотечі;
      -	 відсутність ознак інфікування.
	 Не існує доказів на користь необхідності рутинного ультраз-
     вукового обстеження органів малого тазу жінок в післяполо-
     говому періоді.
  •	 Коли мати навчена догляду та нагляду за дитиною.
  	 При відсутності відхилень від фізіологічного перебігу післяпо-
      логового періоду породілля з новонародженим виписується на
      3 добу додому.
  •	 Коли мати проконсультована з питань вигодування новонаро-
      дженого, післяпологової контрацепції та основних загрозливих
      симптомів післяпологового періоду.
   Загрозливі симптоми в післяпологовому періоді, при яких
                        потрібна допомога
  Загрозливі симптоми у жінок        Загрозливі стани дитини
вагінальна кровотеча (використання
                                   дитина погано смокче груди
2-3 прокладок за 30 хв.
підвищення температури тіла        дитина млява або збудлива
утруднення дихання                 у дитини виникли судоми
біль у животі                      у дитини порушення дихання
                                   у дитини гіпертермія або
біль молочних залоз та сосків
                                   гіпотермія
                                   визначається набряк, гіпере-
біль у промежині                   мія або нагноювання пупко-
                                   вої ранки
нетримання сечі, біль / утруднення
                                   у дитини блювота або діарея
при сечовиділенні
гнійні / з неприємним запахом
виділення з піхви
Ситуаційні завдання до практичної навички
         Визначення стану новонародженого
                    за шкалою Апгар

1. У жінки 32 років народилась дівчинка вагою 3200, довжиною
51 см. Серцебиття 90 уд/хв., дихання відсутнє, колір шкіри синюш-
ний, м’язовий тонус млявий, рефлекси слабо виражені (гримаса).
Оцініть стан новонародженого за шкалою Апгар.

2. У жінки 27 років від другої вагітності народився хлопчик ва-
гою 3400, довжиною 52 см в терміні гестації 39 тижнів. Серцебиття
110 уд/хв., дихання поверхневе, колір шкіри синюшний, м’язовий то-
нус млявий, рефлекси слабко виражені (гримаса). Оцініть стан ново-
народженого за шкалою Апгар.

3. Народилась дівчинка в терміні гестації 39 тижнів, вагою 3600,
зростом – 55 см. Серцебиття 90 ударів за хв., дихання поверхне-
ве, слабке, шкіра бліда, м’язовий тонус дещо знижений, рефлекси
слабо виражені (гримаса). Оцініть стан новонародженого за шка-
лою Апгар.

4. Народилась дівчинка в терміні гестації 39 тижнів, вагою 3500,
зростом – 54 см. Серцебиття 90 ударів за хв., дихання слабке, шкі-
ра бліда, м’язовий тонус дещо знижений, рефлекси відсутні. Оцініть
стан новонародженого за шкалою Апгар.

5. У першовагітної народився хлопчик в терміні гестації 40 тижнів
довжиною 56 см, вагою 3900. Серцебиття 120 уд/хв., голосно закри-
чав одразу, забарвлення шкіри синюшне, проявляє активні рухи,
рефлекси добре виражені. Оцініть стан новонародженого за шка-
лою Апгар.

6. Народилась дівчинка в терміні гестації 39 тижнів, вагою 3500,
зростом – 54 см. Серцебиття 120 ударів за хв., голосний крик, шкіра
рожева, м’язовий тонус дещо знижений, рефлекси добре виражені.
Оцініть стан новонародженого за шкалою Апгар.
7. У жінки 30 років народилась дівчинка вагою 3400, довжиною
55 см. Серцебиття 110 уд/хв., дихання поверхневе, колір шкіри си-
нюшний, м’язовий тонус – активні рухи, рефлекси слабо виражені
(гримаса). Оцініть стан новонародженого за шкалою Апгар.

8. У жінки 35 років спостерігалася слабка пологова діяльність.
Тривалість І періоду пологів  – 15 годин, другого  – 2,5 години.
Народився хлопчик, масою 3 700, зріст 54 см, самостійного дихання
немає, серцебиття ясне, 120 за 1 хв., шкіра ціанотична, тонус м’язів
понижений, рефлекси слабо виражені (гримаса). Оцініть стан ново-
народженого за шкалою Апгар.

9. У жінки 32 років народилась дівчинка вагою 3200, довжиною
51  см. Серцебиття 80 уд/хв., дихання поверхневе, колір шкіри си-
нюшний, м’язовий тонус дещо знижений, рефлекси слабо виражені
(гримаса). Оцініть стан новонародженого за шкалою Апгар.

10. У жінки 32 років народилась дівчинка вагою 3400, довжиною
55 см. Серцебиття 110 уд/хв., дихання поверхневе, колір шкіри блі-
дий, м’язовий тонус – млявий, рефлекси слабо виражені (гримаса).
Оцініть стан новонародженого за шкалою Апгар.

11. У жінки 29 років народилась дівчинка вагою 3500, довжиною
56 см. Серцебиття 120 уд/хв., дихання поверхневе, колір шкіри роже-
вий, м’язовий тонус – активні рухи, рефлекси слабо виражені (гри-
маса). Оцініть стан новонародженого за шкалою Апгар.

12. У жінки 32 років народилась дівчинка вагою 3400, довжиною
55 см. Серцебиття 90 уд/хв., дихання поверхневе, колір шкіри блі-
дий, м’язовий тонус – млявий, рефлекси слабо виражені (гримаса).
Оцініть стан новонародженого за шкалою Апгар.



          Алгоритм виконання практичної навички
        Первинний догляд за новонародженим

    Послідовність дій при здійсненні медичного догляду за
здоровою новонародженою дитиною у пологовій залі (Наказ
МОЗ  України №152 від 04.04.2005 «Про затвердження Протоколу
медичного догляду за здоровою новонародженою дитиною»):
1.	 Відразу після народження акушерка викладає дитину на живіт ма-
    тері, здійснює обсушування голови і тіла дитини попередньо піді-
    грітою стерильною пелюшкою, вдягає шапочку і шкарпетки, на-
    криває сухою чистою пелюшкою та спільною з матір’ю ковдрою.
2.	 Одночасно лікар-педіатр-неонатолог, а за його відсутності лікар-
    акушер-гінеколог, здійснює первинну оцінку стану новонародже-
    ного (додаток 1).
3.	 Після закінчення пульсації, але не пізніше 1 хвилини після наро-
    дження дитини акушерка, замінивши стерильні рукавички, пере-
    тискає та перетинає пуповину (додаток 2), за умови задовільного
    стану дитини (за результатами первинної оцінки стану новонаро-
    дженого) перекладає дитину на груди матері.
4.	 Акушерка здійснює медичне спостереження за станом новонаро-
    дженого протягом перебування дитини в пологовій залі. При по-
    рушенні стану новонародженого інформує про це лікаря-педіатра-
    неонатолога, а за його відсутності – лікаря-акушера-гінеколога.
5.	 За появи пошукового і смоктального рефлексу (дитина піднімає
    голову, відкриває широко рот, шукає груди матері) акушерка
    допомагає здійснити перше раннє прикладання дитини до гру-
    дей матері.
6.	 Через 30 хвилин після народження дитини акушерка електро-
    нним термометром вимірює новонародженому температуру тіла в
    аксілярній ділянці та записує результати термометрії у карті роз-
    витку новонародженого (Ф097⁄о).
7.	 Після проведення контакту матері і дитини «очі в очі» (але не піз-
    ніше першої години життя дитини) акушерка після обробки рук
    проводить новонародженому профілактику офтальмії із застосу-
    ванням 0,5% еритроміцинової або 1% тетрациклінової мазі відпо-
    відно до інструкції застосування одноразово.
8.	 Контакт «шкіра до шкіри» триває не менше 2 годин в разі стабіль-
    ного клінічного стану матері та дитини.
9.	 Після завершення контакту «шкіра до шкіри» акушерка перекла-
    дає дитину на зігрітий сповивальний столик, здійснює обробку та
клемування пуповини, вимірювання зросту, обводу голови, груд-
   ної клітини, зважування.
10.	Лікар-педіатр-неонатолог, а за його відсутності лікар-акушер-гі-
    неколог перед переведенням дитини і матері в палату спільно-
    го перебування здійснює первинний лікарський огляд новонаро-
    дженого і записує дані огляду в карту розвитку новонародженого
    (додаток 3).
11.	Акушерка (медична сестра) одягає дитині чисті повзуни, соро-
    чечку, шапочку, шкарпетки, рукавички.
12.	Дитина разом з матір’ю накривається ковдрою і переводиться
    в палату спільного перебування з дотриманням умов теплового
    ланцюжка.
                                                           Додаток 1
    Основна мета первинної оцінки стану новонародженого в
    пологовій залі – отримати відповідь на такі питання:
 -	 чи немає вроджених вад розвитку і інших патологічних станів,
    які б вимагали невідкладного обстеження та втручання;
 -	 чи відбулася рання фізіологічна адаптація новонародженого.
    Первинна оцінка стану новонародженого:
           Дихання                          нормальне
          Маса тіла⁄                          >2500
        Термін гестації                    >37 тижнів
                                 Якщо дитина дихає або кричить,
         Серцебиття              має задовільний м′язевий тонус,
                                       ЧСС не вимірюється
   Вроджена вада розвитку⁄                   відсутня
      Пологова травма

                                                          Додаток 2
    Перетинання та клемування пуповини в пологовій залі:
 -	 замінити використані рукавички на стерильні перед тим, як на-
    класти стерильні затискачі на пуповину (приблизно через 1 хви-
    лину після народження дитини);
 -	 перерізати пуповину стерильними ножицями;
-	 через 2 години після народження дитини на пеленальному столі
    накласти одноразову клему на 0,3-0,5 см від пупкового кільця;
 -	 обробка культі пуповини антисептиками, антибіотиками недоцільна.
    Показники адаптації, які необхідно визначити під час пер­
винного лікарського огляду новонародженого:
            Ознаки                         Нормальні межі
Частота серцебиття                 100-160 за хв.
Частота дихання                    30-60 за хв.
                                   рожевий, відсутній центральний
Колір шкіри
                                   ціаноз
Рухи                               активні
М′язевий тонус                     задовільний
Температура новонародженого        36,5-37,50С

Висновок: у разі фізіологічної адаптації новонародженого, яка перебі-
гає в умовах раннього необмеженого контакту матері і дитини, ранньо-
го початку грудного вигодовування, у разі відсутності вроджених вад
розвитку або інших порушень в стані дитини, з урахуванням результа-
тів лікарського огляду, дитину можна вважати здоровою на час огляду.
    Послідовність дій при здійсненні медичного догляду за
дитиною, яка народилась шляхом операції кесаревого розтину:
1.	 Після народження дитина передається лікарем-акушер-гінеколо-
    гом акушерці (медичній сестрі) у стерильну попередньо підігріту
    суху пелюшку.
2.	 Лікар-педіатр-неонатолог здійснює первинну оцінку стану ново-
    народженого.
3.	 Акушерка кладе дитину на сповивальний столик з підігрівом під
    лампу променевого тепла. Проводиться обсушування новона­
    родженого сухою стерильною попередньо підігрітою пелюшкою,
    після чого пелюшка викидається; дитині одягають чисті шапочку
    і шкарпетки; здійснюється клемування пуповини. Ново­ ародже­
                                                           н
    ний вільно пеленається і вкривається ковдрою, після чого перево-
    диться у палату спільного перебування, де знаходиться під спо-
    стереженням медичної сестри.
4.	 У разі проведення операції кесарів розтин із застосуванням епі-
    дуральної анестезії контакт «шкіра до шкіри» здійснюється у па-
    латі спільного перебування за умови задовільного стану матері за
    висновком лікаря-акушер-гінеколога.
5.	 За наявності умов здійснюється контакт «шкіра до шкіри» дитини
    з батьком.
6.	 Перше прикладання до грудей, наступні годування за вимогою
    дитини, догляд за новонародженим у перші дві доби здійснюєть-
    ся за допомогою медичної сестри, родичів.


          Ситуаційні завдання до практичної навички
          Діагностичні критерії вузького тазу

№1. Визначити форму та ступінь звуження таза за результатами
об’єктивного обстеження:
  d. spinarum – 26 cм,
  d. cristarum – 29 cм,
  d. throchanterica – 30 cм,
  con. externa – 18 cм,
  con. vera – 9 cм.

№2. При обстеженні у вагітної Н. основні розміри таза:
 d. spinarum – 26 cм,
 d. cristarum – 29 cм,
 d. throchanterica – 30 cм,
 con. externa – 17 cм,
 con. vera – 8 cм. Визначити форму та ступінь звуження таза за ре-
     зультатами об’єктивного обстеження.

№3. При обстеженні у вагітної П. основні розміри таза:
 d. spinarum – 26 cм,
 d. cristarum – 26 cм,
 d. throchanterica – 31 cм,
 con. externa – 17 cм,
 con. vera – 8 cм. Визначити форму тазу та ступінь звуження таза за
     результатами об’єктивного обстеження.
№.4. При обстеженні у вагітної К. основні розміри таза:
 d. spinarum – 24 cм,
 d. cristarum – 26 cм ,
 d. throchanterica – 28 cм,
 con. externa – 18 cм,
 con. vera – 9 cм. Визначити форму та ступінь звуження таза за ре-
     зультатами об’єктивного обстеження.
№.5. При обстеженні у вагітної Л. основні розміри таза:
 d.spinarum – 24 cм,
 d.cristarum – 26 cм ,
 d.throchanterica – 28 cм,
 con.externa – 18 cм. Визначити форму таза за результатами об’єк­
    тивного обстеження.
№6. При обстеженні у вагітної К. діагностована заглибина в ниж-
ній частині поперекового відділу хребта. При піхвовому досліджен-
ні: в ділянці мису пальпується виступаючий допереду 5-й хребець,
conjugata vera – 6,5 cм. Визначити форму та ступінь звуження тазу за
результатами об’єктивного обстеження.
№7. При зовнішньому огляді вагітної А. діагностовано, що площи-
на входу в малий таз нагадує букву Y, дуга лобкової кістки спалася,
симфіз дзьобоподібно випинається вперед, сідничні кістки, крижі й
куприк випинаються в середину порожнини тазу. Визначити форму
тазу за результатами об’єктивного обстеження.
№8. При обстеженні у вагітної Р. діагностовано викривлення хребта в кри-
жовому відділі, розширення лівої половини таза. Основні розміри таза:
 d. spinarum – 24 cм ,
 d. cristarum – 26 cм,
 d. throchanterica – 28 cм,
 con. externa  – 18 cм. Визначити форму таза за результатами
     об’єктивного обстеження.
№9. При обстеженні у вагітної Л. основні розміри таза:
 d. spinarum – 24 cм,
 d. cristarum – 26 cм ,
 d. throchanterica – 28 cм,
con. externa – 21 cм. Визначити форму таза за результатами об’єк­
    тивного обстеження.
№10. При обстеженні у вагітної Н. основні розміри таза:
 d. spinarum – 26 cм,
 d. cristarum – 29 cм ,
 d. throchanterica – 30 cм,
 con. externa – 18 cм. Визначити форму таза за результатами об’єк­
     тив­ ого обстеження.
         н
№11. При зовнішніх вимірах таза вагітної con. externa – 20 cм, озна-
ки Цангемейстера та Вастена позитивні. Визначити акушерський ді-
агноз за результатами обстеження.
№12. При зовнішніх вимірах таза вагітної встановлено:
 d. spinarum – 26 cм,
 d.cristarum – 29 cм ,
 d.throchanterica – 30 cм,
 con. externa – 20 cм. Визначити форму таза за результатами об’єк­
     тивного обстеження.
№13. При зовнішніх вимірах таза вагітної con. еxterna – 20 cм, перед-
бачувана вага плоду 4100 г, ознака Вастена позитивна. Акушерський
діагноз? План ведення пологів?
№14. При обстеженні у вагітної П. основні розміри таза:
 d. spinarum – 26 cм,
 d. cristarum – 26 cм,
 d. throchanterica – 31 cм,
 con. externa – 17 cм. Визначити форму таза за результатами об’єк­
     тив­ ого обстеження.
         н



         Алгоритм виконання практичної навички
     Схеми медикаментозної корекції аномалій
                пологової діяльності

    Згідно наказу МОЗ України №676, протокол «Аномалії скорот-
ливої діяльності»:
Слабкість пологової діяльності  – характер пологової діяль-
ності, при якому перейми мають недостатню силу і тривалість, про-
міжок часу між ними збільшується, при цьому сповільнюються згла-
джування і розкриття шийки матки та просування голівки плода по
пологових шляхах у першому або другому періоді пологів.
        Лікування
        За відсутності протипоказань застосовують медикаментозні
схеми стимуляції пологової діяльності.
      Умови призначення утеротонічних засобів:
      - відсутність плідного міхура;
      - відповідність розмірів плода і тазу матері.
      Протипоказання до призначення утеротонічних засобів:
 -	   клінічно та анатомічно вузький таз;
 -	   оперована матка;
 -	   аномальні положення та передлежання плода;
 -	   дистрес плода;
 -	   повне передлежання плаценти;
 -	   передчасне відшарування нормально та низько розташованої
      плаценти;
 -	   стріктура піхви;
 -	   відновлений розрив промежини III ступеня;
 -	   дистоція, атрезія, рубцеві зміни шийки матки;
 -	   гіперчутливість .
      Методика введення окситоцину з метою лікування слабкості
пологової діяльності.
      З метою внутрішньовенної інфузії 1мл окситоцину (5 ОД) роз-
чиняють у 500 мл ізотонічного розчину натрію хлориду. Обов’яз­
ко­ е проведення катетеризації ліктьової вени для забезпечення ак-
   в
тивної поведінки роділлі. Починається введення зі швидкістю
6 крапель/  в. (0,5-1,0 мОД/хв). При досягненні ефекту через
­ -8 ­       х
30 хвилин швидкість введення залишається попередньою. У разі від-
сутності ефекту швидкість введення збільшують кожних 30 хвилин
на 6 крапель (0,5 мОД/хв). Максимальна швидкість введення не має
перевищувати 40 крапель у одну хвилину.
Критерієм досягнення регулярної адекватної пологової діяль-
ності без гіперстимуляції матки вважається наявність 4-5 матко-
вих скорочень за 10 хвилин при тривалості скорочень 40-50 сек.
Родопосилення проводиться зі спостереженням за станом плода.
    Методика введення простагландинів з метою лікування
слабкості пологової діяльності.
    Простагландин Е2  – латентна фаза пологів
     Для внутрішньовенної інфузії 0,75  мл (1 ампула) простаглан-
дину Е2 (випускається у вигляді концентрату для інфузій) розчиня-
ють у 500 мл ізотонічного розчину натрію хлориду, вводять крапель-
но. Початкова швидкість інфузії, яку підтримують не менше 30хв.,
складає 5-8 крапель/хв. При досягненні ефекту швидкість введен-
ня залишається попередньою. У разі відсутності ефекту швидкість
введення збільшують кожну годину до отримання ефекту (не більше
25-30 крапель/хв.).
    Простагландин F2a – активна фаза пологів
     Для внутрішньовенної інфузії 5мг простагландину F2a розчиня-
ють у 500 мл ізотонічного розчину хлориду натрію і вводять кра-
пельно зі швидкістю 6-8 крапель в хвилину. Початкова швидкість ін-
фузії, яку підтримують не менше 30 хв., складає 5-8 крапель/хв. При
досягненні ефекту швидкість введення залишається попередньою.
При відсутності ефекту швидкість введення збільшують кожну годи-
ну до отримання ефекту (не більше 25-30 крапель/хв.).
     Ускладнення. Передозування призводить до розвитку гіперто-
нусу матки, скорочення набувають характеру судом, погіршується
матково-плацентарний кровообіг, розвивається гіпоксія плода; зрос-
тає загроза відшарування плаценти, ризик родової травми та хірур-
гічного втручання за невідкладними показаннями.
    Надмірно сильна пологова діяльність
     Надмірно сильна пологова діяльність розвивається раптово.
Сильні перейми відбуваються через короткий проміжок часу, часто-
та скорочень матки більша 5 протягом 10 хвилин, що сприяє швид-
кому та повному розкриттю маткового вічка.
Швидкими вважають пологи, що тривають менше 6 годин
у першонароджуючих і менше 4 годин у повторнонароджуючих,
стрімкими – відповідно менше 4 та 2 годин. Вони призводять до
виникнення травм у матері та плода (глибокі розриви шийки матки,
піхви, промежини, передчасне відшарування нормально розташова-
ної плаценти, гіпотонічна кровотеча, розрив пуповини, крововилив
у головний мозок, кефалогематоми).
     Лікування полягає в немедикаментозному коригуванні сили і
частоти переймів. Роділля повинна лежати на боці, протилежному
позиції плода.
     При розкритті шийки матки менше 6 см та відсутності протипо-
казань, для зменшення інтенсивності пологової діяльності можливе
застосування токолізу β2-адреноміметиками, які покращують матко-
во-плацентарний кровоток та стан плода.
     Для проведення токолізу гексопреналін 25мкг (5мл) розво-
диться у 500 мл ізотонічного розчину натрію хлориду і вводиться
внутрішньовенно крапельно повільно, починаючи з 8 крапель/ хв. до
10-15 крапель/хв., (не перевищувати частоту введення 15-20 кра-
пель/хв.) під спостереженням за активністю перейм.
    Дискоординована пологова діяльність
     Дискоординована пологова діяльність — порушення координа-
ції скорочень різних відділів матки. Клінічна картина характеризу-
ється гіпертонусом нижнього сегменту, нерегулярними, сильними,
різко болючими переймами і нагадує таку при загрозі розриву матки.
     Клінічні ознаки дискоординованої пологової діяльності:
  -	 біль;
  -	 порушення ритму переймів;
  -	 набряк та відсутність динаміки розкриття шийки матки;
  -	 уповільнення або відсутність просування голівки;
  -	 відсутність синхронної хвилі скорочень у різних відділах матки;
  -	 гіпертонус нижнього сегменту матки (зворотний градієнт);
  -	 судомоподібні перейми (тетанія матки);
  -	 дистоція шийки матки.
Лікування проводять залежно від причини дискоординації по-
логової діяльності:
  -	 пролонгована епідуральна анестезія;
  -	 проведення токолізу (гексопреналін 25мкг (5мл) розводиться у
     500 мл ізотонічного розчину натрію хлориду і вводиться вну-
     трішньовенно крапельно повільно, починаючи з 8 крапель/  в. до
                                                               х
     10-15 крапель/хв.) не перевищуючи 15-20 крапель/хв. під спосте-
     реженням за активністю перейм).
     На всіх етапах лікування аномалій пологової діяльності має
проводитись спостереження за станом плода та здійснюватись неме-
дикаментозна профілактика гіпоксії плода (зміна положення тіла ро-
діллі, регуляція дихання).
     У третьому періоді пологів застосовують активну тактику ведення.
     За умови наявності протипоказань до корекції пологової діяль-
ності, при неефективності медикаментозної корекції аномалій поло-
гової діяльності методом розродження є операція кесаревого розтину.
    Прогнозовані ускладнення залежно від типу порушень
                      пологової діяльності
     Гіподинамічна пологова          Гіпердинамічна пологова
            діяльність                        діяльність
Передчасний розрив плідного         Передчасний розрив плідно-
міхура                              го міхура
Випадіння пуповини та дрібних       Передчасне відшарування нор-
частин плода                        мально розташованої плаценти
                                    Гостре порушення матково-
Дистрес плода
                                    плацентарного кровообігу
Аспірація плодом навколоплідних вод Гостра гіпоксія плода
                                    Емболія навколоплідними вода-
Амніохоріоніт у пологах
                                    ми, ДВЗ-синдром, кровотеча.
Підвищена частота кесарево-         Підвищена частота кесарево-
го розтину й інших втручань для     го розтину й інших втручань
розродження                         для розродження
Пологова травма                     Пологова травма
Гіпотонічна кровотеча у ранньому Гіпотонічна кровотеча у ран-
післяпологовому періоді             ньому післяпологовому періоді
Ситуаційні завдання до практичної навички
     Інтерпретація результатів досліджень стану
           фетоплацентарного комплексу

1. Результат доплерометрії: високий діастолічний компонент на до-
плерограмі по відношенню до ізолінії, співвідношення амплітуди
систоли до діастоли, становить не більше 3. Оцінити стан кровопли-
ну в судинах пуповини та стан плода.

2. Результат доплерометрії: зниження діастолічного компоненту на
доплерограмі, співвідношення амплітуди систоли до діастоли, ста-
новить більше 3. Оцінити стан кровоплину в судинах пуповини та
стан плода.

3. Результат доплерометрії: кровоплин у фазі діастоли припиняється
(на доплерограмі відсутній діастолічний компонент). Оцінити стан
кровоплину в судинах пуповини та стан плода.

4. Результат доплерометрії: кровоплин у фазі діастоли набуває зво-
ротного напрямку (на доплерограмі діастолічний компонент нижче
ізолінії). Оцінити стан кровоплину в судинах пуповини та стан плода.

5. Результат БПП за 30 хв. спостереження: нестресовий тест: 5 акце-
лерацій ЧСС амплітудою не менше 15 уд./хв., тривалістю не менше
15 с, пов’язаних із рухами плода. Дихальні рухи плода (ДРП): один
епізод ДРП тривалістю 65 с. Рухова активність плода: 3 генералізо-
ваних рухи. Тонус плода: один епізод розгинання із поверненням у
згинальне положення хребта та кінцівок. Об’єм навколоплідних вод:
вертикальний розмір вільної ділянки вод до 2 см. Оцінити біофізич-
ний профіль плода.

6. Результат БПП за 30 хв. спостереження: нестресовий тест: 3 ак-
целерації ЧСС амплітудою не менше 15 уд./хв., тривалістю не мен-
ше 15 с, пов’язаних із рухами плода. Дихальні рухи плода (ДРП):
один епізод ДРП тривалістю 30 с. Рухова активність плода: 2 генера-
лізованих рухи. Тонус плода: два епізоди розгинань із поверненням
у згинальне положення хребта та кінцівок. Об’єм навколоплідних
вод: води визначаються у матці, вертикальний діаметр вільної ділян-
ки вод 2 см. Оцінити біофізичний профіль плода.

7. Результат БПП за 30 хв. спостереження: нестресовий тест: 1 акце-
лерація за 20 хв. спостереження. Дихальні рухи плода (ДРП): ДРП
тривалістю менше 30 с. Рухова активність плода: 1 генералізований
рух. Тонус плода: кінцівки в розгинальному положенні. Об’єм на-
вколоплідних вод: води визначаються у матці, вертикальний діаметр
вільної ділянки вод 4 см. Оцінити біофізичний профіль плода.

8. Результат БПП за 30 хв. спостереження: нестресовий тест: 5 акце-
лерацій ЧСС амплітудою не менше 15 уд./хв., тривалістю не менше
15 с, пов’язаних із рухами плода. Дихальні рухи плода (ДРП): один
епізод ДРП тривалістю 45 с. Рухова активність плода: 3 генералізо-
ваних рухи. Тонус плода: три епізоди розгинань із поверненням у
згинальне положення хребта та кінцівок. Об’єм навколоплідних вод:
вертикальний розмір вільної ділянки вод до 2 см. Оцінити біофізич-
ний профіль плода.

9. Результат БПП за 30 хв. спостереження: нестресовий тест: 1 акце-
лерація за 20 хв. спостереження. Дихальні рухи плода (ДРП): ДРП
відсутні. Рухова активність плода: 1 генералізований рух. Тонус пло-
да: два епізоди розгинань із поверненням у згинальне положення
хребта та кінцівок. Об’єм навколоплідних вод: води визначаються у
матці, вертикальний діаметр вільної ділянки вод 4 см. Оцінити біо-
фізичний профіль плода.

10. Результат БПП за 30 хв. спостереження: нестресовий тест: 2 ак-
целерації ЧСС амплітудою не менше 15 уд./хв., тривалістю не мен-
ше 15 с, пов’язаних із рухами плода. Дихальні рухи плода (ДРП):
один епізод ДРП тривалістю 35 с. Рухова активність плода: відсутні
генералізовані рухи. Тонус плода: один епізод розгинань із повер-
ненням у згинальне положення хребта та кінцівок. Об’єм навколо-
плідних вод: тісне розташування дрібних частин плода, вертикаль-
ний діаметр вільної ділянки менше 1 см. Оцінити біофізичний
профіль плода.
Алгоритм виконання практичної навички
            Надання невідкладної допомоги
                при акушерській кровотечі

    Згідно наказу №676 від 31.12.2004 «Про затвердження клініч-
них протоколів з акушерства та гінекологічної допомоги» Протокол
«Акушерські кровотечі»:
      Кровотечі у І половині вагітності:
 -	 мимовільний викидень;
 -	 пухирцевий занос;
 -	 позаматкова вагітність (у тому числі шийкова вагітність).
      Кровотечі II половини вагітності:
 -	 передлежання плаценти;
 -	 передчасне відшарування нормально розташованої плаценти;
 -	 розрив матки.
      Кровотечіі під час пологів:
      І період:
 -	   передчасне відшарування нормально розташованої плаценти;
 -	   передлежання плаценти;
 -	   розрив матки;
 -	   розрив шийки матки.
      II період:
 -	   передчасне відшарування нормально розташованої плаценти;
 -	   розрив матки.
      III період:
 -	   патологія прикріплення плаценти;
 -	   защемлення плаценти;
 -	   розрив м’яких тканин пологових шляхів.
      Післяпологова кровотеча:
 -	   гіпотонічна кровотеча;
 -	   затримка частин посліду;
 -	   розрив м’яких тканин пологових шляхів;
 -	   розрив матки;
-	 емболія навколоплодовими водами;
 -	 коагулопатична кровотеча.
    Кровотечі, що не пов’язані з вагітністю:
 -	 поліп шийки матки;
 -	 рак шийки матки.
    Кровотеча зумовлена мимовільним викиднем
Надання невідкладної допомоги:
-	 інструментальне випорожнення матки під внутрішньовенним нарко-
   зом (обов’язкове гістологічне дослідження отриманого матеріалу);
-	 препарати, що скорочуюь матку (10 ОД окситоцину внутрішньо-
   венно крапельно або 0,5 мкг метилергобревіну внутрішньовенно
   або внутрішньом’язово);
-	 при продовженні кровотечі 800 мкг мізопростолу ректально;
-	 відновлення величини крововтрати за показаннями;
-	 антибактеріальна терапія за показаннями.
    Передлежання плаценти
     Передлежання плаценти з кровотечею є терміновим показан-
ням до госпіталізації у стаціонар.
     Тактика лікування залежить від об’єму крововтрати, стану паці-
єнтки та плода, характеру передлежання, терміну вагітності, зрілос-
ті легень плода.
     Принципи ведення пацієнток з передлежанням плаценти
     У разі невеликої крововтрати (до 250 мл), відсутності симпто-
мів геморагічного шоку, дистресу плода, відсутності пологової ді-
яльності, незрілості легень плода при вагітності до 37 тижнів – вичі-
кувальна тактика.
     При припиненні кровотечі – УЗ дослідження, підготовка легень
плода. Мета очікувальної тактики – пролонгування вагітності до тер-
міну життєздатності плода.
     У разі прогресуючої кровотечі, що стає неконтрольованою
(більше 250 мл), супроводжується симптомами геморагічного шоку,
дистресом плода, незалежно від терміну вагітності, стану плода (жи-
вий, дистрес, мертвий) термінове розродження.
Клінічні варіанти:
1.	 Крововтрата (до 250 мл), відсутні симптоми геморагічного
    шоку, дистресу плода, термін вагітності до 37 тижнів:
  -	 госпіталізація;
  -	 токолітична терапія за показаннями;
  -	 прискорення дозрівання легень плода до 34 тижнів вагітності
      (дексаметазон 6 мг через 12 годин протягом 2 діб);
  -	 моніторне спостереження за станом вагітної та плода;
      При прогресуванні кровотечі більше 250 мл  – розродження
шляхом кесаревого розтину.
2.	 Крововтрата значна (більше 250 мл) при недоношеній вагіт-
    ності – незалежно від ступеня передлежання – терміновий кеса-
    рів розтин.
3.	 Крововтрата (до 250 мл) при доношеній вагітності:
      За умови розгорнутої операційної уточнюється ступінь
передлежання.
  -	 у разі часткового передлежання плаценти, можливості досяг-
      нення амніотичних оболонок та головному передлежанні пло-
      да, активних скороченнях матки, виконується амніотомія. При
      припиненні кровотечі пологи ведуться через природні по-
      логові шляхи. Після народження плода – в/м введення 10 ОД
      окситоцину, ретельне спостереження за скороченням матки та
      характером виділень із піхви. При відновленні кровотечі – ке-
      сарів розтин.
  -	 при повному або неповному передлежанні плаценти непра-
      вильному положенні плода (тазове, косе або поперечне) вико-
      нується кесарів розтин;
  -	 при неповному передлежанні, мертвому плоді можлива амніо-
      томія, при припиненні кровотечі – розродження через природні
      пологові шляхи.
4.	 Крововтрата (більше 250 мл) при доношеній вагітності неза-
    лежно від ступеня передлежання – терміновий кесарів розтин.
5. Повне передлежання, діагностоване за допомогою УЗД, без кро-
    вотечі госпіталізація до строку розродження, кесарів розтин у
    терміні 37-38 тижнів.
У ранньому післяпологовому періоді – ретельне спостережен-
ня за станом породіллі. При відновленні кровотечі після операції ке-
саревого розтину та досягненні величини кровотрати більше 1% від
маси тіла – термінова релапаротомія, екстирпація матки без додат-
ків, за необхідністю – перев’язка внутрішніх клубових артерій спе-
ціалістом, який володіє цією операцією.
      Відновлення величини крововтрати, лікування геморагічного
шоку і ДВЗ-синдрому проводиться за показами.
      Передчасне відшарування нормально розташованої плаценти
      Необґрунтовано запізніле розродження призводить до загибелі
плода, розвитку матки Кувелера, масивної крововтрати, геморагіч-
ного шоку та ДВЗ-синдрому, втрати репродуктивної функції жінки.
1.	 У разі прогресуючого передчасного відшарування плаценти під
    час вагітності або у першому періоді пологів, при появі симпто-
    мів геморагічного шоку, ДВЗ-синдрому, ознак дистресу плода,
    незалежно від терміну вагітності, – термінове розродження шля-
    хом кесаревого розтину. При наявності ознак матки Кувелера  –
    екстирпація матки без придатків.
2.	 Відновлення величини крововтрати, лікування геморагічного
    шоку та ДВЗ-синдрому.
3.	 У разі непрогресуючого відшарування плаценти можливе динаміч-
    не спостереження при недоношеній вагітності до 34 тижнів (прове-
    дення терапії, спрямованої на дозрівання легень плода), у закладах,
    де є цілодобове чергування кваліфікованих лікарів акушер-гінеко-
    логів, анестезіологів, неонатологів. Проводиться моніторне спо-
    стереження за станом вагітної та плода, КТГ, УЗД в динаміці.
                   Особливості кесаревого розтину:
-	   передуюча операції амніотомія (якщо є умови);
-	   обов’язкова ревізія стінок матки (особливо зовнішня поверхня) з
     метою виключення матково-плацентарної апоплексії;
-	   у разі діагностування матки Кувелера  – екстирпація матки без
     придатків;
-	   при невеликій площі апоплексії (2-3 вогнища малого діаметру
     1-2 см, або одне – до 3 см) і здатності матки до скорочення, від-
сутності кровотечі та ознак ДВЗ-синдрому, при необхідності збе-
   регти дітородну функцію (перші пологи, мертвий плід), консилі-
   умом вирішується питання про збереження матки. Хірурги
   спостерігають деякий час (10-20 хв.) при відкритій черевній по-
   рожнині за станом матки та при відсутності кровотечі дренують
   черевну порожнину для контролю гемостазу. Така тактика, у ви-
   няткових випадках, допускається лише у закладах, в яких наявне
   цілодобове чергування лікарів акушер-гінеколога, анестезіолога.
-	 у ранньому післяопераційному періоді – ретельне спостереження
   за станом породіллі.
     Тактика при відшаруванні плаценти наприкінці І або
у П періодах:
-	 негайна амніотомія, якщо навколоплодовий міхур цілий;
-	 при головному передлежанні плода  – накладання акушерських
   щипців;
-	 при тазовому передлежанні – екстракція плода за тазовий кінець;
-	 при поперечному положенні другого з двійні плода виконується
   акушерський поворот з екстракцією плода за ніжку. У деяких ви-
   падках більш надійним буде кесарський розтин;
-	 ручне відділення плаценти та видалення посліду;
-	 скорочуючі засоби – в/в 10 ОД окситоцину, при відсутності ефек-
   ту 800 мкг мізопростолу (ректально);
-	 ретельне динамічне спостереження у післяпологовому періоді;
-	 відновлення величини крововтрати, лікування геморагічного
   шоку та ДВЗ-синдрому.
    Емболія амніотичною рідиною
      Невідкладна допомога при емболії амніотичною рідиною про-
водиться бригадою лікарів у складі акушера-гінеколога та лікаря-
анестезіолога. Необхідні консультації кардіолога, невропатолога, су-
динного хірурга.
      Лікувальна тактика:
1.	 Під час вагітності або пологів – термінове розродження.
2.	 Лікування кардіо-пульмонального шоку або проведення серцево-
    легеневої реанімації.
3.	 Корекція коагулопатії.
4.	 Вчасне і в повному обсязі хірургічне втручання при кровотечі.
    Профілактика та лікування поліорганної недостатності.
    Першочергові заходи:
1.	 При зупинці кровообігу – проведення серцево-легеневої реанімації.
2.	 При наростанні ознак дихальної недостатності  – інтубація тра-
    хеї та ШВЛ 100 % киснем з позитивним тиском в кінці видоху +
    5 см вод ст.
3.	 Пункція та катетеризація підключичної або внутрішньої яремної
    вени з обов’язковим контролем ЦВТ. Набрати 5 мл крові для дослі-
    дження коагулограми та наявності елементів навколоплодових вод.
4.	 Катетеризація сечового міхура постійним катетером.
      Моніторинг життєво-важливих функцій повинен включати:
  -	 вимірювання AT кожні 15 хв.;
  -	 ЦВТ;
  -	 ЧСС;
  -	 ЧД;
  -	 пульсоксиметрія;
  -	ЕКГ;
  -	 погодинний діурез та загальний аналіз сечі;
  -	 термометрія;
  -	 рентгенографія органів грудної порожнини;
  -	 загальний аналіз крові, Ht; тромбоцити;
  -	 коагулограма;
  -	 кислотно-основний стан та гази крові;
  -	 біохімічне дослідження крові та вміст електролітів.
    Подальша лікувальна тактика:
1.	 Якщо ЦВТ < 8 см вод. ст. – корекція гіповолемії шляхом введен-
    ня колоїдів та кристалоїдів у співвідношенні 2:1 зі швидкістю
    5-20 мл/хв. у залежності від рівня AT. У випадку виникнення кро-
    вотечі до складу інфузійної терапії включають свіжозаморожену
    плазму. Не використовувати 5% альбумін.
2.	 При ЦВТ > 8 см вод. ст. проводиться інотропна підтримка: дофа-
    мін 5-10 мкг/кг/хв.) або добутамін (5 – 25 мкг/кг/хв.). Починають
інотропну терапію з мінімальних доз, а при відсутності ефекту –
    поступово їх збільшують. Бажано використовувати поєднане вве-
    дення дофаміну (2-5 мкг/кг/хв) та добутаміну (10 мкг/кг/хв.).
3.	 Одночасно з симпатоміметичною терапією застосовують глю-
    кокортикоїди: преднізолон до 300-400 мг або гідрокортизон  –
    1000‑1500 мг.
4.	 Боротьба з коагулопатією.
      Запобігання розвитку інфекційних ускладнень.
      Критерії ефективності інтенсивної терапії:
 -	   підвищення серцевого викиду;
 -	   ліквідація артеріальної гіпотензії;
 -	   усунення ознак периферичної вазоконстрикції;
 -	   нормалізація діурезу > 30 мл/год.;
 -	   нормалізація показників гемостазу;
 -	   зменшення ознак дихальної недостатності.
      Критерії припинення ШВЛ:
 -	   стабілізація клінічного стану хворої;
 -	   частота дихання менше 30 за хвилину;
 -	   інспіраторне зусилля менше –15 см вод. ст.;
 -	   PaO2/FiO2 > 80 мм рт.ст./0,4 при ПГКВ 7 см вод. ст.;
 -	   можливість пацієнтки самостійно подвоїти об’єм видихуваного
      повітря за хвилину.
      Кровотеча у послідовому та післяпологовому періодах
    Післяпологова кровотеча – це втрата крові 0,5% або більше від
маси тіла після народження плода.
     Кровотеча, пов’язана з затримкою, патологією прикріплення
або защемленням плаценти

      Алгоритм надання медичної допомоги:
1.	 Катетеризація периферичної або центральної вени залежно від
    величини крововтрати та стану жінки.
2.	 Випорожнення сечового міхура.
3.	 Перевірка ознак відділення плаценти та виділення посліду руч-
    ними прийомами.
4.	 У разі защемлення посліду зовнішній масаж матки, зовнішні при-
    йоми видалення посліду.
5.	 У разі затримки частин плаценти або оболонок – ручне обстежен-
    ня порожнини матки під внутрішньовенним наркозом.
6.	 У разі порушення механізму відокремлення плаценти та відсут-
    ності кровотечі – очікування протягом 30 хв. (у вагітних із гру-
    пи ризику – 15 хв.); ручне відокремлення плаценти та виділення
    посліду.
7.	 При появі кровотечі – термінове ручне відокремлення плаценти
    та виділення посліду під в/в наркозом.
8.	 Введення утеротонічних засобів  – 10-20 ОД окситоцину в/в на
    400 мл фізіологічного розчину в/в крапельно.
9.	 За умови істинного прирощення або пророщення плаценти – ла-
    паротомія, екстирпація матки без придатків.
10. Оцінка величини крововтрати та відновлення величини ОЦК.
    Рання (первинна) післяпологова кровотеча
    Кровотеча може бути 2-х видів:
-	 кровотеча розпочинається відразу після народження дитини, ма-
   сивна (за декілька хвилин > 1000 мл); матка залишається гіпото-
   нічною, не скорочується, швидко розвивається гіповолемія, гемо-
   рагічний шок;
-	 кровотеча розпочинається після скорочення матки, кров виділя-
   ється невеликими порціями, крововтрата збільшується поступо-
   во. Характерне чергування гіпотонії матки з відновленням тону-
   су, зупиненням та продовженням кровотечі.
    Алгоритм надання медичної допомоги:
1. Загальний огляд породіллі:
  -	 оцінка величини крововтрати доступними методами;
  -	 оцінка стану породіллі: скарги, AT, частота пульсу, колір шкіри
     та слизових оболонок, кількість сечі, наявність та стадія гемо-
     рагічного шоку.
2. Термінове лабораторне обстеження:
-	 визначення рівня гемоглобіну, гематокрит;
  -	 коагулограма (кількість тромбоцитів, протромбіновий індекс,
      рівень фібриногену, час згортання крові);
  -	 група крові та резус фактор;
  -	 біохімічні обстеження за показаннями.
3.	 Катетеризація периферичної або центральної вени залежно від
    величини крововтрати та стану жінки.
4.	 Випорожнення сечового міхура
5.	 Початок або продовження введення утеротоніків: 10-20 ОД окси-
    тоцину в/в на 400 мл фізіологічного розчину.
6.	 Проведення ручного обстеження порожнини матки під внутріш-
    ньовенним наркозом (оцінка цілісності стінок матки, особливо лі-
    вої стінки матки, видалення згустків крові або залишків плаценти
    чи оболонок).
7.	 Огляд пологових шляхів та відновлення їх цілісності.
8.	 Зовнішній масаж матки.
9.	 У разі продовження кровотечі додатково вводять 800 мкг мізо-
    простолу ректально.
10.	 ідновлення ОЦК та крововтрати.
    В
11.	У разі відновленні кровотечі та величині крововтраті 1,5% і біль-
    ше від маси тіла – оперативне лікування : екстирпація матки без
    придатків, за умови продовження кровотечі – перев’язка внутріш-
    ніх клубових артерій фахівцем, що володіє цією операцією.
12.	 ри підготовці до оперативного лікування з метою зменшен-
    П
    ня крововтрати тимчасова бімануальна зовнішня або внутрішня
    компресія матки.
13.	 ри продовженні кровотечі після екстирпації матки – туга тампо-
    П
    нада черевної порожнини та піхви (до зупинки кровотечі черевну
    порожнину не зашивати).
    Післяпологова вторинна (пізня) кровотеча
     Найчастіше пізня післяпологова кровотеча виникає на 7-12 дні
після пологів.
    Алгоритм надання медичної допомоги:
1.	 Оцінка величини крововтрати доступними методами.
2.	 Катетеризація периферичної або центральної вени.
3.	 Інструментальна ревізія порожнини матки під в/в наркозом.
4.	 Внутрішньовенне введення утеротоніків (окситоцину 10-20 ОД
    на фізіологічному розчині – 400,0 або 0,5 мкг метилергометрину).
5.	 У разі продовженні кровотечі – мізопростол 800 мкг ректально.
6.	 Відновлення об’єму ОЦК.
7.	 При крововтраті >1,5% маси тіла – лапаротомія, екстирпація мат-
    ки, за умови продовження кровотечі – перев’язка внутрішніх клу-
    бових артерій фахівцем, який володіє цією операцією.
      Порушення згортання крові (післяпологова афібрнногене-
мія, фібриноліз):
  -	 відновлення об’єму ОЦК;
  -	 корекція гемостазу.


        Алгоритм виконання практичної навички
    Надання невідкладної допомоги при тяжких
              формах прееклампсії

Згідно наказу №676 від 31.12.2004 «Про затвердження клічних
протоколів з акушерської та гінекологічної допомоги» протокол
«Гіппертензивні розлади під час вагітності»:
    Прееклампсія середньої тяжкості
1. Госпіталізація .
  -	 При терміні гестації 37 тижнів і більше – планова госпіталізація
      вагітної до стаціонару ІІ рівня для розродження.
  -	 При терміні вагітності менше 37 тижнів‚ прогресуванні прее-
      клампсії або порушенні стану плода – госпіталізація вагітної до
      стаціонару ІІІ рівня.
2.	 Первинне лабораторне обстеження: загальний аналіз крові‚ ге-
    матокрит‚ кількість тромбоцитів‚ коагулограма‚ АлАТ і АсАТ‚
    група крові та резус-фактор (у разі відсутності точних відомос-
    тей)‚ загальний аналіз сечі‚ визначення добової протеїнурії‚ креа-
    тиніну‚ сечовини‚ сечової кислоти плазми‚ електроліти (натрій та
    калій)‚ оцінка стану плода.
3.	 Охоронний режим  – напівліжковий‚ обмеження фізичного та
    пси­ ічного навантаження.
        х
4.	 Раціональне харчування: їжа з підвищеним вмістом білків‚ без
    обмеження солі та води‚ вживання продуктів‚ які не викликають
    спраги.
5.	 Комплекс вітамінів та мікроелементів для вагітної‚ за необхід-
    ності – препарати заліза.
6.	 При діастолічному АТ >100 мм рт.ст. – призначення гіпотензив-
    них препаратів (метилдофа по 0,25-0,5 г 3-4 рази на добу‚ макси-
    мальна доза – 3 г на добу; за необхідності додають ніфедипін по
    10 мг 2-3 рази на добу‚ максимальна добова доза-100 мг).
7.	 При терміні вагітності до 34 тижнів призначають кортикостероїди
    для профілактики респіраторного дистрес-синдрому (РДС)  –
    дексаметазон по 6 мг через 12 год. чотири рази впродовж 2 діб.
8.	 Дослідження проводять із встановленою кратністю динамічного
    спостереження показників:
  -	 контроль АТ – кожні 6 годин першої доби‚ надалі – двічі на добу;
  -	 аускультація серцебиття плода кожні 8 годин;
  -	 аналіз сечі – щодоби;
  -	 добова протеїнурія – щодоби;
  -	 гемоглобін‚ гематокрит‚ коагулограма‚ кількість тромбоцитів‚
      АлАТ креатинін‚ сечовина – кожні три дня;
  -	 моніторинг стану плода: кількість рухів за 1 годину‚ частота
      серцевих скорчень – щодня;
  -	 оцінка біофізичного профілю плода (за показаннями);
  -	 кардіотокографія (за показаннями).
9.	 При прогресуванні прееклампсії або погіршенні стану плода роз-
    починають підготовку до розродження:
  -	 підготовка пологових шляхів у разі «незрілої» шийки матки –
      простагландини Е (місцево).
10. Розродження.
  •	 Метод розродження у будь-якому терміні гестації визначається
      готовністю пологових шляхів або станом плода.
  •	 За умови неефективності проведеної підготовки пологових шля-
      хів простагландинами проводять операцію кесаревого розтину.
•	 Якщо шийка матки достатньо зріла‚ проводять родостимуля-
      цію, пологи ведуть через природні пологові шляхи.
11.	Перехід до ведення вагітної за алгоритмом тяжкої прееклампсії
    здійснюють у випадках наростання хоча б однієї з наступних ознак:
  -	 діастолічний АТ >110 мм рт.ст.;
  -	 головний біль;
  -	 порушення зору;
  -	 біль у епігастральній ділянці або правому підребер’ї;
  -	 ознаки печінкової недостатності;
  -	 олігурія (< 25 мл/год);
  -	 тромбоцитопенія (<100 10/л)
  -	 ознаки ДВЗ-синдрому;
  -	 підвищення активності АлАТ та АсАТ.

      Тяжка прееклампсія
1.	 Госпіталізація .
  -	Хвору госпіталізують до відділення анестезіології та інтенсивної
      (ВАІТ) стаціонару ІІІ рівня для оцінки ступеня ризику вагітності
      для матері та вибору методу розродження протягом 24 годин.
  -	 Виділяють індивідуальну палату з інтенсивним цілодобовим
      спостереженням медичного персоналу.
2.	 Негайні консультації терапевта, невропатолога‚ окуліста.
3.	 Катетеризують периферичну вену для тривалої інфузійної те-
    рапії‚ за необхідності контролю ЦВТ  – центральну вену‚ для
    контролю погодинного діурезу – сечовий міхур; за показаннями –
    трансназальна катетеризація шлунка.
4.	 Первинне лабораторне обстеження: загальний аналіз крові‚ ге-
    матокрит‚ кількість тромбоцитів‚ коагулограма‚ АлАТ та АсАТ;
    група крові та резус-факгор (за відсутності); загальний аналіз
    сечі‚ визначення протеїнурії‚ креатиніну‚ сечовини‚ загальний бі-
    лок‚ білірубін та його фракакції, електроліти.
5.	 Ретельне динамічне спостереження:
  -	 контроль АТ – щогодини;
  -	 аускультація серцебиття плода – кожні 15 хвилин;
  -	 аналіз сечі – кожні 4 години;
-	 контроль погодинного діурезу (катетеризація сечового міхура
     катетером Фалея);
  -	 гемоглобін‚ гематокрит‚ кількість тромбоцитів‚ функціональні
     печінкові іроби‚ креатинін плазми – щодоби;
  -	 моніторинг стану плода: кількість рухів за 1 годину‚ частота
     серцевих скорочень – щодня‚ за можливості – допплерометрич-
     ний контроль кровообігу у судинах пуповини‚ судинах мозку
     плода‚ плаценті та фетоплацентарному комплексі;
  -	 оцінка об’єму навколоплодових вод та біофізичного профі-
     лю плода  – за показаннями; тест на відсутність стресу пло-
     да – при погіршенні показників щоденного моніторингу плода і
     обов’язково перед розродженням (оцінка стану серцевої діяль-
     ності плода за допомогою фетального монітору).
6.	 Лікування:
  -	 Охоронний режим (суворий ліжковий)‚ виключення фізичного
     та психічного напруження.
  -	 Комплекс вітамінів для вагітної‚ за необхідності – мікроелементів.
  -	 При терміні вагітності до 34 тижнів – кортикостероїди для про-
     філактаки РДС- дексаметазон по 6 мг через 12 год. чотири рази
     впродовж 2 діб.
  -	 У разі необхідності проводять підготовку пологових шляхів.
  -	 Тактика ведення активна з розродженням у найближчі 24 годи-
     ни з моменту встановлення діагнозу. Вичікувальна тактика в
     усіх випадках тяжкої прееклампсіі не рекомендується.
  -	 Антигіпертензивна терапія:
     •	 Лікування артеріальної гіпертензії не є патогенетичним‚ але
        необхідне для матері та плода. Зниження АТ має на меті по-
        передження гіпертензивної енцефалопатії та мозкових кро-
        вовиливів. Слід прагнути довести АТ до безпечного рівня
        (150/90-160/100 мм рт.ст.‚ не нижче!)‚ який забезпечує збере-
        ження адекватного мозкового та плацентарного кровотоку.
     •	 Швидке і різке зменшення рівня АТ може викликати погір-
        шення стану матері та плода.
     •	 Антигіпертензивну терапію проводять при підвищенні діа-
        столічного тиску > 110 мм рт.ст. разом з магнезіальною тера-
        пією. Попередньо слід відновити ОЦК.
•	 Лабеталол застосовують спочатку внутрішньовенно 10 мг
   через 10 хвилин‚ за відсутності адекватної реакції (діастоліч-
   ний АТ залишився вище 110 мм рт.ст.) – додатково ще 20 мг
   препарату‚ АТ контролюють кожні 10 хвилин‚ і якщо діасто-
   лічний тиск лишається вище 110 мм рт.ст‚ вводять 40 мг ла-
   беталолу (максимально до 300 мг).
•	 За відсутності лабеталолу можливе застосування ніфедипі-
   ну 5-10 мг під язик. Якщо ефект відсутній‚ то через 10 хви-
   лин необхідно дати ще 5 мг під язик. Слід пам’ятати‚ що на
   фоні введення сульфату магнію ніфедипін може призвести
   до швидкого розвитку гіпотензїї.
•	 Для зниження АТ при тяжкій прееклампсії застосовують
   гідра­ азин: 20 мг (1 мл) препарату розчиняють у 20 мл 0,9%
         л
   розчину хлориду натрію вводять повільно внутрішньовенно
   по 5 мл (5 мг гідралазину) кожні 10 хвилин доки діастоліч-
   ний АТ не знизиться до безпечного рівня (90-100 мм рт.ст).
   За необхідністю повторюють внутрішньовенне введення гі-
   дралазину по 5-10 мг щогодини внутрішньом’язово кожні
   2 години.
•	 Метилдофу для лікування тяжкої прееклампсії застосову-
   ють рідше: препарат має відстрочену дію (ефект настає че-
   рез 4 години)‚ застосовують дози 1,0-3,0 г на добу як моноте-
   рапію або у комбінації – 0,5 мг/кг/добу. У разі недоношеної
   вагітності добова доза метилдофи не повинна перевищувати
   2,0 г‚ бо це може призвести до розвитку меконіальної непро-
   хідності у недоношених новонароджениx.
•	 Як антигіпертензивний засіб у хворих з тяжкою преекламп-
   сією можна застосовувати клонідин: 0,5-1 мл 0,01% розчину
   внутрішньовенно чи внутрішньом’язово або 0,15-0,2 мг під
   язик 4-6 разів на день.
•	 За умови можливості дослідження типу гемодинаміки антигі-
   пертензивну терапію проводять з його ураxуванням. У разі гі-
   перкінетичного типу доцільно застосовувати комбінацію ніфе-
   дипіном‚ при гіпокінетичному – клонідин + ніфедипін на фоні
   відновлення ОЦК; при еукінетичному – метилдофа + ніфедипін.
•	 Як антиконвульсант з одночасною антигіпертензивною дією
       використовують сульфат магнію‚ що є препаратом вибору
       для профілактики та лікування судом‚ які у госпіталізова-
       них жінок виникають на тлі недостатнього лікування тяжкої
       прееклампсії.
      Магнезіальна терапія
      Магнезіальна терапія – це болюсне введення 4 г сухої речовини
магнію з подальшою безперервною внутрішньовенною інфузією зі
швидкістю, яка визначається станом хворої.
      Магнезіальну терапію починають з моменту госпіталізації,
коли діастолічний АТ > 130 мм рт.ст.
      Мета магнезіальної терапії – підтримка концентрації іонів кро-
ві вагітної на рівні‚ потрібному для профілактики судом.
      Стартову дозу (дозу насичення)  – 4 г сухої речовини (роз-
чину сульфату магнію) вводять шприцом дуже повільно протягом
15 хвилин (у разі еклампсії – протягом 5 хвилин). Зважаючи на те‚
що концентрований розчин сульфату магнію може викликати значне
подразнення стінки (аж до некрозу)‚ стартову дозу сульфату маг-
нію розчиняють в 0,9% розчині хлориду натрію чи розчині Рінгера-
Локка. Для цього у стерильний флакон з 34 мл розчину вводять 4 г
магнію сульфату (16 мл 25%-го розчину).
      Підтримуючу терапію стандартно починають з дози 1 г су-
хої речовини сульфату магнію на годину. За такої швидкості введен-
ня концентрація магнію у сироватці крові досягне 4-8 ммоль/л (тера-
певтична концентрація) через 18 годин. При введенні зі швидкістю
2 г/год – через 8 годин‚ а при швидкості 3 г/год – через 2 години.
      Наведені швидкості введення сульфату магнію можливі тільки
за умови нормального діурезу (не менше 50 мл/год)‚ у разі навіть не-
значної олігурії швидкість введення необхідно зменшити‚ постійно
проводячи моніторинг рівня магнію у плазмі крові.
      Розчин для підтримуючої терапії сульфатом магнію готують та-
ким чином: 7,5 г сульфату магнію (30 мл 25 %-го розчину) вводять
у флакон‚ що містить 220 мл 0,9 % розчину хлориду натрію чи роз-
чину Рінгера-Локка. Отриманий 3,33% розчин сульфату магнію не-
обхідно вводити через допоміжну лінію крапельниці (паралельно ін-
фузійній терапії). Швидкість введення розчину підбирають згідно зі
станом вагітної – від 1 г/год (10-11крапель) до 2 г/год‚ (22 краплі/хв.)
або 3 г/год (33 краплі/xв). У таблиці зазначено швидкість введення
і відповідну дозу сульфату магнію в перерахунку на суху речовину.
                                                               Таблиця
     Швидкість введення 3,33% розчину сульфату магнію
   Доза сульфату магнію         Швидкість введення
   у перерахунку на суху
         речовину             мл/год         крапель/хв
           1 г/год                   33,33                10-11
          1,5 г/год.                    50                16-17
           2 г/год                    66,66                22
           3 г/год                     100                 33
           4 г/год                   133,33                44
      Робочий розчин сульфату магнію вводять одночасно з усіма роз-
чинами‚ необхідними для проведення інфузійної терапії у пацієнтки.
      Загальна кількість рідини‚ що вводиться‚ становить від 75 до
125 мл за годину і не повинна перевищувати 2500-3000 мл за добу
(35 мл/кг) (з урахуванням рідини‚ що вводиться з сульфатом магнію‚
і випитої рідини).
      Для виконання процедури використовують два флакони – один
з 250 мл 3,33% розчину сульфату магнію‚ інший – з інфузійним се-
редовищем. Крапельниці‚ що виходять з цих флаконів‚ з’єднують
між собою колектором чи голкою. При цьому основною є лінія з ін-
фузійним середовищем‚ а лінія із сульфатом магнію повинна іти до
неї‚ а не навпаки.
     Рішення щодо зміни швидкості введення сульфату магнію
(збільшення або зменшення дози) чи припинення магнезіальної тера-
пії приймають на підставі оцінки показників сироваткового магнію
або у разі появи клінічних симптомів токсичності сульфату магнію
(зниження частоти дихання до 14 і менше за хвилину‚ пригнічення
колінних рефлексів‚ розвиток АV-блокади).
     Достатність дози сульфату магнію визначається рівнем його у
сироватці крові у перші 4-6 годин. Якщо немає можливості прово-
дити контроль‚ сироваткового магнію‚ погодинно ретельно оціню-
ють наявність/відсутність клінічних симптомів токсичності судьфа-
ту магнію‚ що документується в історії хвороби.
      Ознаки магнезіальної інтоксикації можливі навіть на фоні те-
рапевтичних концентрацій магнію у плазмі крові за умови комбінації
з іншими препаратами особливо з блокаторами кальцієвих каналів.
      3 появою ознак токсичності сульфату магнію призначають глю-
конат кальцію (10 мл 10%-го розчину) в/в‚ який завжди повинен зна-
ходитися біля ліжка хворої.
      Моніторинг стану вагітної під час проведення терапії суль-
фатом включає:
   -	 вимірювання АТ кожні 20 хв.;
   -	 підрахунок ЧСС;
   -	 спостереження за частотою та характером дихання (ЧД має
      бути не менше 14 за 1 хв.);
   -	 визначення сатурації О2 (не нижче 95%);
   -	 кардіомоніторний контроль;
   -	ЕКГ;
   -	 перевірка колінних рефлексів кожні 2 год.;
   -	 контроль погодинного діурезу (має бути не менше 50 мл/год.);
   -	 симптоми наростання тяжкості прееклампсії: головний біль‚
      порушення зору (двоїння предметів‚ «мерехтіння мушок» в
      очах)‚ біль у епігастрії;
   -	 симптоми можливого набряку легенів: тяжкість в грудях‚ ка-
      шель з мокротинням чи без нього‚ задуха‚ підвищення ЦВТ‚
      поява крепітації чи хрипів при аускультації легенів‚ зростання
      ЧСС та ознак гіпоксії‚ порушення свідомості;
   -	 стан плода (аускультація серцебиття щогодини‚ фетальний
      моніторинг).
      Магнезіальну терапію проводять протягом 24-48 годин після
пологів разом із симптоматичним лікуванням. Слід пам’ятати‚ що
застосування сульфату магнію під час пологів та у ранньому після-
пологовому періоді знижує скоротливу активність матки.
      Критерії закінчення магнезіальної терапії:
   -	 припинення судом;
-	 відсутність симптомів підвищеної збудливості ЦНС (гіперто-
     нус‚ судомна готовність);
  -	 стійке зниження діастолічного артеріального тиску (90-100 мм рт. ст.)
  -	 нормалізація діурезу (> 50 мл/год).
     Протипоказання до магнезіальної терапії:
  -	 гіпокальціємія;
  -	 пригнічення дихального центру;
  -	 артеріальна гіпотензія;
  -	 кахексія.
     За відсутності сульфату магнію можливе використання діазепа-
му – існує високий ризик неонатального пригнічення дихання (діа-
зепам вільно проникає крізь плацентарний бар’єр). Методику вико-
ристання діазепаму навведено у таблиці.
                                                                Таблиця
     Схема застосування діазепаму при тяжкій прееклампсії
                             та еклампсії
 Стартова       10 мг (2 мл) внутрішньовенно протягом 2 хвилин в
 доза           10 мл 0,9% розчину хлориду натрію.
                Якщо судоми відновились або не припинилися –
                повторити стартову дозу.
                При перевищенні дози 30 мг за 1 годину може ви-
                никнути пригнічення або зупинка дихання у хворої!
 Підтримуюча 40 мг розчиняють у 500 мл 0,9% розчину хлориду на-
 доза           трію або розчині Рінгера і вводять внутрішньовенно
                зі швидкістю 22 мл/год (6-7 крапель за хвилину).
                Якщо є можливість введення шприцевим дозато-
                ром‚ встановлюють швидкість 1,5-1,75 мг діазепаму
                за годину. За необхідності добову дозу можна підви-
                щити до 80 мг. Можливе внутрішньом’язове введен-
                ня препарату по 10 мг через кожні 3-4 години.
 Ректальне      За неможливості забезпечити внутрішньовенне
 введення       введення 20 мг діазепаму необхідно розчинити у
                10 мл 0,9% розчину хлориду натрію‚ ввести шприц
                з розчином до прямої кишки на половину його до-
                вжини та вприснути його вміст. Після цього стис-
                кають сідниці і утримують їх у такому положенні
                10хв. Також можливе введення розчину діазепаму у
                пряму кишку через катетер.
Інфузійна терапія
      Умовою адекватної інфузійної терапії є суворий контроль
об’єму введеної і випитої рідини та діурезу. Діурез має бути не мен-
ше 60 мл/год.
      Загальний об’єм рідини‚ що вводиться‚ має відповідати добо-
вій фізіологічній потребі жінки (у середньому 30-35 мл/кг) з дода-
ванням об’єму фізіологічних втрат (крововтрата тощо).
      Швидкість введення рідини не повинна перевищувати 85 мл/  од‚
                                                                 г
або годинний діурез +30 мл/год.
      Препаратами вибору інфузійної терапії до моменту розроджен-
ня є ізотонічні сольові розчини (Рінгера‚ КаСІ 0,9%).
      У разі необхідності відновлення ОЦК оптимальними препара-
тами є розчин гідроксиетилкрохмалю 6% або 10%. Гідрокси­ тил­  е
крох­ а­ і або декстрани слід вводити разом з кристалоїдами у спів-
     м л
відношенні 2:1.
      До інфузійно-трансфузійної програми доцільно включати до-
норську свіжозаморожену плазму для ліквідації гіпопротеїнемії
(показники білка плазми < 55 г/л), нормалізації співвідношення ан-
тикоагулянти/прокоагулянти‚ що є профілактикою кровотеч у поло-
гах і післяпологовому періоді.
      Введення розчинів альбуміну (особливо 5%) є недоцільним‚
оскільки внаслідок специфічної селективної альбумінурії він швид-
ко виводиться‚ що й зумовлює короткочасність корекції гіповолемїї і
гіпо­ ротеїнемїї при тяжких формах прееклампсїї. У разі необхіднос-
    п
ті альбумін краще використовувати у вигляді 20% розчинів (потрі-
бен менший об’єм) у сполученні з кристалоїдами‚ зазвичай у спів-
відношенні 1:1.
      Компонентом інфузійної терапії тяжкої прееклампсії можуть
бути декстрани‚ які ефективно підвищують ОЦК‚ поліпшують мі-
кроциркуляцію; їх доза не повинна перевищувати 10 мл/кг/добу‚
оскільки це може призвести до гіпокоагуляції.
      Не використовують гіпоосмолярні розчини – 5% і 10% розчи-
ни глюкози а також їх суміші з електролітами («поляризуючі сумі-
ші»)‚ оскільки вони викликають гіпоглікемію у плода‚ посилюють
накопичення лактату в мозку, погіршуючи неврологічний прогноз у
разі еклампсії. До введення розчинів глюкози хворій на тяжку пре-
еклампсію вдаються лише за абсолютними показаннями: гіпогліке-
мія‚ гіпернатріємія та гіпертонічна дегідратація‚ іноді – у хворих на
цукровий діабет для профілактики гіпоглікемії.
    Тактика розродження
     За умови готових пологових шляхів проводять амніотомію з на-
ступним призначенням родозбудження окситоцином.
     Розродження проводять з урахуванням акушерської ситуації.
Перевагу віддають пологам через природні пологові шляхи з адекват-
ним знеболенням (епідуральна анестезія або інгаляція закисом азоту).
     За умови неготової шийки матки та відсутності ефекту від під-
готовки простагландинами‚ або у разі прогресування гіпертензії‚ за-
грози судомного нападу погіршення стану плода розродження про-
водять шляхом операції кесаревого розтину.
     Показанням до планового кесаревого розтину у разі тяжкої
прееклампсії є прогресування прееклампсії або погіршення стану
плода у вагітної з незрілими пологовими шляхами.
     При погіршенні стану вагітної або плода у другому періоді по-
логів накладають акушерські щипці або проводять вакуум-екстра-
кцію плода на фоні адекватного знеболення.
     У третьому періоді пологів – утеротонічна терапія з метою про-
філактики кровотечі (окситоцин внутрішньовенно краплинно).
     Метилергометин не застосовують !
     Після пологів лікування прееклампсії продовжують залежно
від стану жінки‚ клінічної симптоматики та лабораторних показни-
ків. Необхідні моніторинг і антигіпертензивна терапія. Дози анти-
гіпертензивних препаратів поступово зменшують‚ але не раніше‚
ніж через 48 годин після пологів. Якщо жінка отримувала два чи
більше антигіпертензивних препаратів – один препарат відміняють.
Магнезіальна терапія триває не менше 24 годин після пологів або
після останнього нападу судом.
    Прееклампсія‚ встановлена у післяпологовому періоді
    Призначають охоронний режим‚ контроль АТ‚ збалансоване
харчування.
Лабораторне обстеження: загальний аналіз крові (гемоглобін
гематокрит‚ кількість тромбоцитів) та сечі‚ біохімічне дослідження
крові (АлАТ та АсАТ‚ білірубін‚ креатинін‚ сечовина‚ загальний бі-
лок)‚ коагулограма.
     Лікування:
     За умови застосування гіпотензивних препаратів до пологів‚
після пологів продовжують їх введення.
     У разі недостатньої ефективності терапії додають тіазидні діу-
ретики. При виникненні гіпертензії вперше після пологів лікування
починають з тіазидних діуретиків.
     Сульфат магнію призначають за показаннями  – у разі ризику
виникнення еклампсії.
     Проводять ретельний контроль інволюції матки. Профілактика
кровотечі введенням метилергометрину протипоказана.
     Виписування з пологового стаціонару здійснюють після норма-
лізації стану хворої. У разі відсутності стабілізації стану жінку пере-
водять до терапевтичного відділення.
      Еклампсія
      Про високий ризик еклампсії свідчать: сильний біль голови‚ висо-
ка гіпертензія (діастолічний АТ > 120 мм рт.ст.)‚ нудота‚ блювання‚ по-
рушення зору‚ біль у правому підребер’ї та/або епігастральній ділянці.
    Головні цілі екстреної допомоги:
 -	 припинення судом;
 -	 відновлення прохідності дихальних шляхів.
      Задачі інтенсивної терапії після ліквідації судом:
 -	   попередження повторних судомних нападів;
 -	   усунення гіпоксії і ацидозу (дихального та метаболічного);
 -	   профілактика аспіраційного синдрому;
 -	   невідкладне розродження.
    Перша допомога при розвитку приступу еклампсії:
 •	 Лікування у разі нападу судом починається на місці.
 •	 Розгортають палату інтенсивної терапії чи госпіталізують вагіт-
    ну до відділення анестезіології та інтенсивної терапії.
•	Хвору укладають на рівну поверхню у положенні на лівому
   боці‚ швидко звільняють дихальні шляхи‚ відкриваючи рот і ви-
   суваючи вперед нижню щелепу‚ паралельно евакуюють вміст
   ротової порожнини. За можливості‚ якщо збережено спонтанне
   дихання‚ вводять повітровід та проводять інгаляцію кисню.
•	 За умови розвитку тривалого апноє негайно починають примусову
   вентиляцію носо-лицевою маскою з подачею 100% кисню у режимі
   позитивного тиску наприкінці видиху. Якщо судоми повторюють-
   ся або хвора залишається у стані коми‚ вводять м’язові релаксанти
   (суксаметонію бромід 2 мг/кг) та переводять пацієнтку на штучну
   вентиляцію легенів (ШВЛ) у режимі помірної гіпервентиляції.
•	 Паралельно з проведеними заходами щодо відновлення адек-
   ватного обміну здійснюють катетеризацію периферичної вени
   та починають введення протисудомних препаратів (сульфат
   магнію – болюс 4 г протягом 5 хвилин) внутрішньовенно‚ по-
   тім підтримуюча терапія 1-2 г/год) під ретельним контролем АТ
   і ЧСС. Якщо напади тривають‚ внутрішньовенно вводять ще 2 г
   сульфату магнію протягом 3-5 хвилин. Замість додаткового бо-
   люсу сульфату магнію можна використовувата діазепам вну-
   трішньовенно (10 мг) чи тіопентал-натрій (450-500 мг) упро-
   довж 3 хвилин. Якщо напад судом триває понад 30 хвилин‚ цей
   стан розглядають як екламптичний статус. Якщо діастолічний
   АТ залишається на високому рівні (> 110 мм рт.ст.)‚ проводять
   антигіпертензивну терапію.
•	 Катетеризують сечовий міхур.
•	 Усі маніпуляції (катетеризація вен‚ сечового міхура‚ акушерські
   маніпуляції) проводять під загальною анестезією тіопенталом-
   натрієм або закисом азоту з киснем. Не застосовують кетамін!
•	 Після ліквідації судом проводять корекцію метаболічних пору-
   шень, водно-електролітного балансу і кислотно-основного ста-
   ну, білкового обміну.
•	 Обстеження здійснюють після припинення нападу судом.
•	 Консультація невропатолога та окуліста.
•	 Лабораторні аналізи: повний аналіз крові (тромбоцити‚ гематокрит,
   гемоглобін‚ час згортання)‚ загальний білок‚ рівень альбуміну‚ глю-
коза‚ сечовина креатинін‚ трансамінази‚ електроліти‚ рівень каль-
    цію‚ магнію‚ фібриноген та продукти його деградації‚протромбін
    та протромбіновий час‚ аналіз сечі‚ добова протеїнурія.
 •	 Моніторинг АТ‚ визначення погодинного діурезу‚ оцінку клі-
    нічних симптомів проводять з обов’язковою реєстрацією в істо-
    рії пологів щогодини.
 •	 Штучна вентиляція легенів
    -	Штучна вентиляція легенів не є основним способом лікуван-
        ня еклампсії, однак усунення гіпоксії (найважливішого пато-
        генетичного чинника розвитку поліорганної недостатності) -
        обов’язкова умова проведення інших заходів.
                            Показання:
Абсолютні:
 -	 еклампсія під час вагітності;
 -	 екламптична кома або екламптичний статус;
 -	 гострий респіраторний дистрес-синдром дорослих (ІІІ стадія);
 -	 судомна готовність на фоні поверхневого наркозу;
 -	 поєднання прееклампсії/еклампсії з шоком будь-якого ґенезу.
Відносні:
 -	 прогресування гострої коагулопатії;
 -	 крововтрата під час операції більше 15 мл/кг (подовжена ШВЛ
    для стабілізації життєвих функцій організму і відновлення ОЦК).
 -	ШВЛ проводять у режимі нормовентиляції або помірної гіпер-
    вентиляції (рСО2=З0-40 мм рт.ст.).
 -	 Початкові параметри ШВЛ: дихальний об’єм – 7-8 мл/кг‚ хви-
    линний об’єм дихання – 10-12 л/хв.‚ тиск на вдиху – не більше
    20 см вод. ст.‚ FіО2 – відношення вдих/видих – 1:2.
 -	 При наявності судомного синдрому після пологів синхронізації
    з респіратором досягають застосуванням недеполяризуючих мі-
    орелаксантів‚ в інших випадках використовують барбітурати +
    бензодіазепіни + ГОМК.
 -	 За відсутності судом ШВЛ проводять у режимі SІМV до повно-
    го відновлення свідомості і спонтанного адекватного дихання.
 -	 При проведенні ШВЛ більше доби необхідне проведення фібро­
    бронхоскопії.
Критерії припинення ШВЛ:
  -	 повне відновлення свідомості;
  -	 відсутність судом та судомної готовності без застосування про-
     тисудомних препаратів
  -	 стабілізація геодинаміки;
  -	 припинення дії препаратів‚ які пригнічують дихання (міорелак-
     санти, наркотичні аналгетики‚ гіпнотики та ін.);
  -	 відсутність ознак гострого респіраторного дистрес-синдрому
     дорослих;
  -	 стабільність стану системи гемостазу;
  -	 відновлена киснева ємність крові (гемоглобін не менше 80 г/л);
  -	 SаО2 > 95%, РаО2 > 80 мм рт.ст. при FiО2 < 0,4 (РаО2/FiO2 > 200).
  -	 У разі крововиливу у мозок і коматозного стану вагітної питан-
     ня про припинення ШВЛ обговорюється не раніше‚ ніж за дві
     доби. Інтенсивну терапію продовжують у повному обсязі.
Інтенсивна терапія еклампсії без ШВЛ можлива за таких умов:
  -	 напад судом виник під дією надзвичайних стимулів (перейми‚
     потуги) чи у післяпологовому періоді;
  -	 після нападу еклампсії збережені елементи свідомості;
  -	 артеріальний тиск під час нападу не перевищує 170/100 мм рт.ст.;
  -	 відсутність субарахноїдального крововиливу;
  -	 відсутність вогнищевої неврологічної симптоматики;
  -	 відсутність інших показань до ШВЛ.
Розродження здійснюється терміново.
  -	 Якщо акушерська ситуація не дозволяє провести негайне роз-
     родження через природні пологові шляхи (екламптичний напад
     стався у І періоді пологів)‚ виконують операцію кесарів розтин.
  -	 Розродження проводять одразу після ліквідації нападу судом на
     фоні введення сульфату магнію та антигіпертензивної терапії.
  -	 За умови продовження нападу судом – термінове розродження
     проводять після переведення хворої на ШВЛ.
     Після закінчення оперативного втручання ШВЛ продовжують
до стабілізації стану пацієнтки.
     Після пологів лікування продовжують відповідно до стану
xворої. Магнезіальна терапія має тривати ще не менше 48 годин.
Алгоритм виконання практичної навички
          надання невідкладної допомоги
       при несприятливих та критичних станах
             плода та новонародженого

             Первинна реанімація новонароджених
 (Наказ МОЗ України №312 від 08.06.2007 р. «Про затвердження
клінічного Протоколу з первинної реанімації та післяреанімаційної
                 допомоги новонародженим»)
     Передбачення потреби реанімації: незважаючи на те, що не-
обхідність надавати реанімаційну допомогу новонародженому не за-
вжди можна передбачити, слід оцінювати наявність чинників ризику
в анамнезі кожної вагітної жінки, оскільки пологи високого ризику
підвищують імовірність реанімації.
   Послідовність дій первинної реанімації новонароджених:
1.	 Визначення необхідності реанімації у дитини, яка народилась
після вилиття чистих навколоплодових вод.
Негайно після народження кожної дитини найважливіше швидко ви-
значити, чи вона потребує реанімаційної допомоги. Для цього слід
оцінити наявність і адекватність самостійного дихання під час обсу-
шування новонародженого на животі матері.
•	 Відразу після народження дитини акушерка приймає її у теплі пе-
    люшки, зауважує і оголошує час народження, викладає на живіт
    матері і починає швидко обсушувати, звертаючи увагу на наяв-
    ність крику. Обсушування у цей момент відіграє роль початкової
    тактильної стимуляції.
•	 Якщо дитина не кричить, перевіряють наявність самостійного ди-
    хання, ознакою якого будуть помітні регулярні рухи грудної клітки.
    Частота і глибина дихальних рухів в нормі зростають через декіль-
    ка секунд після народження і/або тактильної стимуляції. Нормальна
    частота дихання новонародженого – 30-60 за 1 хвилину.
•	 Одночасно оцінюють м’язовий тонус дитини, звертаючи увагу на
    положення кінцівок і наявність самовільних рухів. Відсутність
    м’язового тонусу вказує на високу ймовірність наявності розла-
    дів самостійного дихання.
•	 У разі відсутності самостійного дихання або наявності судорож-
    них дихальних рухів (дихання типу «ґаспінґ») з частотою менше
    30 за 1 хвилину слід негайно:
  -	 покликати на допомогу;
  -	 перетиснути і перерізати пуповину;
  -	 інформувати матір, що дитина має проблеми зі встановленням
      самостійного дихання і їй буде надано допомогу;
  -	 загорнути немовля у суху пелюшку, залишаючи відкритими
      лице і передню поверхню грудної клітки;
  -	 перенести немовля на реанімаційний стіл або іншу відповідну
      теплу і суху поверхню;
•	 здійснити початкові кроки допомоги.
2. Початкові кроки допомоги новонародженому й алгоритм по-
дальших реанімаційних дій.
Відсутність чи неадекватність (дихання тину «ґаспінґ») самостійно-
го дихання або відсутність м’язового тонусу у дитини відразу після
народження, термін гестації менше 32-34 тижнів або загроза аспіра-
ції меконію є показаннями для негайного відокремлення новонаро-
дженого від матері, перенесення на реанімаційну поверхню під дже-
рело променевого тепла і здійснення початкових кроків допомоги.
У певній послідовності вони передбачають:
•	 Забезпечення правильного положення дитини на реанімаційній
    поверхні під джерелом променевого тепла і звільнення дихаль-
    них шляхів, особливо у випадку загрози аспірації меконію.
•	 Кінцеве висушування новонародженого і повторне забезпечення
    правильного положення голови.
•	 Повторну оцінку стану новонародженого.
Усі зазначені вище заходи (визначення потреби реанімації і початко-
ві кроки допомоги) треба виконати приблизно за 30 секунд.
•	 У разі відсутності неадекватності самостійного дихання або за
    наявності ЧСС<100 за 1 хвилину необхідно розпочати ШВЛ міш-
    ком і маскою.
•	 За наявності центрального ціанозу, незважаючи на адекватне са-
    мостійне дихання і ЧСС > 100 за 1 хвилину, призначити кисневу
    терапію.
3. Алгоритм подальших дій після 30 секунд вентиляції мішком і
маскою
3.1.  Якщо ЧСС ≥ 100 за 1 хвилину і наявне адекватне самостійне
    дихання:
  •	 поступово припиняти ШВЛ, зменшуючи її тиск і частоту;
  •	 оцінити наявність центрального ціанозу та інших дихальних роз-
      ладів під час самостійного дихання: втягнення податливих ділянок
      грудної клітки, тахiпное > 60 за 1 хвилину або стогін на видиху;
  •	 за відсутності центрального ціанозу та інших дихальних роз-
      ладів після припинення ШВЛ слід викласти дитину на грудну
      клітку матері, забезпечивши контакт «шкіра до шкіри», накри-
      ти теплою пелюшкою і ковдрою та забезпечити спостереження:
      −	 кожні 15 хвилин оцінювати адекватність самостійного ди-
         хання, ЧСС і наявність центрального ціанозу;
      −	 кожні 30 хвилин контролювати температуру тіла;
      −	 заохочувати матір і допомогти їй розпочати грудне вигодову-
         вання;
      −	 не залишати дитину без медичного нагляду.
3.2. Якщо ЧСС ≥ 100 за 1 хвилину і відсутнє самостійне дихання:
  •	 продовжити ШВЛ протягом наступних 30 секунд і передбачити
      потребу інтубувати трахею.
3.3. Якщо ЧСС ≥ 100 за 1 хвилину, наявне адекватне самостійне ди-
    хання, однак після припинення ШВЛ з’явився центральний ці-
    аноз або інші дихальні розлади: втягнення податливих ділянок
    грудної клітки, тахiпное > 60 за 1 хвилину, стогін на видиху:
  •	 призначити вільний потік кисню;
  •	 перевести дитину у відділення інтенсивної терапії (неонаталь-
      ного догляду і лікування);
  •	 у недоношеної дитини передбачити необхідність застосувати
      самостійне дихання під постійним позитивним тиском.
3.4. Якщо ЧСС <100, але ≥ 60 за 1 хвилину незалежно від характе-
    ру дихання:
  •	 продовжувати ШВЛ;
  •	 передбачити потребу вентиляції з використанням 100 % кисню,
      якщо вентиляцію проводили кімнатним повітрям;
•	 передбачити потребу інтубувати трахею.
3.5. Якщо ЧСС < 60 за 1 хвилину:
  •	 негайно розпочати непрямий масаж серця з частотою 90 комп-
      ресій за хвилину;
  •	 продовжувати ШВЛ 100 % киснем з частотою 30 за 1 хвилину
      паралельно з непрямим масажем серця;
  •	 передбачити потребу інтубувати трахею.
3.6. Якщо ЧСС < 60 за 1 хвилину після 30 секунд непрямого масажу
    серця і ШВЛ:
  •	 інтубувати трахею (якщо це попередньо не було зроблено) і ввес-
      ти 0,01% розчин адреналіну ендотрахеально у дозі 0,3‑1,0 мл/кг.
      Якщо з будь-яких причин інтубація трахеї неможлива – якомо-
      га скоріше катетеризувати вену пуповини і ввести 0,01% розчин
      адреналіну внутрішньовенно у дозі 0,1-0,3 мл/кг;
  •	 продовжувати ШВЛ 100 % киснем з частотою 30 за 1 хвилину
      паралельно з непрямим масажем серця;
  •	 у разі збереження брадикардії (ЧСС <  60 за 1 хвилину) через
      30 секунд після введення адреналіну ендотрахеально катетери-
      зувати вену пуповини (якщо це попередньо не було зроблено).
      За наявності показань ввести адреналін внутрішньовенно через
      3 хвилини після першого введення;
  •	 передбачити потребу використати 0,9% розчин натрію хлориду
      і 4,2% розчин натрію гідрокарбонату;
3.7. Під час проведення ШВЛ перевіряти ЧСС і наявність самостій-
    ного дихання кожні 30 секунд, поки ЧСС не перевищить 100 за
    1 хвилину і не встановиться адекватне самостійне дихання.

4. Дії у разі неефективної реанімації
Якщо стан дитини не поліпшується, незважаючи на проведення
вчасних і ефективних вентиляції 100 % киснем, непрямого масажу
серця, а також правильне введення ліків, слід ще раз перевірити пра-
вильність виконання основних реанімаційних процедур і подумати
про інші можливі причини незадовільної реакції немовляти на реа-
німацію, такі як аномалії дихальних шляхів, пневмоторакс, діафраг-
мальна грижа або природжена хвороба серця.
5. Припинення реанімації
Реанімацію новонародженого можна припинити, якщо, незважаю-
чи на вчасне, правильне і повне виконання всіх її заходів, у дити-
ни відсутня серцева діяльність протягом щонайменше 10 хвилин
(Міжнародні рекомендації з реанімації новонароджених, 2005).

         Особливості первинної реанімації новонароджених
                      з меконіальною аспірацією
1.	 Особливості визначення потреби в реанімації у дитини, яка
народилась після вилиття вод, забруднених меконієм:
•	 У разі вилиття вод, забруднених меконієм, відсмоктування з верх-
    ніх дихальних шляхів дитини після народження голови не потріб-
    но, оскільки це втручання не зменшує ризику розвитку синдрому
    аспірації меконію.
•	 Відразу після народження дитини потрібно зауважити й оголоси-
    ти час її народження і до викладання на живіт матері та висушу-
    вання оцінити «активність» – наявність і адекватність самостій-
    ного дихання, м’язовий тонус і частоту серцевих скорочень.
•	 У разі наявності будь-якої з таких ознак: відсутність ­ амостійного
                                                          с
    дихання, або дихання типу «гаспінг», або брадіпное (ЧД<30 за
    1 хви­ ину), або знижений м’язовий тонус (відсутність активних ру-
          л
    хів, звисання кінцівок), або ЧСС < 100 за 1 хвилину – слід негайно:
  -	 перетиснути і перерізати пуповину;
  -	 інформувати матір, що дитина має проблеми зі встановленням
      самостійного дихання і їй буде надано допомогу;
  -	 не забираючи пелюшок і уникаючи тактильної стимуляції, пе-
      ренести немовля на реанімаційний стіл або іншу підготовлену
      відповідну теплу та суху поверхню;
  -	 здійснити початкові кроки допомоги, повторно оцінити стан ди-
      тини і вирішити, що робити далі.
•	 Дітей, які після народження є «активними», – кричать або адек-
    ватно дихають, виявляють задовільну рухову активність з ЧСС >
    100 за 1 хвилину, викладають на живіт матері і спостерігають за
    їх станом протягом 15 хвилин. У разі відсутності дихальних роз-
    ладів забезпечують стандартний медичний догляд згідно з вимо-
    гами наказів МОЗ України №152 і №584.
•	 Незалежно від особливостей меконіального забруднення навколо-
   плідних вод, відсмоктування із трахеї «активного» новонародже-
   ного без ознак порушення стану не поліпшує клінічні результати
   лікування і може супроводжуватись розвитком ускладнень. Тому
   ця процедура не рекомендується для рутинного використання.
•	 Спостереження за дитиною, яка народилась після вилиття забруд-
   нених меконієм вод, передбачає оцінку наявності дихальних роз-
   ладів (тахiпное більше 60 за хвилину, втягнення податливих ді-
   лянок грудної клітки, експіраторний стогін тощо) протягом 3-х
   послідовних годин після народження (щонайменше кожні 15 хви-
   лин протягом першої години).
•	 Дитина, в якої на фоні загрози аспірації меконію в перші години
   життя виникають апное або інші дихальні розлади, може потре-
   бувати відсмоктування із трахеї до початку вентиляції легень під
   позитивним тиском, навіть якщо вона була активною відразу піс-
   ля народження.
2.	 Початкові кроки допомоги дитині, яка народилась після ви-
лиття вод, забруднених меконієм, якщо дитина «неактивна»:
•	 Спеціальні початкові кроки допомоги необхідні дитині, яка наро-
    дилась після вилиття навколоплодових вод, забруднених меконі-
    єм, за наявності у неї відразу після народження будь-якої з таких
    ознак: відсутність самостійного дихання, або дихання типу «гас-
    пінг», або брадипное (ЧД<30 за 1 хвилину), або явно знижений
    м’язовий тонус (відсутність активних рухів, звисання кінцівок),
    або ЧСС < 100 за 1 хвилину.
•	 Забезпечити прохідність дихальних шляхів:
  •	 забезпечити правильне положення новонародженого;
  •	 уникаючи тактильної стимуляції, під контролем прямої ларин-
      госкопії відсмоктати вміст нижньої глотки (анатомічна ділянка
      над голосовими зв’язками) катетером великого діаметра (14F);
  •	 уникаючи тактильної стимуляції, інтубувати трахею і відсмок-
      тати з неї;
  •	 відсмоктують безпосередньо через ендотрахеальну трубку або
      через катетер великого діаметра (14F), поволі витягуючи ендо-
      трахеальну трубку (катетер);
•	 якщо відсмоктування здійснюється через ендотрахеальну труб-
      ку – приєднати до неї перехідник (аспіратор меконію), що дозво-
      лить з’єднати ендотрахеальну трубку і трубку відсмоктувача;
  •	 у разі відсутності перехідника (аспіратора меконію), можливе
      використання катетера великого діаметра (14F), який безпосе-
      редньо приєднують до трубки відсмоктувача;
  •	 тривалість одного відсмоктування не повинна перевищувати 5 с.
•	 За наявності медичного працівника, який добре володіє технікою
    інтубації трахеї, повторні інтубацію і санацію трахеї необхідно
    проводити до майже повного її звільнення від меконію, однак,
    інтубація і відсмоктування більше 3 разів не рекомендуються.
    Тривалість виконання цієї процедури визначається вимогами до
    інтубації трахеї і станом новонародженого.
•	 У разі відсутності медичного працівника, який добре володіє тех-
    нікою інтубації трахеї, відсмоктування із трахеї проводити одно-
    разово, після чого потрібно закінчити виконання решти початко-
    вих кроків реанімації і повторно оцінити стан дитини.
•	 Під час проведення процедури подавати вільний потік кисню
    (Розділ IV Протоколу) і попросити асистента визначати ЧСС
    новонародженого:
•	 якщо ЧСС дитини під час санації трахеї стане менше 60 за 1 хви-
    лину – припинити відсмоктування і негайно розпочати ШВЛ міш-
    ком через ендотрахеальну трубку.
•	 Після звільнення дихальних шляхів від меконію закінчити вико-
    нання решти початкових кроків реанімації й оцінити стан дитини.
•	 У разі відсутності (неадекватності) самостійного дихання або за
    наявності ЧСС<100 за 1 хв слід повторно інтубувати трахею і роз-
    почати ШВЛ мішком через інтубаційну трубку.
•	 Якщо з будь-яких причин інтубація трахеї неможлива – вентилю-
    вати легені дитини реанімаційними мішком і маскою.
•	 За наявності центрального ціанозу, незважаючи на адекватне са-
    мостійне дихання і ЧСС > 100 за 1 хвилину, розпочати кисневу
    терапію.
•	 Відкласти відсмоктування шлункового вмісту до моменту закін-
    чення реанімаційних заходів.
I. Забезпечення прохідності дихальних шляхів
•	 Надати дитині положення на спині або на боці з помірно розігну-
    тою назад головою з підкладеним під плечі валиком (Рис. 1)




  Рис. 1. Правильне положення новонародженого, що забезпечує
                 прохідність дихальних шляхів.

•	 Відсмоктати спочатку з рота, потім – з носа:
  -	 використовувати для видалення секрету і слизу одноразову ґумову
      грушу; у разі відсутності одноразових ґумових груш для відсмок-
      тування слід використовувати лише стерильні одноразові катетери;
  -	 під час відсмоктування не вводити катетер або грушу надто
      енергійно або глибоко (не глибше 3 см від рівня губ у доноше-
      ного новонародженого і 2 см у передчасно народженої дитини);
  -	 відсмоктувати короткочасно, делікатно, поволі видаляючи кате-
      тер або грушу назовні;
  -	 тривалість відсмоктування не повинна перевищувати 5 секунд.
•	 Під час агресивного відсмоктування можлива стимуляція задньої
    стінки глотки, що може викликати ваґусну реакцію (важку бради-
    кардію або апное), а також затримку самостійного дихання.
•	 Якщо під час відсмоктування у новонародженого з’явилась бра-
    дикардія, потрібно припинити маніпуляцію і знову оцінити ЧСС.
•	 У випадку значного накопичення секрету, крові, слизу доцільно
    під час відсмоктування повернути голову дитини на бік або по-
    вторити процедуру.
•	 У разі використання відсмоктувача негативний тиск не повинен
    перевищувати 100 мм рт. ст. (13,3 кПа або 136 см водн. ст.).
II.	 Киснева терапія
      Показання
      Наявність центрального ціанозу у дитини, незважаючи на адек-
ватне самостійне дихання і ЧСС > 100 за хвилину, є показанням для
призначення вільного потоку кисню.
Необхідне обладнання:
-	 киснева трубка і долоня руки, складена у вигляді лійки (Рис. 2В);
-	 мішок, що наповнюється потоком (анестезіологічний), і реанімацій-
   на маска: маску нещільно накладають на обличчя дитини (Рис. 2 А);
-	 вільний потік кисню не можна подавати маскою, приєднаною до
   мішка, що наповнюється самостійно;
-	 киснева маска і киснева трубка (Рис. 2 Б).
      Техніка проведення кисневої терапії:
•	 Подають вільний потік кисню, спрямовуючи його до носа дити-
    ни. Швидкість вільного потоку кисню не повинна перевищувати
    5 літрів за хвилину, щоб запобігти охолодженню дитини.
•	 Під час проведення кисневої терапії необхідно спостерігати за
    станом дитини, кольором шкіри тулуба і слизових оболонок:
  -	 як тільки шкіра тулуба і слизові оболонки немовляти порожеві-
      ють, кисневу підтримку слід поступово припиняти, поволі від-
      даляючи кінець кисневої трубки від лиця дитини і спостерігаю-
      чи за кольором слизових оболонок;
  -	 якщо з припиненням кисневої терапії центральний ціаноз з’яв­
      ляється знову, подавання кисню слід відновити і продовжувати
      спостереження за станом дитини;
  -	 у разі збереження центрального ціанозу, незважаючи на кисне-
      ву терапію протягом щонайменше 5 хвилин, слід розпочинати
      ШВЛ мішком і маскою.




	               А	                   Б	                    В
    Рис. 2. Техніка проведення кисневої терапії під час реанімації.
III.	Штучна вентиляція легень (ШВЛ) новонародженого мішком
     і маскою
    Показання до ШВЛ мішком і маскою:
•	 Відсутнє або неадекватне самостійне дихання після початкових
   кроків допомоги, проведених протягом 30 секунд після наро-
   дження дитини.
•	 ЧСС < 100 за 1 хвилину незалежно від наявності і адекватності
   самостійного дихання після початкових кроків допомоги, прове-
   дених протягом 30 секунд після народження дитини.
•	 Стійкий центральний ціаноз, незважаючи на наявність адекват-
   ного самостійного дихання, ЧСС > 100 за 1 хвилину і подавання
   вільного потоку 100 % кисню протягом щонайменше 5 хвилин.

               Техніка проведення початкової ШВЛ
          під час первинної реанімації новонароджених:
•	 Перевірити правильність положення дитини: голова помірно ро-
   зігнута, валик під плечима.
•	 Зайняти положення навпроти голови новонародженого і зафіксу-
   вати час початку вентиляції.
•	 Накласти маску відповідного розміру, приєднану до реанімацій-
   ного мішка, на лице дитини, накриваючи ніс, рот і верхівку підбо-
   ріддя. Маску анатомічної форми накладають загостреним кінцем
   на ніс (Рис. 3).




 Рис. 3. Лицеві маски круглої (зліва) й анатомічної форми (справа)
                        належного розміру.
•	 Натискаючи на верхній і нижній краї маски першим і другим паль-
    цями однієї руки, забезпечити герметичне прилягання маски до об-
    личчя. Одночасно за допомогою інших пальців цієї ж руки, які під-
    тримують нижню щелепу дитини, фіксувати положення голови.
•	 Відразу розпочати вентиляцію:
  -	 надійно утримуючи маску на лиці дитини, пальцями іншої руки
      повільно і плавно стиснути мішок декілька разів: для вентиляції
      доношених новонароджених використовують 4-5 пальців, а для
      глибоконедоношених немовлят може бути достатньо 2-3 паль-
      ців залежно від об’єму мішка;
  -	 під час стискування мішка спостерігати за рухами грудної кліт-
      ки, які мають бути ледь помітними;
  -	 перші 2-3 штучні вдихи з тиском 20-25 см водн. ст. можуть бути
      ефективними в більшості новонароджених, однак деякі доно-
      шені діти з відсутнім самостійним диханням можуть потребу-
      вати початкового позитивного тиску 30-40 см водн. ст.;
  -	 для подальшої успішної вентиляції неушкоджених легень в но-
      вонароджених достатньо тиску вентиляції 15-20 см водн. ст., а
      для немовлят з незрілими легенями або з природженим легене-
      вим захворюванням може виникнути потреба застосувати тиск
      > 20 см водн. ст.;
  -	 для більшості недоношених новонароджених початковий тиск
      вентиляції 20-25 см водн. ст. є адекватним, а додаткове застосу-
      вання позитивного тиску наприкінці видиху може бути корисним;
  -	 щоб підтвердити ефективність ШВЛ, відразу після її початку по-
      просити асистента оголосити ЧСС новонародженого, визначену
      пальпацією основи пуповини або аускультацією ділянки серця.
     Контроль ефективності ШВЛ:
1. Під час проведення ШВЛ мішком і маскою необхідно оцінювати
ефективність вентиляції за допомогою таких показників:
•	 основний показник ефективної вентиляції  – швидке зростання
   ЧСС, у чому треба переконатись відразу після початку вентиляції;
•	 рухи грудної клітки під час стискання мішка мають бути ледь по-
   мітними і симетричними. У передчасно народжених немовлят
   рухи грудної клітки не є вірогідною ознакою ефективної і безпеч-
ної вентиляції, і їх доцільно оцінювати лише у разі відсутності
   позитивної динаміки ЧСС;
•	 додаткові ознаки ефективної вентиляції:
  −	 аускультативно над легенями вислуховується симетричне дихання;
  −	 поява самостійного дихання;
  −	 поліпшення кольору шкіри (зменшення або зникнення цен-
     трального ціанозу);
  −	 поліпшення м’язового тонусу новонародженого.
2. У разі відсутності ознак ефективної вентиляції мішком і маскою
необхідно:
•	 перевірити прилягання маски до обличчя (повторно накласти маску);
•	 перевірити прохідність дихальних шляхів (змінити положення го-
   лови; відсмоктати з верхніх дихальних шляхів; вентилювати, від-
   кривши рот дитині);
•	 збільшити тиск вентиляції: сильніше стискати мішок більшою
   кількістю пальців або усією долонею, однак уникати різкого та
   надто енергійного стискання;
•	 передбачити потребу інтубувати трахею.
    Інші особливості проведення ШВЛ під час реанімації ново-
народжених:
•	 Проведення ШВЛ мішком і маскою протягом кількох хвилин ви-
    магає введення ротошлункового зонда (8F), щоб запобігти розду-
    ванню шлунка газом і наступній регургітації шлункового вмісту:
  -	 уводять зонд на глибину, що дорівнює відстані від перенісся до
      мочки вуха і від мочки вуха до мечоподібного відростка;
  -	 після введення зонда відсмоктують шприцом вміст шлунка,
      зонд залишають відкритим і фіксують лейкопластиром до щоки;
  -	ШВЛ негайно відновлюють, наклавши маску поверх зонда.
IV.	Інтубація трахеї
Показання до інтубації трахеї на будь-якому з етапів первинної
реанімації.
Абсолютні показання:
•	 Необхідність відсмоктати меконій з трахеї.
•	 Наявність діафрагмальної грижі у дитини.
Відносні показання:
•	 Вентиляція мішком і маскою неефективна або довготривала.
•	 Необхідність вводити ліки ендотрахеальним шляхом.
•	 Народження дитини з екстремально малою масою тіла (< 1000 г).
Основні етапи виконання процедури
•	 Забезпечити і фіксувати правильне положення голови дитини, дати
   вільний потік кисню, зафіксувати час початку процедури (Рис. 4).
•	Тримаючи ларингоскоп лівою рукою, увести клинок вздовж правого
   краю язика, відтискаючи його до лівої половини рота; потім просу-
   вати кінець клинка до заглиблення відразу за коренем язика (Рис. 4).
•	 Поволі піднімаючи клинок ларингоскопа, знайти і зафіксувати у
   полі зору вхід у трахею (голосову щілину).
•	 Уникати піднімання кінця клинка гойдальним рухом (Рис. 5).




      Рис. 4. Приготування              Рис. 5. Техніка проведення
       до ларингоскопії.                      ларингоскопії.
•	 За потребою відсмоктати слиз.
•	 Увести трубку у правий кут рота (якщо зв’язки зімкнуті, чекати,
   поки вони розімкнуться); кінець ендотрахеальної трубки ввести у
   трахею, вирівнюючи позначку голосової щілини на трубці з голо-
   совими зв’язками (Рис. 6).
•	 Вийняти клинок ларингоскопа з рота і провідник із трубки (якщо
   використовувався), надійно утримуючи трубку рукою (притисну-
   ти трубку пальцями до верхнього піднебіння або кута рота).
Голосова зв’язка

     Позначка
     голосової щілини


   Рис. 6 . Уведення трубки між голосовими зв’язками до трахеї.

•	 Приєднати до ендотрахеальної трубки реанімаційний мішок і
    розпочати ШВЛ, після чого негайно підтвердити (перевірити)
    місцезнаходження інтубаційної трубки у трахеї, враховуючи:
  -	 збільшення ЧСС (найважливіший показник);
  -	 наявність симетричних рухів грудної клітки під час вентиляції;
  -	 дані аускультації аксилярних ділянок грудної клітки з обох бо-
      ків і епігастральної ділянки;
  -	 запотівання трубки під час видиху;
  -	 відсутність ознак прогресивного збільшення живота;
  -	 поліпшення кольору шкіри й активності новонародженого.
•	 Якщо є підозра на неправильне введення трубки:
  -	 витягнути трубку, вентилювати легені мішком і маскою, щоби
      нормалізувати частоту серцевих скорочень і колір шкіри, а по-
      тім повторити процедуру інтубації.
•	 Додатково перевірити правильність глибини введення трубки за
    формулою:
сантиметрова позначка на трубці на рівні верхньої губи = величина
маси тіла дитини у кілограмах + число 6.
•	 Зазначити сантиметрову позначку на рівні верхньої губи і прикрі-
    пити трубку лейкопластиром до обличчя дитини.
•	 Після стабілізації стану новонародженого вкоротити трубку, якщо
    вона виступає над рівнем верхньої губи більше, ніж на 4 см.
•	Тривалість однієї спроби інтубації трахеї не повинна перевищувати
    20 секунд, оскільки під час її виконання припиняють інші реаніма-
    ційні процедури (за винятком подавання вільного потоку кисню).
•	 Якщо трахею новонародженої дитини не вдалося заінтубувати про-
   тягом 20 секунд, слід зупинити спробу інтубації і відновити венти-
   ляцію легень мішком і маскою 100 % киснем до нормалізації ЧСС,
   а також кольору шкіри і слизових оболонок новонародженого.
•	 Після цього, у разі потреби, можна повторити спробу інтубації.
V. Непрямий масаж серця
      Показання:
      ЧСС менше 60 за 1 хвилину після 30 секунд ефективної ШВЛ.
Техніка проведення непрямого масажу серця:
•	 Медичний працівник, який проводить непрямий масаж серця,
    знаходиться збоку від новонародженого.
•	 Дитина повинна лежати на твердій рівній поверхні; важливо за-
    безпечити надійну фіксацію її спини (див. нижче).
•	 Використовують 2 техніки непрямого масажу серця (Рис.7):
  -	 метод великих пальців – на грудину натискають подушечками
      двох великих пальців; водночас решта пальців обох рук підтри-
      мують спину дитини (цьому методу надають перевагу) [D];




 Рис 7 . Дві техніки непрямого масажу серця: великих пальців (А)
                         і двох пальців (В).
-	 метод двох пальців  – на грудину натискають кінчиками двох
      пальців однієї руки: другого і третього або третього і четверто-
      го; під час цього друга рука підтримує спину дитини. Цей метод
      може бути корисним, якщо потрібний доступ до судин пуповини.
•	 Виконують непрямий масаж серця, натискаючи на нижню трети-
    ну грудини: ця ділянка знаходиться відразу під умовною лінією,
    що сполучає соски дитини. Важливо не натискати на мечоподіб-
    ний відросток, щоб запобігти розриву печінки.
•	 Натискування здійснюють перпендикулярно до поверхні грудної
    клітки кінчиками пальців, які розміщують уздовж середньої лінії
    грудини.
•	 Після кожного натискування дозволяють грудній клітці відновити
    свій об’єм, не відриваючи пальці від її поверхні.
•	 Глибина натискувань становить одну третину передньозаднього
    діаметра грудної клітки.
•	 Частота натискувань на грудну клітку становить 90 за 1 хвилину.
•	 Важливо координувати непрямий масаж серця зі ШВЛ, уникаючи
    одночасного виконання обох процедур:
  -	 після кожних трьох натискувань на грудину роблять паузу для
      проведення вентиляції, після чого натискування повторюють.
  -	 за 2 с потрібно 3 рази натиснути на грудину (90 за 1 хв) і провес-
      ти 1 вентиляцію (30 за 1 хв), – разом – 120 дій за 1 хвилину.
Оцінка ефективності непрямого масажу серця:
•	 Критеріями ефективності непрямого масажу серця будуть зрос-
   тання частоти серцевих скорочень і можливість пальпаторно ви-
   значити пульс на плечовій артерії.
•	 Припиняють непрямий масаж серця, якщо ЧСС становить ≥ 60 уда­
   рів за хвилину.
•	 Після кожних 30 с непрямого масажу повторно оцінюють ЧСС і
   дихання, щоб вирішити, що робити далі.
VI. Застосування медикаментів
     Показання:
     якщо, незважаючи на адекватну вентиляцію легень 100 % кис-
нем і проведення непрямого масажу серця протягом 30 с, ЧСС зали-
шається менше 60 за 1 хв.
Перелік медикаментів, які застосовують у пологовому залі:
•	 Адреналін
•	 Засоби, що нормалізують судинний об’єм – фізіологічний розчин
•	 Натрію гідрокарбонат
•	 Налоксон
У разі потреби вводити ліки внутрішньовенно, слід обов’язково ка-
тетеризувати вену пуповини на мінімальну глибину, яка забезпечує
вільний зворотний відтік крові (Рис. 8).




      Рис. 8 . Правильне введення катетера у вену пуповини
                під час реанімації новонародженого.

1.	 Адреналін.
1.1. Показання до застосування:
  •	 ЧСС менше 60 за 1 хвилину після щонайменше 30 секунд про-
     ведення непрямого масажу серця і штучної вентиляції легень
     100 % киснем.
  •	 Відсутність серцевої діяльності новонародженого в будь-який
     момент реанімації (одночасно показані ШВЛ, непрямий масаж
     серця і введення адреналіну).
1.2. Приготування розчину і дозування:
  •	 Готують 0,01% розчин адреналіну [1:10000]:
     −	 до 1 мл 0,1 % розчину адреналіну гідрохлориду або 0,18 %
        розчину адреналіну гідротартрату треба додати 9  мл 0,9  %
        розчину натрію хлориду.
•	 Набирають у шприц 1-5 мл приготовленого розчину [1:10000].
  •	 Дозування:
     −	 внутрішньовенна доза – 0,1-0,3 мл/кг (0,01-0,03 мг/кг)
     −	 ендотрахеальна доза – 0,3-1,0 мл/кг (0,03-0,1 мг/кг).
  •	 Не можна застосовувати більші внутрішньовенні дози адрена-
     ліну під час реанімації новонароджених, оскільки їх уведення
     може спричинити ураження мозку і серця дитини. Менші ендо-
     трахеальні дози неефективні.
  •	 За відсутності ефекту і наявності показань введення адреналі-
     ну повторюють кожні 3-5 хвилин. Повторні введення адреналі-
     ну здійснюють лише внутрішньовенно.
1.3. Техніка введення:
  •	 Розчин адреналіну вводять швидко.
  •	 Рекомендований шлях введення адреналіну  – внутрішньовен-
     ний; ендотрахеальне введення можна використати, поки забез-
     печується венозний доступ.
  •	Ендотрахеально адреналін вводять зі шприца безпосередньо до
     ендотрахеальної трубки або через зонд, уведений у трубку; піс-
     ля введення медикаменту до трахеї важливо відразу провести
     декілька ефективних вентиляцій під позитивним тиском.
2.	 Засоби, що нормалізують судинний об’єм крові.
2.1. Показання до застосування:
  •	 Гіповолемія:
     −	 можливість розвитку цього стану слід передбачити у всіх
        дітей, стан яких не поліпшується після проведених ШВЛ і
        непрямого масажу серця, особливо, за наявності даних про
        можливу крововтрату;
     −	 інші симптоми гіповолемії  – блідість, слабке наповнення
        пульсу і відсутність ознак поліпшення периферичного кро-
        вообігу, незважаючи на всі реанімаційні зусилля.
Препарати:
  •	 0,9% розчин натрію хлориду (фізіологічний розчин);
  •	 для корекції значної крововтрати (наявні клінічні ознаки гемо-
     рагічного шоку) може бути потрібною невідкладна трансфузія
     0 (I) Rh(-) еритромаси;
•	 розчини, що містять альбумін, не повинні використовуватись під час
     первинної реанімації, оскільки їх застосування пов’яза­ о з вищим
                                                           н
     ризиком інфекційної захворюваності і смерті новонароджених.
2.3. Дозування і введення:
  •	 Готують 40 мл 0,9% розчину натрію хлориду у шприцах або
     системі .
  •	 Доза – 10 мл/кг.
  •	Шлях введення – внутрішньовенно повільно, протягом 5-10 хвилин.
3.	 Натрію гідрокарбонат.
Немає достатніх наукових підстав, щоб рекомендувати рутинне за-
стосування розчину натрію гідрокарбонату для первинної реаніма-
ції новонароджених.
3.8. Показання до застосування:
  •	Ймовірний або доведений важкий метаболічний ацидоз, ви-
      ключно під час тривалої неефективної реанімації на фоні адек-
      ватної ШВЛ.
3.9. Дозування і введення:
  •	 Концентрація розчину – 4,2 % або 0,5 мекв/мл.
  •	 Готують 20 мл у шприці.
  •	 Доза – 4 мл/кг або 2 мекв/кг.
  •	Шлях уведення – у вену пуповини за наявності доброго зворот-
      ного відтоку крові.
  •	Швидкість введення повільна – не швидше, ніж 2 мл/кг/хвилину.
3.10.  Розчин натрію гідрокарбонату не можна вводити доти, поки
    не налагоджені ефективні вентиляція легень і перфузія тканин
    новонародженого.
4.	 Налоксону гідрохлорид.
Уведення налоксону гідрохлориду не можна вважати засобом пер-
шої допомоги дитині з відсутнім самостійним диханням, якій насам-
перед потрібно розпочати вентиляцію під позитивним тиском.
4.1. Показання до застосування:
  •	 Значне пригнічення дихання в новонародженого після віднов-
     лення нормальних ЧСС і кольору шкіри на фоні ШВЛ за умо-
     ви уведення наркотичних анальгетиків (опіоїдів) матері з метою
знеболення пологів протягом останніх 4 годин до народження
      дитини.
4.2. Дозування і введення:
  •	 Рекомендована концентрація розчину – 1,0 мг/мл.
  •	 Доза – 0,1 мг/кг.
  •	Шляхи введення:
      −	 внутрішньовенному надають перевагу;
      −	 внутрішньом’язовий  – допустимий, але дія ліків буде спо-
         вільнена;
      −	 ендотрахеальне введення налоксону неефективне.
4.3. Не можна призначати налоксон дитині від матері з підозрою
    на наркотичну залежність або від матері, яка знаходиться на
    тривалому підтримуючому лікуванні наркотичними препа-
    ратами. Це може спричинити виникнення важких судом у
    новонародженого.
4.4.  Налоксону гідрохлориду не є антагоністом інших препара-
    тів, які можуть пригнічувати дихання дитини за умови їх при-
    значення матері (анестетики, магнію сульфат, ненаркотичні
    анальгетики тощо), а тому не повинен використовуватись в та-
    ких випадках.



           Алгоритм виконання практичної навички
              Гінекологічне дослідження
          Дослідження за допомогою дзеркал
     Обстеження за допомогою дзеркал проводиться з метою оцін-
ки стану стінок піхви, склепінь і шийки матки, дослідження характе-
ру виділень із піхви та цервікального каналу. Це обстеження передує
вну­ рі­ ньо­ у обстеженню, оскільки під час останнього можливі
    т ш м
зміни картини патології.
     Обладнання: гінекологічне крісло, стерильні рукавички, де-
зинфікуючий розчин, корнцанг, піхвові дзеркала (стулкове дзерка-
ло Куско або ложкоподібне дзеркало Сімса і плоский підіймач), пе-
люшка, ватні кульки.
Техніка виконання
Проведення обстеження за допомогою ложкоподібного дзеркала
                Сімса та плоского підіймача
1.	 Запропонувати жінці лягти на гінекологічне крісло на пелюшку.
2.	 Обробити зовнішні статеві органи дезинфікуючим розчином.
3.	 Надягнути стерильні рукавички.
4.	 Першим і другим пальцями лівої руки розвести соромітні губи.
5.	 У праву руку взяти лож­ оподібне дзеркало Сімса.
                           к
6.	 Увести дзеркало попе­ еч­ им розміром уздовж со­ о­ ітної щіли-
                         р н                       р м
    ни до склепіння піхви (рис. 1).
7.	 У піхві повернути дзеркало на 900 рукояткою донизу та трохи
    відтиснути промежину і задню стінку піхви до крижів (рис.2).
8.	 У такий самий спосіб увести підіймач.
9.	 Підняти передню стінку піхви.
10.	 глянути оголену шийку матки (рис. 3).
    О
11.	Вивести дзеркала у зворотному напрямі.
12.	 иводячи дзеркала, оглянути стінки піхви.
    В




                Рис. 1. Уведення дзеркала Сімса
Рис. 2. Дзеркало Сімса уведене




                 Рис. 3. Оголена шийка матки
            Проведення обстеження за допомогою
                 стулкового дзеркала Куско
1.	 Першим і другим пальцями лівої руки розвести соромітні губи.
2.	 У праву руку взяти стулкове дзеркало Куско.	
3.	 Увести дзеркало в складеному стані попе­ ечним розміром бран-
                                           р
    шів уздовж соромітної щілини до піхви (рис. 4).
Рис. 4. Уведення дзеркала Куско




                Рис. 5. Дзеркало Куско уведене
4.	 У піхві повернути дзеркало на 900 гвинтовою частиною донизу
    та розвести стулки так, щоб піхвова частина шийки матки опи-
    нилася між розкритими кінцями стулок.
5.	 За допомогою гвинта зафіксувати потрібний ступінь роз­ и­ ен­
                                                         ш р
    ня піхви (рис. 5).
6.	 Оглянути оголену шийку матки.
7.	 Вивести дзеркало, попередньо стуливши стулки.	
8.	 Виводячи дзеркало, оглянути стінки піхви.
Оцінка результатів обстеження. Стан піхви оцінюють за
складчастістю стінок, кольором слизової оболонки, наявністю пато-
логії (виразки, розростання, пухлини).
     Нормальна шийка матки блідо-рожевого кольору, конічної фор-
ми (у жінок, які ще не народжували) чи циліндричної (у жінок, які вже
народжували), зовнішній зів або точковий, або щіли­ оподібний (за-
                                                     н
лежно від наявності пологів в анамнезі), слизові виділення незначні.

               Бімануальне комбіноване
         вагінально-абдомінальне обстеження
     Бімануальне комбіноване обстеження є основним видом гінеко-
логічного обстеження, яке використовується з метою з’ясування по-
ложення, величини, форми матки, визначення стану придатків, тазо-
вої очеревини і клітковини.
     Обладнання: гінекологічне крісло, пелюшка, стерильні рука-
вички, дезинфікуючий розчин, корнцанг, ватні кульки.

                           Техніка виконання
 1.	 Запропонувати жінці лягти на гінекологічне крісло на пелюшку.
 2.	 Обробити зовнішні статеві органи дезинфікуючим розчином.
 3.	 Надягнути стерильні рукавички.
 4.	 Першим і другим пальцями лівої руки розвести великі сороміт-
     ні губи.
 5.	 Другий і третій пальці правої руки увести в пе­­­­
                                                      реднє склепіння
     піхви, шийка від­ ис­ ається дозаду; четвертий та п’ятий пальці
                        т к
     притиснути до долоні; великий палець відвести догори (рис.6).
 6.	 Лівою рукою обережно натиснути на пе­ ед­ ю черевну стінку над
                                             р н
     лобковим горбом у напрямі до пальців «внутрішньої руки» (рис. 7).
 7.	 Намагатися зблизити пальці обох рук.
 8.	 Обстежити матку: визначити її розміри (нормальна, зменшена,
     збільшена); форму (грушоподібна, куляста, неправильної фор-
     ми); консистенцію (щіль­ о еластична, розм’якла, ущіль­­
                                 н                               нена);
     положення (ти­ о­ е, нетипове, зміщене по го­ и­ онтальній чи
                      п в                            р з
     вер­ и­ аль­ ій осі, нахил, перегин тощо); чутливість (болісність,
         т к н
     без­ о­ іс­­
         б л ність під час обстеження); рухомість (рухома, обмеже-
     но рухома) (рис. 8).
Рис. 6. Уведення пальців у піхву




      Рис. 7. Бімануальне обстеження




Рис. 8. Бімануальне обстеження матки (схема)
9.	 Пальці обох рук уз­ од­ е­­ пе­ емістити в бокові частини скле­
                           г ж но р
     пінь та від­ о­ ід­ і боки таза на рівень матки і обстежити при-
                п в н
     датки матки. Незмі­ е­ і маткові труби тонкі та м’які, тому вони
                           н н
     здебільшого не про­ а­ у­ ться. Щодо яєч­ иків, то визначають
                            м ц ю                н
     їх форму (мигдалеподібна, не­ ра­ иль­ а), ве­ и­ ину, рухомість і
                                     п в н         л ч
     чутливість (рис. 9).




     Рис. 9. Бімануальне обстеження придатків матки (схема)
  10.	 ослідити стан зв’язкового апарату, тазової клітковини та очере-
      Д
      вини малого таза шляхом промацування відповідно до топографії.
  11.	Вийняти пальці з піхви.
      Оцінка результатів обстеження. Величина матки: у нормі
дов­ ина матки разом з шийкою складає 7-10 см. У жінки, яка не на­
    ж
род­ увала, дещо менше, ніж у жінки, яка народжувала. Зменшення
    ж
мат­ и можливе при інфантильності, атрофії в клімактеричному пе-
    к
ріоді і менопаузі. Збільшення матки спостерігається при пухлинах
(фіб­ о­ іо­ а), при вагітності. Форма матки в нормі грушоподібна,
     р м м
дещо сплю­­  щена спереду назад. При вагітності матка кулеподібна,
         л нах – неправильної форми. Консистенція матки в нор-
при пух­ и­­
мі туго­ ­ ас­ ич­ а, при вагітності стінка матки м’яка, при фібромі-
        ел т н
омах – щіль­ а. У деяких випадках матка може флуктуювати, що ха-
              н
рактерно для ге­ а­ ометри і піометри. Положення матки (нахил
                   м т
матки (versio), пе­ е­ ин (flexio), зміщення по горизонталі (positio),
                     р г
по вертикалі (elevatio, prolapsus, descensus) та ін.) має дуже вели-
ке значення. У нормі матка роз­ іщена в центрі малого таза. Дно її
                                  м
знаходиться на рівні входу в ма­ ий таз, отвір матки – на рівні спі-
                                  л
нальної лінії. Шийка і тіло матки ут­ орюють кут, який відкритий до-
                                     в
переду (anteflexio). Вся матка дещо на­ илена допереду (anteversio).
                                        х
Положення матки змінюється при змі­ і положення тулуба, при пе-
                                       н
реповненні сечового міхура і прямої киш­ и. При пухлинах у ділянці
                                          к
придатків матка зміщується в протилежний бік, при запальних про-
цесах – у бік запалення. Болісність матки при пальпації відмічаєть-
ся тільки при паталогічних процесах. Рухомість матки. У нормі,
особливо в жінок, які народжували, матка має здатність до рухли-
вості. При опущенні і випадінні матки рухливість її стає надмірною
за рахунок розслаблення зв’язкового апарату. Обмежена рухливість
спостерігається при інфільтратах біляматкової клітковини, зрощенні
матки з пухлинами та ін.
     Незмінені маткові труби тонкі і м’які, вони не промацуються.
Інколи виявляється тонкий щільний круглий шнурок, болючий при
пальпації, або вузлуваті потовщення в ділянці рогів матки і в переший-
ку маткової труби (сальпінгіт, вузлуватий сальпінгіт). Сактосальпінкс
промацується у вигляді продовгуватого утворення, що розширюєть-
ся в бік лійки маткової труби. Піосальпінкс частіше всього менш ру-
хомий або фіксований спайками. Нерідко при патологічних процесах
розміщення труб змінюється, вони можуть бути з’єднані спайками
спереду або ззаду матки, інколи навіть на протилежному боці.
     Яєчники добре промацуються у вигляді тіла мигдалеподібної
форми величиною 3 х 4 см, достатньо рухомі і чутливі. Здавлення
яєчників при обстеженні викликає болючу реакцію, що при добрій
рухомості не свідчить про наявність запального процесу. Яєчники
зазвичай збільшуються перед овуляцією і при вагітності. При клі-
максі, довготривалій аменореї яєчники значно зменшуються. При
значних запальних процесах промацати яєчник і трубу окремо час-
тіш всього не вдається: визначається часто болючий конгломерат.
     Незмінені зв’язки матки зазвичай не визначаються. Круглі зв’яз­
ки можна промацати під час вагітності і при розвитку в них міоми. При
цьому зв’язки пальпуються у вигляді тяжів, які проходять від країв
матки до внутрішнього отвору пахвинного каналу. Крижово-мат­ ові   к
зв’язки промацуються після перенесеного параметриту (інфільтрація
і рубцеві зміни). Зв’язки проходять у вигляді тяжів від задньої по-
верхні матки на рівні перешийка дозаду і до крижа. Крижово-маткові
зв’язки краще визначаються при дослідженні per rectum.
     Навколоматкова клітковина (параметрій) і серозна оболонка
(периметрій) пальпуються тільки за наявності в них інфільтратів
(ракових або запальних), спайок або ексудату.


                    РЕКТАЛЬНЕ обстеження
      Обстеження через пряму кишку показане при неможливості
піхвинного обстеження (у дівчат, при стенозі і атрезії піхви), за необ-
хідності більш детального обстеження тазових органів (при пухли-
нах, щоб визначити ступінь їх розповсюдження на тазову клітковину
і стінки кишки), а також при запальних захворюваннях, щоб визна-
чити стан крижово-маткових зв’язок і параректальної клітковини.
      Обладнання: гінекологічне крісло, пелюшка, стерильні рука-
вички, вазелін, дезинфікуючий розчин, корнцанг, ватні кульки.

                          Техніка виконання
 1.	 Виконати очисну клізму.
 2.	 Запропонувати лягти на гінекологічне крісло на пелюшку.
 3.	 Обробити зовнішні статеві органи дезинфікуючим розчином.
 4.	 Надягнути рукавички.
 5.	 Другий палець занурити у вазелін.
 6.	 Запропонувати пацієнтці по­ у­ и­ ись.
                                  т ж т
 7.	 Під час потуги увести палець у пряму кишку.
 8.	 «Зовнішню» руку роз­ іс­­
                            м тити на передній че­ ев­­ стінці у про-
                                                    р ній
     екції тіла матки (рис. 10).
 9.	 Обстежити необхідні анатомічні структури. Спочатку обстежуєть-
     ся піхвова частина шийки матки, яка йде впродовж передньої стінки
     кишки, яка здається товстою і ве­ и­ ою, оскільки при нор­ аль­ ому
                                     л к                      м н
     положенні нею ви­ инається стінка киш­ и. Потім за допомогою зо-
                       п                     к
     внішньої руки промацується задня стінка матки, крижово-маткові
     зв’язки, маткові труби і яєчники, інколи вони пальпуються більш
     чітко, ніж при піх­ овому дослідженні. Потім обстежується пара-
                        в
     метрій, задній тазовий простір і передня поверхня крижа.
Рис. 10. Ректальне обстеження (схема)


     ректо-вагінально-абдомінальне обстеження
     Комбіноване ректо-вагінально-абдомінальне обстеження ви-
користовується при підозрі на наявність патологічних процесів у
стінці піхви, прямої кишки або прямокишково-піхвової перетин-
ки. Вказівний палець уводиться в піхву, а середній – у пряму кишку
(у деяких випадках для вивчення міхурово-маткового простору в пе-
реднє склепіння уводиться великий палець, а в пряму кишку – вка-
зівний). Між уведеними пальцями визначається рухомість або наяв-
ність спайок слизових оболонок, локалізація інфільтратів, пухлин і
інші зміни в стінці піхви, прямої кишки і клітковини прямокишково-
піхвової перетинки.
Алгоритм виконання практичної навички
            Взяття матеріалу з вагіни, уретри
                та цервікального каналу

      Забір матеріалу проводять із сечівника, каналу шийки матки та
задньої частини склепіння піхви для бактеріоскопічного досліджен-
ня, яке застосовується з метою діагностики запальних процесів, а
також для визначення різновиду мікробного чинника, ступеня чи-
стоти піхви, що є необхідним перед гінекологічними операціями та
діаг­ ос­ ич­ и­ и маніпуляціями.
    н т н м
      Підготовка до дослідження: не можна проводити сприн­ ю­     ц
ван­ я та лікувальні процедури, пов’язані з уведенням фар­ а­ о­ о­ іч­
    н                                                    м к л г
них засобів до піхви; не можна спорожняти сечовий міхур за 2 год.
до взяття мазка; не можна мати напередодні статевих зносин; іноді
рекомендують напередодні провести аліментарну провокацію на го-
норею (вживати гострі страви, пиво).
      Обладнання: гінекологічне крісло, піхвові дзеркала, предмет-
не скло, три ложечки Фолькмана або пінцети, корнцанг, шпатель,
стерильний перев’язувальний матеріал, стерильні рукавички, чиста
пелюшка, дезинфікуючий розчин, олівець по склу.

                          Техніка виконання
 1.	 Запропонувати жінці лягти на гінеко­ о­ іч­ е крісло на чисту
                                               л г н
     пелюшку.
 2.	 Підготувати предметне скло (розділити скло відповідно до міс-
     ця взяття матеріалу на три частини спеціальним олівцем та по-
     значити ці частини буквами «C», «V», «U» (рис. 11). Скло му-
     сить бути чистим сухим та знежиреним).
 3.	 Надягнути стерильні рукавички.
 4.	 Пальцями лівої руки розвести соромітні губи.
 5.	 Вказівний палець правої руки увести в піхву і крізь передню
     стінку про­ а­ а­ у­ а­ и сечівник (рис. 12).
               м с ж в т
 6.	 Першу порцію із сечівника зняти ватною кулькою (рис. 13).
 7.	 Ложечку Фолькмана увести в сечівник на 1,5-2 см і шляхом
     зскрібка взяти матеріал (рис. 14).
 8.	 Матеріал нанести на скло з позначкою «U» (рис.	15).
Рис. 11. Предметне скло з позначками «C», «V», «U»




         Рис. 12. Масаж сечівника (схема)




  Рис. 13. Протирання сечівника ватною кулькою
Рис. 14. Забір матеріалу із сечівника ложечкою Фолькмана




         Рис. 15. Нанесення матеріалу з уретри на скло
9.	 Увести дзеркала в піхву.
10. Протерти шийку матки ватною кулькою (рис. 16).
11. Взяти другу ложечку Фолькмана й увести в канал шийки мат-
    ки (рис. 17).
12. Шляхом зскрібка взяти матеріал (рис. 18).
13. Отриманий матеріал нанести на предметне скло із позначкою
    «С» (рис. 19).
14. Не виймаючи дзеркал із піхви, третьою ложечкою Фолькмана
    взя­ и матеріал із задньої частини склепіння піхви (рис. 20,21).
       т
15. Одержаний матеріал нанести на предметне скло із позначкою
    «V» (рис. 22).
Рис. 16. Протирання шийки матки ватною кулькою (схема)




     Рис. 17. Уведення пінцета в канал шийки матки




 Рис. 18. Забір матеріалу із цервікального каналу (схема)
Рис. 19. Нанесення матеріалу із цервікального каналу
                 на предметне скло




     Рис. 20. Оголена шийка матки в дзеркалах




Рис. 21. Забір матеріалу із заднього склепіння піхви
Рис. 22. Нанесення матеріалу з піхви на предметне скло

  16. Вийняти дзеркала.
  17. Заповнити супровідні документи (направлення, в якому вказа­
     ти прізвище, ім’я та по батькові жінки, відділення, місце про­­­­
     живання, дату взяття мазка, мету дослідження, прізвище лі­ аря).
                                                              к
     Оцінка результатів дослідження. Місця взяття матеріалу зу-
мовлені наявністю циліндричного епітелію та можливим місцем пе-
ребування там збудника гонореї.
     У дорослих здорових жінок виділення з піхви білуваті, верш-
коподібні, іноді крихкуватої консистенції, кислої реакції. Вони
складаються із злущених клітин плоского епітелію, мікрофлори та
транссудату.
     Під час запальних процесів кількість епітеліальних клітин зна-
чно збільшується, іноді вони разом із лейкоцитами покривають усе
поле зору під мікроскопом. Під час патологічного запального проце-
су змінюється і характер виділень. Вони стають рідкої консистенції,
жовто-зеленого чи іншого кольору, може з’являтися кров.
     Змінюється і кількість мікрофлори піхви, що призводить до змі-
ни рН виділень (що менше паличок молочно-кислого бродіння, то
більш лужна реакція).
Алгоритм виконання практичної навички
           Кольпоцитологічне дослідження

     Це метод дослідження цитологічної картини мазків піхвово-
го епітелію, при якому за співвідношенням клітин багатошарового
плоского епітелію можна судити про функціональний стан яєчників.
     Підготовка до дослідження: не можна мати напередодні ста-
тевих зносин; за 2 доби не можна проводити спринцювання та ліку-
вальні процедури, пов’язані з уведенням фармакологічних засобів до
піхви; за 15 днів припинити уведення гормонів; за наявності запаль-
ного процесу піхви – пролікувати.
     Обладнання: гінекологічне крісло, піхвові дзеркала, предмет-
не скло, корнцанг, шпатель, стерильний перев’язувальний матеріал,
стерильні рукавички, чиста пелюшка, дезинфікуючий розчин, суміш
Нікіфорова, простий олівець.

                          Техніка виконання
  1.	 Запропонувати жінці лягти на гінекологічне крісло на чисту
      пелюшку.
  2.	 Обробити зовнішні статеві органи дезинфікуючим розчином.
  3.	 Увести гінекологічні дзеркала (рис. 23).
  4.	 Пінцетом чи ложечкою Фолькмана (шпателем) методом зскріб-
      ка взяти матеріал із бічної частини піхви (рис. 24).
  5.	 Нанести його тонким шаром на предметне скло (рис. 25).
  6.	 Замаркірувати простим олівцем по склу чи прикріпити до ньо-
      го смужку паперу з прізвищем пацієнтки, написаним простим
      олівцем.
  7.	 Помістити в суміш Нікіфорова на 20-30 хв., або висушити на
      повітрі протягом 10-15 хв.
  8.	 Заповнити направлення, де вказати прізвище, ім’я та по батько-
      ві жінки, відділення, місце проживання, дату взяття мазка, мету
      дослідження, день менструального цик­ у, прізвище лікаря.
                                              л
  9.	 Прикріпити до скла.
      Оцінка результатів дос­ ідження. Підрахунок клі­ ин­ их еле-
                               л                           т н
ментів проводять в 6-8 полях зору в середній частині скла на 100-
200 клітин у найбільш чистих ділянках препарату.
Рис. 23. Уведені гінекологічні дзеркала у піхву




Рис. 24. Забір матеріалу з бічної частини піхви




Рис. 25. Нанесення матеріалу на предметне скло
Епітелій піхви пред­ тав­ е­ ий кіль­ ома видами клітин, які роз­­
                          с л н           к
мі­ ені шарами. Базальні клі­ и­ и – не­ еликі, з базофільною про­ о­
   щ                          т н        в                          т
плаз­ ою, великим ядром, яке розміщене в центрі клітини. Наяв­ ість
     м                                                            н
таких клітин є ознакою різко вираженого естрогенного дефіциту.
Парабазальні клітини – за розмірами більші базальних, неправиль-
ної форми і меншими розмірами ядра з базофільною цитоплазмою –
ознака естрогенного дефіциту. Проміжні клітини – за розмірами
більші парабазальних, неправильної форми (по­ і­ о­ аль­ ої, оваль-
                                                   лг н н
ної), з рівними округлими ядрами, ексцентрично розміщеними і ба-
зофільно окрашеною цитоплазмою – ознака помірного естрогенно-
го впливу. Поверхневі клітини – найбільші клітини, з найменшими
ядрами. Форма клітин багатокутна, краї тонкі, цитоплазма світ-
ла, забарвлена базофільно і ацидофільно – показник естрогенної
насиченості.
      Розрізняють 4 реакції клітинного складу мазка залежно від
ступеня естрогенного впливу на організм.
      Перша реакція характерна для різкої естрогенної недо­ тат­ о­
                                                               с н
сті. У мазку тільки базальні клітини і лейкоцити (рис. 26).
      Друга реакція характерна для помірної естрогенної недостатнос­
ті. У мазку переважають базальні клітини, але є і невелика кількість
проміжних клітин і лейкоцитів (рис. 27).




  Рис. 26. Кольпоцитологічна            Рис. 27. Кольпоцитологічна
     картина анестрогенії                 картина гіпоестрогенії
Рис. 28. Кольпоцитологічна           Рис. 29. Кольпоцитологічна
   картина нормоестрогенії               картина гіперестрогенії
      Третя реакція харак­­ на для помірної ак­ ив­ ос­ і естрогенів.
                           тер­                   т н т
У мазку гру­ и (пласти) проміжних клі­ ин і невелика кількість по­
              п                          т
верхневих (рис. 28).
      Четверта реакція ха­ ак­­
                            р терна для підвищеної насиченості ест­
ро­ енів в організмі. Перед овуляцією – клітини великі, полігональ­
   г
ні з блідою слабозафарбованою цитоплазмою і маленьким пікнотич-
ним ядром, розміщені окремо і невеликими групами (рис. 29).
      При оцінці кольпоцитограми підраховують індекси від­ от­ о­ о­ о
                                                             с к в г
вмісту клітин різних шарів серед 100, 200 або 500 всіх клітин мазка:
каріо­ ік­ о­ ич­ ий індекс (КПІ), еозино­ іль­ ий (ЕІ), ацидофільний
      п н т н                            ф н
(АІ), індекс дозрівання (ІД). Остан­ ій виражають формулою числа
                                      н
парабазальних (проміжних), поверхневих клітин на 100 під­ а­ ованих.
                                                            р х
Зсув вліво відповідає зни­ енню естрогенної на­ и­­
                            ж                      с ченості, вправо –
підвищенню. Перед овуляцією КПІ дорівнює 60‑85%, АІ – 30-45%.
      Крім цього, розрізняють мазки типу: проліферативного – пере-
важно із клітин поверхневого шару, розміщених невеликими група-
ми або окремо з високим КПІ і ЕІ, які свідчать про високий вплив
естрогенів; цитологічного – з уривками цитоплазми зруйнованих клі-
тин і голими ядрами – свідчить про зниження рівня естрогенів або
поєднання естрогено-андрогенних впливів; про­ іж­ о­ о – переважно
                                                 м н г
із проміжних клітин з великими круглими ядрами, розміщених гру-
пами і пластами, КПІ – 5-15%, ЕІ – не вище 10% – свідчить про до-
статній естрогенний вплив; атрофічного – із базальних і частково па-
рабазальних клітин – свідчить про важку естрогенну недостатність;
андрогенного – із проміжних клітин із великими ядрами і невеликою
кількістю ороговівших поверхневих клітин – характерно для менопа-
узи; змішаного – із базальних, проміжних і в невеликій кількості по-
верхневих – характерно для слабкої естрогенної стимуляції на фоні
помірної андрогенної стимуляції гормонами кори наднирників.


         Ситуаційні завдання до практичної навички
       Оцінка результатів кольпоцитологічного
         дослідження та тестів діагностики
          функціонального стану яєчників
№1. В мазку переважають проміжні клітини і зустрічаються пооди-
нокі парабазальні клітини. Оцініть тип (реакцію) мазка та якому ста-
ну організму вона притаманна?

№2. Мазок складається із зроговілих клітин; базальні клітини та
лейкоцити відсутні. Оцініть тип (реакцію) мазка та якому стану ор-
ганізму вона притаманна?

№3. У жінки остання менструація була 3 тижні тому. При огляді
шийки матки в дзеркалах симптом зіниці не визначається, в церві-
кальному каналі незначна кількість слизу, при дослідженні симпто-
му кристалізації слизу елементи «листка папороті» розташовані ра-
діально, без чітких країв. КПІ 20%. Якій фазі менструального циклу
відповідають дані тестів діагностики?

№4. У жінки остання менструація була 3 тижні тому. При огляді
шийки матки в дзеркалах визначається виражений симптом зіниці,
слиз із шийки матки розтягується до 15см, яскраво виражений симп-
том кристалізації слизу (симптом «папороті»). Про який гормональ-
ний стан організму говорять представлені дані?

№5. В мазку базальні та проміжні клітини з переважанням базаль-
них та лейкоцитів. Оцініть тип (реакцію) мазка та якому стану орга-
нізму вона притаманна?
№6. У жінки 28 років з безпліддям протягом 2 років визначається
монофазний тип кривої базальної температури. При огляді шийки
матки в дзеркалах на 20-й день циклу визначається виражений симп-
том зіниці, слиз із шийки матки розтягується до 18см, яскраво вира-
жений симптом кристалізації слизу. Про переважання яких гормонів
яєчника говорять представлені дані?

№7. В мазку відмічається повна відсутність клітин зроговілого епіте-
лію та клітин проміжного типу. Визначаються тільки базальні (атро-
фічні) клітини та лейкоцити. Оцініть тип (реакцію) мазка та якому
стану організму вона притаманна?

№8. При огляді шийки матки в дзеркалах визначається виражений
симптом зіниці, слиз із шийки матки розтягується до 15см, яскраво
виражений симптом кристалізації слизу (симптом «папороті»). Якій
фазі менструального циклу відповідають дані тестів діагностики?

№9. В мазку визначаються уривки цитоплазми зруйнованих клітин і
голі ядра. До якого типу належить даний мазок? Про зниження рівня
яких гормонів яєчника він свідчить?

№10. У жінки 50 років остання менструація була 3 роки тому. При
огляді шийки матки в дзеркалах симптом зіниці не визначається, в
цервікальному каналі слиз відсутній, симптом кристалізації слизу (-).
Про недостатність яких гормонів яєчника говорять представлені дані?

№11. У жінки 38 років після екстирпації матки з додатками при огля-
ді в дзеркалах визначається витончена слизова піхви, складчастість
її слабко виражена, виділення незначні. В мазку базальні та проміж-
ні клітини з переважанням базальних та лейкоцитів. Оцініть тип
мазка та якому стану організму вона притаманна?

№12. У жінки 29 років визначається двофазний тип кривої базаль-
ної температури. При огляді шийки матки в дзеркалах на 17-й день
циклу визначається незначна кількість слизу в цервікальному кана-
лі, слиз із шийки матки розтягується до 5 см, симптом кристалізації
слизу (++). Оцініть функціональний стан яєчників?
№13. Мазок складається переважно із розміщених групами і плас-
тами проміжних клітин з великими круглими ядрами, КПІ – 5-15%,
ЕІ – не вище 10%. До якого типу належить даний мазок? Про який
гормональний стан яєчника він свідчить?

№14. В мазку переважають клітини поверхневого шару, розміщені
невеликими групами або окремо з високим каріопікнотичним та ео-
зинофільним індексами. До якого типу належить даний мазок? Про
переважання впливу яких гормонів він свідчить?



      Ситуаційні завдання до практичної навички
Оцінка результатів цитологічного, гістологічного,
         бактеріологічного досліджень

№1. У жінки 55 років із менопаузою 7 років 4 дні спостерігаються
мажучі кров’янисті виділення. Гістологія слизової матки – високо-
диференційована аденокорцинома, яка виникла з поліпа ендометрія.
Куди слід направити жінку для подальшого лікування? Об’єм опера-
тивного втручання?

№2. При мікроскопії мазка із піхви у жінки 24 років знайдено: лей-
коцити  – 10-15 у полі зору, «ключові клітини», переважає кокова
флора, лактобацили відсутні, рН піхвових виділень > 4,4. Діагноз?

№3. У жінки 39 років, що скаржиться на затримку менструації на
1,5-2 місяці та рясні менструації, проведено вишкрібання слизової
матки. Результат гістологічного дослідження зіскрібка: на фоні нор-
мальної будови ендометрія знайдено ділянки із залозисто-кістозною
гіперплазією. Діагноз? На якому гормональному фоні виникає дана
патологія?

№4. При гістологічному дослідженні ендометрія знайдено: ендоме-
трій потовщений, залозисті крипти звивисті, їх просвіт розширений.
Гранули глікогену розміщені в апікальних відділах клітин. Мітоз від-
сутній. Строма соковита, пухка, дещо набрякла. Спіральні артерії
звивисті. Визначте фазу менструального циклу.
№5. Жінка 65 років скаржиться на свербіж у піхві, при мікроскопіч-
ному дослідженні мазка CVU виявлено 40 лейкоцитів у полі зору,
кокова флора, епітелій незначний, переважають парабазальні та ба-
зальні клітини. Діагноз? Призначте етіотропну терапію.

№6. Жінка 30 років звернулась до гінеколога з приводу безпліддя.
З анамнезу: турбують міжменструальні кров’янисті виділення. При
гістологічному дослідженні знайдено аденоматозний поліп ендоме-
трія. На якому гормональному фоні виникає дана патологія? Які гор-
мональні препарати слід призначити?

№7. У пацієнтки М. 20 років, 7 днів тому з’явились скарги на різі
при сечовипусканні, жовто – зелені виділення із піхви. При мікро-
скопічному дослідженні мазка із уретри, піхви, цервікального кана-
лу виявлено відповідно 100-100-70 лейкоцитів, внутрішньоклітинні
грамнегативні диплококи. Діагноз? Чи є необхідність у проведенні
специфічної провокації запального процесу?

№8. Жінці 32 роки. Її турбують дисфункціональні довготривалі мат-
кові кровотечі. З початком менструації проведено вишкрібання сті-
нок порожнини матки. При гістологічному дослідженні зіскрібка
знайдено просту гіперплазію ендометрія. Діагноз? На якому гормо-
нальному фоні виникає дана патологія?

№9. Жінка 37 років звернулась до гінеколога з приводу ерозії ший-
ки матки. Проведено біопсію і гістологічне дослідження біоптату.
Знайдено дисплазію шийки матки. Визначте тактику лікаря.

№10. Жінка 65 років скаржиться на свербіж у піхві, при мікроско-
пічному дослідженні мазка CVU виявлено 40 лейкоцитів у полі зору,
кокова флора, епітелій незначний, переважають парабазальні та ба-
зальні клітини. Поставте діагноз.

№11. У жінки М. 26 років, яка скаржиться на виділення з піхви, при огля-
ді шийки матки виявлено гіперемію цервікального каналу. При імуноф-
люоресцентній мікроскопії виявлено Chlamidia trachomatis. Поставте ді-
агноз. Якими групами препаратів потрібно лікувати дане захворювання?
№12. При імуноферментній мікроскопії мазка зішкрібу з цервікаль-
ного каналу знайдено Micoplasma hominis. Поставте діагноз. Якими
групами препаратів потрібно лікувати дане захворювання?

№13. При мікроскопії мазка вагінальних виділень у жінки 26 років
виявлено 60 лейкоцитів, дріжджоподібні гриби, мікрофлора незнач­
на. Поставте діагноз.

№14. При імуноферментній мікроскопії виділень з цервікального
каналу знайдено Ureaplasma urealyticum. Поставте діагноз.

№15. При гістологічному дослідженні ендометрія знайдено: ендоме-
трій потовщений, залозисті крипти подовжені, звивисті, але не міс-
тяь секрету. Строма пухка, дещо набрякла. Визначте фазу менстру-
ального циклу.

№16. При мікроскопії мазка із піхви у жінки 24 років знайдено: лейко-
цити – 10-15 у полі зору, «ключові клітини», переважає кокова флора,
лактобацили відсутні, рН піхвових виділень > 4,4. Поставте діагноз.

№17. При мікроскопії мазка вагінальних виділень у жінки 20 років
виявлено лактобацили, поодинокі лейкоцити та грампозитивні па-
лички в помірній кількості, рН піхвових виділень ≤ 4,4. Поставте
діагноз.

№18. В мазку визначаються поодинокі клітини плоского епітелію,
палички Додерлейна у значній кількості, поодинокі лейкоцити, са-
профіти, дрібна паличка у невеликій кількості. Якому ступеневі чи-
стоти піхви відповідає даний мазок?

№19. При гістологічному дослідженні ендометрія знайдено: ткани-
на ендометрія набрякла, є лейкоцитарна інфільтрація, крововиливи в
строму. Поряд із цим відмічаються зірчасті контури залозистих крипт
і клубки спіральних артерій у стромі. Яка фаза менструального циклу?

№20. В мазку визначаються лейкоцити та кокова флора у великій кіль-
кості, палички Додерлейна відсутні, наявний специфічний збудник
(трихомонада). Якому ступеневі чистоти піхви відповідає даний мазок?
№21. В хворої 18 років при бактеріоскопії матеріалу отримано такі
результати: лейкоцити у цервікальному каналі – 5, у піхві – 100, ві-
зуалізуються Thrichomonas vaginalis, в уретрі – 5-6 лейкоцитів в полі
зору. Поставте діагноз. Назвіть один з препаратів етіотропної терапії.

№22. Жінка 47 років протягом 20 років хворіє на цукровий діабет
І  типу, гіпертонічну хворобу ІІ ступеня, опасистість ІІ-ІІІ ступеня.
Проведено 6 міс. тому діагностичне вишкрібання з приводу маткових
кровотеч. Гістологія: залозиста гіперплазія ендометрія. 6 міс отримує
гормонотерапію. Контрольне діагностичне дослідження через 6 міс.
Гістологія ендометрія: залозисто-кістозна гіперплазія. Тактика лікаря?

№23. При мікроскопії виділень із цервікального каналу хворої К.,
21 року, знайдено поліморфноядерні лейкоцити, внутрішньоклітин-
ні грамнегативні диплококи. Поставте діагноз.

№24. В мазку визначаються клітини плоского епітелію у значній
кількості, палички Додерлейна поодинокі, лейкоцити та кокова фло-
ра у значній кількості. Якому ступеневі чистоти піхви відповідає да-
ний мазок?

№25. В мазку визначаються поодинокі клітини плоского епітелію,
палички Додерлейна у значній кількості (чиста культура), інша фло-
ра та лейкоцити відсутні. Якому ступеневі чистоти піхви відповідає
даний мазок?


        Ситуаційні завдання до практичної навички
       Оцінка результатів кольпоскопічного,
    рентгенологічних досліджень та УЗД жіночих
                   статевих органів

№1. У жінки 30 років з двома пологами в анамнезі при кольпоскопії
вагінальна частина шийки матки в ІІ і ІІІ зоні вкрита багатошаровим
плоским епітелієм, в І зоні визначається ділянка яскраво-рожевого
кольору із зернистою поверхнею та сосочковими виростами призма-
тичного епітелію. При обробці 3% оцтовою кислотою сосочки зблід-
ли та побіліли на декілька секунд; проба Шиллера негативна в І зоні.
Для якого патологічного стану шийки матки характерна дана коль-
поскопічна картина?

№2. У жінки 27 років, що тричі народжувала, при кольпоскопії ва-
гінальна частина шийки матки вкрита багатошаровим плоским епі-
телієм, в І зоні на 12 годин визначається невелика ретенційна кіста
(ovula Nabothi), на тлі якої визначаються розширені судини дерево-
подібної форми; проба Шиллера позитивна, проба з 3% оцтовою
кислотою негативна. Для якого патологічного стану шийки матки ха-
рактерна дана кольпоскопічна картина?

№3. У жінки на 25-й день циклу виконана кольпоскопія: вагіналь-
на частина шийки матки вкрита багатошаровим плоским епітелієм,
в ІІ зоні на 1 годину визначається темно-червоного кольору обмеже-
не утворення, що дещо підноситься над поверхнею, розмірами з го-
рошину, розташоване на тлі незміненого багатошарового епітелію. Із
даного утворення спостерігаються незначні менструалоподібні виді-
лення. Для якого патологічного стану шийки матки характерна дана
кольпоскопічна картина?

№4. При кольпоскопії вагінальна частина шийки матки вкрита бага-
тошаровим плоским епітелієм, в І зоні на 3 і 6 годин визначаються
білі плями з гладеньким дрібнозернистим рельєфом та перламутро-
вим блиском, з чіткими межами; після їх знімання ватним тампоном
підлегла слизова не змінена із сіткою деревоподібних судин, які реа-
гують на оцтову кислоту. Для якого патологічного стану шийки мат-
ки характерна дана кольпоскопічна картина?

№5. У жінки 32 років при кольпоскопії вагінальна частина шийки мат-
ки вкрита багатошаровим плоским епітелієм, проба Шиллера позитив-
на, проба з 3% оцтовою кислотою негативна. Оцініть стан шийки матки.

№6. При кольпоскопії вагінальна частина шийки матки вкрита бага-
тошаровим плоским епітелієм, з цервікального каналу – продовгу-
вате рожеве утворення, що вкрите призматичним епітелієм; при об-
робці 3% оцтовою кислотою утворення на декілька секунд побіліло,
чітко визначилася його зерниста структура. Діагноз?
№7. У жінки 52 років, менопауза 7 років, при кольпоскопії вагіналь-
на частина шийки матки вкрита гладким плоским блідо-рожевого ко-
льору, через витончений шар якого визначаються дрібні судини у ви-
гляді крапкових утворень, що не реагують на оцтову кислоту. Проба
Шиллера слабко позитивна. Оцініть стан шийки матки.

№8. У жінки 22 років при кольпоскопії вагінальна частина шийки
матки вкрита багатошаровим плоским епітелієм, в І зоні виражена
гіперемія; значна кількість виділень з цервікального каналу; екто-
пія призматичного епітелію із звивистими судинами деревоподіб-
ної форми, які під дією оцтової кислоти різко звужуються і протягом
декількох секунд не визначаються. В мазку методом ПЛР виявлено
хламідії. Діагноз?

№9. У жінки 25 років в пологах був розрив шийки матки ІІ ступе-
ня. При кольпоскопії вагінальна частина шийки матки вкрита бага-
тошаровим плоским епітелієм, в І-ІІ зоні на 2-3 години визначаєть-
ся червона пляма з гладеньким рельєфом, з чіткими краями епітелію
на фоні незміненої слизової оболонки. Проба Шиллера негативна в
ділянці дефекту, проба з 3% оцтовою кислотою негативна. Для яко-
го патологічного стану шийки матки характерна дана кольпоскопіч-
на картина?

№10. Хвора 36 років скаржиться на різкі болі понизу живота, під-
вищення температури тіла до 38-38,8°С, загальну слабкість, які
з’явилися після переохолодження. В анамнезі 1 пологи, 3 штуч-
ні аборти, 1 мимовільний викидень, який ускладнився запаленням
додатків. Щорічно лікувала загострення аднекситу. При УЗД: мат-
ка звичайних розмірів, зліва від матки виявлено продовгувате утво-
рення розмірами 4х9 см (маткова труба?), нерівномірної ехощіль-
ності, наповнене рідиною (гній?); праві додатки без особливостей.
Ймовірний діагноз?

№11. Хвора 38 років, скаржиться на затримку менструацій протягом
6 тижнів, ниючі болі понизу живота. Тест на вагітність позитивний.
При огляді матка збільшена до 12 тижнів вагітності, рухома, напру-
жена; додатки з обох боків без патології, канал шийки матки закри-
тий. Дані УЗД: матка розмірами 12,5×10×8 см, порожнина заповнена
вмістом «сотової» структури, елементи плідного яйця не визначають-
ся, додатки з обох сторін без патологічних змін. Ймовірний діагноз?

№12. У жінки 52 років, менопауза 7 років, в анамнезі дисплазія ший-
ки матки (нелікована); гінеколога не відвідувала 5 років. При коль-
поскопії вагінальної частини шийки матки в І-ІІ зонах визначаєть-
ся неструктурована тканина зі скловидним бульозним відтінком, з
ознаками некрозу, крововиливів, виразок; атипові судинні розрос-
тання. Уражені ділянки легко кровоточать при дотику. Діагноз?

№13. У хворої 54 років, при черговому профілактичному огляді
2 тижні тому виявлена пухлина лівого яєчника рухома, безболісна, з
гладкою поверхнею, нерівномірної консистенції. Дані УЗД: матка без
особливостей, правий яєчник не визначається, лівий яєчник пред-
ставлений рідинним двокамерним утворенням розмірами 9×8×6 см з
ехонегативними включеннями. Ймовірний діагноз?

№14. Макроскопічно шийка матки не змінена. При кольпоскопії: на
тлі багатошарового сквамозного епітелію визначаються білі поліго-
нальні ділянки та червоні межі між ними, які не змінюються під дією
оцтової кислоти. Проба Шиллера негативна: ділянки ураження не
зафарбовуються, при роташуванні на тлі багатошарового сквамоз-
ного епітелію виглядають як біло-рожеві бляшки на темно-коричне-
вому фоні. Для якого патологічного стану шийки матки характерна
дана кольпоскопічна картина?

№15. Хвора 46 років, скаржиться на часті сечовипускання, значні
кровотечі під час менструацій протягом останніх півроку. У гінеко-
лога не оглядалася 4 роки. Дані УЗД, виконаного після менструації:
матка розмірами 16×8×10 см, в ділянці дна інтрамурально визнача-
ється округле утворення розмірами 6×5 см, що деформує порожнину
матки; товщина ендометрію 14мм; додатки з обох боків без особли-
востей. Ймовірний діагноз?

№16. Хвора 31 року, скаржиться на затримку менструації протягом
2 тижнів; вранці з’явилися переймоподібні болі в лівій здухвинній
ділянці, незначні мажучі виділення зі статевих шляхів. Тест на ва-
гітність позитивний. Дані УЗД: матка звичайних розмірів, товщина
ендометрія 14 мм, зліва біля матки визначається продовгувате утво-
рення розмірами 5×9 см, що нагадує плідне яйце; праві додатки без
особливостей, на лівому яєчнику визначається рідинне ехонегативне
утворення 2×2 см з гомогенним вмістом. Ймовірний діагноз?



        Ситуаційні завдання до практичної навички
     Лікування і профілактика при різних видах
              гінекологічної патології

№1. Жінка 40 років, протягом 6 місяців менструації нерегулярні,
тривалі. При огляді матка щільна, збільшена до 14 тижнів вагітнос-
ті, обмежено рухома, поверхня горбиста. Придатки з обох сторін не
збільшені. Остання менструація  – тиждень тому, у строк. Діагноз?
Визначити лікувальну тактику в даній клінічній ситуації.

№2. Жінка 42 років, скаржиться на загальну слабкість, болі вни-
зу живота, нерегулярні тривалі менструації протягом одного року.
Піхва та шийка матки не змінені. Матка щільна, збільшена до 8 тиж-
нів вагітності, безболісна, поверхня її горбиста. Остання менструа-
ція тиждень тому, у строк. Діагноз? Визначити лікувальну тактику в
даній клінічній ситуації.

№3. Жінка 70 років, скаржиться на мажучі кров’яні виділення зі ста-
тевих органів на фоні 15-річної менопаузи. Вагінально: шийка мат-
ки не змінена, матка нормальних розмірів, придатки – без патології.
Визначити діагностичну тактику в даній клінічній ситуації.

№4. Жінка К., 30 років, скаржиться на відсутність менструації піс-
ля пологів протягом двох років, втрату маси тіла, випадіння волос-
ся. Пологи ускладнилися масивною кровотечею. Хвора астенічна,
зовнішні статеві органи гіпопластичні, шийка матки циліндричної
форми, тіло матки маленьке, безболісне. Визначити гінекологічну
патологію, яка виникла.
№5. Жінка скаржиться на мажучі темні кров’яні виділення з піхви
напередодні та після менструації. При огляді на шийці матки дріб-
нокістозні утворення синього кольору. З окремих утворень відхо-
дять темно-кров’янисті виділення. Матка та придатки не збільшені.
Визначити гінекологічну патологію.

№6. Жінка Т., 2 тижні тому перехворіла краснухою в тяжкій формі.
При обстеженні матка збільшена до 8 тиж. вагітності, придатки мат-
ки без особливостей. Визначити подальшу лікарську тактику.

№7. Вагітна звернулася до жіночої консультації в терміні 10 тижнів
вагітності з діагнозом – цукровий діабет. В анамнезі: хворіє на діа-
бет 10 років, протягом двох останніх років розвинулася ретинопатія
ІІ ступеня. Визначити лікарську тактику.

№8. У породіллі Н. на 4-ту добу після пологів у ділянці швів на про-
межині виявлено набряк, гіперемію, гнійні нашарування. Визначити
тактику лікаря.

№9. Породілля К. на 5-ту добу післяпологового періоду скаржить-
ся на підвищення t тіла до 37,8 С, болі по низу живота. Об’єктивно:
матка на 2 см нижче пупка, болюча при пальпації, м’якої консистен-
ції, лохії кров’янисті, з неприємним запахом. Діагноз? Визначити лі-
кувальну тактику.

№10. Жінка звернулася до жіночої консультації в терміні 9 тижнів ва-
гітності. В анамнезі: хворіє на пієлонефрит єдиної нирки. Визначити
лікарську тактику.

№11. При огляді в дзеркалах вагітної А. в терміні 15 тижнів виявле-
но: шийка матки циліндричної форми, зовнішнє вічко зіяє. За даними
УЗД діаметр внутрішнього вічка 25 мм, плід розташований низько.
Діагноз? Визначити лікувальну тактику в даній акушерській ситуації.

№12. Вагітна В. у терміні 29 тижнів вагітності поступила в полого-
вий будинок із скаргами на переймоподібні болі внизу живота, мат-
ка в тонусі. Навколоплідні води не відходили. При піхвовому обсте-
женні шийка матки до 2 см, зовнішнє вічко пропускає кінчик пальця.
Визначити лікувальну тактику в даній акушерській ситуації.
№13. Роділля С. поступила в пологовий будинок з активною поло-
говою діяльністю та розкриттям шийки матки на 6 см. Голівка плода
малим сегментом у площині входу в малий таз. Через 2 години пе-
рейми стали рідші та коротші, при огляді – відкриття шийки матки –
6 см. Визначити акушерську патологію, яка виникла.

№14. У роділлі Д. протягом 6 годин тривають регулярні болючі пе-
рейми по 30-35с через 2 хв. Матка в гіпертонусі. При піхвовому об-
стеженні – відкриття шийки матки 4 см, відмічається дистоція ший-
ки матки. Визначити акушерську патологію, яка виникла.

№15. При УЗД вагітної К., з групою крові А (ІІ) Rh (негат.) у терміні
35 тижнів виявлено подвійний контур навколо голівки та тулуба пло-
да, гепатомегалія, плацента набрякла, товщина її 58 мм. Визначити
акушерську патологію, яка виникла.

№16. При огляді вагітної А. виявлено, що в дні матки більше зліва
пальпується округла щільна частина плода. Серцебиття плода чітко
прослуховується вище пупка зліва. Визначити передлежання, пози-
цію плода, яке виникло в даній акушерській ситуації.

№17. При огляді роділлі діагностовано раннє вилиття навколоплід-
них вод, пологова діяльність активна. Положення плода попере-
чне, І позиція. При піхвовому обстеженні діагностовано відкриття
шийки матки 8 см, випадіння ручки плода, плід у матці нерухомий.
Серцебиття плода відсутнє. Визначити акушерську тактику.

№18. У роділлі в І періоді пологів самостійно відійшли навколоплід-
ні води – біля 100 мл, зеленого кольору. Серцебиття плода 90 уд/хв,
приглушене. Роділля відчуває рідкі рухи плода. Діагноз? Визначити
тактику лікаря.

№19. Пологова діяльність слабка, голівка плода знаходиться в пло-
щині вузької частини порожнини малого таза. Серцебиття плода 90-
100 уд/хв. Діагноз? Визначити тактику лікаря.

№20. Жінка К., 25 років, скаржиться на неплідність протягом 5 ро-
ків. В анамнезі штучний аборт. При лабораторному обстеженні вияв-
лено гіперпролактинемію. Які додаткові обстеження необхідно про-
вести. Який препарат блокує виділення пролактину?

№21. Хвора Л., 50 років скаржиться на ниючий біль внизу живота,
порушення циклу, затруднення сечовиділення. Об’єктивно: у ділян-
ці лівого яєчника визначається кулясте, щільне утворення розмірами
8х10 см. Діагноз? Визначити тактику лікаря.

№22. У жінки через 3 дні після випадкового статевого контакту виник-
нув ниючий біль внизу живота, підвищення t тіла. Визначаються збіль-
шені, болючі придатки матки з обох боків. Діагноз? Які дослідження
необхідно виконати? Основні напрями лікування даної патології.


           Алгоритм виконання практичної навички
                   Зондування матки
     Мета: вивчити прохідність каналу шийки матки, довжину та
конфігурацію матки, наявність у ній пухлин. Зондування викону-
ється не тільки з діагностичною метою, але й перед деякими опера-
ціями (вишкрібанням слизової оболонки матки, ампутацією шийки
матки, виконанням штучного аборту та ін.).
     Умови: перед зондуванням обов’язково проводиться досліджен­
ня виділень з уретри, цервікального каналу та заднього склепіння ва-
гіни на гонокок та ступінь чистоти, а також бімануальне обстеження
для уточнення положення матки.
     Обладнання: гінекологічне крісло, піхвові дзеркала, матковий
зонд, кульові щипці, корнцанг, стерильні ватні кульки, стерильні ру-
кавички, чиста пелюшка, дезинфікуючий розчин.

                         Техніка виконання
1.	 Запропонувати жінці лягти на гінекологічне крісло на чисту пелюшку.
2.	 Обробити зовнішні статеві органи і внутрішню поверхню стегон
    йодонатом.
3.	 Увести гінекологічні дзеркала.
4.	 Вагіну та шийку матки обробити розчином йодонату.
5.	 Фіксувати шийку мат­­ за передню губу ку­ ьо­ ими щипцями
                          ки                        л в
    (рис. 30).
Рис. 30. Шийка матки фіксована кульовими щипцями
                        за передню губу




       Рис. 31. Уведення маткового зонда в порожнину матки

6.	 Випрямити цер­ і­ а­ ь­­­­
                    в к л ний канал за до­ о­ огою кульових щип­­
                                            п м                    ців
    шляхом під­ я­ у­ ан­ я шийки до­ а­ у (при антефлексії матки) або
                т г в н             з д
    допереду (при ретрофлексії).
7.	 Увести матковий зонд великим, вказівним та середнім пальцями
    пра­ ої руки в порожнину матки в напрямі до її дна (рис. 31).
       в
8.	 Вказівний палець правої руки по зонду ввести в піхву до зовніш-
    нього вічка цервікального каналу.
9.	 Не віднімаючи вказівний палець із зонда, вийняти останній із по-
    рожнини матки і піхви, оцінити результат виміру.
10.	 няти кульові щипці з шийки матки або продовжити наступне
      З
      дослідження (розширення цервікального каналу, вишкрібання
      слизової порожнини матки та ін.).
  11.	Обробити шийку матки та піхву розчином йодонату.
      Оцінка результатів дослідження. Зондування матки прово-
диться спеціальним зондом, який ви­­ тов­ е­ ий із латуні і покритий
                                    го­ л н
нікелем: це стержень довжиною 20-30 см, товщиною 1-5 мм (№1-5),
має рукоятку та гудзикоподібне заок­ углення на кінці. На стержні
                                     р
нанесені поділки в сантиметрах. Відрізок 7 см, що відповідає нор-
мальній довжині порожнини матки, позначений невеликим потов-
щенням біля цифри 7. Товщина зонда підбирається залежно від про-
хідності шийкового каналу.
      Деякі перешкоди в ділянці внутрішнього вічка шийкового ка-
налу можуть траплятись за наявності на шляху поліпа, рубцьового
процесу. У порожнині матки зонд просувається легко. У дні матки
він зустрічає перешкоди. Щоб запобігти перфорації матки, ні в яко-
му разі не можна застосовувати силу, а слід обережно маніпулювати
зондом і, по можливості, обминати перешкоди.



           Алгоритм виконання практичної навички
           Пункція черевної порожнини через
                    заднє склепіння

     Пункція застосовується з метою встановлення характеру ріди-
ни, що накопичилась у порожнині малого таза (кров, гній, ексудат).
Рідина у зв’язку з тяжінням збирається в просторі позаду матки (ки-
шеня Дугласа). Нижче від шийки матки в ділянці задньої частини
склепіння піхви між крижово-матковими зв’язками, що розходять-
ся, очеревина дуже близько підходить до стінок піхви. Саме в цьому
місці і роблять пункцію.
     Обладнання: гінекологічне крісло, піх­ о­ і дзеркала, матковий
                                            в в
зонд, кульові щипці, корн­ анг, шприц із довгою товстою пункцій-
                          ц
ною гол­ ою, пробірка, стерильні ватні кульки, стерильні ру­­
         к                                                 кавички,
чиста пелюшка, дезинфікуючий роз­ ин (рис. 32).
                                   ч
Рис. 32. Набір інструментарію для пункції черевної порожнини
                     через заднє склепіння

                       Техніка виконання
1.	 Запропонувати спорожнити сечовий міхур.
2.	 Запропонувати жінці лягти на гінекологічне крісло.	
3.	 Обробити зовнішні статеві органи і внутрішню по­­ х­ ю сте-
                                                       вер­ н
    гон йодонатом.
4.	 Увести гінекологічні дзер­ а­ а.
                             к л
5.	 Вагіну та шийку матки обробити розчином йодонату.
6.	 Фіксувати шийку матки за задню губу кульовими щипцями та
    підтягнути її до лона.
7.	 «Підйомник» вилучити з піхви та покласти на столик з
    інструментами.
8.	 На 1см нижче перехідної складки слизової піхви, пер­ ен­ ику­
                                                          п д
    лярно поверхні, увести довгу голку (діаметр її не більше 2 мм)
    на глибину 1,0-1,5 см.
9.	 Гній чи ексудат краще відсмоктати за допомогою шприца, який
    з’єднується з голкою (рис. 33, 34).
10. Зібрати пунктат у про­ ір­ у, виштовхнувши його із шприца.
                           б к
11. У випадку наявності гнійного вмісту – увести антибіотик.
12. Вийняти голку.
12. Зняти кульові щипці з шийки матки.
Рис. 33. Пункція черевної порожнини через заднє склепіння (схема)




    Рис. 34. Пункція черевної порожнини через заднє склепіння
  13. Обробити шийку матки та піхву розчином йодонату.
  14. Оформити направлення, де вказати прізвище, ім’я та по бать­ о­­
                                                                   к
     ві жінки, відділення, дату, попе­ едній діагноз, прізвище ліка­ я.
                                     р                             р
  15. Відправити пунктат з направленням до лабораторії.
     Оцінка результатів дослідження. Коли голка потрапляє в су-
дину чи матку (при різкому підтяганні її на себе) – кров легко згор-
тається. Відсутність крові не виключає повністю кровотечі, оскіль-
ки спайки в малому тазі можуть впливати на розподіл крові. У разі
отримання темної крові, що не утворює згустків, констатують пере-
рвану позаматкову вагітність; серозно-геморагічної рідини – розрив
кісти яєчника, гною – розрив піосальпінксу або пельвіоперитоніт.
Відповіді на ситуаційні завдання
               до практичної навички
 «Визначення стану новонародженого за шкалою
                       Апгар»

1. Оцінка за шкалою Апгар 3 бали (1-0-1-0-1).
2. Оцінка за шкалою Апгар 5 балів (2-1-1-0-1).
3. Оцінка за шкалою Апгар 4 бали (1-1-0-1-1).
4. Оцінка за шкалою Апгар 3 бали (1-1-0-1-0).
5. Оцінка за шкалою Апгар 9 балів (2-2-1-2-2).
6. Оцінка за шкалою Апгар 9 балів (2-2-2-1-2).
7. Оцінка за шкалою Апгар 7 балів (2-1-1-2-1).
8. Оцінка за шкалою Апгар 5 балів (0-2-1-1-1).
9. Оцінка за шкалою Апгар 5 балів (1-1-1-1-1).
10. Оцінка за шкалою Апгар 4 бали (2-1-0-0-1).
11. Оцінка за шкалою Апгар 8 балів (2-1-2-2-1).
12. Оцінка за шкалою Апгар 3 бали (1-1-0-0-1).


   Відповіді на ситуаційні завдання до практичної навички
        «Діагностичні критерії вузького тазу»

№1. Простий плоский таз, І ст. звуження.
№2. Простий плоский таз, ІІ ст. звуження.
№3. Плоскорахітичний таз, ІІ ст. звуження.
№4. Загальнорівномірнозвужений таз, І ст. звуження.
№5. Загальнорівномірнозвужений таз.
№6. Спондилолістетичний, ІІІ ст. звуження.
№7. Остеомаляційний таз.
№8. Косозміщений таз.
№9. Поперечнозвужений таз.
№10. Простий плоский таз.
№11. Клінічно вузький таз.
№12. Нормальні розміри тазу.
№13. Клінічно вузький таз. Провести кесарів розтин.
№14. Плоскорахітичний таз.
Відповіді на ситуаційні завдання до практичної навички
     «Інтерпретація результатів досліджень стану
            фетоплацентарного комплексу»

1.	 Нормальний кровоплин.
2.	 Варіант патологічного кровоплину, а саме сповільнений.
3.	 Патологічний кровоплин. Варіант термінального кровоплину
    (свідчить про високу вірогідність антенатальної загибелі плода),
    а саме нульовий.
4.	 Патологічний кровоплин. Варіант термінального кровоплину
    (свідчить про високу вірогідність антенатальної загибелі плода),
    а саме негативний (реверсний, зворотний).
5.	 8 балів (2, 2, 2, 1, 1) – задовільний стан плода.
6.	 7 балів (1, 1, 1, 2, 2) – задовільний стан плода.
7.	 3 бали (0, 0, 1, 0, 2) – патологічна оцінка БПП (вирішити питання
    про термінове розродження).
8.	 8 балів (2, 1, 2, 2, 1) – задовільний стан плода.
9.	 5 балів (0, 0, 1, 2, 2) – сумнівний тест (повторити через 2-3 дні).
10.	 бали (1, 1, 0, 1, 0) – патологічна оцінка БПП (вирішити питання
    3
    про термінове розродження).


    Відповіді на ситуаційні завдання до практичної навички
      «Оцінка результатів кольпоцитологічного
          дослідження та тестів діагностики
          функціонального стану яєчників»

№1. Третій тип (реакція) мазка; характеризує незначну недостат-
ність естрогенів в організмі.
№2. Четвертий тип (реакція) мазка; характеризує нормальну насиче-
ність організму естрогенами.
№3. ІІ фаза.
№4. Гіперестрогенія, притаманна персистенції фолікула.
№5. Другий тип (реакція) мазка; характеризує помірну недостат-
ність естрогенів в організмі.
№6. Естрогенів.
№7. Перший тип (реакція) мазка; характеризує різку недостатність
естрогенів в організмі.
№8. Овуляція.
№9. Цитолітичний. Естрогенів.
№10. Недостатність естрогенів.
№11. Атрофічний. Виражена естрогенна недостатність.
№12. Стан відповідає нормі.
№13. Проміжного. Нормоестрогенія.
№14. Проліферативний. Естрогенів.


   Відповіді на ситуаційні завдання до практичної навички
«Оцінка результатів цитологічного, гістологічного,
            бактеріологічного досліджень»

№1. В онкодиспансер. Екстирпація матки з додатками.
№2. Бактеріальний вагіноз.
№3. Залозисто-кістозна гіперплазія ендометрія. Гіпер-естрогенія.
№4. Фаза секреції.
№5. Синільний кольпіт. Антибактеріальні мазі. Естрогенові глобу-
ли у піхву.
№6. Гіперестрогенія. Гестагени.
№7. Гостре запалення гонорейної етіології. У проведенні специфіч-
ної провокації немає необхідності.
№8. Проста гіперплазія ендометрія. Гіперестрогенія.
№9. Конізація шийки матки.
№10. Синільний кольпіт.
№11. Хламідійний цервіцит. Макроліди, фторхінолони, препарати
тетрациклінового ряду.
№12. Мікоплазменний цервіцит. Макроліди, фторхінолони, препа-
рати тетрациклінового ряду.
№13. Кандидозний кольпіт.
№14. Уреаплазменний цервіцит.
№15 Фаза проліферації.
№16. Бактеріальний вагіноз.
№17. Мазок відповідає нормі.
№18. ІІ ступінь чистоти піхви.
№19. Десквамація. Менструація.
№20. ІV ступінь чистоти піхви.
№21. Трихомонадний кольпіт. Метронідазол.
№22. Оперативне лікування у зв’язку з резистентністю до гормоно-
терапії.
№23. Гонорейний цервіцит.
№24. ІІІ ступінь чистоти піхви.
№25. І ступінь чистоти піхви.



   Відповіді на ситуаційні завдання до практичної навички
       «Оцінка результатів кольпоскопічного,
             рентгенологічних досліджень
          та УЗД жіночих статевих органів»

№1. Ектопія призматичного епітелію.
№2. Доброякісна закінчена зона трансформації.
№3. Ендометріоз.
№4. Проста лейкоплакія.
№5. Кольпоскопічна картина відповідає нормі.
№6. Залозистий поліп.
№7. Кольпоскопічна картина відповідає нормі в менопаузі.
№8. Екзоцервіцит хламідійної етіології.
№9. Істинна ерозія.
№10. Лівобічний піосальпінкс.
№11. Міхуровий занесок.
№12. Рак шийки матки.
№13. Кістома лівого яєчника.
№14. Дисплазія багатошарового сквамозного епітелію.
№15. Симптомна вузлова міома тіла матки (інтрамуральний вузол).
№16. Лівобічна трубна вагітність. Кіста жовтого тіла зліва.
Відповіді на ситуаційні завдання до практичної навички
     «Лікування і профілактика при різних видах
                 гінекологічної патології»

№1. Міома тіла матки великих розмірів. Оперативне лікування.
№2. Симптомна міома тіла матки. Діагностичне вишкрібання стінок
порожнини матки.
№3. Діагностичне вишкрібання стінок порожнини матки.
№4. Гіпофізарна аменорея (синдром Шихана).
№5. Ендометріоз шийки матки.
№6. Переривання вагітності до 12 тижнів.
№7. Перервати вагітність до 12 тижнів.
№8. Післяпологова виразка. Місцева протизапальна терапія.
№9. Післяпологовий метроендометрит. Комплексна протизапальна
терапія.
№10 Перервати вагітність до 12 тижнів.
№11. Накладання циркулярного шва на шийку матки при істміко-
цервікальній недостатності.
№12. Призначення токолітичної терапії.
№13. Вторинна зупинка відкриття шийки матки.
№14. Вторинна дискоординована пологова діяльність.
№15. Гемолітична хвороба плоду.
№16. Сідничне передлежання плода, І позиція.
№17. Інтранатальна загибель плода. Виконання плодоруйнівної
операції
№18. Дистрес плода. Родорозрішення шляхом кесаревого розтину.
№19. Дистрес плода. Накладання акушерських щипців.
№20. У хворої діагностовано гіперпролактинемію. Необхідне дооб-
стеження – рентген черепа і турецького сідла, визначення полів зору.
Блокує виділення пролактину – парлодел (бромкриптин).
№21. Кістома лівого яєчника. Оперативне лікування.
№22. Гостре двобічне запалення додатків матки. Мазок CVU, висів
на флору та гонокок, обстеження на ІПСШ, УЗД органів малого тазу.
Антибактеріальна терапія з урахування виду збудника, імунокорекція,
інфузійна терапія, протизапальні засоби, десенсибілізуюча терапія.
Список використаної літератури

1.	 Василевская Л.Н. Предраковые заболевания и начальные
    формы рака шейки матки. / Л.Н. Василевская, М.К. Винокур,
    Н.И. Никитина. – М.: Медицина, 1987. – 437 с. : ил.
2.	 Гінекологія: Підручник / В.С. Артамонов, Д.Е. Барковський,
    Б.М.  Венцьковський [та інш.]; ред. В. І. Грищенко.  – Харків:
    Основа, 2003. – 728 с. : іл.; табл.
3.	 Запорожан В.М. Акушерство і гінекологія: Підручник: у 2 кн-гах.
    Книга ІІ: Гінекологія / В.М. Запорожан. – К. : Здоров’я, 2000. –
    412 с. : іл.; табл.
4.	 Прилепская В.Н. Кольпоскопия. / В.Н. Прилепская С.И. Роговский,
    Е.А. Межевитинова. – М., 2001. – 143 с. : ил.
5.	Хміль С.В. Гінекологія: Підручник / С.В. Хміль, З.М. Кучма, Л.І. Ро­
    манчук. – Тернопіль, Підручники і посібники, 1999. – 528 с. : іл.; табл.
6.	 Дисфункційні маткові кровотечі у жінок репродуктивного та пери-
    менопаузального віку : Наказ №582 МОЗ України «Про затверджен-
    ня клінічних протоколів з акушерської та гінекологічної допомоги»
    [Чинний від 2003-12-15]. – Київ, 2003. – 171 с. (накази МОЗ України).
7.	 Гіпертензивні розлади під час вагітності : Наказ №676 МОЗ
    України «Про затвердження клінічних протоколів з акушерської
    та гінекологічної допомоги» [Чинний від 2004-12-31].  – Київ,
    2004. – 166 с. (накази МОЗ України).
8.	 Аномалії пологової діяльності : Наказ №676 МОЗ України «Про
    затвердження клінічних протоколів з акушерської та гінекологіч-
    ної допомоги» [Чинний від 2004-12-31]. – Київ, 2004. – 166 с. (на-
    кази МОЗ України).
9.	 Акушерські кровотечі : Наказ №676 МОЗ України «Про затверджен-
    ня клінічних протоколів з акушерської та гінекологічної допомоги»
    [Чинний від 2004-12-31]. – Київ, 2004. – 166 с. (накази МОЗ України).
10.	 ервинна реанімація новонароджених: Наказ №312 МОЗ України
    П
    «Про затвердження клінічного Протоколу з первинної реанімації
    та післяреанімаційної допомоги новонародженим».[ Чинний від
    2007-06-08]. – Київ, 2007. – 26 с. (накази МОЗ України).
11.	Нормальні пологи: Наказ №624 МОЗ України [Чинний від 2004-
    12-31]. – Київ, 2004. – 166 с. (накази МОЗ України)
Для нотаток
Навчальне видання

Кравченко Олена Вікторівна, Ясніковська Світлана Михайлівна,
Юр’єва Ліля Миколаївна, Дикусаров Володимир Володимирович


           АЛГОРИТМИ ВИКОНАННЯ
ПРАКТИЧНИХ НАВИЧОК З ТИПОВИМИ СИТУАЦІЙНИМИ
 ЗАВДАННЯМИ ДЛЯ КІНЦЕВОГО КОНТРОЛЮ ЗНАНЬ З
     МОДУЛЯ 4 «АКУШЕРСТВО І ГІНЕКОЛОГІЯ»
                  (навчальний посібник)




     Редактор 	                                                Соломатіна Н.Р.
     Худ. оформлення	                                          Воронцов О.Ю.
     Технічний редактор	                                       Глуханю О.Д.
     Комп’ютерна верстка	                                      Воронцов О.Ю.
     Керівник видавничого проекту	                             Юр’єва Л.М.




            Підписано до друку __.__.2011. Формат 60х84/16. Папір офсетний.
                     Гарнітура Times New Roman. Друк офсетний.
                         Обл.-вид. арк. ___. Ум.-друк. арк. ___.
                             Тираж ___ пр. Зам. №20-2011.
                    Віддруковано СПД Лівак У.М. Реєстр № ІФ-28.
                 58018, м. Чернівці, вул. Головна 246/302. Тел.: 543474

                                 Видавництво БДМУ
                            Свідоцтво державного реєстру
                           Серія ДК, №2610 від 12.09.2006 р.

Algorithm practical obstetrics

  • 1.
    МІНІСТЕРСТВО ОХОРОНИ ЗДОРОВ’ЯУКРАЇНИ БУКОВИНСЬКИЙ ДЕРЖАВНИЙ МЕДИЧНИЙ УНІВЕРСИТЕТ Кафедра акушерства, гінекології та перинатології АЛГОРИТМИ ВИКОНАННЯ ПРАКТИЧНИХ НАВИЧОК З ТИПОВИМИ СИТУАЦІЙНИМИ ЗАВДАННЯМИ ДЛЯ КІНЦЕВОГО КОНТРОЛЮ ЗНАНЬ З МОДУЛЯ 4 «АКУШЕРСТВО І ГІНЕКОЛОГІЯ» (Навчальний посібник) За редакцією доктора медичних наук, професора, завідувача кафедри акушерства, гінекології та перинатології Буковинського державного медичного університету Кравченко Олени Вікторівни Чернівці – 2011
  • 2.
    УДК 618.1/.2 (071) ББК57.16+57.1я7 А – 45 Авторський колектив: Кравченко Олена Вікторівна – доктор медичних наук, професор, завідувач кафедри акушерства, гінекології та перинатології Буковинського державного медичного університету, Ясніковська Світлана Михайлівна  – кандидат медичних наук, доцент кафедри акушерства, гінекології та перинатології Буковинського державного медичного університету, Юр’єва Ліля Миколаївна  – кандидат медичних наук, доцент кафедри акушерства, гінекології та перинатології Буковинського державного медичного університету, Дикусаров Володимир Володимирович – кандидат медичних наук, доцент кафедри акушерства, гінекології та перинатології Буковинського державного медичного університету. З–38 Алгоритми виконання практичних навичок з типовими ситуаційними завданнями для кінцевого контролю знань з Модуля 4 «Акушерство і гінекологія»: Навчальний посібник. / [ Кравченко О.В., Ясніковська С.М., Юр’єва Л.М., Дикусаров В.В.];. Укр. Буковинський державний медичний університет. – Чернівці: БДМУ, 2011. – 136 с. ББК 57.16+57.1я7 Навчальний посібник для студентів VІ курсу медичних факультетів зі спе- ціальностей «Лікувальна справа», «Педіатрія» вищих медичних закладів освіти України ІІІ – ІV рівнів акредитації. Виданий з метою покращення опанування студентами VІ курсу практичними навичками з «Модуля 4», які передбачені програмою навчання за кредитно-модуль- ною системою. Рецензенти: Венцковський Б. М.  – член кореспондент АПН України, доктор медичних наук, професор, завідувач кафедри акушерства і гінекології №1 Національного медичного університету ім. О.О. Богомольця. Сенчук А. Я. – доктор медичних наук, професор, завідувач кафедри акушерства і гінекології Інституту української асоціації народної медицини. Рекомендовано Центральним методичним кабінетом з вищої медичної освіти МОЗ України як навчальний посібник для студентів вищих медичних навчальних закладів ІІІ-ІV рівня акредитації (протокол №4 від 01.10.2010 р.) ISBN 978-966-697-377-4 © Кравченко О.В., Ясніковська С.М, Юр’єва Л.М., Дикусаров В.В., 2010 © БДМУ, 2010
  • 3.
    ЗМІСТ ПЕРЕДМОВА. .......................................................................................5 . Алгоритм виконання практичної навички «Зовнішнє акушерське обстеження (ЗАО) вагітних, прийоми Леопольда»...........................................................6 Алгоритм виконання практичної навички «Вимірювання розмірів таза, визначення справжньої кон’югати»...8 Алгоритм виконання практичної навички «Визначення строку вагітності, гестаційного віку плода та передбачуваного строку пологів»................................................10 Алгоритм виконання практичної навички «Надання акушерської допомоги в пологах та післяпологовому періоді».............................................................13 Ситуаційні завдання до практичної навички «Визначення стану новонародженого за шкалою Апгар»..............................................................................35 Алгоритм виконання практичної навички «Первинний догляд за новонародженим».......................................36 Ситуаційні завдання до практичної навички «Діагностичні критерії вузького тазу» . ..........................................40 Алгоритм виконання практичної навички «Схеми медикаментозної корекції аномалій пологової діяльності»........................................................42 Ситуаційні завдання до практичної навички «Інтерпретація результатів досліджень стану фетоплацентарного комплексу».......................................................47 . Алгоритм виконання практичної навички «Надання невідкладної допомоги при акушерській кровотечі»....49 Алгоритм виконання практичної навички «Надання невідкладної допомоги при тяжких формах прееклампсії»...................................................58
  • 4.
    Алгоритм виконання практичноїнавички «Надання невідкладної допомоги при несприятливих та критичних станах плода та новонародженого»..........................73 Алгоритм виконання практичної навички «Гінекологічне дослідження»...........................................................92 Алгоритм виконання практичної навички «Взяття матеріалу з вагіни, уретри та цервікального каналу»....102 Алгоритм виконання практичної навички «Кольпоцитологічне дослідження»................................................108 Ситуаційні завдання до практичної навички «Оцінка результатів кольпоцитологічного дослідження та тестів діагностики функціонального стану яєчників».............112 Ситуаційні завдання до практичної навички «Оцінка результатів цитологічного, гістологічного, бактеріологічного досліджень»......................................................114 Ситуаційні завдання до практичної навички «Оцінка результатів кольпоскопічного, рентгенологічних досліджень та УЗД жіночих статевих органів».............................117 Ситуаційні завдання до практичної навички «Лікування і профілактика при різних видах гінекологічної патології»...................................121 Алгоритм виконання практичної навички «Зондування матки». .......................................................................124 . Алгоритм виконання практичної навички «Пункція черевної порожнини через заднє склепіння»...............126 Відповіді на ситуаційні завдання...................................................129 Список використаної літератури...................................................134
  • 5.
    ПЕРЕДМОВА Відповідно до змін форм організації навчального процесу за принципами кредитно-модульної системи, вагомою складовою час- тиною у вивченні клінічної дисципліни є формування у студентів умінь та навичок, які визначаються кінцевими цілями вивчення аку- шерства та гінекології як самостійної дисципліни та можуть бути ви- користані ними для логічного обґрунтування діагнозу захворюван- ня, проведення диференціальної діагностики, терапії, профілактики та реабілітації хворих. Посібник містить алгоритми виконання та типові ситуаційні за- вдання до практичних навичок, винесених для кінцевого контролю знань з Модуля 4 «Акушерство і гінекологія» відповідно до типо- вої програми з навчальної дисципліни з акушерства та гінекології для ВМЗ освіти України ІІІ-ІV рівнів акредитації зі спеціальностей «Лікувальна справа» і «Педіатрія» (Київ, 2006 р.). Методики виконання практичних навичок наведені у формі ал- горитмів. У структурі останніх зазначені мета виконання тої чи ін- шої маніпуляції, необхідний інструментарій, техніка, послідовність виконання, інтерпретація результатів, що надасть користувачу посіб- ника впевненості у правильності виконаної роботи та можливостях самостійного відтворення конкретного виду лікувально-діагностич- ної роботи. Практичні навички, які потребують інтерпретації та оцінки ре- зультатів лабораторних та інструментальних досліджень, складання алгоритму надання невідкладної допомоги при акушерсько-гінеко- логічній патології представлені ситуаційними завданнями. Посібник допоможе підвищити ефективність підготовки сту- дентів до занять та державного випускного практично-орієнтовано- го іспиту з акушерства та гінекології.
  • 6.
    Алгоритм виконання практичноїнавички Зовнішнє акушерське обстеження (ЗАО) вагітних, прийоми Леопольда Мета: визначити величину матки, її функціональний стан (то- нус, болючість та ін.) і положення плода в порожнині матки. Попередньо перед проведенням ЗАО вагітній (роділлі) пропо- нують лягти на кушетку (ліжко), а саме: на спину, ноги зігнути в кульшових і колінних суглобах. Лікар розташовується справа від вагітної, обличчям до неї. І прийом ЗАО – І прийом Леопольда Мета: визначити висоту стояння дна матки та частину плода, яка розташована в ділянці її дна. Послідовність виконання: 1. Долоні обох рук розташувати на матці таким чином, щоб вони щільно охоплювали її дно та ділянки маткових кутів, а пальці рук були повернені нігтьовими фалангами один до одного. 2. Обережним натисканням донизу пальці рук зблизити, визначити висоту стояння дна матки. ІІ прийом ЗАО – ІІ прийом Леопольда Мета: визначити положення плода, його позицію та вид позиції. Окрім того, ІІ прийом ЗАО дає змогу діагностувати функціанальний стан м’язів матки (скорочення, тонус, болючість); багатоводдя (у жінок із бочкоподібною формою живота при перкусії матки виявляють флюктуацію); стан круглих маткових зв’язок у пологах (їх болючість, товщину, напруженість, симетричність, розташування по відношенню до матки). Послідовність виконання: 1. Обидві руки з дна матки переміщують донизу на бокові поверхні матки, розташовуючи їх на рівні пупка. 2. Фіксуючи ліву руку на правій боковій стінці матки, долонею та пальцями правої руку ретельно пальпують (натискаючи) ліву бокову стінку матки, після чого на лівій боковій стінці матки фіксують пра- ву руку, а пальпацію здійснюють долонею та пальцями лівої руки, по правій боковій поверхні матки.
  • 7.
    Спинка розпізнається поїї широкій та вигнутій поверхні. Дрібні частини визначаються з протилежного спинці боку у вигляді дріб- них, рухливих горбів. Якщо спинка плода повернена до лівої бокової стінки матки – позиція плода перша, до правої бокової стінки мат- ки – позиція плода друга. ІІІ прийом ЗАО – ІІІ прийом Леопольда Мета: визначити характер передлежачої частини. Послідовність виконання: 1. Одну руку (частіше праву) кладуть дещо вище лонного зчлену- вання так, щоб великий палець знаходився на одному, а чотири ін- ших – на протилежному боці нижнього відділу матки. 2. Повільними та обережними рухами пальці занурюють углиб і охоплюють передлежачу частину: а) пальпація щільної, з чіткими контурами округлої частини плода, здатної до балатування, вказує на головне передлежання; б) пальпація менш щільної, об’ємної части- ни, без чітких контурів, не здатної до балатування –характерні озна- ки тазового передлежання; в) передлежача частина не пальпується над входом у малий таз – положення плода поперечне або косе. ІV прийом ЗАО – ІV прийом Леопольда Мета: визначити передлежачу частину та ступінь вставлення голівки в малий таз. Послідовність виконання: 1. Лікар повертається обличчям до ніг жінки. 2. Долоні рук кладуть по обох боках нижнього відділу матки (паль- ці рук повернені нігтьовими фалангами один до одного і до входу в таз) між передлеглою частиною та боковими відділами входу в таз. Здійснюючи по голівці ковзний рух уверх і в напрямі до себе, оцінюють разташування кистей рук: а) кисті рук акушера розходяться – голівка знаходиться малим сег- ментом у вході в малий таз; б) руки акушера сходяться – голівка знаходиться великим сегмен- том у вході в малий таз.
  • 8.
    Алгоритм виконання практичноїнавички Вимірювання розмірів таза, визначення справжньої кон’югати Мета: визначити форму та розміри малого таза, як основної частини родового каналу, з метою профілактики розвитку можливих ускладнень під час вагітності та в пологах. Засоби, що використовуються: тазомір. Умови виконання: при проведенні пельвіометрії (вимірюван- ня розмірів таза) обстежувана лежить на кушетці (ліжку), а саме: на спині, ноги випрямлені. Лікар розташовується збоку від жінки, об- личчям до неї. Тазомір тримають лівою та правою рукою за відпо- відні гілки, на рівні ґудзиків, причому його шкала обернена доверху. 1. Distantia spinarum Послідовність виконання: 1. Пропальпувати передньо-верхні ості здухвинних кісток. 2. Прикласти до зовнішних країв передньо-верхніх остей здухвин- них кісток ґудзики тазоміра. 3. Оцінити показники шкали тазоміра. У нормі distantia spinarum дорівнює 25-26 см. 2. Distantia cristarum Послідовність виконання: 1. Після вимірювання distantia spinarum ґудзики тазоміра пересува- ють по зовнішньому краю гребенів клубових кісток, доки не визна- чать найбільшу відстань. 2. Оцінюють показники шкали тазоміра. У нормі distantia cristarum дорівнює 28–29 см. 3. Distantia trochanterica Послідовність виконання: 1. Пальпують найбільш виступаючі точки великих вертелів стегно- вих кісток. 2. Прикладають до них ґудзики тазоміра. 3. Оцінюють показники шкали тазоміра. У нормі distantia trochanterica дорівнює 30–31 см.
  • 9.
    4. Conjugata externa Умови виконання: обстежувана лягає на бік, обличчям від лі- каря (акушерки), ногу, що лежить внизу, згинає у кульшовому та ко- лінному суглобах, а ногу, яка лежить зверху, – випрямляє. Послідовність виконання: 1. Ґудзик однієї з гілок тазоміра прикладають до середини верхньо- зовнішнього краю симфізу, інший – до ямки між остьовими відрост­ ками останнього поперекового та першого крижового хребців. 2. Оцінюють показники шкали тазоміра. У нормі сonjugata externa дорівнює 20-21 см. 5. Сonjugata diagonalis Умови виконання: жінка знаходиться на гінекологічному кріс- лі. Виконують піхвове дослідження з дотриманням всіх правил асеп- тики та антисептики. Послідовність виконання: 1. ІІ та ІІІ пальці правої руки уводять у піхву жінки (IV та V пальці зігнуті, тил їх впирається в промежину). 2. Кінець витягненого середнього пальця руки, який знаходиться у піхві, фіксують на верхівці мису, ребро долоні впирається в нижній край симфізу. 3. ІІ пальцем іншої руки відмічають місце на внутрішній руці, де вона торкається нижнього краю симфізу. 4. Не віднімаючи ІІ пальця від наміченої точки, виводять внутріш- ню руку з піхви та вимірюють тазоміром або сантиметровою стріч- кою відстань між зробленою позначкою та верхівкою витягненого середнього пальця. У нормі сonjugata diagonalis дорівнює 12,5-13 см. 6. Conjugata vera Послідовність виконання: Для визначення істинної кон’югати попередньо необхідно: - виміряти Індекс Соловйова (довжина кола в ділянці променево­ зап’ястного суглоба) – сантиметровою стрічкою визначають окруж- ність променевозап’ястного суглоба (14см ±1,5-2см);
  • 10.
    - Визначення справжньоїкон’югати за розмірами діагональної кон’югати: від отриманої величини діагональної кон’югати відніма- ють 1,5-2 см (12,5 – 1,5 см = 11 см); - Визначення справжньої кон’югати за розмірами ­ овнішньої з кон’югати: від величини зовнішньої кон’югати віднімають 9 см (20 – 9 см = 11см). Алгоритм виконання практичної навички Визначення строку вагітності, гестаційного віку плода та передбачуваного строку пологів Мета: визначення гестаційного віку плода та строку пологів з метою профілактики перинатальних ускладнень (синдрому затрим- ки внутрішньоутробного розвитку плода, макросомії та ін.) і вчасно- го розродження. Для визначення гестаційного віку плода в акушерській практи- ці можна використовувати дані про довжину та масу плода за ме- тодом Гаазе: - у першій половині вагітності (до V акушерських місяців) довжи- на плода відповідає числу місяців, піднесеного до квадрата; - починаючи з VI місяця, довжина плода відповідає числу місяців, помноженому на 5. Місяць Довжина плода, Місяць Довжина плода, см см I 1 VI 30 II 4 VII 35 III 9 VIII 40 IV 16 IX 45 V 25 X 50 Починаючи з 16-18 тижнів, встановити гестаційний вік плода можна при визначенні висоти стояння дна матки: 1. IV акушерський місяць (16 тиж.) – дно матки розміщується посе- редині між лобком та пупком (на 4 поперечні пальці вище симфізу). 2. V акушерський місяць (20 тиж.)  – дно матки на 2 поперечних пальці нижче пупка.
  • 11.
    3. VI (24тиж.) – дно матки знаходиться на рівні пупка. 4. VIІ (28 тиж.) – дно матки визначається на 2–3 пальці вище пупка. 5. VIІІ (32 тиж.)  – дно матки стоїть посередині між пупком і ме- чоподібним відростком. Пупок починає згладжуватись. Починаючи з 32 тиж., для визначення гестаційного віку плода ще врахову- ється окружність живота. У 32 тиж. окружність живота на рівні пупка – 80-85 см. 6. IX (36 тиж.)  – дно матки піднімається до мечоподібного від- ростка та реберних дуг  – це найвищий рівень стояння дна матки. Окружність живота – 90 см. Пупок згладжений. 7. Х (40 тиж.) – дно матки опускається до середини відстані між пуп- ком та мечоподібним відростком. Пупок вип’ячується. Окружність живота – 95-98 см. У третьому триместрі для визначення гестаційного віку плода (з точністю до 1-3 тиж.) вимірюють біпарієтальний розмір голівки, окружність голівки, окружність живота та довжину стегна. Найбільш інформативні результати ультразвукової фетометрії. У термін 32 тиж. біпаріетальний розмір голівки плода в серед- ньому 8 см (4,5-8,5), діаметр грудної клітки – 8,2 см (7,5-9), живо- та – 8,4 (7,8-9,3). Середньостатистичні дані дозволяють дійти висновку про масу плода. На VI та VIII місяці вона приблизно подвоюється в порівнян- ні з попереднім місяцем; найбільш інтенсивне наростання маси пло- да відбувається на IX та Х місяцях (у середньому по 800 г). Місяць Маса плода, г Місяць Маса плода, г III 20-25 VII 1000-1200 IV 120 VIII 1500-1600 V 280-300 IX 2400-2500 VI 600-680 X 3200-3400 Визначення очікуваної маси плода проводять за формулами: 1. Якубової: окружність живота вагітної (см) + висота стояння дна матки (см) ділимо на 4 – коли плід доношений, а якщо недоношений, то ділимо на 6 і множимо на 100. 2. Жорданія: окружність живота вагітної (см) множимо на висоту стояння дна матки над симфізом (см).
  • 12.
    3. Методом Ланковіца:зріст вагітної (см) + маса тіла (кг) + окруж- ність живота (см) + висота стояння дна матки (см) множимо на 10. Термін вагітності з найбільшою точністю можна визначати за біпарієтальним розміром голівки та довжиною стегна плода при уль- тразвуковому дослідженні: Термін вагітності (тиж.) БПР голівки, мм Довжина стегна, мм 14 24,3 (21-28) 12,0 (10-15) 15 28,2 (25-32) 16,0 (11-18) 16 32,1 (28-36) 20,0 (16-24) 17 35,8 (32-39) 24,0 (20-28) 18 39,5 (36-43) 27,0 (23-30) 19 43,1 (39-47) 30,0 (27-34) 20 46,6 (43-50) 33,0 (29-36) 21 49,9 (46-54) 36,0 (32-40) 22 53,3 (49-57) 39,0 (35-42) 23 56,3 (52-60) 42,0 (37-46) 24 59,4 (55-63) 44,0 (40-48) 25 62,3 (58-66) 46,0 (42-51) 26 65,1 (61-69) 49,0 (45-53) 27 67,9 (63-72) 51,0 (47-55) 28 70,5 (65-75) 53,0 (49-57) 29 73,0 (69-77) 55,0 (51-59) 30 75,4 (71-80) 57,0 (53-61) 31 77,8 (73-83) 59,0 (55-63) 32 79,9 (75-85) 61,0 (57-65) 33 82,0 (77-88) 63,0 (59-66) 34 84,0 (79-90) 65,0 (61-68) 35 85,9 (81-92) 67,0 (62-71) 36 87,7 (83-94) 69,0 (64-73) 37 89,4 (85-96) 71,0 (65-74) 38 91,0 (86-98) 73,0 (66-76) 39 92,5 (88-100) 74,0 (67-78) 40 93,8 (89-102) 76,0 (68-80)
  • 13.
    Очікувана дата пологів(ОДП) вираховується за: − формулою Негеле (для 28-денного менструального циклу): ОДП = (ПМЦ+7 днів) – 3 місяці+1 рік, де ПМЦ – перший день остан- нього менструального циклу; Наприклад: ОМ почалась 2 жовтня + 7 днів – 3 міс. (9 вересня, 9 серп- ня, 9 липня) і визначають очікувану дату пологів 9 липня; − за овуляцією: від першого дня очікуваної, але яка так і не наста- ла, менструації відраховують назад 14-16 днів і до цієї дати додають 273-274 дні; − за датою одноразового статевого акту: до відомої дати додають 273 дні; − за першими рухами плода: додати 20 тижнів до дати першого відчуття рухів плода в першовагітних і 22 тижні – у повторновагітних. Наприклад: якщо першовагітна відчула перші рухи плода 7 травня, то, додаючи 20 тижнів, отримуємо ОДП – 17 вересня. Важливими даними є дата ранньої явки до лікаря (до 10‑12 тиж.), УЗД. Алгоритм виконання практичної навички Надання акушерської допомоги в пологах та післяпологовому періоді Згідно наказу МОЗ України №624 протокол «Нормальні пологи»: Шифр МКХ-10: О80 Нормальні пологи  – це одноплідні пологи зі спонтанним почат- ком та прогресуванням пологової діяльності у терміні вагітності 37-42  тижні у потиличному передлежанні плода, перебіг яких від- бувався без ускладнень протягом усього періоду пологів, при задо- вільному стані матері та новонародженого після пологів. Якщо по- логи у вагітних високої групи ризику (з патологією вагітності або соматичною патологією) мають нормальний перебіг, необхідно ви- користовувати рекомендації даного клінічного протоколу щодо ве- дення пологів у цієї групи жінок, за умови закінчення пологів без ускладнень, – такі пологи вважаються нормальними. Не є підставою для виключення з нормальних пологів:
  • 14.
    • наявність передчасногорозриву плодових оболонок; • проведення амніотомії без наступної індукції пологів; • розрив промежини 1 ступеню. На сучасному етапі організації акушерської допомоги в Україні оптимальним є проведення нормальних пологів в умовах акушер- ського стаціонару з забезпеченням права роділлі залучення близьких до підтримки її при пологах. Основною метою надання допомоги під час пологів є забезпе- чення безпеки для жінки та дитини при мінімальному втручанні в фізіологічний процес шляхом: • ретельного моніторингу стану матері, плода та прогресування пологів; • створення умов для надання невідкладної допомоги роділлі/поро- діллі та новонародженому; • проведення заходів, що спрямовані на попередження інфекцій- них та гнійно-запальних ускладнень; • впровадження та суворе дотримання принципів «теплового ланцюжка». Принципи ведення нормальних пологів: • визначення плану ведення пологів та обов’язкове поінформоване узгодження його з жінкою/сім’єю; • заохочення емоційної підтримки роділлі під час пологів (органі- зація партнерських пологів); • моніторинг стану матері, плода та прогресування пологів; • використання партограми для прийняття рішення щодо перебігу пологів, а також необхідності та об’єму втручань; • широке використання немедикаментозних засобів для знеболен- ня пологів; • заохочення жінки до вільного пересування під час пологів та за- безпечення можливості вільного вибору положення для наро- дження дитини; • оцінка стану дитини при народженні, забезпечення контакту «шкіра до шкіри» між матір’ю та новонародженим, прикладання до грудей матері за появи пошукового та смоктального рефлексу;
  • 15.
    • профілактика післяпологовоїкровотечі, що зумовлена атонією матки, шляхом використання методики активного ведення тре- тього періоду пологів. Діагностика та підтвердження пологів: • у вагітної після 37 тижня з`являється переймоподібні болі вни- зу живота та крижах з появою слизово-кров’яних або водянистих (у разі відходження навколоплідних вод) виділень із піхви; • наявність 1 перейми протягом 10 хвилин, що продовжується 15‑20 секунд; • зміна форми та розташування шийки матки – прогресивне її уко- рочення та згладжування. Розкриття шийки матки – збільшення діаметру просвіту шийки матки ( вимірюється в сантиметрах) ; • поступове опускання голівки плода до малого тазу відносно пло- щини входу у малий таз (за даними зовнішнього акушерського дослідження) або відносно lin.interspinalis (при внутрішньому дослідженні) Діагностика періодів і фаз пологів: Симптоми і ознаки Період Фаза Хибні пологи (відсутність Шийка не розкрита пологової діяльності) Шийка розкрита менше, ніж на 3 см Перший Латентна Шийка розкрита на 3-9 см. Швидкість розкриття шийки матки не Перший Активна менше (або більше) – 1 см/год. Початок опускання голівки плода Повне розкриття шийки матки (10 см). Голівка плода у порожнині тазу. Другий Рання Немає позивів до потуг Повне розкриття шийки (10 см). Передлегла частина плода досягає Пізня Другий дна тазу. (потужна) Роділля починає тужитись
  • 16.
    Послідовність дій уразі нормального перебігу пологів: Під час госпіталізації роділлі в акушерський стаціонар у прий­ мально-оглядовому відділенні черговий лікар акушер-гінеколог: - ретельно ознайомлюється з обмінною картою жінки щодо пере- бігу даної вагітності. Звертає увагу на дані загального, інфекцій- ного та акушерсько-гінекологічного анамнезу, клініко-лаборатор- ні обстеження та дані гравідограми; - з’ясовує скарги; - для оцінки стану роділлі здійснює обстеження: загальний огляд, вимірює температуру тіла, пульс, артеріальний тиск, частоту ди- хання, обстеження внутрішніх органів; - здійснює вимірювання висоти стояння дна матки, окружності живота та розмірів тазу. Визначає термін вагітності та очікувану масу плода; - запитує про відчуття рухів плода самою роділлею та проводять аускультацію серцебиття плода; - проводить зовнішнє та внутрішнє акушерське дослідження: ви- значає положення, вид та позицію плода, характер пологової ді- яльності, розкриття шийки матки та період пологів, знаходження голівки плода відносно площин малого тазу;  – встановлює акушерський діагноз, визначає план ведення пологів та узгоджує його з жінкою, що народжує. Не рекомендується рутинне призначення клізми та гоління лобка роділлі. Молодша медична сестра: - пропонує жінці прийняти душ, одягнути чистий домашній одяг (за від- сутності – лікарняну білизну); партнерові також потрібна зміна одягу на чистий домашній одяг (за відсутності – одноразовий комплект); - роділлю та її партнера супроводжує в індивідуальну пологову палату. Спостереження та допомога роділлі під час І періоду пологів Результати спостереження за прогресом пологів, станом мате- рі та плода заносяться лікарем акушер-гінекологом до партограми. Правильне заповнення та інтерпретація партограми сприяє ранньо- му виявленню відхилень перебігу пологів, відхилень у стані матері чи плода та допомагає вчасно прийняти обґрунтоване рішення щодо
  • 17.
    подальшої тактики веденняпологів та визначити обсяг необхідних втручань. Спостереження за станом роділлі і плода в І періоді поло- гів включає наступні рутинні процедури: Оцінка стану плода: Серцебиття плода в пологах реєструють шляхом: • періодичної аускультації за допомогою акушерського стетоско- пу, ручного доплерівського аналізатора або • за показаннями – шляхом електронного фетального моніторінгу (кардіотокографія). Для отримання достовірних результатів періодичної аускульта- ції слід дотримуватися наступної методики: • роділля знаходиться у положенні на боці; • аускультація починається після закінчення найбільш інтенсив- ної фази перейми; • аускультація триває щонайменше 60 секунд. Аускультація має проводитися кожні 30 хвилин протягом ла- тентної фази та кожні 15 хвилин протягом активної фази першого пе- ріоду пологів. В нормі ЧСС плода знаходиться в межах 110-170 уда- рів за хвилину. У разі зміни частоти серцевих скорочень плода, що виходять за межі норми, необхідно змінити положення тіла жінки (слід уникати положення на спині) та провести повторну аускультацію після закін- чення найбільш інтенсивної фази наступної перейми, дотримуючись вище описаної методики. Перехід від періодичної аускультації до електронного феталь- ного моніторингу (КТГ) показаний у наступних випадках: • ЧСС плода зберігається поза межами норми після зміни поло- ження тіла жінки; • базальна частота серцевих скорочень плода менше 110 чи біль- ше 170 ударів за хвилину; • під час періодичної аускультації виявляються будь-які епізоди брадикардії, що не зникають після зміни положення жінки; • розпочато пологопідсилення окситоцином; • вилились навколоплідні води, забарвлені меконієм.
  • 18.
    Рутинне застосування КТГвсім роділлям не доцільне через високий відсоток хибно позитивних результатів та збільшення частоти втручань, у тому числі й оперативних пологів. Якщо відбувся розрив плодового міхура (спонтанний або штуч- ний), звертається увага на колір та кількість навколоплодових вод. Оцінка загального стану матері Вимірювання температури тіла  – кожні 4 години; визначення параметрів пульсу  – кожні 2 години; артеріального тиску  – кожні 2 години; кількість сечі визначають кожні 4 години. Оцінка прогресування пологів З метою оцінки прогресування пологів визначають швидкість розкриття шийки матки, частоту та тривалість перейм, а також наяв- ність просування голівки плода у порожнину таза. Розкриття шийки матки Швидкість розкриття шийки матки оцінюється шляхом вну- трішнього акушерського дослідження, яке проводять кожні 4 години. Додаткове внутрішнє обстеження проводять за наявності показань: • спонтанний розрив плодових оболонок; • патологічна частота серцебиття плода (менше 110 або більше 170 ударів за хвилину); • випадіння пуповини; • у разі підозри на неправильне передлежання/вставлення голів- ки плода; • затримки прогресу пологів; • кровотечі (огляд в умовах операційної). Якщо після додаткового внутрішнього акушерського дослідження прийнято рішення продовжувати консервативне ведення пологів, наступ- не акушерське дослідження проводять через 4 години від останнього. Результати оцінки розкриття шийки матки заносяться до партограми. Розкриття шийки матки у латентній фазі Латентна фаза триває до 8 годин. Нормальне прогресування поло- гів у латентній фазі першого періоду характеризується поступовим згла- джуванням та розкриттям шийки матки зі швидкістю, яка забезпечує пе- рехід у активну фазу у будь-який час протягом 8 годин спостереження.
  • 19.
    Розкриття шийки матки3 та >см свідчить про перехід в актив- ну фазу І періоду пологів. • Якщо протягом 8 годин спостереження періодичні скорочення матки зникають, або значно уповільнюються, слід зробити висно- вок щодо хибних пологів. У разі спонтанного припинення матко- вих скорочень немає необхідності у проведенні вагінального до- слідження, якщо інші показання до його проведення відсутні. • Якщо через 8 годин спостереження періодичні скорочення матки тривають, а розкриття шийки матки залишається менше 3 см, слід оцінити наявність структурних змін шийки матки. • Якщо структурні зміни шийки матки відсутні слід зробити висно- вок на користь удаваних перейм. • Якщо відбуваються структурні зміни шийки матки (розм’якшення, згладження, розкриття), слід оцінити ступень зрілості шийки мат- ки за шкалою Бішопа. • Якщо шийка матки «зріла» (6 або більше балів), робиться висновок на користь уповільненої латентної фази першого періоду пологів. • Якщо шийка матки «незріла» (5 або менше балів), тактика веден- ня має відповідати веденню удаваних перейм. Оцінка ступеня «зрілості» шийки матки за шкалою Бішопа Бали Параметри 0 1 2 Положення шийки Між крижами і Зміщена до провідною віссю матки щодо провідної По вісі тазу крижів осі тазу тазу Довжина шийки матки ≥2 1-2 1≤ (см) Консистенція шийки Щільна Розм’якшена м’яка матки Відкриття зовнішнього Закритий 1 ≥2 вічка Місце знаходження Рухома над Притиснута до Притиснута або передлеглої частини входом у ма- входу в малий фіксована у вхо- плода лий таз таз ді у малий таз Примітка: 0-2 бали – «шийка не зріла» 3-5 балів – «шийка недостатньо зріла» ≥ 6 балів – «шийка зріла»
  • 20.
    Розкриття шийки маткив активній фазі Нормальне прогресування пологів в активній фазі першого пе- ріоду характеризується розкриттям шийки матки зі швидкістю що- найменше 1 см/год. Якщо швидкість розкриття шийки матки становить менш, ніж 1 см/  од (графік розкриття шийки матки знаходиться справа від Лінії г уваги на партограмі), це вказує на «пролонговану активну фазу», яка може бути пов’язана зі слабкістю пологової діяльності або клінічно вузьким тазом. Швидкість розкриття шийки матки менш, ніж 1 см/год, за наяв- ності цілого плідного міхура є абсолютним показанням до проведен- ня амніотоміі. Рутинне проведення ранньої амніотомії (до 5 см розкриття шийки матки) у разі нормального перебігу пологів не рекомендується. Частота та тривалість перейм Оцінка частоти та тривалості перейм проводиться щогодини в латентній фазі та кожні 30 хвилин в активній фазі. Підраховують кіль- кість перейм за 10 хвилин. Отримані дані заносять до партограми. Наявність 2 перейм за 10 хвилин в латентній фазі вважають адекватною пологовою діяльністю, в активній фазі – 3-5 перейм про- тягом 10 хвилин, кожна з яких триває 40 секунд або більше. Просування голівки плода Просування голівки плода визначають шляхом зовнішнього та внутрішнього акушерського дослідження. Результати заносять до партограми. Просування голівки плода може не спостерігатись, поки шийка матки не розкриється приблизно на 7-8 см. Умови забезпечення нормальних пологів: • індивідуальна пологова кімната, яка має бути максимально на- ближена до домашніх умов; • персональна психологічна підтримка роділлі чоловіком чи обраним нею партнером, які мають бути підготовленими до участі в пологах; • досягнення взаємного порозуміння, психологічна підтримка ро- діллі медичним персоналом;
  • 21.
    • пояснення необхідностіпроведення кожної процедури і маніпу- ляції та одержання дозволу жінки на їх проведення; • підтримання доброзичливої атмосфери при розродженні, • поважне ставлення до бажань жінки, забезпечення конфіденційності; • підтримування чистота роділлі та її оточення: - заохочення самостійно прийняти ванну чи душ під час пологів; - перед кожним внутрішнім акушерським дослідженням зовніш- ні статеві органи і промежину роділлі обмивають чистою те- плою водою. • забезпечення рухливості роділлі: - жінку заохочують до активної поведінки під час пологів; - допомагають вибрати положення для пологів. • підтримання прийому жінкою їжі і рідини за її бажанням. Знеболювання пологів за погодженням жінки Допомога роділлі подолати біль під час пологів є завданням ме- дичних працівників та присутнього партнера. Зменшення больового відчуття може бути досягнуто застосуванням простих немедикамен- тозних методів знеболювання: - максимальна психологічна підтримка та заспокоєння; - зміна положення тіла (малюнок 1): заохочення роділлі до актив- них рухів; пропонують партнеру масажувати їй спину; погладжу- вати низ живота; тримати її руку і протирати обличчя вологою губкою між переймами; пропонують жінці дотримуватись спеці- альної техніки дихання (глибокий вдих та повільний видих); - локальні натискання на крижеву область: під час перейми не- обхідно сильно натискати кулаком або зап’ястям на крижеву об- ласть. Роділля самостійно визначає місце та силу, з якою потрібно проводити натискання. Щоб утримати рівновагу, друга рука парт- нера розміщується спереду на передній верхній клубовій ості. Між переймами натискання не проводять; - подвійне стискання стегон: роділля стоїть на руках і колінах, на- хилившись уперед. Партнер кладе руки на сідничні м’язи тривало натискаючи всією долонею по діагоналі до центру таза жінки; - колінне натискання: роділля сидить рівно на стільці з розведени- ми колінами приблизно 10 см, ступні щільно опираються на під-
  • 22.
    логу. Партнер заходитьсяперед нею і розміщує опорну частину долоні поверх великогомілкової кістки, тривало натискаючи на ко- ліна в бік тазостегнових суглобів жінки, нахиляючись у її сторону; Малюнок 1. Положення, що може прийняти жінка в пологах
  • 23.
    - гідротерапія: прийомдушу або занурення у воду з температурою 36-37°C у активній фазі (при наявності можливості). Тривалість перебування у ванній чи душі залежить від бажання жінки, але необхідно постійно підтримувати температуру води у заданих межах і проводити термометрію у роділлі. Гідротерапію проводять обов’язково під наглядом медперсоналу! - масаж: техніка масажу полягає у легкому погладжувані живота, ві- брації та розминанні рук, ніг та коміркової зони, сильних кругових ру- хах, тривалому натисканні на різні точки та область ромбу Міхаеліса. Вимоги, що ставляться до медикаментозного знеболювання: - знеболюючий ефект, - відсутність негативного впливу на організм матері і плода, - простота та доступність для усіх родопомічних закладів. Спостереження та допомога у II періоді пологів Попередження бактеріальних та вірусних інфекцій (включно ВІЛ): • Адекватна обробка рук медичного персоналу (гігієнічна або ан- тисептична в залежності від маніпуляції, що планується) згідно діючих алгоритмів. • Використання стерильних рукавичок під час проведення вну- трішнього акушерського дослідження, прийняття пологів та опе- ративних втручань (епізіотомія тощо). • Використання медичним персоналом для прийняття пологів чисто- го халату. У разі можливості оптимальним є використання однора- зового халату, виготовленого з водовідштовхуючого матеріалу. • Використання засобів для захисту обличчя медичного персоналу: маска (бажано одноразова), окуляри або щиток. • Обережне використання гострого інструментарію. Оцінка стану плода Проводять контроль серцевої діяльності плода шляхом аускуль- тації кожні 5 хвилин у ранню фазу другого періоду та після кожної потуги у активну фазу.
  • 24.
    Оцінка загального стануроділлі Вимірювання артеріального тиску, підрахунок пульсу  – кожні 15 хвилин. Оцінка прогресування пологів Оцінюють просування голівки по родовому каналу та пологову діяльність (частота та тривалість маткових скорочень). Акушерська тактика має відповідати фазі другого періоду пологів. Рання фаза другого періоду пологів Рання фаза другого періоду пологів починається від повного розкриття шийки матки та триває до появи спонтанних активних по- туг (або до опускання голівки на тазове дно). В ранню фазу слід забезпечити рухливість роділлі, а саме: зао- хотити її до активної поведінки та вільного ходіння. Вертикальне по- ложення жінки та можливість вільно рухатись сприяють збережен- ню активної пологової діяльності та просуванню голівки плода. В ранній фазі не слід примушувати роділлю тужитись через те, що це призводить до втоми роділлі, порушення процесу внутрішньо- го повороту голівки плода, травмування пологових шляхів і голівки, порушення стану плода та є зайвим медичним втручанням. Пізня (потужна) фаза другого періоду пологів Пізня (потужна) фаза другого періоду пологів починається з мо- менту опущення голівки на тазове дно та наявності спонтанних ак- тивних потуг. Слід надавати перевагу техніці «нерегульованих фізіологічних потуг», коли жінка самостійно робить декілька коротких спонтанних потужних зусиль без затримки дихання. Допустима тривалість другого періоду пологів: • у жінки, що народжує вперше, до 2 години; • у жінки, що народжує повторно, до 1 години. Положення жінки для народження дитини Забезпечується можливість роділлі вибрати положення для на- родження дитини, яке є зручним для неї.
  • 25.
    Рутинне положення наспині («літотомічна» позиція) супро- воджується зростанням частоти випадків порушень стану плода та пов’язаних з ними оперативних втручань у порівнянні з вер- тикальними положеннями (сидячи, стоячи), а також положен- ням роділлі на боці. Застосування епізіотомії не проводять при нормальних пологах Показання до епізіотомії: • ускладнені вагінальні пологи (при тазовому передлежанні, дистоція плечиків, при накладенні акушерських щипців, вакуум-екстракції); • дистрес плода; • рубцеві зміни промежини, що є суттєвою перепоною для наро- дження дитини. Епізіотомію та епізіорафію проводять під знеболюванням. Після народження голівки необхідно дати можливість плечикам розвернутись самостійно, при цьому перевірити, чи немає обвиван- ня пуповини навкруг шиї. В разі тугого обвиття пуповину необхідно перетнути між 2-х затискачів, при нетугому – послабити натяжіння пуповини та дочекатися наступної потуги. Не квапитись! У разі задовільного стану плода не слід намагатися народи- ти плечики протягом тієї ж потуги, під час якої народилась голівка. Плечики можуть бути народжені під час наступної потуги. Одразу після народження акушерка здійснює обсушування го- лови і тіла дитини попередньо підігрітою стерильною пелюшкою, викладає дитину на живіт матері, одягає дитині чисті шапочку і шкарпетки, накриває сухою чистою пелюшкою та ковдрою. Одночасно лікар-педіатр-неонатолог, а за його відсутності лікар- акушер-гінеколог, здійснює первинну оцінку стану новонародженого. Рутинна катетеризація сечового міхура не рекомендується Ведення III періоду пологів Існують дві тактики ведення третього періоду пологів – актив- на та очікувальна.
  • 26.
    Активне ведення третьогоперіоду пологів Застосування методики активного ведення третього періоду під час пологів дозволяє знизити частоту післяпологової кровотечі, що зумовлена атонією матки, на 60%, а також зменшити кількість після- пологової крововтрати та необхідність гемотрансфузії. Активне ведення третього періоду пологів повинно бути запро- поновано кожній жінці під час вагінальних пологів. Роділля повинна бути поінформована відносно активного ве- дення III періоду пологів та має надати добровільну письмову згоду на його проведення. Стандартні компоненти активного ведення третього періоду по- логів включають: • введення утеротоніків; • народження посліду шляхом контрольованої тракції за пупови- ну з одночасною контртракцією на матку; • масаж матки через передню черевну стінку після народження посліду. Відсутність одного з компонентів  – виключає активне ведення III періоду пологів Крок 1 Введення утеротоніків Протягом першої хвилини після народження дитини пропальпувати матку для виключення наявності в ній другого плоду, при його відсутнос- ті – ввести 10 ОД окситоцину внутрішньом’язово. Якщо в наявності немає окситоцину, можна використати ергометрін – 0,2 мг внутрішньом’язово. Не використовують ергометрін жінкам з гіпертензивними розладами! Жінка має бути поінформована про можливі побічні ефекти цих препаратів. У разі відсутності утеротоніків не слід використовувати методику ак- тивного ведення третього періоду пологів. У цьому випадку слід за- стосовувати очікувальну тактику ведення третього періоду пологів.
  • 27.
    Народження посліду шляхомконтрольованої тракції за пуповину Крок 2 • перетиснути пуповину ближче до промежини затискачем, трима- ти перетиснуту пуповину та затискач в одній руці. Крок 3 • покласти другу руку безпосередньо над лобком жінки і утримува- ти матку відводячи її від лона; • тримати пуповину у стані легкого натяжіння та дочекатись пер- шого сильного скорочення матки (зазвичай через 2-3 хв. після вве­­ дення окситоцину). Не тягніть за пуповину до початку скорочення матки, просто утримуйте пуповину в стані легкого натяжіння Крок 4 • одночасно з сильним скороченням матки запропонувати жінці по- тужитись і дуже обережно потягнути (тракція) за пуповину до- низу, щоб відбулося народження плаценти; • під час тракції продовжувати проводити другою рукою контр- тракцію у напрямку протилежному тракції (тобто відштовхувати матку від лона); • якщо плацента не опускається протягом 30-40 сек. контрольова- ної тракції, зупинити тракцію за пуповину, але продовжувати обе- режно її утримувати у стані легкого натяжіння, друга рука зали- шається над лоном, утримуючи матку; • одночасно з наступним сильним скороченням матки повторити тракцію. Ніколи не проводити тракцію (підтягування) за пуповину без застосу- вання контртракції (відведення) добре скороченої матки над лоном! Проведення тракції за пуповину без скорочення матки може призвести до вивороту матки Крок 5 • після народження плаценти утримують її двома руками і обереж- но повертають, щоб скрутити оболонки, повільно підтягують пла-
  • 28.
    центу вниз; уразі обриву оболонок, обережно обстежують піхву і шийку матки (в стерильних рукавичках) та видаляють їх залишки; • уважно оглядають плаценту та переконуються в її цілісності. Якщо частина материнської поверхні відсутня або є ділянка обі- рваних оболонок з судинами, це потребує відповідних заходів; • при відсутності народження плаценти протягом 30 хвилин після народження плода під адекватним знеболенням. проводять ручне відділення плаценти і виділення посліду. У разі виникнення кровотечі – ручне відділення плаценти та виділення посліду має бути проведено негайно під адекват- ним знеболенням. Крок 6 Масаж матки • Після народження посліду негайно проводять масаж матки через передню черевну стінку жінки, доки вона не стане щільною. В подальшому пальпують матку кожні 15 хв. протягом перших 2-х годин, щоб бути впевненому в тому, що матка не розслабляється, а залишається щільною. Міхур з льодом на низ живота у ранньому післяпологовому періоді не застосовується. Очікувальне ведення третього періоду пологів. Після закінчення пульсації пуповини акушерка перетискає та перетинає пуповину. Проводять ретельний нагляд за загальним ста- ном породіллі, ознаками відділення плаценти та кількістю кров’яних виділень. При появі ознак відділення плаценти (ознаки Шредера, Аль­ фельда, Клейна, Кюстнера-Чукалова) жінці пропонують «натужи- тись», що призведе до народження посліду. За відсутності ознак відділення плаценти протягом 30 хвилин після народження плода проводять ручне відділення плаценти та ви- ділення посліду. У разі виникнення кровотечі ручне відділення плаценти та ви- далення посліду проводять негайно під адекватним знеболенням.
  • 29.
    Огляд нижніх відділівпологових шляхів обережно проводять за допомогою тампонів після пологів. Показанням до огляду за допомогою вагінальних дзеркал є наявність кровотечі, оперативних вагінальних пологів, стрімких пологів або пологів поза лікарняним закладом. Оцінка стану новонародженого та послідовність дій при здійсненні медичного догляду за здоровою новонародженою дитиною. Після закінчення пульсації пуповини, але не пізніше 1 хв. після народження дитини, акушерка, замінивши стерильні рукавички, пе- ретискає та перетинає пуповину за умови задовільного стану дитини (за результатами первинної оцінки стану новонародженого). Акушерка здійснює медичне спостереження за станом новона- родженого протягом перебування дитини у пологовій залі. При пору- шенні стану новонародженого інформує про це лікаря-педіатра-нео- натолога, а за його відсутності лікаря-акушера-гінеколога. За появи пошукового і смоктального рефлексу (дитина піднімає голову, відкриває широко рот, шукає груди матері) акушерка допо- магає здійснити перше раннє прикладання дитини до грудей матері. Через 30 хв. після народження дитини акушерка електронним термометром вимірює новонародженому температуру тіла в акси- лярній ділянці та записує результати термометрії у карті розвитку новонародженого (Ф097/о). Після проведення контакту матері і дитини «очі в очі» (але не пізніше першої години життя дитини) акушерка після обробки рук проводить новонародженому профілактику офтальмії із застосуван- ням 0.5% еритроміцинової або 1% тетрациклінової мазі відповідно до інструкції застосування одноразово. Контакт «шкіра до шкіри» проводиться не менше 2 годин у по- логовій залі за умови задовільного стану матері та дитини. Після завершення контакту «шкіра до шкіри» акушерка пере- кладає дитину на зігрітий сповивальний стіл, здійснює обробку та клемування пуповини, вимірювання зросту, обводу голови та груд- ної клітини, зважування.
  • 30.
    Лікар-педіатр-неонатолог, а зайого відсутності лікар-акушер-гі- неколог, перед переведенням дитини та матері в палату спільного пе- ребування здійснює первинний лікарський огляд новонародженого Акушерка (медична сестра) одягає дитині чисті повзуни, соро- чечку, шапочку, шкарпетки, рукавички. Дозволяється використову- вати чистий домашній одяг. Дитина разом з матір’ю накривається ковдрою і переводить- ся в палату спільного перебування з дотриманням умов теплового ланцюжка. Тепловий ланцюжок Найважливішою умовою дотримання теплового ланцюж- ка є забезпечення температури у пологовій залі (операційній) не нижче, ніж 25ºС. Організаційні умови забезпечення підтримки теплового ланцюжка Ці заходи впроваджуються під час пологів та в перші дні після народження дитини з метою зменшення втрат тепла у всіх новонаро- джених. Невиконання хоча б одного з цих заходів розриває тепловий ланцюжок та ставить новонароджену дитину під загрозу переохо- лодження. Межами нормальної температури тіла новонароджено- го слід вважати 36,5оС-37,5оС при вимірюванні в аксілярній ділян- ці. Недотримання теплового ланцюжка підвищує ризик розвитку у новонародженого гіпоглікемії, метаболічного ацидозу, інфекції, ди- хальних розладів, уражень центральної нервової системи (кровови- ливи, судоми). Десять кроків теплового ланцюжка 1) Тепла пологова кімната (операційна). Приміщення повинно бути чистим та теплим, без протягів з від- чинених вікон, дверей та кондиціонерів (вентиляторів). Опти­ аль­ м ною (безпечною) для матері та дитини вважається температура на- вколишнього середовища 25оС –28оС. Все необхідне для зігрівання дитини (пелюшки, шапочка, шкарпет- ки, сорочечки, повзунки, ковдра) треба підготувати і підігріти завчасно.
  • 31.
    2) Негайне обсушуваннядитини. Відразу після народження (до перетинання пуповини) акушер- ка повинна обсушити тіло та голову дитини стерильними, сухими, попередньо підігрітими пелюшками. Викласти дитину на живіт матері і закінчити обсушування. Вологі пелюшки треба відкласти, одягнути на дитину чисті шапочку і шкар- петки та накрити чистою сухою, попередньо підігрітою пелюшкою. 3) Контакт «шкіра до шкіри». Контакт «шкіра до шкіри» запобігає втратам тепла та сприяє ко- лонізації організму дитини флорою матері. На грудях матері дити- на накривається чистою, попередньо підігрітою пелюшкою та спіль- ною з матір’ю ковдрою і знаходиться там до переведення в палату спільного перебування не менше 2 годин. З метою контролю дотримання заходів теплового ланцюжка перше вимірювання температури тіла новонародженого здійснюєть- ся через 30 хвилин після народження в аксілярній ділянці електро- нним термометром. 4) Грудне вигодовування. Грудне вигодовування треба починати якомога раніше, протя- гом першої години після народження, коли дитина проявляє ознаки готовності до початку годування та знаходиться з матір’ю в контакті «шкіра до шкіри». Не треба примушувати дитину розпочинати пер- ше годування, якщо вона не проявляє цих ознак. 5) Відкласти зважування та купання. Купання та зважування новонародженого відразу після наро- дження призводить до втрат тепла, тому ці процедури треба відкласти. Кров, меконій частково видаляються зі шкіри новонародженого при обсушуванні після пологів. Залишки родової змазки не видаля- ються у дитини. Перше купання доцільно здійснювати вдома. Зважування та антропометрію дитини необхідно проводити піс- ля здійснення контакту «шкіра до шкіри» перед переведенням в па- лату спільного перебування. 6) Правильно одягнути та загорнути дитину. Туге сповивання шкідливе для новонародженого, тому що змен- шує ефективність підтримання тепла дитиною, обмежує рухи дити- ни, обмежує дихальні рухи.
  • 32.
    У зв’язку зцим дитину необхідно одягнути в чисті теплі по- взунки, сорочечку, шапочку, шкарпетки та накрити теплою ковдрою. 7) Цілодобове спільне перебування матері та дитини За умови відсутності протипоказань новонароджена дитина по- винна цілодобово перебувати разом з матір’ю в одному приміщенні. Спільне перебування матері та дитини забезпечує годування на ви- могу, профілактику гіпотермії та профілактику внутрішньолікарня- ної інфекції. 8) Транспортування в теплих умовах Якщо дитину треба транспортувати в інше відділення (палату), медичні працівники зобов’язані забезпечити підтримку та контроль температури тіла для запобігання виникнення гіпотермії. В палату спільного перебування новонароджений повинен транспортуватися разом з матір’ю. При народженні дитини шляхом кесарського розтину новона- роджений транспортується в кувезі або в дитячому ліжечку, вкритий теплою ковдрою. 9) Реанімація в теплих умовах. Новонароджена дитина з асфіксією не може виробляти достат- ню кількість тепла, в зв’язку з чим підвищується ризик виникнення гіпотермії. Тому важливо забезпечити проведення реанімаційних за- ходів у теплих умовах. 10) Підвищення рівня підготовки та знань. Всі медичні працівники повинні мати відповідну підготовку та навички з принципів дотримання теплового ланцюжка. Члени сім’ї інформуються медичними працівниками щодо важ- ливості підтримання нормальної температури тіла дитини. Післяпологовий період починається одразу після закінчення пологів і триває протягом 8 тижнів. Післяпологовий період поділя- ється на ранній та пізній. Ранній післяпологовий період починається з моменту вигнан- ня посліду та триває 2 години. В цей період породілля знаходиться у пологовому відділення, що пов’язано з ризиком виникнення усклад- нень, насамперед кровотечі. Цей період є дуже важливим і його тре- ба розглядати як термін швидкої адаптації функціональних систем після великого навантаження під час вагітності та пологів.
  • 33.
    Пізній післяпологовий періоднастає через 2 години після по- логів і триває впродовж 8 тижнів. Під час цього періоду відбувається зворотний розвиток всіх органів та систем, які змінилися у зв’язку з вагітністю та пологами. Післяпологовий догляд Основні принципи післяпологового догляду: 1. Забезпечення доброго самопочуття матері та дитини: • Оцінка стану матері, вимірювання та реєстрація температури, артеріального тиску, визначення характеру та частоти пульсу. Звертають увагу на молочні залози: визначають їх форму, мож- ливе нагрубання, стан сосків, наявність тріщин на них. • Постійний контроль за післяпологовими виділеннями (лохіями) та інволюцією матки. Інтервали часу: протягом перших двох годин – кожні 15 хвилин; протягом третьої години – кожні 30 хвилин; протягом наступних трьох годин – кожні 60 хвилин; протягом подальшого перебування в післяпологовому відділенні – один раз на добу. • Виконання вправ післяпологової гімнастики. 2. Підтримка раннього грудного вигодовування: • Контакт «шкіра до шкіри» та раннє прикладання новонародже- ного до грудей, цілодобове сумісне перебування матері та ново- народженого, заохочення матері вибрати ту позицію при груд- ному вигодуванні, яка буде найбільш комфортною як для неї, так і для дитини, сприяє тривалому та успішному вигодуван- ню. Це забезпечує емоційний контакт та надає породіллі мож- ливість висловлювати свої материнські почуття. • Захищає новонародженного від інфекцій. 3. Підтримка у матері відчуття впевненості в собі: • Надання матері точної та вичерпної інформації протягом всього післяпологового періоду відносно її стану та стану новонародже- ного, придбані навички якісного догляду та спостереження за ди- тиною підвищать відчуття впевненості в собі, а також нададуть можливість вчасно звернутись за допомогою в разі необхідності.
  • 34.
    4. Проведення консультуванняз питань планування сім’ї та догля- ду за дитиною після виписки. Виписка породіллі зі стаціонару проводиться після: • Об’єктивної оцінки стану матері: - відсутність скарг; - стабільні показники гемодинаміки; - відсутність кровотечі; - відсутність ознак інфікування. Не існує доказів на користь необхідності рутинного ультраз- вукового обстеження органів малого тазу жінок в післяполо- говому періоді. • Коли мати навчена догляду та нагляду за дитиною. При відсутності відхилень від фізіологічного перебігу післяпо- логового періоду породілля з новонародженим виписується на 3 добу додому. • Коли мати проконсультована з питань вигодування новонаро- дженого, післяпологової контрацепції та основних загрозливих симптомів післяпологового періоду. Загрозливі симптоми в післяпологовому періоді, при яких потрібна допомога Загрозливі симптоми у жінок Загрозливі стани дитини вагінальна кровотеча (використання дитина погано смокче груди 2-3 прокладок за 30 хв. підвищення температури тіла дитина млява або збудлива утруднення дихання у дитини виникли судоми біль у животі у дитини порушення дихання у дитини гіпертермія або біль молочних залоз та сосків гіпотермія визначається набряк, гіпере- біль у промежині мія або нагноювання пупко- вої ранки нетримання сечі, біль / утруднення у дитини блювота або діарея при сечовиділенні гнійні / з неприємним запахом виділення з піхви
  • 35.
    Ситуаційні завдання допрактичної навички Визначення стану новонародженого за шкалою Апгар 1. У жінки 32 років народилась дівчинка вагою 3200, довжиною 51 см. Серцебиття 90 уд/хв., дихання відсутнє, колір шкіри синюш- ний, м’язовий тонус млявий, рефлекси слабо виражені (гримаса). Оцініть стан новонародженого за шкалою Апгар. 2. У жінки 27 років від другої вагітності народився хлопчик ва- гою 3400, довжиною 52 см в терміні гестації 39 тижнів. Серцебиття 110 уд/хв., дихання поверхневе, колір шкіри синюшний, м’язовий то- нус млявий, рефлекси слабко виражені (гримаса). Оцініть стан ново- народженого за шкалою Апгар. 3. Народилась дівчинка в терміні гестації 39 тижнів, вагою 3600, зростом – 55 см. Серцебиття 90 ударів за хв., дихання поверхне- ве, слабке, шкіра бліда, м’язовий тонус дещо знижений, рефлекси слабо виражені (гримаса). Оцініть стан новонародженого за шка- лою Апгар. 4. Народилась дівчинка в терміні гестації 39 тижнів, вагою 3500, зростом – 54 см. Серцебиття 90 ударів за хв., дихання слабке, шкі- ра бліда, м’язовий тонус дещо знижений, рефлекси відсутні. Оцініть стан новонародженого за шкалою Апгар. 5. У першовагітної народився хлопчик в терміні гестації 40 тижнів довжиною 56 см, вагою 3900. Серцебиття 120 уд/хв., голосно закри- чав одразу, забарвлення шкіри синюшне, проявляє активні рухи, рефлекси добре виражені. Оцініть стан новонародженого за шка- лою Апгар. 6. Народилась дівчинка в терміні гестації 39 тижнів, вагою 3500, зростом – 54 см. Серцебиття 120 ударів за хв., голосний крик, шкіра рожева, м’язовий тонус дещо знижений, рефлекси добре виражені. Оцініть стан новонародженого за шкалою Апгар.
  • 36.
    7. У жінки30 років народилась дівчинка вагою 3400, довжиною 55 см. Серцебиття 110 уд/хв., дихання поверхневе, колір шкіри си- нюшний, м’язовий тонус – активні рухи, рефлекси слабо виражені (гримаса). Оцініть стан новонародженого за шкалою Апгар. 8. У жінки 35 років спостерігалася слабка пологова діяльність. Тривалість І періоду пологів  – 15 годин, другого  – 2,5 години. Народився хлопчик, масою 3 700, зріст 54 см, самостійного дихання немає, серцебиття ясне, 120 за 1 хв., шкіра ціанотична, тонус м’язів понижений, рефлекси слабо виражені (гримаса). Оцініть стан ново- народженого за шкалою Апгар. 9. У жінки 32 років народилась дівчинка вагою 3200, довжиною 51  см. Серцебиття 80 уд/хв., дихання поверхневе, колір шкіри си- нюшний, м’язовий тонус дещо знижений, рефлекси слабо виражені (гримаса). Оцініть стан новонародженого за шкалою Апгар. 10. У жінки 32 років народилась дівчинка вагою 3400, довжиною 55 см. Серцебиття 110 уд/хв., дихання поверхневе, колір шкіри блі- дий, м’язовий тонус – млявий, рефлекси слабо виражені (гримаса). Оцініть стан новонародженого за шкалою Апгар. 11. У жінки 29 років народилась дівчинка вагою 3500, довжиною 56 см. Серцебиття 120 уд/хв., дихання поверхневе, колір шкіри роже- вий, м’язовий тонус – активні рухи, рефлекси слабо виражені (гри- маса). Оцініть стан новонародженого за шкалою Апгар. 12. У жінки 32 років народилась дівчинка вагою 3400, довжиною 55 см. Серцебиття 90 уд/хв., дихання поверхневе, колір шкіри блі- дий, м’язовий тонус – млявий, рефлекси слабо виражені (гримаса). Оцініть стан новонародженого за шкалою Апгар. Алгоритм виконання практичної навички Первинний догляд за новонародженим Послідовність дій при здійсненні медичного догляду за здоровою новонародженою дитиною у пологовій залі (Наказ
  • 37.
    МОЗ  України №152від 04.04.2005 «Про затвердження Протоколу медичного догляду за здоровою новонародженою дитиною»): 1. Відразу після народження акушерка викладає дитину на живіт ма- тері, здійснює обсушування голови і тіла дитини попередньо піді- грітою стерильною пелюшкою, вдягає шапочку і шкарпетки, на- криває сухою чистою пелюшкою та спільною з матір’ю ковдрою. 2. Одночасно лікар-педіатр-неонатолог, а за його відсутності лікар- акушер-гінеколог, здійснює первинну оцінку стану новонародже- ного (додаток 1). 3. Після закінчення пульсації, але не пізніше 1 хвилини після наро- дження дитини акушерка, замінивши стерильні рукавички, пере- тискає та перетинає пуповину (додаток 2), за умови задовільного стану дитини (за результатами первинної оцінки стану новонаро- дженого) перекладає дитину на груди матері. 4. Акушерка здійснює медичне спостереження за станом новонаро- дженого протягом перебування дитини в пологовій залі. При по- рушенні стану новонародженого інформує про це лікаря-педіатра- неонатолога, а за його відсутності – лікаря-акушера-гінеколога. 5. За появи пошукового і смоктального рефлексу (дитина піднімає голову, відкриває широко рот, шукає груди матері) акушерка допомагає здійснити перше раннє прикладання дитини до гру- дей матері. 6. Через 30 хвилин після народження дитини акушерка електро- нним термометром вимірює новонародженому температуру тіла в аксілярній ділянці та записує результати термометрії у карті роз- витку новонародженого (Ф097⁄о). 7. Після проведення контакту матері і дитини «очі в очі» (але не піз- ніше першої години життя дитини) акушерка після обробки рук проводить новонародженому профілактику офтальмії із застосу- ванням 0,5% еритроміцинової або 1% тетрациклінової мазі відпо- відно до інструкції застосування одноразово. 8. Контакт «шкіра до шкіри» триває не менше 2 годин в разі стабіль- ного клінічного стану матері та дитини. 9. Після завершення контакту «шкіра до шкіри» акушерка перекла- дає дитину на зігрітий сповивальний столик, здійснює обробку та
  • 38.
    клемування пуповини, вимірюваннязросту, обводу голови, груд- ної клітини, зважування. 10. Лікар-педіатр-неонатолог, а за його відсутності лікар-акушер-гі- неколог перед переведенням дитини і матері в палату спільно- го перебування здійснює первинний лікарський огляд новонаро- дженого і записує дані огляду в карту розвитку новонародженого (додаток 3). 11. Акушерка (медична сестра) одягає дитині чисті повзуни, соро- чечку, шапочку, шкарпетки, рукавички. 12. Дитина разом з матір’ю накривається ковдрою і переводиться в палату спільного перебування з дотриманням умов теплового ланцюжка. Додаток 1 Основна мета первинної оцінки стану новонародженого в пологовій залі – отримати відповідь на такі питання: - чи немає вроджених вад розвитку і інших патологічних станів, які б вимагали невідкладного обстеження та втручання; - чи відбулася рання фізіологічна адаптація новонародженого. Первинна оцінка стану новонародженого: Дихання нормальне Маса тіла⁄ >2500 Термін гестації >37 тижнів Якщо дитина дихає або кричить, Серцебиття має задовільний м′язевий тонус, ЧСС не вимірюється Вроджена вада розвитку⁄ відсутня Пологова травма Додаток 2 Перетинання та клемування пуповини в пологовій залі: - замінити використані рукавички на стерильні перед тим, як на- класти стерильні затискачі на пуповину (приблизно через 1 хви- лину після народження дитини); - перерізати пуповину стерильними ножицями;
  • 39.
    - через 2години після народження дитини на пеленальному столі накласти одноразову клему на 0,3-0,5 см від пупкового кільця; - обробка культі пуповини антисептиками, антибіотиками недоцільна. Показники адаптації, які необхідно визначити під час пер­ винного лікарського огляду новонародженого: Ознаки Нормальні межі Частота серцебиття 100-160 за хв. Частота дихання 30-60 за хв. рожевий, відсутній центральний Колір шкіри ціаноз Рухи активні М′язевий тонус задовільний Температура новонародженого 36,5-37,50С Висновок: у разі фізіологічної адаптації новонародженого, яка перебі- гає в умовах раннього необмеженого контакту матері і дитини, ранньо- го початку грудного вигодовування, у разі відсутності вроджених вад розвитку або інших порушень в стані дитини, з урахуванням результа- тів лікарського огляду, дитину можна вважати здоровою на час огляду. Послідовність дій при здійсненні медичного догляду за дитиною, яка народилась шляхом операції кесаревого розтину: 1. Після народження дитина передається лікарем-акушер-гінеколо- гом акушерці (медичній сестрі) у стерильну попередньо підігріту суху пелюшку. 2. Лікар-педіатр-неонатолог здійснює первинну оцінку стану ново- народженого. 3. Акушерка кладе дитину на сповивальний столик з підігрівом під лампу променевого тепла. Проводиться обсушування новона­ родженого сухою стерильною попередньо підігрітою пелюшкою, після чого пелюшка викидається; дитині одягають чисті шапочку і шкарпетки; здійснюється клемування пуповини. Ново­ ародже­ н ний вільно пеленається і вкривається ковдрою, після чого перево- диться у палату спільного перебування, де знаходиться під спо- стереженням медичної сестри.
  • 40.
    4. У разіпроведення операції кесарів розтин із застосуванням епі- дуральної анестезії контакт «шкіра до шкіри» здійснюється у па- латі спільного перебування за умови задовільного стану матері за висновком лікаря-акушер-гінеколога. 5. За наявності умов здійснюється контакт «шкіра до шкіри» дитини з батьком. 6. Перше прикладання до грудей, наступні годування за вимогою дитини, догляд за новонародженим у перші дві доби здійснюєть- ся за допомогою медичної сестри, родичів. Ситуаційні завдання до практичної навички Діагностичні критерії вузького тазу №1. Визначити форму та ступінь звуження таза за результатами об’єктивного обстеження: d. spinarum – 26 cм, d. cristarum – 29 cм, d. throchanterica – 30 cм, con. externa – 18 cм, con. vera – 9 cм. №2. При обстеженні у вагітної Н. основні розміри таза: d. spinarum – 26 cм, d. cristarum – 29 cм, d. throchanterica – 30 cм, con. externa – 17 cм, con. vera – 8 cм. Визначити форму та ступінь звуження таза за ре- зультатами об’єктивного обстеження. №3. При обстеженні у вагітної П. основні розміри таза: d. spinarum – 26 cм, d. cristarum – 26 cм, d. throchanterica – 31 cм, con. externa – 17 cм, con. vera – 8 cм. Визначити форму тазу та ступінь звуження таза за результатами об’єктивного обстеження.
  • 41.
    №.4. При обстеженніу вагітної К. основні розміри таза: d. spinarum – 24 cм, d. cristarum – 26 cм , d. throchanterica – 28 cм, con. externa – 18 cм, con. vera – 9 cм. Визначити форму та ступінь звуження таза за ре- зультатами об’єктивного обстеження. №.5. При обстеженні у вагітної Л. основні розміри таза: d.spinarum – 24 cм, d.cristarum – 26 cм , d.throchanterica – 28 cм, con.externa – 18 cм. Визначити форму таза за результатами об’єк­ тивного обстеження. №6. При обстеженні у вагітної К. діагностована заглибина в ниж- ній частині поперекового відділу хребта. При піхвовому досліджен- ні: в ділянці мису пальпується виступаючий допереду 5-й хребець, conjugata vera – 6,5 cм. Визначити форму та ступінь звуження тазу за результатами об’єктивного обстеження. №7. При зовнішньому огляді вагітної А. діагностовано, що площи- на входу в малий таз нагадує букву Y, дуга лобкової кістки спалася, симфіз дзьобоподібно випинається вперед, сідничні кістки, крижі й куприк випинаються в середину порожнини тазу. Визначити форму тазу за результатами об’єктивного обстеження. №8. При обстеженні у вагітної Р. діагностовано викривлення хребта в кри- жовому відділі, розширення лівої половини таза. Основні розміри таза: d. spinarum – 24 cм , d. cristarum – 26 cм, d. throchanterica – 28 cм, con. externa  – 18 cм. Визначити форму таза за результатами об’єктивного обстеження. №9. При обстеженні у вагітної Л. основні розміри таза: d. spinarum – 24 cм, d. cristarum – 26 cм , d. throchanterica – 28 cм,
  • 42.
    con. externa – 21cм. Визначити форму таза за результатами об’єк­ тивного обстеження. №10. При обстеженні у вагітної Н. основні розміри таза: d. spinarum – 26 cм, d. cristarum – 29 cм , d. throchanterica – 30 cм, con. externa – 18 cм. Визначити форму таза за результатами об’єк­ тив­ ого обстеження. н №11. При зовнішніх вимірах таза вагітної con. externa – 20 cм, озна- ки Цангемейстера та Вастена позитивні. Визначити акушерський ді- агноз за результатами обстеження. №12. При зовнішніх вимірах таза вагітної встановлено: d. spinarum – 26 cм, d.cristarum – 29 cм , d.throchanterica – 30 cм, con. externa – 20 cм. Визначити форму таза за результатами об’єк­ тивного обстеження. №13. При зовнішніх вимірах таза вагітної con. еxterna – 20 cм, перед- бачувана вага плоду 4100 г, ознака Вастена позитивна. Акушерський діагноз? План ведення пологів? №14. При обстеженні у вагітної П. основні розміри таза: d. spinarum – 26 cм, d. cristarum – 26 cм, d. throchanterica – 31 cм, con. externa – 17 cм. Визначити форму таза за результатами об’єк­ тив­ ого обстеження. н Алгоритм виконання практичної навички Схеми медикаментозної корекції аномалій пологової діяльності Згідно наказу МОЗ України №676, протокол «Аномалії скорот- ливої діяльності»:
  • 43.
    Слабкість пологової діяльності – характер пологової діяль- ності, при якому перейми мають недостатню силу і тривалість, про- міжок часу між ними збільшується, при цьому сповільнюються згла- джування і розкриття шийки матки та просування голівки плода по пологових шляхах у першому або другому періоді пологів. Лікування За відсутності протипоказань застосовують медикаментозні схеми стимуляції пологової діяльності. Умови призначення утеротонічних засобів: - відсутність плідного міхура; - відповідність розмірів плода і тазу матері. Протипоказання до призначення утеротонічних засобів: - клінічно та анатомічно вузький таз; - оперована матка; - аномальні положення та передлежання плода; - дистрес плода; - повне передлежання плаценти; - передчасне відшарування нормально та низько розташованої плаценти; - стріктура піхви; - відновлений розрив промежини III ступеня; - дистоція, атрезія, рубцеві зміни шийки матки; - гіперчутливість . Методика введення окситоцину з метою лікування слабкості пологової діяльності. З метою внутрішньовенної інфузії 1мл окситоцину (5 ОД) роз- чиняють у 500 мл ізотонічного розчину натрію хлориду. Обов’яз­ ко­ е проведення катетеризації ліктьової вени для забезпечення ак- в тивної поведінки роділлі. Починається введення зі швидкістю 6 крапель/  в. (0,5-1,0 мОД/хв). При досягненні ефекту через ­ -8 ­ х 30 хвилин швидкість введення залишається попередньою. У разі від- сутності ефекту швидкість введення збільшують кожних 30 хвилин на 6 крапель (0,5 мОД/хв). Максимальна швидкість введення не має перевищувати 40 крапель у одну хвилину.
  • 44.
    Критерієм досягнення регулярноїадекватної пологової діяль- ності без гіперстимуляції матки вважається наявність 4-5 матко- вих скорочень за 10 хвилин при тривалості скорочень 40-50 сек. Родопосилення проводиться зі спостереженням за станом плода. Методика введення простагландинів з метою лікування слабкості пологової діяльності. Простагландин Е2  – латентна фаза пологів Для внутрішньовенної інфузії 0,75  мл (1 ампула) простаглан- дину Е2 (випускається у вигляді концентрату для інфузій) розчиня- ють у 500 мл ізотонічного розчину натрію хлориду, вводять крапель- но. Початкова швидкість інфузії, яку підтримують не менше 30хв., складає 5-8 крапель/хв. При досягненні ефекту швидкість введен- ня залишається попередньою. У разі відсутності ефекту швидкість введення збільшують кожну годину до отримання ефекту (не більше 25-30 крапель/хв.). Простагландин F2a – активна фаза пологів Для внутрішньовенної інфузії 5мг простагландину F2a розчиня- ють у 500 мл ізотонічного розчину хлориду натрію і вводять кра- пельно зі швидкістю 6-8 крапель в хвилину. Початкова швидкість ін- фузії, яку підтримують не менше 30 хв., складає 5-8 крапель/хв. При досягненні ефекту швидкість введення залишається попередньою. При відсутності ефекту швидкість введення збільшують кожну годи- ну до отримання ефекту (не більше 25-30 крапель/хв.). Ускладнення. Передозування призводить до розвитку гіперто- нусу матки, скорочення набувають характеру судом, погіршується матково-плацентарний кровообіг, розвивається гіпоксія плода; зрос- тає загроза відшарування плаценти, ризик родової травми та хірур- гічного втручання за невідкладними показаннями. Надмірно сильна пологова діяльність Надмірно сильна пологова діяльність розвивається раптово. Сильні перейми відбуваються через короткий проміжок часу, часто- та скорочень матки більша 5 протягом 10 хвилин, що сприяє швид- кому та повному розкриттю маткового вічка.
  • 45.
    Швидкими вважають пологи,що тривають менше 6 годин у першонароджуючих і менше 4 годин у повторнонароджуючих, стрімкими – відповідно менше 4 та 2 годин. Вони призводять до виникнення травм у матері та плода (глибокі розриви шийки матки, піхви, промежини, передчасне відшарування нормально розташова- ної плаценти, гіпотонічна кровотеча, розрив пуповини, крововилив у головний мозок, кефалогематоми). Лікування полягає в немедикаментозному коригуванні сили і частоти переймів. Роділля повинна лежати на боці, протилежному позиції плода. При розкритті шийки матки менше 6 см та відсутності протипо- казань, для зменшення інтенсивності пологової діяльності можливе застосування токолізу β2-адреноміметиками, які покращують матко- во-плацентарний кровоток та стан плода. Для проведення токолізу гексопреналін 25мкг (5мл) розво- диться у 500 мл ізотонічного розчину натрію хлориду і вводиться внутрішньовенно крапельно повільно, починаючи з 8 крапель/ хв. до 10-15 крапель/хв., (не перевищувати частоту введення 15-20 кра- пель/хв.) під спостереженням за активністю перейм. Дискоординована пологова діяльність Дискоординована пологова діяльність — порушення координа- ції скорочень різних відділів матки. Клінічна картина характеризу- ється гіпертонусом нижнього сегменту, нерегулярними, сильними, різко болючими переймами і нагадує таку при загрозі розриву матки. Клінічні ознаки дискоординованої пологової діяльності: - біль; - порушення ритму переймів; - набряк та відсутність динаміки розкриття шийки матки; - уповільнення або відсутність просування голівки; - відсутність синхронної хвилі скорочень у різних відділах матки; - гіпертонус нижнього сегменту матки (зворотний градієнт); - судомоподібні перейми (тетанія матки); - дистоція шийки матки.
  • 46.
    Лікування проводять залежновід причини дискоординації по- логової діяльності: - пролонгована епідуральна анестезія; - проведення токолізу (гексопреналін 25мкг (5мл) розводиться у 500 мл ізотонічного розчину натрію хлориду і вводиться вну- трішньовенно крапельно повільно, починаючи з 8 крапель/  в. до х 10-15 крапель/хв.) не перевищуючи 15-20 крапель/хв. під спосте- реженням за активністю перейм). На всіх етапах лікування аномалій пологової діяльності має проводитись спостереження за станом плода та здійснюватись неме- дикаментозна профілактика гіпоксії плода (зміна положення тіла ро- діллі, регуляція дихання). У третьому періоді пологів застосовують активну тактику ведення. За умови наявності протипоказань до корекції пологової діяль- ності, при неефективності медикаментозної корекції аномалій поло- гової діяльності методом розродження є операція кесаревого розтину. Прогнозовані ускладнення залежно від типу порушень пологової діяльності Гіподинамічна пологова Гіпердинамічна пологова діяльність діяльність Передчасний розрив плідного Передчасний розрив плідно- міхура го міхура Випадіння пуповини та дрібних Передчасне відшарування нор- частин плода мально розташованої плаценти Гостре порушення матково- Дистрес плода плацентарного кровообігу Аспірація плодом навколоплідних вод Гостра гіпоксія плода Емболія навколоплідними вода- Амніохоріоніт у пологах ми, ДВЗ-синдром, кровотеча. Підвищена частота кесарево- Підвищена частота кесарево- го розтину й інших втручань для го розтину й інших втручань розродження для розродження Пологова травма Пологова травма Гіпотонічна кровотеча у ранньому Гіпотонічна кровотеча у ран- післяпологовому періоді ньому післяпологовому періоді
  • 47.
    Ситуаційні завдання допрактичної навички Інтерпретація результатів досліджень стану фетоплацентарного комплексу 1. Результат доплерометрії: високий діастолічний компонент на до- плерограмі по відношенню до ізолінії, співвідношення амплітуди систоли до діастоли, становить не більше 3. Оцінити стан кровопли- ну в судинах пуповини та стан плода. 2. Результат доплерометрії: зниження діастолічного компоненту на доплерограмі, співвідношення амплітуди систоли до діастоли, ста- новить більше 3. Оцінити стан кровоплину в судинах пуповини та стан плода. 3. Результат доплерометрії: кровоплин у фазі діастоли припиняється (на доплерограмі відсутній діастолічний компонент). Оцінити стан кровоплину в судинах пуповини та стан плода. 4. Результат доплерометрії: кровоплин у фазі діастоли набуває зво- ротного напрямку (на доплерограмі діастолічний компонент нижче ізолінії). Оцінити стан кровоплину в судинах пуповини та стан плода. 5. Результат БПП за 30 хв. спостереження: нестресовий тест: 5 акце- лерацій ЧСС амплітудою не менше 15 уд./хв., тривалістю не менше 15 с, пов’язаних із рухами плода. Дихальні рухи плода (ДРП): один епізод ДРП тривалістю 65 с. Рухова активність плода: 3 генералізо- ваних рухи. Тонус плода: один епізод розгинання із поверненням у згинальне положення хребта та кінцівок. Об’єм навколоплідних вод: вертикальний розмір вільної ділянки вод до 2 см. Оцінити біофізич- ний профіль плода. 6. Результат БПП за 30 хв. спостереження: нестресовий тест: 3 ак- целерації ЧСС амплітудою не менше 15 уд./хв., тривалістю не мен- ше 15 с, пов’язаних із рухами плода. Дихальні рухи плода (ДРП): один епізод ДРП тривалістю 30 с. Рухова активність плода: 2 генера- лізованих рухи. Тонус плода: два епізоди розгинань із поверненням у згинальне положення хребта та кінцівок. Об’єм навколоплідних
  • 48.
    вод: води визначаютьсяу матці, вертикальний діаметр вільної ділян- ки вод 2 см. Оцінити біофізичний профіль плода. 7. Результат БПП за 30 хв. спостереження: нестресовий тест: 1 акце- лерація за 20 хв. спостереження. Дихальні рухи плода (ДРП): ДРП тривалістю менше 30 с. Рухова активність плода: 1 генералізований рух. Тонус плода: кінцівки в розгинальному положенні. Об’єм на- вколоплідних вод: води визначаються у матці, вертикальний діаметр вільної ділянки вод 4 см. Оцінити біофізичний профіль плода. 8. Результат БПП за 30 хв. спостереження: нестресовий тест: 5 акце- лерацій ЧСС амплітудою не менше 15 уд./хв., тривалістю не менше 15 с, пов’язаних із рухами плода. Дихальні рухи плода (ДРП): один епізод ДРП тривалістю 45 с. Рухова активність плода: 3 генералізо- ваних рухи. Тонус плода: три епізоди розгинань із поверненням у згинальне положення хребта та кінцівок. Об’єм навколоплідних вод: вертикальний розмір вільної ділянки вод до 2 см. Оцінити біофізич- ний профіль плода. 9. Результат БПП за 30 хв. спостереження: нестресовий тест: 1 акце- лерація за 20 хв. спостереження. Дихальні рухи плода (ДРП): ДРП відсутні. Рухова активність плода: 1 генералізований рух. Тонус пло- да: два епізоди розгинань із поверненням у згинальне положення хребта та кінцівок. Об’єм навколоплідних вод: води визначаються у матці, вертикальний діаметр вільної ділянки вод 4 см. Оцінити біо- фізичний профіль плода. 10. Результат БПП за 30 хв. спостереження: нестресовий тест: 2 ак- целерації ЧСС амплітудою не менше 15 уд./хв., тривалістю не мен- ше 15 с, пов’язаних із рухами плода. Дихальні рухи плода (ДРП): один епізод ДРП тривалістю 35 с. Рухова активність плода: відсутні генералізовані рухи. Тонус плода: один епізод розгинань із повер- ненням у згинальне положення хребта та кінцівок. Об’єм навколо- плідних вод: тісне розташування дрібних частин плода, вертикаль- ний діаметр вільної ділянки менше 1 см. Оцінити біофізичний профіль плода.
  • 49.
    Алгоритм виконання практичноїнавички Надання невідкладної допомоги при акушерській кровотечі Згідно наказу №676 від 31.12.2004 «Про затвердження клініч- них протоколів з акушерства та гінекологічної допомоги» Протокол «Акушерські кровотечі»: Кровотечі у І половині вагітності: - мимовільний викидень; - пухирцевий занос; - позаматкова вагітність (у тому числі шийкова вагітність). Кровотечі II половини вагітності: - передлежання плаценти; - передчасне відшарування нормально розташованої плаценти; - розрив матки. Кровотечіі під час пологів: І період: - передчасне відшарування нормально розташованої плаценти; - передлежання плаценти; - розрив матки; - розрив шийки матки. II період: - передчасне відшарування нормально розташованої плаценти; - розрив матки. III період: - патологія прикріплення плаценти; - защемлення плаценти; - розрив м’яких тканин пологових шляхів. Післяпологова кровотеча: - гіпотонічна кровотеча; - затримка частин посліду; - розрив м’яких тканин пологових шляхів; - розрив матки;
  • 50.
    - емболія навколоплодовимиводами; - коагулопатична кровотеча. Кровотечі, що не пов’язані з вагітністю: - поліп шийки матки; - рак шийки матки. Кровотеча зумовлена мимовільним викиднем Надання невідкладної допомоги: - інструментальне випорожнення матки під внутрішньовенним нарко- зом (обов’язкове гістологічне дослідження отриманого матеріалу); - препарати, що скорочуюь матку (10 ОД окситоцину внутрішньо- венно крапельно або 0,5 мкг метилергобревіну внутрішньовенно або внутрішньом’язово); - при продовженні кровотечі 800 мкг мізопростолу ректально; - відновлення величини крововтрати за показаннями; - антибактеріальна терапія за показаннями. Передлежання плаценти Передлежання плаценти з кровотечею є терміновим показан- ням до госпіталізації у стаціонар. Тактика лікування залежить від об’єму крововтрати, стану паці- єнтки та плода, характеру передлежання, терміну вагітності, зрілос- ті легень плода. Принципи ведення пацієнток з передлежанням плаценти У разі невеликої крововтрати (до 250 мл), відсутності симпто- мів геморагічного шоку, дистресу плода, відсутності пологової ді- яльності, незрілості легень плода при вагітності до 37 тижнів – вичі- кувальна тактика. При припиненні кровотечі – УЗ дослідження, підготовка легень плода. Мета очікувальної тактики – пролонгування вагітності до тер- міну життєздатності плода. У разі прогресуючої кровотечі, що стає неконтрольованою (більше 250 мл), супроводжується симптомами геморагічного шоку, дистресом плода, незалежно від терміну вагітності, стану плода (жи- вий, дистрес, мертвий) термінове розродження.
  • 51.
    Клінічні варіанти: 1. Крововтрата(до 250 мл), відсутні симптоми геморагічного шоку, дистресу плода, термін вагітності до 37 тижнів: - госпіталізація; - токолітична терапія за показаннями; - прискорення дозрівання легень плода до 34 тижнів вагітності (дексаметазон 6 мг через 12 годин протягом 2 діб); - моніторне спостереження за станом вагітної та плода; При прогресуванні кровотечі більше 250 мл  – розродження шляхом кесаревого розтину. 2. Крововтрата значна (більше 250 мл) при недоношеній вагіт- ності – незалежно від ступеня передлежання – терміновий кеса- рів розтин. 3. Крововтрата (до 250 мл) при доношеній вагітності: За умови розгорнутої операційної уточнюється ступінь передлежання. - у разі часткового передлежання плаценти, можливості досяг- нення амніотичних оболонок та головному передлежанні пло- да, активних скороченнях матки, виконується амніотомія. При припиненні кровотечі пологи ведуться через природні по- логові шляхи. Після народження плода – в/м введення 10 ОД окситоцину, ретельне спостереження за скороченням матки та характером виділень із піхви. При відновленні кровотечі – ке- сарів розтин. - при повному або неповному передлежанні плаценти непра- вильному положенні плода (тазове, косе або поперечне) вико- нується кесарів розтин; - при неповному передлежанні, мертвому плоді можлива амніо- томія, при припиненні кровотечі – розродження через природні пологові шляхи. 4. Крововтрата (більше 250 мл) при доношеній вагітності неза- лежно від ступеня передлежання – терміновий кесарів розтин. 5. Повне передлежання, діагностоване за допомогою УЗД, без кро- вотечі госпіталізація до строку розродження, кесарів розтин у терміні 37-38 тижнів.
  • 52.
    У ранньому післяпологовомуперіоді – ретельне спостережен- ня за станом породіллі. При відновленні кровотечі після операції ке- саревого розтину та досягненні величини кровотрати більше 1% від маси тіла – термінова релапаротомія, екстирпація матки без додат- ків, за необхідністю – перев’язка внутрішніх клубових артерій спе- ціалістом, який володіє цією операцією. Відновлення величини крововтрати, лікування геморагічного шоку і ДВЗ-синдрому проводиться за показами. Передчасне відшарування нормально розташованої плаценти Необґрунтовано запізніле розродження призводить до загибелі плода, розвитку матки Кувелера, масивної крововтрати, геморагіч- ного шоку та ДВЗ-синдрому, втрати репродуктивної функції жінки. 1. У разі прогресуючого передчасного відшарування плаценти під час вагітності або у першому періоді пологів, при появі симпто- мів геморагічного шоку, ДВЗ-синдрому, ознак дистресу плода, незалежно від терміну вагітності, – термінове розродження шля- хом кесаревого розтину. При наявності ознак матки Кувелера  – екстирпація матки без придатків. 2. Відновлення величини крововтрати, лікування геморагічного шоку та ДВЗ-синдрому. 3. У разі непрогресуючого відшарування плаценти можливе динаміч- не спостереження при недоношеній вагітності до 34 тижнів (прове- дення терапії, спрямованої на дозрівання легень плода), у закладах, де є цілодобове чергування кваліфікованих лікарів акушер-гінеко- логів, анестезіологів, неонатологів. Проводиться моніторне спо- стереження за станом вагітної та плода, КТГ, УЗД в динаміці. Особливості кесаревого розтину: - передуюча операції амніотомія (якщо є умови); - обов’язкова ревізія стінок матки (особливо зовнішня поверхня) з метою виключення матково-плацентарної апоплексії; - у разі діагностування матки Кувелера  – екстирпація матки без придатків; - при невеликій площі апоплексії (2-3 вогнища малого діаметру 1-2 см, або одне – до 3 см) і здатності матки до скорочення, від-
  • 53.
    сутності кровотечі таознак ДВЗ-синдрому, при необхідності збе- регти дітородну функцію (перші пологи, мертвий плід), консилі- умом вирішується питання про збереження матки. Хірурги спостерігають деякий час (10-20 хв.) при відкритій черевній по- рожнині за станом матки та при відсутності кровотечі дренують черевну порожнину для контролю гемостазу. Така тактика, у ви- няткових випадках, допускається лише у закладах, в яких наявне цілодобове чергування лікарів акушер-гінеколога, анестезіолога. - у ранньому післяопераційному періоді – ретельне спостереження за станом породіллі. Тактика при відшаруванні плаценти наприкінці І або у П періодах: - негайна амніотомія, якщо навколоплодовий міхур цілий; - при головному передлежанні плода  – накладання акушерських щипців; - при тазовому передлежанні – екстракція плода за тазовий кінець; - при поперечному положенні другого з двійні плода виконується акушерський поворот з екстракцією плода за ніжку. У деяких ви- падках більш надійним буде кесарський розтин; - ручне відділення плаценти та видалення посліду; - скорочуючі засоби – в/в 10 ОД окситоцину, при відсутності ефек- ту 800 мкг мізопростолу (ректально); - ретельне динамічне спостереження у післяпологовому періоді; - відновлення величини крововтрати, лікування геморагічного шоку та ДВЗ-синдрому. Емболія амніотичною рідиною Невідкладна допомога при емболії амніотичною рідиною про- водиться бригадою лікарів у складі акушера-гінеколога та лікаря- анестезіолога. Необхідні консультації кардіолога, невропатолога, су- динного хірурга. Лікувальна тактика: 1. Під час вагітності або пологів – термінове розродження. 2. Лікування кардіо-пульмонального шоку або проведення серцево- легеневої реанімації.
  • 54.
    3. Корекція коагулопатії. 4. Вчасне і в повному обсязі хірургічне втручання при кровотечі. Профілактика та лікування поліорганної недостатності. Першочергові заходи: 1. При зупинці кровообігу – проведення серцево-легеневої реанімації. 2. При наростанні ознак дихальної недостатності  – інтубація тра- хеї та ШВЛ 100 % киснем з позитивним тиском в кінці видоху + 5 см вод ст. 3. Пункція та катетеризація підключичної або внутрішньої яремної вени з обов’язковим контролем ЦВТ. Набрати 5 мл крові для дослі- дження коагулограми та наявності елементів навколоплодових вод. 4. Катетеризація сечового міхура постійним катетером. Моніторинг життєво-важливих функцій повинен включати: - вимірювання AT кожні 15 хв.; - ЦВТ; - ЧСС; - ЧД; - пульсоксиметрія; - ЕКГ; - погодинний діурез та загальний аналіз сечі; - термометрія; - рентгенографія органів грудної порожнини; - загальний аналіз крові, Ht; тромбоцити; - коагулограма; - кислотно-основний стан та гази крові; - біохімічне дослідження крові та вміст електролітів. Подальша лікувальна тактика: 1. Якщо ЦВТ < 8 см вод. ст. – корекція гіповолемії шляхом введен- ня колоїдів та кристалоїдів у співвідношенні 2:1 зі швидкістю 5-20 мл/хв. у залежності від рівня AT. У випадку виникнення кро- вотечі до складу інфузійної терапії включають свіжозаморожену плазму. Не використовувати 5% альбумін. 2. При ЦВТ > 8 см вод. ст. проводиться інотропна підтримка: дофа- мін 5-10 мкг/кг/хв.) або добутамін (5 – 25 мкг/кг/хв.). Починають
  • 55.
    інотропну терапію змінімальних доз, а при відсутності ефекту – поступово їх збільшують. Бажано використовувати поєднане вве- дення дофаміну (2-5 мкг/кг/хв) та добутаміну (10 мкг/кг/хв.). 3. Одночасно з симпатоміметичною терапією застосовують глю- кокортикоїди: преднізолон до 300-400 мг або гідрокортизон  – 1000‑1500 мг. 4. Боротьба з коагулопатією. Запобігання розвитку інфекційних ускладнень. Критерії ефективності інтенсивної терапії: - підвищення серцевого викиду; - ліквідація артеріальної гіпотензії; - усунення ознак периферичної вазоконстрикції; - нормалізація діурезу > 30 мл/год.; - нормалізація показників гемостазу; - зменшення ознак дихальної недостатності. Критерії припинення ШВЛ: - стабілізація клінічного стану хворої; - частота дихання менше 30 за хвилину; - інспіраторне зусилля менше –15 см вод. ст.; - PaO2/FiO2 > 80 мм рт.ст./0,4 при ПГКВ 7 см вод. ст.; - можливість пацієнтки самостійно подвоїти об’єм видихуваного повітря за хвилину. Кровотеча у послідовому та післяпологовому періодах Післяпологова кровотеча – це втрата крові 0,5% або більше від маси тіла після народження плода. Кровотеча, пов’язана з затримкою, патологією прикріплення або защемленням плаценти Алгоритм надання медичної допомоги: 1. Катетеризація периферичної або центральної вени залежно від величини крововтрати та стану жінки. 2. Випорожнення сечового міхура.
  • 56.
    3. Перевірка ознаквідділення плаценти та виділення посліду руч- ними прийомами. 4. У разі защемлення посліду зовнішній масаж матки, зовнішні при- йоми видалення посліду. 5. У разі затримки частин плаценти або оболонок – ручне обстежен- ня порожнини матки під внутрішньовенним наркозом. 6. У разі порушення механізму відокремлення плаценти та відсут- ності кровотечі – очікування протягом 30 хв. (у вагітних із гру- пи ризику – 15 хв.); ручне відокремлення плаценти та виділення посліду. 7. При появі кровотечі – термінове ручне відокремлення плаценти та виділення посліду під в/в наркозом. 8. Введення утеротонічних засобів  – 10-20 ОД окситоцину в/в на 400 мл фізіологічного розчину в/в крапельно. 9. За умови істинного прирощення або пророщення плаценти – ла- паротомія, екстирпація матки без придатків. 10. Оцінка величини крововтрати та відновлення величини ОЦК. Рання (первинна) післяпологова кровотеча Кровотеча може бути 2-х видів: - кровотеча розпочинається відразу після народження дитини, ма- сивна (за декілька хвилин > 1000 мл); матка залишається гіпото- нічною, не скорочується, швидко розвивається гіповолемія, гемо- рагічний шок; - кровотеча розпочинається після скорочення матки, кров виділя- ється невеликими порціями, крововтрата збільшується поступо- во. Характерне чергування гіпотонії матки з відновленням тону- су, зупиненням та продовженням кровотечі. Алгоритм надання медичної допомоги: 1. Загальний огляд породіллі: - оцінка величини крововтрати доступними методами; - оцінка стану породіллі: скарги, AT, частота пульсу, колір шкіри та слизових оболонок, кількість сечі, наявність та стадія гемо- рагічного шоку. 2. Термінове лабораторне обстеження:
  • 57.
    - визначення рівнягемоглобіну, гематокрит; - коагулограма (кількість тромбоцитів, протромбіновий індекс, рівень фібриногену, час згортання крові); - група крові та резус фактор; - біохімічні обстеження за показаннями. 3. Катетеризація периферичної або центральної вени залежно від величини крововтрати та стану жінки. 4. Випорожнення сечового міхура 5. Початок або продовження введення утеротоніків: 10-20 ОД окси- тоцину в/в на 400 мл фізіологічного розчину. 6. Проведення ручного обстеження порожнини матки під внутріш- ньовенним наркозом (оцінка цілісності стінок матки, особливо лі- вої стінки матки, видалення згустків крові або залишків плаценти чи оболонок). 7. Огляд пологових шляхів та відновлення їх цілісності. 8. Зовнішній масаж матки. 9. У разі продовження кровотечі додатково вводять 800 мкг мізо- простолу ректально. 10. ідновлення ОЦК та крововтрати. В 11. У разі відновленні кровотечі та величині крововтраті 1,5% і біль- ше від маси тіла – оперативне лікування : екстирпація матки без придатків, за умови продовження кровотечі – перев’язка внутріш- ніх клубових артерій фахівцем, що володіє цією операцією. 12. ри підготовці до оперативного лікування з метою зменшен- П ня крововтрати тимчасова бімануальна зовнішня або внутрішня компресія матки. 13. ри продовженні кровотечі після екстирпації матки – туга тампо- П нада черевної порожнини та піхви (до зупинки кровотечі черевну порожнину не зашивати). Післяпологова вторинна (пізня) кровотеча Найчастіше пізня післяпологова кровотеча виникає на 7-12 дні після пологів. Алгоритм надання медичної допомоги: 1. Оцінка величини крововтрати доступними методами.
  • 58.
    2. Катетеризація периферичноїабо центральної вени. 3. Інструментальна ревізія порожнини матки під в/в наркозом. 4. Внутрішньовенне введення утеротоніків (окситоцину 10-20 ОД на фізіологічному розчині – 400,0 або 0,5 мкг метилергометрину). 5. У разі продовженні кровотечі – мізопростол 800 мкг ректально. 6. Відновлення об’єму ОЦК. 7. При крововтраті >1,5% маси тіла – лапаротомія, екстирпація мат- ки, за умови продовження кровотечі – перев’язка внутрішніх клу- бових артерій фахівцем, який володіє цією операцією. Порушення згортання крові (післяпологова афібрнногене- мія, фібриноліз): - відновлення об’єму ОЦК; - корекція гемостазу. Алгоритм виконання практичної навички Надання невідкладної допомоги при тяжких формах прееклампсії Згідно наказу №676 від 31.12.2004 «Про затвердження клічних протоколів з акушерської та гінекологічної допомоги» протокол «Гіппертензивні розлади під час вагітності»: Прееклампсія середньої тяжкості 1. Госпіталізація . - При терміні гестації 37 тижнів і більше – планова госпіталізація вагітної до стаціонару ІІ рівня для розродження. - При терміні вагітності менше 37 тижнів‚ прогресуванні прее- клампсії або порушенні стану плода – госпіталізація вагітної до стаціонару ІІІ рівня. 2. Первинне лабораторне обстеження: загальний аналіз крові‚ ге- матокрит‚ кількість тромбоцитів‚ коагулограма‚ АлАТ і АсАТ‚ група крові та резус-фактор (у разі відсутності точних відомос- тей)‚ загальний аналіз сечі‚ визначення добової протеїнурії‚ креа- тиніну‚ сечовини‚ сечової кислоти плазми‚ електроліти (натрій та калій)‚ оцінка стану плода.
  • 59.
    3. Охоронний режим – напівліжковий‚ обмеження фізичного та пси­ ічного навантаження. х 4. Раціональне харчування: їжа з підвищеним вмістом білків‚ без обмеження солі та води‚ вживання продуктів‚ які не викликають спраги. 5. Комплекс вітамінів та мікроелементів для вагітної‚ за необхід- ності – препарати заліза. 6. При діастолічному АТ >100 мм рт.ст. – призначення гіпотензив- них препаратів (метилдофа по 0,25-0,5 г 3-4 рази на добу‚ макси- мальна доза – 3 г на добу; за необхідності додають ніфедипін по 10 мг 2-3 рази на добу‚ максимальна добова доза-100 мг). 7. При терміні вагітності до 34 тижнів призначають кортикостероїди для профілактики респіраторного дистрес-синдрому (РДС)  – дексаметазон по 6 мг через 12 год. чотири рази впродовж 2 діб. 8. Дослідження проводять із встановленою кратністю динамічного спостереження показників: - контроль АТ – кожні 6 годин першої доби‚ надалі – двічі на добу; - аускультація серцебиття плода кожні 8 годин; - аналіз сечі – щодоби; - добова протеїнурія – щодоби; - гемоглобін‚ гематокрит‚ коагулограма‚ кількість тромбоцитів‚ АлАТ креатинін‚ сечовина – кожні три дня; - моніторинг стану плода: кількість рухів за 1 годину‚ частота серцевих скорчень – щодня; - оцінка біофізичного профілю плода (за показаннями); - кардіотокографія (за показаннями). 9. При прогресуванні прееклампсії або погіршенні стану плода роз- починають підготовку до розродження: - підготовка пологових шляхів у разі «незрілої» шийки матки – простагландини Е (місцево). 10. Розродження. • Метод розродження у будь-якому терміні гестації визначається готовністю пологових шляхів або станом плода. • За умови неефективності проведеної підготовки пологових шля- хів простагландинами проводять операцію кесаревого розтину.
  • 60.
    • Якщо шийкаматки достатньо зріла‚ проводять родостимуля- цію, пологи ведуть через природні пологові шляхи. 11. Перехід до ведення вагітної за алгоритмом тяжкої прееклампсії здійснюють у випадках наростання хоча б однієї з наступних ознак: - діастолічний АТ >110 мм рт.ст.; - головний біль; - порушення зору; - біль у епігастральній ділянці або правому підребер’ї; - ознаки печінкової недостатності; - олігурія (< 25 мл/год); - тромбоцитопенія (<100 10/л) - ознаки ДВЗ-синдрому; - підвищення активності АлАТ та АсАТ. Тяжка прееклампсія 1. Госпіталізація . - Хвору госпіталізують до відділення анестезіології та інтенсивної (ВАІТ) стаціонару ІІІ рівня для оцінки ступеня ризику вагітності для матері та вибору методу розродження протягом 24 годин. - Виділяють індивідуальну палату з інтенсивним цілодобовим спостереженням медичного персоналу. 2. Негайні консультації терапевта, невропатолога‚ окуліста. 3. Катетеризують периферичну вену для тривалої інфузійної те- рапії‚ за необхідності контролю ЦВТ  – центральну вену‚ для контролю погодинного діурезу – сечовий міхур; за показаннями – трансназальна катетеризація шлунка. 4. Первинне лабораторне обстеження: загальний аналіз крові‚ ге- матокрит‚ кількість тромбоцитів‚ коагулограма‚ АлАТ та АсАТ; група крові та резус-факгор (за відсутності); загальний аналіз сечі‚ визначення протеїнурії‚ креатиніну‚ сечовини‚ загальний бі- лок‚ білірубін та його фракакції, електроліти. 5. Ретельне динамічне спостереження: - контроль АТ – щогодини; - аускультація серцебиття плода – кожні 15 хвилин; - аналіз сечі – кожні 4 години;
  • 61.
    - контроль погодинногодіурезу (катетеризація сечового міхура катетером Фалея); - гемоглобін‚ гематокрит‚ кількість тромбоцитів‚ функціональні печінкові іроби‚ креатинін плазми – щодоби; - моніторинг стану плода: кількість рухів за 1 годину‚ частота серцевих скорочень – щодня‚ за можливості – допплерометрич- ний контроль кровообігу у судинах пуповини‚ судинах мозку плода‚ плаценті та фетоплацентарному комплексі; - оцінка об’єму навколоплодових вод та біофізичного профі- лю плода  – за показаннями; тест на відсутність стресу пло- да – при погіршенні показників щоденного моніторингу плода і обов’язково перед розродженням (оцінка стану серцевої діяль- ності плода за допомогою фетального монітору). 6. Лікування: - Охоронний режим (суворий ліжковий)‚ виключення фізичного та психічного напруження. - Комплекс вітамінів для вагітної‚ за необхідності – мікроелементів. - При терміні вагітності до 34 тижнів – кортикостероїди для про- філактаки РДС- дексаметазон по 6 мг через 12 год. чотири рази впродовж 2 діб. - У разі необхідності проводять підготовку пологових шляхів. - Тактика ведення активна з розродженням у найближчі 24 годи- ни з моменту встановлення діагнозу. Вичікувальна тактика в усіх випадках тяжкої прееклампсіі не рекомендується. - Антигіпертензивна терапія: • Лікування артеріальної гіпертензії не є патогенетичним‚ але необхідне для матері та плода. Зниження АТ має на меті по- передження гіпертензивної енцефалопатії та мозкових кро- вовиливів. Слід прагнути довести АТ до безпечного рівня (150/90-160/100 мм рт.ст.‚ не нижче!)‚ який забезпечує збере- ження адекватного мозкового та плацентарного кровотоку. • Швидке і різке зменшення рівня АТ може викликати погір- шення стану матері та плода. • Антигіпертензивну терапію проводять при підвищенні діа- столічного тиску > 110 мм рт.ст. разом з магнезіальною тера- пією. Попередньо слід відновити ОЦК.
  • 62.
    • Лабеталол застосовуютьспочатку внутрішньовенно 10 мг через 10 хвилин‚ за відсутності адекватної реакції (діастоліч- ний АТ залишився вище 110 мм рт.ст.) – додатково ще 20 мг препарату‚ АТ контролюють кожні 10 хвилин‚ і якщо діасто- лічний тиск лишається вище 110 мм рт.ст‚ вводять 40 мг ла- беталолу (максимально до 300 мг). • За відсутності лабеталолу можливе застосування ніфедипі- ну 5-10 мг під язик. Якщо ефект відсутній‚ то через 10 хви- лин необхідно дати ще 5 мг під язик. Слід пам’ятати‚ що на фоні введення сульфату магнію ніфедипін може призвести до швидкого розвитку гіпотензїї. • Для зниження АТ при тяжкій прееклампсії застосовують гідра­ азин: 20 мг (1 мл) препарату розчиняють у 20 мл 0,9% л розчину хлориду натрію вводять повільно внутрішньовенно по 5 мл (5 мг гідралазину) кожні 10 хвилин доки діастоліч- ний АТ не знизиться до безпечного рівня (90-100 мм рт.ст). За необхідністю повторюють внутрішньовенне введення гі- дралазину по 5-10 мг щогодини внутрішньом’язово кожні 2 години. • Метилдофу для лікування тяжкої прееклампсії застосову- ють рідше: препарат має відстрочену дію (ефект настає че- рез 4 години)‚ застосовують дози 1,0-3,0 г на добу як моноте- рапію або у комбінації – 0,5 мг/кг/добу. У разі недоношеної вагітності добова доза метилдофи не повинна перевищувати 2,0 г‚ бо це може призвести до розвитку меконіальної непро- хідності у недоношених новонароджениx. • Як антигіпертензивний засіб у хворих з тяжкою преекламп- сією можна застосовувати клонідин: 0,5-1 мл 0,01% розчину внутрішньовенно чи внутрішньом’язово або 0,15-0,2 мг під язик 4-6 разів на день. • За умови можливості дослідження типу гемодинаміки антигі- пертензивну терапію проводять з його ураxуванням. У разі гі- перкінетичного типу доцільно застосовувати комбінацію ніфе- дипіном‚ при гіпокінетичному – клонідин + ніфедипін на фоні відновлення ОЦК; при еукінетичному – метилдофа + ніфедипін.
  • 63.
    • Як антиконвульсантз одночасною антигіпертензивною дією використовують сульфат магнію‚ що є препаратом вибору для профілактики та лікування судом‚ які у госпіталізова- них жінок виникають на тлі недостатнього лікування тяжкої прееклампсії. Магнезіальна терапія Магнезіальна терапія – це болюсне введення 4 г сухої речовини магнію з подальшою безперервною внутрішньовенною інфузією зі швидкістю, яка визначається станом хворої. Магнезіальну терапію починають з моменту госпіталізації, коли діастолічний АТ > 130 мм рт.ст. Мета магнезіальної терапії – підтримка концентрації іонів кро- ві вагітної на рівні‚ потрібному для профілактики судом. Стартову дозу (дозу насичення)  – 4 г сухої речовини (роз- чину сульфату магнію) вводять шприцом дуже повільно протягом 15 хвилин (у разі еклампсії – протягом 5 хвилин). Зважаючи на те‚ що концентрований розчин сульфату магнію може викликати значне подразнення стінки (аж до некрозу)‚ стартову дозу сульфату маг- нію розчиняють в 0,9% розчині хлориду натрію чи розчині Рінгера- Локка. Для цього у стерильний флакон з 34 мл розчину вводять 4 г магнію сульфату (16 мл 25%-го розчину). Підтримуючу терапію стандартно починають з дози 1 г су- хої речовини сульфату магнію на годину. За такої швидкості введен- ня концентрація магнію у сироватці крові досягне 4-8 ммоль/л (тера- певтична концентрація) через 18 годин. При введенні зі швидкістю 2 г/год – через 8 годин‚ а при швидкості 3 г/год – через 2 години. Наведені швидкості введення сульфату магнію можливі тільки за умови нормального діурезу (не менше 50 мл/год)‚ у разі навіть не- значної олігурії швидкість введення необхідно зменшити‚ постійно проводячи моніторинг рівня магнію у плазмі крові. Розчин для підтримуючої терапії сульфатом магнію готують та- ким чином: 7,5 г сульфату магнію (30 мл 25 %-го розчину) вводять у флакон‚ що містить 220 мл 0,9 % розчину хлориду натрію чи роз- чину Рінгера-Локка. Отриманий 3,33% розчин сульфату магнію не- обхідно вводити через допоміжну лінію крапельниці (паралельно ін-
  • 64.
    фузійній терапії). Швидкістьвведення розчину підбирають згідно зі станом вагітної – від 1 г/год (10-11крапель) до 2 г/год‚ (22 краплі/хв.) або 3 г/год (33 краплі/xв). У таблиці зазначено швидкість введення і відповідну дозу сульфату магнію в перерахунку на суху речовину. Таблиця Швидкість введення 3,33% розчину сульфату магнію Доза сульфату магнію Швидкість введення у перерахунку на суху речовину мл/год крапель/хв 1 г/год 33,33 10-11 1,5 г/год. 50 16-17 2 г/год 66,66 22 3 г/год 100 33 4 г/год 133,33 44 Робочий розчин сульфату магнію вводять одночасно з усіма роз- чинами‚ необхідними для проведення інфузійної терапії у пацієнтки. Загальна кількість рідини‚ що вводиться‚ становить від 75 до 125 мл за годину і не повинна перевищувати 2500-3000 мл за добу (35 мл/кг) (з урахуванням рідини‚ що вводиться з сульфатом магнію‚ і випитої рідини). Для виконання процедури використовують два флакони – один з 250 мл 3,33% розчину сульфату магнію‚ інший – з інфузійним се- редовищем. Крапельниці‚ що виходять з цих флаконів‚ з’єднують між собою колектором чи голкою. При цьому основною є лінія з ін- фузійним середовищем‚ а лінія із сульфатом магнію повинна іти до неї‚ а не навпаки. Рішення щодо зміни швидкості введення сульфату магнію (збільшення або зменшення дози) чи припинення магнезіальної тера- пії приймають на підставі оцінки показників сироваткового магнію або у разі появи клінічних симптомів токсичності сульфату магнію (зниження частоти дихання до 14 і менше за хвилину‚ пригнічення колінних рефлексів‚ розвиток АV-блокади). Достатність дози сульфату магнію визначається рівнем його у сироватці крові у перші 4-6 годин. Якщо немає можливості прово-
  • 65.
    дити контроль‚ сироватковогомагнію‚ погодинно ретельно оціню- ють наявність/відсутність клінічних симптомів токсичності судьфа- ту магнію‚ що документується в історії хвороби. Ознаки магнезіальної інтоксикації можливі навіть на фоні те- рапевтичних концентрацій магнію у плазмі крові за умови комбінації з іншими препаратами особливо з блокаторами кальцієвих каналів. 3 появою ознак токсичності сульфату магнію призначають глю- конат кальцію (10 мл 10%-го розчину) в/в‚ який завжди повинен зна- ходитися біля ліжка хворої. Моніторинг стану вагітної під час проведення терапії суль- фатом включає: - вимірювання АТ кожні 20 хв.; - підрахунок ЧСС; - спостереження за частотою та характером дихання (ЧД має бути не менше 14 за 1 хв.); - визначення сатурації О2 (не нижче 95%); - кардіомоніторний контроль; - ЕКГ; - перевірка колінних рефлексів кожні 2 год.; - контроль погодинного діурезу (має бути не менше 50 мл/год.); - симптоми наростання тяжкості прееклампсії: головний біль‚ порушення зору (двоїння предметів‚ «мерехтіння мушок» в очах)‚ біль у епігастрії; - симптоми можливого набряку легенів: тяжкість в грудях‚ ка- шель з мокротинням чи без нього‚ задуха‚ підвищення ЦВТ‚ поява крепітації чи хрипів при аускультації легенів‚ зростання ЧСС та ознак гіпоксії‚ порушення свідомості; - стан плода (аускультація серцебиття щогодини‚ фетальний моніторинг). Магнезіальну терапію проводять протягом 24-48 годин після пологів разом із симптоматичним лікуванням. Слід пам’ятати‚ що застосування сульфату магнію під час пологів та у ранньому після- пологовому періоді знижує скоротливу активність матки. Критерії закінчення магнезіальної терапії: - припинення судом;
  • 66.
    - відсутність симптомівпідвищеної збудливості ЦНС (гіперто- нус‚ судомна готовність); - стійке зниження діастолічного артеріального тиску (90-100 мм рт. ст.) - нормалізація діурезу (> 50 мл/год). Протипоказання до магнезіальної терапії: - гіпокальціємія; - пригнічення дихального центру; - артеріальна гіпотензія; - кахексія. За відсутності сульфату магнію можливе використання діазепа- му – існує високий ризик неонатального пригнічення дихання (діа- зепам вільно проникає крізь плацентарний бар’єр). Методику вико- ристання діазепаму навведено у таблиці. Таблиця Схема застосування діазепаму при тяжкій прееклампсії та еклампсії Стартова 10 мг (2 мл) внутрішньовенно протягом 2 хвилин в доза 10 мл 0,9% розчину хлориду натрію. Якщо судоми відновились або не припинилися – повторити стартову дозу. При перевищенні дози 30 мг за 1 годину може ви- никнути пригнічення або зупинка дихання у хворої! Підтримуюча 40 мг розчиняють у 500 мл 0,9% розчину хлориду на- доза трію або розчині Рінгера і вводять внутрішньовенно зі швидкістю 22 мл/год (6-7 крапель за хвилину). Якщо є можливість введення шприцевим дозато- ром‚ встановлюють швидкість 1,5-1,75 мг діазепаму за годину. За необхідності добову дозу можна підви- щити до 80 мг. Можливе внутрішньом’язове введен- ня препарату по 10 мг через кожні 3-4 години. Ректальне За неможливості забезпечити внутрішньовенне введення введення 20 мг діазепаму необхідно розчинити у 10 мл 0,9% розчину хлориду натрію‚ ввести шприц з розчином до прямої кишки на половину його до- вжини та вприснути його вміст. Після цього стис- кають сідниці і утримують їх у такому положенні 10хв. Також можливе введення розчину діазепаму у пряму кишку через катетер.
  • 67.
    Інфузійна терапія Умовою адекватної інфузійної терапії є суворий контроль об’єму введеної і випитої рідини та діурезу. Діурез має бути не мен- ше 60 мл/год. Загальний об’єм рідини‚ що вводиться‚ має відповідати добо- вій фізіологічній потребі жінки (у середньому 30-35 мл/кг) з дода- ванням об’єму фізіологічних втрат (крововтрата тощо). Швидкість введення рідини не повинна перевищувати 85 мл/  од‚ г або годинний діурез +30 мл/год. Препаратами вибору інфузійної терапії до моменту розроджен- ня є ізотонічні сольові розчини (Рінгера‚ КаСІ 0,9%). У разі необхідності відновлення ОЦК оптимальними препара- тами є розчин гідроксиетилкрохмалю 6% або 10%. Гідрокси­ тил­ е крох­ а­ і або декстрани слід вводити разом з кристалоїдами у спів- м л відношенні 2:1. До інфузійно-трансфузійної програми доцільно включати до- норську свіжозаморожену плазму для ліквідації гіпопротеїнемії (показники білка плазми < 55 г/л), нормалізації співвідношення ан- тикоагулянти/прокоагулянти‚ що є профілактикою кровотеч у поло- гах і післяпологовому періоді. Введення розчинів альбуміну (особливо 5%) є недоцільним‚ оскільки внаслідок специфічної селективної альбумінурії він швид- ко виводиться‚ що й зумовлює короткочасність корекції гіповолемїї і гіпо­ ротеїнемїї при тяжких формах прееклампсїї. У разі необхіднос- п ті альбумін краще використовувати у вигляді 20% розчинів (потрі- бен менший об’єм) у сполученні з кристалоїдами‚ зазвичай у спів- відношенні 1:1. Компонентом інфузійної терапії тяжкої прееклампсії можуть бути декстрани‚ які ефективно підвищують ОЦК‚ поліпшують мі- кроциркуляцію; їх доза не повинна перевищувати 10 мл/кг/добу‚ оскільки це може призвести до гіпокоагуляції. Не використовують гіпоосмолярні розчини – 5% і 10% розчи- ни глюкози а також їх суміші з електролітами («поляризуючі сумі- ші»)‚ оскільки вони викликають гіпоглікемію у плода‚ посилюють накопичення лактату в мозку, погіршуючи неврологічний прогноз у
  • 68.
    разі еклампсії. Довведення розчинів глюкози хворій на тяжку пре- еклампсію вдаються лише за абсолютними показаннями: гіпогліке- мія‚ гіпернатріємія та гіпертонічна дегідратація‚ іноді – у хворих на цукровий діабет для профілактики гіпоглікемії. Тактика розродження За умови готових пологових шляхів проводять амніотомію з на- ступним призначенням родозбудження окситоцином. Розродження проводять з урахуванням акушерської ситуації. Перевагу віддають пологам через природні пологові шляхи з адекват- ним знеболенням (епідуральна анестезія або інгаляція закисом азоту). За умови неготової шийки матки та відсутності ефекту від під- готовки простагландинами‚ або у разі прогресування гіпертензії‚ за- грози судомного нападу погіршення стану плода розродження про- водять шляхом операції кесаревого розтину. Показанням до планового кесаревого розтину у разі тяжкої прееклампсії є прогресування прееклампсії або погіршення стану плода у вагітної з незрілими пологовими шляхами. При погіршенні стану вагітної або плода у другому періоді по- логів накладають акушерські щипці або проводять вакуум-екстра- кцію плода на фоні адекватного знеболення. У третьому періоді пологів – утеротонічна терапія з метою про- філактики кровотечі (окситоцин внутрішньовенно краплинно). Метилергометин не застосовують ! Після пологів лікування прееклампсії продовжують залежно від стану жінки‚ клінічної симптоматики та лабораторних показни- ків. Необхідні моніторинг і антигіпертензивна терапія. Дози анти- гіпертензивних препаратів поступово зменшують‚ але не раніше‚ ніж через 48 годин після пологів. Якщо жінка отримувала два чи більше антигіпертензивних препаратів – один препарат відміняють. Магнезіальна терапія триває не менше 24 годин після пологів або після останнього нападу судом. Прееклампсія‚ встановлена у післяпологовому періоді Призначають охоронний режим‚ контроль АТ‚ збалансоване харчування.
  • 69.
    Лабораторне обстеження: загальнийаналіз крові (гемоглобін гематокрит‚ кількість тромбоцитів) та сечі‚ біохімічне дослідження крові (АлАТ та АсАТ‚ білірубін‚ креатинін‚ сечовина‚ загальний бі- лок)‚ коагулограма. Лікування: За умови застосування гіпотензивних препаратів до пологів‚ після пологів продовжують їх введення. У разі недостатньої ефективності терапії додають тіазидні діу- ретики. При виникненні гіпертензії вперше після пологів лікування починають з тіазидних діуретиків. Сульфат магнію призначають за показаннями  – у разі ризику виникнення еклампсії. Проводять ретельний контроль інволюції матки. Профілактика кровотечі введенням метилергометрину протипоказана. Виписування з пологового стаціонару здійснюють після норма- лізації стану хворої. У разі відсутності стабілізації стану жінку пере- водять до терапевтичного відділення. Еклампсія Про високий ризик еклампсії свідчать: сильний біль голови‚ висо- ка гіпертензія (діастолічний АТ > 120 мм рт.ст.)‚ нудота‚ блювання‚ по- рушення зору‚ біль у правому підребер’ї та/або епігастральній ділянці. Головні цілі екстреної допомоги: - припинення судом; - відновлення прохідності дихальних шляхів. Задачі інтенсивної терапії після ліквідації судом: - попередження повторних судомних нападів; - усунення гіпоксії і ацидозу (дихального та метаболічного); - профілактика аспіраційного синдрому; - невідкладне розродження. Перша допомога при розвитку приступу еклампсії: • Лікування у разі нападу судом починається на місці. • Розгортають палату інтенсивної терапії чи госпіталізують вагіт- ну до відділення анестезіології та інтенсивної терапії.
  • 70.
    • Хвору укладають нарівну поверхню у положенні на лівому боці‚ швидко звільняють дихальні шляхи‚ відкриваючи рот і ви- суваючи вперед нижню щелепу‚ паралельно евакуюють вміст ротової порожнини. За можливості‚ якщо збережено спонтанне дихання‚ вводять повітровід та проводять інгаляцію кисню. • За умови розвитку тривалого апноє негайно починають примусову вентиляцію носо-лицевою маскою з подачею 100% кисню у режимі позитивного тиску наприкінці видиху. Якщо судоми повторюють- ся або хвора залишається у стані коми‚ вводять м’язові релаксанти (суксаметонію бромід 2 мг/кг) та переводять пацієнтку на штучну вентиляцію легенів (ШВЛ) у режимі помірної гіпервентиляції. • Паралельно з проведеними заходами щодо відновлення адек- ватного обміну здійснюють катетеризацію периферичної вени та починають введення протисудомних препаратів (сульфат магнію – болюс 4 г протягом 5 хвилин) внутрішньовенно‚ по- тім підтримуюча терапія 1-2 г/год) під ретельним контролем АТ і ЧСС. Якщо напади тривають‚ внутрішньовенно вводять ще 2 г сульфату магнію протягом 3-5 хвилин. Замість додаткового бо- люсу сульфату магнію можна використовувата діазепам вну- трішньовенно (10 мг) чи тіопентал-натрій (450-500 мг) упро- довж 3 хвилин. Якщо напад судом триває понад 30 хвилин‚ цей стан розглядають як екламптичний статус. Якщо діастолічний АТ залишається на високому рівні (> 110 мм рт.ст.)‚ проводять антигіпертензивну терапію. • Катетеризують сечовий міхур. • Усі маніпуляції (катетеризація вен‚ сечового міхура‚ акушерські маніпуляції) проводять під загальною анестезією тіопенталом- натрієм або закисом азоту з киснем. Не застосовують кетамін! • Після ліквідації судом проводять корекцію метаболічних пору- шень, водно-електролітного балансу і кислотно-основного ста- ну, білкового обміну. • Обстеження здійснюють після припинення нападу судом. • Консультація невропатолога та окуліста. • Лабораторні аналізи: повний аналіз крові (тромбоцити‚ гематокрит, гемоглобін‚ час згортання)‚ загальний білок‚ рівень альбуміну‚ глю-
  • 71.
    коза‚ сечовина креатинін‚трансамінази‚ електроліти‚ рівень каль- цію‚ магнію‚ фібриноген та продукти його деградації‚протромбін та протромбіновий час‚ аналіз сечі‚ добова протеїнурія. • Моніторинг АТ‚ визначення погодинного діурезу‚ оцінку клі- нічних симптомів проводять з обов’язковою реєстрацією в істо- рії пологів щогодини. • Штучна вентиляція легенів - Штучна вентиляція легенів не є основним способом лікуван- ня еклампсії, однак усунення гіпоксії (найважливішого пато- генетичного чинника розвитку поліорганної недостатності) - обов’язкова умова проведення інших заходів. Показання: Абсолютні: - еклампсія під час вагітності; - екламптична кома або екламптичний статус; - гострий респіраторний дистрес-синдром дорослих (ІІІ стадія); - судомна готовність на фоні поверхневого наркозу; - поєднання прееклампсії/еклампсії з шоком будь-якого ґенезу. Відносні: - прогресування гострої коагулопатії; - крововтрата під час операції більше 15 мл/кг (подовжена ШВЛ для стабілізації життєвих функцій організму і відновлення ОЦК). - ШВЛ проводять у режимі нормовентиляції або помірної гіпер- вентиляції (рСО2=З0-40 мм рт.ст.). - Початкові параметри ШВЛ: дихальний об’єм – 7-8 мл/кг‚ хви- линний об’єм дихання – 10-12 л/хв.‚ тиск на вдиху – не більше 20 см вод. ст.‚ FіО2 – відношення вдих/видих – 1:2. - При наявності судомного синдрому після пологів синхронізації з респіратором досягають застосуванням недеполяризуючих мі- орелаксантів‚ в інших випадках використовують барбітурати + бензодіазепіни + ГОМК. - За відсутності судом ШВЛ проводять у режимі SІМV до повно- го відновлення свідомості і спонтанного адекватного дихання. - При проведенні ШВЛ більше доби необхідне проведення фібро­ бронхоскопії.
  • 72.
    Критерії припинення ШВЛ: - повне відновлення свідомості; - відсутність судом та судомної готовності без застосування про- тисудомних препаратів - стабілізація геодинаміки; - припинення дії препаратів‚ які пригнічують дихання (міорелак- санти, наркотичні аналгетики‚ гіпнотики та ін.); - відсутність ознак гострого респіраторного дистрес-синдрому дорослих; - стабільність стану системи гемостазу; - відновлена киснева ємність крові (гемоглобін не менше 80 г/л); - SаО2 > 95%, РаО2 > 80 мм рт.ст. при FiО2 < 0,4 (РаО2/FiO2 > 200). - У разі крововиливу у мозок і коматозного стану вагітної питан- ня про припинення ШВЛ обговорюється не раніше‚ ніж за дві доби. Інтенсивну терапію продовжують у повному обсязі. Інтенсивна терапія еклампсії без ШВЛ можлива за таких умов: - напад судом виник під дією надзвичайних стимулів (перейми‚ потуги) чи у післяпологовому періоді; - після нападу еклампсії збережені елементи свідомості; - артеріальний тиск під час нападу не перевищує 170/100 мм рт.ст.; - відсутність субарахноїдального крововиливу; - відсутність вогнищевої неврологічної симптоматики; - відсутність інших показань до ШВЛ. Розродження здійснюється терміново. - Якщо акушерська ситуація не дозволяє провести негайне роз- родження через природні пологові шляхи (екламптичний напад стався у І періоді пологів)‚ виконують операцію кесарів розтин. - Розродження проводять одразу після ліквідації нападу судом на фоні введення сульфату магнію та антигіпертензивної терапії. - За умови продовження нападу судом – термінове розродження проводять після переведення хворої на ШВЛ. Після закінчення оперативного втручання ШВЛ продовжують до стабілізації стану пацієнтки. Після пологів лікування продовжують відповідно до стану xворої. Магнезіальна терапія має тривати ще не менше 48 годин.
  • 73.
    Алгоритм виконання практичноїнавички надання невідкладної допомоги при несприятливих та критичних станах плода та новонародженого Первинна реанімація новонароджених (Наказ МОЗ України №312 від 08.06.2007 р. «Про затвердження клінічного Протоколу з первинної реанімації та післяреанімаційної допомоги новонародженим») Передбачення потреби реанімації: незважаючи на те, що не- обхідність надавати реанімаційну допомогу новонародженому не за- вжди можна передбачити, слід оцінювати наявність чинників ризику в анамнезі кожної вагітної жінки, оскільки пологи високого ризику підвищують імовірність реанімації. Послідовність дій первинної реанімації новонароджених: 1. Визначення необхідності реанімації у дитини, яка народилась після вилиття чистих навколоплодових вод. Негайно після народження кожної дитини найважливіше швидко ви- значити, чи вона потребує реанімаційної допомоги. Для цього слід оцінити наявність і адекватність самостійного дихання під час обсу- шування новонародженого на животі матері. • Відразу після народження дитини акушерка приймає її у теплі пе- люшки, зауважує і оголошує час народження, викладає на живіт матері і починає швидко обсушувати, звертаючи увагу на наяв- ність крику. Обсушування у цей момент відіграє роль початкової тактильної стимуляції. • Якщо дитина не кричить, перевіряють наявність самостійного ди- хання, ознакою якого будуть помітні регулярні рухи грудної клітки. Частота і глибина дихальних рухів в нормі зростають через декіль- ка секунд після народження і/або тактильної стимуляції. Нормальна частота дихання новонародженого – 30-60 за 1 хвилину. • Одночасно оцінюють м’язовий тонус дитини, звертаючи увагу на положення кінцівок і наявність самовільних рухів. Відсутність м’язового тонусу вказує на високу ймовірність наявності розла- дів самостійного дихання.
  • 74.
    • У разівідсутності самостійного дихання або наявності судорож- них дихальних рухів (дихання типу «ґаспінґ») з частотою менше 30 за 1 хвилину слід негайно: - покликати на допомогу; - перетиснути і перерізати пуповину; - інформувати матір, що дитина має проблеми зі встановленням самостійного дихання і їй буде надано допомогу; - загорнути немовля у суху пелюшку, залишаючи відкритими лице і передню поверхню грудної клітки; - перенести немовля на реанімаційний стіл або іншу відповідну теплу і суху поверхню; • здійснити початкові кроки допомоги. 2. Початкові кроки допомоги новонародженому й алгоритм по- дальших реанімаційних дій. Відсутність чи неадекватність (дихання тину «ґаспінґ») самостійно- го дихання або відсутність м’язового тонусу у дитини відразу після народження, термін гестації менше 32-34 тижнів або загроза аспіра- ції меконію є показаннями для негайного відокремлення новонаро- дженого від матері, перенесення на реанімаційну поверхню під дже- рело променевого тепла і здійснення початкових кроків допомоги. У певній послідовності вони передбачають: • Забезпечення правильного положення дитини на реанімаційній поверхні під джерелом променевого тепла і звільнення дихаль- них шляхів, особливо у випадку загрози аспірації меконію. • Кінцеве висушування новонародженого і повторне забезпечення правильного положення голови. • Повторну оцінку стану новонародженого. Усі зазначені вище заходи (визначення потреби реанімації і початко- ві кроки допомоги) треба виконати приблизно за 30 секунд. • У разі відсутності неадекватності самостійного дихання або за наявності ЧСС<100 за 1 хвилину необхідно розпочати ШВЛ міш- ком і маскою. • За наявності центрального ціанозу, незважаючи на адекватне са- мостійне дихання і ЧСС > 100 за 1 хвилину, призначити кисневу терапію.
  • 75.
    3. Алгоритм подальших дійпісля 30 секунд вентиляції мішком і маскою 3.1.  Якщо ЧСС ≥ 100 за 1 хвилину і наявне адекватне самостійне дихання: • поступово припиняти ШВЛ, зменшуючи її тиск і частоту; • оцінити наявність центрального ціанозу та інших дихальних роз- ладів під час самостійного дихання: втягнення податливих ділянок грудної клітки, тахiпное > 60 за 1 хвилину або стогін на видиху; • за відсутності центрального ціанозу та інших дихальних роз- ладів після припинення ШВЛ слід викласти дитину на грудну клітку матері, забезпечивши контакт «шкіра до шкіри», накри- ти теплою пелюшкою і ковдрою та забезпечити спостереження: − кожні 15 хвилин оцінювати адекватність самостійного ди- хання, ЧСС і наявність центрального ціанозу; − кожні 30 хвилин контролювати температуру тіла; − заохочувати матір і допомогти їй розпочати грудне вигодову- вання; − не залишати дитину без медичного нагляду. 3.2. Якщо ЧСС ≥ 100 за 1 хвилину і відсутнє самостійне дихання: • продовжити ШВЛ протягом наступних 30 секунд і передбачити потребу інтубувати трахею. 3.3. Якщо ЧСС ≥ 100 за 1 хвилину, наявне адекватне самостійне ди- хання, однак після припинення ШВЛ з’явився центральний ці- аноз або інші дихальні розлади: втягнення податливих ділянок грудної клітки, тахiпное > 60 за 1 хвилину, стогін на видиху: • призначити вільний потік кисню; • перевести дитину у відділення інтенсивної терапії (неонаталь- ного догляду і лікування); • у недоношеної дитини передбачити необхідність застосувати самостійне дихання під постійним позитивним тиском. 3.4. Якщо ЧСС <100, але ≥ 60 за 1 хвилину незалежно від характе- ру дихання: • продовжувати ШВЛ; • передбачити потребу вентиляції з використанням 100 % кисню, якщо вентиляцію проводили кімнатним повітрям;
  • 76.
    • передбачити потребуінтубувати трахею. 3.5. Якщо ЧСС < 60 за 1 хвилину: • негайно розпочати непрямий масаж серця з частотою 90 комп- ресій за хвилину; • продовжувати ШВЛ 100 % киснем з частотою 30 за 1 хвилину паралельно з непрямим масажем серця; • передбачити потребу інтубувати трахею. 3.6. Якщо ЧСС < 60 за 1 хвилину після 30 секунд непрямого масажу серця і ШВЛ: • інтубувати трахею (якщо це попередньо не було зроблено) і ввес- ти 0,01% розчин адреналіну ендотрахеально у дозі 0,3‑1,0 мл/кг. Якщо з будь-яких причин інтубація трахеї неможлива – якомо- га скоріше катетеризувати вену пуповини і ввести 0,01% розчин адреналіну внутрішньовенно у дозі 0,1-0,3 мл/кг; • продовжувати ШВЛ 100 % киснем з частотою 30 за 1 хвилину паралельно з непрямим масажем серця; • у разі збереження брадикардії (ЧСС <  60 за 1 хвилину) через 30 секунд після введення адреналіну ендотрахеально катетери- зувати вену пуповини (якщо це попередньо не було зроблено). За наявності показань ввести адреналін внутрішньовенно через 3 хвилини після першого введення; • передбачити потребу використати 0,9% розчин натрію хлориду і 4,2% розчин натрію гідрокарбонату; 3.7. Під час проведення ШВЛ перевіряти ЧСС і наявність самостій- ного дихання кожні 30 секунд, поки ЧСС не перевищить 100 за 1 хвилину і не встановиться адекватне самостійне дихання. 4. Дії у разі неефективної реанімації Якщо стан дитини не поліпшується, незважаючи на проведення вчасних і ефективних вентиляції 100 % киснем, непрямого масажу серця, а також правильне введення ліків, слід ще раз перевірити пра- вильність виконання основних реанімаційних процедур і подумати про інші можливі причини незадовільної реакції немовляти на реа- німацію, такі як аномалії дихальних шляхів, пневмоторакс, діафраг- мальна грижа або природжена хвороба серця.
  • 77.
    5. Припинення реанімації Реанімаціюновонародженого можна припинити, якщо, незважаю- чи на вчасне, правильне і повне виконання всіх її заходів, у дити- ни відсутня серцева діяльність протягом щонайменше 10 хвилин (Міжнародні рекомендації з реанімації новонароджених, 2005). Особливості первинної реанімації новонароджених з меконіальною аспірацією 1. Особливості визначення потреби в реанімації у дитини, яка народилась після вилиття вод, забруднених меконієм: • У разі вилиття вод, забруднених меконієм, відсмоктування з верх- ніх дихальних шляхів дитини після народження голови не потріб- но, оскільки це втручання не зменшує ризику розвитку синдрому аспірації меконію. • Відразу після народження дитини потрібно зауважити й оголоси- ти час її народження і до викладання на живіт матері та висушу- вання оцінити «активність» – наявність і адекватність самостій- ного дихання, м’язовий тонус і частоту серцевих скорочень. • У разі наявності будь-якої з таких ознак: відсутність ­ амостійного с дихання, або дихання типу «гаспінг», або брадіпное (ЧД<30 за 1 хви­ ину), або знижений м’язовий тонус (відсутність активних ру- л хів, звисання кінцівок), або ЧСС < 100 за 1 хвилину – слід негайно: - перетиснути і перерізати пуповину; - інформувати матір, що дитина має проблеми зі встановленням самостійного дихання і їй буде надано допомогу; - не забираючи пелюшок і уникаючи тактильної стимуляції, пе- ренести немовля на реанімаційний стіл або іншу підготовлену відповідну теплу та суху поверхню; - здійснити початкові кроки допомоги, повторно оцінити стан ди- тини і вирішити, що робити далі. • Дітей, які після народження є «активними», – кричать або адек- ватно дихають, виявляють задовільну рухову активність з ЧСС > 100 за 1 хвилину, викладають на живіт матері і спостерігають за їх станом протягом 15 хвилин. У разі відсутності дихальних роз- ладів забезпечують стандартний медичний догляд згідно з вимо- гами наказів МОЗ України №152 і №584.
  • 78.
    • Незалежно відособливостей меконіального забруднення навколо- плідних вод, відсмоктування із трахеї «активного» новонародже- ного без ознак порушення стану не поліпшує клінічні результати лікування і може супроводжуватись розвитком ускладнень. Тому ця процедура не рекомендується для рутинного використання. • Спостереження за дитиною, яка народилась після вилиття забруд- нених меконієм вод, передбачає оцінку наявності дихальних роз- ладів (тахiпное більше 60 за хвилину, втягнення податливих ді- лянок грудної клітки, експіраторний стогін тощо) протягом 3-х послідовних годин після народження (щонайменше кожні 15 хви- лин протягом першої години). • Дитина, в якої на фоні загрози аспірації меконію в перші години життя виникають апное або інші дихальні розлади, може потре- бувати відсмоктування із трахеї до початку вентиляції легень під позитивним тиском, навіть якщо вона була активною відразу піс- ля народження. 2. Початкові кроки допомоги дитині, яка народилась після ви- лиття вод, забруднених меконієм, якщо дитина «неактивна»: • Спеціальні початкові кроки допомоги необхідні дитині, яка наро- дилась після вилиття навколоплодових вод, забруднених меконі- єм, за наявності у неї відразу після народження будь-якої з таких ознак: відсутність самостійного дихання, або дихання типу «гас- пінг», або брадипное (ЧД<30 за 1 хвилину), або явно знижений м’язовий тонус (відсутність активних рухів, звисання кінцівок), або ЧСС < 100 за 1 хвилину. • Забезпечити прохідність дихальних шляхів: • забезпечити правильне положення новонародженого; • уникаючи тактильної стимуляції, під контролем прямої ларин- госкопії відсмоктати вміст нижньої глотки (анатомічна ділянка над голосовими зв’язками) катетером великого діаметра (14F); • уникаючи тактильної стимуляції, інтубувати трахею і відсмок- тати з неї; • відсмоктують безпосередньо через ендотрахеальну трубку або через катетер великого діаметра (14F), поволі витягуючи ендо- трахеальну трубку (катетер);
  • 79.
    • якщо відсмоктуванняздійснюється через ендотрахеальну труб- ку – приєднати до неї перехідник (аспіратор меконію), що дозво- лить з’єднати ендотрахеальну трубку і трубку відсмоктувача; • у разі відсутності перехідника (аспіратора меконію), можливе використання катетера великого діаметра (14F), який безпосе- редньо приєднують до трубки відсмоктувача; • тривалість одного відсмоктування не повинна перевищувати 5 с. • За наявності медичного працівника, який добре володіє технікою інтубації трахеї, повторні інтубацію і санацію трахеї необхідно проводити до майже повного її звільнення від меконію, однак, інтубація і відсмоктування більше 3 разів не рекомендуються. Тривалість виконання цієї процедури визначається вимогами до інтубації трахеї і станом новонародженого. • У разі відсутності медичного працівника, який добре володіє тех- нікою інтубації трахеї, відсмоктування із трахеї проводити одно- разово, після чого потрібно закінчити виконання решти початко- вих кроків реанімації і повторно оцінити стан дитини. • Під час проведення процедури подавати вільний потік кисню (Розділ IV Протоколу) і попросити асистента визначати ЧСС новонародженого: • якщо ЧСС дитини під час санації трахеї стане менше 60 за 1 хви- лину – припинити відсмоктування і негайно розпочати ШВЛ міш- ком через ендотрахеальну трубку. • Після звільнення дихальних шляхів від меконію закінчити вико- нання решти початкових кроків реанімації й оцінити стан дитини. • У разі відсутності (неадекватності) самостійного дихання або за наявності ЧСС<100 за 1 хв слід повторно інтубувати трахею і роз- почати ШВЛ мішком через інтубаційну трубку. • Якщо з будь-яких причин інтубація трахеї неможлива – вентилю- вати легені дитини реанімаційними мішком і маскою. • За наявності центрального ціанозу, незважаючи на адекватне са- мостійне дихання і ЧСС > 100 за 1 хвилину, розпочати кисневу терапію. • Відкласти відсмоктування шлункового вмісту до моменту закін- чення реанімаційних заходів.
  • 80.
    I. Забезпечення прохідності дихальнихшляхів • Надати дитині положення на спині або на боці з помірно розігну- тою назад головою з підкладеним під плечі валиком (Рис. 1) Рис. 1. Правильне положення новонародженого, що забезпечує прохідність дихальних шляхів. • Відсмоктати спочатку з рота, потім – з носа: - використовувати для видалення секрету і слизу одноразову ґумову грушу; у разі відсутності одноразових ґумових груш для відсмок- тування слід використовувати лише стерильні одноразові катетери; - під час відсмоктування не вводити катетер або грушу надто енергійно або глибоко (не глибше 3 см від рівня губ у доноше- ного новонародженого і 2 см у передчасно народженої дитини); - відсмоктувати короткочасно, делікатно, поволі видаляючи кате- тер або грушу назовні; - тривалість відсмоктування не повинна перевищувати 5 секунд. • Під час агресивного відсмоктування можлива стимуляція задньої стінки глотки, що може викликати ваґусну реакцію (важку бради- кардію або апное), а також затримку самостійного дихання. • Якщо під час відсмоктування у новонародженого з’явилась бра- дикардія, потрібно припинити маніпуляцію і знову оцінити ЧСС. • У випадку значного накопичення секрету, крові, слизу доцільно під час відсмоктування повернути голову дитини на бік або по- вторити процедуру. • У разі використання відсмоктувача негативний тиск не повинен перевищувати 100 мм рт. ст. (13,3 кПа або 136 см водн. ст.). II. Киснева терапія Показання Наявність центрального ціанозу у дитини, незважаючи на адек- ватне самостійне дихання і ЧСС > 100 за хвилину, є показанням для призначення вільного потоку кисню.
  • 81.
    Необхідне обладнання: - кисневатрубка і долоня руки, складена у вигляді лійки (Рис. 2В); - мішок, що наповнюється потоком (анестезіологічний), і реанімацій- на маска: маску нещільно накладають на обличчя дитини (Рис. 2 А); - вільний потік кисню не можна подавати маскою, приєднаною до мішка, що наповнюється самостійно; - киснева маска і киснева трубка (Рис. 2 Б). Техніка проведення кисневої терапії: • Подають вільний потік кисню, спрямовуючи його до носа дити- ни. Швидкість вільного потоку кисню не повинна перевищувати 5 літрів за хвилину, щоб запобігти охолодженню дитини. • Під час проведення кисневої терапії необхідно спостерігати за станом дитини, кольором шкіри тулуба і слизових оболонок: - як тільки шкіра тулуба і слизові оболонки немовляти порожеві- ють, кисневу підтримку слід поступово припиняти, поволі від- даляючи кінець кисневої трубки від лиця дитини і спостерігаю- чи за кольором слизових оболонок; - якщо з припиненням кисневої терапії центральний ціаноз з’яв­ ляється знову, подавання кисню слід відновити і продовжувати спостереження за станом дитини; - у разі збереження центрального ціанозу, незважаючи на кисне- ву терапію протягом щонайменше 5 хвилин, слід розпочинати ШВЛ мішком і маскою. А Б В Рис. 2. Техніка проведення кисневої терапії під час реанімації.
  • 82.
    III. Штучна вентиляція легень(ШВЛ) новонародженого мішком і маскою Показання до ШВЛ мішком і маскою: • Відсутнє або неадекватне самостійне дихання після початкових кроків допомоги, проведених протягом 30 секунд після наро- дження дитини. • ЧСС < 100 за 1 хвилину незалежно від наявності і адекватності самостійного дихання після початкових кроків допомоги, прове- дених протягом 30 секунд після народження дитини. • Стійкий центральний ціаноз, незважаючи на наявність адекват- ного самостійного дихання, ЧСС > 100 за 1 хвилину і подавання вільного потоку 100 % кисню протягом щонайменше 5 хвилин. Техніка проведення початкової ШВЛ під час первинної реанімації новонароджених: • Перевірити правильність положення дитини: голова помірно ро- зігнута, валик під плечима. • Зайняти положення навпроти голови новонародженого і зафіксу- вати час початку вентиляції. • Накласти маску відповідного розміру, приєднану до реанімацій- ного мішка, на лице дитини, накриваючи ніс, рот і верхівку підбо- ріддя. Маску анатомічної форми накладають загостреним кінцем на ніс (Рис. 3). Рис. 3. Лицеві маски круглої (зліва) й анатомічної форми (справа) належного розміру.
  • 83.
    • Натискаючи наверхній і нижній краї маски першим і другим паль- цями однієї руки, забезпечити герметичне прилягання маски до об- личчя. Одночасно за допомогою інших пальців цієї ж руки, які під- тримують нижню щелепу дитини, фіксувати положення голови. • Відразу розпочати вентиляцію: - надійно утримуючи маску на лиці дитини, пальцями іншої руки повільно і плавно стиснути мішок декілька разів: для вентиляції доношених новонароджених використовують 4-5 пальців, а для глибоконедоношених немовлят може бути достатньо 2-3 паль- ців залежно від об’єму мішка; - під час стискування мішка спостерігати за рухами грудної кліт- ки, які мають бути ледь помітними; - перші 2-3 штучні вдихи з тиском 20-25 см водн. ст. можуть бути ефективними в більшості новонароджених, однак деякі доно- шені діти з відсутнім самостійним диханням можуть потребу- вати початкового позитивного тиску 30-40 см водн. ст.; - для подальшої успішної вентиляції неушкоджених легень в но- вонароджених достатньо тиску вентиляції 15-20 см водн. ст., а для немовлят з незрілими легенями або з природженим легене- вим захворюванням може виникнути потреба застосувати тиск > 20 см водн. ст.; - для більшості недоношених новонароджених початковий тиск вентиляції 20-25 см водн. ст. є адекватним, а додаткове застосу- вання позитивного тиску наприкінці видиху може бути корисним; - щоб підтвердити ефективність ШВЛ, відразу після її початку по- просити асистента оголосити ЧСС новонародженого, визначену пальпацією основи пуповини або аускультацією ділянки серця. Контроль ефективності ШВЛ: 1. Під час проведення ШВЛ мішком і маскою необхідно оцінювати ефективність вентиляції за допомогою таких показників: • основний показник ефективної вентиляції  – швидке зростання ЧСС, у чому треба переконатись відразу після початку вентиляції; • рухи грудної клітки під час стискання мішка мають бути ледь по- мітними і симетричними. У передчасно народжених немовлят рухи грудної клітки не є вірогідною ознакою ефективної і безпеч-
  • 84.
    ної вентиляції, іїх доцільно оцінювати лише у разі відсутності позитивної динаміки ЧСС; • додаткові ознаки ефективної вентиляції: − аускультативно над легенями вислуховується симетричне дихання; − поява самостійного дихання; − поліпшення кольору шкіри (зменшення або зникнення цен- трального ціанозу); − поліпшення м’язового тонусу новонародженого. 2. У разі відсутності ознак ефективної вентиляції мішком і маскою необхідно: • перевірити прилягання маски до обличчя (повторно накласти маску); • перевірити прохідність дихальних шляхів (змінити положення го- лови; відсмоктати з верхніх дихальних шляхів; вентилювати, від- кривши рот дитині); • збільшити тиск вентиляції: сильніше стискати мішок більшою кількістю пальців або усією долонею, однак уникати різкого та надто енергійного стискання; • передбачити потребу інтубувати трахею. Інші особливості проведення ШВЛ під час реанімації ново- народжених: • Проведення ШВЛ мішком і маскою протягом кількох хвилин ви- магає введення ротошлункового зонда (8F), щоб запобігти розду- ванню шлунка газом і наступній регургітації шлункового вмісту: - уводять зонд на глибину, що дорівнює відстані від перенісся до мочки вуха і від мочки вуха до мечоподібного відростка; - після введення зонда відсмоктують шприцом вміст шлунка, зонд залишають відкритим і фіксують лейкопластиром до щоки; - ШВЛ негайно відновлюють, наклавши маску поверх зонда. IV. Інтубація трахеї Показання до інтубації трахеї на будь-якому з етапів первинної реанімації. Абсолютні показання: • Необхідність відсмоктати меконій з трахеї. • Наявність діафрагмальної грижі у дитини.
  • 85.
    Відносні показання: • Вентиляціямішком і маскою неефективна або довготривала. • Необхідність вводити ліки ендотрахеальним шляхом. • Народження дитини з екстремально малою масою тіла (< 1000 г). Основні етапи виконання процедури • Забезпечити і фіксувати правильне положення голови дитини, дати вільний потік кисню, зафіксувати час початку процедури (Рис. 4). • Тримаючи ларингоскоп лівою рукою, увести клинок вздовж правого краю язика, відтискаючи його до лівої половини рота; потім просу- вати кінець клинка до заглиблення відразу за коренем язика (Рис. 4). • Поволі піднімаючи клинок ларингоскопа, знайти і зафіксувати у полі зору вхід у трахею (голосову щілину). • Уникати піднімання кінця клинка гойдальним рухом (Рис. 5). Рис. 4. Приготування Рис. 5. Техніка проведення до ларингоскопії. ларингоскопії. • За потребою відсмоктати слиз. • Увести трубку у правий кут рота (якщо зв’язки зімкнуті, чекати, поки вони розімкнуться); кінець ендотрахеальної трубки ввести у трахею, вирівнюючи позначку голосової щілини на трубці з голо- совими зв’язками (Рис. 6). • Вийняти клинок ларингоскопа з рота і провідник із трубки (якщо використовувався), надійно утримуючи трубку рукою (притисну- ти трубку пальцями до верхнього піднебіння або кута рота).
  • 86.
    Голосова зв’язка Позначка голосової щілини Рис. 6 . Уведення трубки між голосовими зв’язками до трахеї. • Приєднати до ендотрахеальної трубки реанімаційний мішок і розпочати ШВЛ, після чого негайно підтвердити (перевірити) місцезнаходження інтубаційної трубки у трахеї, враховуючи: - збільшення ЧСС (найважливіший показник); - наявність симетричних рухів грудної клітки під час вентиляції; - дані аускультації аксилярних ділянок грудної клітки з обох бо- ків і епігастральної ділянки; - запотівання трубки під час видиху; - відсутність ознак прогресивного збільшення живота; - поліпшення кольору шкіри й активності новонародженого. • Якщо є підозра на неправильне введення трубки: - витягнути трубку, вентилювати легені мішком і маскою, щоби нормалізувати частоту серцевих скорочень і колір шкіри, а по- тім повторити процедуру інтубації. • Додатково перевірити правильність глибини введення трубки за формулою: сантиметрова позначка на трубці на рівні верхньої губи = величина маси тіла дитини у кілограмах + число 6. • Зазначити сантиметрову позначку на рівні верхньої губи і прикрі- пити трубку лейкопластиром до обличчя дитини. • Після стабілізації стану новонародженого вкоротити трубку, якщо вона виступає над рівнем верхньої губи більше, ніж на 4 см. • Тривалість однієї спроби інтубації трахеї не повинна перевищувати 20 секунд, оскільки під час її виконання припиняють інші реаніма- ційні процедури (за винятком подавання вільного потоку кисню).
  • 87.
    • Якщо трахеюновонародженої дитини не вдалося заінтубувати про- тягом 20 секунд, слід зупинити спробу інтубації і відновити венти- ляцію легень мішком і маскою 100 % киснем до нормалізації ЧСС, а також кольору шкіри і слизових оболонок новонародженого. • Після цього, у разі потреби, можна повторити спробу інтубації. V. Непрямий масаж серця Показання: ЧСС менше 60 за 1 хвилину після 30 секунд ефективної ШВЛ. Техніка проведення непрямого масажу серця: • Медичний працівник, який проводить непрямий масаж серця, знаходиться збоку від новонародженого. • Дитина повинна лежати на твердій рівній поверхні; важливо за- безпечити надійну фіксацію її спини (див. нижче). • Використовують 2 техніки непрямого масажу серця (Рис.7): - метод великих пальців – на грудину натискають подушечками двох великих пальців; водночас решта пальців обох рук підтри- мують спину дитини (цьому методу надають перевагу) [D]; Рис 7 . Дві техніки непрямого масажу серця: великих пальців (А) і двох пальців (В).
  • 88.
    - метод двохпальців  – на грудину натискають кінчиками двох пальців однієї руки: другого і третього або третього і четверто- го; під час цього друга рука підтримує спину дитини. Цей метод може бути корисним, якщо потрібний доступ до судин пуповини. • Виконують непрямий масаж серця, натискаючи на нижню трети- ну грудини: ця ділянка знаходиться відразу під умовною лінією, що сполучає соски дитини. Важливо не натискати на мечоподіб- ний відросток, щоб запобігти розриву печінки. • Натискування здійснюють перпендикулярно до поверхні грудної клітки кінчиками пальців, які розміщують уздовж середньої лінії грудини. • Після кожного натискування дозволяють грудній клітці відновити свій об’єм, не відриваючи пальці від її поверхні. • Глибина натискувань становить одну третину передньозаднього діаметра грудної клітки. • Частота натискувань на грудну клітку становить 90 за 1 хвилину. • Важливо координувати непрямий масаж серця зі ШВЛ, уникаючи одночасного виконання обох процедур: - після кожних трьох натискувань на грудину роблять паузу для проведення вентиляції, після чого натискування повторюють. - за 2 с потрібно 3 рази натиснути на грудину (90 за 1 хв) і провес- ти 1 вентиляцію (30 за 1 хв), – разом – 120 дій за 1 хвилину. Оцінка ефективності непрямого масажу серця: • Критеріями ефективності непрямого масажу серця будуть зрос- тання частоти серцевих скорочень і можливість пальпаторно ви- значити пульс на плечовій артерії. • Припиняють непрямий масаж серця, якщо ЧСС становить ≥ 60 уда­ рів за хвилину. • Після кожних 30 с непрямого масажу повторно оцінюють ЧСС і дихання, щоб вирішити, що робити далі. VI. Застосування медикаментів Показання: якщо, незважаючи на адекватну вентиляцію легень 100 % кис- нем і проведення непрямого масажу серця протягом 30 с, ЧСС зали- шається менше 60 за 1 хв.
  • 89.
    Перелік медикаментів, якізастосовують у пологовому залі: • Адреналін • Засоби, що нормалізують судинний об’єм – фізіологічний розчин • Натрію гідрокарбонат • Налоксон У разі потреби вводити ліки внутрішньовенно, слід обов’язково ка- тетеризувати вену пуповини на мінімальну глибину, яка забезпечує вільний зворотний відтік крові (Рис. 8). Рис. 8 . Правильне введення катетера у вену пуповини під час реанімації новонародженого. 1. Адреналін. 1.1. Показання до застосування: • ЧСС менше 60 за 1 хвилину після щонайменше 30 секунд про- ведення непрямого масажу серця і штучної вентиляції легень 100 % киснем. • Відсутність серцевої діяльності новонародженого в будь-який момент реанімації (одночасно показані ШВЛ, непрямий масаж серця і введення адреналіну). 1.2. Приготування розчину і дозування: • Готують 0,01% розчин адреналіну [1:10000]: − до 1 мл 0,1 % розчину адреналіну гідрохлориду або 0,18 % розчину адреналіну гідротартрату треба додати 9  мл 0,9  % розчину натрію хлориду.
  • 90.
    • Набирають ушприц 1-5 мл приготовленого розчину [1:10000]. • Дозування: − внутрішньовенна доза – 0,1-0,3 мл/кг (0,01-0,03 мг/кг) − ендотрахеальна доза – 0,3-1,0 мл/кг (0,03-0,1 мг/кг). • Не можна застосовувати більші внутрішньовенні дози адрена- ліну під час реанімації новонароджених, оскільки їх уведення може спричинити ураження мозку і серця дитини. Менші ендо- трахеальні дози неефективні. • За відсутності ефекту і наявності показань введення адреналі- ну повторюють кожні 3-5 хвилин. Повторні введення адреналі- ну здійснюють лише внутрішньовенно. 1.3. Техніка введення: • Розчин адреналіну вводять швидко. • Рекомендований шлях введення адреналіну  – внутрішньовен- ний; ендотрахеальне введення можна використати, поки забез- печується венозний доступ. • Ендотрахеально адреналін вводять зі шприца безпосередньо до ендотрахеальної трубки або через зонд, уведений у трубку; піс- ля введення медикаменту до трахеї важливо відразу провести декілька ефективних вентиляцій під позитивним тиском. 2. Засоби, що нормалізують судинний об’єм крові. 2.1. Показання до застосування: • Гіповолемія: − можливість розвитку цього стану слід передбачити у всіх дітей, стан яких не поліпшується після проведених ШВЛ і непрямого масажу серця, особливо, за наявності даних про можливу крововтрату; − інші симптоми гіповолемії  – блідість, слабке наповнення пульсу і відсутність ознак поліпшення периферичного кро- вообігу, незважаючи на всі реанімаційні зусилля. Препарати: • 0,9% розчин натрію хлориду (фізіологічний розчин); • для корекції значної крововтрати (наявні клінічні ознаки гемо- рагічного шоку) може бути потрібною невідкладна трансфузія 0 (I) Rh(-) еритромаси;
  • 91.
    • розчини, щомістять альбумін, не повинні використовуватись під час первинної реанімації, оскільки їх застосування пов’яза­ о з вищим н ризиком інфекційної захворюваності і смерті новонароджених. 2.3. Дозування і введення: • Готують 40 мл 0,9% розчину натрію хлориду у шприцах або системі . • Доза – 10 мл/кг. • Шлях введення – внутрішньовенно повільно, протягом 5-10 хвилин. 3. Натрію гідрокарбонат. Немає достатніх наукових підстав, щоб рекомендувати рутинне за- стосування розчину натрію гідрокарбонату для первинної реаніма- ції новонароджених. 3.8. Показання до застосування: • Ймовірний або доведений важкий метаболічний ацидоз, ви- ключно під час тривалої неефективної реанімації на фоні адек- ватної ШВЛ. 3.9. Дозування і введення: • Концентрація розчину – 4,2 % або 0,5 мекв/мл. • Готують 20 мл у шприці. • Доза – 4 мл/кг або 2 мекв/кг. • Шлях уведення – у вену пуповини за наявності доброго зворот- ного відтоку крові. • Швидкість введення повільна – не швидше, ніж 2 мл/кг/хвилину. 3.10.  Розчин натрію гідрокарбонату не можна вводити доти, поки не налагоджені ефективні вентиляція легень і перфузія тканин новонародженого. 4. Налоксону гідрохлорид. Уведення налоксону гідрохлориду не можна вважати засобом пер- шої допомоги дитині з відсутнім самостійним диханням, якій насам- перед потрібно розпочати вентиляцію під позитивним тиском. 4.1. Показання до застосування: • Значне пригнічення дихання в новонародженого після віднов- лення нормальних ЧСС і кольору шкіри на фоні ШВЛ за умо- ви уведення наркотичних анальгетиків (опіоїдів) матері з метою
  • 92.
    знеболення пологів протягомостанніх 4 годин до народження дитини. 4.2. Дозування і введення: • Рекомендована концентрація розчину – 1,0 мг/мл. • Доза – 0,1 мг/кг. • Шляхи введення: − внутрішньовенному надають перевагу; − внутрішньом’язовий  – допустимий, але дія ліків буде спо- вільнена; − ендотрахеальне введення налоксону неефективне. 4.3. Не можна призначати налоксон дитині від матері з підозрою на наркотичну залежність або від матері, яка знаходиться на тривалому підтримуючому лікуванні наркотичними препа- ратами. Це може спричинити виникнення важких судом у новонародженого. 4.4.  Налоксону гідрохлориду не є антагоністом інших препара- тів, які можуть пригнічувати дихання дитини за умови їх при- значення матері (анестетики, магнію сульфат, ненаркотичні анальгетики тощо), а тому не повинен використовуватись в та- ких випадках. Алгоритм виконання практичної навички Гінекологічне дослідження Дослідження за допомогою дзеркал Обстеження за допомогою дзеркал проводиться з метою оцін- ки стану стінок піхви, склепінь і шийки матки, дослідження характе- ру виділень із піхви та цервікального каналу. Це обстеження передує вну­ рі­ ньо­ у обстеженню, оскільки під час останнього можливі т ш м зміни картини патології. Обладнання: гінекологічне крісло, стерильні рукавички, де- зинфікуючий розчин, корнцанг, піхвові дзеркала (стулкове дзерка- ло Куско або ложкоподібне дзеркало Сімса і плоский підіймач), пе- люшка, ватні кульки.
  • 93.
    Техніка виконання Проведення обстеженняза допомогою ложкоподібного дзеркала Сімса та плоского підіймача 1. Запропонувати жінці лягти на гінекологічне крісло на пелюшку. 2. Обробити зовнішні статеві органи дезинфікуючим розчином. 3. Надягнути стерильні рукавички. 4. Першим і другим пальцями лівої руки розвести соромітні губи. 5. У праву руку взяти лож­ оподібне дзеркало Сімса. к 6. Увести дзеркало попе­ еч­ им розміром уздовж со­ о­ ітної щіли- р н р м ни до склепіння піхви (рис. 1). 7. У піхві повернути дзеркало на 900 рукояткою донизу та трохи відтиснути промежину і задню стінку піхви до крижів (рис.2). 8. У такий самий спосіб увести підіймач. 9. Підняти передню стінку піхви. 10. глянути оголену шийку матки (рис. 3). О 11. Вивести дзеркала у зворотному напрямі. 12. иводячи дзеркала, оглянути стінки піхви. В Рис. 1. Уведення дзеркала Сімса
  • 94.
    Рис. 2. ДзеркалоСімса уведене Рис. 3. Оголена шийка матки Проведення обстеження за допомогою стулкового дзеркала Куско 1. Першим і другим пальцями лівої руки розвести соромітні губи. 2. У праву руку взяти стулкове дзеркало Куско. 3. Увести дзеркало в складеному стані попе­ ечним розміром бран- р шів уздовж соромітної щілини до піхви (рис. 4).
  • 95.
    Рис. 4. Уведеннядзеркала Куско Рис. 5. Дзеркало Куско уведене 4. У піхві повернути дзеркало на 900 гвинтовою частиною донизу та розвести стулки так, щоб піхвова частина шийки матки опи- нилася між розкритими кінцями стулок. 5. За допомогою гвинта зафіксувати потрібний ступінь роз­ и­ ен­ ш р ня піхви (рис. 5). 6. Оглянути оголену шийку матки. 7. Вивести дзеркало, попередньо стуливши стулки. 8. Виводячи дзеркало, оглянути стінки піхви.
  • 96.
    Оцінка результатів обстеження.Стан піхви оцінюють за складчастістю стінок, кольором слизової оболонки, наявністю пато- логії (виразки, розростання, пухлини). Нормальна шийка матки блідо-рожевого кольору, конічної фор- ми (у жінок, які ще не народжували) чи циліндричної (у жінок, які вже народжували), зовнішній зів або точковий, або щіли­ оподібний (за- н лежно від наявності пологів в анамнезі), слизові виділення незначні. Бімануальне комбіноване вагінально-абдомінальне обстеження Бімануальне комбіноване обстеження є основним видом гінеко- логічного обстеження, яке використовується з метою з’ясування по- ложення, величини, форми матки, визначення стану придатків, тазо- вої очеревини і клітковини. Обладнання: гінекологічне крісло, пелюшка, стерильні рука- вички, дезинфікуючий розчин, корнцанг, ватні кульки. Техніка виконання 1. Запропонувати жінці лягти на гінекологічне крісло на пелюшку. 2. Обробити зовнішні статеві органи дезинфікуючим розчином. 3. Надягнути стерильні рукавички. 4. Першим і другим пальцями лівої руки розвести великі сороміт- ні губи. 5. Другий і третій пальці правої руки увести в пе­­­­ реднє склепіння піхви, шийка від­ ис­ ається дозаду; четвертий та п’ятий пальці т к притиснути до долоні; великий палець відвести догори (рис.6). 6. Лівою рукою обережно натиснути на пе­ ед­ ю черевну стінку над р н лобковим горбом у напрямі до пальців «внутрішньої руки» (рис. 7). 7. Намагатися зблизити пальці обох рук. 8. Обстежити матку: визначити її розміри (нормальна, зменшена, збільшена); форму (грушоподібна, куляста, неправильної фор- ми); консистенцію (щіль­ о еластична, розм’якла, ущіль­­ н нена); положення (ти­ о­ е, нетипове, зміщене по го­ и­ онтальній чи п в р з вер­ и­ аль­ ій осі, нахил, перегин тощо); чутливість (болісність, т к н без­ о­ іс­­ б л ність під час обстеження); рухомість (рухома, обмеже- но рухома) (рис. 8).
  • 97.
    Рис. 6. Уведенняпальців у піхву Рис. 7. Бімануальне обстеження Рис. 8. Бімануальне обстеження матки (схема)
  • 98.
    9. Пальці обохрук уз­ од­ е­­ пе­ емістити в бокові частини скле­ г ж но р пінь та від­ о­ ід­ і боки таза на рівень матки і обстежити при- п в н датки матки. Незмі­ е­ і маткові труби тонкі та м’які, тому вони н н здебільшого не про­ а­ у­ ться. Щодо яєч­ иків, то визначають м ц ю н їх форму (мигдалеподібна, не­ ра­ иль­ а), ве­ и­ ину, рухомість і п в н л ч чутливість (рис. 9). Рис. 9. Бімануальне обстеження придатків матки (схема) 10. ослідити стан зв’язкового апарату, тазової клітковини та очере- Д вини малого таза шляхом промацування відповідно до топографії. 11. Вийняти пальці з піхви. Оцінка результатів обстеження. Величина матки: у нормі дов­ ина матки разом з шийкою складає 7-10 см. У жінки, яка не на­ ж род­ увала, дещо менше, ніж у жінки, яка народжувала. Зменшення ж мат­ и можливе при інфантильності, атрофії в клімактеричному пе- к ріоді і менопаузі. Збільшення матки спостерігається при пухлинах (фіб­ о­ іо­ а), при вагітності. Форма матки в нормі грушоподібна, р м м дещо сплю­­ щена спереду назад. При вагітності матка кулеподібна, л нах – неправильної форми. Консистенція матки в нор- при пух­ и­­ мі туго­ ­ ас­ ич­ а, при вагітності стінка матки м’яка, при фібромі- ел т н омах – щіль­ а. У деяких випадках матка може флуктуювати, що ха- н рактерно для ге­ а­ ометри і піометри. Положення матки (нахил м т матки (versio), пе­ е­ ин (flexio), зміщення по горизонталі (positio), р г по вертикалі (elevatio, prolapsus, descensus) та ін.) має дуже вели- ке значення. У нормі матка роз­ іщена в центрі малого таза. Дно її м
  • 99.
    знаходиться на рівнівходу в ма­ ий таз, отвір матки – на рівні спі- л нальної лінії. Шийка і тіло матки ут­ орюють кут, який відкритий до- в переду (anteflexio). Вся матка дещо на­ илена допереду (anteversio). х Положення матки змінюється при змі­ і положення тулуба, при пе- н реповненні сечового міхура і прямої киш­ и. При пухлинах у ділянці к придатків матка зміщується в протилежний бік, при запальних про- цесах – у бік запалення. Болісність матки при пальпації відмічаєть- ся тільки при паталогічних процесах. Рухомість матки. У нормі, особливо в жінок, які народжували, матка має здатність до рухли- вості. При опущенні і випадінні матки рухливість її стає надмірною за рахунок розслаблення зв’язкового апарату. Обмежена рухливість спостерігається при інфільтратах біляматкової клітковини, зрощенні матки з пухлинами та ін. Незмінені маткові труби тонкі і м’які, вони не промацуються. Інколи виявляється тонкий щільний круглий шнурок, болючий при пальпації, або вузлуваті потовщення в ділянці рогів матки і в переший- ку маткової труби (сальпінгіт, вузлуватий сальпінгіт). Сактосальпінкс промацується у вигляді продовгуватого утворення, що розширюєть- ся в бік лійки маткової труби. Піосальпінкс частіше всього менш ру- хомий або фіксований спайками. Нерідко при патологічних процесах розміщення труб змінюється, вони можуть бути з’єднані спайками спереду або ззаду матки, інколи навіть на протилежному боці. Яєчники добре промацуються у вигляді тіла мигдалеподібної форми величиною 3 х 4 см, достатньо рухомі і чутливі. Здавлення яєчників при обстеженні викликає болючу реакцію, що при добрій рухомості не свідчить про наявність запального процесу. Яєчники зазвичай збільшуються перед овуляцією і при вагітності. При клі- максі, довготривалій аменореї яєчники значно зменшуються. При значних запальних процесах промацати яєчник і трубу окремо час- тіш всього не вдається: визначається часто болючий конгломерат. Незмінені зв’язки матки зазвичай не визначаються. Круглі зв’яз­ ки можна промацати під час вагітності і при розвитку в них міоми. При цьому зв’язки пальпуються у вигляді тяжів, які проходять від країв матки до внутрішнього отвору пахвинного каналу. Крижово-мат­ ові к зв’язки промацуються після перенесеного параметриту (інфільтрація
  • 100.
    і рубцеві зміни).Зв’язки проходять у вигляді тяжів від задньої по- верхні матки на рівні перешийка дозаду і до крижа. Крижово-маткові зв’язки краще визначаються при дослідженні per rectum. Навколоматкова клітковина (параметрій) і серозна оболонка (периметрій) пальпуються тільки за наявності в них інфільтратів (ракових або запальних), спайок або ексудату. РЕКТАЛЬНЕ обстеження Обстеження через пряму кишку показане при неможливості піхвинного обстеження (у дівчат, при стенозі і атрезії піхви), за необ- хідності більш детального обстеження тазових органів (при пухли- нах, щоб визначити ступінь їх розповсюдження на тазову клітковину і стінки кишки), а також при запальних захворюваннях, щоб визна- чити стан крижово-маткових зв’язок і параректальної клітковини. Обладнання: гінекологічне крісло, пелюшка, стерильні рука- вички, вазелін, дезинфікуючий розчин, корнцанг, ватні кульки. Техніка виконання 1. Виконати очисну клізму. 2. Запропонувати лягти на гінекологічне крісло на пелюшку. 3. Обробити зовнішні статеві органи дезинфікуючим розчином. 4. Надягнути рукавички. 5. Другий палець занурити у вазелін. 6. Запропонувати пацієнтці по­ у­ и­ ись. т ж т 7. Під час потуги увести палець у пряму кишку. 8. «Зовнішню» руку роз­ іс­­ м тити на передній че­ ев­­ стінці у про- р ній екції тіла матки (рис. 10). 9. Обстежити необхідні анатомічні структури. Спочатку обстежуєть- ся піхвова частина шийки матки, яка йде впродовж передньої стінки кишки, яка здається товстою і ве­ и­ ою, оскільки при нор­ аль­ ому л к м н положенні нею ви­ инається стінка киш­ и. Потім за допомогою зо- п к внішньої руки промацується задня стінка матки, крижово-маткові зв’язки, маткові труби і яєчники, інколи вони пальпуються більш чітко, ніж при піх­ овому дослідженні. Потім обстежується пара- в метрій, задній тазовий простір і передня поверхня крижа.
  • 101.
    Рис. 10. Ректальнеобстеження (схема) ректо-вагінально-абдомінальне обстеження Комбіноване ректо-вагінально-абдомінальне обстеження ви- користовується при підозрі на наявність патологічних процесів у стінці піхви, прямої кишки або прямокишково-піхвової перетин- ки. Вказівний палець уводиться в піхву, а середній – у пряму кишку (у деяких випадках для вивчення міхурово-маткового простору в пе- реднє склепіння уводиться великий палець, а в пряму кишку – вка- зівний). Між уведеними пальцями визначається рухомість або наяв- ність спайок слизових оболонок, локалізація інфільтратів, пухлин і інші зміни в стінці піхви, прямої кишки і клітковини прямокишково- піхвової перетинки.
  • 102.
    Алгоритм виконання практичноїнавички Взяття матеріалу з вагіни, уретри та цервікального каналу Забір матеріалу проводять із сечівника, каналу шийки матки та задньої частини склепіння піхви для бактеріоскопічного досліджен- ня, яке застосовується з метою діагностики запальних процесів, а також для визначення різновиду мікробного чинника, ступеня чи- стоти піхви, що є необхідним перед гінекологічними операціями та діаг­ ос­ ич­ и­ и маніпуляціями. н т н м Підготовка до дослідження: не можна проводити сприн­ ю­ ц ван­ я та лікувальні процедури, пов’язані з уведенням фар­ а­ о­ о­ іч­ н м к л г них засобів до піхви; не можна спорожняти сечовий міхур за 2 год. до взяття мазка; не можна мати напередодні статевих зносин; іноді рекомендують напередодні провести аліментарну провокацію на го- норею (вживати гострі страви, пиво). Обладнання: гінекологічне крісло, піхвові дзеркала, предмет- не скло, три ложечки Фолькмана або пінцети, корнцанг, шпатель, стерильний перев’язувальний матеріал, стерильні рукавички, чиста пелюшка, дезинфікуючий розчин, олівець по склу. Техніка виконання 1. Запропонувати жінці лягти на гінеко­ о­ іч­ е крісло на чисту л г н пелюшку. 2. Підготувати предметне скло (розділити скло відповідно до міс- ця взяття матеріалу на три частини спеціальним олівцем та по- значити ці частини буквами «C», «V», «U» (рис. 11). Скло му- сить бути чистим сухим та знежиреним). 3. Надягнути стерильні рукавички. 4. Пальцями лівої руки розвести соромітні губи. 5. Вказівний палець правої руки увести в піхву і крізь передню стінку про­ а­ а­ у­ а­ и сечівник (рис. 12). м с ж в т 6. Першу порцію із сечівника зняти ватною кулькою (рис. 13). 7. Ложечку Фолькмана увести в сечівник на 1,5-2 см і шляхом зскрібка взяти матеріал (рис. 14). 8. Матеріал нанести на скло з позначкою «U» (рис. 15).
  • 103.
    Рис. 11. Предметнескло з позначками «C», «V», «U» Рис. 12. Масаж сечівника (схема) Рис. 13. Протирання сечівника ватною кулькою
  • 104.
    Рис. 14. Забірматеріалу із сечівника ложечкою Фолькмана Рис. 15. Нанесення матеріалу з уретри на скло 9. Увести дзеркала в піхву. 10. Протерти шийку матки ватною кулькою (рис. 16). 11. Взяти другу ложечку Фолькмана й увести в канал шийки мат- ки (рис. 17). 12. Шляхом зскрібка взяти матеріал (рис. 18). 13. Отриманий матеріал нанести на предметне скло із позначкою «С» (рис. 19). 14. Не виймаючи дзеркал із піхви, третьою ложечкою Фолькмана взя­ и матеріал із задньої частини склепіння піхви (рис. 20,21). т 15. Одержаний матеріал нанести на предметне скло із позначкою «V» (рис. 22).
  • 105.
    Рис. 16. Протиранняшийки матки ватною кулькою (схема) Рис. 17. Уведення пінцета в канал шийки матки Рис. 18. Забір матеріалу із цервікального каналу (схема)
  • 106.
    Рис. 19. Нанесенняматеріалу із цервікального каналу на предметне скло Рис. 20. Оголена шийка матки в дзеркалах Рис. 21. Забір матеріалу із заднього склепіння піхви
  • 107.
    Рис. 22. Нанесенняматеріалу з піхви на предметне скло 16. Вийняти дзеркала. 17. Заповнити супровідні документи (направлення, в якому вказа­ ти прізвище, ім’я та по батькові жінки, відділення, місце про­­­­ живання, дату взяття мазка, мету дослідження, прізвище лі­ аря). к Оцінка результатів дослідження. Місця взяття матеріалу зу- мовлені наявністю циліндричного епітелію та можливим місцем пе- ребування там збудника гонореї. У дорослих здорових жінок виділення з піхви білуваті, верш- коподібні, іноді крихкуватої консистенції, кислої реакції. Вони складаються із злущених клітин плоского епітелію, мікрофлори та транссудату. Під час запальних процесів кількість епітеліальних клітин зна- чно збільшується, іноді вони разом із лейкоцитами покривають усе поле зору під мікроскопом. Під час патологічного запального проце- су змінюється і характер виділень. Вони стають рідкої консистенції, жовто-зеленого чи іншого кольору, може з’являтися кров. Змінюється і кількість мікрофлори піхви, що призводить до змі- ни рН виділень (що менше паличок молочно-кислого бродіння, то більш лужна реакція).
  • 108.
    Алгоритм виконання практичноїнавички Кольпоцитологічне дослідження Це метод дослідження цитологічної картини мазків піхвово- го епітелію, при якому за співвідношенням клітин багатошарового плоского епітелію можна судити про функціональний стан яєчників. Підготовка до дослідження: не можна мати напередодні ста- тевих зносин; за 2 доби не можна проводити спринцювання та ліку- вальні процедури, пов’язані з уведенням фармакологічних засобів до піхви; за 15 днів припинити уведення гормонів; за наявності запаль- ного процесу піхви – пролікувати. Обладнання: гінекологічне крісло, піхвові дзеркала, предмет- не скло, корнцанг, шпатель, стерильний перев’язувальний матеріал, стерильні рукавички, чиста пелюшка, дезинфікуючий розчин, суміш Нікіфорова, простий олівець. Техніка виконання 1. Запропонувати жінці лягти на гінекологічне крісло на чисту пелюшку. 2. Обробити зовнішні статеві органи дезинфікуючим розчином. 3. Увести гінекологічні дзеркала (рис. 23). 4. Пінцетом чи ложечкою Фолькмана (шпателем) методом зскріб- ка взяти матеріал із бічної частини піхви (рис. 24). 5. Нанести його тонким шаром на предметне скло (рис. 25). 6. Замаркірувати простим олівцем по склу чи прикріпити до ньо- го смужку паперу з прізвищем пацієнтки, написаним простим олівцем. 7. Помістити в суміш Нікіфорова на 20-30 хв., або висушити на повітрі протягом 10-15 хв. 8. Заповнити направлення, де вказати прізвище, ім’я та по батько- ві жінки, відділення, місце проживання, дату взяття мазка, мету дослідження, день менструального цик­ у, прізвище лікаря. л 9. Прикріпити до скла. Оцінка результатів дос­ ідження. Підрахунок клі­ ин­ их еле- л т н ментів проводять в 6-8 полях зору в середній частині скла на 100- 200 клітин у найбільш чистих ділянках препарату.
  • 109.
    Рис. 23. Уведенігінекологічні дзеркала у піхву Рис. 24. Забір матеріалу з бічної частини піхви Рис. 25. Нанесення матеріалу на предметне скло
  • 110.
    Епітелій піхви пред­тав­ е­ ий кіль­ ома видами клітин, які роз­­ с л н к мі­ ені шарами. Базальні клі­ и­ и – не­ еликі, з базофільною про­ о­ щ т н в т плаз­ ою, великим ядром, яке розміщене в центрі клітини. Наяв­ ість м н таких клітин є ознакою різко вираженого естрогенного дефіциту. Парабазальні клітини – за розмірами більші базальних, неправиль- ної форми і меншими розмірами ядра з базофільною цитоплазмою – ознака естрогенного дефіциту. Проміжні клітини – за розмірами більші парабазальних, неправильної форми (по­ і­ о­ аль­ ої, оваль- лг н н ної), з рівними округлими ядрами, ексцентрично розміщеними і ба- зофільно окрашеною цитоплазмою – ознака помірного естрогенно- го впливу. Поверхневі клітини – найбільші клітини, з найменшими ядрами. Форма клітин багатокутна, краї тонкі, цитоплазма світ- ла, забарвлена базофільно і ацидофільно – показник естрогенної насиченості. Розрізняють 4 реакції клітинного складу мазка залежно від ступеня естрогенного впливу на організм. Перша реакція характерна для різкої естрогенної недо­ тат­ о­ с н сті. У мазку тільки базальні клітини і лейкоцити (рис. 26). Друга реакція характерна для помірної естрогенної недостатнос­ ті. У мазку переважають базальні клітини, але є і невелика кількість проміжних клітин і лейкоцитів (рис. 27). Рис. 26. Кольпоцитологічна Рис. 27. Кольпоцитологічна картина анестрогенії картина гіпоестрогенії
  • 111.
    Рис. 28. Кольпоцитологічна Рис. 29. Кольпоцитологічна картина нормоестрогенії картина гіперестрогенії Третя реакція харак­­ на для помірної ак­ ив­ ос­ і естрогенів. тер­ т н т У мазку гру­ и (пласти) проміжних клі­ ин і невелика кількість по­ п т верхневих (рис. 28). Четверта реакція ха­ ак­­ р терна для підвищеної насиченості ест­ ро­ енів в організмі. Перед овуляцією – клітини великі, полігональ­ г ні з блідою слабозафарбованою цитоплазмою і маленьким пікнотич- ним ядром, розміщені окремо і невеликими групами (рис. 29). При оцінці кольпоцитограми підраховують індекси від­ от­ о­ о­ о с к в г вмісту клітин різних шарів серед 100, 200 або 500 всіх клітин мазка: каріо­ ік­ о­ ич­ ий індекс (КПІ), еозино­ іль­ ий (ЕІ), ацидофільний п н т н ф н (АІ), індекс дозрівання (ІД). Остан­ ій виражають формулою числа н парабазальних (проміжних), поверхневих клітин на 100 під­ а­ ованих. р х Зсув вліво відповідає зни­ енню естрогенної на­ и­­ ж с ченості, вправо – підвищенню. Перед овуляцією КПІ дорівнює 60‑85%, АІ – 30-45%. Крім цього, розрізняють мазки типу: проліферативного – пере- важно із клітин поверхневого шару, розміщених невеликими група- ми або окремо з високим КПІ і ЕІ, які свідчать про високий вплив естрогенів; цитологічного – з уривками цитоплазми зруйнованих клі- тин і голими ядрами – свідчить про зниження рівня естрогенів або поєднання естрогено-андрогенних впливів; про­ іж­ о­ о – переважно м н г із проміжних клітин з великими круглими ядрами, розміщених гру- пами і пластами, КПІ – 5-15%, ЕІ – не вище 10% – свідчить про до-
  • 112.
    статній естрогенний вплив;атрофічного – із базальних і частково па- рабазальних клітин – свідчить про важку естрогенну недостатність; андрогенного – із проміжних клітин із великими ядрами і невеликою кількістю ороговівших поверхневих клітин – характерно для менопа- узи; змішаного – із базальних, проміжних і в невеликій кількості по- верхневих – характерно для слабкої естрогенної стимуляції на фоні помірної андрогенної стимуляції гормонами кори наднирників. Ситуаційні завдання до практичної навички Оцінка результатів кольпоцитологічного дослідження та тестів діагностики функціонального стану яєчників №1. В мазку переважають проміжні клітини і зустрічаються пооди- нокі парабазальні клітини. Оцініть тип (реакцію) мазка та якому ста- ну організму вона притаманна? №2. Мазок складається із зроговілих клітин; базальні клітини та лейкоцити відсутні. Оцініть тип (реакцію) мазка та якому стану ор- ганізму вона притаманна? №3. У жінки остання менструація була 3 тижні тому. При огляді шийки матки в дзеркалах симптом зіниці не визначається, в церві- кальному каналі незначна кількість слизу, при дослідженні симпто- му кристалізації слизу елементи «листка папороті» розташовані ра- діально, без чітких країв. КПІ 20%. Якій фазі менструального циклу відповідають дані тестів діагностики? №4. У жінки остання менструація була 3 тижні тому. При огляді шийки матки в дзеркалах визначається виражений симптом зіниці, слиз із шийки матки розтягується до 15см, яскраво виражений симп- том кристалізації слизу (симптом «папороті»). Про який гормональ- ний стан організму говорять представлені дані? №5. В мазку базальні та проміжні клітини з переважанням базаль- них та лейкоцитів. Оцініть тип (реакцію) мазка та якому стану орга- нізму вона притаманна?
  • 113.
    №6. У жінки28 років з безпліддям протягом 2 років визначається монофазний тип кривої базальної температури. При огляді шийки матки в дзеркалах на 20-й день циклу визначається виражений симп- том зіниці, слиз із шийки матки розтягується до 18см, яскраво вира- жений симптом кристалізації слизу. Про переважання яких гормонів яєчника говорять представлені дані? №7. В мазку відмічається повна відсутність клітин зроговілого епіте- лію та клітин проміжного типу. Визначаються тільки базальні (атро- фічні) клітини та лейкоцити. Оцініть тип (реакцію) мазка та якому стану організму вона притаманна? №8. При огляді шийки матки в дзеркалах визначається виражений симптом зіниці, слиз із шийки матки розтягується до 15см, яскраво виражений симптом кристалізації слизу (симптом «папороті»). Якій фазі менструального циклу відповідають дані тестів діагностики? №9. В мазку визначаються уривки цитоплазми зруйнованих клітин і голі ядра. До якого типу належить даний мазок? Про зниження рівня яких гормонів яєчника він свідчить? №10. У жінки 50 років остання менструація була 3 роки тому. При огляді шийки матки в дзеркалах симптом зіниці не визначається, в цервікальному каналі слиз відсутній, симптом кристалізації слизу (-). Про недостатність яких гормонів яєчника говорять представлені дані? №11. У жінки 38 років після екстирпації матки з додатками при огля- ді в дзеркалах визначається витончена слизова піхви, складчастість її слабко виражена, виділення незначні. В мазку базальні та проміж- ні клітини з переважанням базальних та лейкоцитів. Оцініть тип мазка та якому стану організму вона притаманна? №12. У жінки 29 років визначається двофазний тип кривої базаль- ної температури. При огляді шийки матки в дзеркалах на 17-й день циклу визначається незначна кількість слизу в цервікальному кана- лі, слиз із шийки матки розтягується до 5 см, симптом кристалізації слизу (++). Оцініть функціональний стан яєчників?
  • 114.
    №13. Мазок складаєтьсяпереважно із розміщених групами і плас- тами проміжних клітин з великими круглими ядрами, КПІ – 5-15%, ЕІ – не вище 10%. До якого типу належить даний мазок? Про який гормональний стан яєчника він свідчить? №14. В мазку переважають клітини поверхневого шару, розміщені невеликими групами або окремо з високим каріопікнотичним та ео- зинофільним індексами. До якого типу належить даний мазок? Про переважання впливу яких гормонів він свідчить? Ситуаційні завдання до практичної навички Оцінка результатів цитологічного, гістологічного, бактеріологічного досліджень №1. У жінки 55 років із менопаузою 7 років 4 дні спостерігаються мажучі кров’янисті виділення. Гістологія слизової матки – високо- диференційована аденокорцинома, яка виникла з поліпа ендометрія. Куди слід направити жінку для подальшого лікування? Об’єм опера- тивного втручання? №2. При мікроскопії мазка із піхви у жінки 24 років знайдено: лей- коцити  – 10-15 у полі зору, «ключові клітини», переважає кокова флора, лактобацили відсутні, рН піхвових виділень > 4,4. Діагноз? №3. У жінки 39 років, що скаржиться на затримку менструації на 1,5-2 місяці та рясні менструації, проведено вишкрібання слизової матки. Результат гістологічного дослідження зіскрібка: на фоні нор- мальної будови ендометрія знайдено ділянки із залозисто-кістозною гіперплазією. Діагноз? На якому гормональному фоні виникає дана патологія? №4. При гістологічному дослідженні ендометрія знайдено: ендоме- трій потовщений, залозисті крипти звивисті, їх просвіт розширений. Гранули глікогену розміщені в апікальних відділах клітин. Мітоз від- сутній. Строма соковита, пухка, дещо набрякла. Спіральні артерії звивисті. Визначте фазу менструального циклу.
  • 115.
    №5. Жінка 65років скаржиться на свербіж у піхві, при мікроскопіч- ному дослідженні мазка CVU виявлено 40 лейкоцитів у полі зору, кокова флора, епітелій незначний, переважають парабазальні та ба- зальні клітини. Діагноз? Призначте етіотропну терапію. №6. Жінка 30 років звернулась до гінеколога з приводу безпліддя. З анамнезу: турбують міжменструальні кров’янисті виділення. При гістологічному дослідженні знайдено аденоматозний поліп ендоме- трія. На якому гормональному фоні виникає дана патологія? Які гор- мональні препарати слід призначити? №7. У пацієнтки М. 20 років, 7 днів тому з’явились скарги на різі при сечовипусканні, жовто – зелені виділення із піхви. При мікро- скопічному дослідженні мазка із уретри, піхви, цервікального кана- лу виявлено відповідно 100-100-70 лейкоцитів, внутрішньоклітинні грамнегативні диплококи. Діагноз? Чи є необхідність у проведенні специфічної провокації запального процесу? №8. Жінці 32 роки. Її турбують дисфункціональні довготривалі мат- кові кровотечі. З початком менструації проведено вишкрібання сті- нок порожнини матки. При гістологічному дослідженні зіскрібка знайдено просту гіперплазію ендометрія. Діагноз? На якому гормо- нальному фоні виникає дана патологія? №9. Жінка 37 років звернулась до гінеколога з приводу ерозії ший- ки матки. Проведено біопсію і гістологічне дослідження біоптату. Знайдено дисплазію шийки матки. Визначте тактику лікаря. №10. Жінка 65 років скаржиться на свербіж у піхві, при мікроско- пічному дослідженні мазка CVU виявлено 40 лейкоцитів у полі зору, кокова флора, епітелій незначний, переважають парабазальні та ба- зальні клітини. Поставте діагноз. №11. У жінки М. 26 років, яка скаржиться на виділення з піхви, при огля- ді шийки матки виявлено гіперемію цервікального каналу. При імуноф- люоресцентній мікроскопії виявлено Chlamidia trachomatis. Поставте ді- агноз. Якими групами препаратів потрібно лікувати дане захворювання?
  • 116.
    №12. При імуноферментніймікроскопії мазка зішкрібу з цервікаль- ного каналу знайдено Micoplasma hominis. Поставте діагноз. Якими групами препаратів потрібно лікувати дане захворювання? №13. При мікроскопії мазка вагінальних виділень у жінки 26 років виявлено 60 лейкоцитів, дріжджоподібні гриби, мікрофлора незнач­ на. Поставте діагноз. №14. При імуноферментній мікроскопії виділень з цервікального каналу знайдено Ureaplasma urealyticum. Поставте діагноз. №15. При гістологічному дослідженні ендометрія знайдено: ендоме- трій потовщений, залозисті крипти подовжені, звивисті, але не міс- тяь секрету. Строма пухка, дещо набрякла. Визначте фазу менстру- ального циклу. №16. При мікроскопії мазка із піхви у жінки 24 років знайдено: лейко- цити – 10-15 у полі зору, «ключові клітини», переважає кокова флора, лактобацили відсутні, рН піхвових виділень > 4,4. Поставте діагноз. №17. При мікроскопії мазка вагінальних виділень у жінки 20 років виявлено лактобацили, поодинокі лейкоцити та грампозитивні па- лички в помірній кількості, рН піхвових виділень ≤ 4,4. Поставте діагноз. №18. В мазку визначаються поодинокі клітини плоского епітелію, палички Додерлейна у значній кількості, поодинокі лейкоцити, са- профіти, дрібна паличка у невеликій кількості. Якому ступеневі чи- стоти піхви відповідає даний мазок? №19. При гістологічному дослідженні ендометрія знайдено: ткани- на ендометрія набрякла, є лейкоцитарна інфільтрація, крововиливи в строму. Поряд із цим відмічаються зірчасті контури залозистих крипт і клубки спіральних артерій у стромі. Яка фаза менструального циклу? №20. В мазку визначаються лейкоцити та кокова флора у великій кіль- кості, палички Додерлейна відсутні, наявний специфічний збудник (трихомонада). Якому ступеневі чистоти піхви відповідає даний мазок?
  • 117.
    №21. В хворої18 років при бактеріоскопії матеріалу отримано такі результати: лейкоцити у цервікальному каналі – 5, у піхві – 100, ві- зуалізуються Thrichomonas vaginalis, в уретрі – 5-6 лейкоцитів в полі зору. Поставте діагноз. Назвіть один з препаратів етіотропної терапії. №22. Жінка 47 років протягом 20 років хворіє на цукровий діабет І  типу, гіпертонічну хворобу ІІ ступеня, опасистість ІІ-ІІІ ступеня. Проведено 6 міс. тому діагностичне вишкрібання з приводу маткових кровотеч. Гістологія: залозиста гіперплазія ендометрія. 6 міс отримує гормонотерапію. Контрольне діагностичне дослідження через 6 міс. Гістологія ендометрія: залозисто-кістозна гіперплазія. Тактика лікаря? №23. При мікроскопії виділень із цервікального каналу хворої К., 21 року, знайдено поліморфноядерні лейкоцити, внутрішньоклітин- ні грамнегативні диплококи. Поставте діагноз. №24. В мазку визначаються клітини плоского епітелію у значній кількості, палички Додерлейна поодинокі, лейкоцити та кокова фло- ра у значній кількості. Якому ступеневі чистоти піхви відповідає да- ний мазок? №25. В мазку визначаються поодинокі клітини плоского епітелію, палички Додерлейна у значній кількості (чиста культура), інша фло- ра та лейкоцити відсутні. Якому ступеневі чистоти піхви відповідає даний мазок? Ситуаційні завдання до практичної навички Оцінка результатів кольпоскопічного, рентгенологічних досліджень та УЗД жіночих статевих органів №1. У жінки 30 років з двома пологами в анамнезі при кольпоскопії вагінальна частина шийки матки в ІІ і ІІІ зоні вкрита багатошаровим плоским епітелієм, в І зоні визначається ділянка яскраво-рожевого кольору із зернистою поверхнею та сосочковими виростами призма- тичного епітелію. При обробці 3% оцтовою кислотою сосочки зблід- ли та побіліли на декілька секунд; проба Шиллера негативна в І зоні.
  • 118.
    Для якого патологічногостану шийки матки характерна дана коль- поскопічна картина? №2. У жінки 27 років, що тричі народжувала, при кольпоскопії ва- гінальна частина шийки матки вкрита багатошаровим плоским епі- телієм, в І зоні на 12 годин визначається невелика ретенційна кіста (ovula Nabothi), на тлі якої визначаються розширені судини дерево- подібної форми; проба Шиллера позитивна, проба з 3% оцтовою кислотою негативна. Для якого патологічного стану шийки матки ха- рактерна дана кольпоскопічна картина? №3. У жінки на 25-й день циклу виконана кольпоскопія: вагіналь- на частина шийки матки вкрита багатошаровим плоским епітелієм, в ІІ зоні на 1 годину визначається темно-червоного кольору обмеже- не утворення, що дещо підноситься над поверхнею, розмірами з го- рошину, розташоване на тлі незміненого багатошарового епітелію. Із даного утворення спостерігаються незначні менструалоподібні виді- лення. Для якого патологічного стану шийки матки характерна дана кольпоскопічна картина? №4. При кольпоскопії вагінальна частина шийки матки вкрита бага- тошаровим плоским епітелієм, в І зоні на 3 і 6 годин визначаються білі плями з гладеньким дрібнозернистим рельєфом та перламутро- вим блиском, з чіткими межами; після їх знімання ватним тампоном підлегла слизова не змінена із сіткою деревоподібних судин, які реа- гують на оцтову кислоту. Для якого патологічного стану шийки мат- ки характерна дана кольпоскопічна картина? №5. У жінки 32 років при кольпоскопії вагінальна частина шийки мат- ки вкрита багатошаровим плоским епітелієм, проба Шиллера позитив- на, проба з 3% оцтовою кислотою негативна. Оцініть стан шийки матки. №6. При кольпоскопії вагінальна частина шийки матки вкрита бага- тошаровим плоским епітелієм, з цервікального каналу – продовгу- вате рожеве утворення, що вкрите призматичним епітелієм; при об- робці 3% оцтовою кислотою утворення на декілька секунд побіліло, чітко визначилася його зерниста структура. Діагноз?
  • 119.
    №7. У жінки52 років, менопауза 7 років, при кольпоскопії вагіналь- на частина шийки матки вкрита гладким плоским блідо-рожевого ко- льору, через витончений шар якого визначаються дрібні судини у ви- гляді крапкових утворень, що не реагують на оцтову кислоту. Проба Шиллера слабко позитивна. Оцініть стан шийки матки. №8. У жінки 22 років при кольпоскопії вагінальна частина шийки матки вкрита багатошаровим плоским епітелієм, в І зоні виражена гіперемія; значна кількість виділень з цервікального каналу; екто- пія призматичного епітелію із звивистими судинами деревоподіб- ної форми, які під дією оцтової кислоти різко звужуються і протягом декількох секунд не визначаються. В мазку методом ПЛР виявлено хламідії. Діагноз? №9. У жінки 25 років в пологах був розрив шийки матки ІІ ступе- ня. При кольпоскопії вагінальна частина шийки матки вкрита бага- тошаровим плоским епітелієм, в І-ІІ зоні на 2-3 години визначаєть- ся червона пляма з гладеньким рельєфом, з чіткими краями епітелію на фоні незміненої слизової оболонки. Проба Шиллера негативна в ділянці дефекту, проба з 3% оцтовою кислотою негативна. Для яко- го патологічного стану шийки матки характерна дана кольпоскопіч- на картина? №10. Хвора 36 років скаржиться на різкі болі понизу живота, під- вищення температури тіла до 38-38,8°С, загальну слабкість, які з’явилися після переохолодження. В анамнезі 1 пологи, 3 штуч- ні аборти, 1 мимовільний викидень, який ускладнився запаленням додатків. Щорічно лікувала загострення аднекситу. При УЗД: мат- ка звичайних розмірів, зліва від матки виявлено продовгувате утво- рення розмірами 4х9 см (маткова труба?), нерівномірної ехощіль- ності, наповнене рідиною (гній?); праві додатки без особливостей. Ймовірний діагноз? №11. Хвора 38 років, скаржиться на затримку менструацій протягом 6 тижнів, ниючі болі понизу живота. Тест на вагітність позитивний. При огляді матка збільшена до 12 тижнів вагітності, рухома, напру- жена; додатки з обох боків без патології, канал шийки матки закри-
  • 120.
    тий. Дані УЗД:матка розмірами 12,5×10×8 см, порожнина заповнена вмістом «сотової» структури, елементи плідного яйця не визначають- ся, додатки з обох сторін без патологічних змін. Ймовірний діагноз? №12. У жінки 52 років, менопауза 7 років, в анамнезі дисплазія ший- ки матки (нелікована); гінеколога не відвідувала 5 років. При коль- поскопії вагінальної частини шийки матки в І-ІІ зонах визначаєть- ся неструктурована тканина зі скловидним бульозним відтінком, з ознаками некрозу, крововиливів, виразок; атипові судинні розрос- тання. Уражені ділянки легко кровоточать при дотику. Діагноз? №13. У хворої 54 років, при черговому профілактичному огляді 2 тижні тому виявлена пухлина лівого яєчника рухома, безболісна, з гладкою поверхнею, нерівномірної консистенції. Дані УЗД: матка без особливостей, правий яєчник не визначається, лівий яєчник пред- ставлений рідинним двокамерним утворенням розмірами 9×8×6 см з ехонегативними включеннями. Ймовірний діагноз? №14. Макроскопічно шийка матки не змінена. При кольпоскопії: на тлі багатошарового сквамозного епітелію визначаються білі поліго- нальні ділянки та червоні межі між ними, які не змінюються під дією оцтової кислоти. Проба Шиллера негативна: ділянки ураження не зафарбовуються, при роташуванні на тлі багатошарового сквамоз- ного епітелію виглядають як біло-рожеві бляшки на темно-коричне- вому фоні. Для якого патологічного стану шийки матки характерна дана кольпоскопічна картина? №15. Хвора 46 років, скаржиться на часті сечовипускання, значні кровотечі під час менструацій протягом останніх півроку. У гінеко- лога не оглядалася 4 роки. Дані УЗД, виконаного після менструації: матка розмірами 16×8×10 см, в ділянці дна інтрамурально визнача- ється округле утворення розмірами 6×5 см, що деформує порожнину матки; товщина ендометрію 14мм; додатки з обох боків без особли- востей. Ймовірний діагноз? №16. Хвора 31 року, скаржиться на затримку менструації протягом 2 тижнів; вранці з’явилися переймоподібні болі в лівій здухвинній
  • 121.
    ділянці, незначні мажучівиділення зі статевих шляхів. Тест на ва- гітність позитивний. Дані УЗД: матка звичайних розмірів, товщина ендометрія 14 мм, зліва біля матки визначається продовгувате утво- рення розмірами 5×9 см, що нагадує плідне яйце; праві додатки без особливостей, на лівому яєчнику визначається рідинне ехонегативне утворення 2×2 см з гомогенним вмістом. Ймовірний діагноз? Ситуаційні завдання до практичної навички Лікування і профілактика при різних видах гінекологічної патології №1. Жінка 40 років, протягом 6 місяців менструації нерегулярні, тривалі. При огляді матка щільна, збільшена до 14 тижнів вагітнос- ті, обмежено рухома, поверхня горбиста. Придатки з обох сторін не збільшені. Остання менструація  – тиждень тому, у строк. Діагноз? Визначити лікувальну тактику в даній клінічній ситуації. №2. Жінка 42 років, скаржиться на загальну слабкість, болі вни- зу живота, нерегулярні тривалі менструації протягом одного року. Піхва та шийка матки не змінені. Матка щільна, збільшена до 8 тиж- нів вагітності, безболісна, поверхня її горбиста. Остання менструа- ція тиждень тому, у строк. Діагноз? Визначити лікувальну тактику в даній клінічній ситуації. №3. Жінка 70 років, скаржиться на мажучі кров’яні виділення зі ста- тевих органів на фоні 15-річної менопаузи. Вагінально: шийка мат- ки не змінена, матка нормальних розмірів, придатки – без патології. Визначити діагностичну тактику в даній клінічній ситуації. №4. Жінка К., 30 років, скаржиться на відсутність менструації піс- ля пологів протягом двох років, втрату маси тіла, випадіння волос- ся. Пологи ускладнилися масивною кровотечею. Хвора астенічна, зовнішні статеві органи гіпопластичні, шийка матки циліндричної форми, тіло матки маленьке, безболісне. Визначити гінекологічну патологію, яка виникла.
  • 122.
    №5. Жінка скаржитьсяна мажучі темні кров’яні виділення з піхви напередодні та після менструації. При огляді на шийці матки дріб- нокістозні утворення синього кольору. З окремих утворень відхо- дять темно-кров’янисті виділення. Матка та придатки не збільшені. Визначити гінекологічну патологію. №6. Жінка Т., 2 тижні тому перехворіла краснухою в тяжкій формі. При обстеженні матка збільшена до 8 тиж. вагітності, придатки мат- ки без особливостей. Визначити подальшу лікарську тактику. №7. Вагітна звернулася до жіночої консультації в терміні 10 тижнів вагітності з діагнозом – цукровий діабет. В анамнезі: хворіє на діа- бет 10 років, протягом двох останніх років розвинулася ретинопатія ІІ ступеня. Визначити лікарську тактику. №8. У породіллі Н. на 4-ту добу після пологів у ділянці швів на про- межині виявлено набряк, гіперемію, гнійні нашарування. Визначити тактику лікаря. №9. Породілля К. на 5-ту добу післяпологового періоду скаржить- ся на підвищення t тіла до 37,8 С, болі по низу живота. Об’єктивно: матка на 2 см нижче пупка, болюча при пальпації, м’якої консистен- ції, лохії кров’янисті, з неприємним запахом. Діагноз? Визначити лі- кувальну тактику. №10. Жінка звернулася до жіночої консультації в терміні 9 тижнів ва- гітності. В анамнезі: хворіє на пієлонефрит єдиної нирки. Визначити лікарську тактику. №11. При огляді в дзеркалах вагітної А. в терміні 15 тижнів виявле- но: шийка матки циліндричної форми, зовнішнє вічко зіяє. За даними УЗД діаметр внутрішнього вічка 25 мм, плід розташований низько. Діагноз? Визначити лікувальну тактику в даній акушерській ситуації. №12. Вагітна В. у терміні 29 тижнів вагітності поступила в полого- вий будинок із скаргами на переймоподібні болі внизу живота, мат- ка в тонусі. Навколоплідні води не відходили. При піхвовому обсте- женні шийка матки до 2 см, зовнішнє вічко пропускає кінчик пальця. Визначити лікувальну тактику в даній акушерській ситуації.
  • 123.
    №13. Роділля С.поступила в пологовий будинок з активною поло- говою діяльністю та розкриттям шийки матки на 6 см. Голівка плода малим сегментом у площині входу в малий таз. Через 2 години пе- рейми стали рідші та коротші, при огляді – відкриття шийки матки – 6 см. Визначити акушерську патологію, яка виникла. №14. У роділлі Д. протягом 6 годин тривають регулярні болючі пе- рейми по 30-35с через 2 хв. Матка в гіпертонусі. При піхвовому об- стеженні – відкриття шийки матки 4 см, відмічається дистоція ший- ки матки. Визначити акушерську патологію, яка виникла. №15. При УЗД вагітної К., з групою крові А (ІІ) Rh (негат.) у терміні 35 тижнів виявлено подвійний контур навколо голівки та тулуба пло- да, гепатомегалія, плацента набрякла, товщина її 58 мм. Визначити акушерську патологію, яка виникла. №16. При огляді вагітної А. виявлено, що в дні матки більше зліва пальпується округла щільна частина плода. Серцебиття плода чітко прослуховується вище пупка зліва. Визначити передлежання, пози- цію плода, яке виникло в даній акушерській ситуації. №17. При огляді роділлі діагностовано раннє вилиття навколоплід- них вод, пологова діяльність активна. Положення плода попере- чне, І позиція. При піхвовому обстеженні діагностовано відкриття шийки матки 8 см, випадіння ручки плода, плід у матці нерухомий. Серцебиття плода відсутнє. Визначити акушерську тактику. №18. У роділлі в І періоді пологів самостійно відійшли навколоплід- ні води – біля 100 мл, зеленого кольору. Серцебиття плода 90 уд/хв, приглушене. Роділля відчуває рідкі рухи плода. Діагноз? Визначити тактику лікаря. №19. Пологова діяльність слабка, голівка плода знаходиться в пло- щині вузької частини порожнини малого таза. Серцебиття плода 90- 100 уд/хв. Діагноз? Визначити тактику лікаря. №20. Жінка К., 25 років, скаржиться на неплідність протягом 5 ро- ків. В анамнезі штучний аборт. При лабораторному обстеженні вияв-
  • 124.
    лено гіперпролактинемію. Якідодаткові обстеження необхідно про- вести. Який препарат блокує виділення пролактину? №21. Хвора Л., 50 років скаржиться на ниючий біль внизу живота, порушення циклу, затруднення сечовиділення. Об’єктивно: у ділян- ці лівого яєчника визначається кулясте, щільне утворення розмірами 8х10 см. Діагноз? Визначити тактику лікаря. №22. У жінки через 3 дні після випадкового статевого контакту виник- нув ниючий біль внизу живота, підвищення t тіла. Визначаються збіль- шені, болючі придатки матки з обох боків. Діагноз? Які дослідження необхідно виконати? Основні напрями лікування даної патології. Алгоритм виконання практичної навички Зондування матки Мета: вивчити прохідність каналу шийки матки, довжину та конфігурацію матки, наявність у ній пухлин. Зондування викону- ється не тільки з діагностичною метою, але й перед деякими опера- ціями (вишкрібанням слизової оболонки матки, ампутацією шийки матки, виконанням штучного аборту та ін.). Умови: перед зондуванням обов’язково проводиться досліджен­ ня виділень з уретри, цервікального каналу та заднього склепіння ва- гіни на гонокок та ступінь чистоти, а також бімануальне обстеження для уточнення положення матки. Обладнання: гінекологічне крісло, піхвові дзеркала, матковий зонд, кульові щипці, корнцанг, стерильні ватні кульки, стерильні ру- кавички, чиста пелюшка, дезинфікуючий розчин. Техніка виконання 1. Запропонувати жінці лягти на гінекологічне крісло на чисту пелюшку. 2. Обробити зовнішні статеві органи і внутрішню поверхню стегон йодонатом. 3. Увести гінекологічні дзеркала. 4. Вагіну та шийку матки обробити розчином йодонату. 5. Фіксувати шийку мат­­ за передню губу ку­ ьо­ ими щипцями ки л в (рис. 30).
  • 125.
    Рис. 30. Шийкаматки фіксована кульовими щипцями за передню губу Рис. 31. Уведення маткового зонда в порожнину матки 6. Випрямити цер­ і­ а­ ь­­­­ в к л ний канал за до­ о­ огою кульових щип­­ п м ців шляхом під­ я­ у­ ан­ я шийки до­ а­ у (при антефлексії матки) або т г в н з д допереду (при ретрофлексії). 7. Увести матковий зонд великим, вказівним та середнім пальцями пра­ ої руки в порожнину матки в напрямі до її дна (рис. 31). в 8. Вказівний палець правої руки по зонду ввести в піхву до зовніш- нього вічка цервікального каналу. 9. Не віднімаючи вказівний палець із зонда, вийняти останній із по- рожнини матки і піхви, оцінити результат виміру.
  • 126.
    10. няти кульовіщипці з шийки матки або продовжити наступне З дослідження (розширення цервікального каналу, вишкрібання слизової порожнини матки та ін.). 11. Обробити шийку матки та піхву розчином йодонату. Оцінка результатів дослідження. Зондування матки прово- диться спеціальним зондом, який ви­­ тов­ е­ ий із латуні і покритий го­ л н нікелем: це стержень довжиною 20-30 см, товщиною 1-5 мм (№1-5), має рукоятку та гудзикоподібне заок­ углення на кінці. На стержні р нанесені поділки в сантиметрах. Відрізок 7 см, що відповідає нор- мальній довжині порожнини матки, позначений невеликим потов- щенням біля цифри 7. Товщина зонда підбирається залежно від про- хідності шийкового каналу. Деякі перешкоди в ділянці внутрішнього вічка шийкового ка- налу можуть траплятись за наявності на шляху поліпа, рубцьового процесу. У порожнині матки зонд просувається легко. У дні матки він зустрічає перешкоди. Щоб запобігти перфорації матки, ні в яко- му разі не можна застосовувати силу, а слід обережно маніпулювати зондом і, по можливості, обминати перешкоди. Алгоритм виконання практичної навички Пункція черевної порожнини через заднє склепіння Пункція застосовується з метою встановлення характеру ріди- ни, що накопичилась у порожнині малого таза (кров, гній, ексудат). Рідина у зв’язку з тяжінням збирається в просторі позаду матки (ки- шеня Дугласа). Нижче від шийки матки в ділянці задньої частини склепіння піхви між крижово-матковими зв’язками, що розходять- ся, очеревина дуже близько підходить до стінок піхви. Саме в цьому місці і роблять пункцію. Обладнання: гінекологічне крісло, піх­ о­ і дзеркала, матковий в в зонд, кульові щипці, корн­ анг, шприц із довгою товстою пункцій- ц ною гол­ ою, пробірка, стерильні ватні кульки, стерильні ру­­ к кавички, чиста пелюшка, дезинфікуючий роз­ ин (рис. 32). ч
  • 127.
    Рис. 32. Набірінструментарію для пункції черевної порожнини через заднє склепіння Техніка виконання 1. Запропонувати спорожнити сечовий міхур. 2. Запропонувати жінці лягти на гінекологічне крісло. 3. Обробити зовнішні статеві органи і внутрішню по­­ х­ ю сте- вер­ н гон йодонатом. 4. Увести гінекологічні дзер­ а­ а. к л 5. Вагіну та шийку матки обробити розчином йодонату. 6. Фіксувати шийку матки за задню губу кульовими щипцями та підтягнути її до лона. 7. «Підйомник» вилучити з піхви та покласти на столик з інструментами. 8. На 1см нижче перехідної складки слизової піхви, пер­ ен­ ику­ п д лярно поверхні, увести довгу голку (діаметр її не більше 2 мм) на глибину 1,0-1,5 см. 9. Гній чи ексудат краще відсмоктати за допомогою шприца, який з’єднується з голкою (рис. 33, 34). 10. Зібрати пунктат у про­ ір­ у, виштовхнувши його із шприца. б к 11. У випадку наявності гнійного вмісту – увести антибіотик. 12. Вийняти голку. 12. Зняти кульові щипці з шийки матки.
  • 128.
    Рис. 33. Пункціячеревної порожнини через заднє склепіння (схема) Рис. 34. Пункція черевної порожнини через заднє склепіння 13. Обробити шийку матки та піхву розчином йодонату. 14. Оформити направлення, де вказати прізвище, ім’я та по бать­ о­­ к ві жінки, відділення, дату, попе­ едній діагноз, прізвище ліка­ я. р р 15. Відправити пунктат з направленням до лабораторії. Оцінка результатів дослідження. Коли голка потрапляє в су- дину чи матку (при різкому підтяганні її на себе) – кров легко згор- тається. Відсутність крові не виключає повністю кровотечі, оскіль- ки спайки в малому тазі можуть впливати на розподіл крові. У разі отримання темної крові, що не утворює згустків, констатують пере- рвану позаматкову вагітність; серозно-геморагічної рідини – розрив кісти яєчника, гною – розрив піосальпінксу або пельвіоперитоніт.
  • 129.
    Відповіді на ситуаційнізавдання до практичної навички «Визначення стану новонародженого за шкалою Апгар» 1. Оцінка за шкалою Апгар 3 бали (1-0-1-0-1). 2. Оцінка за шкалою Апгар 5 балів (2-1-1-0-1). 3. Оцінка за шкалою Апгар 4 бали (1-1-0-1-1). 4. Оцінка за шкалою Апгар 3 бали (1-1-0-1-0). 5. Оцінка за шкалою Апгар 9 балів (2-2-1-2-2). 6. Оцінка за шкалою Апгар 9 балів (2-2-2-1-2). 7. Оцінка за шкалою Апгар 7 балів (2-1-1-2-1). 8. Оцінка за шкалою Апгар 5 балів (0-2-1-1-1). 9. Оцінка за шкалою Апгар 5 балів (1-1-1-1-1). 10. Оцінка за шкалою Апгар 4 бали (2-1-0-0-1). 11. Оцінка за шкалою Апгар 8 балів (2-1-2-2-1). 12. Оцінка за шкалою Апгар 3 бали (1-1-0-0-1). Відповіді на ситуаційні завдання до практичної навички «Діагностичні критерії вузького тазу» №1. Простий плоский таз, І ст. звуження. №2. Простий плоский таз, ІІ ст. звуження. №3. Плоскорахітичний таз, ІІ ст. звуження. №4. Загальнорівномірнозвужений таз, І ст. звуження. №5. Загальнорівномірнозвужений таз. №6. Спондилолістетичний, ІІІ ст. звуження. №7. Остеомаляційний таз. №8. Косозміщений таз. №9. Поперечнозвужений таз. №10. Простий плоский таз. №11. Клінічно вузький таз. №12. Нормальні розміри тазу. №13. Клінічно вузький таз. Провести кесарів розтин. №14. Плоскорахітичний таз.
  • 130.
    Відповіді на ситуаційнізавдання до практичної навички «Інтерпретація результатів досліджень стану фетоплацентарного комплексу» 1. Нормальний кровоплин. 2. Варіант патологічного кровоплину, а саме сповільнений. 3. Патологічний кровоплин. Варіант термінального кровоплину (свідчить про високу вірогідність антенатальної загибелі плода), а саме нульовий. 4. Патологічний кровоплин. Варіант термінального кровоплину (свідчить про високу вірогідність антенатальної загибелі плода), а саме негативний (реверсний, зворотний). 5. 8 балів (2, 2, 2, 1, 1) – задовільний стан плода. 6. 7 балів (1, 1, 1, 2, 2) – задовільний стан плода. 7. 3 бали (0, 0, 1, 0, 2) – патологічна оцінка БПП (вирішити питання про термінове розродження). 8. 8 балів (2, 1, 2, 2, 1) – задовільний стан плода. 9. 5 балів (0, 0, 1, 2, 2) – сумнівний тест (повторити через 2-3 дні). 10. бали (1, 1, 0, 1, 0) – патологічна оцінка БПП (вирішити питання 3 про термінове розродження). Відповіді на ситуаційні завдання до практичної навички «Оцінка результатів кольпоцитологічного дослідження та тестів діагностики функціонального стану яєчників» №1. Третій тип (реакція) мазка; характеризує незначну недостат- ність естрогенів в організмі. №2. Четвертий тип (реакція) мазка; характеризує нормальну насиче- ність організму естрогенами. №3. ІІ фаза. №4. Гіперестрогенія, притаманна персистенції фолікула. №5. Другий тип (реакція) мазка; характеризує помірну недостат- ність естрогенів в організмі. №6. Естрогенів.
  • 131.
    №7. Перший тип(реакція) мазка; характеризує різку недостатність естрогенів в організмі. №8. Овуляція. №9. Цитолітичний. Естрогенів. №10. Недостатність естрогенів. №11. Атрофічний. Виражена естрогенна недостатність. №12. Стан відповідає нормі. №13. Проміжного. Нормоестрогенія. №14. Проліферативний. Естрогенів. Відповіді на ситуаційні завдання до практичної навички «Оцінка результатів цитологічного, гістологічного, бактеріологічного досліджень» №1. В онкодиспансер. Екстирпація матки з додатками. №2. Бактеріальний вагіноз. №3. Залозисто-кістозна гіперплазія ендометрія. Гіпер-естрогенія. №4. Фаза секреції. №5. Синільний кольпіт. Антибактеріальні мазі. Естрогенові глобу- ли у піхву. №6. Гіперестрогенія. Гестагени. №7. Гостре запалення гонорейної етіології. У проведенні специфіч- ної провокації немає необхідності. №8. Проста гіперплазія ендометрія. Гіперестрогенія. №9. Конізація шийки матки. №10. Синільний кольпіт. №11. Хламідійний цервіцит. Макроліди, фторхінолони, препарати тетрациклінового ряду. №12. Мікоплазменний цервіцит. Макроліди, фторхінолони, препа- рати тетрациклінового ряду. №13. Кандидозний кольпіт. №14. Уреаплазменний цервіцит. №15 Фаза проліферації. №16. Бактеріальний вагіноз. №17. Мазок відповідає нормі.
  • 132.
    №18. ІІ ступіньчистоти піхви. №19. Десквамація. Менструація. №20. ІV ступінь чистоти піхви. №21. Трихомонадний кольпіт. Метронідазол. №22. Оперативне лікування у зв’язку з резистентністю до гормоно- терапії. №23. Гонорейний цервіцит. №24. ІІІ ступінь чистоти піхви. №25. І ступінь чистоти піхви. Відповіді на ситуаційні завдання до практичної навички «Оцінка результатів кольпоскопічного, рентгенологічних досліджень та УЗД жіночих статевих органів» №1. Ектопія призматичного епітелію. №2. Доброякісна закінчена зона трансформації. №3. Ендометріоз. №4. Проста лейкоплакія. №5. Кольпоскопічна картина відповідає нормі. №6. Залозистий поліп. №7. Кольпоскопічна картина відповідає нормі в менопаузі. №8. Екзоцервіцит хламідійної етіології. №9. Істинна ерозія. №10. Лівобічний піосальпінкс. №11. Міхуровий занесок. №12. Рак шийки матки. №13. Кістома лівого яєчника. №14. Дисплазія багатошарового сквамозного епітелію. №15. Симптомна вузлова міома тіла матки (інтрамуральний вузол). №16. Лівобічна трубна вагітність. Кіста жовтого тіла зліва.
  • 133.
    Відповіді на ситуаційнізавдання до практичної навички «Лікування і профілактика при різних видах гінекологічної патології» №1. Міома тіла матки великих розмірів. Оперативне лікування. №2. Симптомна міома тіла матки. Діагностичне вишкрібання стінок порожнини матки. №3. Діагностичне вишкрібання стінок порожнини матки. №4. Гіпофізарна аменорея (синдром Шихана). №5. Ендометріоз шийки матки. №6. Переривання вагітності до 12 тижнів. №7. Перервати вагітність до 12 тижнів. №8. Післяпологова виразка. Місцева протизапальна терапія. №9. Післяпологовий метроендометрит. Комплексна протизапальна терапія. №10 Перервати вагітність до 12 тижнів. №11. Накладання циркулярного шва на шийку матки при істміко- цервікальній недостатності. №12. Призначення токолітичної терапії. №13. Вторинна зупинка відкриття шийки матки. №14. Вторинна дискоординована пологова діяльність. №15. Гемолітична хвороба плоду. №16. Сідничне передлежання плода, І позиція. №17. Інтранатальна загибель плода. Виконання плодоруйнівної операції №18. Дистрес плода. Родорозрішення шляхом кесаревого розтину. №19. Дистрес плода. Накладання акушерських щипців. №20. У хворої діагностовано гіперпролактинемію. Необхідне дооб- стеження – рентген черепа і турецького сідла, визначення полів зору. Блокує виділення пролактину – парлодел (бромкриптин). №21. Кістома лівого яєчника. Оперативне лікування. №22. Гостре двобічне запалення додатків матки. Мазок CVU, висів на флору та гонокок, обстеження на ІПСШ, УЗД органів малого тазу. Антибактеріальна терапія з урахування виду збудника, імунокорекція, інфузійна терапія, протизапальні засоби, десенсибілізуюча терапія.
  • 134.
    Список використаної літератури 1. Василевская Л.Н. Предраковые заболевания и начальные формы рака шейки матки. / Л.Н. Василевская, М.К. Винокур, Н.И. Никитина. – М.: Медицина, 1987. – 437 с. : ил. 2. Гінекологія: Підручник / В.С. Артамонов, Д.Е. Барковський, Б.М.  Венцьковський [та інш.]; ред. В. І. Грищенко.  – Харків: Основа, 2003. – 728 с. : іл.; табл. 3. Запорожан В.М. Акушерство і гінекологія: Підручник: у 2 кн-гах. Книга ІІ: Гінекологія / В.М. Запорожан. – К. : Здоров’я, 2000. – 412 с. : іл.; табл. 4. Прилепская В.Н. Кольпоскопия. / В.Н. Прилепская С.И. Роговский, Е.А. Межевитинова. – М., 2001. – 143 с. : ил. 5. Хміль С.В. Гінекологія: Підручник / С.В. Хміль, З.М. Кучма, Л.І. Ро­ манчук. – Тернопіль, Підручники і посібники, 1999. – 528 с. : іл.; табл. 6. Дисфункційні маткові кровотечі у жінок репродуктивного та пери- менопаузального віку : Наказ №582 МОЗ України «Про затверджен- ня клінічних протоколів з акушерської та гінекологічної допомоги» [Чинний від 2003-12-15]. – Київ, 2003. – 171 с. (накази МОЗ України). 7. Гіпертензивні розлади під час вагітності : Наказ №676 МОЗ України «Про затвердження клінічних протоколів з акушерської та гінекологічної допомоги» [Чинний від 2004-12-31].  – Київ, 2004. – 166 с. (накази МОЗ України). 8. Аномалії пологової діяльності : Наказ №676 МОЗ України «Про затвердження клінічних протоколів з акушерської та гінекологіч- ної допомоги» [Чинний від 2004-12-31]. – Київ, 2004. – 166 с. (на- кази МОЗ України). 9. Акушерські кровотечі : Наказ №676 МОЗ України «Про затверджен- ня клінічних протоколів з акушерської та гінекологічної допомоги» [Чинний від 2004-12-31]. – Київ, 2004. – 166 с. (накази МОЗ України). 10. ервинна реанімація новонароджених: Наказ №312 МОЗ України П «Про затвердження клінічного Протоколу з первинної реанімації та післяреанімаційної допомоги новонародженим».[ Чинний від 2007-06-08]. – Київ, 2007. – 26 с. (накази МОЗ України). 11. Нормальні пологи: Наказ №624 МОЗ України [Чинний від 2004- 12-31]. – Київ, 2004. – 166 с. (накази МОЗ України)
  • 135.
  • 136.
    Навчальне видання Кравченко ОленаВікторівна, Ясніковська Світлана Михайлівна, Юр’єва Ліля Миколаївна, Дикусаров Володимир Володимирович АЛГОРИТМИ ВИКОНАННЯ ПРАКТИЧНИХ НАВИЧОК З ТИПОВИМИ СИТУАЦІЙНИМИ ЗАВДАННЯМИ ДЛЯ КІНЦЕВОГО КОНТРОЛЮ ЗНАНЬ З МОДУЛЯ 4 «АКУШЕРСТВО І ГІНЕКОЛОГІЯ» (навчальний посібник) Редактор Соломатіна Н.Р. Худ. оформлення Воронцов О.Ю. Технічний редактор Глуханю О.Д. Комп’ютерна верстка Воронцов О.Ю. Керівник видавничого проекту Юр’єва Л.М. Підписано до друку __.__.2011. Формат 60х84/16. Папір офсетний. Гарнітура Times New Roman. Друк офсетний. Обл.-вид. арк. ___. Ум.-друк. арк. ___. Тираж ___ пр. Зам. №20-2011. Віддруковано СПД Лівак У.М. Реєстр № ІФ-28. 58018, м. Чернівці, вул. Головна 246/302. Тел.: 543474 Видавництво БДМУ Свідоцтво державного реєстру Серія ДК, №2610 від 12.09.2006 р.