ADRENERGIC DRUGS /
SYMPATHOMIMETIC DRUGS
Lecture by- Priyanka Bindlish
GGSCOP,Yamunanagar
According to structue –
1. Compounds with 3,4 dihydroxyphenyl nucleus or catechol nucleus – eg dopamine,
Norepinephrine, epinephrine, Isoprenaline
2. Compounds those lack hydroxy groups on phenyl ring – eg. Amphetamine
Ephedrine
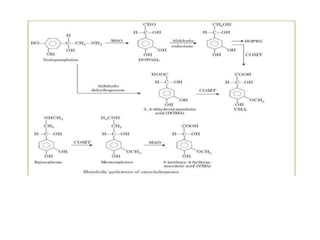
Biosynthesis of catecholamines
Site of biosynthesis of catecholamines - adrenal medulla, adrenergic and dopaminergic
neurons,
1. Biosynthesis
2. Storage
3. Release
4. Termination of action
5. Metabolism – 2 enzymes involved – MAO (monoamine oxidase) – deamination
COMT (catechol O- methyltransferase)
TERMS
Mydriatic – dilation of eye pupil
Miotic – constriction of eye pupil
Ionotropic – force of contraction of heart
Chronotropic-rate of contraction of heart
“Fight or
flight”
Sympathetic
Parasympath
etic
“Rest and
Digest”
The sympathetic system prepares the body to meet
emergency demands and is primarily involved with
processes that expend energy. During physical or
emotional stress, the sympathetic division dominates
the parasympathetic system, initiating a series of
activities known as the fight-or-flight response.
In addition, there is activation of the adrenal medulla,
causing secretion of norepinephrine and epinephrine as
hormones to greatly heighten the response.
Effects Of Sympathetic Nervous System
Increase blood supply to cardiac muscle (dilate the coronary
artery)
Raised peripheral resistance and blood pressure by
constricting the small artery the skin. In this way increase
blood supply is available for highly active tissue, such as
skeletal muscle, heart and brain.
Constrict the blood vessel in secretory glands of digestive
system
Accelerates blood coagulation because of
vasoconstriction.
Increasing heart beat
Cardiovascular System
Respiratory system
Causes smooth muscle relaxation and therefore
dilatation of the airways, especially bronchioles.
Allowing a greater amount of air to enter the lungs
at each inspiration, and increase the respiratory
rate.
Deal with ’fight and flight’ situation.
Digestive and urinary system
Liver increase conversion of glycogen to glucose-
glycogenolysis
Stomach and small intestine; smooth muscle
contraction (peristalsis) and secretion of digestive
juices are inhibited, delaying digestion.
Adrenal gland; stimulated to secrete adrenaline and
noradrenaline which potentiate and sustain the effect of
sympathetic stimulation
Urethral and anal sphincter; muscle tone increase,
inhibit micturition and defecation.
Bladder walls relaxes
Metabolic rate increase
Eye
Dilating the pupil
Opening the eyes open wide and giving the
appearance of alertness and excitement
Reduces intraocular pressure so used in treatment
of open angle glucoma
Skin
Increase sweat secretion, leading to increased heat
loss from the body
Constrict the peripheral blood vessel increasing
blood supply available to active organs, e.g heart and
skeletal muscle.
Alpha
noradrenaline>adrenaline>isoprenaline
beta: isoprenaline> adrenaline>
noradrenaline
Classifications of adrenergics receptor agonist

Adrenergic drugs part 1

  • 1.
    ADRENERGIC DRUGS / SYMPATHOMIMETICDRUGS Lecture by- Priyanka Bindlish GGSCOP,Yamunanagar
  • 4.
    According to structue– 1. Compounds with 3,4 dihydroxyphenyl nucleus or catechol nucleus – eg dopamine, Norepinephrine, epinephrine, Isoprenaline 2. Compounds those lack hydroxy groups on phenyl ring – eg. Amphetamine Ephedrine
  • 5.
  • 6.
    Site of biosynthesisof catecholamines - adrenal medulla, adrenergic and dopaminergic neurons, 1. Biosynthesis 2. Storage 3. Release 4. Termination of action 5. Metabolism – 2 enzymes involved – MAO (monoamine oxidase) – deamination COMT (catechol O- methyltransferase)
  • 11.
    TERMS Mydriatic – dilationof eye pupil Miotic – constriction of eye pupil Ionotropic – force of contraction of heart Chronotropic-rate of contraction of heart
  • 12.
  • 13.
    The sympathetic systemprepares the body to meet emergency demands and is primarily involved with processes that expend energy. During physical or emotional stress, the sympathetic division dominates the parasympathetic system, initiating a series of activities known as the fight-or-flight response. In addition, there is activation of the adrenal medulla, causing secretion of norepinephrine and epinephrine as hormones to greatly heighten the response. Effects Of Sympathetic Nervous System
  • 14.
    Increase blood supplyto cardiac muscle (dilate the coronary artery) Raised peripheral resistance and blood pressure by constricting the small artery the skin. In this way increase blood supply is available for highly active tissue, such as skeletal muscle, heart and brain. Constrict the blood vessel in secretory glands of digestive system Accelerates blood coagulation because of vasoconstriction. Increasing heart beat Cardiovascular System
  • 15.
    Respiratory system Causes smoothmuscle relaxation and therefore dilatation of the airways, especially bronchioles. Allowing a greater amount of air to enter the lungs at each inspiration, and increase the respiratory rate. Deal with ’fight and flight’ situation.
  • 16.
    Digestive and urinarysystem Liver increase conversion of glycogen to glucose- glycogenolysis Stomach and small intestine; smooth muscle contraction (peristalsis) and secretion of digestive juices are inhibited, delaying digestion. Adrenal gland; stimulated to secrete adrenaline and noradrenaline which potentiate and sustain the effect of sympathetic stimulation Urethral and anal sphincter; muscle tone increase, inhibit micturition and defecation. Bladder walls relaxes Metabolic rate increase
  • 17.
    Eye Dilating the pupil Openingthe eyes open wide and giving the appearance of alertness and excitement Reduces intraocular pressure so used in treatment of open angle glucoma Skin Increase sweat secretion, leading to increased heat loss from the body Constrict the peripheral blood vessel increasing blood supply available to active organs, e.g heart and skeletal muscle.
  • 19.
  • 24.