OSN Fisika Bedah soal
2013(kab/kota)
180 http://ibnu2003.blogspot.com
1. Pembahasan
a. besar kecepatan benda ( 𝑣⃗( 𝑑)) saat t=2 detik dan t=4 detik
kecepatan benda [ 𝑣⃗( 𝑑)] dalam bidang xy dapat dituliskan
dengan vektor satuan [ 𝑖] pada arah sumbu x dan [ 𝑗] pada
arah sumbu y, maka persamaan [ 𝑣⃗( 𝑑)] adalah :
𝑣⃗( 𝑑) = 𝑣π‘₯( 𝑑) 𝑖 + 𝑣𝑦( 𝑑) 𝑗
pada saat t=2 detik
𝑣π‘₯( 𝑑) = (3𝑑2
βˆ’ 4𝑑 + 5) π‘š/𝑑𝑑
𝑣π‘₯(2) = (3.22
βˆ’ 4.2 + 5) = 9π‘š/𝑑𝑑
𝑣𝑦(2) = 30π‘š/𝑑𝑑(π‘™π‘–β„Žπ‘Žπ‘‘ π‘”π‘Žπ‘šπ‘π‘Žπ‘Ÿ)
sehingga :
𝑣⃗(2) = 𝑣π‘₯(2) 𝑖 + 𝑣𝑦(2) 𝑗
𝑣⃗(2) = (9𝑖 + 30𝑗) π‘š/𝑑𝑑
pada saat t=4 detik
𝑣π‘₯( 𝑑) = (3𝑑2
βˆ’ 4𝑑 + 5) π‘š/𝑑𝑑
𝑣π‘₯(4) = (3.42
βˆ’ 4.4 + 5) = 37π‘š/𝑑𝑑
pada selah waktu (3 ≀ 𝑑 ≀ 5) detik dalan arah sumbu y
benda bergerak dengan percepatan konstan, maka
percepatan pada sumbu y :
βˆ’10
βˆ’20
βˆ’30
βˆ’40
10
20
30
40
50
60
10 11 121 2 3 4 5 6 7 8 9
𝑣(𝑑)(π‘š/𝑠)
𝑑(𝑑𝑑)
OSN Fisika Bedah soal
2013(kab/kota)
181 http://ibnu2003.blogspot.com
π‘Ž 𝑦 =
𝑣𝑦(5) βˆ’ 𝑣𝑦(3)
βˆ†π‘‘
=
60 βˆ’ 30
5 βˆ’ 3
= 15π‘š/𝑑𝑑2
maka percepatan benda selang waktu (3 ≀ 𝑑 ≀ 4) detik sama
dengan selang waktu (3 ≀ 𝑑 ≀ 5) detik
sehingga kecepatan pada sumbu y pada 4 detik
𝑣𝑦( 𝑑) = 𝑣𝑦(3) + π‘Ž π‘¦βˆ†π‘‘
𝑣𝑦(4) = 30+ 15.(4 βˆ’ 3) = 45π‘š/𝑑𝑑
maka persamaan vektor kecepatan pada 4 detik adalah :
𝑣⃗(4) = 𝑣π‘₯(4) 𝑖 + 𝑣𝑦(4) 𝑗
𝑣⃗(4) = (37𝑖 + 45𝑗) π‘š/𝑑𝑑
b. besar Percepatan benda ( π‘Žβƒ—( 𝑑)) saat t=4 detik
turunkan fungsi kecepatan terhadap waktu, maka
memperoleh persamaan percepatan.
π‘Ž π‘₯( 𝑑) =
𝑑𝑣π‘₯( 𝑑)
𝑑𝑑
=
𝑑
𝑑𝑑
(3𝑑2
βˆ’ 4𝑑 + 5)
π‘Ž π‘₯( 𝑑) = (6𝑑 βˆ’ 4) π‘š/𝑑𝑑2
sehingga :
π‘Ž π‘₯(4) = (6.4 βˆ’ 4) = 20π‘š/𝑑𝑑2
percepatan arah sumbu y :
π‘Ž 𝑦(4) = 15π‘š/𝑑𝑑2
maka persamaan vektor percepatan menjadi
π‘Ž(4) = π‘Ž π‘₯(4) 𝑖 + π‘Ž 𝑦(4) 𝑗
π‘Ž(4) = (20𝑖 + 15𝑗)π‘š/𝑑𝑑2
c. besar posisi benda ( π‘Ÿβƒ—( 𝑑)) saat t=9 detik, jika posisi awal
benda adalah [ π‘Ÿβƒ—(0) = (74𝑖 + 40𝑗) π‘š]
persaman vektor posisi benda pada sumbu xy adalah :
π‘Ÿβƒ—( 𝑑) = π‘Ÿπ‘₯( 𝑑) 𝑖 + π‘Ÿπ‘¦( 𝑑) 𝑗
pada waktu t=0, maka
π‘Ÿβƒ—(0) = π‘Ÿπ‘₯(0) 𝑖 + π‘Ÿπ‘¦(0) 𝑗 = (74𝑖 + 40𝑗) π‘š
poisisi benda pada t=9 detik diperoleh dari :
mengintegralkan fungsi kecepatan terhadap waktu
𝑣π‘₯( 𝑑) =
𝑑π‘₯( 𝑑)
𝑑𝑑
⇋ 𝑣π‘₯( 𝑑) 𝑑𝑑 = 𝑑π‘₯( 𝑑)
π‘₯( 𝑑) = ∫ 𝑣π‘₯( 𝑑) 𝑑𝑑
π‘₯( 𝑑) = ∫ (3𝑑2
βˆ’ 4𝑑 + 5) 𝑑𝑑
π‘₯( 𝑑) = 𝑑3
βˆ’ 2𝑑2
+ 5𝑑 + 𝐢
pada saat t=0, nilai C adalah :[ π‘Ÿπ‘₯(0) = 74]
OSN Fisika Bedah soal
2013(kab/kota)
182 http://ibnu2003.blogspot.com
persamaan posisinya menjadi
π‘₯( 𝑑) = ( 𝑑3
βˆ’ 2𝑑2
+ 5𝑑 + 74) π‘š
sehingga pada t=9 detik, posisi benda terhadap sumbu x
adalah :
π‘₯(9) = (93
βˆ’ 2. 92
+ 5.9+ 74) π‘š = 686π‘š
meninjau gerak benda pada sumbu y, maka luas grafik [ 𝑦( 𝑑)]
terhadap waktu menunjukkan nilai dari [ 𝑦( 𝑑)].
maka nilai [ 𝑦(9)] merupakan jumlah aljabar luas grafik :
luas I (0 ≀ 𝑑 ≀ 3) = 3.30 = 90π‘š
luas II (3 ≀ 𝑑 ≀ 5) = 0,5(5 βˆ’ 3)(30+ 60) = 90π‘š
luas III (5 ≀ 𝑑 ≀ 8) = 0,5.3.60 = 90π‘š
luas IV (5 ≀ 𝑑 ≀ 8) = 0,5.1.(βˆ’20) = βˆ’10π‘š
total [ 𝑦(9) = 𝐼 + 𝐼𝐼 + 𝐼𝐼𝐼 + 𝐼𝑉 + 𝑦(0)]
𝑦(9) = 90 + 90+ 90βˆ’ 10 + 40 = 300π‘š
sehingga posisi vektor pada t=9 detik adalah :
π‘Ÿβƒ—(9) = π‘Ÿπ‘₯(9) 𝑖 + π‘Ÿπ‘¦(9) 𝑗
π‘Ÿβƒ—(9) = 686𝑖 + 300𝑗
2. Pembahasan
perhatikan gambar diagram bebas sistem di bawah ini
Seseorang massa 60kg tersebut akan diam pada posisi tertentu
saat orang tersebut mempertahankan dirinya untuk tidak
menyentuk lantai. gaya yang harus diberikan orang tersebut ke
tali agar orang ini bisa mempertahamkan diri agar tidak
menyentuh lantai adalah gaya tegangan T1.
𝑇1 + 𝑇2 = π‘šπ‘” ⇋ 𝑇2 = 2𝑇1
π‘šπ‘”
𝑇1 𝑇1
𝑇1
𝑇2
OSN Fisika Bedah soal
2013(kab/kota)
183 http://ibnu2003.blogspot.com
maka :
3𝑇1 = π‘šπ‘” ⇋ 𝑇1 =
π‘šπ‘”
3
=
600
3
= 200𝑁
3. Pembahasan
berikut gerakan benda setelah tumbukan
a. kasus diatas termasuk tumbukan elastik atau tak elastik
Setalah tumbukan benda m diam dan batang memiliki
kecepatan sudut ( πœ”). hukum kekekalan momentum sudut
sebelum dan sesudah tumbukan dengan mengambil acuan
langit-langit, sehingga :
𝐿 π‘ π‘’π‘π‘’π‘™π‘’π‘š = 𝐿 π‘ π‘’π‘ π‘’π‘‘π‘Žβ„Ž
π‘šπ‘£0 𝐿 = πΌπœ”
momen inersia batang yang berotasi pada ujungnya adalah :
𝐼 =
𝑀𝐿2
3
maka :
π‘šπ‘£0 𝐿 =
𝑀𝐿2
3
πœ”
πœ” =
3π‘šπ‘£0
𝑀𝐿
energi yang hilang karena proses tumbukan adalah :
βˆ†πΈ = πΈπ‘˜( π‘Žπ‘€π‘Žπ‘™) βˆ’ πΈπ‘˜( π‘Žπ‘˜β„Žπ‘–π‘Ÿ)
βˆ†πΈ =
1
2
π‘šπ‘£0
2
βˆ’
1
2
πΌπœ”2
βˆ†πΈ =
1
2
π‘šπ‘£0
2
βˆ’
1
2
(
𝑀𝐿2
3
)(
3π‘šπ‘£0
𝑀𝐿
)
2
π‘‘π‘–π‘Žπ‘š
β„Ž
πœ”π‘š
OSN Fisika Bedah soal
2013(kab/kota)
184 http://ibnu2003.blogspot.com
βˆ†πΈ =
1
2
π‘šπ‘£0
2
(1 βˆ’
3π‘š
𝑀𝐿
)
dari hasil persamaan di atas, jenis tumbukannya tidak elastik
b. ketinggian maksimum batang homogen berayun
untuk memperoleh ketinggian sebesar h, setelah tumbukan
terjadi hukum kekekalan emergi mekanik, yaitu :
π‘šπ‘”β„Ž =
1
2
πΌπœ”2
π‘šπ‘”β„Ž =
1
2
(
𝑀𝐿2
3
) (
3π‘šπ‘£0
𝑀𝐿
)
2
∴ β„Ž =
3π‘šπ‘£0
2
2𝑀𝑔
4. Pembahasan
perhatikan gambar gerak osilasi benda m
Pembahasan
F = gaya pulih
gaya pulih searah sumbu y adalah ( πΉπ‘π‘œπ‘ πœƒ)
a. buktikan bahwa pada sistem pegas tersebut dimungkin kan
benda m mengalami gerak osilasi harmonik sederhana pada
arah vertikal
pertambahan panjang pegas adalah
𝑑′
= βˆšπ‘‘2 + 𝑦0
2
perhatikan segitiga berikut :
𝑑𝑑
𝐹𝐹
𝑦0𝑑′
βˆ†π‘¦
πœ™
πœƒ
π‘π‘’π‘”π‘Žπ‘ 
OSN Fisika Bedah soal
2013(kab/kota)
185 http://ibnu2003.blogspot.com
data-data yang diperlukan
π‘π‘œπ‘ πœƒ =
𝑦0 + βˆ†π‘¦
√ 𝑑2 + (𝑦0 + βˆ†π‘¦)2
⇋ π‘π‘œπ‘ πœ™ =
𝑦0
√ 𝑑2 + 𝑦0
2
π‘₯ = (𝑑2
+ 𝑦0
2
) + 2𝑦0βˆ†π‘¦ + βˆ†π‘¦2
π‘₯ = 𝑑′2
+ 2𝑦0βˆ†π‘¦ + βˆ†π‘¦2
pertambahan panjang pegas searah sumbu y adalah
βˆ†π‘¦ = π‘₯ βˆ’ 𝑑′
βˆ†π‘¦ = βˆšπ‘‘2 + (𝑦0 + βˆ†π‘¦)2 βˆ’ 𝑑′
gaya pulih pada benda m
πΉπ‘π‘’π‘™π‘–β„Ž = βˆ’2πΉπ‘π‘œπ‘ πœƒ
= βˆ’2π‘˜(βˆšπ‘‘2 + (𝑦0 + βˆ†π‘¦)2 βˆ’ 𝑑′)(
𝑦0 + βˆ†π‘¦
√ 𝑑2 + (𝑦0 + βˆ†π‘¦)2
)
= βˆ’2π‘˜(𝑦0 + βˆ†π‘¦ βˆ’
𝑑′[𝑦0 + βˆ†π‘¦]
√ 𝑑2 + (𝑦0 + βˆ†π‘¦)2
)
= βˆ’2π‘˜(𝑦0 + βˆ†π‘¦ βˆ’
𝑑′[𝑦0 + βˆ†π‘¦]
√ 𝑑2 + (𝑦0 + βˆ†π‘¦)2
)
= βˆ’2π‘˜(𝑦0 + βˆ†π‘¦)(1 βˆ’
𝑑′
√ 𝑑2 + (𝑦0 + βˆ†π‘¦)2
)
= βˆ’2π‘˜π‘¦0(1 +
βˆ†π‘¦
𝑦0
)(
√ 𝑑′2 + 2𝑦0βˆ†π‘¦ + βˆ†π‘¦2 βˆ’ √ 𝑑′2
√ 𝑑′2 + 2𝑦0βˆ†π‘¦ + βˆ†π‘¦2
)
= βˆ’2π‘˜π‘¦0(1 +
βˆ†π‘¦
𝑦0
)(1 βˆ’ [1 +
2𝑦0βˆ†π‘¦ + βˆ†π‘¦2
𝑑′2
]
βˆ’1/2
)
gunakan ekspansi binomial Newton, yaitu :
(1 + 𝑒)βˆ’1/2
= 1 βˆ’
1
2
𝑒
𝑑
𝑑′ 𝑦0
βˆ†π‘¦
π‘₯
π‘₯ = √ 𝑑2 + (𝑦0 + βˆ†π‘¦)2
𝑑′
= √ 𝑑2 + 𝑦0
2
πœƒ
πœ™
OSN Fisika Bedah soal
2013(kab/kota)
186 http://ibnu2003.blogspot.com
maka :
[1 +
2𝑦0βˆ†π‘¦ + βˆ†π‘¦2
𝑑′2
]
βˆ’1/2
= 1 βˆ’
1
2
(
2𝑦0βˆ†π‘¦ + βˆ†π‘¦2
𝑑′2
)
πΉπ‘π‘’π‘™π‘–β„Ž = βˆ’2π‘˜π‘¦0(1 +
βˆ†π‘¦
𝑦0
) (
2𝑦0βˆ†π‘¦ + βˆ†π‘¦2
2𝑑′2
)
πΉπ‘π‘’π‘™π‘–β„Ž = βˆ’2π‘˜
𝑦0
𝑑′2
(
2𝑦0[𝑦0βˆ†π‘¦ + βˆ†π‘¦2
] + βˆ†π‘¦2
[𝑦0 + βˆ†π‘¦]
2𝑦0
)
πΉπ‘π‘’π‘™π‘–β„Ž = βˆ’2π‘˜
𝑦0
2
𝑑′2
βˆ†π‘¦ [1 +
βˆ†π‘¦
𝑦0
](1 +
βˆ†π‘¦
2𝑦0
)
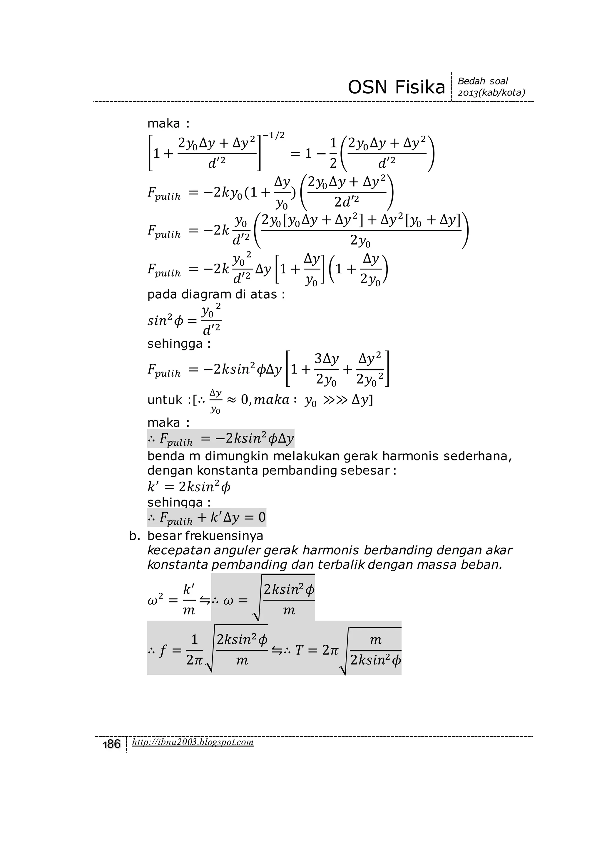
pada diagram di atas :
𝑠𝑖𝑛2
πœ™ =
𝑦0
2
𝑑′2
sehingga :
πΉπ‘π‘’π‘™π‘–β„Ž = βˆ’2π‘˜π‘ π‘–π‘›2
πœ™βˆ†π‘¦ [1 +
3βˆ†π‘¦
2𝑦0
+
βˆ†π‘¦2
2𝑦0
2
]
untuk :[∴
βˆ†π‘¦
𝑦0
β‰ˆ 0, π‘šπ‘Žπ‘˜π‘Ž ∢ 𝑦0 ≫≫ βˆ†π‘¦]
maka :
∴ πΉπ‘π‘’π‘™π‘–β„Ž = βˆ’2π‘˜π‘ π‘–π‘›2
πœ™βˆ†π‘¦
benda m dimungkin melakukan gerak harmonis sederhana,
dengan konstanta pembanding sebesar :
π‘˜β€²
= 2π‘˜π‘ π‘–π‘›2
πœ™
sehingga :
∴ πΉπ‘π‘’π‘™π‘–β„Ž + π‘˜β€²
βˆ†π‘¦ = 0
b. besar frekuensinya
kecepatan anguler gerak harmonis berbanding dengan akar
konstanta pembanding dan terbalik dengan massa beban.
πœ”2
=
π‘˜β€²
π‘š
β‡‹βˆ΄ πœ” = √
2π‘˜π‘ π‘–π‘›2 πœ™
π‘š
∴ 𝑓 =
1
2πœ‹
√
2π‘˜π‘ π‘–π‘›2 πœ™
π‘š
β‡‹βˆ΄ 𝑇 = 2πœ‹βˆš
π‘š
2π‘˜π‘ π‘–π‘›2 πœ™
OSN Fisika Bedah soal
2013(kab/kota)
187 http://ibnu2003.blogspot.com
5. pembahasan
perhatikan perilaku bola billiar sebelum dan sesudah tumbukan
momentum awal dan akhir bola berturut-turut adalah
𝑝1 = βˆ’π‘šπ‘’
𝑝2 = π‘šπ‘£
impuls merupakan perubahan momentum, maka :
𝐽 = βˆ†π‘ = 𝑝2 βˆ’ 𝑝1
𝐽 = βˆ†π‘ = π‘šπ‘£ βˆ’ (βˆ’π‘šπ‘’)
𝐽 = βˆ†π‘ = π‘š(𝑣 + 𝑒)
perubahan momentum sudut terjadi karena adanya impuls yang
bekerja pada jarak (h-r) relatif terhadap pusat massa bola,
βˆ†πΏ = βˆ’βˆ†π‘(β„Ž βˆ’ π‘Ÿ)
βˆ†πΏ = βˆ’π‘š[( 𝑣 + 𝑒)(β„Ž βˆ’ π‘Ÿ)]
βˆ†πΏ = π‘šπ‘Ÿ(𝑣 + 𝑒) βˆ’ π‘šβ„Ž( 𝑣 + 𝑒)
kecepatan sudut awal dan akhir bola berturut-turut adalah
πœ”1 = βˆ’
𝑒
π‘Ÿ
πœ”2 =
𝑣
π‘Ÿ
perubahan momentum sudut bola menjadi
βˆ†πΏ = 𝐿2 βˆ’ 𝐿1 = 𝐼(πœ”2 βˆ’ πœ”1)
βˆ†πΏ = 𝐼(
𝑣
π‘Ÿ
βˆ’ [βˆ’
𝑒
π‘Ÿ
]) = 𝐼(
𝑣 + 𝑒
π‘Ÿ
)
dengan momen inersia bola ( 𝐼 =
2
5
π‘šπ‘Ÿ2
), maka :
βˆ†πΏ = 𝐼(
𝑣 + 𝑒
π‘Ÿ
) =
2
5
π‘šπ‘Ÿ( 𝑣 + 𝑒)
persamaan hukum kekekalan momentum sudut
π‘š[( 𝑣 + 𝑒)(β„Ž βˆ’ π‘Ÿ)] = βˆ’
2
5
π‘šπ‘Ÿ(𝑣 + 𝑒)
β„Ž = π‘Ÿ βˆ’
2
5
π‘Ÿ ∴ β„Ž =
3
5
π‘Ÿ
β„Ž
𝑒
π‘Ÿ
πœ” πœ”
𝑣
β„Ž
OSN Fisika Bedah soal
2013(kab/kota)
188 http://ibnu2003.blogspot.com
6. Pembahasan
garis yang menghubungkan kedua rel sebagai sumbu sesaat
rotasi (AB)
dengan menggunakan dalil pythagoras diperoleh :
(
π‘Ÿ
4
)
2
+ β„Ž2
= π‘Ÿ2
maka nilai h diperoleh sebesar :
β„Ž2
= π‘Ÿ2
βˆ’ (
π‘Ÿ
4
)
2
β„Ž =
π‘Ÿβˆš15
4
a. dari data diatas, bahwa gambar tampak depan dan samping
bola yang menggelinding pada dua rel sejajar dan garis AB
sebagai sumbu rotasi sesaat. bahwa ketinggian h diperoleh
sebesar :
∴ β„Ž =
π‘Ÿβˆš15
4
dari hasil tersebut bahwa titik yang memiliki kecepatan
maksimum terdapat pada titik yang berjarak terjauh dari
sumbu sesaat. Titik tersebut adalah titik puncak bola.
b. besar kecepatan maksimum diatas jika pusat massa bola
memiliki kecepatan v
kecepatan pusat massa bola adalah v
𝑣 = π‘£π‘π‘š
sehingga kecepatan sudut bola menjadi
πœ” =
π‘£π‘π‘š
β„Ž
=
4𝑣
π‘Ÿβˆš15
π‘Ÿ β„Ž
𝑣 π‘šπ‘Žπ‘˜π‘ 
π‘£π‘π‘šπ‘Ÿ
β„Ž
𝐴 𝐡
π‘Ÿ/4 π‘ π‘Žπ‘šπ‘π‘–π‘›π‘”π‘‘π‘’π‘π‘Žπ‘›
OSN Fisika Bedah soal
2013(kab/kota)
189 http://ibnu2003.blogspot.com
kecepatan sudut di atas selalu sama dengan kecepatan sudut
di puncak bola, maka kecepatan maksimum menjadi :
𝑣 π‘šπ‘Žπ‘˜π‘  = πœ”(π‘Ÿ + β„Ž)
𝑣 π‘šπ‘Žπ‘˜π‘  =
4𝑣
π‘Ÿβˆš15
(π‘Ÿ + π‘Ÿ
√15
4
)
𝑣 π‘šπ‘Žπ‘˜π‘  = (
4 + √15
√15
)𝑣
∴ 𝑣 π‘šπ‘Žπ‘˜π‘  = (4√15+ 1)𝑣
7. Pembahasan
jari-jari setengah bola yang kasar ( 𝑅)
jari-jari bola kecil ( π‘Ÿ) ( 𝑅 > π‘Ÿ)
a. besar kelajuan bola tersebut pada titik terendah, Jika bola
mula-mula diam di titik A dan kemudian menggelinding ke
bawah pada permukaan setengah bola.
dengan ancuan titik dasar bola, energi potensial bernilai nol.
energi mekanik bola di titik A
𝐸𝐴 = π‘šπ‘”π‘…
sudut yang ditempuh oleh bola yang menggelinding adalah
( πœ™), maka kecepatan bola pada titik terendah ( πœ™Μ‡), sehingga
kecepatan linier bola titik terendah adalah :
𝑣 = π‘Ÿπœ™Μ‡
momen inersia bola ( 𝐼 =
2
5
π‘šπ‘Ÿ2
)
energi potensial bola titik terendah
𝐸 𝑃[π‘Ÿ] = π‘šπ‘”π‘Ÿ
energi kinetik translasi bola titik terendah
𝐸 π‘˜[π‘‘π‘Ÿπ‘Žπ‘›π‘ ] =
1
2
π‘šπ‘£2
=
1
2
π‘šπ‘Ÿ2
πœ™Μ‡2
energi kinetik rotasi bola titik terendah
𝑠
πœƒ
π‘Ÿ
𝑅
𝐡 𝐴
πœ™
OSN Fisika Bedah soal
2013(kab/kota)
190 http://ibnu2003.blogspot.com
𝐸 π‘˜[π‘Ÿπ‘œπ‘‘] =
1
2
πΌπœ™Μ‡2
=
2
5
π‘šπ‘Ÿ2
πœ™Μ‡2
energi mekanik bola titik terendah adalah :
𝐸 𝑇 = π‘šπ‘”π‘Ÿ +
1
2
π‘šπ‘£2
+
1
2
πΌπœ™Μ‡2
𝐸 𝑇 = π‘šπ‘”π‘Ÿ +
1
2
π‘šπ‘£2
+
1
5
π‘šπ‘£2
= π‘šπ‘”π‘Ÿ +
7
10
π‘šπ‘£2
persamaan hukum kekekalan energi mekanik menjadi
π‘šπ‘”π‘… = π‘šπ‘”π‘Ÿ +
7
10
π‘šπ‘£2
𝑔(𝑅 βˆ’ π‘Ÿ) =
7
10
𝑣2
∴ 𝑣 = √
10𝑔(𝑅 βˆ’ π‘Ÿ)
7
b. besar periode osilasi, bila berosilasi di sekitar titik terendah
dari pembahasan no. a,
ketika bola berada di titik terendah energi potensial titik
pusat bola sama dengan nol.
panjang busur S yang ditempuh bola adalah
( 𝑅 βˆ’ π‘Ÿ) πœƒ = π‘Ÿ πœ™
πœ™ =
( 𝑅 βˆ’ π‘Ÿ)
π‘Ÿ
πœƒ
πœ™Μ‡ =
( 𝑅 βˆ’ π‘Ÿ)
π‘Ÿ
πœƒΜ‡
persamaan energi mekanik ketika membentuk sudut ( πœƒ)
𝐸 𝑇 = π‘šπ‘”β„Ž +
1
2
π‘šπ‘Ÿ2
πœ™Μ‡2
+
2
5
π‘šπ‘Ÿ2
πœ™Μ‡2
nilai h diperoleh dari jarak titik pusat lingkaran ke titik pusat
bola pada titik terendah
β„Ž = ( 𝑅 βˆ’ π‘Ÿ) βˆ’ ( 𝑅 βˆ’ π‘Ÿ) π‘π‘œπ‘ πœƒ = (𝑅 βˆ’ π‘Ÿ)(1 βˆ’ π‘π‘œπ‘ πœƒ)
sehingga :
𝐸 = π‘šπ‘”(𝑅 βˆ’ π‘Ÿ)(1 βˆ’ π‘π‘œπ‘ πœƒ) +
1
2
π‘šπ‘Ÿ2
πœ™Μ‡2
+
2
5
π‘šπ‘Ÿ2
πœ™Μ‡2
𝐸 = π‘šπ‘”(𝑅 βˆ’ π‘Ÿ)(1 βˆ’ π‘π‘œπ‘ πœƒ) +
7
10
π‘šπ‘Ÿ2
(
( 𝑅 βˆ’ π‘Ÿ)
π‘Ÿ
πœƒΜ‡)
2
𝐸 = π‘šπ‘”(𝑅 βˆ’ π‘Ÿ)(1 βˆ’ π‘π‘œπ‘ πœƒ) +
7
10
π‘š( 𝑅 βˆ’ π‘Ÿ)2
πœƒΜ‡2
OSN Fisika Bedah soal
2013(kab/kota)
191 http://ibnu2003.blogspot.com
defferensial energi terhadap waktu, sama dengan nol
𝑑𝐸
𝑑𝑑
= 0
𝑑
𝑑𝑑
{ π‘šπ‘”(𝑅 βˆ’ π‘Ÿ)(1 βˆ’ π‘π‘œπ‘ πœƒ) +
7
10
π‘š( 𝑅 βˆ’ π‘Ÿ)2
πœƒΜ‡2} = 0
𝑔(𝑅 βˆ’ π‘Ÿ)π‘ π‘–π‘›πœƒ +
7
5
( 𝑅 βˆ’ π‘Ÿ)2
πœƒΜˆ = 0
pada simpangan sudut kecil ( π‘ π‘–π‘›πœƒ = πœƒ)
π‘”πœƒ +
7
5
( 𝑅 βˆ’ π‘Ÿ) πœƒΜˆ = 0
πœƒΜˆ +
5𝑔
7( 𝑅 βˆ’ π‘Ÿ)
πœƒ = 0
πœƒΜˆ + πœ”2
πœƒ = 0
kecepatan sudut yang diperoleh menjadi
πœ”2
=
5𝑔
7( 𝑅 βˆ’ π‘Ÿ)
∴ πœ” = √
5𝑔
7( 𝑅 βˆ’ π‘Ÿ)
periode osilasi karena bola bergerak sebagai persamaan
gerak harmonis adalah :
∴ 𝑇 = 2πœ‹βˆš
7( 𝑅 βˆ’ π‘Ÿ)
5𝑔
atau frekuensi osilasinya
∴ 𝑓 =
1
2πœ‹
√
5𝑔
7( 𝑅 βˆ’ π‘Ÿ)
OSN Fisika Bedah soal
2013(kab/kota)
192 http://ibnu2003.blogspot.com
8. Pembahasan
peristiwa di atas bahwa tidak ada torsi luar atau gangguan dari
luar terhadap sistem, maka momentum sudut awal sama
dengan nol
𝐿 π‘Žπ‘€π‘Žπ‘™ = 0
( π‘š 𝐿) adalah massa lokomotif mainan dengan kecepatan
lokomotif relatif terhadap tanah ( 𝑣 𝐿.π‘‘π‘Žπ‘›π‘Žβ„Ž )
( π‘š 𝑇) adalah massa total lintasan melingkar (pelek) dengan
kecepatan linier relatif terhadap tanah ( 𝑣 𝑇.π‘‘π‘Žπ‘›π‘Žβ„Ž )
sehingga momentum akhir adalah :
𝐿 π‘Žπ‘˜β„Žπ‘–π‘Ÿ = 𝐼 𝑇 πœ” 𝑇 + 𝐼𝐿 πœ”πΏ
𝐿 π‘Žπ‘˜β„Žπ‘–π‘Ÿ = 𝐼 𝑇 (
𝑣 𝑇.π‘‘π‘Žπ‘›π‘Žβ„Ž
𝑅
) + 𝐼𝐿 (
𝑣 𝐿.π‘‘π‘Žπ‘›π‘Žβ„Ž
𝑅
)
dengan ( 𝐼 𝑇 = π‘š 𝑇 𝑅2
π‘‘π‘Žπ‘› 𝐼𝐿 = π‘š 𝐿 𝑅2
)
maka :
𝐿 π‘Žπ‘˜β„Žπ‘–π‘Ÿ = π‘š 𝑇 𝑅2
(
𝑣 𝑇.π‘‘π‘Žπ‘›π‘Žβ„Ž
𝑅
)+ π‘š 𝐿 𝑅2
(
𝑣 𝐿.π‘‘π‘Žπ‘›π‘Žβ„Ž
𝑅
)
𝐿 π‘Žπ‘˜β„Žπ‘–π‘Ÿ = π‘š 𝑇 𝑅𝑣 𝑇.π‘‘π‘Žπ‘›π‘Žβ„Ž + π‘š 𝐿 𝑅𝑣 𝐿.π‘‘π‘Žπ‘›π‘Žβ„Ž
hukum kekekalan momentum sudut menjadi
π‘š 𝑇 𝑅𝑣 𝑇.π‘‘π‘Žπ‘›π‘Žβ„Ž + π‘š 𝐿 𝑅𝑣 𝐿.π‘‘π‘Žπ‘›π‘Žβ„Ž = 0
OSN Fisika Bedah soal
2013(kab/kota)
193 http://ibnu2003.blogspot.com
kecepatan total sistem terhadap tanah adalah ( 𝑣 𝑇.π‘‘π‘Žπ‘›π‘Žβ„Ž ) jumlah
aljabar dari kecepatan lokomotif mainan terhadap tanah
( 𝑣 𝐿.π‘‘π‘Žπ‘›π‘Žβ„Ž) dan kecepatan akhir lokomotif terhadap lintasan
𝑣 𝑇.π‘‘π‘Žπ‘›π‘Žβ„Ž = 𝑣 𝐿.π‘‘π‘Žπ‘›π‘Žβ„Ž + 𝑣
sehingga :
π‘š 𝑇 𝑅𝑣 𝑇.π‘‘π‘Žπ‘›π‘Žβ„Ž + π‘š 𝐿 𝑅𝑣 𝐿.π‘‘π‘Žπ‘›π‘Žβ„Ž = 0
∴ 𝑣 𝐿.π‘‘π‘Žπ‘›π‘Žβ„Ž = βˆ’
π‘š 𝑇 𝑣
( π‘š 𝑇 + π‘š 𝐿)
kecepatan akhir lokomofit relatif terhadap lantai ( 𝑣𝑓) sama
dengan kecepatan lokomotif relatif terhadap tahan ( 𝑣 𝑇.π‘‘π‘Žπ‘›π‘Žβ„Ž ),
maka :
∴ 𝑣𝑓 = 𝑣 𝐿.π‘‘π‘Žπ‘›π‘Žβ„Ž = βˆ’
π‘š 𝑇 𝑣
( π‘š 𝑇 + π‘š 𝐿)
bertanda negatif karena arah gerak lokomotif berlawanan
dengan arah gerak rel

2013 osnk fisika (tkunci)

  • 1.
    OSN Fisika Bedahsoal 2013(kab/kota) 180 http://ibnu2003.blogspot.com 1. Pembahasan a. besar kecepatan benda ( 𝑣⃗( 𝑑)) saat t=2 detik dan t=4 detik kecepatan benda [ 𝑣⃗( 𝑑)] dalam bidang xy dapat dituliskan dengan vektor satuan [ 𝑖] pada arah sumbu x dan [ 𝑗] pada arah sumbu y, maka persamaan [ 𝑣⃗( 𝑑)] adalah : 𝑣⃗( 𝑑) = 𝑣π‘₯( 𝑑) 𝑖 + 𝑣𝑦( 𝑑) 𝑗 pada saat t=2 detik 𝑣π‘₯( 𝑑) = (3𝑑2 βˆ’ 4𝑑 + 5) π‘š/𝑑𝑑 𝑣π‘₯(2) = (3.22 βˆ’ 4.2 + 5) = 9π‘š/𝑑𝑑 𝑣𝑦(2) = 30π‘š/𝑑𝑑(π‘™π‘–β„Žπ‘Žπ‘‘ π‘”π‘Žπ‘šπ‘π‘Žπ‘Ÿ) sehingga : 𝑣⃗(2) = 𝑣π‘₯(2) 𝑖 + 𝑣𝑦(2) 𝑗 𝑣⃗(2) = (9𝑖 + 30𝑗) π‘š/𝑑𝑑 pada saat t=4 detik 𝑣π‘₯( 𝑑) = (3𝑑2 βˆ’ 4𝑑 + 5) π‘š/𝑑𝑑 𝑣π‘₯(4) = (3.42 βˆ’ 4.4 + 5) = 37π‘š/𝑑𝑑 pada selah waktu (3 ≀ 𝑑 ≀ 5) detik dalan arah sumbu y benda bergerak dengan percepatan konstan, maka percepatan pada sumbu y : βˆ’10 βˆ’20 βˆ’30 βˆ’40 10 20 30 40 50 60 10 11 121 2 3 4 5 6 7 8 9 𝑣(𝑑)(π‘š/𝑠) 𝑑(𝑑𝑑)
  • 2.
    OSN Fisika Bedahsoal 2013(kab/kota) 181 http://ibnu2003.blogspot.com π‘Ž 𝑦 = 𝑣𝑦(5) βˆ’ 𝑣𝑦(3) βˆ†π‘‘ = 60 βˆ’ 30 5 βˆ’ 3 = 15π‘š/𝑑𝑑2 maka percepatan benda selang waktu (3 ≀ 𝑑 ≀ 4) detik sama dengan selang waktu (3 ≀ 𝑑 ≀ 5) detik sehingga kecepatan pada sumbu y pada 4 detik 𝑣𝑦( 𝑑) = 𝑣𝑦(3) + π‘Ž π‘¦βˆ†π‘‘ 𝑣𝑦(4) = 30+ 15.(4 βˆ’ 3) = 45π‘š/𝑑𝑑 maka persamaan vektor kecepatan pada 4 detik adalah : 𝑣⃗(4) = 𝑣π‘₯(4) 𝑖 + 𝑣𝑦(4) 𝑗 𝑣⃗(4) = (37𝑖 + 45𝑗) π‘š/𝑑𝑑 b. besar Percepatan benda ( π‘Žβƒ—( 𝑑)) saat t=4 detik turunkan fungsi kecepatan terhadap waktu, maka memperoleh persamaan percepatan. π‘Ž π‘₯( 𝑑) = 𝑑𝑣π‘₯( 𝑑) 𝑑𝑑 = 𝑑 𝑑𝑑 (3𝑑2 βˆ’ 4𝑑 + 5) π‘Ž π‘₯( 𝑑) = (6𝑑 βˆ’ 4) π‘š/𝑑𝑑2 sehingga : π‘Ž π‘₯(4) = (6.4 βˆ’ 4) = 20π‘š/𝑑𝑑2 percepatan arah sumbu y : π‘Ž 𝑦(4) = 15π‘š/𝑑𝑑2 maka persamaan vektor percepatan menjadi π‘Ž(4) = π‘Ž π‘₯(4) 𝑖 + π‘Ž 𝑦(4) 𝑗 π‘Ž(4) = (20𝑖 + 15𝑗)π‘š/𝑑𝑑2 c. besar posisi benda ( π‘Ÿβƒ—( 𝑑)) saat t=9 detik, jika posisi awal benda adalah [ π‘Ÿβƒ—(0) = (74𝑖 + 40𝑗) π‘š] persaman vektor posisi benda pada sumbu xy adalah : π‘Ÿβƒ—( 𝑑) = π‘Ÿπ‘₯( 𝑑) 𝑖 + π‘Ÿπ‘¦( 𝑑) 𝑗 pada waktu t=0, maka π‘Ÿβƒ—(0) = π‘Ÿπ‘₯(0) 𝑖 + π‘Ÿπ‘¦(0) 𝑗 = (74𝑖 + 40𝑗) π‘š poisisi benda pada t=9 detik diperoleh dari : mengintegralkan fungsi kecepatan terhadap waktu 𝑣π‘₯( 𝑑) = 𝑑π‘₯( 𝑑) 𝑑𝑑 ⇋ 𝑣π‘₯( 𝑑) 𝑑𝑑 = 𝑑π‘₯( 𝑑) π‘₯( 𝑑) = ∫ 𝑣π‘₯( 𝑑) 𝑑𝑑 π‘₯( 𝑑) = ∫ (3𝑑2 βˆ’ 4𝑑 + 5) 𝑑𝑑 π‘₯( 𝑑) = 𝑑3 βˆ’ 2𝑑2 + 5𝑑 + 𝐢 pada saat t=0, nilai C adalah :[ π‘Ÿπ‘₯(0) = 74]
  • 3.
    OSN Fisika Bedahsoal 2013(kab/kota) 182 http://ibnu2003.blogspot.com persamaan posisinya menjadi π‘₯( 𝑑) = ( 𝑑3 βˆ’ 2𝑑2 + 5𝑑 + 74) π‘š sehingga pada t=9 detik, posisi benda terhadap sumbu x adalah : π‘₯(9) = (93 βˆ’ 2. 92 + 5.9+ 74) π‘š = 686π‘š meninjau gerak benda pada sumbu y, maka luas grafik [ 𝑦( 𝑑)] terhadap waktu menunjukkan nilai dari [ 𝑦( 𝑑)]. maka nilai [ 𝑦(9)] merupakan jumlah aljabar luas grafik : luas I (0 ≀ 𝑑 ≀ 3) = 3.30 = 90π‘š luas II (3 ≀ 𝑑 ≀ 5) = 0,5(5 βˆ’ 3)(30+ 60) = 90π‘š luas III (5 ≀ 𝑑 ≀ 8) = 0,5.3.60 = 90π‘š luas IV (5 ≀ 𝑑 ≀ 8) = 0,5.1.(βˆ’20) = βˆ’10π‘š total [ 𝑦(9) = 𝐼 + 𝐼𝐼 + 𝐼𝐼𝐼 + 𝐼𝑉 + 𝑦(0)] 𝑦(9) = 90 + 90+ 90βˆ’ 10 + 40 = 300π‘š sehingga posisi vektor pada t=9 detik adalah : π‘Ÿβƒ—(9) = π‘Ÿπ‘₯(9) 𝑖 + π‘Ÿπ‘¦(9) 𝑗 π‘Ÿβƒ—(9) = 686𝑖 + 300𝑗 2. Pembahasan perhatikan gambar diagram bebas sistem di bawah ini Seseorang massa 60kg tersebut akan diam pada posisi tertentu saat orang tersebut mempertahankan dirinya untuk tidak menyentuk lantai. gaya yang harus diberikan orang tersebut ke tali agar orang ini bisa mempertahamkan diri agar tidak menyentuh lantai adalah gaya tegangan T1. 𝑇1 + 𝑇2 = π‘šπ‘” ⇋ 𝑇2 = 2𝑇1 π‘šπ‘” 𝑇1 𝑇1 𝑇1 𝑇2
  • 4.
    OSN Fisika Bedahsoal 2013(kab/kota) 183 http://ibnu2003.blogspot.com maka : 3𝑇1 = π‘šπ‘” ⇋ 𝑇1 = π‘šπ‘” 3 = 600 3 = 200𝑁 3. Pembahasan berikut gerakan benda setelah tumbukan a. kasus diatas termasuk tumbukan elastik atau tak elastik Setalah tumbukan benda m diam dan batang memiliki kecepatan sudut ( πœ”). hukum kekekalan momentum sudut sebelum dan sesudah tumbukan dengan mengambil acuan langit-langit, sehingga : 𝐿 π‘ π‘’π‘π‘’π‘™π‘’π‘š = 𝐿 π‘ π‘’π‘ π‘’π‘‘π‘Žβ„Ž π‘šπ‘£0 𝐿 = πΌπœ” momen inersia batang yang berotasi pada ujungnya adalah : 𝐼 = 𝑀𝐿2 3 maka : π‘šπ‘£0 𝐿 = 𝑀𝐿2 3 πœ” πœ” = 3π‘šπ‘£0 𝑀𝐿 energi yang hilang karena proses tumbukan adalah : βˆ†πΈ = πΈπ‘˜( π‘Žπ‘€π‘Žπ‘™) βˆ’ πΈπ‘˜( π‘Žπ‘˜β„Žπ‘–π‘Ÿ) βˆ†πΈ = 1 2 π‘šπ‘£0 2 βˆ’ 1 2 πΌπœ”2 βˆ†πΈ = 1 2 π‘šπ‘£0 2 βˆ’ 1 2 ( 𝑀𝐿2 3 )( 3π‘šπ‘£0 𝑀𝐿 ) 2 π‘‘π‘–π‘Žπ‘š β„Ž πœ”π‘š
  • 5.
    OSN Fisika Bedahsoal 2013(kab/kota) 184 http://ibnu2003.blogspot.com βˆ†πΈ = 1 2 π‘šπ‘£0 2 (1 βˆ’ 3π‘š 𝑀𝐿 ) dari hasil persamaan di atas, jenis tumbukannya tidak elastik b. ketinggian maksimum batang homogen berayun untuk memperoleh ketinggian sebesar h, setelah tumbukan terjadi hukum kekekalan emergi mekanik, yaitu : π‘šπ‘”β„Ž = 1 2 πΌπœ”2 π‘šπ‘”β„Ž = 1 2 ( 𝑀𝐿2 3 ) ( 3π‘šπ‘£0 𝑀𝐿 ) 2 ∴ β„Ž = 3π‘šπ‘£0 2 2𝑀𝑔 4. Pembahasan perhatikan gambar gerak osilasi benda m Pembahasan F = gaya pulih gaya pulih searah sumbu y adalah ( πΉπ‘π‘œπ‘ πœƒ) a. buktikan bahwa pada sistem pegas tersebut dimungkin kan benda m mengalami gerak osilasi harmonik sederhana pada arah vertikal pertambahan panjang pegas adalah 𝑑′ = βˆšπ‘‘2 + 𝑦0 2 perhatikan segitiga berikut : 𝑑𝑑 𝐹𝐹 𝑦0𝑑′ βˆ†π‘¦ πœ™ πœƒ π‘π‘’π‘”π‘Žπ‘ 
  • 6.
    OSN Fisika Bedahsoal 2013(kab/kota) 185 http://ibnu2003.blogspot.com data-data yang diperlukan π‘π‘œπ‘ πœƒ = 𝑦0 + βˆ†π‘¦ √ 𝑑2 + (𝑦0 + βˆ†π‘¦)2 ⇋ π‘π‘œπ‘ πœ™ = 𝑦0 √ 𝑑2 + 𝑦0 2 π‘₯ = (𝑑2 + 𝑦0 2 ) + 2𝑦0βˆ†π‘¦ + βˆ†π‘¦2 π‘₯ = 𝑑′2 + 2𝑦0βˆ†π‘¦ + βˆ†π‘¦2 pertambahan panjang pegas searah sumbu y adalah βˆ†π‘¦ = π‘₯ βˆ’ 𝑑′ βˆ†π‘¦ = βˆšπ‘‘2 + (𝑦0 + βˆ†π‘¦)2 βˆ’ 𝑑′ gaya pulih pada benda m πΉπ‘π‘’π‘™π‘–β„Ž = βˆ’2πΉπ‘π‘œπ‘ πœƒ = βˆ’2π‘˜(βˆšπ‘‘2 + (𝑦0 + βˆ†π‘¦)2 βˆ’ 𝑑′)( 𝑦0 + βˆ†π‘¦ √ 𝑑2 + (𝑦0 + βˆ†π‘¦)2 ) = βˆ’2π‘˜(𝑦0 + βˆ†π‘¦ βˆ’ 𝑑′[𝑦0 + βˆ†π‘¦] √ 𝑑2 + (𝑦0 + βˆ†π‘¦)2 ) = βˆ’2π‘˜(𝑦0 + βˆ†π‘¦ βˆ’ 𝑑′[𝑦0 + βˆ†π‘¦] √ 𝑑2 + (𝑦0 + βˆ†π‘¦)2 ) = βˆ’2π‘˜(𝑦0 + βˆ†π‘¦)(1 βˆ’ 𝑑′ √ 𝑑2 + (𝑦0 + βˆ†π‘¦)2 ) = βˆ’2π‘˜π‘¦0(1 + βˆ†π‘¦ 𝑦0 )( √ 𝑑′2 + 2𝑦0βˆ†π‘¦ + βˆ†π‘¦2 βˆ’ √ 𝑑′2 √ 𝑑′2 + 2𝑦0βˆ†π‘¦ + βˆ†π‘¦2 ) = βˆ’2π‘˜π‘¦0(1 + βˆ†π‘¦ 𝑦0 )(1 βˆ’ [1 + 2𝑦0βˆ†π‘¦ + βˆ†π‘¦2 𝑑′2 ] βˆ’1/2 ) gunakan ekspansi binomial Newton, yaitu : (1 + 𝑒)βˆ’1/2 = 1 βˆ’ 1 2 𝑒 𝑑 𝑑′ 𝑦0 βˆ†π‘¦ π‘₯ π‘₯ = √ 𝑑2 + (𝑦0 + βˆ†π‘¦)2 𝑑′ = √ 𝑑2 + 𝑦0 2 πœƒ πœ™
  • 7.
    OSN Fisika Bedahsoal 2013(kab/kota) 186 http://ibnu2003.blogspot.com maka : [1 + 2𝑦0βˆ†π‘¦ + βˆ†π‘¦2 𝑑′2 ] βˆ’1/2 = 1 βˆ’ 1 2 ( 2𝑦0βˆ†π‘¦ + βˆ†π‘¦2 𝑑′2 ) πΉπ‘π‘’π‘™π‘–β„Ž = βˆ’2π‘˜π‘¦0(1 + βˆ†π‘¦ 𝑦0 ) ( 2𝑦0βˆ†π‘¦ + βˆ†π‘¦2 2𝑑′2 ) πΉπ‘π‘’π‘™π‘–β„Ž = βˆ’2π‘˜ 𝑦0 𝑑′2 ( 2𝑦0[𝑦0βˆ†π‘¦ + βˆ†π‘¦2 ] + βˆ†π‘¦2 [𝑦0 + βˆ†π‘¦] 2𝑦0 ) πΉπ‘π‘’π‘™π‘–β„Ž = βˆ’2π‘˜ 𝑦0 2 𝑑′2 βˆ†π‘¦ [1 + βˆ†π‘¦ 𝑦0 ](1 + βˆ†π‘¦ 2𝑦0 ) pada diagram di atas : 𝑠𝑖𝑛2 πœ™ = 𝑦0 2 𝑑′2 sehingga : πΉπ‘π‘’π‘™π‘–β„Ž = βˆ’2π‘˜π‘ π‘–π‘›2 πœ™βˆ†π‘¦ [1 + 3βˆ†π‘¦ 2𝑦0 + βˆ†π‘¦2 2𝑦0 2 ] untuk :[∴ βˆ†π‘¦ 𝑦0 β‰ˆ 0, π‘šπ‘Žπ‘˜π‘Ž ∢ 𝑦0 ≫≫ βˆ†π‘¦] maka : ∴ πΉπ‘π‘’π‘™π‘–β„Ž = βˆ’2π‘˜π‘ π‘–π‘›2 πœ™βˆ†π‘¦ benda m dimungkin melakukan gerak harmonis sederhana, dengan konstanta pembanding sebesar : π‘˜β€² = 2π‘˜π‘ π‘–π‘›2 πœ™ sehingga : ∴ πΉπ‘π‘’π‘™π‘–β„Ž + π‘˜β€² βˆ†π‘¦ = 0 b. besar frekuensinya kecepatan anguler gerak harmonis berbanding dengan akar konstanta pembanding dan terbalik dengan massa beban. πœ”2 = π‘˜β€² π‘š β‡‹βˆ΄ πœ” = √ 2π‘˜π‘ π‘–π‘›2 πœ™ π‘š ∴ 𝑓 = 1 2πœ‹ √ 2π‘˜π‘ π‘–π‘›2 πœ™ π‘š β‡‹βˆ΄ 𝑇 = 2πœ‹βˆš π‘š 2π‘˜π‘ π‘–π‘›2 πœ™
  • 8.
    OSN Fisika Bedahsoal 2013(kab/kota) 187 http://ibnu2003.blogspot.com 5. pembahasan perhatikan perilaku bola billiar sebelum dan sesudah tumbukan momentum awal dan akhir bola berturut-turut adalah 𝑝1 = βˆ’π‘šπ‘’ 𝑝2 = π‘šπ‘£ impuls merupakan perubahan momentum, maka : 𝐽 = βˆ†π‘ = 𝑝2 βˆ’ 𝑝1 𝐽 = βˆ†π‘ = π‘šπ‘£ βˆ’ (βˆ’π‘šπ‘’) 𝐽 = βˆ†π‘ = π‘š(𝑣 + 𝑒) perubahan momentum sudut terjadi karena adanya impuls yang bekerja pada jarak (h-r) relatif terhadap pusat massa bola, βˆ†πΏ = βˆ’βˆ†π‘(β„Ž βˆ’ π‘Ÿ) βˆ†πΏ = βˆ’π‘š[( 𝑣 + 𝑒)(β„Ž βˆ’ π‘Ÿ)] βˆ†πΏ = π‘šπ‘Ÿ(𝑣 + 𝑒) βˆ’ π‘šβ„Ž( 𝑣 + 𝑒) kecepatan sudut awal dan akhir bola berturut-turut adalah πœ”1 = βˆ’ 𝑒 π‘Ÿ πœ”2 = 𝑣 π‘Ÿ perubahan momentum sudut bola menjadi βˆ†πΏ = 𝐿2 βˆ’ 𝐿1 = 𝐼(πœ”2 βˆ’ πœ”1) βˆ†πΏ = 𝐼( 𝑣 π‘Ÿ βˆ’ [βˆ’ 𝑒 π‘Ÿ ]) = 𝐼( 𝑣 + 𝑒 π‘Ÿ ) dengan momen inersia bola ( 𝐼 = 2 5 π‘šπ‘Ÿ2 ), maka : βˆ†πΏ = 𝐼( 𝑣 + 𝑒 π‘Ÿ ) = 2 5 π‘šπ‘Ÿ( 𝑣 + 𝑒) persamaan hukum kekekalan momentum sudut π‘š[( 𝑣 + 𝑒)(β„Ž βˆ’ π‘Ÿ)] = βˆ’ 2 5 π‘šπ‘Ÿ(𝑣 + 𝑒) β„Ž = π‘Ÿ βˆ’ 2 5 π‘Ÿ ∴ β„Ž = 3 5 π‘Ÿ β„Ž 𝑒 π‘Ÿ πœ” πœ” 𝑣 β„Ž
  • 9.
    OSN Fisika Bedahsoal 2013(kab/kota) 188 http://ibnu2003.blogspot.com 6. Pembahasan garis yang menghubungkan kedua rel sebagai sumbu sesaat rotasi (AB) dengan menggunakan dalil pythagoras diperoleh : ( π‘Ÿ 4 ) 2 + β„Ž2 = π‘Ÿ2 maka nilai h diperoleh sebesar : β„Ž2 = π‘Ÿ2 βˆ’ ( π‘Ÿ 4 ) 2 β„Ž = π‘Ÿβˆš15 4 a. dari data diatas, bahwa gambar tampak depan dan samping bola yang menggelinding pada dua rel sejajar dan garis AB sebagai sumbu rotasi sesaat. bahwa ketinggian h diperoleh sebesar : ∴ β„Ž = π‘Ÿβˆš15 4 dari hasil tersebut bahwa titik yang memiliki kecepatan maksimum terdapat pada titik yang berjarak terjauh dari sumbu sesaat. Titik tersebut adalah titik puncak bola. b. besar kecepatan maksimum diatas jika pusat massa bola memiliki kecepatan v kecepatan pusat massa bola adalah v 𝑣 = π‘£π‘π‘š sehingga kecepatan sudut bola menjadi πœ” = π‘£π‘π‘š β„Ž = 4𝑣 π‘Ÿβˆš15 π‘Ÿ β„Ž 𝑣 π‘šπ‘Žπ‘˜π‘  π‘£π‘π‘šπ‘Ÿ β„Ž 𝐴 𝐡 π‘Ÿ/4 π‘ π‘Žπ‘šπ‘π‘–π‘›π‘”π‘‘π‘’π‘π‘Žπ‘›
  • 10.
    OSN Fisika Bedahsoal 2013(kab/kota) 189 http://ibnu2003.blogspot.com kecepatan sudut di atas selalu sama dengan kecepatan sudut di puncak bola, maka kecepatan maksimum menjadi : 𝑣 π‘šπ‘Žπ‘˜π‘  = πœ”(π‘Ÿ + β„Ž) 𝑣 π‘šπ‘Žπ‘˜π‘  = 4𝑣 π‘Ÿβˆš15 (π‘Ÿ + π‘Ÿ √15 4 ) 𝑣 π‘šπ‘Žπ‘˜π‘  = ( 4 + √15 √15 )𝑣 ∴ 𝑣 π‘šπ‘Žπ‘˜π‘  = (4√15+ 1)𝑣 7. Pembahasan jari-jari setengah bola yang kasar ( 𝑅) jari-jari bola kecil ( π‘Ÿ) ( 𝑅 > π‘Ÿ) a. besar kelajuan bola tersebut pada titik terendah, Jika bola mula-mula diam di titik A dan kemudian menggelinding ke bawah pada permukaan setengah bola. dengan ancuan titik dasar bola, energi potensial bernilai nol. energi mekanik bola di titik A 𝐸𝐴 = π‘šπ‘”π‘… sudut yang ditempuh oleh bola yang menggelinding adalah ( πœ™), maka kecepatan bola pada titik terendah ( πœ™Μ‡), sehingga kecepatan linier bola titik terendah adalah : 𝑣 = π‘Ÿπœ™Μ‡ momen inersia bola ( 𝐼 = 2 5 π‘šπ‘Ÿ2 ) energi potensial bola titik terendah 𝐸 𝑃[π‘Ÿ] = π‘šπ‘”π‘Ÿ energi kinetik translasi bola titik terendah 𝐸 π‘˜[π‘‘π‘Ÿπ‘Žπ‘›π‘ ] = 1 2 π‘šπ‘£2 = 1 2 π‘šπ‘Ÿ2 πœ™Μ‡2 energi kinetik rotasi bola titik terendah 𝑠 πœƒ π‘Ÿ 𝑅 𝐡 𝐴 πœ™
  • 11.
    OSN Fisika Bedahsoal 2013(kab/kota) 190 http://ibnu2003.blogspot.com 𝐸 π‘˜[π‘Ÿπ‘œπ‘‘] = 1 2 πΌπœ™Μ‡2 = 2 5 π‘šπ‘Ÿ2 πœ™Μ‡2 energi mekanik bola titik terendah adalah : 𝐸 𝑇 = π‘šπ‘”π‘Ÿ + 1 2 π‘šπ‘£2 + 1 2 πΌπœ™Μ‡2 𝐸 𝑇 = π‘šπ‘”π‘Ÿ + 1 2 π‘šπ‘£2 + 1 5 π‘šπ‘£2 = π‘šπ‘”π‘Ÿ + 7 10 π‘šπ‘£2 persamaan hukum kekekalan energi mekanik menjadi π‘šπ‘”π‘… = π‘šπ‘”π‘Ÿ + 7 10 π‘šπ‘£2 𝑔(𝑅 βˆ’ π‘Ÿ) = 7 10 𝑣2 ∴ 𝑣 = √ 10𝑔(𝑅 βˆ’ π‘Ÿ) 7 b. besar periode osilasi, bila berosilasi di sekitar titik terendah dari pembahasan no. a, ketika bola berada di titik terendah energi potensial titik pusat bola sama dengan nol. panjang busur S yang ditempuh bola adalah ( 𝑅 βˆ’ π‘Ÿ) πœƒ = π‘Ÿ πœ™ πœ™ = ( 𝑅 βˆ’ π‘Ÿ) π‘Ÿ πœƒ πœ™Μ‡ = ( 𝑅 βˆ’ π‘Ÿ) π‘Ÿ πœƒΜ‡ persamaan energi mekanik ketika membentuk sudut ( πœƒ) 𝐸 𝑇 = π‘šπ‘”β„Ž + 1 2 π‘šπ‘Ÿ2 πœ™Μ‡2 + 2 5 π‘šπ‘Ÿ2 πœ™Μ‡2 nilai h diperoleh dari jarak titik pusat lingkaran ke titik pusat bola pada titik terendah β„Ž = ( 𝑅 βˆ’ π‘Ÿ) βˆ’ ( 𝑅 βˆ’ π‘Ÿ) π‘π‘œπ‘ πœƒ = (𝑅 βˆ’ π‘Ÿ)(1 βˆ’ π‘π‘œπ‘ πœƒ) sehingga : 𝐸 = π‘šπ‘”(𝑅 βˆ’ π‘Ÿ)(1 βˆ’ π‘π‘œπ‘ πœƒ) + 1 2 π‘šπ‘Ÿ2 πœ™Μ‡2 + 2 5 π‘šπ‘Ÿ2 πœ™Μ‡2 𝐸 = π‘šπ‘”(𝑅 βˆ’ π‘Ÿ)(1 βˆ’ π‘π‘œπ‘ πœƒ) + 7 10 π‘šπ‘Ÿ2 ( ( 𝑅 βˆ’ π‘Ÿ) π‘Ÿ πœƒΜ‡) 2 𝐸 = π‘šπ‘”(𝑅 βˆ’ π‘Ÿ)(1 βˆ’ π‘π‘œπ‘ πœƒ) + 7 10 π‘š( 𝑅 βˆ’ π‘Ÿ)2 πœƒΜ‡2
  • 12.
    OSN Fisika Bedahsoal 2013(kab/kota) 191 http://ibnu2003.blogspot.com defferensial energi terhadap waktu, sama dengan nol 𝑑𝐸 𝑑𝑑 = 0 𝑑 𝑑𝑑 { π‘šπ‘”(𝑅 βˆ’ π‘Ÿ)(1 βˆ’ π‘π‘œπ‘ πœƒ) + 7 10 π‘š( 𝑅 βˆ’ π‘Ÿ)2 πœƒΜ‡2} = 0 𝑔(𝑅 βˆ’ π‘Ÿ)π‘ π‘–π‘›πœƒ + 7 5 ( 𝑅 βˆ’ π‘Ÿ)2 πœƒΜˆ = 0 pada simpangan sudut kecil ( π‘ π‘–π‘›πœƒ = πœƒ) π‘”πœƒ + 7 5 ( 𝑅 βˆ’ π‘Ÿ) πœƒΜˆ = 0 πœƒΜˆ + 5𝑔 7( 𝑅 βˆ’ π‘Ÿ) πœƒ = 0 πœƒΜˆ + πœ”2 πœƒ = 0 kecepatan sudut yang diperoleh menjadi πœ”2 = 5𝑔 7( 𝑅 βˆ’ π‘Ÿ) ∴ πœ” = √ 5𝑔 7( 𝑅 βˆ’ π‘Ÿ) periode osilasi karena bola bergerak sebagai persamaan gerak harmonis adalah : ∴ 𝑇 = 2πœ‹βˆš 7( 𝑅 βˆ’ π‘Ÿ) 5𝑔 atau frekuensi osilasinya ∴ 𝑓 = 1 2πœ‹ √ 5𝑔 7( 𝑅 βˆ’ π‘Ÿ)
  • 13.
    OSN Fisika Bedahsoal 2013(kab/kota) 192 http://ibnu2003.blogspot.com 8. Pembahasan peristiwa di atas bahwa tidak ada torsi luar atau gangguan dari luar terhadap sistem, maka momentum sudut awal sama dengan nol 𝐿 π‘Žπ‘€π‘Žπ‘™ = 0 ( π‘š 𝐿) adalah massa lokomotif mainan dengan kecepatan lokomotif relatif terhadap tanah ( 𝑣 𝐿.π‘‘π‘Žπ‘›π‘Žβ„Ž ) ( π‘š 𝑇) adalah massa total lintasan melingkar (pelek) dengan kecepatan linier relatif terhadap tanah ( 𝑣 𝑇.π‘‘π‘Žπ‘›π‘Žβ„Ž ) sehingga momentum akhir adalah : 𝐿 π‘Žπ‘˜β„Žπ‘–π‘Ÿ = 𝐼 𝑇 πœ” 𝑇 + 𝐼𝐿 πœ”πΏ 𝐿 π‘Žπ‘˜β„Žπ‘–π‘Ÿ = 𝐼 𝑇 ( 𝑣 𝑇.π‘‘π‘Žπ‘›π‘Žβ„Ž 𝑅 ) + 𝐼𝐿 ( 𝑣 𝐿.π‘‘π‘Žπ‘›π‘Žβ„Ž 𝑅 ) dengan ( 𝐼 𝑇 = π‘š 𝑇 𝑅2 π‘‘π‘Žπ‘› 𝐼𝐿 = π‘š 𝐿 𝑅2 ) maka : 𝐿 π‘Žπ‘˜β„Žπ‘–π‘Ÿ = π‘š 𝑇 𝑅2 ( 𝑣 𝑇.π‘‘π‘Žπ‘›π‘Žβ„Ž 𝑅 )+ π‘š 𝐿 𝑅2 ( 𝑣 𝐿.π‘‘π‘Žπ‘›π‘Žβ„Ž 𝑅 ) 𝐿 π‘Žπ‘˜β„Žπ‘–π‘Ÿ = π‘š 𝑇 𝑅𝑣 𝑇.π‘‘π‘Žπ‘›π‘Žβ„Ž + π‘š 𝐿 𝑅𝑣 𝐿.π‘‘π‘Žπ‘›π‘Žβ„Ž hukum kekekalan momentum sudut menjadi π‘š 𝑇 𝑅𝑣 𝑇.π‘‘π‘Žπ‘›π‘Žβ„Ž + π‘š 𝐿 𝑅𝑣 𝐿.π‘‘π‘Žπ‘›π‘Žβ„Ž = 0
  • 14.
    OSN Fisika Bedahsoal 2013(kab/kota) 193 http://ibnu2003.blogspot.com kecepatan total sistem terhadap tanah adalah ( 𝑣 𝑇.π‘‘π‘Žπ‘›π‘Žβ„Ž ) jumlah aljabar dari kecepatan lokomotif mainan terhadap tanah ( 𝑣 𝐿.π‘‘π‘Žπ‘›π‘Žβ„Ž) dan kecepatan akhir lokomotif terhadap lintasan 𝑣 𝑇.π‘‘π‘Žπ‘›π‘Žβ„Ž = 𝑣 𝐿.π‘‘π‘Žπ‘›π‘Žβ„Ž + 𝑣 sehingga : π‘š 𝑇 𝑅𝑣 𝑇.π‘‘π‘Žπ‘›π‘Žβ„Ž + π‘š 𝐿 𝑅𝑣 𝐿.π‘‘π‘Žπ‘›π‘Žβ„Ž = 0 ∴ 𝑣 𝐿.π‘‘π‘Žπ‘›π‘Žβ„Ž = βˆ’ π‘š 𝑇 𝑣 ( π‘š 𝑇 + π‘š 𝐿) kecepatan akhir lokomofit relatif terhadap lantai ( 𝑣𝑓) sama dengan kecepatan lokomotif relatif terhadap tahan ( 𝑣 𝑇.π‘‘π‘Žπ‘›π‘Žβ„Ž ), maka : ∴ 𝑣𝑓 = 𝑣 𝐿.π‘‘π‘Žπ‘›π‘Žβ„Ž = βˆ’ π‘š 𝑇 𝑣 ( π‘š 𝑇 + π‘š 𝐿) bertanda negatif karena arah gerak lokomotif berlawanan dengan arah gerak rel