Module -2 - Robot
Kinematics
Structure of robot manipulator
What is a link in a robot?
Here is one definition of a robot link.
“A link is defined as a single part which can be a resistant body or a
combination of resistant bodies having inflexible connections and having
a relative motion with respect to other parts of the machine.
A link is also known as a kinematic link or element.
A resistant body is one which does not go under deformation
while transmitting the force.”
There are different division of link in robot.
1.Rigid link: In this type of link, there will not be any
deformation while transmitting the motion. For example, the
industrial robotic arm is having rigid links, there will not be any
deformation while moving the arm.
2.Flexible link: In this type of link, there will be a partial
deformation while transmitting the motion. One of the
examples of flexible links is belt drives.
3.Fluid link: In this type of link, motion is transmitted with the
help of fluid pressure. Hydraulic actuators, brakes are an
example of a fluid link.
What is a joint in a robot?
Here is the definition of robot joint
“A joint is a connection between two or more links, which
allows some motion, or potential motion, between the
connected links. Joints are also called Kinematic pair.”
There are different classification of joints. Here is the
main classification of joints based on.
1.Type of contact between links
2.Type of relative motion
3.Nature of constraint or Types of closure
Different types of joints
What is Kinematics?
We have seen joints, links, D.O.F in the earlier section. These are some of the terms related to the structure of the robot.
The Kinematics is a branch of physics and a subdivision of classical mechanics concerned with the geometrically possible motion of a body or
system of bodies without consideration of the forces involved.
Within kinematics, one studies position, velocity, acceleration (and even higher-order derivatives of position) w.r.t. time
What is a Kinematic Chain of robot?
In mechanical engineering, a kinematic chain is an assembly of rigid bodies connected by joints to provide constrained (or
desired) motion that is the mathematical model for a mechanical system.
As in the familiar use of the word chain, the rigid bodies, or links, are constrained by their connections to other links
Here is an example of the kinematic chain of serial link
robotic arm.
TWO BASIC JOINTS
Robotic Arm & Degrees of Freedom
A ‘Degree of Freedom’ (DoF) as it relates to robotic arms, is an independent joint that can provide freedom of movement
for the manipulator, either in a rotational or translational (linear) sense. Every geometric axis that a joint can rotate around
or extend along is counted as a Single Degree of Freedom.
In theory, quite a few types of joints provide varying degrees of freedom in terms of rotation and translation (see the chart
below). In practice, however, most robotic arms will be made up of joints that provide one degree of freedom. The two
most common joints are:
Revolute Joint: Providing one degree of rotational freedom
Prismatic Joint: Providing one degree of linear freedom
Prismatic Joint: Linear, No rotation involved.
(Hydraulic or pneumatic cylinder)
Revolute Joint: Rotary,
(electrically driven with stepper motor, servo
motor)
What are the parts
of a robot?
• Manipulator
• Pedestal
• Controller
• End Effectors
• Power Source
Manipulator
• Base
•Appendages
Shoulder
Arm
Grippers
Pedestal
(Human waist)
• Supports the
manipulator.
• Acts as a
counterbalance.
Controller
(The brain)
• Issues instructions to
the robot.
• Controls peripheral
devices.
• Interfaces with robot.
• Interfaces with
humans.
End Effectors
(The hand)
• Spray paint
attachments
• Welding attachments
• Vacuum heads
• Hands
• Grippers
Power Source
(The food)
• Electric
• Pneumatic
• Hydraulic
Robots degrees of freedom
⚫ Degrees of Freedom: Number of
independent position variables which
would has to be specified to locate all
parts of a mechanism.
⚫ In most manipulators this is usually the
number of joints.
Fig. A Fanuc P-15 robot.
Reprinted with permission from Fanuc Robotics, North America, Inc.
Consider what is the degree of Fig.
1 D.O.F. 2 D.O.F. 3 D.O.F.
Robots degrees of freedom
Robot
Coordinates
• Cartesian/rectangular/gantry (3P) : 3 cylinders joint
• Cylindrical (R2P) : 2 Prismatic joint and 1 revolute joint
Fig. 1.4
• Spherical (2RP) : 1 Prismatic joint and 2 revolute joint
• Articulated/anthropomorphic (3R) : All revolute(Human arm)
• Selective Compliance Assembly Robot Arm (SCARA):
2 paralleled revolute joint and 1 additional prismatic joint
Robot Reference Frames
Fig. 1.6 A robot’s World, Joint, and
Tool reference frames.
Most robots may be programmed
to move relative to either of these
reference frames.
Robot Workspace
Fig. 1.7 Typical workspaces for common robot configurations
Consider a robotic arm built to work like a human arm.
•The shoulder can rotate in any direction, giving it three degrees of rotational freedom.
•The elbow can bend in only one direction, resulting in one degree of rotational freedom.
•The wrist can rotate in any direction, adding three more degrees of rotational freedom.
3 Degrees of Freedom Robotic Arm: This is a robot that has three joints that
work alongside each other to effect movement in a robotic arm. They can be
used for all kinds of robotic work from welding, pick and place, machine tending
handling, and so many more. They also vary in size from small contraptions for
localized tasks to huge behemoths that can handle warehousing roles.
4 Degrees of Freedom Robotic Arm: This is a robot that has four axes or joints.
The last axis is located near the base of the robot, and it provides the movement
and the stability needed for the entire robotic arm to function correctly. This
type of robot is used in palletizing, machine loading, pick and place, automated
packaging, among many other roles. The design is a little complicated compared
to a 3DOF robotic arm, but it gets more done in return.
5 Degrees of Freedom Robotic Arm: This is a robotic arm that has five joints,
including a manipulator, a servo-motor actuator, and corresponding arm
components like the arm, the below, and the wrist. It is more complex than the
previous two and can handle more due to the presence of more joints.
6 Degrees of Freedom Robotic Arm: This is a robotic arm that is made of 6
servo-motors, with a corresponding arm, elbow, and wrist. Each joint can move
to a certain degree which may be limited a little but is way more than the
previous lower versions of DOF. This means that the 6 DOF robotic arm is
stronger and faster and can handle even bigger roles in manufacturing.
7 Degrees of Freedom Robotic Arm: This is a robotic arm that comes with a
shoulder joint that has 3 degrees of freedom, a back and front flexion, external
and internal expansion and rotation, an elbow joint equipped with 1 degree of
freedom, and a wrist. All this provides the robotic arm with a high level of
flexibility as it can move more and twist in ways that most arms can’t manage.
8 Degrees of Freedom Robotic Arm: This is the highest degree of freedom ever
built in a robot so far, and it provides the most flexibility as it can turn and twist
and rise in any direction to the maximum range. The only things that can limit its
motions are the distance to the object or the energy required to maintain that
motion.
The four parameters
Ai - link length
Αi - link twist
Di - link offset
θi - joint angle
Denavit Hartenberg Representation
Joint Description
• Link parameters
Hence, any robot can be described kinematically by giving the values
of four quantities for each link. Two describe the link itself, and two
describe the link's connection to a neighboring link. In the usual case
of a revolute joint, θi is called the joint variable, and the other three
quantities would be fixed link parameters. For prismatic joints, d1 is
the joint variable, and the other three quantities are fixed link
parameters. The definition of mechanisms by means of these
quantities is a convention usually called the Denavit—Hartenberg
notation
61
Convention for attaching frames to links
• A frame is attached rigidly to each link; frame {i} is attached rigidly to
link (i), such that:
Intermediate link
• መ
𝑍𝑖-axis of frame {i} is coincident with the joint axis (i).
• The origin of frame {i} is located where the ai perpendicular intersects the
joint (i) axis.
• ෠
𝑋𝑖 -axis points along ai in the direction from joint (i) to joint (i+1)
• In the case of ai = 0, ෠
𝑋𝑖 is normal to the plane of መ
𝑍𝑖 and መ
𝑍𝑖+1. We define α i as
being measured in the right-hand sense about ෠
𝑋𝑖.
• ෠
𝑌𝑖 is formed by the right-hand rule to complete the ith frame.
62
Convention for attaching frames to links
First link/joint:
• Use frames {0} and {1} coincident when joint variable (1) is zero.
➔ (a0 = 0, α0 = 0, and d0 = 0) if joint (1) is revolute
➔ (a0 = 0, α0 = 0, and d0 = 0) if joint (1) is revolute
Last link/joint:
• Revolute joint: frames {n-1} and {n} are coincident when θi = 0.
as a result di = 0 (always).
• Prismatic joint: frames {n-1} and {n} are coincident when di = 0.
as a result θi = 0 (always).
63
Convention for attaching frames to links
• Summary
64
Note: frames attachments
is not unique
Convention for attaching frames to links
• Example: attach frames for the following manipulator, and find DH
parameters…
65
Convention for attaching frames to links
• Example: attach frames for the following manipulator, and find DH
parameters…
• Determine Joint axes መ
𝑍𝑖
(in this case out of the page)
➔ All αi = 0
• Base frame {0} when θ1 = 0
➔ ෠
𝑋0 can be determined.
• Frame {3} (last link) when θ3 = 0
➔ ෠
𝑋3 can be determined.
66
Convention for attaching frames to links
• Construct the table:
67
Convention for attaching frames to links
68
For the 3DoF manipulator
shown in the figure assign
frames for each link using DH
method and determine link
parameters.
Robot Dynamics
Dynamic Analysis and Forces
• The dynamics, related with accelerations, loads, masses and inertias.
__
__
a
m
F 
=

__
__


=
 I
T
In Actuators…….
• The actuator can be accelerate a robot’s links for exerting enough forces
and torques at a desired acceleration and velocity.
• By the dynamic relationships that govern the motions of the robot,
considering the external loads, the designer can calculate the necessary
forces and torques.
Fig. Force-mass-acceleration and torque-inertia-angular
acceleration relationships for a rigid body.
LAGRANGIAN MECHANICS: A SHORT OVERVIEW
• Lagrangian mechanics is based on the differentiation energy terms
only, with respect to the system’s variables and time.
• Definition: L = Lagrangian, K = Kinetic Energy of the system, P = Potential
Energy, F = the summation of all external forces for a linear
motion, T = the summation of all torques in a rotational motion,
x = System variables
P
K
L −
=
i
i
i
x
L
x
L
t
F


−












= 
i
i
i
L
L
t
T

 

−












= 
Dynamic Analysis and Forces
Example
Fig. Schematic of a simple cart-spring system. Fig. Free-body diagram for the sprint-cart system.
• Lagrangian mechanics
2
2
2
2
1
,
2
1
2
1
kx
P
x
m
mv
K =
=
=
•
2
2
2
1
2
1
kx
x
m
P
K
L −
=
−
=
•
• Newtonian mechanics
. . ..
.
, ( ) ,
i
L d L
m x m x m x kx
dt x
x
 
= = = −


kx
x
m
F +
=
..
__
__
a
m
F 
=

kx
ma
F
ma
kx
F +
=
→
=
−
• The complexity of the terms increases as the number of degrees of freedom
and variables.
Solution
Derive the force-acceleration relationship for the one-degree of freedom system.
Dynamic Analysis and Forces
Example
Fig. Schematic of a cart-pendulum system.
Solution
Derive the equations of motion for the two-degree of freedom system.
In this system…….
• It requires two coordinates, x and .
• It requires two equations of motion:
1. The linear motion of the system.
2. The rotation of the pendulum.






+














+













 +
=












sin
0
0
sin
0
cos
cos
2
.
2
.
2
2
..
..
2
2
2
2
2
1
gl
m
kx
x
l
m
x
l
m
l
m
l
m
m
m
T
F
Dynamic Analysis and Forces
Example
Fig. A two-degree-of-freedom robot arm.
Solution
Using the Lagrangian method, derive the equations of motion for the two-degree
of freedom robot arm.
Follow the same steps as before…….
• Calculates the velocity of the center of
mass of link 2 by differentiating its position:
• The kinetic energy of the total system is the
sum of the kinetic energies of links 1 and 2.
• The potential energy of the system is the
sum of the potential energies of the two
links:
Dynamic Analysis and Forces
EFFECTIVE MOMENTS OF INERTIA
• To Simplify the equation of motion, Equations can be rewritten in
symbolic form.






+














=














+














=






j
i
jjj
jii
ijj
iii
jjj
jii
ijj
iii
j
i
jj
ji
ij
ii
D
D
D
D
D
D
D
D
D
D
D
D
D
D
T
T
.
1
.
2
.
2
.
1
.
2
2
.
2
1
..
..
2
1








Dynamic Analysis and Forces
DYNAMIC EQUATIONS FOR MULTIPLE-DEGREE-OF-FREEDOM ROBOTS
• Equations for a multiple-degree-of-freedom robot are very long and
complicated, but can be found by calculating the kinetic and potential
energies of the links and the joints, by defining the Lagrangian and by
differentiating the Lagrangian equation with respect to the joint variables.
Kinetic Energy
• The kinetic energy of a rigid body
with motion in three dimension :
G
h
V
m
K
__
2
2
1
2
1

+
=
• The kinetic energy of a rigid body
in planar motion
2
2
2
1
2
1

I
V
m
K +
=
Fig. A rigid body in three-dimensional motion and
in plane motion.
Dynamic Analysis and Forces
DYNAMIC EQUATIONS FOR MULTIPLE-DEGREE-OF-FREEDOM ROBOTS
Kinetic Energy
• The velocity of a point along a robot’s link can be defined by differentiating
the position equation of the point.
i
i
i
i
R
i r
T
r
T
p 0
=
=
• The velocity of a point along a robot’s link can be defined by differentiating
the position equation of the point.
( ) 
 =
= = =
+
=
n
i
i
act
i
r
n
i
i
p
i
r
p
T
ir
i
ip
i q
I
q
q
U
J
U
Trace
K
1
2
)
(
1 1 1 2
1
2
1



Dynamic Analysis and Forces
DYNAMIC EQUATIONS FOR MULTIPLE-DEGREE-OF-FREEDOM ROBOTS
Potential Energy
• The potential energy of the system is the sum of the potential energies of each link.
]
)
(
[
1
0
1

 =
=

−
=
=
n
i
i
i
T
i
n
i
i r
T
g
m
p
P
• The potential energy must be a scalar quantity and the values in the gravity
matrix are dependent on the orientation of the reference frame.
Dynamic Analysis and Forces
DYNAMIC EQUATIONS FOR MULTIPLE-DEGREE-OF-FREEDOM ROBOTS
The Lagrangian
( ) r
n
i
i
p
i
r
p
T
ir
i
ip q
q
U
J
U
Trace
P
K
L 


= = =
=
−
=
1 1 1
2
1
]
)
(
[
2
1
1
0
1
2
)
( 
 =
=

−
−
+
n
i
i
i
T
i
n
i
i
act
i r
T
g
m
q
I 
Dynamic Analysis and Forces
DYNAMIC EQUATIONS FOR MULTIPLE-DEGREE-OF-FREEDOM ROBOTS
Robot’s Equations of Motion
• The Lagrangian is differentiated to form the dynamic equations of motion.
• The final equations of motion for a general multi-axis robot is below.
i
n
j
n
k
k
j
ijk
i
act
i
n
j
j
ij
i D
q
q
D
q
I
q
D
T 
 = =
=
+
+
+
=
1 1
)
(
1






)
(
)
,
max(
T
pi
p
n
j
i
p
pj
ij U
J
U
Trace
D 
=
=
)
(
)
,
,
max(
T
pi
p
n
k
j
i
p
pjk
ijk U
J
U
Trace
D 
=
=

=
−
=
n
i
p
p
pi
T
p
i r
U
g
m
D
where,
Dynamic Analysis and Forces
Example
Fig. The two-degree-of-freedom robot arm of Example 4.4
Solution
Using the aforementioned equations, derive the equations of motion for the two-
degree of freedom robot arm. The two links are assumed to be of equal length.
Follow the same steps as before…….
• Write the A matrices for the two links;
• Develop the , and for the robot.
ij
D ijk
D i
D
• The final equations of motion without the actuator inertia terms are the same as below.
2
2
2
2
2
2
1
2
2
2
2
2
2
1
1
2
1
3
1
3
4
3
1

 


 





+
+






+
+
= C
l
m
l
m
C
l
m
l
m
l
m
T
( ) 1
)
(
1
1
2
12
2
1
1
2
1
2
2
2
2
2
2
2
2
2
1
2
1
2
1



 



 act
I
glC
m
glC
m
glC
m
S
l
m
S
l
m +
+
+
+
+






+
1
)
(
2
12
2
2
2
2
2
2
2
1
2
2
2
2
2
2
2
1
2
1
3
1
2
1
3
1


 




 act
I
glC
m
S
l
m
l
m
C
l
m
l
m
T +
+






+






+






+
=
Dynamic Analysis and Forces
STATIC FORCE ANALYSIS OF ROBOTS
• Position Control: The robot follows a prescribed path without any reactive force.
• Robot Control means Position Control and Force Control.
• Force Control: The robot encounters with unknown surfaces and manages to
handle the task by adjusting the uniform depth while getting the reactive force.
Ex) Tapping a Hole - move the joints and rotate them at particular rates to
create the desired forces and moments at the hand frame.
Ex) Peg Insertion – avoid the jamming while guiding the peg into the hole and
inserting it to the desired depth.
Dynamic Analysis and Forces
STATIC FORCE ANALYSIS OF ROBOTS
• To Relate the joint forces and torques to forces and moments generated at the
hand frame of the robot.
T
H H H H H H H
x y z x y z
F f f f m m m
   
=
   
x y z x y z x z
dx
dy
dz
W f f f m m m f dx m z
x
y
z
 
 
 
 
 
 
= = + +
 
  
 
 

 

 
     
F
J
T H
T
H
=
       

 D
T
D
F
W
T
H
T
H
=
=
• f is the force and m is the moment
along the axes of the hand frame.
• The total virtual work at the joints
must be the same as the total work
at the hand frame.
• Referring to Appendix A
Dynamic Analysis and Forces
TRANSFORMATION OF FORCES AND MOMENTS BETWEEN COORDINATE FRAMES
• An equivalent force and moment with respect to the other coordinate frame
by the principle of virtual work.
   
z
y
x
z
y
x
T
m
m
m
f
f
f
F =
   
z
y
x
z
y
x
T
d
d
d
D 


=
   
z
B
y
B
x
B
z
B
y
B
x
B
T
B
m
m
m
f
f
f
F =
   
z
B
y
B
x
B
z
B
y
B
x
B
T
B
d
d
d
D 


=
       
D
T
D
F
W B
T
B
T
=
=

• The total virtual work performed on the object in either frame must be the same.
Dynamic Analysis and Forces
TRANSFORMATION OF FORCES AND MOMENTS BETWEEN COORDINATE FRAMES
• Displacements relative to the two frames are related to each other by the
following relationship.
    
D
J
D B
B
=
• The forces and moments with respect to frame B is can be calculated directly
from the following equations:
f
n
fx
B

=
f
o
fy
B

=
f
o
fy
B

=
( ) ]
[ m
p
f
n
mx
B
+


=
( ) ]
[ m
p
f
o
my
B
+


=
( ) ]
[ m
p
f
a
mz
B
+


=
MOBILE ROBOT KINEMATICS
Locomotion
Power of motion from place to place
For a robot to be able to interact with its environment it must be able to:-
• Move within the environment in some manner
• Sense the environment it moves through
Kinematics:-
• The study of motion ignoring the forces that actually generate that motion.
• Given some control inputs, how will a robot move? (FORWARD KINEMATICS)
• Given some desired motion, which control inputs should be chosen in order to
obtain the desired motion? (INVERSE KINEMATICS)
Statics and Static Stability
• Forces and moments propagate through a robot’s
structure
• Static Stability – defines a set of gaits that allow a
robot to remain “standing” without any control
wheels/legs.
Dynamics and Dynamic Stability
• How forces generate accelerations that produce
motion
• Dynamic stability – having to dynamically control gait
in order to ensure a robot does not fall over. e.g. a
single legged hopping robot.
Robot Motion
The motion of a robot will depend on the mechanism through which
the motion is generated and supported
• Wheeled
• Legged
• Aquatic
• Flying
• Rocket Propelled
Let us consider, as an example, a description of these tasks for wheeled
robots
Wheeled Mobile Robots
• Wheels utilise friction
and ground contact to
enable motion
• Lets consider the case of
an ideal wheel pictured
on the left.
The Ideal Wheel
Consider an Ideal Wheel
• Wheel rotates about the x-axis.
• Motion is solely in the y-direction.
• Measurement of wheel motion (odometry) from e.g. a wheel encoder
is perfectly accurate.
- A distance of 2.π.r in the y-direction is covered for every rotation of
the wheel.
Of course things aren’t quite that easy!
An actual wheel is considerably more complicated than
the ideal:-
• May be lateral slip if there is insufficient traction
• Rough terrain and bumps, compression and cohesion
between the wheel and ground surfaces often leads
to a loss in accuracy
• Some of the resultant motion will be in the z direction
• Consequently, Odometry will be inaccurate:-
• Driven wheels are more prone to error due to the
forces acting on the wheel
• One technique – for measurement - is to use an
additional non-driven, non-load bearing, light wheel
to more accurately recover the motion of the robot –
in terms of both distance covered and in direction if
the light wheel has a castor. This can be used for as a
good approximate for low velocity motion.
The Instantaneous Centre of Curvature [ICC]
The Instantaneous Centre of Curvature [ICC]
• Consider the case where several wheels are in contact
with the surface – see previous slide.
• If all wheels in contact with the surface are to roll –
then the axes of each wheel must intersect through a
single centre of rotation – the ICC (case a).
• If no consistent ICC exists then the wheels cannot roll
(case b).
• Not only must the ICC exist but each wheel’s velocity
must be consistent with a rigid rotation about the ICC.
E.g. If a set of three wheels were equidistant from the
ICC they would all have to move at the same velocity.
Pose of a Robot and Frames of Reference
• Vehicle on a plane has three degrees of freedom
• two in translation (x, y)
• Based on a fixed frame of reference, a {W} or World frame
• one in orientation 
•  = 0 is defined to point along the Wx direction
• positive rotations are counter-clockwise
• triplet (x, y, ) is defined as the pose of the robot
Types of Robot Motion
• Holonomic Robots – can move in any direction
instantaneously. This is clearly impossible as any real
robot will have mass.
• Omni-Directional Robots – can in practice move in
any direction but takes time as the robot has mass.
• Such robots are, in general, treated as being Holonomic.
• E.g. Differential Drive with a castor wheel – dwarf robots.
• Non-Holonomic Robots – this type of robot is limited
in the way it can move e.g. Car Parking.
• Normally limited by dynamic or kinematic restraints – e.g.
limited turning ability
Pose of an ideal “holonomic” differential drive
robot.
Pose of an ideal “holonomic” differential drive
robot.
• Consider the differential drive robot shown in the
previous Slide. This is an ideal differential drive robot
(with supporting castor wheel ignored for the
purpose of simplicity)
• Inter-wheel spacing is D.
• Orientation of the robot is θ w.r.t. {W}.
• Position of the robot is (x,y) w.r.t. {W}.
• Where will the ICC be located?
Where is the ICC?
• The ICC will be located at some point along the axis of the wheels.
• If Vleft=Vright
• Robot will move in a straight line forward/backwards – no change in orientation i.e. ω=0.
• The ICC is effectively at ∞ therefore the radius of curvature is also ∞ (i.e. a straight line!).
• If Vleft=-Vright
• The robot will turn on the spot – no translation purely change in orientation.
• The ICC is in the centre of the wheels and the radius of curvature is 0 (i.e. it rotates!).
• If │Vleft│≠│Vright│
• The robot will both turn and move (i.e. both translation and rotation).
Where is the ICC?
• We can start by writing some
equations using the relationship
between Angular and Linear
Velocity.
Where is the ICC?
• So for each wheel on the robot
• [1]
• [2]
• Assuming we know VLeft and VRight (i.e. we can control the speed of the
wheels!)
• We can then solve the simultaneous equations for ω and R.
)
2
( D
R
VLeft −
= 
)
2
( D
R
VRight +
= 
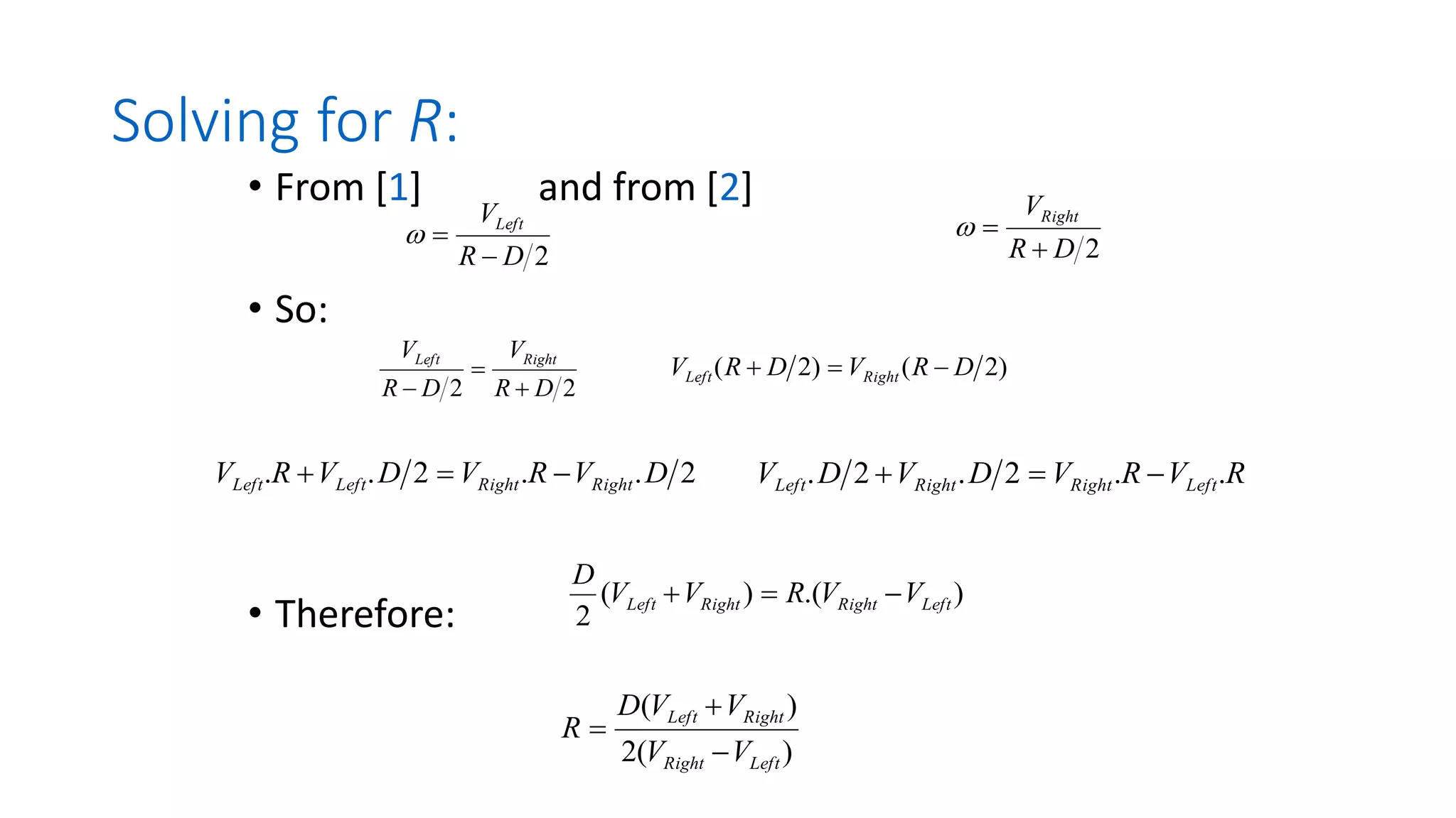
Solving for R:
• From [1] and from [2]
• So:
• Therefore:
2
D
R
VLeft
−
=
 2
D
R
VRight
+
=

)
(
2
)
(
Left
Right
Right
Left
V
V
V
V
D
R
−
+
=
2
2 D
R
V
D
R
V Right
Left
+
=
−
)
2
(
)
2
( D
R
V
D
R
V Right
Left −
=
+
2
.
.
2
.
. D
V
R
V
D
V
R
V Right
Right
Left
Left −
=
+ R
V
R
V
D
V
D
V Left
Right
Right
Left .
.
2
.
2
. −
=
+
)
.(
)
(
2
Left
Right
Right
Left V
V
R
V
V
D
−
=
+
Solving for ω:
• From [1] from [2]
• Therefore:-
R
D
VLeft
=
+ 2

R
D
VRight
=
− 2

D
V
V Left
Right )
( −
=

2
2 D
V
D
V Right
Left
−
=
+

 

Right
Left V
D
V
=
+
Right
Left V
D
V =
+ .
 Left
Right V
V
D −
=
.

Robot Intelligence
• Intellectual abilities/performance need to be
compatible with actuators/sensors and must take
account of mechanical reality.
• Can operate on equations of motion etc (normal
route)
• Can operate on learned behavioural route (highly
non-linear/human approach)
• Can operate on taught approach (Asimo) –
programmed
• Can operate under remote control

2-Kinamatics Introduction, forward and reverse kinematics, robot arm and degrees of freedom-15-05-2023 (1).pdf

  • 1.
    Module -2 -Robot Kinematics
  • 7.
    Structure of robotmanipulator
  • 8.
    What is alink in a robot? Here is one definition of a robot link. “A link is defined as a single part which can be a resistant body or a combination of resistant bodies having inflexible connections and having a relative motion with respect to other parts of the machine. A link is also known as a kinematic link or element. A resistant body is one which does not go under deformation while transmitting the force.” There are different division of link in robot. 1.Rigid link: In this type of link, there will not be any deformation while transmitting the motion. For example, the industrial robotic arm is having rigid links, there will not be any deformation while moving the arm. 2.Flexible link: In this type of link, there will be a partial deformation while transmitting the motion. One of the examples of flexible links is belt drives. 3.Fluid link: In this type of link, motion is transmitted with the help of fluid pressure. Hydraulic actuators, brakes are an example of a fluid link.
  • 9.
    What is ajoint in a robot? Here is the definition of robot joint “A joint is a connection between two or more links, which allows some motion, or potential motion, between the connected links. Joints are also called Kinematic pair.” There are different classification of joints. Here is the main classification of joints based on. 1.Type of contact between links 2.Type of relative motion 3.Nature of constraint or Types of closure Different types of joints
  • 10.
    What is Kinematics? Wehave seen joints, links, D.O.F in the earlier section. These are some of the terms related to the structure of the robot. The Kinematics is a branch of physics and a subdivision of classical mechanics concerned with the geometrically possible motion of a body or system of bodies without consideration of the forces involved. Within kinematics, one studies position, velocity, acceleration (and even higher-order derivatives of position) w.r.t. time What is a Kinematic Chain of robot? In mechanical engineering, a kinematic chain is an assembly of rigid bodies connected by joints to provide constrained (or desired) motion that is the mathematical model for a mechanical system. As in the familiar use of the word chain, the rigid bodies, or links, are constrained by their connections to other links Here is an example of the kinematic chain of serial link robotic arm.
  • 13.
  • 22.
    Robotic Arm &Degrees of Freedom A ‘Degree of Freedom’ (DoF) as it relates to robotic arms, is an independent joint that can provide freedom of movement for the manipulator, either in a rotational or translational (linear) sense. Every geometric axis that a joint can rotate around or extend along is counted as a Single Degree of Freedom. In theory, quite a few types of joints provide varying degrees of freedom in terms of rotation and translation (see the chart below). In practice, however, most robotic arms will be made up of joints that provide one degree of freedom. The two most common joints are: Revolute Joint: Providing one degree of rotational freedom Prismatic Joint: Providing one degree of linear freedom Prismatic Joint: Linear, No rotation involved. (Hydraulic or pneumatic cylinder) Revolute Joint: Rotary, (electrically driven with stepper motor, servo motor)
  • 23.
    What are theparts of a robot? • Manipulator • Pedestal • Controller • End Effectors • Power Source
  • 24.
  • 25.
    Pedestal (Human waist) • Supportsthe manipulator. • Acts as a counterbalance.
  • 26.
    Controller (The brain) • Issuesinstructions to the robot. • Controls peripheral devices. • Interfaces with robot. • Interfaces with humans.
  • 27.
    End Effectors (The hand) •Spray paint attachments • Welding attachments • Vacuum heads • Hands • Grippers
  • 28.
    Power Source (The food) •Electric • Pneumatic • Hydraulic
  • 29.
    Robots degrees offreedom ⚫ Degrees of Freedom: Number of independent position variables which would has to be specified to locate all parts of a mechanism. ⚫ In most manipulators this is usually the number of joints.
  • 30.
    Fig. A FanucP-15 robot. Reprinted with permission from Fanuc Robotics, North America, Inc. Consider what is the degree of Fig. 1 D.O.F. 2 D.O.F. 3 D.O.F. Robots degrees of freedom
  • 31.
    Robot Coordinates • Cartesian/rectangular/gantry (3P): 3 cylinders joint • Cylindrical (R2P) : 2 Prismatic joint and 1 revolute joint Fig. 1.4 • Spherical (2RP) : 1 Prismatic joint and 2 revolute joint • Articulated/anthropomorphic (3R) : All revolute(Human arm) • Selective Compliance Assembly Robot Arm (SCARA): 2 paralleled revolute joint and 1 additional prismatic joint
  • 32.
    Robot Reference Frames Fig.1.6 A robot’s World, Joint, and Tool reference frames. Most robots may be programmed to move relative to either of these reference frames.
  • 33.
    Robot Workspace Fig. 1.7Typical workspaces for common robot configurations
  • 34.
    Consider a roboticarm built to work like a human arm. •The shoulder can rotate in any direction, giving it three degrees of rotational freedom. •The elbow can bend in only one direction, resulting in one degree of rotational freedom. •The wrist can rotate in any direction, adding three more degrees of rotational freedom.
  • 36.
    3 Degrees ofFreedom Robotic Arm: This is a robot that has three joints that work alongside each other to effect movement in a robotic arm. They can be used for all kinds of robotic work from welding, pick and place, machine tending handling, and so many more. They also vary in size from small contraptions for localized tasks to huge behemoths that can handle warehousing roles. 4 Degrees of Freedom Robotic Arm: This is a robot that has four axes or joints. The last axis is located near the base of the robot, and it provides the movement and the stability needed for the entire robotic arm to function correctly. This type of robot is used in palletizing, machine loading, pick and place, automated packaging, among many other roles. The design is a little complicated compared to a 3DOF robotic arm, but it gets more done in return. 5 Degrees of Freedom Robotic Arm: This is a robotic arm that has five joints, including a manipulator, a servo-motor actuator, and corresponding arm components like the arm, the below, and the wrist. It is more complex than the previous two and can handle more due to the presence of more joints.
  • 37.
    6 Degrees ofFreedom Robotic Arm: This is a robotic arm that is made of 6 servo-motors, with a corresponding arm, elbow, and wrist. Each joint can move to a certain degree which may be limited a little but is way more than the previous lower versions of DOF. This means that the 6 DOF robotic arm is stronger and faster and can handle even bigger roles in manufacturing. 7 Degrees of Freedom Robotic Arm: This is a robotic arm that comes with a shoulder joint that has 3 degrees of freedom, a back and front flexion, external and internal expansion and rotation, an elbow joint equipped with 1 degree of freedom, and a wrist. All this provides the robotic arm with a high level of flexibility as it can move more and twist in ways that most arms can’t manage. 8 Degrees of Freedom Robotic Arm: This is the highest degree of freedom ever built in a robot so far, and it provides the most flexibility as it can turn and twist and rise in any direction to the maximum range. The only things that can limit its motions are the distance to the object or the energy required to maintain that motion.
  • 60.
    The four parameters Ai- link length Αi - link twist Di - link offset θi - joint angle Denavit Hartenberg Representation
  • 61.
    Joint Description • Linkparameters Hence, any robot can be described kinematically by giving the values of four quantities for each link. Two describe the link itself, and two describe the link's connection to a neighboring link. In the usual case of a revolute joint, θi is called the joint variable, and the other three quantities would be fixed link parameters. For prismatic joints, d1 is the joint variable, and the other three quantities are fixed link parameters. The definition of mechanisms by means of these quantities is a convention usually called the Denavit—Hartenberg notation 61
  • 62.
    Convention for attachingframes to links • A frame is attached rigidly to each link; frame {i} is attached rigidly to link (i), such that: Intermediate link • መ 𝑍𝑖-axis of frame {i} is coincident with the joint axis (i). • The origin of frame {i} is located where the ai perpendicular intersects the joint (i) axis. • ෠ 𝑋𝑖 -axis points along ai in the direction from joint (i) to joint (i+1) • In the case of ai = 0, ෠ 𝑋𝑖 is normal to the plane of መ 𝑍𝑖 and መ 𝑍𝑖+1. We define α i as being measured in the right-hand sense about ෠ 𝑋𝑖. • ෠ 𝑌𝑖 is formed by the right-hand rule to complete the ith frame. 62
  • 63.
    Convention for attachingframes to links First link/joint: • Use frames {0} and {1} coincident when joint variable (1) is zero. ➔ (a0 = 0, α0 = 0, and d0 = 0) if joint (1) is revolute ➔ (a0 = 0, α0 = 0, and d0 = 0) if joint (1) is revolute Last link/joint: • Revolute joint: frames {n-1} and {n} are coincident when θi = 0. as a result di = 0 (always). • Prismatic joint: frames {n-1} and {n} are coincident when di = 0. as a result θi = 0 (always). 63
  • 64.
    Convention for attachingframes to links • Summary 64 Note: frames attachments is not unique
  • 65.
    Convention for attachingframes to links • Example: attach frames for the following manipulator, and find DH parameters… 65
  • 66.
    Convention for attachingframes to links • Example: attach frames for the following manipulator, and find DH parameters… • Determine Joint axes መ 𝑍𝑖 (in this case out of the page) ➔ All αi = 0 • Base frame {0} when θ1 = 0 ➔ ෠ 𝑋0 can be determined. • Frame {3} (last link) when θ3 = 0 ➔ ෠ 𝑋3 can be determined. 66
  • 67.
    Convention for attachingframes to links • Construct the table: 67
  • 68.
    Convention for attachingframes to links 68 For the 3DoF manipulator shown in the figure assign frames for each link using DH method and determine link parameters.
  • 72.
  • 73.
    Dynamic Analysis andForces • The dynamics, related with accelerations, loads, masses and inertias. __ __ a m F  =  __ __   =  I T In Actuators……. • The actuator can be accelerate a robot’s links for exerting enough forces and torques at a desired acceleration and velocity. • By the dynamic relationships that govern the motions of the robot, considering the external loads, the designer can calculate the necessary forces and torques. Fig. Force-mass-acceleration and torque-inertia-angular acceleration relationships for a rigid body.
  • 87.
    LAGRANGIAN MECHANICS: ASHORT OVERVIEW • Lagrangian mechanics is based on the differentiation energy terms only, with respect to the system’s variables and time. • Definition: L = Lagrangian, K = Kinetic Energy of the system, P = Potential Energy, F = the summation of all external forces for a linear motion, T = the summation of all torques in a rotational motion, x = System variables P K L − = i i i x L x L t F   −             =  i i i L L t T     −             = 
  • 88.
    Dynamic Analysis andForces Example Fig. Schematic of a simple cart-spring system. Fig. Free-body diagram for the sprint-cart system. • Lagrangian mechanics 2 2 2 2 1 , 2 1 2 1 kx P x m mv K = = = • 2 2 2 1 2 1 kx x m P K L − = − = • • Newtonian mechanics . . .. . , ( ) , i L d L m x m x m x kx dt x x   = = = −   kx x m F + = .. __ __ a m F  =  kx ma F ma kx F + = → = − • The complexity of the terms increases as the number of degrees of freedom and variables. Solution Derive the force-acceleration relationship for the one-degree of freedom system.
  • 89.
    Dynamic Analysis andForces Example Fig. Schematic of a cart-pendulum system. Solution Derive the equations of motion for the two-degree of freedom system. In this system……. • It requires two coordinates, x and . • It requires two equations of motion: 1. The linear motion of the system. 2. The rotation of the pendulum.       +               +               + =             sin 0 0 sin 0 cos cos 2 . 2 . 2 2 .. .. 2 2 2 2 2 1 gl m kx x l m x l m l m l m m m T F
  • 90.
    Dynamic Analysis andForces Example Fig. A two-degree-of-freedom robot arm. Solution Using the Lagrangian method, derive the equations of motion for the two-degree of freedom robot arm. Follow the same steps as before……. • Calculates the velocity of the center of mass of link 2 by differentiating its position: • The kinetic energy of the total system is the sum of the kinetic energies of links 1 and 2. • The potential energy of the system is the sum of the potential energies of the two links:
  • 91.
    Dynamic Analysis andForces EFFECTIVE MOMENTS OF INERTIA • To Simplify the equation of motion, Equations can be rewritten in symbolic form.       +               =               +               =       j i jjj jii ijj iii jjj jii ijj iii j i jj ji ij ii D D D D D D D D D D D D D D T T . 1 . 2 . 2 . 1 . 2 2 . 2 1 .. .. 2 1        
  • 92.
    Dynamic Analysis andForces DYNAMIC EQUATIONS FOR MULTIPLE-DEGREE-OF-FREEDOM ROBOTS • Equations for a multiple-degree-of-freedom robot are very long and complicated, but can be found by calculating the kinetic and potential energies of the links and the joints, by defining the Lagrangian and by differentiating the Lagrangian equation with respect to the joint variables. Kinetic Energy • The kinetic energy of a rigid body with motion in three dimension : G h V m K __ 2 2 1 2 1  + = • The kinetic energy of a rigid body in planar motion 2 2 2 1 2 1  I V m K + = Fig. A rigid body in three-dimensional motion and in plane motion.
  • 93.
    Dynamic Analysis andForces DYNAMIC EQUATIONS FOR MULTIPLE-DEGREE-OF-FREEDOM ROBOTS Kinetic Energy • The velocity of a point along a robot’s link can be defined by differentiating the position equation of the point. i i i i R i r T r T p 0 = = • The velocity of a point along a robot’s link can be defined by differentiating the position equation of the point. ( )   = = = = + = n i i act i r n i i p i r p T ir i ip i q I q q U J U Trace K 1 2 ) ( 1 1 1 2 1 2 1   
  • 94.
    Dynamic Analysis andForces DYNAMIC EQUATIONS FOR MULTIPLE-DEGREE-OF-FREEDOM ROBOTS Potential Energy • The potential energy of the system is the sum of the potential energies of each link. ] ) ( [ 1 0 1   = =  − = = n i i i T i n i i r T g m p P • The potential energy must be a scalar quantity and the values in the gravity matrix are dependent on the orientation of the reference frame.
  • 95.
    Dynamic Analysis andForces DYNAMIC EQUATIONS FOR MULTIPLE-DEGREE-OF-FREEDOM ROBOTS The Lagrangian ( ) r n i i p i r p T ir i ip q q U J U Trace P K L    = = = = − = 1 1 1 2 1 ] ) ( [ 2 1 1 0 1 2 ) (   = =  − − + n i i i T i n i i act i r T g m q I 
  • 96.
    Dynamic Analysis andForces DYNAMIC EQUATIONS FOR MULTIPLE-DEGREE-OF-FREEDOM ROBOTS Robot’s Equations of Motion • The Lagrangian is differentiated to form the dynamic equations of motion. • The final equations of motion for a general multi-axis robot is below. i n j n k k j ijk i act i n j j ij i D q q D q I q D T   = = = + + + = 1 1 ) ( 1       ) ( ) , max( T pi p n j i p pj ij U J U Trace D  = = ) ( ) , , max( T pi p n k j i p pjk ijk U J U Trace D  = =  = − = n i p p pi T p i r U g m D where,
  • 97.
    Dynamic Analysis andForces Example Fig. The two-degree-of-freedom robot arm of Example 4.4 Solution Using the aforementioned equations, derive the equations of motion for the two- degree of freedom robot arm. The two links are assumed to be of equal length. Follow the same steps as before……. • Write the A matrices for the two links; • Develop the , and for the robot. ij D ijk D i D • The final equations of motion without the actuator inertia terms are the same as below. 2 2 2 2 2 2 1 2 2 2 2 2 2 1 1 2 1 3 1 3 4 3 1             + +       + + = C l m l m C l m l m l m T ( ) 1 ) ( 1 1 2 12 2 1 1 2 1 2 2 2 2 2 2 2 2 2 1 2 1 2 1          act I glC m glC m glC m S l m S l m + + + + +       + 1 ) ( 2 12 2 2 2 2 2 2 2 1 2 2 2 2 2 2 2 1 2 1 3 1 2 1 3 1          act I glC m S l m l m C l m l m T + +       +       +       + =
  • 98.
    Dynamic Analysis andForces STATIC FORCE ANALYSIS OF ROBOTS • Position Control: The robot follows a prescribed path without any reactive force. • Robot Control means Position Control and Force Control. • Force Control: The robot encounters with unknown surfaces and manages to handle the task by adjusting the uniform depth while getting the reactive force. Ex) Tapping a Hole - move the joints and rotate them at particular rates to create the desired forces and moments at the hand frame. Ex) Peg Insertion – avoid the jamming while guiding the peg into the hole and inserting it to the desired depth.
  • 99.
    Dynamic Analysis andForces STATIC FORCE ANALYSIS OF ROBOTS • To Relate the joint forces and torques to forces and moments generated at the hand frame of the robot. T H H H H H H H x y z x y z F f f f m m m     =     x y z x y z x z dx dy dz W f f f m m m f dx m z x y z             = = + +                      F J T H T H =           D T D F W T H T H = = • f is the force and m is the moment along the axes of the hand frame. • The total virtual work at the joints must be the same as the total work at the hand frame. • Referring to Appendix A
  • 100.
    Dynamic Analysis andForces TRANSFORMATION OF FORCES AND MOMENTS BETWEEN COORDINATE FRAMES • An equivalent force and moment with respect to the other coordinate frame by the principle of virtual work.     z y x z y x T m m m f f f F =     z y x z y x T d d d D    =     z B y B x B z B y B x B T B m m m f f f F =     z B y B x B z B y B x B T B d d d D    =         D T D F W B T B T = =  • The total virtual work performed on the object in either frame must be the same.
  • 101.
    Dynamic Analysis andForces TRANSFORMATION OF FORCES AND MOMENTS BETWEEN COORDINATE FRAMES • Displacements relative to the two frames are related to each other by the following relationship.      D J D B B = • The forces and moments with respect to frame B is can be calculated directly from the following equations: f n fx B  = f o fy B  = f o fy B  = ( ) ] [ m p f n mx B +   = ( ) ] [ m p f o my B +   = ( ) ] [ m p f a mz B +   =
  • 109.
  • 117.
    Locomotion Power of motionfrom place to place For a robot to be able to interact with its environment it must be able to:- • Move within the environment in some manner • Sense the environment it moves through Kinematics:- • The study of motion ignoring the forces that actually generate that motion. • Given some control inputs, how will a robot move? (FORWARD KINEMATICS) • Given some desired motion, which control inputs should be chosen in order to obtain the desired motion? (INVERSE KINEMATICS)
  • 118.
    Statics and StaticStability • Forces and moments propagate through a robot’s structure • Static Stability – defines a set of gaits that allow a robot to remain “standing” without any control wheels/legs. Dynamics and Dynamic Stability • How forces generate accelerations that produce motion • Dynamic stability – having to dynamically control gait in order to ensure a robot does not fall over. e.g. a single legged hopping robot.
  • 119.
    Robot Motion The motionof a robot will depend on the mechanism through which the motion is generated and supported • Wheeled • Legged • Aquatic • Flying • Rocket Propelled Let us consider, as an example, a description of these tasks for wheeled robots
  • 120.
    Wheeled Mobile Robots •Wheels utilise friction and ground contact to enable motion • Lets consider the case of an ideal wheel pictured on the left.
  • 121.
    The Ideal Wheel Consideran Ideal Wheel • Wheel rotates about the x-axis. • Motion is solely in the y-direction. • Measurement of wheel motion (odometry) from e.g. a wheel encoder is perfectly accurate. - A distance of 2.π.r in the y-direction is covered for every rotation of the wheel. Of course things aren’t quite that easy!
  • 122.
    An actual wheelis considerably more complicated than the ideal:- • May be lateral slip if there is insufficient traction • Rough terrain and bumps, compression and cohesion between the wheel and ground surfaces often leads to a loss in accuracy • Some of the resultant motion will be in the z direction
  • 123.
    • Consequently, Odometrywill be inaccurate:- • Driven wheels are more prone to error due to the forces acting on the wheel • One technique – for measurement - is to use an additional non-driven, non-load bearing, light wheel to more accurately recover the motion of the robot – in terms of both distance covered and in direction if the light wheel has a castor. This can be used for as a good approximate for low velocity motion.
  • 124.
    The Instantaneous Centreof Curvature [ICC]
  • 125.
    The Instantaneous Centreof Curvature [ICC] • Consider the case where several wheels are in contact with the surface – see previous slide. • If all wheels in contact with the surface are to roll – then the axes of each wheel must intersect through a single centre of rotation – the ICC (case a). • If no consistent ICC exists then the wheels cannot roll (case b). • Not only must the ICC exist but each wheel’s velocity must be consistent with a rigid rotation about the ICC. E.g. If a set of three wheels were equidistant from the ICC they would all have to move at the same velocity.
  • 126.
    Pose of aRobot and Frames of Reference • Vehicle on a plane has three degrees of freedom • two in translation (x, y) • Based on a fixed frame of reference, a {W} or World frame • one in orientation  •  = 0 is defined to point along the Wx direction • positive rotations are counter-clockwise • triplet (x, y, ) is defined as the pose of the robot
  • 127.
    Types of RobotMotion • Holonomic Robots – can move in any direction instantaneously. This is clearly impossible as any real robot will have mass. • Omni-Directional Robots – can in practice move in any direction but takes time as the robot has mass. • Such robots are, in general, treated as being Holonomic. • E.g. Differential Drive with a castor wheel – dwarf robots. • Non-Holonomic Robots – this type of robot is limited in the way it can move e.g. Car Parking. • Normally limited by dynamic or kinematic restraints – e.g. limited turning ability
  • 128.
    Pose of anideal “holonomic” differential drive robot.
  • 129.
    Pose of anideal “holonomic” differential drive robot. • Consider the differential drive robot shown in the previous Slide. This is an ideal differential drive robot (with supporting castor wheel ignored for the purpose of simplicity) • Inter-wheel spacing is D. • Orientation of the robot is θ w.r.t. {W}. • Position of the robot is (x,y) w.r.t. {W}. • Where will the ICC be located?
  • 130.
    Where is theICC? • The ICC will be located at some point along the axis of the wheels. • If Vleft=Vright • Robot will move in a straight line forward/backwards – no change in orientation i.e. ω=0. • The ICC is effectively at ∞ therefore the radius of curvature is also ∞ (i.e. a straight line!). • If Vleft=-Vright • The robot will turn on the spot – no translation purely change in orientation. • The ICC is in the centre of the wheels and the radius of curvature is 0 (i.e. it rotates!). • If │Vleft│≠│Vright│ • The robot will both turn and move (i.e. both translation and rotation).
  • 131.
    Where is theICC? • We can start by writing some equations using the relationship between Angular and Linear Velocity.
  • 132.
    Where is theICC? • So for each wheel on the robot • [1] • [2] • Assuming we know VLeft and VRight (i.e. we can control the speed of the wheels!) • We can then solve the simultaneous equations for ω and R. ) 2 ( D R VLeft − =  ) 2 ( D R VRight + = 
  • 133.
    Solving for R: •From [1] and from [2] • So: • Therefore: 2 D R VLeft − =  2 D R VRight + =  ) ( 2 ) ( Left Right Right Left V V V V D R − + = 2 2 D R V D R V Right Left + = − ) 2 ( ) 2 ( D R V D R V Right Left − = + 2 . . 2 . . D V R V D V R V Right Right Left Left − = + R V R V D V D V Left Right Right Left . . 2 . 2 . − = + ) .( ) ( 2 Left Right Right Left V V R V V D − = +
  • 134.
    Solving for ω: •From [1] from [2] • Therefore:- R D VLeft = + 2  R D VRight = − 2  D V V Left Right ) ( − =  2 2 D V D V Right Left − = +     Right Left V D V = + Right Left V D V = + .  Left Right V V D − = . 
  • 135.
    Robot Intelligence • Intellectualabilities/performance need to be compatible with actuators/sensors and must take account of mechanical reality. • Can operate on equations of motion etc (normal route) • Can operate on learned behavioural route (highly non-linear/human approach) • Can operate on taught approach (Asimo) – programmed • Can operate under remote control