International INTERNATIONAL Journal of Mechanical JOURNAL Engineering OF and MECHANICAL Technology (IJMET), ISSN ENGINEERING 
0976 – 6340(Print), 
ISSN 0976 – 6359(Online), Volume 5, Issue 7, July (2014), pp. 113-124 © IAEME 
AND TECHNOLOGY (IJMET) 
ISSN 0976 – 6340 (Print) 
ISSN 0976 – 6359 (Online) 
Volume 5, Issue 7, July (2014), pp. 113-124 
© IAEME: www.iaeme.com/IJMET.asp 
Journal Impact Factor (2014): 7.5377 (Calculated by GISI) 
www.jifactor.com 
113 
 
IJMET 
© I A E M E 
OPTIMIZATION OF ELECTRODE WEAR RATE ON ELECTRICAL 
DISCHARGE MACHINING AISI 304 SS WITH MULTI HOLE ELECTRODE 
Dr. Maan Aabid Tawfiq, Saad Hameed Najem 
Department of Production Eng. and Metallurgy, University of Technology, Baghdad, Iraq 
ABSTRACT 
AISI 304 stainless steel have a wide range of applications in the industrial field. The need for 
machining AISI 304 SS has not been eliminated fully. The electrode wear rate (EWR) is an 
important aspect during electrical discharge machining (EDM). In this investigation an attempt has 
been made to assess the factors influencing electrode wear rate on the machining of AISI 304 SS. 
Design of experiments (full factorial design) concept has been used for experimentation. The 
machining experiments were conducted on a die sinking EDM machine using two levels of factors. 
The factors considered were electrode shape, pulse current, pulse on time and pulse off time. A 
procedure has been developed to assess and optimize the chosen factors to attain minimum electrode 
wear rate by incorporating: (i) response table and response graph; (ii) normal probability plot; (iii) 
interaction graphs; (iv) analysis of variance (ANOVA) technique. The results indicated that 
electrode shape is a factor, which has greater influence on EWR, followed by pulse off time. Also the 
determined optimal conditions really reduce the EWR on the machining of AISI 304 SS within the 
ranges of parameters studied. 
Keywords: EDM; AISI 304 SS; EWR; Response Table; Response Graph; ANOVA; Normal 
Probability Plot. 
1. INTRODUCTION 
In today’s manufacturing scenario, electrical discharge machining (EDM) contributes a prime 
share in the manufacture of complex- shaped dies, molds, and critical parts used in automobile, 
aerospace, and surgical components with high precision [1]. The material is removed from the work 
piece by the thermal erosion process, i.e., by a series of recurring electrical discharges between a 
cutting tool acting as an electrode and a conductive workpiece in the presence of a dielectric fluid 
[2]. The performance of EDM is usually evaluated by the output parameters namely material 
removal rate (MRR), electrode wear rate (EWR), wear ratio (WR), machined surface roughness, etc.
International Journal of Mechanical Engineering and Technology (IJMET), ISSN 0976 – 6340(Print), 
ISSN 0976 – 6359(Online), Volume 5, Issue 7, July (2014), pp. 113-124 © IAEME 
[3-5]. It is always desirable to obtain higher MRR with lower EWR, WR, and Ra .With the electrical 
sparks, more material is removed from the work material because of its positive polarity [6]. 
However, Due to high temperature of the sparks not only work material is melted and vaporised but 
the electrode material is also melted and vaporised which is expressed by EWR [7].Electrode Wear is 
an important factor because it affects dimensional accuracy and the shape produced [8]. The selected 
AISI 304 stainless steel material for the present investigation is having a wide range of applications 
in the industrial field: Chemical, Pharmaceutical, Cryogenic, Food, Dairy, Paper industries etc. [9]. 
114 
 
This experimental scheme is almost similar to the L16 orthogonal array. A procedure has 
been introduced to optimize the chosen factors to attain minimum tool wear by incorporating (i) 
response table and effect graph; (ii) normal probability plot; (iii) interaction graphs; (iv) analysis of 
variance (ANOVA) technique. 
2. ACHIEVE THE DESIRED EWR ON THE AISI 304 SS WORKPIECE 
In order to achieve the desired EWR on the AISI 304 SS workpiece, the present investigation 
has been planned in the following steps: 
A: identifying the important factors 
Based on the previous published results [10, 11], the machining parameters, which are having 
significant effect on EWR. The machining parameters identified are: (1) electrode shape; (A), (2) 
pulse current; (B), (3) pulse on time; (C), (4) pulse off time; (D). Out of which electrode shape has 
been specially applied. 
B: finding the upper and lower limits of the factors identified 
For finding the upper and lower limits of the machining parameters, a detailed analysis has 
been carried out. The limits identified are discussed below: 
i. The studies related to EDM indicate that electrode shape is the factor, which highly influences the 
EWR, the increase of number of holes inside the electrode (to certain limit) decreases the EWR [12]. 
For maintaining the proper EWR, the electrode shape has been set at reasonable level of being multi 
4 -channels and multi 7 -channels. 
ii. Pulse current is another important factor which influences EWR. With an increase of pulse 
current, EWR increases [10]. In the present study, the Pulse current is 30 and 36 Amp. 
iii. The EWR increases with increase in pulse duration at all value of peak current. [13].The pulse on 
time chosen between 100 and 150 μsec. 
iv. The EWR decreases when pulse-off time is increased [14] and hence the pulse-off time has been 
selected at reasonable level and is 50 and 75 μsec. 
C: developing the experimental design matrix using design of experiments 
An experiment is a series of trials or tests, which produces quantifiable outcomes. The 
experiment may be random or deterministic. For experimentation, design of experiment in statistics 
has been used. The merit of this experimental scheme is that the cost of experimentation is reduced 
considerably as compared to one factor at a time type experiment. The identified factors and its 
lower and upper limits are discussed in sections 2.A and 2.B. In this experimental scheme, all 
possible combinations of levels are included so that there are 2n (where n refers to the number of
International Journal of Mechanical Engineering and Technology (IJMET), ISSN 0976 – 6340(Print), 
ISSN 0976 – 6359(Online), Volume 5, Issue 7, July (2014), pp. 113-124 © IAEME 
factors, i.e., 24 = 16) trials in the experiment [15]. The notations, units and their levels chosen are 
summarized in Table 1. 
115 
 
For easy recording and processing of experimental data, the parameters levels are coded as 
+1 and −1. The intermediate coded value of any levels can be calculated by using the following 
expression [16]:
= 
…………………………... (1) 
Where Xmax is the upper level of the parameter, Xmin is the lower level of the parameter and 
Xiis the required coded values of the parameter of any value of X from Xmin to Xmax. 
D: conducting the experiments as per the design matrix 
The Electrical Discharge Machining experiments were conducted at the Center of Training 
and Workshop at University of Technology, Iraq. The experiments were performed on a die sinking 
EDM machine (CHMER EDM CNC) which operates with an iso-pulse. 
The workpiece material used in this study was AISI 304 SS. Prior to EDM processing, the 
workpiece was square specimens 35 × 35 mm and 3 mm thick with a roughness Ra of 2 μm on the 
surface to be machined. The chemical composition of the workpiece material is given in Table 2. 
Electrolytic copper cylindrical bars 100 mm long with a diameter of 30 mm were mounted axially in 
line with workpieces and used as tool electrode at positive polarity, through hole was drilled as 
shown in Fig. 1. 
The gap between the electrode and the workpiece is 0.20 mm. The chemical composition of 
the electrode material is given in Table 3. 
Commercial grade EDM oil was used as dielectric fluid. Pressure flushing with 0.3 Kg/cm2 
was used. A digital balance (DENVER INSTRUMENT) with a resolution of 0.1 mg was used for 
weighing the electrode before and after the machining process. The EWR (mm3/min.) is defined as 
the mass of metal removed M2 from the original massM1 (g) divided by the density of electrode  
(g/mm3), and T is the machining time (min). Eq. (2) show the calculations used for assessing the 
values of EWR. The design matrix and the corresponding responses are given in Table 4. 
  
 
 
……………………………….….. (2) 
Table 1: Important parameters and their levels 
S. 
no 
Parameter Notation Unit 
Levels 
Actual factors 
Coded 
factors 
Low high Low Low 
1 
Electrode 
shape 
A - 
Multi - 
4channels 
Multi – 7 
channels 
-1 +1 
2 Pulse current B Amp 30 36 -1 +1 
3 Pulse on time C μsec. 100 150 -1 +1 
4 Pulse off time D μsec. 50 75 -1 +1 
Table 2: Chemical composition of 304 stainless steel workpiece 
Material C% Si% Mn% Cr% Ni% Mo% Cu% Fe% 
% weight 0.07 0.64 1.4 18.5 10.2 0.3 0.1 Balance
International Journal of Mechanical Engineering and Technology (IJMET), ISSN 0976 – 6340(Print), 
ISSN 0976 – 6359(Online), Volume 5, Issue 7, July (2014), pp. 113-124 © IAEME 
116 
 
Table 3: Chemical composition of tool electrode 
Material Fe% Si% Sb% Zn% Sn% Al% P% Cu% 
% weight 0.015 0.01 0.002 0.004 0.004 0.004 0.002 Balance 
Fig. 1: Geometry of the tool electrode and the workpiece 
Table 4: Design matrix and corresponding output response 
Exp. 
No 
Coded factors Actual factors EWR 
A B C D A B C D mm3/min. 
1 -1 -1 -1 -1 Multi 4 channels 30 100 50 1.115 
2 +1 -1 -1 -1 Multi 7 channels 30 100 50 0.885 
3 -1 +1 -1 -1 Multi 4 channels 36 100 50 1.152 
4 +1 +1 -1 -1 Multi 7 channels 36 100 50 0.923 
5 -1 -1 +1 -1 Multi 4 channels 30 150 50 1.232 
6 +1 -1 +1 -1 Multi 7 channels 30 150 50 0.985 
7 -1 +1 +1 -1 Multi 4 channels 36 150 50 1.267 
8 +1 +1 +1 -1 Multi 7 channels 36 150 50 1.012 
9 -1 -1 -1 +1 Multi 4 channels 30 100 75 0.970 
10 +1 -1 -1 +1 Multi 7 channels 30 100 75 0.785 
11 -1 +1 -1 +1 Multi 4 channels 36 100 75 1.005 
12 +1 +1 -1 +1 Multi 7 channels 36 100 75 0.813 
13 -1 -1 +1 +1 Multi 4 channels 30 150 75 1.082 
14 +1 -1 +1 +1 Multi 7 channels 30 150 75 0.865 
15 -1 +1 +1 +1 Multi 4 channels 36 150 75 1.102 
16 +1 +1 +1 +1 Multi 7 channels 36 150 75 1.012 
3. INFLUENCES OF MACHINING PARAMETERS AND THEIR EFFECTS ON EWR 
The effect of factors which influences the EWR on AISI 304 SS has been analyzed through: 
A. Response table and effect graph 
The influence of machining parameters on EWR has been performed using response table. 
Response tables are used to simplify the calculations needed to analyze the experimental data. In 
response table, the effect of a factor on a response variable is the change in the response when the 
factor goes from it slow level to its high level. The complete response table for a two level, 16 run 
full factorial experimental design is shown in Table 5. If the effect of a factor is greater than zero, 
the average response is higher for the higher level of the factor than for the low level. However, if 
the estimated effect is less than zero, it indicates that the average response is higher at low level of
International Journal of Mechanical Engineering and Technology (IJMET), ISSN 0976 – 6340(Print), 
ISSN 0976 – 6359(Online), Volume 5, Issue 7, July (2014), pp. 113-124 © IAEME 
the factor than at high level. If the effect for a factor is very small, then it is probably because of 
random variation than areal factor effect. The graphical display such as response graph can be used, 
in conjunction with a response table, to identify appropriate settings for machining parameters to 
minimize the average EWR [16]. The effect of main and interaction factors derived from the 
response table for machining process is plotted in Fig. 2. The procedure involved in the construction 
of a response table and response graph is explained elsewhere [17]. From Fig. 2, it is inferred that 
the larger the vertical line, the larger the change in EWR when going from level -1 to level +1 for a 
factor. It will be pointed out that the statistical significance of a factor is directly related to the 
length of the vertical line. 
117 
 
Fig. 2: Effect graph 
B. Normal probability plot 
In response graph, it is found that some of the factor effects are larger than the other, but it is 
not clear, whether these results are real or chance. To identify the real effects, normal probability plot 
are used and is shown in Fig. 3. Normal plot is a graphical technique based on ‘‘Central limit 
theorem’’. The procedure for constructing the normal probability plot is given elsewhere [18]. As per 
the normal probability plot, points which are close to a line fitted to the middle group of points 
represent estimated factors which do not demonstrate any significant effect on the response variable. 
On the other hand, the points appear to be far away from the straight line are likely to represent 
thereal factor effects on the EWR. From Fig. 3, it has been asserted that the main factors A, B, C 
and D and their five factor interactions AB, AD, BC, BD and CD are away from the straight line and 
are considered to be significant. 
C. ANOVA technique 
The normal probability plot has the disadvantage of not providing a clear criterion for what 
values for estimated effects indicate significant factor or interaction effects. In addition, how do we 
measure amount of departure from the straight line pattern .ANOVA meets this need by how much 
an estimate must differ from zero in order to be judged “statistically significant”. The ANOVA result 
is presented in Table 6. This analysis has been carried out for a level of significance of 5%, i.e., for a 
level of confidence of 95%. From the ANOVA results, it is concluded that the factors A, B, C, D and 
their interactions AB, AD, BC, BD and CD have significant effect on EWR and AC has no effect at 
95% confidence level. As the interaction effect of AB, AD, BC, BD and CD seems to be significant 
to the EWR, the average values of the EWR are calculated for all the combinations. By using the 
values of interaction, the significant interaction graphs are drawn for each combination of levels. The 
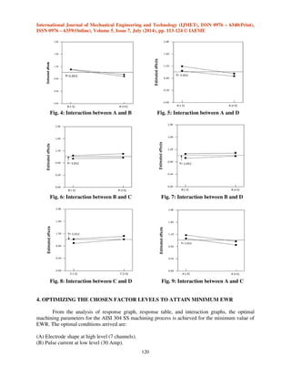
significant interactions between the parameters (AB, AD, BC, BD and CD) are shown in Figs. 4 and 
8. The insignificant interactions (AC) is presented in shown in Fig 9.
International Journal of Mechanical Engineering and Technology (IJMET), ISSN 0976 – 6340(Print), 
ISSN 0976 – 6359(Online), Volume 5, Issue 7, July (2014), pp. 113-124 © IAEME 
118 
 
Table 5: Response table for electrode wear rate (EWR) 
S. No 
EWR 
mm3/min. 
A B C D AB AC AD 
-1 +1 -1 +1 -1 +1 -1 +1 -1 +1 -1 +1 -1 +1 
1 1.115 1.115 
1.115 
1.115 
1.115 
1.115 
1.115 
1.115 
2 0.885 0.885 0.885 
0.885 
0.885 
0.885 0.885 0.885 
3 1.152 1.152 
1.152 1.152 
1.152 
1.152 1.152 1.152 
4 0.923 0.923 0.923 0.923 
0.923 
0.923 0.923 
0.923 
5 1.232 1.232 1.232 
1.232 1.232 
1.232 1.232 
1.232 
6 0.985 0.985 0.985 0.985 0.985 
0.985 
0.985 0.985 
7 1.267 1.267 1.267 1.267 1.267 
1.267 1.267 1.267 
8 1.012 1.012 1.012 
1.012 1.012 
1.012 
1.012 1.012 
9 0.970 0.970 0.970 0.970 
0.970 0.970 
0.970 0.970 
10 0.785 0.785 0.785 0.785 
0.785 0.785 0.785 0.785 
11 1.005 1.005 
1.005 1.005 
1.005 1.005 
1.005 1.005 
12 0.813 0.813 0.813 0.813 
0.813 0.813 0.813 0.813 
13 1.082 1.082 1.082 
1.082 
1.082 1.082 1.082 1.082 
14 0.865 0.865 0.865 
0.865 
0.865 0.865 0.865 0.865 
15 1.102 1.102 
1.102 
1.102 
1.102 1.102 
1.102 1.102 
16 1.012 
1.012 
1.012 
1.012 
1.012 
1.012 
1.012 
1.012 
Average 1.012 1.115 0.910 0.989 1.035 0.956 1.069 1.071 0.954 1.005 1.019 1.011 1.014 0.995 1.030 
Effect 
-0.205 
0.046 0.113 -0.117 0.014 0.003 0.035 
S. No 
BC BD CD ABC ABD ACD BCD ABCD 
-1 +1 -1 +1 -1 +1 -1 +1 -1 +1 -1 +1 -1 +1 -1 +1 
1 
1.115 1.115 1.115 1.115 1.115 1.115 1.115 1.115 
2 
0.885 0.885 0.885 0.885 0.885 0.885 0.885 0.885 
3 1.152 1.152 1.152 1.152 1.152 1.152 
1.152 1.152 
4 0.923 0.923 0.923 0.923 0.923 0.923 0.923 0.923 
5 1.232 
1.232 1.232 
1.232 1.232 
1.232 1.232 1.232 
6 0.985 
0.985 0.985 
0.985 
0.985 0.985 
0.985 0.985 
7 
1.267 1.267 
1.267 1.267 1.267 
1.267 1.267 
1.267 
8 
1.012 1.012 
1.012 
1.012 1.012 
1.012 1.012 1.012 
9 
0.970 0.970 
0.970 0.970 0.970 0.970 
0.970 0.970 
10 0.785 0.785 0.785 0.785 0.785 0.785 0.785 0.785 
11 1.005 
1.005 1.005 
1.005 1.005 
1.005 1.005 
1.005 
12 0.813 0.813 0.813 0.813 0.813 0.813 0.813 0.813 
13 1.082 1.082 1.082 1.082 1.082 1.082 1.082 1.082 
14 1.102 1.102 1.102 1.102 1.102 
1.102 1.102 
1.102 
15 
1.102 1.102 1.102 1.102 1.102 1.102 
1.102 1.102 
16 
1.012 1.012 1.012 1.012 1.012 1.012 1.012 1.012 
Average 
1.036 1.018 1.036 1.018 1.008 1.046 1.034 1.020 1.034 1.021 1.005 1.050 1.035 1.020 1.033 1.021 
Effect 
-0.018 -0.018 0.038 -0.014 -0.003 0.045 -0.015 -0.012 
In this figures the lines are parallel to each other, which show that there is no interaction 
between parameters. By analyzing these figures also evident from ANOVA analysis, it has been 
concluded that CD and AD are more interactive than other interactions.
International Journal of Mechanical Engineering and Technology (IJMET), ISSN 0976 – 6340(Print), 
ISSN 0976 – 6359(Online), Volume 5, Issue 7, July (2014), pp. 113-124 © IAEME 
S. no Factors Estimated effects Effect squared 
(E2) 
119 
 
Table 6: ANOVA test results 
DOF Mean square 
Fig. 3: Normal probability plot 
(MS) 
Fratio 
1 A -0.205 0.042 1 0.042 84 
2 B 0.046 0.002 1 0.002 4 
3 C 0.113 0.012 1 0.012 24 
4 D -0.117 0.013 1 0.013 26 
5 AB 0.014 0.0002 1 0.0002 0.4 
6 AC 0.003 0.000009 1 0.000009 0.018 
7 AD 0.035 0.0012 1 0.0012 2.4 
8 BC -0.018 0.0003 1 0.0003 0.6 
9 BD -0.018 0.0003 1 0.0003 0.6 
10 CD 0.038 0.0014 1 0.0014 2.8 
11 ABC -0.014 0.0002 
12 ABD -0.003 0.000009 
13 ACD 0.045 0.002 
14 BCD -0.015 0.0002 
15 ABCD -0.012 0.0001 
Error 5 0.0005
International Journal of Mechanical Engineering and Technology (IJMET), ISSN 0976 – 6340(Print), 
ISSN 0976 – 6359(Online), Volume 5, Issue 7, July (2014), pp. 113-124 © IAEME 
120 
 
Fig. 4: Interaction between A and B Fig. 5: Interaction between A and D 
Fig. 6: Interaction between B and C Fig. 7: Interaction between B and D 
Fig. 8: Interaction between C and D Fig. 9: Interaction between A and C 
4. OPTIMIZING THE CHOSEN FACTOR LEVELS TO ATTAIN MINIMUM EWR 
From the analysis of response graph, response table, and interaction graphs, the optimal 
machining parameters for the AISI 304 SS machining process is achieved for the minimum value of 
EWR. The optimal conditions arrived are: 
(A) Electrode shape at high level (7 channels). 
(B) Pulse current at low level (30 Amp).
International Journal of Mechanical Engineering and Technology (IJMET), ISSN 0976 – 6340(Print), 
ISSN 0976 – 6359(Online), Volume 5, Issue 7, July (2014), pp. 113-124 © IAEME 
121 
(C) Pulse on time at low level (100 μsec.). 
(D) Pulse off time at high level (75 μsec.). 
 
Based on the above optimum conditions, the minimum value of EWR can be obtained from 
the following expression using the values form response table (Table 5) [16, 18]. 
EWR (min.)= [grand mean] + [contribution of A] + [contribution of B] + [contribution of C] + 
[contribution of D] + [contribution of AB] + [contribution of AD] + [contribution of BC] + 
[contribution of BD] + [contribution of CD] 
………………………………………………………..(3) 
EWR (min.)=  + [A (+1)− ] + [B (−1)− ] + [C (−1)− ] + [D (+1)− ] +[AB (−1)− ] + [AD (+1)− )] + 
[BC (+1)− )] + [BD (−1)− )] + [CD (−1)− )] 
EWR (min.)=1.012 + [0.910 − 1.012] + [0.989 –1.012] + [0.956 – 1.012] + [0.954 – 1.012] + [1.006 
−1.012] + [1.030 – 1.012] + [1.018 – 1.012] + [1.036 – 1.012] + [1.008 – 1.012] 
EWR (min.)= 0.807  0.80 mm3 /min. 
The above result reveal that the minimum electrode wear on the machining of AISI 304 SS 
within the range of factor under investigation is 0.80 mm3/min. To check the validity of the 
optimization procedure, the aforementioned EWR value is compared with the experimental values, 
obtained for the same optimized conditions and the variation is within the reasonable accuracy 
(+5%). Moreover, the equation mentioned earlier (3) can be effectively used to predict the EWR of 
EDMed AISI 304 SS drills at a 95% confidence level by multiplying the contributions with 
corresponding coded values of the main and interaction factors. 
5. DISCUSSIONS 
The electrode wear depends on the dielectric flow in the machining zone. If the flow is too 
turbulent, it results in an increase in electrode wear. Pulsed injection of the dielectric has enable 
reduction of wear due to dielectric flow. [19] 
From the results, it can be seen that the EWR is maximum at Multi - 4 channels electrode 
shape. The EWR decreases with the increase of number of holes inside the electrode. The reason 
being at multi 7 - channels, debris removed from efficient machining area more than multi 4 - 
channels thus multi 7 - channels brings fresh dielectric in the inter electrode gap. 
It has been observed that EWR increases with increase of peak current (from 30 to 36 Amp). Higher 
current density available at the working gap, at higher peak current conditions, generates large 
amount of heat. This rapidly overheats the electrode and increases electrode wear rate as it is 
concluded in Ref. [20]. 
It was observed that EWR increases with increment in pulse-on-time. This is because of 
formation of ‘black layer’ at tool surface. The black layer formation is due to migration of workpiece 
element and carbon from dielectric to the tool electrode surface. This finding has close relationship 
with the results presented by Ref. [21]. 
Also the increase in pulse-off-time decreased the EWR as with long pulse-off time the 
dielectric fluid produces the cooling effect on electrode and work piece and hence decreases the 
EWR [14]. 
The observed results shown proved that the main factor, which affects the electrode wear 
rate, is electrode shape. The pulse-on-time only plays small role on EDM process. The results
International Journal of Mechanical Engineering and Technology (IJMET), ISSN 0976 – 6340(Print), 
ISSN 0976 – 6359(Online), Volume 5, Issue 7, July (2014), pp. 113-124 © IAEME 
indicated that the electrode wear rate is minimum at a pulse-on-time of 100 μsec. In machining, the 
interaction between the chosen factors also plays some role in deciding the electrode wear rate. The 
results indicate that the interactions namely AB, AD, BC, BD and CD have significant effect on 
electrode wear rate. Out of four main factors considered, electrode shape is the most significant 
factor which affecting the electrode wear rate; while pulse-on-time is the least significant parameter. 
Among the interactions, the interaction pulse-on-time and pulse-off-time is more significant than 
other parameters. 
122 
6. CONCLUSION 
 
Using design of experiments technique, the parameters, which are having significant 
influence on electrode wear rate on the machining of AISI 304 SS, have been studied. 
(1) This experimental technique is easier and convenient technique used to study the main and 
interaction effects of different influential combinations of machining parameters affecting 
electrode wear rate. 
(2) Electrode shape is the factor, which has greater influence on EWR, followed by pulse off time. 
(3) The interaction also play some role in deciding the EWR on the EDM of AISI 304 SS. The 
interaction between pulse on time and pulse off time has more influence comparing with other 
interactions on EWR on the machining of AISI 304 SS. 
(4) The parameters considered in the experiments are optimized to attain minimum EWR using 
response graph, response table, normal probability plot, interaction graphs and analysis of 
variance (ANOVA) technique. 
(5) The optimization procedure can be used to predict the EWR for EDM of AISI 304 SS within 
the ranges of variable studied. However, the validity of the procedure is limited to the range of 
factors considered for the experimentation. 
7. REFERENCES 
1. C.A. Rashed, L. Romoli, F. Tantussi, F. Fuso, L. Bertoncini, M. Fiaschi, M. Allegrini and G. 
Dini, (2014), Experimental optimization of micro-electrical discharge drilling process from 
the perspective of inner surface enhancement measured by shear-force microscopy, CIRP 
Journal of Manufacturing Science and Technology, Vol. 7, pp.11-19. 
2. P. S. Rao, B. S. Reddy, J. S. Kumar and K. V. Reddy, (2010), Fuzzy Modeling for Electrical 
Discharge Machining of AISI 304 Stainless Steel, Journal of Applied Sciences Research, 
Vol. 6, No.11, pp. 1687-1700. 
3. S. Dhanik, S. Joshi, N. Ramakrishnan, and P. Apte, (2005), Evolution of EDM process 
modelling and development towards modelling of the micro-EDM process, International 
Journal of Manufacturing Technology and Management, Vol. 7, No.2, pp.157-180. 
4. K.H. Ho, and S.T. Newman, (2003), State of Art Electrical Discharge Machining (EDM), 
International Journal of Machine Tools and Manufacture, Volu. 43, No.13, pp.1287-1300. 
5. J. Marafona, and C.A. Wykes, (2000), New Method of Optimizing Material Removal Rate 
using EDM with Copper-tungsten Electrodes, International Journal of Machine Tools and 
Manufacture, Vol. 40, No.2, pp.153-164. 
6. A.A. Khan and S. Mridha ( 2007), Performance of Copper and Aluminum Electrodes during 
EDM of Stainless Steel and Carbide, The International Journal for Manufacturing Science 
and Production, Vol. 7, No.1, pp.1-7.
International Journal of Mechanical Engineering and Technology (IJMET), ISSN 0976 – 6340(Print), 
ISSN 0976 – 6359(Online), Volume 5, Issue 7, July (2014), pp. 113-124 © IAEME 
123 
 
7. P. R. Kubade and V. S. Jadhav, (2012), An experimental investigation of electrode wear rate 
(EWR), material removal rate (MRR) and radial overcut (ROC) in EDM of high carbon-high 
chromium steel (AISI D3), International Journal of Engineering and Advanced Technology 
Vol.1, Issue 5, pp.135-140. 
8. M. Sahoo, R. N. Pramanik and D. Sahoo, (2013), Experimental investigation of machining of 
tungsten carbide by EDM and its mathematical expression, International Journal of 
Mechanical and Production Engineering , Vol.2, Issue 1, pp.138-150. 
9. P. S. Rao, J. S. Kumar, K. V. K. Reddy and B. S. Reddy, (2010), Parametric study of 
electrical discharge machining of AISI 304 stainless steel International Journal of 
Engineering Science and Technology, Vol. 2 No.8, pp.3535-3550. 
10. R. Atefi, N. Javam, A. Razmavar and F. Teimoori, (2012), The Influence of EDM Parameters 
in Finishing Stage on Surface Quality, MRR and EWR, Research Journal of Applied 
Sciences, Engineering and Technology Vol.4, No.10, pp.1287-1294. 
11. L. Li, L. Gu, X. Xi and W. Zhao, (2012), Influence of flushing on performance of EDM with 
bunched electrode, Int J Adv Manuf Technol. Vol.58, pp187–194. 
12. O. Yilmaz and M. A. Okka, (2010), Effect of single and multi-channel electrodes application 
on EDM fast hole drilling performance, Int J Adv Manuf Technol, Vol. 51, pp.185–194. 
13. S.N. Mehta, (2013), Investigation of optimum process parameters using genetic algorithm 
based neural networks during EDM of 64WC-9Co, International Journal of Engineering 
Research and Technology, Vol. 6, No. 5, pp. 701-708. 
14. M.M. Rahman, (2012), Modeling of machining parameters of Ti-6Al-4V for electric 
discharge machining: A neural network approach, Scientific Research and Essays, Vol. 7, 
No. 8, pp. 881-890. 
15. A. N Sait, S. Aravindan and A. N. Haq, (2009), Optimisation of machining parameters of 
glass-fibre-reinforced plastic (GFRP) pipes by desirability function analysis using Taguchi 
technique, Int J Adv Manuf Technol Vol, 43, pp.581–589. 
16. S. Ravi, V. Balasubramanian, S. Babu and S. N. Nasser, (2004), Assessment of factors 
influencing the fatigue life of strength mis-matched HSLA steel weldments. Mater. Des. 
Vol.25, pp. 125–135. 
17. T. Barker, (1985), Quality by experimental design. New York: Marcel Dekker. 
18. R. Lochner and J. Mater, (1990), Designing for quality, London: Chapman and Hall. 
19. S.H.Tomadi, M.A.Hassan, Z. Hamedon, R.Daud and A.G.Khalid, (2009), Analysis of the 
influence of EDM parameters on surface quality, material removal rate and electrode wear of 
tungsten carbide, Proceedings of the International MultiConference of Engineers and 
Computer Scientists, Vol II, March 18 – 20. 
20. P. M. Arvindbhai, (2011), An investigation and analysis of process parameters for EDM 
drilling machine using Taguchi method, PhD thesis, Saurashtra University, Rajkot. 
21. P. S. Bharti, (2012), Optimization of process parameters of electric discharge machining 
based on neural networks and Taguchi’s method, PhD thesis, Guru Gobind Singh 
Indraprastha University, Dwarka, Delhi. 
22. A. Parshuramulu, K. Buschaiah and P. Laxminarayana, “A Study on Influence of Polarity on 
the Machining Characteristics of Sinker EDM”, International Journal of Advanced Research 
in Engineering  Technology (IJARET), Volume 4, Issue 3, 2013, pp. 158 - 162, ISSN Print: 
0976-6480, ISSN Online: 0976-6499. 
23. Mane S.G. and Hargude N.V., “An Overview of Experimental Investigation of Near Dry 
Electrical Discharge Machining Process”, International Journal of Advanced Research in 
Engineering  Technology (IJARET), Volume 3, Issue 2, 2012, pp. 22 - 36, ISSN Print: 
0976-6480, ISSN Online: 0976-6499.

30120140507011

  • 1.
    International INTERNATIONAL Journalof Mechanical JOURNAL Engineering OF and MECHANICAL Technology (IJMET), ISSN ENGINEERING 0976 – 6340(Print), ISSN 0976 – 6359(Online), Volume 5, Issue 7, July (2014), pp. 113-124 © IAEME AND TECHNOLOGY (IJMET) ISSN 0976 – 6340 (Print) ISSN 0976 – 6359 (Online) Volume 5, Issue 7, July (2014), pp. 113-124 © IAEME: www.iaeme.com/IJMET.asp Journal Impact Factor (2014): 7.5377 (Calculated by GISI) www.jifactor.com 113 IJMET © I A E M E OPTIMIZATION OF ELECTRODE WEAR RATE ON ELECTRICAL DISCHARGE MACHINING AISI 304 SS WITH MULTI HOLE ELECTRODE Dr. Maan Aabid Tawfiq, Saad Hameed Najem Department of Production Eng. and Metallurgy, University of Technology, Baghdad, Iraq ABSTRACT AISI 304 stainless steel have a wide range of applications in the industrial field. The need for machining AISI 304 SS has not been eliminated fully. The electrode wear rate (EWR) is an important aspect during electrical discharge machining (EDM). In this investigation an attempt has been made to assess the factors influencing electrode wear rate on the machining of AISI 304 SS. Design of experiments (full factorial design) concept has been used for experimentation. The machining experiments were conducted on a die sinking EDM machine using two levels of factors. The factors considered were electrode shape, pulse current, pulse on time and pulse off time. A procedure has been developed to assess and optimize the chosen factors to attain minimum electrode wear rate by incorporating: (i) response table and response graph; (ii) normal probability plot; (iii) interaction graphs; (iv) analysis of variance (ANOVA) technique. The results indicated that electrode shape is a factor, which has greater influence on EWR, followed by pulse off time. Also the determined optimal conditions really reduce the EWR on the machining of AISI 304 SS within the ranges of parameters studied. Keywords: EDM; AISI 304 SS; EWR; Response Table; Response Graph; ANOVA; Normal Probability Plot. 1. INTRODUCTION In today’s manufacturing scenario, electrical discharge machining (EDM) contributes a prime share in the manufacture of complex- shaped dies, molds, and critical parts used in automobile, aerospace, and surgical components with high precision [1]. The material is removed from the work piece by the thermal erosion process, i.e., by a series of recurring electrical discharges between a cutting tool acting as an electrode and a conductive workpiece in the presence of a dielectric fluid [2]. The performance of EDM is usually evaluated by the output parameters namely material removal rate (MRR), electrode wear rate (EWR), wear ratio (WR), machined surface roughness, etc.
  • 2.
    International Journal ofMechanical Engineering and Technology (IJMET), ISSN 0976 – 6340(Print), ISSN 0976 – 6359(Online), Volume 5, Issue 7, July (2014), pp. 113-124 © IAEME [3-5]. It is always desirable to obtain higher MRR with lower EWR, WR, and Ra .With the electrical sparks, more material is removed from the work material because of its positive polarity [6]. However, Due to high temperature of the sparks not only work material is melted and vaporised but the electrode material is also melted and vaporised which is expressed by EWR [7].Electrode Wear is an important factor because it affects dimensional accuracy and the shape produced [8]. The selected AISI 304 stainless steel material for the present investigation is having a wide range of applications in the industrial field: Chemical, Pharmaceutical, Cryogenic, Food, Dairy, Paper industries etc. [9]. 114 This experimental scheme is almost similar to the L16 orthogonal array. A procedure has been introduced to optimize the chosen factors to attain minimum tool wear by incorporating (i) response table and effect graph; (ii) normal probability plot; (iii) interaction graphs; (iv) analysis of variance (ANOVA) technique. 2. ACHIEVE THE DESIRED EWR ON THE AISI 304 SS WORKPIECE In order to achieve the desired EWR on the AISI 304 SS workpiece, the present investigation has been planned in the following steps: A: identifying the important factors Based on the previous published results [10, 11], the machining parameters, which are having significant effect on EWR. The machining parameters identified are: (1) electrode shape; (A), (2) pulse current; (B), (3) pulse on time; (C), (4) pulse off time; (D). Out of which electrode shape has been specially applied. B: finding the upper and lower limits of the factors identified For finding the upper and lower limits of the machining parameters, a detailed analysis has been carried out. The limits identified are discussed below: i. The studies related to EDM indicate that electrode shape is the factor, which highly influences the EWR, the increase of number of holes inside the electrode (to certain limit) decreases the EWR [12]. For maintaining the proper EWR, the electrode shape has been set at reasonable level of being multi 4 -channels and multi 7 -channels. ii. Pulse current is another important factor which influences EWR. With an increase of pulse current, EWR increases [10]. In the present study, the Pulse current is 30 and 36 Amp. iii. The EWR increases with increase in pulse duration at all value of peak current. [13].The pulse on time chosen between 100 and 150 μsec. iv. The EWR decreases when pulse-off time is increased [14] and hence the pulse-off time has been selected at reasonable level and is 50 and 75 μsec. C: developing the experimental design matrix using design of experiments An experiment is a series of trials or tests, which produces quantifiable outcomes. The experiment may be random or deterministic. For experimentation, design of experiment in statistics has been used. The merit of this experimental scheme is that the cost of experimentation is reduced considerably as compared to one factor at a time type experiment. The identified factors and its lower and upper limits are discussed in sections 2.A and 2.B. In this experimental scheme, all possible combinations of levels are included so that there are 2n (where n refers to the number of
  • 3.
    International Journal ofMechanical Engineering and Technology (IJMET), ISSN 0976 – 6340(Print), ISSN 0976 – 6359(Online), Volume 5, Issue 7, July (2014), pp. 113-124 © IAEME factors, i.e., 24 = 16) trials in the experiment [15]. The notations, units and their levels chosen are summarized in Table 1. 115 For easy recording and processing of experimental data, the parameters levels are coded as +1 and −1. The intermediate coded value of any levels can be calculated by using the following expression [16]:
  • 4.
    = …………………………... (1) Where Xmax is the upper level of the parameter, Xmin is the lower level of the parameter and Xiis the required coded values of the parameter of any value of X from Xmin to Xmax. D: conducting the experiments as per the design matrix The Electrical Discharge Machining experiments were conducted at the Center of Training and Workshop at University of Technology, Iraq. The experiments were performed on a die sinking EDM machine (CHMER EDM CNC) which operates with an iso-pulse. The workpiece material used in this study was AISI 304 SS. Prior to EDM processing, the workpiece was square specimens 35 × 35 mm and 3 mm thick with a roughness Ra of 2 μm on the surface to be machined. The chemical composition of the workpiece material is given in Table 2. Electrolytic copper cylindrical bars 100 mm long with a diameter of 30 mm were mounted axially in line with workpieces and used as tool electrode at positive polarity, through hole was drilled as shown in Fig. 1. The gap between the electrode and the workpiece is 0.20 mm. The chemical composition of the electrode material is given in Table 3. Commercial grade EDM oil was used as dielectric fluid. Pressure flushing with 0.3 Kg/cm2 was used. A digital balance (DENVER INSTRUMENT) with a resolution of 0.1 mg was used for weighing the electrode before and after the machining process. The EWR (mm3/min.) is defined as the mass of metal removed M2 from the original massM1 (g) divided by the density of electrode (g/mm3), and T is the machining time (min). Eq. (2) show the calculations used for assessing the values of EWR. The design matrix and the corresponding responses are given in Table 4. ……………………………….….. (2) Table 1: Important parameters and their levels S. no Parameter Notation Unit Levels Actual factors Coded factors Low high Low Low 1 Electrode shape A - Multi - 4channels Multi – 7 channels -1 +1 2 Pulse current B Amp 30 36 -1 +1 3 Pulse on time C μsec. 100 150 -1 +1 4 Pulse off time D μsec. 50 75 -1 +1 Table 2: Chemical composition of 304 stainless steel workpiece Material C% Si% Mn% Cr% Ni% Mo% Cu% Fe% % weight 0.07 0.64 1.4 18.5 10.2 0.3 0.1 Balance
  • 5.
    International Journal ofMechanical Engineering and Technology (IJMET), ISSN 0976 – 6340(Print), ISSN 0976 – 6359(Online), Volume 5, Issue 7, July (2014), pp. 113-124 © IAEME 116 Table 3: Chemical composition of tool electrode Material Fe% Si% Sb% Zn% Sn% Al% P% Cu% % weight 0.015 0.01 0.002 0.004 0.004 0.004 0.002 Balance Fig. 1: Geometry of the tool electrode and the workpiece Table 4: Design matrix and corresponding output response Exp. No Coded factors Actual factors EWR A B C D A B C D mm3/min. 1 -1 -1 -1 -1 Multi 4 channels 30 100 50 1.115 2 +1 -1 -1 -1 Multi 7 channels 30 100 50 0.885 3 -1 +1 -1 -1 Multi 4 channels 36 100 50 1.152 4 +1 +1 -1 -1 Multi 7 channels 36 100 50 0.923 5 -1 -1 +1 -1 Multi 4 channels 30 150 50 1.232 6 +1 -1 +1 -1 Multi 7 channels 30 150 50 0.985 7 -1 +1 +1 -1 Multi 4 channels 36 150 50 1.267 8 +1 +1 +1 -1 Multi 7 channels 36 150 50 1.012 9 -1 -1 -1 +1 Multi 4 channels 30 100 75 0.970 10 +1 -1 -1 +1 Multi 7 channels 30 100 75 0.785 11 -1 +1 -1 +1 Multi 4 channels 36 100 75 1.005 12 +1 +1 -1 +1 Multi 7 channels 36 100 75 0.813 13 -1 -1 +1 +1 Multi 4 channels 30 150 75 1.082 14 +1 -1 +1 +1 Multi 7 channels 30 150 75 0.865 15 -1 +1 +1 +1 Multi 4 channels 36 150 75 1.102 16 +1 +1 +1 +1 Multi 7 channels 36 150 75 1.012 3. INFLUENCES OF MACHINING PARAMETERS AND THEIR EFFECTS ON EWR The effect of factors which influences the EWR on AISI 304 SS has been analyzed through: A. Response table and effect graph The influence of machining parameters on EWR has been performed using response table. Response tables are used to simplify the calculations needed to analyze the experimental data. In response table, the effect of a factor on a response variable is the change in the response when the factor goes from it slow level to its high level. The complete response table for a two level, 16 run full factorial experimental design is shown in Table 5. If the effect of a factor is greater than zero, the average response is higher for the higher level of the factor than for the low level. However, if the estimated effect is less than zero, it indicates that the average response is higher at low level of
  • 6.
    International Journal ofMechanical Engineering and Technology (IJMET), ISSN 0976 – 6340(Print), ISSN 0976 – 6359(Online), Volume 5, Issue 7, July (2014), pp. 113-124 © IAEME the factor than at high level. If the effect for a factor is very small, then it is probably because of random variation than areal factor effect. The graphical display such as response graph can be used, in conjunction with a response table, to identify appropriate settings for machining parameters to minimize the average EWR [16]. The effect of main and interaction factors derived from the response table for machining process is plotted in Fig. 2. The procedure involved in the construction of a response table and response graph is explained elsewhere [17]. From Fig. 2, it is inferred that the larger the vertical line, the larger the change in EWR when going from level -1 to level +1 for a factor. It will be pointed out that the statistical significance of a factor is directly related to the length of the vertical line. 117 Fig. 2: Effect graph B. Normal probability plot In response graph, it is found that some of the factor effects are larger than the other, but it is not clear, whether these results are real or chance. To identify the real effects, normal probability plot are used and is shown in Fig. 3. Normal plot is a graphical technique based on ‘‘Central limit theorem’’. The procedure for constructing the normal probability plot is given elsewhere [18]. As per the normal probability plot, points which are close to a line fitted to the middle group of points represent estimated factors which do not demonstrate any significant effect on the response variable. On the other hand, the points appear to be far away from the straight line are likely to represent thereal factor effects on the EWR. From Fig. 3, it has been asserted that the main factors A, B, C and D and their five factor interactions AB, AD, BC, BD and CD are away from the straight line and are considered to be significant. C. ANOVA technique The normal probability plot has the disadvantage of not providing a clear criterion for what values for estimated effects indicate significant factor or interaction effects. In addition, how do we measure amount of departure from the straight line pattern .ANOVA meets this need by how much an estimate must differ from zero in order to be judged “statistically significant”. The ANOVA result is presented in Table 6. This analysis has been carried out for a level of significance of 5%, i.e., for a level of confidence of 95%. From the ANOVA results, it is concluded that the factors A, B, C, D and their interactions AB, AD, BC, BD and CD have significant effect on EWR and AC has no effect at 95% confidence level. As the interaction effect of AB, AD, BC, BD and CD seems to be significant to the EWR, the average values of the EWR are calculated for all the combinations. By using the values of interaction, the significant interaction graphs are drawn for each combination of levels. The significant interactions between the parameters (AB, AD, BC, BD and CD) are shown in Figs. 4 and 8. The insignificant interactions (AC) is presented in shown in Fig 9.
  • 7.
    International Journal ofMechanical Engineering and Technology (IJMET), ISSN 0976 – 6340(Print), ISSN 0976 – 6359(Online), Volume 5, Issue 7, July (2014), pp. 113-124 © IAEME 118 Table 5: Response table for electrode wear rate (EWR) S. No EWR mm3/min. A B C D AB AC AD -1 +1 -1 +1 -1 +1 -1 +1 -1 +1 -1 +1 -1 +1 1 1.115 1.115 1.115 1.115 1.115 1.115 1.115 1.115 2 0.885 0.885 0.885 0.885 0.885 0.885 0.885 0.885 3 1.152 1.152 1.152 1.152 1.152 1.152 1.152 1.152 4 0.923 0.923 0.923 0.923 0.923 0.923 0.923 0.923 5 1.232 1.232 1.232 1.232 1.232 1.232 1.232 1.232 6 0.985 0.985 0.985 0.985 0.985 0.985 0.985 0.985 7 1.267 1.267 1.267 1.267 1.267 1.267 1.267 1.267 8 1.012 1.012 1.012 1.012 1.012 1.012 1.012 1.012 9 0.970 0.970 0.970 0.970 0.970 0.970 0.970 0.970 10 0.785 0.785 0.785 0.785 0.785 0.785 0.785 0.785 11 1.005 1.005 1.005 1.005 1.005 1.005 1.005 1.005 12 0.813 0.813 0.813 0.813 0.813 0.813 0.813 0.813 13 1.082 1.082 1.082 1.082 1.082 1.082 1.082 1.082 14 0.865 0.865 0.865 0.865 0.865 0.865 0.865 0.865 15 1.102 1.102 1.102 1.102 1.102 1.102 1.102 1.102 16 1.012 1.012 1.012 1.012 1.012 1.012 1.012 1.012 Average 1.012 1.115 0.910 0.989 1.035 0.956 1.069 1.071 0.954 1.005 1.019 1.011 1.014 0.995 1.030 Effect -0.205 0.046 0.113 -0.117 0.014 0.003 0.035 S. No BC BD CD ABC ABD ACD BCD ABCD -1 +1 -1 +1 -1 +1 -1 +1 -1 +1 -1 +1 -1 +1 -1 +1 1 1.115 1.115 1.115 1.115 1.115 1.115 1.115 1.115 2 0.885 0.885 0.885 0.885 0.885 0.885 0.885 0.885 3 1.152 1.152 1.152 1.152 1.152 1.152 1.152 1.152 4 0.923 0.923 0.923 0.923 0.923 0.923 0.923 0.923 5 1.232 1.232 1.232 1.232 1.232 1.232 1.232 1.232 6 0.985 0.985 0.985 0.985 0.985 0.985 0.985 0.985 7 1.267 1.267 1.267 1.267 1.267 1.267 1.267 1.267 8 1.012 1.012 1.012 1.012 1.012 1.012 1.012 1.012 9 0.970 0.970 0.970 0.970 0.970 0.970 0.970 0.970 10 0.785 0.785 0.785 0.785 0.785 0.785 0.785 0.785 11 1.005 1.005 1.005 1.005 1.005 1.005 1.005 1.005 12 0.813 0.813 0.813 0.813 0.813 0.813 0.813 0.813 13 1.082 1.082 1.082 1.082 1.082 1.082 1.082 1.082 14 1.102 1.102 1.102 1.102 1.102 1.102 1.102 1.102 15 1.102 1.102 1.102 1.102 1.102 1.102 1.102 1.102 16 1.012 1.012 1.012 1.012 1.012 1.012 1.012 1.012 Average 1.036 1.018 1.036 1.018 1.008 1.046 1.034 1.020 1.034 1.021 1.005 1.050 1.035 1.020 1.033 1.021 Effect -0.018 -0.018 0.038 -0.014 -0.003 0.045 -0.015 -0.012 In this figures the lines are parallel to each other, which show that there is no interaction between parameters. By analyzing these figures also evident from ANOVA analysis, it has been concluded that CD and AD are more interactive than other interactions.
  • 8.
    International Journal ofMechanical Engineering and Technology (IJMET), ISSN 0976 – 6340(Print), ISSN 0976 – 6359(Online), Volume 5, Issue 7, July (2014), pp. 113-124 © IAEME S. no Factors Estimated effects Effect squared (E2) 119 Table 6: ANOVA test results DOF Mean square Fig. 3: Normal probability plot (MS) Fratio 1 A -0.205 0.042 1 0.042 84 2 B 0.046 0.002 1 0.002 4 3 C 0.113 0.012 1 0.012 24 4 D -0.117 0.013 1 0.013 26 5 AB 0.014 0.0002 1 0.0002 0.4 6 AC 0.003 0.000009 1 0.000009 0.018 7 AD 0.035 0.0012 1 0.0012 2.4 8 BC -0.018 0.0003 1 0.0003 0.6 9 BD -0.018 0.0003 1 0.0003 0.6 10 CD 0.038 0.0014 1 0.0014 2.8 11 ABC -0.014 0.0002 12 ABD -0.003 0.000009 13 ACD 0.045 0.002 14 BCD -0.015 0.0002 15 ABCD -0.012 0.0001 Error 5 0.0005
  • 9.
    International Journal ofMechanical Engineering and Technology (IJMET), ISSN 0976 – 6340(Print), ISSN 0976 – 6359(Online), Volume 5, Issue 7, July (2014), pp. 113-124 © IAEME 120 Fig. 4: Interaction between A and B Fig. 5: Interaction between A and D Fig. 6: Interaction between B and C Fig. 7: Interaction between B and D Fig. 8: Interaction between C and D Fig. 9: Interaction between A and C 4. OPTIMIZING THE CHOSEN FACTOR LEVELS TO ATTAIN MINIMUM EWR From the analysis of response graph, response table, and interaction graphs, the optimal machining parameters for the AISI 304 SS machining process is achieved for the minimum value of EWR. The optimal conditions arrived are: (A) Electrode shape at high level (7 channels). (B) Pulse current at low level (30 Amp).
  • 10.
    International Journal ofMechanical Engineering and Technology (IJMET), ISSN 0976 – 6340(Print), ISSN 0976 – 6359(Online), Volume 5, Issue 7, July (2014), pp. 113-124 © IAEME 121 (C) Pulse on time at low level (100 μsec.). (D) Pulse off time at high level (75 μsec.). Based on the above optimum conditions, the minimum value of EWR can be obtained from the following expression using the values form response table (Table 5) [16, 18]. EWR (min.)= [grand mean] + [contribution of A] + [contribution of B] + [contribution of C] + [contribution of D] + [contribution of AB] + [contribution of AD] + [contribution of BC] + [contribution of BD] + [contribution of CD] ………………………………………………………..(3) EWR (min.)= + [A (+1)− ] + [B (−1)− ] + [C (−1)− ] + [D (+1)− ] +[AB (−1)− ] + [AD (+1)− )] + [BC (+1)− )] + [BD (−1)− )] + [CD (−1)− )] EWR (min.)=1.012 + [0.910 − 1.012] + [0.989 –1.012] + [0.956 – 1.012] + [0.954 – 1.012] + [1.006 −1.012] + [1.030 – 1.012] + [1.018 – 1.012] + [1.036 – 1.012] + [1.008 – 1.012] EWR (min.)= 0.807 0.80 mm3 /min. The above result reveal that the minimum electrode wear on the machining of AISI 304 SS within the range of factor under investigation is 0.80 mm3/min. To check the validity of the optimization procedure, the aforementioned EWR value is compared with the experimental values, obtained for the same optimized conditions and the variation is within the reasonable accuracy (+5%). Moreover, the equation mentioned earlier (3) can be effectively used to predict the EWR of EDMed AISI 304 SS drills at a 95% confidence level by multiplying the contributions with corresponding coded values of the main and interaction factors. 5. DISCUSSIONS The electrode wear depends on the dielectric flow in the machining zone. If the flow is too turbulent, it results in an increase in electrode wear. Pulsed injection of the dielectric has enable reduction of wear due to dielectric flow. [19] From the results, it can be seen that the EWR is maximum at Multi - 4 channels electrode shape. The EWR decreases with the increase of number of holes inside the electrode. The reason being at multi 7 - channels, debris removed from efficient machining area more than multi 4 - channels thus multi 7 - channels brings fresh dielectric in the inter electrode gap. It has been observed that EWR increases with increase of peak current (from 30 to 36 Amp). Higher current density available at the working gap, at higher peak current conditions, generates large amount of heat. This rapidly overheats the electrode and increases electrode wear rate as it is concluded in Ref. [20]. It was observed that EWR increases with increment in pulse-on-time. This is because of formation of ‘black layer’ at tool surface. The black layer formation is due to migration of workpiece element and carbon from dielectric to the tool electrode surface. This finding has close relationship with the results presented by Ref. [21]. Also the increase in pulse-off-time decreased the EWR as with long pulse-off time the dielectric fluid produces the cooling effect on electrode and work piece and hence decreases the EWR [14]. The observed results shown proved that the main factor, which affects the electrode wear rate, is electrode shape. The pulse-on-time only plays small role on EDM process. The results
  • 11.
    International Journal ofMechanical Engineering and Technology (IJMET), ISSN 0976 – 6340(Print), ISSN 0976 – 6359(Online), Volume 5, Issue 7, July (2014), pp. 113-124 © IAEME indicated that the electrode wear rate is minimum at a pulse-on-time of 100 μsec. In machining, the interaction between the chosen factors also plays some role in deciding the electrode wear rate. The results indicate that the interactions namely AB, AD, BC, BD and CD have significant effect on electrode wear rate. Out of four main factors considered, electrode shape is the most significant factor which affecting the electrode wear rate; while pulse-on-time is the least significant parameter. Among the interactions, the interaction pulse-on-time and pulse-off-time is more significant than other parameters. 122 6. CONCLUSION Using design of experiments technique, the parameters, which are having significant influence on electrode wear rate on the machining of AISI 304 SS, have been studied. (1) This experimental technique is easier and convenient technique used to study the main and interaction effects of different influential combinations of machining parameters affecting electrode wear rate. (2) Electrode shape is the factor, which has greater influence on EWR, followed by pulse off time. (3) The interaction also play some role in deciding the EWR on the EDM of AISI 304 SS. The interaction between pulse on time and pulse off time has more influence comparing with other interactions on EWR on the machining of AISI 304 SS. (4) The parameters considered in the experiments are optimized to attain minimum EWR using response graph, response table, normal probability plot, interaction graphs and analysis of variance (ANOVA) technique. (5) The optimization procedure can be used to predict the EWR for EDM of AISI 304 SS within the ranges of variable studied. However, the validity of the procedure is limited to the range of factors considered for the experimentation. 7. REFERENCES 1. C.A. Rashed, L. Romoli, F. Tantussi, F. Fuso, L. Bertoncini, M. Fiaschi, M. Allegrini and G. Dini, (2014), Experimental optimization of micro-electrical discharge drilling process from the perspective of inner surface enhancement measured by shear-force microscopy, CIRP Journal of Manufacturing Science and Technology, Vol. 7, pp.11-19. 2. P. S. Rao, B. S. Reddy, J. S. Kumar and K. V. Reddy, (2010), Fuzzy Modeling for Electrical Discharge Machining of AISI 304 Stainless Steel, Journal of Applied Sciences Research, Vol. 6, No.11, pp. 1687-1700. 3. S. Dhanik, S. Joshi, N. Ramakrishnan, and P. Apte, (2005), Evolution of EDM process modelling and development towards modelling of the micro-EDM process, International Journal of Manufacturing Technology and Management, Vol. 7, No.2, pp.157-180. 4. K.H. Ho, and S.T. Newman, (2003), State of Art Electrical Discharge Machining (EDM), International Journal of Machine Tools and Manufacture, Volu. 43, No.13, pp.1287-1300. 5. J. Marafona, and C.A. Wykes, (2000), New Method of Optimizing Material Removal Rate using EDM with Copper-tungsten Electrodes, International Journal of Machine Tools and Manufacture, Vol. 40, No.2, pp.153-164. 6. A.A. Khan and S. Mridha ( 2007), Performance of Copper and Aluminum Electrodes during EDM of Stainless Steel and Carbide, The International Journal for Manufacturing Science and Production, Vol. 7, No.1, pp.1-7.
  • 12.
    International Journal ofMechanical Engineering and Technology (IJMET), ISSN 0976 – 6340(Print), ISSN 0976 – 6359(Online), Volume 5, Issue 7, July (2014), pp. 113-124 © IAEME 123 7. P. R. Kubade and V. S. Jadhav, (2012), An experimental investigation of electrode wear rate (EWR), material removal rate (MRR) and radial overcut (ROC) in EDM of high carbon-high chromium steel (AISI D3), International Journal of Engineering and Advanced Technology Vol.1, Issue 5, pp.135-140. 8. M. Sahoo, R. N. Pramanik and D. Sahoo, (2013), Experimental investigation of machining of tungsten carbide by EDM and its mathematical expression, International Journal of Mechanical and Production Engineering , Vol.2, Issue 1, pp.138-150. 9. P. S. Rao, J. S. Kumar, K. V. K. Reddy and B. S. Reddy, (2010), Parametric study of electrical discharge machining of AISI 304 stainless steel International Journal of Engineering Science and Technology, Vol. 2 No.8, pp.3535-3550. 10. R. Atefi, N. Javam, A. Razmavar and F. Teimoori, (2012), The Influence of EDM Parameters in Finishing Stage on Surface Quality, MRR and EWR, Research Journal of Applied Sciences, Engineering and Technology Vol.4, No.10, pp.1287-1294. 11. L. Li, L. Gu, X. Xi and W. Zhao, (2012), Influence of flushing on performance of EDM with bunched electrode, Int J Adv Manuf Technol. Vol.58, pp187–194. 12. O. Yilmaz and M. A. Okka, (2010), Effect of single and multi-channel electrodes application on EDM fast hole drilling performance, Int J Adv Manuf Technol, Vol. 51, pp.185–194. 13. S.N. Mehta, (2013), Investigation of optimum process parameters using genetic algorithm based neural networks during EDM of 64WC-9Co, International Journal of Engineering Research and Technology, Vol. 6, No. 5, pp. 701-708. 14. M.M. Rahman, (2012), Modeling of machining parameters of Ti-6Al-4V for electric discharge machining: A neural network approach, Scientific Research and Essays, Vol. 7, No. 8, pp. 881-890. 15. A. N Sait, S. Aravindan and A. N. Haq, (2009), Optimisation of machining parameters of glass-fibre-reinforced plastic (GFRP) pipes by desirability function analysis using Taguchi technique, Int J Adv Manuf Technol Vol, 43, pp.581–589. 16. S. Ravi, V. Balasubramanian, S. Babu and S. N. Nasser, (2004), Assessment of factors influencing the fatigue life of strength mis-matched HSLA steel weldments. Mater. Des. Vol.25, pp. 125–135. 17. T. Barker, (1985), Quality by experimental design. New York: Marcel Dekker. 18. R. Lochner and J. Mater, (1990), Designing for quality, London: Chapman and Hall. 19. S.H.Tomadi, M.A.Hassan, Z. Hamedon, R.Daud and A.G.Khalid, (2009), Analysis of the influence of EDM parameters on surface quality, material removal rate and electrode wear of tungsten carbide, Proceedings of the International MultiConference of Engineers and Computer Scientists, Vol II, March 18 – 20. 20. P. M. Arvindbhai, (2011), An investigation and analysis of process parameters for EDM drilling machine using Taguchi method, PhD thesis, Saurashtra University, Rajkot. 21. P. S. Bharti, (2012), Optimization of process parameters of electric discharge machining based on neural networks and Taguchi’s method, PhD thesis, Guru Gobind Singh Indraprastha University, Dwarka, Delhi. 22. A. Parshuramulu, K. Buschaiah and P. Laxminarayana, “A Study on Influence of Polarity on the Machining Characteristics of Sinker EDM”, International Journal of Advanced Research in Engineering Technology (IJARET), Volume 4, Issue 3, 2013, pp. 158 - 162, ISSN Print: 0976-6480, ISSN Online: 0976-6499. 23. Mane S.G. and Hargude N.V., “An Overview of Experimental Investigation of Near Dry Electrical Discharge Machining Process”, International Journal of Advanced Research in Engineering Technology (IJARET), Volume 3, Issue 2, 2012, pp. 22 - 36, ISSN Print: 0976-6480, ISSN Online: 0976-6499.